Изобретение относится к материалам для защиты деталей газотурбинных двигателей из жаропрочных сталей и никелевых сплавов от окисления под действием высокотемпературной газовой коррозии в процессе эксплуатации. Техническим результатом изобретения является повышение жаростойкости, термостойкости, смачивающей способности поверхности образцов и прочности сцепления покрытия с подложкой. Жаростойкое покрытие содержит, мас.%: AlO- 13,0-18,0, MgO - 1,0-2,5, СаО - 3,0-8,0, ВаО - 5,0-9,0, TiO- 1,5-4,8, BO- 3,5-7,6, CrO- 2,5-6,0, BaSiO- 5,0-10,0, BaAlSiO- 2,0-6,5, минеральное комплексное соединение на основе SiO- 2,5-6,0, SiO- остальное. 3 пр., 2 табл.
Жаростойкое покрытие, содержащее Al2O3, MgO, СаО, ВаО, TiO2, B2O3, Cr2O3, SiO2 и минеральное комплексное соединение на основе SiO2, отличающееся тем, что оно дополнительно содержит BaSi2O5 и BaAl2Si2O8 при следующем соотношении компонентов, мас. %:Al2O3 13,0-18,0 MgO 1,0-2,5 СаО 3,0-8,0 ВаО 5,0-9,0 TiO2 1,5-4,8 B2O3 3,5-7,6 Cr2O3 2,5-6,0 BaSi2O5 5,0-10,0 BaAl2Si2O8 2,0-6,5 минеральное комплексное соединение на основе SiO2 2,5-6,0 SiO2 остальное
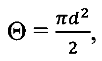
Изобретение относится к области машиностроения, а именно - к материалам для защиты деталей газотурбинных двигателей из жаропрочных сталей и никелевых сплавов от окисления под действием высокотемпературной газовой коррозии в процессе эксплуатации. Современные жаростойкие сплавы для деталей горячего тракта газотурбинных двигателей отличаются сложным легированием и обладают высоким комплексом свойств, что требует обеспечения надежности их эксплуатации в конструкции авиакосмической и гражданской техники. С целью повышения сопротивляемости сплавов высокотемпературной газовой коррозии необходимо применение жаростойких эмалевых покрытий, которые предотвращают окисление поверхности металлов и препятствуют воздействию агрессивных сред. Известен состав жаростойкого стеклокристаллического покрытия с ситалловой структурой (RU 2275341 С1, 20.12.2004), содержащий сухую смесь компонентов и воду в количестве 40-50 мас. % от сухой смеси компонентов. Сухая смесь компонентов содержит, мас. %: причем высокоглиноземистый отход Белокалитвенского комбината содержит, мас. %: Известен состав жаростойкого покрытия для защиты деталей газотурбинных двигателей (RU 2358925 С1, 08.11.2007), мас. %: причем минеральное комплексное соединение на основе SiO2 имеет следующий состав, мас. %: или, мас. %: Наиболее близким аналогом является жаростойкое покрытие (RU 2163897 С1, 01.06.1999) следующего состава, мас. %: причем минеральное комплексное соединение на основе SiO2 имеет следующий состав, мас. %: или, мас. %: Недостатками известных жаростойких покрытий являются малые значения вязкости при температурах эксплуатации выше 1000°C, что приводит к быстрому окислению сплавов, малая прочность сцепления со сплавами на основе железа и никеля, недостаточная смачивающая способность при температурах формирования покрытий. Техническим результатом изобретения является повышение жаростойкости, термостойкости, смачивающей способности поверхности образцов и прочности сцепления покрытия с подложкой за счет создания на поверхности жаростойкого реакционноотверждаемого покрытия. Технический результат достигается за счет того, что предложено жаростойкое покрытие, содержащее Al2O3, MgO, СаО, ВаО, TiO2, B2O3, Cr2O3, SiO2 и минеральное комплексное соединение на основе SiO2, содержащее, мас. %: при этом покрытие дополнительно содержит BaSi2O5 и BaAl2Si2O8 при следующем соотношении компонентов, мас. %: Методами химического и рентгенофазового анализа установлено, что обжиг покрытия с введенными тугоплавкими эвтектическими композициями BaO·2SiO2 и BaO·Al2O3·2SiO2 при заявленном соотношении и содержании компонентов приводит к образованию боросиликатного стекла, армированного частицами тугоплавких соединений BaSi2O5 и BaAl2Si2O8, что повышает жаростойкость, термостойкость, прочность сцепления, смачивающую способность покрытия при температурах эксплуатации до 1200°C. В качестве минерального комплексного соединения на основе SiO2 можно использовать, например, глину Часов-Ярскую ТУ 148-165-75, глину Веселовскую МРТУ 21-40-69 или глину Латнинскую ТУ 14-3-8-152-75. Примеры осуществления Для получения фритты жаростойкого реакционноотверждаемого покрытия компоненты в соотношениях, указанных в таблице 1, помещали в фарфоровый барабан с алундовыми шарами при следующем массовом соотношении: компоненты/алундовые шары =1/1,5. Проводили помол компонентов в течение 2 часов на валковой мельнице при скорости вращения валков 100 об/мин и диаметре валков 10,3 см. Варку фритты проводили в камерной печи в алундовых тиглях. Затем приготовили шликер покрытия путем совместного размола фритты и минерального комплексного соединения на основе SiO2 (глина Часов-Ярская, ТУ 148-165-75) с добавлением 150 мл водопроводной воды в фарфоровом барабане на валковой мельнице в течение 50 часов. Готовый шликер в виде суспензии выгружали из барабана в полиэтиленовые емкости и отделяли мелющие тела. Производили выдержку суспензии шликера в емкостях в течение 3-х суток. Шликер наносили краскораспылителем при условной вязкости шликера 15 Па·с на образцы сталей Х18Н10Т, ЭИ 657 и на образцы сплавов ВЖ 98, ЭИ 602, ВЖ 171. Толщина покрытия составляла 80 мкм. Образцы с покрытием сушили при температуре 60°C в течение 1 часа. Обжиг образцов из сталей Х18Н10Т и ЭИ 657 с нанесенными предлагаемыми жаростойкими покрытиями и покрытием-прототипом производили при температуре 1150°C. Обжиг образцов из сплавов ВЖ 98, ЭИ 602 и ВЖ 171 с нанесенным предлагаемым жаростойким покрытием и покрытием-прототипом производили при температуре 1250°C. Свойства предлагаемого жаростойкого реакционноотверждаемого покрытия и его прототипа приведены в таблице 2. Образцы сталей Х18Н10Т, ЭИ 657 и образцы сплавов ВЖ 98, ЭИ 602, ВЖ 171 с предлагаемым жаростойким покрытием и покрытием-прототипом подвергались испытаниям для определения жаростойкости, термостойкости, прочности сцепления и смачивающей способности при температурах 1000 и 1150°C для образцов из сталей Х18Н10Т и ЭИ 657, и 1200 и 1250°C для образцов из сплавов ВЖ 98, ЭИ 602 и ВЖ 171. Жаростойкость образцов из сталей Х18Н10Т, ЭИ 657 с предлагаемым покрытием и покрытием-прототипом оценивали путем нагрева при температуре 1000°C в течение 100 часов. Жаростойкость образцов из сплавов ВЖ 98, ЭИ 602, ВЖ 171 с предлагаемым жаростойким покрытием и покрытием-прототипом оценивали путем нагрева при температуре 1200°C в течение 50 часов по ГОСТу 6130-71. Температурно-временные режимы испытаний (см. таблицу 2) для образцов из сталей Х18Н10Т, ЭИ 657 и сплавов ВЖ 98, ЭИ 602, ВЖ 171 соответствуют условиям эксплуатации. Термостойкость образцов из сталей с предлагаемым покрытием и покрытием-прототипом определяли путем их термоциклирования по режиму 1000°C↔20°C. Термостойкость образцов из сплавов с предлагаемым покрытием и покрытием-прототипом определена путем их термоциклирования по режиму 1200°C↔20°C. 1 цикл составлял 5 минут. Прочность сцепления покрытия и покрытия-прототипа определялась площадью скола покрытия с защищаемой поверхностью образца. Образцы сталей Х18Н10Т и ЭИ 657 и образцы сплавов ВЖ 98, ЭИ 602 и ВЖ 171 нагревали в печи SNOL 30/1300 при температуре 1000 и 1200°C соответственно при выдержке 30 минут, после чего образцы выгружали из печи и подвергали удару металлическим шариком массой 5 г и диаметром 3 мм с высоты 50 см. Покрытие скалывалось с защищаемой поверхности в виде окружностей и прямоугольников. После удара замеряли площадь скола и вычисляли по формулам: Sокр=2πr2, где Sокр - площадь окружности, r - радиус круга, Sпр=L×b, где Sпр - площадь прямоугольника, L - длина, b - ширина. Общая площадь сколовшегося покрытия Sскола с защищаемой поверхности образца определялась суммарной площадью скола покрытия. Определение прочности сцепления образцов с покрытием осуществляли на копре марки В5113.303. Критерием оценки смачивающей способности покрытия служил краевой угол смачивания поверхности образцов из сталей Х18Н10Т, ЭИ 657 при температурах 1000°C и 1150°C; и образцов из сплавов ВЖ 98, ЭИ 602, ВЖ 171 при температурах 1200°C и 1250°C. Для определения краевого угла смачивания из сухого шликера предлагаемого жаростойкого покрытия и покрытия-прототипа прессовали штабики диаметром 4 мм и высотой 2 мм. Изготовленные штабики устанавливали также на поверхность образцов из сталей Х18Н10Т и ЭИ 657, загружали в печь и нагревали при температурах 1000 и 1150°C в течение 0,5 часов. Изготовленные штабики устанавливали на поверхность образцов из сплавов ВЖ 98, ЭИ 602, ВЖ 171, загружали в печь и нагревали при температурах 1200 и 1250°C в течение 0,5 часов. После выгрузки образцы охлаждали на воздухе до комнатной температуры и, исходя из размеров площади растекшегося штабика, определяли краевой угол смачивания по формуле: где Θ - краевой угол смачивания, град, d - диаметр растекания капли покрытия, мм. Результаты сравнительных испытаний приведены в таблице 2. Приведенные в таблице 2 экспериментальные данные соответствуют средним значениям, полученным из 3-х измерений жаростойкости, термостойкости, прочности сцепления и смачивающей способности. Жаростойкость: - образцов из стали Х18Н10Т с предлагаемым жаростойким покрытием при температуре 1000°C выше в 3 раза по сравнению с покрытием-прототипом; - образцов из стали ЭИ 657 с предлагаемым жаростойким покрытием при температуре 1000°C выше в 3,5 раза по сравнению с покрытием-прототипом; - образцов из сплава ВЖ 98 с предлагаемым жаростойким покрытием при температуре 1200°C выше в 6,8 раз по сравнению с покрытием-прототипом; - образцов из сплава ЭИ 602 с предлагаемым жаростойким покрытием при температуре 1200°C выше в 5,8 раз по сравнению с покрытием-прототипом; - образцов из сплава ВЖ 171 с предлагаемым жаростойким покрытием при температуре 1200°C выше в 6,6 раз по сравнению с покрытием-прототипом. Термостойкость: - образцов из стали Х18Н10Т с предлагаемым жаростойким покрытием при температуре 1000°C выше в 3 раза по сравнению с покрытием-прототипом; - образцов из стали ЭИ 657 с предлагаемым жаростойким покрытием при температуре 1000°C выше в 3 раза по сравнению с покрытием-прототипом; - образцов из сплава ВЖ 98 с предлагаемым жаростойким покрытием при температуре 1200°C выше в 5 раз по сравнению с покрытием-прототипом; - образцов из сплава ЭИ 602 с предлагаемым жаростойким покрытием при температуре 1200°C выше в 5 раз по сравнению с покрытием-прототипом; - образцов из сплава ВЖ 171 с предлагаемым жаростойким покрытием при температуре 1200°C выше в 5,2 раз по сравнению с покрытием-прототипом. Прочность сцепления предлагаемого жаростойкого покрытия: - со сталью Х18Н10Т составляет 100%, то есть покрытие не скалывается и сохраняется на всей поверхности образца; - со сталью ЭИ 657 составляет 100%, то есть покрытие не скалывается и сохраняется на всей поверхности образца; - со сплавом ВЖ 98 составляет 100%, то есть покрытие не скалывается и сохраняется на всей поверхности образца; - со сплавом ЭИ 602 составляет 100%, то есть покрытие не скалывается и сохраняется на всей поверхности образца; - со сплавом ВЖ 171 составляет 100%, то есть покрытие не скалывается и сохраняется на всей поверхности образца. При температуре 1000 и 1200°C происходит равномерное растекание жаростойкого покрытия по поверхности образцов из сталей Х18Н10Т, ЭИ 657. При температуре 1200°C происходит равномерное растекание покрытия по поверхности образцов из сплавов ВЖ 98, ЭИ 602 и ВЖ 171, что обеспечивает надежную защиту металлов при температурах эксплуатации.SiO2 15,10-55,00 СаО 3,00-12,00 ВаО 1,00-4,50 ZnO 1,00-9,00 TiO2 4,00-10,00 Li2O 3,50-10,00 высокоглиноземистый отход Белокалитвенского комбината 18,50-47,40 глина 2,5-8,5 H3BO3 0,005-0,05 шлаковый отход 5,0-10,0 SiO2 15,00 Al2O3- 71,66 СаО 1,76 MgO 5,51 MnO2 0,05 Na2O 1,58 Fe2O3 1,93 K2O 2,20 TiO2 0,31. SiO2 21,0-36,6 B2O3 5,0-6,7 Al2O3 34,0-40,0 ВаО 6,3-7,0 СаО 4,0-5,0 MgO 0,9-2,0 TiO2 0,5-0,9 Cr2O3 3,5-5,0 SiB4 0,2-0,4 ZrO2 5,0-7,0 минеральное комплексное соединение на основе SiO2 4,0-5,0, SiO2 56,25-58,5 Al2O3 34,3-35,1 СаО 1,0-1,2 MgO 1,0-1,1 K2O 2,5-2,6 Na2O 0,6-0,7 TiO2 1,6-1,8 SO3 0,15-0,25 Fe2O3 0,8-1,0, SiO2 35,25-40,05 Al2O3 34,3-35,1 CaO 1,0-1,2 MgO 1,0-1,1 K2O 2,5-2,6 Na2O 0,6-0,7 TiO2 1,6-1,8 SO3 0,15-0,25 Fe2O3 0,8-1,0 SiB4 18,0-21,0. SiO2 38,0-52,6 Al2O3 18,0-20,0 MgO 0,9-2,0 СаО 3,5-7,5 ВаО 7,0-9,0 TiO2 2,5-4,0 B2O3 6,0-7,5 Cr2O3 4,0-5,5 минеральное комплексное соединение на основе SiO2 5,5-6,5, SiO2 56,25-58,05 Al2O3 34,3-35,1 MgO 1,0-1,1 СаО 1,0-1,2 K2O 2,5-2,6 Na2O 0,6-0,7 SO3 0,15-0,25 TiO2 1,6-1,8 Fe2O3 0,8-1,0 SiO2 35,25-40,05 Al2O3 34,3-35,1 СаО 1,0-1,2 MgO 1,0-1,1 K2O 2,5-2,6 Na2O 0,6-0,7 TiO2 1,6-1,8 SO3 0,15-0,25 Fe2O3 0,8-1,0 SiB4 18,0-21,0. SiO2 56,25-58,05 Al2O3 34,3-35,1 MgO 1,0-1,1 СаО 1,0-1,2 K2O 2,5-2,6 Na2O 0,6-0,7 SO3 0,15-0,25 TiO2 1,6-1,8 Fe2O3 0,8-1,0, Al2O3 13,0-18,0 MgO 1,0-2,5 СаО 3,0-8,0 ВаО 5,0-9,0 TiO2 1,5-4,8 B2O3 3,5-7,6 Cr2O3 2,5-6,0 BaSi2O5 5,0-10,0 BaAl2Si2O8 2,0-6,5 минеральное комплексное соединение на основе SiO2* 2,5-6,0 SiO2 остальное. 