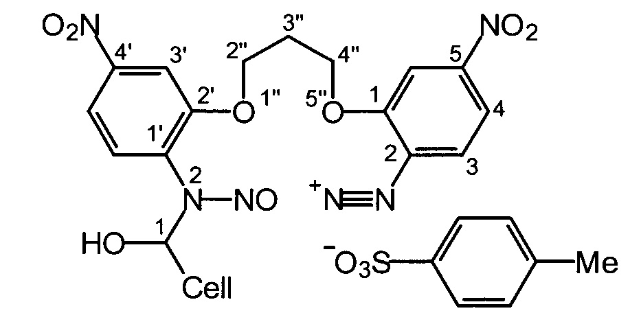
Настоящее изобретение относится к аналитической химии, конкретно к индикаторной полосе РИБ-Диазо-Тест для индикаторного средства по определению подлинности лекарственного вещества. Данная индикаторная полоса состоит из целлюлозы с закрепленным на ней индикатором, в качестве которого используют 1–гидрокси–2–нитрозо-2-{2'-[5''-(2-диазо-5-нитрофенил)-1'',5'-диоксапентил]-4-нитрофенил}-2-азаэтилцеллюлозы пара-толуолсульфат общей формулы. Технический результат – повышение избирательности хромогенной реакции индикаторной полосы с лекарственным веществом из групп антибиотиков, витаминов и нейротрансмиттеров, определяемой с помощью визуальной индикации. 2 ил., 1 табл., 6 пр.
Индикаторная полоса РИБ-Диазо-Тест для индикаторного средства по определению подлинности лекарственного вещества, состоящая из целлюлозы с закрепленным на ней индикатором, отличающаяся тем, что в качестве индикатора содержит 1–гидрокси–2–нитрозо-2-{2'-[5''-(2-диазо-5-нитрофенил)-1'',5'-диоксапентил]-4-нитрофенил}-2-азаэтилцеллюлозы пара-толуолсульфат общей формулы
.
Изобретение относится к аналитической химии, конкретно, к химическим индикаторам на твердофазных носителях, и может быть использовано для экспрессного определения подлинности поступающих в продажу лекарственных средств, способных к реакциям азосочетания с диазосоединениями в присутствии металлов, с глубоким цветовым переходом. Отличие в способе реакций с изменением цвета индикаторной полосы (ИП) с каждым лекарственным веществом, наблюдаемое визуально, позволяет идентифицировать лекарственное вещество, что имеет значение для фармацевтической промышленности и требуется в условиях клинической лаборатории, а также во внелабораторных условиях (аптеки, у постели больного). При просмотре научно-технической и патентной информации было выявлено, что суммарное содержание ЛВ, в молекулах которых содержатся фрагменты фенольных и анилиновых групп, из ряда антибиотиков, витаминов и нейротрансмиттеров определяют с помощью растворимых диазореагентов, вступающих в растворе в реакции азосочетания с этими ЛВ, с образованием азосоединений окрашенных в цвета, визуально малоразличимые между собой. Диазореагенты такого типа, применяемые в колориметрии, уже давно определены как не селективные [Scudi J.V. On the colorimetricderemination of vitamine B6. // J. Biol. Chem. 1941. 139: P. 707-720]. Если в пробе присутствуют кроме вышеуказанных анализируемых ЛВ еще фенолы и амины активные к азосочетанию с диазосоединением, необходимо их полное отделение, что осложняет метод анализа [Hochberg М., Melnick D., Oser B.L.J. Biol. Chem. 1944. 155: P. 109-117, 119]. Диазореагенты в реакциях с такими ЛВ с фотометрическим детектированием и в капельных реакциях (spot tests) относят к групповым, так как образующиеся из них азокрасители с одним и тем же реагентом практически не значительно различаются между собой по окраске. [Глущенко Н.Н., Плетнева Т.В., Попков В.А. Фармацевтическая химия. М.: Академия, 2004. 382 с.], [Calatayud J.M., Zamora L.L. Spectrophotometry: Pharmaceutical applications / Reference module in chemistry, molecular sciences and chemical engineering 2013. P. 9-13]. [Calatayud J.M. Spectrophotometry. Pharmaceutical applications / Encyclopedia of analytical science. 2nd ed. Под ред. Worsfold P., Townshend A., Poole C. Elsevier, 2005. P. 380-383]. Например, предложен способ одновременного колориметрического определения пиридоксина, синоменина и морфина (витамина, стероида и алкалоида), которые содержат подобные фенольным гидроксильные группы и были использованы как сочетающиеся компоненты в реакциях с диазотированным 4-амино-6-хлор-мета-бензендисульфонамидом. Недостатком данного способа является то, что электронные спектры поглощения трех продуктов азосочетания незначительно различались между собой по батохромным и гиперхромным сдвигам максимумов абсорбции [Urbanyl Т., Budavary S. Further applications of diazotized 4-amino-6-chloro-m-benzenedisulfonamide. // Journal of Pharmaceutical Sciences. 1968. V. 57. №8. P. 1386-1390]. Известны способы определения ЛВ, способных к азосочетанию с диазореагентами, с образованием азокрасителей, но для достоверности этих способов, образующиеся азокрасители далее на следующей стадии идентифицировали более сложными методами анализа: жидкостной [Abano Е.Е., Dadzie R.G. Simultaneous detection of water-soluble vitamins using the High Performance Liquid Chromatography (HPLC) - a review. // Croat. J. Food Sci. Technol. 2014. V. 6. №2. P. 116-123], бумажной хроматографии [Brown J.F., Marsh M.M. Paper chromatographic separation and determination of some water-soluble vitamins. // Analytical Chemistry. 1952. V 24 №12. P. 1952-1956]; проточно-инжекционного анализа со спектрофотометрическим детектированием [Monferrer-Pons L., Alvarez-Rodriguez L., Esteve-Romero J., Garcia-Alvarez-Coque M.C. Flow-injection analysis of pyridoxine hydrochloride by coupling with the diazonium ion of p-sulfanilic acid. // Analytical Letters. 2000. V. 33. №3. P. 539-552]. Общим недостатком методов определения ЛВ, включающих реакцию азосочетания, с использованием лабораторных приборов, является неудобство их применения во внелабораторных условиях. Известен твердофазный минеральный сорбент, с сорбированными на нем индикатором бромфеноловым синим и ионами железа (II). Способ определения пиридоксина заключается в том, что при концентрировании на этом сорбенте пиридоксина формируется окрашенное трехкомпонентное соединение при участии пиридоксина, ионов железа (II) и бромфенолового синего [Садомцева О.С., Фадеева М.В., Шакирова В.В., Уранова ВВ. // Метод качественного и количественного определения пиридоксина. // Пат. RU 2632629, 2016. Бюл. №28.]. Недостатками данного тест-средства является сложная процедура с центрофугированием и тремя стадиями анализа, на которые затрачивается 40 мин; при этом цветовой переход основан на принципе гипохромного и гипсохромного уменьшения окраски сорбента, т.е. практически его обесцвечивания, низкая селективность: такую же цветную реакцию дает смесь бромфенолового синего с железом (II) в присутствии гидроксиамино-арилсоединений, непригодность для внелабораторных условий; при этом способ определения пиридоксина проверен не прямым методом, а по приему «введено-найдено». Наиболее близким по технической сущности и взятым за прототип является индикаторная полоса, содержащая в качестве индикатора 4-мет-оксибензолдиазоний тетрафторборат, с помощью которой определялся N-метиланилин, как присадка в бензине. Недостатком этой полосы, как и вышеупомянутых диазосоединений, является то, что она может давать окраску со многими амино- и гидроксиароматическими соединениями [Островская В.М., Сергеев С.М., Шарапа О.В. Способ определения моно-метиланилина в автомобильном бензине индикаторным тестовым средством. Пат. RU 2489715. 2013. Бюл. 22]. Таким образом, каждый из известных способов определения ЛВ имеет свои преимущества и свою область применения, но не может обеспечить определение одного ЛВ с гидроксиарил- и/или аминоарилгруппой в присутствии веществ с такими же группами. В основу изобретения положена задача создания индикаторной полосы для индикаторного средства для селективного определения одного лекарственного вещества в присутствии других ЛВ. Предложение направлено на создание индикаторной полосы для реализации способа определения подлинности лекарственных препаратов. Конкретно с одной стороны был выбран ряд ЛВ из групп антибиотиков, витаминов и нейротрансмиттеров, вступающих в групповые неселективные реакции азосочетания с диазосоединениями; с другой стороны - индикаторная полоса на основе диазоарилцеллюлозы с координационной группой, с помощью которой можно было бы разработать селективные хромогенные реакции с этими ЛВ, которые позволили бы определить их подлинность. Технический результат изобретения - повышение избирательности хромогенной реакции индикаторной полосы с лекарственным веществом, определяемое с помощью визуальной индикации. Указанный технический результат достигается тем, что предложена индикаторная полоса РИБ-Диазо-Тест для индикаторного средства по определению подлинности лекарственного вещества, состоящая из целлюлозы с закрепленным на нем индикатором, в качестве индикатора содержит 1-гидрокси-2-нитрозо-2-{2'-[5''-(2-диазо-5-нитрофенил)-1'',5''-диоксапентил]-4'-нитрофенил}-2-азаэтилцеллюлозы пара-толуолсульфат общей формулы Определение подлинности лекарственного вещества проводят в присутствии иона металла, способного вступать в хромогенную реакцию комплексообразования с продуктом азосочетания индикаторной полосой РИБ-Диазо-Тест и лекарственного вещества. Целесообразно, что определение подлинности лекарственного вещества проводят в присутствии иона такого металла, как железо, золото, кадмий, кобальт, медь, никель, серебро, цинк, образующего окрашенное соединение с азопроизводным этого лекарственного вещества. Сущность изобретения состоит в том, что была создана индикаторная полоса на основе полимерного целлюлозного индикатора, в котором имеется диазогруппа, обеспечивающая реакцию азосочетания с ЛВ с образованием азосоединения, которое избирательно вступает на следующей стадии в реакцию комплексообразования с металлом с образованием окрашенного комплекса, причем металл для каждого лекарственного вещества должен быть выбран индивидуально. Изобретение проиллюстрировано фигурами 1-2: Фиг. 1. Индикаторная полоса РИБ-Диазо-Тест: А - вид сверху до тест-реакции, Б - вид сбоку, В - вид сверху после тест-реакции, 1 - реакционная индикаторная бумажная зона, 2 - полимерная державка, 3 - реакционная индикаторная бумажная зона, после проведения реакции, 4 - скрепляющий слой. Фиг. 2. Набор для определения подлинности пяти лекарственных веществ, указанных далее в Таблице, включающий в себя: пеналы с ИП, с белыми полимерными подложками и полоски для определения рН среды, а также капельницы с растворами ионов металлов: железа, золота, меди, никеля, серебра и капельницы с буферными растворами рН 5 и рН 8. Изобретение поясняется следующими примерами приготовления индикаторной полосы РИБ-Диазо-Тест и примерами ее использования для селективного определения ЛВ из ряда антибиотиков, витаминов и нейротрансмиттеров, способных к реакциям азосочетания. Пример 1. Изготовление индикаторной полосы РИБ-Диазо-Тест. Эпоксидированную хроматографическую бумагу [Островская В.М., Фомин Н.А., Аксенова М.С., Казакова Т.С., Попова Т.Д., Прищеп Е.Т. Способ получения эпокисдированной хроматографической бумаги. Пат. 1651204 RU. 1991. Бюл. 19], пропитывали 1%-ым раствором 1,5-бис(2-амино-5-нитрофенил)-1,5-диоксапентана в хлороформе [Островская В.М., Дьяконова И.А., Попонова Р.В., Козлова Н.И., Рябокобылко Ю.С., Филатова М.П. / Журн. Орг. Химии, 1989, Т. 25, №8. С. 1753-1758.], нагревали при 130°С, в течение 0.5 ч, затем промывали хлороформом «ч.». Получали реагентную бумагу на основе 1-гидрокси-2-нитрозо-2-{2'-[5''-(2-амино-5-нитрофенил)-1'',5''-диоксапентил]-4'-нитрофенил}-2-азаэтилцеллюлозы. Доказательством химического ковалентного закрепления 1,5-бис(2-амино-5-нитрофенил)-1,5-диоксапентана является то, что только после нагрева он не смывался с целлюлозы любыми растворителями. Далее реагентную бумагу обрабатывали раствором из 1%-ой соляной кислоты (HCl) и 0.2%-го натрия нитрита (NaNO2) при 0-2°С в течение 0.5 ч, реакционный раствор удаляли, затем бумагу обрабатывали 1%-ым водным раствором 4-толуолсульфокислоты, промывали водой и высушивали. Полученную бумагу на основе 1-гидрокси-2-нитрозо-2-{2'-[5''-(2-диазо-5-нитрофенил)-1'',5''-диоксапентил]-4'-нитрофенил}-2-азаэтилцеллюлозы 4-толуолсульфата, разрезали на ленты шириной 25 мм, прикрепляли вдоль края к полимерной пропиленовой белой ленте шириной 20 мм и заготовку разрезали поперек на полосы шириной 9,8±0,05 мм (фиг. 1) с помощью устройства размерной резки заготовок индикаторов на твердофазных носителях. [Островская В.М. Устройство размерной резки для получения кислотно-основных, реагентных и диагностических индикаторных полос. Пат. РФ на полезную модель №117853. //Бюл. 2012. №19]. Получали индикаторные полосы РИБ-Диазо-Тест (ИП) светло-желтого цвета. Пример 2. Определение подлинности лево-допа. На первой стадии раствор лево-допа (0.5 мл), [L-допа гидрохлорид, L-3-(3,4-дигидроксифенил)аланин гидрохлорид, Acros Organics, Бельгия] помещали на часовое стекло, добавляли буферный раствор до рН 6-7, помещали индикаторную бумажную зону ИП в раствор лево-допа. ИП окрашивалась в темно-оранжевый цвет. Затем, на второй стадии добавляли 20-50 мкл (1 каплю) стандартного раствора иона серебра. ИП окрашивалась в светло-коричневый цвет. Пример 3. Определение подлинности норадреналина (норэпинефрина). Процедуру проводили как в примере 2, с тем отличием, что к пробе норадреналина (Aldrich. Co., США) на второй стадии вместо ионов серебра добавляли ионы золота(III). На первой стадии ИП окрашивалась в светло-оранжевый цвет, на второй стадии - в светло-коричневый, в случае определения лево-допа и адреналина (эпинефрина) окраски с ионами золота не наблюдалось. Пример 4. Определение подлинности пиридоксина (витамина В6) в его аптечных препаратах. Процедуру проводили как в примере 2, с тем отличием, что к пробе пиридоксина (ООО «OZON» Россия) на второй стадии вместо ионов серебра добавляли ионы меди. На первой стадии ИП окрашивалась в красно-оранжевый цвет, на второй стадии - в сине-фиолетовый. Если в раствор пиридоксина добавляли раствор меди до взаимодействия с ИП, промежуточная стадия красно-оранжевого цвета не наблюдалась, а сразу же появлялась сине-фиолетовое окрашивание ИП. Такое окрашивание не наблюдалось для других испытанных нами ЛВ (Таблица). Пример 5. Определение подлинности фолиевой кислоты (витамина В9). Процедуру проводят как в примере 2, с тем отличием, что к пробе фолиевой кислоты (ОАО «Борисовский завод медицинских препаратов», г. Борисов, республика Беларусь) на второй стадии вместо ионов серебра добавляли ионы никеля. На первой стадии ИП окрашивалась в оранжевый цвет, на второй стадии - в светло-коричневый. Селективность данного определения подтверждена тем, что лево-допа, адреналин, норадреналин, и пиридоксин окраски с ионами никеля не давали. Кроме того, продукт азосочетания ИП с фолиевой кислотой являлся гексадентатным реагентом и вступал в цветные реакции не только с никелем, но и с ионами меди и серебра. Пример 6. Определение подлинности доксициклина. Процедуру проводят как в примере 2, с тем отличием, что к пробе доксициклина (РУП «Белмедпрепараты», г. Минск, Республика Беларусь) на второй стадии вместо ионов серебра добавляли ионы железа(III). На первой стадии ИП окрашивалась в оранжево-желтый цвет, на второй стадии - в светло-коричневый. Другие антибиотики: тетрациклин и амоксициллин с ИП образовывали азосоединения соответственно темно-желтого и желтого цвета, но окрашенных соединении с ионами железа(III) не давали. Обобщенные данные по определению подлинности пяти лекарственных веществ представлены в Таблице: «Цвета ИП в результате азосочетания с ЛВ с образованием ИП с азосоединением (ИП-Азо) и последующим комлексообразованием с ионами металлов». Примечание: * - Т - Темно; С - светло; Оранж. - оранжевый, оранжево; Кр. - красный; Ж - желтый; Ф - фиолетовый; К - коричневый. Предложен набор для определения подлинности пяти лекарственных веществ указанных в таблице (фиг. 2) Таким образом предложена индикаторная полоса РИБ-Диазо-Тест пригодная для использования в индикаторном средстве по избирательному определению подлинности лекарственных веществ из групп антибиотиков, витаминов и нейротрансмиттеров.
