патент
№ RU 2551539
МПК C07F5/02

СПОСОБ ПОЛУЧЕНИЯ БОРИРОВАННЫХ ПОРФИРИНОВ

Авторы:
Макаренков Антон Вадимович Кузьмин Владимир Александрович Шевелев Алексей Борисович
Все (6)
Номер заявки
2013136122/04
Дата подачи заявки
01.08.2013
Опубликовано
27.05.2015
Страна
RU
Как управлять
интеллектуальной собственностью
Реферат

Изобретение относится к способу получения карборанильных производных 5,10,15,20-тетрафенилпорфирина формулы I,Iгде R представляет-карборан или-карборан, которые получают при взаимодействии меркаптокарборана с 5,10,15,20-тетра(-трифторметансульфонилметилоксифенил)порфирином в условиях палладиевого катализа при кипячении в безводном толуоле при перемешивании в атмосфере инертного газа при комнатной температуре: последовательно добавляют диизопропилэтиламин (DIPEA), соответствующий меркаптокарборан, 1,1′-бис(дифенил-фосфино)ферроцен (dppf) и трис(дибензилиденацетон)дипалладий (Pd(dba)), после чего реакционную смесь кипятят в атмосфере Ar в течение нескольких часов, готовые продукты выделяют известными методами; 5,10,15,20-тетра(-трифторметансульфонилметилоксифенил)порфирин получают при взаимодействии 5,10,15,20-тетрагидроксипорфирина с ангидридом трифторметансульфоновой кислоты в среде хлористого метилена в атмосфере инертного газа. Технический результат: получение новых карборанильных производных 5,10,15,20-тетрафенилпорфирина, которые могут применяться в качестве противоопухолевых агентов в борнейтронозахватной терапии и фотодинамической терапии онкологических заболеваний. 1 ил., 2 пр.

Формула изобретения

Способ получения карборанильных производных 5,10,15,20-тетрафенилпорфирина формулы I,

I
где R представляет о-карборан или м-карборан, которые получают при взаимодействии меркаптокарборана с 5,10,15,20-тетра(n-трифторметансульфонилметилоксифенил)порфирином в условиях палладиевого катализа при кипячении в безводном толуоле при перемешивании в атмосфере инертного газа при комнатной температуре: последовательно добавляют диизопропилэтиламин (DIPEA), соответствующий меркаптокарборан, 1,1′-бис(дифенил-фосфино)ферроцен (dppf) и трис(дибензилиденацетон)дипалладий (Pd2(dba)3), после чего реакционную смесь кипятят в атмосфере Ar в течение нескольких часов, готовые продукты выделяют известными методами; 5,10,15,20-тетра(n-трифторметансульфонилметилоксифенил)порфирин получают при взаимодействии 5,10,15,20-тетрагидроксипорфирина с ангидридом трифторметансульфоновой кислоты в среде хлористого метилена в атмосфере инертного газа.

Описание

[1]

Область техники, к которой относится изобретение.

[2]

Изобретение относится к новым соединениям, а именно к карборанильным производным порфиринов, конкретно к карборанильным производным 5,10,15,20-тетрафенилпорфирина общей формулы I, и к способу их получения.

[3]

[4]

Указанные соединения наиболее эффективно могут быть использованы в качестве противоопухолевых агентов в борнейтронозахватной терапии (БНЗТ) и фотодинамической терапии (ФДТ) онкологических заболеваний.

[5]

Указанные соединения, их свойства и способ получения в литературе не описаны.

[6]

Существует много различных форм онкологических заболеваний, для которых доступные методы лечения неэффективны. По данным источника [1] комбинация хирургии с радиационным облучением опухоли приводит к излечиванию приблизительно 45% больных; химиотерапия приводит к выздоровлению около 5% больных. Около половины больных с выявленными злокачественными онкологических заболеваниями погибают от них. Повысить терапевтическую эффективность способен метод, обеспечивающий избирательность поражения опухоли при сохранении прилегающей критичной, нормальной ткани. Нейтрон-захватная терапия (НЗТ) является методом, удовлетворяющим указанным требованиям. Сущность этого метода состоит в том, что в опухоль вводится препарат, содержащий бор, гадолиний или другие элементы, обладающие значительным сечением захвата тепловых нейтронов. При последующем нейтронном облучении в результате захвата нейтронов в опухоли возникает мгновенное вторичное излучение, которое и поражает опухолевые клетки. В настоящее время в мире НЗТ имеет наибольшее применение при лечении опухолей мозга и меланомы и ряда других типов опухолей.

[7]

Использование НЗТ для ее лечения дает эффект на уровне 80-90% при пятилетней выживаемости. Можно ожидать, что НЗТ может стать эффективным методом лечения и многих других типов рака, таких как рак толстой и прямой кишки, простаты, молочной железы, легких и др. Для успешного применения НЗТ необходимо иметь: 1. Пучок тепловых нейтронов с плотностью потока порядка 109 н/см2×c. Для глубоко расположенных опухолей необходим пучок эпитепловых нейтронов с энергией ~10 кэВ. Поэтому технологию НЗТ развивают почти все страны, имеющие исследовательские реакторы. Наличие препарата с высоким содержанием бора, который обладал бы определенной туморотропностью и долгое время удерживался бы ней с тем, чтобы обеспечить концентрацию изотопа,10B, равную 35-40 мкг на грамм опухоли, является необходимой предпосылкой внедрения метода НЗТ в практику.

[8]

Уровень техники

[9]

Известны описания использования замещенных порфиринов для диагностики и лечения онкологических заболеваний, основанные на высокой туморотропности этого класса соединений.

[10]

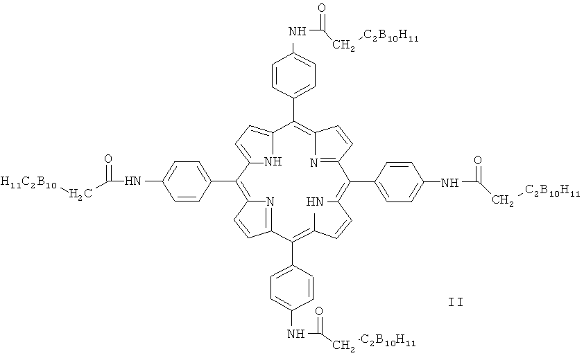
Известно соединение, структура которого аналогична структуре заявляемого соединения (Ol'shevskaya V.A., Zaitsev A.V., Luzgina V.N., Kondratieva T.T., Kononova E.G, Petrovskii P.V., Mironov A.F., Kalinin V.N., Shtil A.A. / Novel boronated derivatives of 5,10,15,20-tetraphenylporphyrin: Synthesis and toxicity for drug-resistant tumor cells // Bioorg. Med. Chem., 2006, Vol.42, pp.109-120) формулы II.

[11]

[12]

Соединение II получают путем взаимодействия хлорангидрида 9-o-карборанилуксусной кислоты и 5,10,15,20-тетракис(n-аминофенил)порфирина в растворителе: смеси хлористого метилена и пиридина в присутствии 4-диметиламинопиридина. Хлорангидрид 9-o-карборанилуксусной кислоты получают трудоемким 4-стадийным способом из o-карборана (Р.П. Евстигнеева, В.Н. Лузгина, В.А. Ольшевская, Л.И. Захаркин / Синтез o- и м-карбораносодержащих производных 5,10,15,20-тетра(n-аминофенил)порфирина // ДАН, 1997, Т.357, №5, С.637-639. Л.И. Захаркин, В.А. Ольшевская, Р.П. Евстигнеева, В.Н. Лузгина, Л.Е. Виноградова, П.В. Петровский / Синтез 5,10,15,20-тетра[3-(o- и м-карборанил)бутил]порфиринов, содержащих σ-связь С-В. // Изв. АН., Сер. хим., 1998, №2, С.347-349.).

[13]

Известны карборанилпорфирины общей формулы III, которые получают конденсацией Ротемунда карборановых бензальдегидов (получаемых многостадийным способом в жестких условиях) с пирролом при кипячении в пропионовой кислоте с выходом 30% (M.G.H. Vicente, B.F. Edwards, SJ. Shetty, Y. Hou, J.E. Boggan / Synthesis and Preliminary Biological Studies of Four meso-Tetra[(mVfo-carboranylmethyl)phenyl]porphyrins // Bioorg. Med. Chem., 2002, Vol.10, pp.481-492).

[14]

[15]

Хотя соединения формул II и III проявляют низкую темновую токсичность и нетоксичны для неопухолевых клеток в концентрациях до 100 мкмоль, их использование в медицине для БНЗТ и ФДТ вряд ли возможно, так как их получение представляет собой многостадийный процесс с низким выходам на нескольких стадиях.

[16]

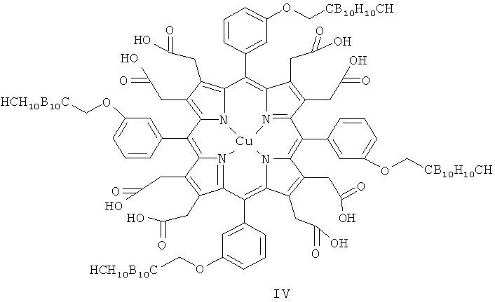
Известны металлокомплексы карборанилпорфиринов формулы IV, обладающие противоопухолевой активностью в отношении отдельных видов опухолей (М. Muira, P.L. Micca, C.D. Fisher, C.R. Gordon, J.C. Heinrichs, D.N. Slatkin / Evaluation of Carborane-Containing Porphyrins as Tumour Targeting Agents for Boron Neutron Capture Therapy // The British Journal of Radiology, 1998, vol.71, pp.773-781).

[17]

[18]

Известны металлокомплексы карборанилпорфиринов, обладающие противоопухолевой активностью (патент РФ №2236411), но высокая темновая токсичность ограничивает возможности их использования в БНЗТ и ФДТ.

[19]

Известны металлопорфирины, которые могут быть использованы в качестве радиосенсибилизаторов в лучевой терапии рака (патент РФ №2310447).

[20]

Особенно перспективными в этом отношении являются комплексы порфиринов с переходными металлами. В патенте «Иттербиевые комплексы тетрапиразолилпорфиринов как флуоресцентные метки для диагностики злокачественных новообразований» [2], являющемся ближайшим аналогом нашей разработки, приводятся методы получения металлокомплексов порфиринов и их использования в диагностике онкологических заболеваний. В источнике [3] указывается, что комплексы порфиринов с иттербием обладают люминесценцией в ближней ИК-области спектра (960-1040 нм), соответствующей переходам 2F5/22F7/2. В этой связи подобные ИКП представляют интерес для решения медицинских задач. Спектры люминесценции биологических объектов регистрируют в ближней ИК-области спектра (900-1050 нм) [4]. В патенте США [5] описан способ синтеза водорастворимых металлокомплексов тексафиринов (расширенные порфирины с 5 атомами азота) с рядом лантаноидных элементов. В патенте США [6] комплексы тексафиринов с ионами Gd использовали для ФДТ и ЯМР-томографии, а также испытывали их in vivo в дозе 10 мг/кг веса мышей и in vitro на культуре клеток. Соединения селективно накапливаются в опухоли, что позволяет эффективно поражать ее облучением через 7 дней после введения препарата. В патенте Германии [7] металлокомплексы порфиринов с лантаноидами, синтезированные на основе производных тетрафенилпорфирина и содержащие различные органические основания, аминокислоты или амиды аминокислот, использовались для выявления опухолей с помощью ЯМР, рентгенографии, фото- и радиодиагностики, а также для ФДТ. Известен также патент РФ [8], где в качестве контрастных веществ использованы иттербиевые комплексы 2,4-диметоксигематопорфирина IX, тетрасульфофенилпорфирина и 5,10,15,20-тетракис(4-карбоксифенил)порфирина.

[21]

Ни один из перечисленных методов не предназначен для введения в молекулы порфиринов атомов10B, что не позволяет использовать их для получения препаратов для НЗТ. В то же время данные этих работ демонстрируют высокую туморотропность порфиринов, что позволяет с успехом использовать их в качестве адреса для доставки атомов бора в опухоль при условии введения в них многоядерных борных кластеров-карборанов.

[22]

Техническим результатом изобретения является создание новых соединений, используемых в качестве носителя атомов10B для НЗТ злокачественных новообразований, которые позволяют увеличить генотоксичность препарата, снизить дозы вводимого препарата при сохранении высоких значений коэффициента контраста (отношение содержания порфирина в опухоли к содержанию порфирина в соседней здоровой ткани).

[23]

Осуществление изобретения

[24]

Задача изобретения решается карборанильными производными 5,10,15,20-тетрафенилпорфирина формулы I, содержащих гидролитически устойчивую сульфидную связь, в которых R выбран из группы меркаптокарборана с 5,10,15,20-тетра(n-трифторметансульфонилметилоксифенил)порфирином в условиях палладиевого катализа при кипячении в безводном толуоле при перемешивании в атмосфере инертного газа с последующим выделением готовых продуктов известными методами.

[25]

Реакцию осуществляют по следующей схеме:

[26]

[27]

Выходы заявляемых соединений составляют 80-90%. Реакции проводят в атмосфере инертного газа, такого как аргон или азот. Исходные вещества и реагенты, необходимые для синтеза заявляемых соединений, являются коммерчески доступными, например 5,10,15,20-тетракис(4-гидроксифенил)порфирин (Aldrich, 477567),), o-карборан (Aldrich, 288187).

[28]

Изобретение иллюстрируется конкретными примерами его осуществления, приведенными ниже.

[29]

Пример 1. Получение 5,10,15,20-тетракис(n-трифторметансульфонил метилоксифенил)порфирина (Фиг.1). К суспензии 100 мг (0,147 ммоль) порфирина 1 в 20 мл сухого хлористого метилена в атмосфере аргона прибавляют 0,1 мл пиридина (1 ммоль), затем при температуре -15°C по каплям приливают 0,282 мл раствора ангидрида трифторметансульфоновой кислоты (1 ммоль) в 1 мл хлористого метилена. Раствор перемешивают при комнатной температуре 24 часа, осадок отфильтровывают, растворитель отгоняют в вакууме, продукт очищают колоночной хроматографией в системе хлороформ - гептан 2:1. Выход 177 мг (90%). Спектр1H ЯМР (δ, м.д., CDCl3): 8.81 (c, 8H, β-пиррол), 8.29 (д, J=8,68 Гц, 8H, o-Ph), 7.70 (д, J=8,68 Гц, 8Н, м-Ph), -2.89 (c, 2H, NH). Спектр19F ЯМР (δ, м.д., CDCl3): -72.55 (с, 12F).

[30]

Пример 2. Получение карборанилпорфиринов (Фиг.1, соединения 3 и 4). В 10 мл абсолютного толуола растворяют 60 мг (0,0497 ммоль) 5,10,15,20-тетракис(n-трифторметансульфонилметилоксифенил)порфирина, затем последовательно добавляют 8 мкл (0,0597 ммоль) диизопропилэтиламина (DIPEA), 43 мг (0,248 ммоль) соответствующего 9-меркаптокарборана, 2,2 мг (0,0039 ммоль) 1,1'-бис(дифенилфосфино)ферроцена (dppf) и 1,9 мг (0,0020 ммоль) трис(дибензилиденацетон)дипалладия (Pd2(dba)3). Реакционную смесь кипятят в атмосфере Ar в течение 12 часов, растворитель отгоняют в вакууме, продукт очищают колоночной хроматографией на силикагеле в системе хлороформ - гептан 3:1.

[31]

5,10,15,20-Тетракис[n-(м-карборан-9-ил)тиофенил]порфирин (Фиг.1, соединение 3). Выход: 52 мг (80%). ИК-спектр, (ν, см-1): 2589 (вал. BH). Спектр1H ЯМР (δ, м.д., CDCl3): 8.86 (с, 8H, β-пиррол), 8.09 (д, J=7.31 Гц, 8Н, o-Ph), 7.90 (д, J=7.31 Гц, 8Н, м-Ph), 3.04 (уш.с., 8H, CH карборана), -2.83 (с, 2Н, NH). Спектр11B ЯМР (5, м.д., CDCl3): 0.97 (с, 1B, B9), -6.14 (д, 2B, J=148 Гц), -9.43 (д, IB, J=155 Гц), -12.89 (д, 2B, J=145 Гц), -13.76 (д, 3B, J=169 Гц), -17.42 (д, 1B, J=182 Гц).

[32]

5,10,15,20-тетракис[n-(o-карборан-9-ил)тиофенил]порфирин (Фиг.1, соединение 4). Выход: 55 мг (85%). ИК-спектр, (ν, см-1): 2599 (вал. BH). Спектр1H ЯМР (δ, м.д., CDCl3): 8.89 (с, 8Н, β-пиррол), 8.15 (д, J=7.30 Гц, 8H, o-Ph), 7.85 (д, J=7.30 Гц, 8Н, м-Ph), 4.68 (уш.с, 4H, CH карборана), 4.59 (уш.с., 4H, CH карборана) -2.76 (с, 2Н, NH). Спектр11B ЯМР (δ, м.д., CDCl3): 7.07 (с, 1B, B9), -2.86 (д, 2B, J=144 Гц), -8.88 (д, 3B, J=147 Гц), -14.52 (д, 4B, J=177 Гц).

[33]

Все полученные карборанильные производные представляют собой микрокристаллы темно-красного цвета, хорошо растворимые в диметилсульфоксиде ацетоне, ацетонитриле, хлороформе, хлористом метилене.

[34]

Соединения Ia, b не вызывали гибель клеток в концентрациях до 25 мкМ в течение 72 час, поэтому они могут быть применимы для ФДТ, а высокое содержание бора делает их перспективными для БНЗТ.

[35]

Графические изображения

[36]

Фиг.1

[37]

[38]

Краткое описание графических изображений

[39]

Фиг.1. Структурные формулы производных порфирина, служащих промежуточными соединениями при введении борных кластеров:

[40]

1. Исходный 5,10,15,20-тетракис(4-гидроксифенил)порфирин.

[41]

2. 5,10,15,20-Тетракис(п-трифторметансульфонилметилоксифенил)порфирин.

[42]

3. Карборанилпорфирины

[43]

Источники информации

[44]

1. Scully С, Porter S. Oral cancer // BMJ. 2000. 321(7253): 97-100.

[45]

2. Румянцева В.Д., Маркушев В.М., Панас А.И. и др. Иттербиевые комплексы тетрапиразолилпорфиринов как флуоресцентные метки для диагностики злокачественных новообразований // Патент РФ №2372099. Опубл. 10.11.2009.

[46]

3. Соловьев К.Н., Цвирко М.П., Качура Т.Ф. Внутримолекулярная миграция энергии в комплексах лантаноидов с порфиринами // Оптика и спектр. 1976; Т.40. 4. C.684-690.

[47]

4. Таубер А.Ю., Нижник А.Н., Миронов А.Ф., Гайдук М.И., Григорьянц В.В. Фотофизическая активность порфириновых сенсибилизаторов в водных растворах // Биофизика. 1989. Т.34. 3. С.364-367.

[48]

5. Mody T.D., Galanter J. // Патент США 7112671, кл. МПК C07D 487/22, НКИ 540/145, опубл. 26.09.06.

[49]

6. Sessler J.L, Gregory W.H., Mody T.D. // Патент США 5994535, кл. МПК C07D 487/22, НПК 540/472, опубл. 30.11.1999.

[50]

7. Niedball U., Gries Н., Conrad J. At al. // Заявка ФРГ 3809671, кл. МПК C07D 487/22, выложена 28.09.89.

[51]

8. Румянцева В.Д., Миронов А.Ф., Сапронова Е.В. и др. Способ исследования малигнизации тканей у экспериментальных животных // Патент РФ №1621720 опубл. 09.07.1995.

Как компенсировать расходы
на инновационную разработку
Похожие патенты