патент
№ RU 2487726
МПК A61L27/56

ИМПЛАНТАТ ДЛЯ ПЛАСТИКИ ПОСТТРАВМАТИЧЕСКИХ ДЕФЕКТОВ И ДЕФОРМАЦИЙ ДНА И СТЕНОК ГЛАЗНИЦЫ

Авторы:
Хомутинникова Нина Евгеньевна Сорокина Ольга Владимировна Треушников Виктор Валерьевич
Все (4)
Номер заявки
2011152435/15
Дата подачи заявки
21.12.2011
Опубликовано
20.07.2013
Страна
RU
Как управлять
интеллектуальной собственностью
Реферат

[84]

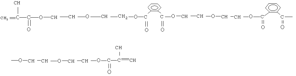
Изобретение относится к медицине, конкретно к офтальмохирургии и хирургии челюстно-лицевой области, и предназначено для пластики посттравматических дефектов и деформаций дна и стенок глазницы. Описан имплантат в виде перфорированной твердой пластины, который сформирован путем фотоотверждения фотополимеризующейся композиции, при этом имплантат при нагревании (температура стеклования 70-90°С) сохраняет приданную форму после остывания, что обеспечивает высокие прочностные и биосовместимые свойства материала. Температура стеклования материала много выше температуры тела человека, что гарантирует сохранение физико-механических свойств имплантата в теле человека, а именно материал остается прочным, при фиксации не прорезывается и не разрывается. Перед имплантацией пластину нагревают до необходимой температуры и изгибают так, чтобы она конгруэнтно повторяла форму глазницы в месте ее дефекта, перекрывала дефект и поддерживала глаз в правильном анатомическом положении. Достигают уменьшения вероятности отторжения имплантата и снижения количества различных осложнений за счет повышения биосовместимых свойств материала. 1 табл., 5 пр.

Формула изобретения

Имплантат для пластики посттравматических дефектов и деформаций дна и стенок глазниц в виде перфорированной твердой пластины, отличающийся тем, что имплантат сформирован путем фотоотверждения композиции, содержащей
2,2-диметокси-фенилацетофенон следующего строения

2,4-дитретбутилортохинон следующего строения

олигоуретанметакрилат следующего строения

где n порядка 17,
олигокарбонатметакрилат следующего строения

диметакрилатдиэтиленгликольфталат следующего строения

феноксиэтилметакрилат следующего строения

метакриловая кислота следующего строения

динитрилазоизомасляная кислота следующего строения

пигмент,
при этом вышеуказанные компоненты взяты в следующем соотношении, мас.%:

2,2-диметокси-2-фенилацетофенон0,4-3,0
2,4-дитретбутилортохинон0,01-0,06
олигоуретанметакрилат15-50
олигокарбонатметакрилат10-50
диметакрилатдиэтиленгликольфталат3-15
феноксиэтилметакрилат10-30
метакриловая кислота5-10
динитрилазоизомасляная кислота0,003-0,03
пигмент0,1-1

Описание

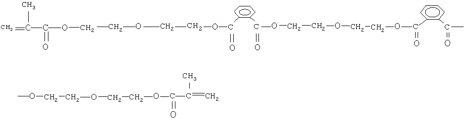
[1]

Изобретение относится к офтальмохирургии и хирургии челюстно-лицевой области и предназначено для пластики посттравматических дефектов и деформаций дна и стенок глазницы.

[2]

Посттравматические дефекты и деформации дна и стенок глазницы представляют собой одно из самых частых поражений при повреждениях костей верхней и средней зон лицевого скелета. Переломы костей, отделяющих глазницу от передней черепной ямки, височной и подвисочной ямок, верхнечелюстной пазухи и клеток решетчатого лабиринта, могут вызвать целый ряд функциональных и косметических расстройств. В зависимости от объема и степени костных разрушений основной клинической симптоматикой повреждения могут стать нарушение контуров и симметрии лица, диплопия, энофтальм, косоглазие, контрактура глазного яблока, слезотечение или дакриоцистит.

[3]

Основными этапами в комплексе лечебных мероприятий у больных с повреждениями костей лица, дна и стенок глазницы традиционно считаются остеотомия, репозиция и прочная фиксация костных фрагментов в правильном анатомическом положении. Однако при мелкооскольчатых переломах репозиция и фиксация костных фрагментов глазницы не являются завершающими этапами ее восстановления. Если не проводится пластика дна глазницы, то в отдаленном периоде формирующиеся рубцы приводят к вторичной деформации, развитию гипофтальма и энофтальма. У больных с посттравматическими деформациями скулоглазничной области из-за Рубцовых изменений и дефектов кости в области дна орбиты не представляется возможным добиться четкого анатомического соотношения между остеотомированными и репонированными фрагментами глазницы без проведения высокотехнологичной операции.

[4]

Одним из материалов, используемых при реконструкции глазницы, является аутотрансплантат (RU 94036817, RU 2283049, RU 2283049, RU 2330636, RU 2285471 и др.). Данный материал имеет существенные недостатки:

[5]

1) Необходимость нанесения дополнительной травмы пациенту при заготовке аутотрансплантата,

[6]

2) Возможность развития осложнений в донорской зоне (воспаление, невропатия, нарушение функции и т.д.),

[7]

3) Ограниченная возможность забора пластического материала (отказ пациента, противопоказания).

[8]

4) Непрогнозируемая резорбция аутокости.

[9]

Другим материалом, применяемым при реконструкции глазницы, является аллотрансплантат (заявка RU 2004106007). Недостатком данного материала является то, что применение аллотрансплантата (деминерализованная кость, брефокость и др.) требует согласие пациента на использование трупного материала и разрешение на его использование в медицине.

[10]

В последние годы в реконструктивной хирургии лица в качестве пластического материала используют металл или искусственный материал.

[11]

Чаще всего в качестве металла используют чистый титан или титановый сплав (RU 95108615, RU 95122139, RU 2299043, WO 2007142743, RU 2211010). Титан - химически инертный материал, но, как и любой металл, обладает достаточно высокой по сравнению с костной тканью человека теплопроводностью и электропроводностью. Известно, что металлические имплантаты вызывают гальвано-электрические тканевые реакции, приводящие к металлозу окружающих тканей и коррозии металла. На основании результатов использования металлических пластин установлено, что металлы вызывают резорбцию костной ткани.

[12]

Использование твердых искусственных материалов по патентам RU 2054912, RU 2283072 в реконструктивной челюстно-лицевой хирургии ограничено из-за сложности их моделирования и фиксации.

[13]

У керамических материалов (RU 2002113392, RU 2002113391) при накоплении дисперсных продуктов износа появляется негативная реакция окружающих тканей. Хрупкость керамики ограничивает сферу применения и вызывает резорбцию кости при прямом контакте.

[14]

Использование силиконовых трансплантатов (Бельченко В.А. «Черепно-лицевая хирургия: Руководство для врачей». - М.: ООО «Медицинское информационное агентство», 2006. Стр. 77.) в зоне орбиты имеет ограниченные показания, так как материал достаточно мягкий, что неприемлемо при пластике дна орбиты и требует создания поднадкостничного «кармана» или другого метода фиксации имплантата.

[15]

Оценивая результаты лечения больных с посттравматическими дефектами и деформациями глазницы с применением различных материалов, можно сделать вывод о необходимости дальнейшего поиска материала, используемого для пластики дна и стенок орбиты, обладающего минимальной реакцией со стороны окружающих тканей и относительно дешевого. А именно данный материал должен быть биосовместим, биостабилен (не подвергается процессу старения), прочен с одной стороны и моделируем - с другой, нетоксичен, с нулевой электропроводностью и низкой теплопроводностью, а также, не ограничивающий проведение диагностических и лечебных процедур (МРТ, физиотерапию и т.д.).

[16]

За прототип выбран известный твердый имплантат для пластики посттравматических дефектов и деформаций дна и стенок глазниц (патент RU 22111010 публ. 20.04.2003). Данный имплантат для реконструкции орбиты, содержит титановую перфорированную пластину, которая вполимеризована в гидрофильную полимерную композицию при следующем соотношении компонентов, мас.%: гидроксиэтилметакрилат 50-70, сшивающий агент 0,5-0,7, остальное - вода. Имплантат может дополнительно содержать биологически активные вещества, такие как антибиотики, антисептики, гемостатические средства, протеолитические ферменты, местные анестетики, антимикробные препараты в количестве 0,01-1%.

[17]

Недостатком прототипа является то, что в основе имплантата лежит металлическая пластина. После имплантации данного имплантата пациенту, в дальнейшем, возможны ограничения при выполнении электрофизиологических методов исследования (электроэнцефалография, реоэнцефалография), компьютерной томографии (КТ), магнитно-резонансной томографии (МРТ) и непереносимость СВЧ-излучения и других физиотерапевтических процедур. В ряде случаев пациент должен сменить профессию, особенно если она связана с пребыванием в зоне низких температур, так как происходит переохлаждение зоны имплантата. Гидрофильный материал, в который вполимеризована титановая пластина, при нахождении в жидкости набухает по всем направлениям, вследствие чего создается напряжение между титановой пластиной и гидрофильным полимером. Данное напряжение может привести к расхождению полимера и титановой пластины и уменьшению надежности их соединения. Гидрофильный материал, взаимодействуя в организме с лимфой и кровью, может быть потенциальным местом микробной контаминации и очагом бактериальных инфекций. Указанные недостатки, обусловленные материалом имплантата, несомненно, ухудшают качество жизни больного.

[18]

Задачей предлагаемого изобретения является уменьшение вероятности отторжения имплантата и снижения количества различных осложнений за счет повышения биосовместимых свойств материала.

[19]

Поставленная задача решается тем, что заявляемый имплантат для пластики посттравматических дефектов и деформаций дна и стенок глазницы в виде перфорированной твердой пластины сформирован путем фотоотверждения композиции, состоящей из следующих компонентов:

[20]

2,2-диметокси-фенилацетофенон следующего строения

[21]

[22]

2,4-дитретбутилортохинон следующего строения

[23]

[24]

олигоуретанметакрилат следующего строения

[25]

[26]

где n порядка 17,

[27]

олигокарбонатметакрилат следующего строения

[28]

[29]

диметакрилатдиэтиленгликольфталат следующего строения

[30]

[31]

феноксиэтилметакрилат следующего строения

[32]

[33]

метакриловая кислота следующего строения

[34]

[35]

динитрилазоизомасляная кислота следующего строения

[36]

,

[37]

пигмент,

[38]

при этом вышеуказанные компоненты взяты в следующем соотношении, мас.%:

[39]

2,2-диметокси-2-фенилацетофенон0,4-3,0
2,4-дитретбутилортохинон0,01-0,06
олигоуретанметакрилат15-50
олигокарбонатметакрилат10-50
диметакрилатдиэтиленгликольфталат3-15
феноксиэтилметакрилат10-30
метакриловая кислота5-10
динитрилазоизомасляная кислота0,003-0,03
пигмент0,1-1

[40]

Пигмент обеспечивает непрозрачную окраску имплантата, что позволяет ему быть визуализируемым для хирурга во время операции. Выбранные параметры компонентов и их весовое соотношение обеспечивают оптимальные физико-механические свойства материала, которые позволяют моделировать имплантат при нагревании (температура стеклования 70-90°С) с сохранением приданной формы после остывания, обеспечивают высокие прочностные и биосовместимые свойства материала. Материал является гидрофобным, а температура стеклования материала много выше температуры тела человека, что гарантирует сохранение физико-механических свойств имплантата в теле человека, а именно материал остается прочным, при фиксации не прорезывается и не разрывается. Перед имплантацией пластину нагревают до необходимой температуры и изгибают так, чтобы она конгруэнтно повторяла форму глазницы в месте ее дефекта, перекрывала дефект и поддерживала глаз в правильном анатомическом положении.

[41]

Предлагаемое изобретение отвечает критерию изобретения «новизна», так как проведенные патентно-информационные исследования не выявили источников патентной и научно-технической литературы, порочащих новизну предлагаемого материала.

[42]

Предлагаемое изобретение отвечает критерию изобретения «изобретательский уровень», так как не обнаружено аналогичного материала того же назначения.

[43]

Известен материал по патенту RU 2253482, применяемый в области офтальмохирургии для изготовления оптически прозрачных твердых искусственных хрусталиков глаза, полученный путем фотоотверждения композиции, содержащей

[44]

олигокарбонатметакрилат строения

[45]

CH2=C(CH3)-C(O)O(CH2)2-O-C(O)-O-(CH2)2-O-(CH2)2-O-C(O)-O-(CH2)2-O-С(O)-С(СН3)=СН2,

[46]

2,2-диметокси-фенилацетофенон строения

[47]

С6Н5-С(O)-С(СН3)26Н5,

[48]

2,4-дитретбутилортохинон строения

[49]

[50]

олигоуретанметакрилат строения с количеством оксипропиленовых групп n=30-35

[51]

CH2=C(CH3)-C(O)O(CH2)2-O-C(O)-NH-C6H5(CH3)-NH-C(O)-(-O-C(CH3)-CH2-)n-C(O)-NH-C6H5(CH3)-NH-C(O)-O-(CH2)2-O-C(O)-C(CH3)=CH2,

[52]

бензилметакрилат строения

[53]

[54]

при этом вышеуказанные компоненты взяты в следующем соотношении, мас.%:

[55]

2,2-Диметокси-2-фенилацетофенон 0,1-0,7

[56]

2,4-Дитретбутилортохинон 0,001-0,006

[57]

Олигоуретанметакрилат 12-18

[58]

Бензилметакрилат 8-12

[59]

Олигокарбонатметакрилат - Остальное

[60]

Однако материал по патенту RU 2253482 не обладает достаточной прочностью, что ограничивает его моделирование и применение для замещения костных дефектов.

[61]

Заявляемый имплантат формируют следующим образом:

[62]

светочувствительную композицию полимеризуют путем экспонирования светом с длиной волны 320-380 нм фотополимеризующейся композиции указанного состава. Отличительной особенностью такого способа производства является то, что процесс формирования изделия исключает какое-либо механическое воздействие на формируемое изделие. Любое механическое воздействие на полимер, как известно, провоцирует образование свободных радикалов, которые впоследствии приводят к деструкции полимера и нежелательным токсическим реакциям. Указанный материал обладает повышенной устойчивостью в биологически активных средах, повышенной устойчивостью к окислительным процессам и процессам адсорбции белков на поверхности, предотвращающий образование грубой соединительно-тканной капсулы. Благодаря используемой фотохимической технологии, по данным ЭПР, свободные радикалы отсутствуют.

[63]

Данное изобретение поясняется следующими примерами:

[64]

Пример 1: В реакционную колбу, снабженную мешалкой, последовательно вводят компоненты в следующем соотношении, г:

[65]

2,2-диметокси-2-фенилацетофенон1,51
2,4-дитретбутилортохинон0,015
олигоуретанметакрилат36,39
олигокарбонатметакрилат29,42
диметакрилатдиэтиленгликольфталат9,84
феноксиэтилметакрилат15,74
метакриловая кислота6,88
динитрилазоизомасляная кислота0,005
Пигмент0,2

[66]

Полученную смесь перемешивают при комнатной температуре до полного растворения 2,2-диметокси-2-фенилацетофенона и 2,4-дитретбутилортохинона. Имплантат изготавливают в стеклянных формах, состоящих из двух половинок, на одной из которых выполнен рисунок, например, из оксида железа с геометрическими размерами, точно соответствующими имплантату. На стеклянную половинку с рисунком прикрепляют ограничивающую рамку с заданной толщиной, равномерно распределяют композицию по внутреннему объему ограничивающей рамки и накрывают верхней стеклянной половинкой формы. Переносят собранную стеклянную форму в установку экспонирования, состоящую из источника УФ-света с длиной волны 320-380 нм и коллиматора, и проводят облучение в течение времени, необходимого для полного воспроизведения формы имплантата. После облучения форму разбирают, отделяя одну половинку формы от другой и удаляя ограничительную прокладку. Далее все операции выполняют с половинкой формы, на которой сформирован имплантат. Половинку формы с имплантатом помещают в установку проявления, состоящую из кюветы для проявителя объемом 200 мл, насоса, обеспечивающего циркуляцию проявителя, и форсунки, расположенной в крышке кюветы. Форму с имплантатом помещают в кювету, наливают проявитель - изопропиловый спирт, закрывают крышкой и включают насос. Во время проявления происходит удаление незаполимеризованной части фотоотверждаемого материала, который во время экспонирования находился под непрозрачными для УФ-света участками рисунка, выполненного на нижней половинке формы. После проявления имплантат высушивают в потоке теплого обеспыленного воздуха. Далее имплантат на половинке формы переносят в установку экспонирования, состоящую из источника УФ-света с длиной волны 320-380 нм и вакуумного насоса, обеспечивающего вакуум 10-1 мм рт.ст., и проводят стадию отжига, состоящую в дополнительном облучении имплантата. После дополнительного облучения трансплантат отделяют от формы. Получается имплантат с повышенной устойчивостью в биологически активных средах, повышенной устойчивостью к окислительным процессам и процессам адсорбции белков на поверхности, характеристики которого приведены в таблице 1.

[67]

Пример 2: В реакционную колбу, снабженную мешалкой, последовательно вводят компоненты в следующем соотношении, г:

[68]

2,2-диметокси-2-фенилацетофенон1,7
2,4-дитретбутилортохинон0,03
олигоуретанметакрилат25,05
олигокарбонатметакрилат39,38
диметакрилатдиэтиленгликольфталат14,05
феноксиэтилметакрилат12,78
метакриловая кислота6,88
динитрилазоизомасляная кислота0,01
Пигмент0,12

[69]

Формируют имплантат, как в примере 1. Характеристики приведены в таблице 1.

[70]

Пример 3: В реакционную колбу, снабженную мешалкой, последовательно вводят компоненты в следующем соотношении, г:

[71]

2,2-диметокси-2-фенилацетофенон1,23
2,4-дитретбутилортохинон0,02
олигоуретанметакрилат45,17
олигокарбонатметакрилат18,78
диметакрилатдиэтиленгликольфталат4,92
феноксиэтилметакрилат19,67
метакриловая кислота10,0
динитрилазоизомасляная кислота0,01
Пигмент0,2

[72]

Формируют имплантат, как в примере 1. Характеристики приведены в таблице 1.

[73]

Пример 4: В реакционную колбу, снабженную мешалкой, последовательно вводят компоненты в следующем соотношении, г:

[74]

2,2-диметокси-2-фенилацетофенон0,0192
2,4-дитретбутилортохинон0,0004
олигоуретанметакрилат54,8
олигокарбонатметакрилат15,05
диметакрилатдиэтиленгликольфталат13,1
феноксиэтилметакрилат10,05
метакриловая кислота5,78
динитрилазоизомасляная кислота0,0004
Пигмент1,2

[75]

Формируют имплантат, как в примере 1. Характеристики приведены в таблице 1.

[76]

Пример 5: В реакционную колбу, снабженную мешалкой, последовательно вводят компоненты в следующем соотношении, г:

[77]

2,2-диметокси-2-фенилацетофенон0,41
2,4-дитретбутилортохинон0,068
олигоуретанметакрилат10,5
олигокарбонатметакрилат60,5
диметакрилатдиэтиленгликольфталат2,5
феноксиэтилметакрилат20,0
метакриловая кислота5,992
динитрилазоизомасляная кислота0,03
Пигмент0

[78]

Формируют имплантат, как в примере 1. Характеристики приведены в таблице 1.

[79]

Таблица 1.
ТвердостьТемпература стеклования в пределах 70-90° СПрочностьТоксичность
1твердыйдапрочныйнет
2твердыйДапрочныйнет
3твердыйдапрочныйнет
4эластичныйнет, температура стеклования ниже 0°Спрорезывается при фиксациинет
5твердыйнет, температура стеклования выше 120°Схрупкийнет

[80]

Предлагаемый имплантат применен при лечении. Постоперационных осложнений не выявлено.

[81]

Клинические примеры:

[82]

Пример 1: Больной В., 37 лет, оперирован в отделении челюстно-лицевой хирургии по поводу перелома скулоорбитального комплекса и дна орбиты слева, двустороннего перелома нижней челюсти. Травму получил в быту 5 дней назад. (История болезни №62374).

[83]

При поступлении имелся отек и гематомы в левой скуловой области, левой орбиты и околонижнечелюстной области. При пальпации линий перелома определяется симптом «ступеньки» по нижнеглазничному краю и скулолобному шву, скулоальвеолярному гребню, болезненность при открывании рта. Имелась диплопия, онемение кожи подглазничной области. После предоперационной подготовки больной с использованием заявленного имплантата. Произведено обнажение линий перелома скуловой кости по скулолобному шву и нижнеглазничному краю через разрез кожи над линиями переломов. В зоне орбиты выполнен модифицированный трансконъюнктивальный разрез, затем проведена ревизия линий переломов и репозиция отломков скуловой кости и нижней стенки орбиты, освобождение ущемленных мышц глаза, и орбитальной клетчатки, затем остеосинтез титановыми мини-пластинами и винтами по скулолобному шву и нижнеглазничному краю. Следующим этапом являлось замещение имеющегося дефекта дна глазницы, путем укладывания на остатки костных стенок орбиты смоделированного предварительно в горячей воде заявляемого имплантата, затем его фиксация титановыми микровинтами и послойное ушивание раны. Проведена репозиция и остеосинтез перелома нижней челюсти в области восходящей ветви слева и тела справа титановыми мини-пластинами и винтами. Послеоперационный период протекал без осложнений, раны зажили первичным натяжением, диплопия устранена. Достигнут высокий косметический эффект. Глазное яблоко находится в правильном анатомическом положении. Больной выписан в удовлетворительном состоянии. При осмотре через 1, 3, 6 месяцев осложнений не выявлено.

Как компенсировать расходы
на инновационную разработку
Похожие патенты