Изобретение относится к лазерной технике и может быть использовано при создании технологических лазерных систем, интегрированных в конструкцию газотурбинного двигателя. Способ генерации излучения газодинамического лазера интегрированного в единую конструкцию газотурбинного двигателя включает подачу воздуха и горючего в камеру сгорания двигателя, организацию сверхзвукового потока газа в критических сечениях, создание в этом потоке инверсии населенности, ее использование для образования когерентного излучения, формирование структуры лазерного луча. При этом воздух и горючее подают в дополнительную кольцевую секционную камеру сгорания, образующую сверхзвуковые потоки газа в критических сечениях расположенных вокруг камеры сгорания двигателя, а для создания инверсии населенности в сверхзвуковые потоки газа в критических сечениях дополнительно подают балластировочные газы, температуру и давление которых регулируют для достижения эффекта Джоуля-Томсона, при этом расход балластировочных газов устанавливают в зависимости от режима работы газотурбинного двигателя. Технический результат заключается в обеспечении возможности повышения КПД и удельной мощности лазера. 2 н. и 8 з.п. ф-лы, 5 ил.
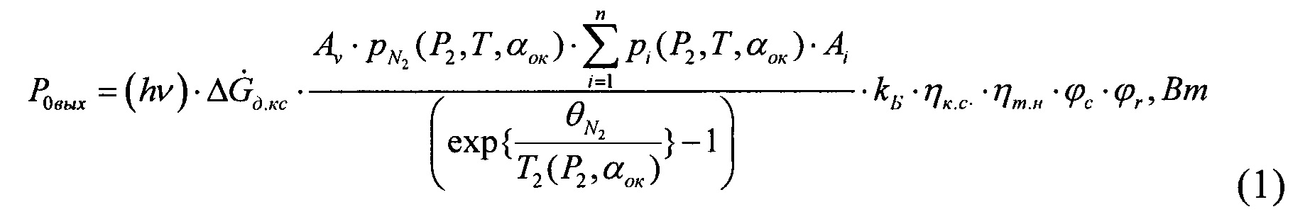
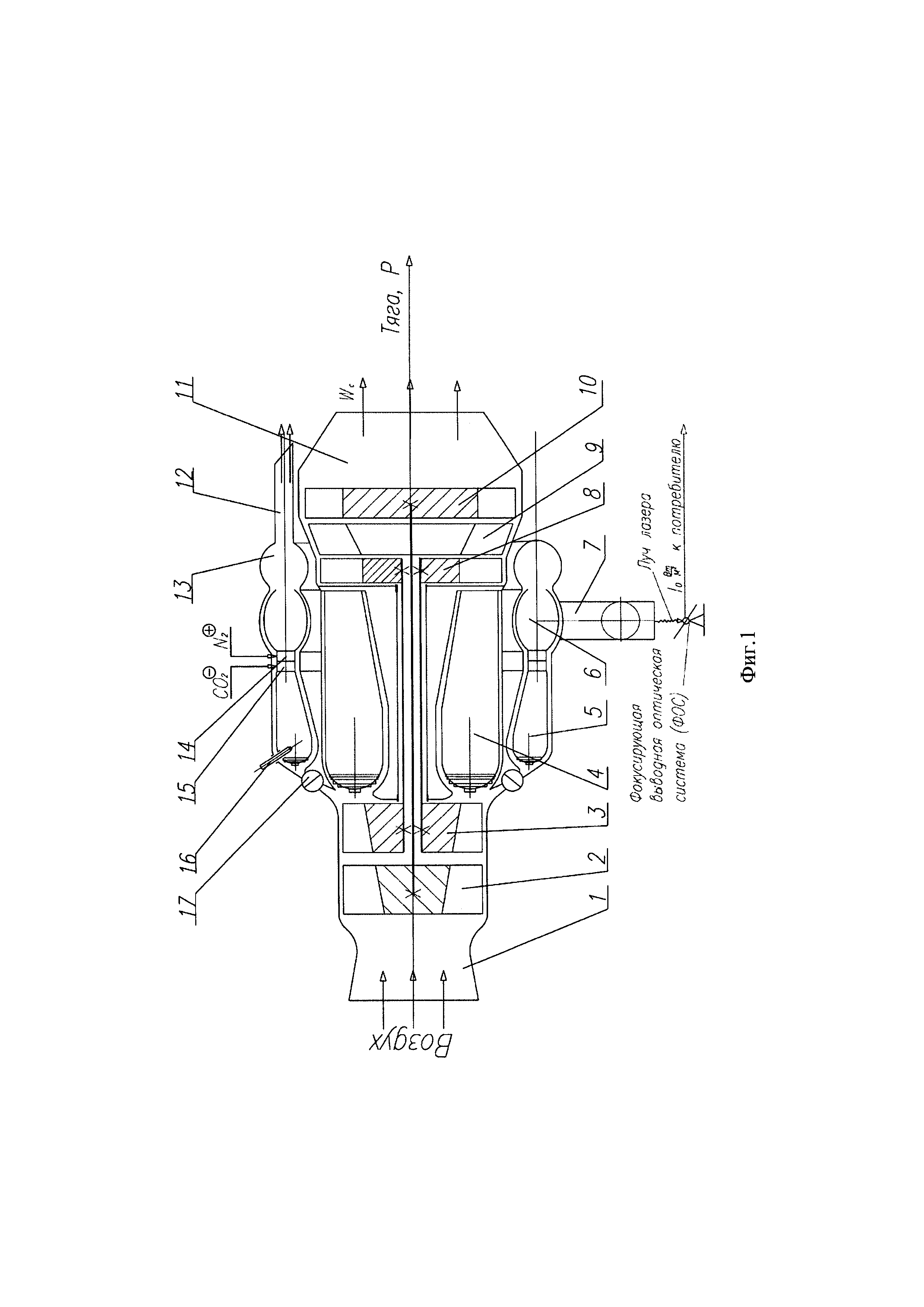
1. Способ генерации излучения газодинамического лазера, интегрированного в единую конструкцию газотурбинного двигателя, включающий подачу воздуха и горючего в камеру сгорания двигателя, организацию сверхзвукового потока газа в критических сечениях, создание в этом потоке инверсии населенности, ее использование для образования когерентного излучения, формирование структуры лазерного луча, отличающийся тем, что воздух и горючее подают в дополнительную кольцевую секционную камеру сгорания, образующую сверхзвуковые потоки газа в критических сечениях, расположенных вокруг камеры сгорания двигателя, а для создания инверсии населенности в сверхзвуковые потоки газа в критических сечениях дополнительно подают балластировочные газы, температуру и давление которых регулируют для достижения эффекта Джоуля-Томсона, при этом расход балластировочных газов устанавливают в зависимости от режима работы газотурбинного двигателя. 2. Способ генерации излучения газодинамического лазера по п. 1, отличающийся тем, что, по меньшей мере, в трех критических сечениях обеспечивают фазовый состав потока газа в виде околокритического флюида. 3. Способ генерации излучения газодинамического лазера по п. 1, отличающийся тем, что в качестве балластировочных газов используют углекислый газ (СO2) и азот (N2). 4. Способ генерации излучения газодинамического лазера, интегрированного в единую конструкцию газотурбинного двигателя, по п. 3, отличающийся тем, что выходную мощность авиационного газодинамического лазера, использующего балластировочные углекислый газ (СO2) и азот (N2), определяют по зависимости, построенной на эффекте Джоуля-Томсона для повышения эффективности активной среды лазера по формуле: где h - постоянная Планка; ν - частота излучения; где kБ<1.0 - балластировки активной среды лазера азотом (N2) и углекислым газом (СO2); ϕс=(0.3-0.5) - сопла; ϕr=(0.4-0.8) специального оптического резонатора; ηк.c=(0.95-0.98) области (камеры) сгорания лазера; ηт.н=(0-80-0.95) тепловой накачки. 5. Газотурбинный двигатель с интегрированным в единую конструкцию газодинамическим лазером, содержащий компрессор каскада низкого давления, компрессор каскада высокого давления, камеру сгорания, турбину высокого давления, турбину низкого давления, систему в виде последовательности сверхзвуковых сопел Лаваля, оптический резонатор и реактивное сопло, отличающийся тем, что он снабжен выводным линейным оптическим резонатором формирования лазерного луча, расположенными вокруг камеры сгорания двигателя, дополнительной кольцевой секционной камерой сгорания, образующей критические сечения сопел Лаваля, по меньшей мере, двумя кольцевыми камерами, соединенными с источниками подачи балластировочных газов, кольцевым ресивером с выпускной трубой отвода газов, оптический резонатор выполнен в виде объемного резонатора кольцевого типа и соединен с кольцевым ресивером с выпускной трубой, а камеры последовательно расположены по ходу движения потока газа между кольцевой секционной камерой и объемным оптическим резонатором, система сверхзвуковых сопел выполнена из вставок в виде дроссельных лопаточных направляющих, образующих критические сечения, вставки установлены в кольцевых камерах подачи балластировочных газов, а полости отверстий критических сечений и камер сообщены с источниками подачи балластировочных газов, при этом выводной линейный оптический резонатор формирования лазерного луча сообщен с объемным оптическим резонатором, а отверстия сопел камер сопряжены друг с другом, с каждым соплом дополнительной кольцевой секционной камеры, с полостью объемного оптического резонатора, кольцевого ресивера и выпускной трубы. 6. Газотурбинный двигатель с интегрированным в единую конструкцию газодинамическим лазером по п. 5, отличающийся тем, что дополнительная кольцевая секционная камера сгорания снабжена системой плазменного зажигания. 7. Газотурбинный двигатель с интегрированным в единую конструкцию газодинамическим лазером по п. 5, отличающийся тем, что объемный оптический резонатор кольцевого типа выполнен в виде замкнутой полости, в которой излучение распространяется по замкнутой траектории в одном направлении. 8. Газотурбинный двигатель с интегрированным в единую конструкцию газодинамическим лазером по п. 7, отличающийся тем, что объемный оптический резонатор кольцевого типа выполнен в виде тела вращения. 9. Газотурбинный двигатель с интегрированным в единую конструкцию газодинамическим лазером по п. 8, отличающийся тем, что объемный резонатор кольцевого типа в виде тела вращения выбран в виде одной конфигурации из группы: прямоугольной, цилиндрической, коаксиальной, торообразной. 10. Газотурбинный двигатель с интегрированным в единую конструкцию газодинамическим лазером по п. 5, отличающийся тем, что объемный оптический резонатор кольцевого типа выполнен в виде замкнутой полости, ограниченной наружной и внутренней стенками в виде многогранников.
- заданный массовый расход углеводородного топлива в дополнительной камере сгорания лазера; Aν - число Авогадро; Ai - атомный вес i-го компонента в продукте сгорания; рi(Р2,Т,αок) - парциальная доля i-го компонента в продукте сгорания при рассчитанной температуре
и давлении Рд.кс=Р2 заданного режимом работы двигателя;
- температура активации молекулы азота; i1=(pN2); i2=(рСO2); αок - коэффициент избытка окислителя; Коэффициент энергетической Kк.эф и конструктивной эффективности лазера вводится в виде
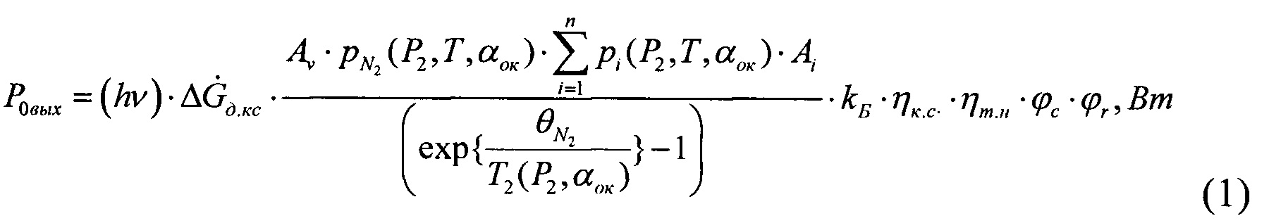
Изобретение относится к квантовой электронике, а конкретно к способам генерации излучения в проточных газодинамических лазерах и может быть использовано при создании технологических лазерных систем интегрированных в конструкцию газотурбинного двигателя. Наиболее близким по технической сущности и достигаемому результату является: способ генерации излучения газодинамического лазера, интегрированного в единую конструкцию газотурбинного двигателя, включающий подачу воздуха и горючего в камеру сгорания двигателя, организацию сверхзвукового потока газа в критических сечениях, создание в этом потоке инверсии населенности, ее использование для образования когерентного излучения, формирование структуры лазерного луча. Наиболее близким устройством для реализации способа является известный газотурбинный двигатель с интегрированным в единую конструкцию газодинамическим лазером, содержащий компрессор каскада низкого давления, компрессор каскада высокого давления, камеру сгорания, турбину высокого давления, турбину низкого давления, систему в виде последовательности сверхзвуковых сопел Лаваля, оптический резонатор и реактивное сопло. /RU 2516985 МПК H01S 3/0953; F02K 3/12; F02C 6/00. Опубликовано: 27.05.2014/ Недостатком известного способа генерации излучения газодинамического лазера, являются значительные размеры критических сечений, что не позволяет получить необходимый уровень инверсии населенности продуктов сгорания углеводородного топлива согласно требованиям к разработке газодинамических лазеров. В известном газотурбинном двигателе турбины конструктивно спроектированы на реактивность порядка - ρ=(0.9-1.0) и выполнены в виде последовательностей сопел Лаваля. Минимальное сечение рабочих лопаток находится в районе входной кромки. Выход потока из рабочего колеса существенно сверхзвуковой. Вместе с тем реактивные турбины работают на перепаде давления, на входе и выходе из лопаток турбины, а не на перепаде скоростей потока, как активные турбины. Таким образом, создание на выходе реактивной турбины сверхзвукового потока противоречит физическим процессам энергетического обмена (эффективности) на реактивных лопатках. Реактивная турбина имеет выходную скорость потока отличную от направления осевой скорости. При этом лопатки турбины имеет высокую линейную переносную скорость потока перед входом в зону резонатора, что очевидно вносит существенную неравномерность в поток газа во вращающемся сверхзвуковом сопле с отрывными течениями перед входом в резонатор лазера, что совершенно не согласуется с требованиями к эффективности газодинамических лазеров. Технической задачей изобретения является создание способа получения излучения газодинамического лазера, генерируемого за счет энергетических потоков газа, возникающих при работе газотурбинного двигателя. Другой задачей является разработка двигателя, в котором авиационный газодинамический лазер конструктивно интегрирован в единую конструкцию контуров газотурбинного двигателя. Ожидаемый технический результат повышение удельной мощности излучения и КПД газодинамического лазера. Другим техническим результатом является упрощение конструкции и снижение металлоемкости двигателя, расширение функциональных возможностей газотурбинного двигателя и универсальность авиационного газодинамического лазера, который в виде модульной вставки может быть использован как в уже эксплуатируемых, так и вновь создаваемых двигателях. Ожидаемый технический результат достигается тем, что известный способ генерации излучения газодинамического лазера интегрированного в единую конструкцию газотурбинного двигателя, включающий подачу воздуха и горючего в камеру сгорания двигателя, организацию сверхзвукового потока газа в критических сечениях, создание в этом потоке инверсии населенности, ее использование для образования когерентного излучения, формирование структуры лазерного луча, по предложению, воздух и горючее подают в дополнительную кольцевую секционную камеру сгорания, образующую сверхзвуковые потоки газа в критических сечениях расположенных вокруг камеры сгорания двигателя, а для создания инверсии населенности в сверхзвуковые потоки газа в критических сечениях дополнительно подают балластировочные газы, температуру и давление которых регулируют в интервале необходимом для достижения эффекта Джоуля-Томсона, при этом расход балластировочных газов устанавливают в зависимости от режима работы газотурбинного двигателя. Способ предусматривает, что по меньшей мере в трех критических сечениях обеспечивают фазовый состав потока газа в виде околокритического флюида, в качестве балластировочных газов используют углекислый газ (СО2) и азот (N2), а выходную мощность авиационного газодинамического лазера, использующего балластировочные углекислый газ (СО2) и азот (N2), определяют по зависимости построенной на физической модели эффекта Джоуля-Томсона для повышения эффективности активной среды лазера по формуле: где: h - постоянная Планка; v - частота излучения; где: kБ>1.0 - балластировки активной среды лазера азотом (N2) и углекислым газом (СО2); ϕс=(0.3-0.5) - сопла; ϕr=(0.4-0.8) специального оптического резонатора; ηк.с=(0.95 - 0.98) области (камеры) сгорания лазера; Технический результат, полученный при разработке двигателя для осуществления способа генерации излучения газодинамического лазера предусматривает, что известный газотурбинный двигатель с интегрированным в единую конструкцию газодинамическим лазером, содержащий компрессор каскада низкого давления, компрессор каскада высокого давления, камеру сгорания, турбину высокого давления, турбину низкого давления, систему в виде последовательности сверхзвуковых сопел Лаваля, оптический резонатор и реактивное сопло, по предложению, снабжен выводным линейным оптическим резонатором формирования лазерного луча, расположенными вокруг камеры сгорания двигателя, дополнительной кольцевой секционной камерой сгорания, образующей критические сечения сопел Лаваля, по меньшей мере, двумя кольцевыми камерами, соединенными с источниками подачи балластировочных газов, кольцевым ресивером с выпускной трубой отвода газов, оптический резонатор выполнен в виде объемного резонатора кольцевого типа и соединен с кольцевым ресивером с выпускной трубой, а камеры последовательно расположены по ходу движения потока газа между кольцевой секционной камерой и объемным оптическим резонатором, система сверхзвуковых сопел выполнена из вставок в виде дроссельных лопаточных направляющих, образующих критические сечения, вставки установлены в кольцевых камерах подачи балластировочных газов, а полости отверстий критических сечений и камер сообщены с источниками подачи балластировочных газов, при этом выводной линейный оптический резонатор формирования лазерного луча сообщен с объемным оптическим резонатором, а отверстия сопел камер сопряжены друг с другом, с каждым соплом дополнительной кольцевой секционной камеры, с полостью объемного оптического резонатора, кольцевого ресивера и выпускной трубы. Дополнительная кольцевая секционная камера сгорания снабжена системой плазменного зажигания, а объемный оптический резонатор кольцевого типа выполнен в виде замкнутой полости, в которой излучение распространяется по замкнутой траектории в одном направлении. Объемный оптический резонатор кольцевого типа выполнен в виде тела вращения и может быть выбран в виде одной конфигурации из группы: прямоугольной, цилиндрической, коаксиальной или торообразной. Объемный оптический резонатор кольцевого типа может быть выполнен в виде замкнутой полости, ограниченной наружной и внутренней стенками в виде многогранников. Сущность заявляемого способа генерации излучения газодинамического лазера интегрированного в единую конструкцию газотурбинного двигателя пример его реализации и конструкция газотурбинного двигателя поясняется графическими материалами. Фиг. 1 - схема авиационного газотурбинного двигателя с интегрированным в единую конструкцию газодинамическим лазером; Фиг. 2 - схема создания инверсии молекулы СО2 на переходах (001) (100) и (001) (020) в типах СО2 лазеров; Фиг. 3 - изменения показателя инверсионного состояние системы от скорости возбуждения и масштаба времени искусственной «заморозки» генераторами балластировки газом СО2; Фиг. 4 - изменение относительного числа Фиг. 5 - фрагмент вставок в виде дроссельных лопаточных направляющих, образующих критические сечения сопел сопряженные с источниками балластировочных газов. Газотурбинный двигатель с интегрированным в единую конструкцию газодинамическим лазером содержит входное устройство 1, компрессор низкого давления (КНД) 2, компрессор высокого давления (КВД) 3, основную камеру сгорания 4, дополнительную камеру сгорания 5, торрообразный или бочкообразный оптический резонатор (световод-усилитель) 6, выводной линейный оптический резонатор формирования лазерного луча 7, турбину высокого давления 8, спрямляющую лопаточную решетку 9, турбину низкого давления 10, сопло газотурбинного двигателя 11, выпускную трубу отработанных газов лазера 12, выпускной торрообразный ресивер 13, кольцевые баластировочные камеры 14 и 15, соединенные с источниками подачи балластировочных газов и системой кольцевых сверхзвуковых сопел, выполненых из вставок в виде дроссельных лопаточных направляющих, образующих критические сечения (на фиг не показано), плазменная свеча зажигания 16 и пуско /отсечной управляемый клапан 17. Механизм возникновения инверсии в лазере. Для двухатомных газов в лазерах, инверсия создается на переходах (001) (100) и (001) (020), например молекулы СО2 (Фиг. 2). В заселении верхнего рабочего уровня (001) важную роль играют процессы резонансной передачи энергии возбуждения от молекул баластировочного газа, например N2 - азота с учетом дополнительной балластировки активной среды лазера охлажденным, например углекислым газом СО2 и подогретым азотом N2генераторами (п. 14, 15 на Фиг. 1) из вставок в виде дроссельных лопаточных направляющих, образующих критические сечения, установленных в кольцевых камерах подачи балластировочных газов настроенных на реализацию эффекта Джоуля-Томсона. Специфика тепловой накачки проявляется в том, что в данном случае колебательные уровни молекул N2 и СО2 в лазере заселяются за счет теплового, а не электронного возбуждения. При этом принципиально важно различие времен релаксации верхних и нижних уровней. Релаксация уровня возбуждения молекулы N2 и уровня (001) молекулы СО2 осуществляется за счет газокинетического механизма передачи энергии (здесь не рассматривается резонансная передача энергии от азота к углекислому газу), тогда как релаксация уровней (100) и (020) молекулы СО2 происходит за счет резонансного механизма. Поскольку скорость резонансной передачи энергии значительно выше, чем газокинетической, то верхний рабочий уровень молекулы СО2 должен релаксировать медленнее, чем нижние рабочие уровни. Особенно медленно релаксирует колебательный уровень молекулы N2. Если продукты сгорания авиационного топлива, содержащие смесь СО2+N2 нагретых до температуры, равной примерно 2700-2850 K, быстро расширяются, проходя через узкие щелевые критическое сечения сопла (точнее, через сопловые блоки 14, 15 на Фиг. 1). При этом происходит резкое возрастание кинетической энергии молекул за счет расширения в сопловой «решетке», из которой поток газа выходит со сверхзвуковой скоростью, М В соответствии с физической модель возбужденного (неравновесного) состояния в интегрированном газодинамическом лазере (см. рисунок 2) между энергетическими уровнями верхним - Е2 (условно метастабильный) и нижем - Е1, квантовые переходы и определяют излучение когерентных фотонов. Спонтанное излучение, в этом случае, описывается соотношением вида здесь: Вр - скорость возбуждения; Ni - число электронов на соответствующем энергетическом уровне; Bij - скорости квантовых переходов; ci - коэффициенты поглощения; t2 - время нахождения электрона на энергетическом уровне Е2. Решение уравнения (1) приводится в виде где N=N1+N2 - общее число электронов процесса релаксации. Анализ зависимости (2) показывает, что условие обращения или населенности энергетического уровня, т.е. инверсионного состояния системы определяется соотношением При использовании в предлагаемом способе излучения интегрированного газодинамического лазера на генераторах, построенных на эффекте Джоуля-Томсона - t2→(τΣзам>t2). Качественная картина изменения соотношения (3) представлено на Фиг. 3. На графиках Фиг. 3 видно, что чем больше время «заморозки» балластировочными генераторами продуктов горения авиационного топлива в дополнительной камере сгорания (Фиг. 1 5) лазера - τΣзам, тем больше заселен метастабильный уровень Е2 электронами N2 и тем выше ожидается величина квантового КПД где: Еизл - энергия излучения. Качественная картина изменения соотношения (3) в зависимости от скорости возбуждения и масштаба времени искусственной «заморозки» генераторами балластировки охлажденным газом СО2, построенными на эффекте Джоуля-Томсона и нагретым азотом N2 состава рабочего тела в системе сопел газодинамического лазера приведена на Фиг. 3. Здесь скорость возбуждения и время релаксации соответственно масштабированы. Проведенные расчеты показывают, что за счет подачи резко охлажденного газа СО2 до состояния околокритического флюида (охлаждение примерно до ТСО2=(120-150) К) в область до критического сечения системы щелевых сопел совместно с нагретым азотом N2 до TN2=(1800-2000) К, инверсия населенности резко возрастает, что приводит к увеличению квантового КПД в несколько раз, результаты расчетов представлены на Фиг. 3. В переходной области (области щелевых сопла) происходит практически полное очищение уровня 020 (см. Фиг. 2) и только небольшое уменьшение заселенности уровня (001). В рабочем объеме заселенность уровня (001) практически «замораживается» при значении, примерно соответствующем температуре в дополнительной камере сгорания 5. Инверсия заселенностей уровней (001) и (020): молекулы СО2 поступают в рабочий объем с практически незаселенными нижними рабочими уровнями (точнее, заселенность этих уровней соответствует примерно температуре Тсо2). Что же касается верхнего рабочего уровня, то он оказывается заселенным, как если бы газ продолжал находиться при температуре Тд.кс.. При этом оказывается «замороженной» также заселенность колебательного уровня молекул N2. Возбужденные молекулы N2, за счет дополнительного нагрева, будут резонансно передавать энергию возбуждения молекулам СО2 и тем самым поддерживать относительно повышенную заселенность уровня (001). В газодинамическом лазере азот - N2 в количественном отношении является основным компонентом смеси - около 80% продуктов сгорания авиационного топлива без добавочной балластировки. Поэтому можно считать, что энергия когерентного излучения черпается в основном за счет колебательной «энергии молекул азота». Балластировка нагретым азотом N2газодинамического лазера приводит к увеличению его процентного содержания в продуктах сгорания авиационного топлива. Таким образом, энергия, запасенная в колебательных степенях свободы молекул, находящихся в дополнительной камере (5), расходуется при переходе газовой смеси в рабочий объем внутреннего контура через сопло. Та часть энергии газовой меси, которая была запасена в симметричных деформационных колебаниях молекул СО2, превращается в энергию поступательного движения потока, выходящего из системы сопел (14, 15). Энергия же, запасенная в асимметричных колебаниях молекул СО2 и в колебаниях молекул N2 превращается за вычетом потерь в резонаторе в энергию когерентного оптического излучения. Применение генераторов, построенных на эффекте Джоуля-Томсона для балластировки лазера приводит к временной (вдоль потока газа с высокой скоростью по длине сопла) «заморозке» состава продуктов сгорания авиационного топлива. При этом можно ожидать, что относительное число На Фиг. 4. Приведено изменение относительного числа Анализ графиков представленных на Фиг. 4 показывает, что при оптимальном значении коэффициента избытка окислителя ожидается полное горение авиационного топлива при максимальной температуре, без сажеобразования, что особенно важно для эффективной работы системы оптических резонаторов, поз. 6 и 7 Фиг. 1. При этом наблюдается значительное увеличение относительного числа Увеличение относительного числа Пример. Работа газотурбинного двигателя с интегрированным в его единую конструкцию газодинамического лазера в соответствии с изобретением, показана на примере авиационного газодинамического СО2 лазера установленного на летательном аппарате. Бортовой САУ летательного аппарата на заданном режиме работы газотурбинного двигателя и высоты полета подается команда на запуск лазера. После команды «пуск» включается пусковой пневматический клапан 17 подачи воздуха от КВД (3), совмещенный с расходомером, в тракт питания и охлаждения дополнительной камеры сгорания лазера 5 от тракта питания основной камеры сгорания 4 при заданной температуре около Твх=(600-900) K. Нагретый сжатый воздух через клапан 17 поступает в дополнительную кольцевую камеру сгорания лазера 5 при заданном давлении Рвх и массовом расходом Gвоз, измеряемым встроенным расходомером. По определенному расходу воздуха по команде САУ двигателя в дополнительную камеру сгорания 5 подают заданный массовый расход авиационного керосина Gкep, который обеспечивает получение рабочей смеси топлива и пушечный запуск камеры плазменными свечами 16, а также полное горение рабочей смеси при коэффициенте избытка окислителя αок≈1.0 при максимальной температуре Тд.кс=(2550-2850) K. Далее продукты сгорания камеры 5 поступают в сопловую лопаточную решетку критических сечений 14, 15 совмещенными с балластировочными газодинамическими генераторами, построенными на эффекте Джоуля-Томсона для нагрева или охлаждения балластировочных газов: азота N2 и углекислого газа СО2. В качестве газодинамических генераторов в рассматриваемом примере использованы известные генераторы фрагмент конструкции которой приведен на Фиг. 5. По команде бортовой САУ летательного аппарата включаются пусковые клапаны аккумуляторов давления для подачи балластировочных газов (на схеме рисунка 1 не показаны). Нагретые или охлажденные в газодинамических генераторах Джоуля-Томсона балластировочные газы после охлаждения критических сечений лопаточных решеток балластируют продукты сгорания дополнительной камеры 5 в зоне критических сечений для получения максимальной эффективности активной среды лазера при сверхзвуковом расширении в соплах до скоростей Ма=(3 - 5). При этом эффективность активной среды (АС) оценивается величиной квантового КПД лазера, который регулируется путем комбинации подачи балластировочных газов и определяет эффективность процесса инверсии заселенности энергетических уровней (АС) лазера. Подготовленная таким образом активная среда при температуре ТАС=(350-400) K и скорости газового потока Ма=(3-5) поступает в зону специального торообразного или бочкообразного оптического резонатора усилителя 6 совмещенного с выпускным линейным резонатором 7. В составном оптическом резонаторе 7 и 6 увеличенного объема усиливается и формируется фазированный лазерный луч, который фокусируется управляющей выводной оптической системой и передается потребителям. Далее продукты сгорания лазера поступают в выпускной ресивер 13, где формируется поток выхлопных газов в выпускной удлинительной трубе 12, который выбрасывается за пределы газотурбинного двигателя через регулируемые выпускные сечения сопла (на рисунке не показано) в зависимости от высоты полета летательного аппарата и режима работы двигателя. После отработки рабочего режима излучения бортовой САУ формируется команда прекращения подачи горючего - керосина в дополнительную камеру сгорания 5 и выключения авиационного газодинамического СО2 лазера через отсечку подачи воздуха включением отсечного клапана 17 с некоторой временной задержкой, которая обеспечивает охлаждение камеры 5 перед повторным запуском лазера. Одновременно САУ проводится отключение аккумуляторов давления. В таблице приведены результаты испытаний авиационного газодинамического СО2 лазера, установленного на летательном аппарате. Анализ результатов показал, что в сравнении с известным решением, предложенный способ генерации излучения газодинамического лазера, позволяет повысить удельную мощность излучения газодинамического лазера до 240 кВт и общий КПД до 30%. Другим техническим результатом является упрощение конструкции лазера, повышение надежности и снижение металлоемкости двигателя, повышение коэффициента массовой эффективности до (0,4…0,6) кг/кВт, расширение функциональных возможностей газотурбинного двигателя и универсальность авиационного газодинамического лазера, который в виде модульной вставки может быть использован как в уже эксплуатируемых, так и вновь создаваемых двигателях.
- заданный массовый расход углеводородного топлива в дополнительной камере сгорания лазера; Av - число Авогадро; Ai - атомный вес i - го компонента в продукте сгорания; pi(P2,T,αок)- парциальная доля i - го компонента в продукте сгорания при рассчитанной температуре
и давлении Рд.кс=Р2 заданного режимом работы двигателя;
- температура активации молекулы азота; i1=(pN2); i2=(рСО2); αок- коэффициент избытка окислителя; Коэффициент энергетической и конструктивной эффективности лазера вводится в виде:
тепловой накачки.
колебательных квантов на одну молекулу азота в критическом сечении от коэффициента избытка окислителя;

При этом инверсионное состояние системы тем выше, чем больше значение принимает выражение

колебательных квантов на одну молекулу азота сохранится в пределах более высоких, чем для обычных схем известных газодинамических лазеров. Это обстоятельство подтверждается дальнейшими теоретическими оценками.
колебательных квантов на одну молекулу азота в критическом сечении дополнительной кольцевой камере сгорания (5) интегрированного газодинамического лазера в зависимости от коэффициента избытка окислителя при различном давлении: (графики сверху вниз) 0.1 МПа; 0.09 МПа и 0.08 МПа соответственно. Здесь затемненным сектором отмечено предел значений
полученных для стационарных газодинамических лазеров известных конструкций.
колебательных квантов на одну молекулу азота в критическом сечении дополнительной кольцевой камере сгорания (5) интегрированного лазера от 14% до 18%, что в 1.38-2.25 раза больше, чем у известных газодинамических лазерах.
объясняется тем, что в дополнительной камере сгорания (5) организовано полное и оптимальное горение авиационного топлива при максимально возможной температуре. Приведенные теоретические оценки подтверждают возможность получения излучения газодинамического лазера интегрированного в конструкцию газотурбинного двигателя.