патент
№ RU 2682556
МПК G01J5/42

Высокоточный матричный приёмник инфракрасного и терагерцового излучения

Авторы:
Котляр Пётр Ефимович
Номер заявки
2018100989
Дата подачи заявки
10.01.2018
Опубликовано
19.03.2019
Страна
RU
Как управлять
интеллектуальной собственностью
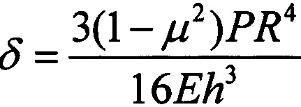
Чертежи 
1
Реферат

Изобретение относится к области измерительной техники и касается матричного приемника инфракрасного и терагерцового излучения. Приемник включает в себя корпусную шайбу с входным и выходным окнами, в которой расположена матрица плотноупакованных трубчатых элементов, содержащих поглощающую металлическую пленку. Входное окно выполнено прозрачным, а выходным окном является подложка матрицы интегральных электронных усилителей. Матрица трубчатых элементов, служащих газовыми рабочими камерами, выполнена в виде трех блоков из фотоситала. Выход каждой камеры закрыт подвижным жидкостным поршнем, несущим электрический заряд, и согласован с затвором электронного усилителя. Металлический поглощающий слой расположен между нижним и средним блоками матрицы, пространство между поверхностями жидкостных поршней и матрицей усилителей образует компенсационную камеру, заполненную газом, в которой по внутреннему периметру шайбы установлен ультразвуковой возбудитель. Технический результат заключается в обеспечении возможности анализа излучения в реальном масштабе времени, повышении чувствительности и снижении весогабаритных характеристик устройства. 1 ил.

Формула изобретения

Высокочувствительный матричный приемник инфракрасного и терагерцового излучения, содержащий корпусную шайбу, закрытую с одной стороны входным, прозрачным для ИК излучения, окном, а с противоположной стороны - выходным окном, в которой расположена матрица плотноупакованных трубчатых элементов, содержащих поглощающую металлическую пленку, отличающийся тем, что выходным окном является подложка матрицы интегральных электронных усилителей, матрица трубчатых элементов, служащих газовыми рабочими камерами, выполнена в виде трех блоков из фотоситала, а выход каждой камеры закрыт подвижным жидкостным поршнем, несущим электрический заряд, и согласован с затвором электронного усилителя, металлический поглощающий слой расположен между нижним и средним блоками матрицы, пространство между поверхностями жидкостных поршней и матрицей усилителей образует компенсационную камеру, заполненную подобно матрице газом, в которой по внутреннему периметру шайбы установлен ультразвуковой возбудитель.

Описание

[1]

Изобретение относится к области измерений пространственного распределения электромагнитного излучения дальнего инфракрасного диапазона (включая терагерцовое).

[2]

Изобретение может быть использовано как в системах военного назначения (системы ночного видения, обнаружение безоболочечных взрывных устройств), так и в системах гражданского применения (системы технической и медицинской диагностики).

[3]

Известно, что приемники излучения классификационно делятся на:

[4]

- класс фотонных (квантовых) фотоприемников, в которых энергия фотона преобразуется в некоторую первичную реакцию фотоприемника;

[5]

- класс тепловых, в которых энергия фотонов преобразуется в тепло, а реакция фотоприемника возникает как следствие повышения температуры чувствительного элемента.

[6]

Принципиальным недостатком фотонных фотоприемников является то обстоятельство, что энергия фотона обратно пропорциональна длине волны излучения (E=hc/λ где h - постоянная Планка; с - скорость света; λ - длина волны), что делает их применение невозможным при длинах волн более 20 мкм даже в случае криогенного охлаждения.

[7]

Тепловые фотоприемники имеют постоянную обнаружительную способность в диапазоне 1-2000 мкм, а в диапазоне 20-2000 мкм являются фактически единственным классом фотоприемных устройств, пригодных для практического применения (см. например Киес Р.Дж. и др. Фотоприемники видимого и ИК диапазонов М. Радио и связь. 1985. стр. 64, рис. 2.22).

[8]

В классе тепловых приемников особого внимания заслуживает приемник Голея, превосходящий по предельной обнаружительной способности пироэлектрические, термопарные и термисторные болометры, работающие без криогенного охлаждения в 5-15 раз и относящийся к числу наиболее широкополосных. Приемник Голея представляет собой разновидность волюметрических газовых термометров, в которых измеряется изменение объема (volume) газа с изменением температуры и основан на газовом законе Ж. Шарля.

[9]

Газовыми термометрами измеряют температуры от 2 до 1300 К с предельно достижимой точностью 0.002-0.03 К. Газовый термометр применяется в качестве первичного термометрического прибора. При помощи газового термометра определены температуры реперных точек Международной практической температурной шкалы.

[10]

Газовый термометр представляет собой заполненную газом камеру. Термочувствительным элементом ячейки является газовая среда, которая при нагревании, вызванном поглощением электромагнитной энергии, расширяется. Для компенсации погрешностей, вызванных вариациями внешнего давления, рабочая расширительная камера дополняется герметизированной компенсационной. В зависимости от конструкции разделительного элемента, воспринимающего разность давлений между расширительной и компенсационной камерами газовые термометры делятся на термометры с жидкостным поршнем и термометры с гибкой мембраной (ячейки Голея).

[11]

В зависимости от конструкции поглощающего элемента газовые термометры могут быть селективными, в которых излучение поглощает заполняющий камеру газ, содержащий в молекуле два и более различных атома, например, окись углерода СО, двуокись углерода СО2, метан СН4. Как следствие, спектральная чувствительность такого устройства определяется спектром поглощения заполняющего камеру газа. В неселективных устройствах поглощение излучения осуществляется тонкими металлическими пленками, размещаемыми внутри камеры на органических пленках или стенках камеры, а сама камера заполняется одноатомным газом с низкой теплоемкостью и высокой теплопроводностью.

[12]

Известны патенты, в которых описаны конструкции матричных фотоприемников для визуализации пространственного распределения электромагнитного излучения в области дальнего ИК на основе ячеек Голея (см., например, патент США 7045784 B1 Method and apparatus for mikro-Golay cell infrared detectors, патент RU 2414688 C1 Матричный приемник терагерцового излучения, патент RU 2561338 С1 Устройство для визуализации инфракрасного излучения), основным недостатком которых является зависимость чувствительности от геометрических размеров элементарной ячейки Голея.

[13]

Прототипом предлагаемому изобретению может служить патент RU 2561338 С1 «Устройство для визуализации инфракрасного излучения», которое представляет собой герметизированную сборку элементарных ячеек Голея (рабочих камер), выполненную на микроканальной пластине (МКП), заполненную газом, один торец которой закрыт входным окном для электромагнитного излучения, а противоположный торец закрыт гибкой мембраной с зеркальным покрытием с внешней стороны, дополненную второй герметизированной компенсационной камерой, образованной гибкой мембраной и тонким электролюминесцентным слоем, нанесенным на выходное окно. Система рабочих камер и компенсационная камера заполняются газом с низкой теплоемкостью и высокой теплопроводностью (ксенон) и герметизируются, образуя дифференциальную систему. Исследуемое излучение поглощается поглощающим слоем, размещенным внутри элементарной камеры. Повышение температуры поглощающего элемента за счет теплопередачи передается заполняющему ячейку газу. Газ нагревается и его давление увеличивается. Увеличение давления в рабочей камере приводит к деформации гибкой мембраны, покрытой тонким проводящим слоем. Таким образом пространственное распределение электромагнитной энергии преобразуется в геометрический рельеф металлизированной гибкой мембраны. Визуализация этого рельефа осуществляется с помощью сопряженной электролюминесцентной панели.

[14]

Недостатками этого изобретения, а также других(с ячейками Голея) являются:

[15]

- резкое снижение чувствительности устройства при создании многоэлементных матриц с ограниченными габаритными размерами (уменьшении диаметра элементарной ячейки Голея).

[16]

Величина прогиба δ центра плоской мембраны, закрепленной по контуру, при малых перемещениях под действием давления Р вычисляется по формуле

[17]

I,

[18]

где R - рабочий радиус мембраны (по контуру закрепления); h - толщина мембраны, Е,μ - модуль упругости кГ/см2 и коэффициент Пуассона материала мембраны. (Андреева Л.Е. Упругие элементы приборов. - М.; Машиностроение, 1981).

[19]

Из представленного выражения следует принципиальная невозможность создания малогабаритных матричных фотоприемников большой размерности с высокой чувствительностью поскольку величина прогиба, а следовательно и чувствительность, пропорциональны четвертой степени радиуса элементарной ячейки, то его линейное уменьшение приводит к резкому уменьшению чувствительности.

[20]

Задача изобретения.

[21]

Задачей изобретения является создание нового типа высокочувствительного матричного устройства для визуализации пространственного распределения ИК и терагерцового излучения в реальном масштабе времени.

[22]

Технический эффект: реализация возможности анализа пространственного распределения дальнего ИК и терагерцового излучения низкой интенсивности в реальном масштабе времени при значительном снижении весогабаритных характеристик устройства.

[23]

Раскрытие изобретения.

[24]

Поставленная задача решена использованием гибридной фотоприемной матрицы, содержащей матрицу приемников ИК излучения на основе трубчатых элементов, представляющую собой плотноупакованную систему рабочих камер, один торец матричной структуры является входным окном для электромагнитного излучения, а с противоположной стороны выход каждой рабочей камеры закрыт подвижным жидкостным поршнем, несущим электрический заряд. Внутри рабочей камеры располагается термически развязанный от ее стенок поглощающий элемент в виде тонкой пленки металла с малой теплоемкостью (висмут, свинец), нанесенной на полиэфиновую пленку со сквозной пористостью. Система рабочих камер дополнена второй герметизированной компенсационной камерой, образованной наружными поверхностями жидких поршней и подложкой матрицы интегральных усилителей, обеспечивающей считывание, предварительное усиление и мультиплексирование сигналов фотоприемной матрицы. Рабочие и компенсационная камеры заполняются газом с низкой теплоемкостью и высокой теплопроводностью (ксенон) и герметизируются, образуя дифференциальную систему. Поглощение анализируемого излучения металлической пленкой приводит к ее нагреву. За счет теплопередачи газ, заполняющий камеру нагревается и его давление увеличивается. Увеличение давления в рабочей камере приводит к смещению подвижного жидкостного поршня. Порог чувствительности термометрической ячейки с жидкостным поршнем определяется действием капиллярной силы, зависящей от поверхностного натяжения жидкости поршня и радиуса рабочей камеры, и силой вязкого трения. Действие капиллярной силы и силы вязкого трения на жидкостный поршень приводит к тому, что при поглощении инфракрасного излучения перемещение жидкостного поршня начинается только тогда когда сила обусловленная градиентом давления между рабочей и компенсационной камерами превысит пороговое значение. Компенсация действия капиллярной силы и силы вязкого трения осуществляется вибрационным воздействием на блок фотоприемных рабочих камер с помощью кольцевого ультразвукового возбудителя, размещенного в компенсационной камере.

[25]

В работах: Жежера Н.И., Ильин О.Н. Применение вибрации при испытаниях изделий на герметичность жидкостью. Интернет-журнал «НАУКОВЕДЕНИЕ» Выпуск 1, январь - февраль 2014 http://naukovedenie.ru 32TVN114; Жежера Н.И. Анализ влияния сил поверхностного натяжения и сил вязкого трения различных жидкостей на перемещение жидкостного поршня в горизонтальной трубке устройств контроля герметичности изделий. Альманах современной науки и образования Тамбов: Грамота, 2012. №9 (64). С.58-63. ISSN 1993-5552 показано, что возбуждение продольных колебаний позволяет осуществлять компенсацию капиллярной силы и силы вязкого трения и значительно снизить порог чувствительности устройства.

[26]

Конструкция устройства и его работа. Конструкция устройства поясняется фиг. 1. Матрица рабочих камер состоит из трех блоков (нижний 4, средний 6, верхний 8), выполненных из фотоситала и установленных в корпусной шайбе 16. Через герметизирующий клеевой слой 3 шайба закрыта входным окном 2, а с другой стороны через герметизирующий слой 11 закрыта подложкой 10 матрицы электронных усилителей.

[27]

Анализируемое ИК излучение 18 проходит через входное окно 2, выполненное из прозрачного в исследуемом диапазоне длин волн материала, отсекающего коротковолновую часть спектра, имеющее просветляющее покрытие 1 на наружной плоскости, проникает в систему рабочих камер 17, выполненных из трех блоков фотоситалла по технологии микроканальных пластин электронно-оптических преобразователей, и поглощается в тонкой металлической пленке 5, нагревая ее. Нагретый поглощающий элемент 5 нагревает газ, заполняющий камеру. Газ нагревается и его давление увеличивается. Увеличение давления в рабочей камере приводит к смещению в сторону компенсационной камеры 12 подвижного жидкостного поршня 15, выполненного из диэлектрической жидкости и несущего электрический заряд. Изменение положения заряженного жидкостного поршня приводит к изменению электрического потенциала затвора входного каскада сопряженного интегрального усилителя и появлению на выходе усилителя электрического сигнала пропорционального смещению жидкостного поршня. Заряд поршней осуществляется от проводящего слоя 7, имеющего вывод 14. Таким образом, пространственное распределение электромагнитной энергии преобразуется в совокупность электрических сигналов на выходе сопряженной интегральной матрицы электронных усилителей 9. Компенсация изменения реологических свойств жидкости поршня при изменениях температуры окружающей среды осуществляется подачей компенсирующего напряжения на ввод 14. Компенсация капиллярной силы и силы вязкого трения жидкостного поршня, определяющих порог чувствительности устройства, осуществляется с помощью продольных ультразвуковых колебаний системы рабочих камер с помощью кольцевого ультразвукового возбудителя 13.

Как компенсировать расходы
на инновационную разработку
Похожие патенты