патент
№ RU 2516607
МПК H04R1/44

СПОСОБ ОПРЕДЕЛЕНИЯ ПРОСТРАНСТВЕННОГО СМЕЩЕНИЯ АКУСТИЧЕСКОГО ЦЕНТРА ГИДРОФОНА ОТНОСИТЕЛЬНО ЕГО ГЕОМЕТРИЧЕСКОГО ЦЕНТРА

Авторы:
Исаев Александр Евгеньевич
Номер заявки
2012151605/28
Дата подачи заявки
04.12.2012
Опубликовано
20.05.2014
Страна
RU
Как управлять
интеллектуальной собственностью
Чертежи 
1
Реферат

Изобретение относится к области гидроакустики и может быть применено при измерениях с использованием фазовых характеристик чувствительности гидроакустических преобразователей, использовании преобразователей в многоэлементной гидроакустической антенне либо фазированной антенной решетке. Техническим результатом, полученным от внедрения изобретения, является повышение точности определения положения акустического центра гидрофона. Для достижения поставленного технического результата гидрофон и излучатель располагают в измерительном бассейне, ориентируя гидрофон опорным направлением на излучатель, облучают гидрофон сигналами излучателя и принимают сигнал гидрофоном, затем, не меняя положения геометрического центра гидрофона относительно излучателя, разворачивают гидрофон на 180°, принимают сигнал излучателя и измеряют изменение временной задержки сигнала, принятого гидрофоном, при изменении направления приема с опорного на противоположное опорному, смещение акустического центра гидрофона относительно геометрического центра в направлении приема рассчитывают как произведение полученной временной задержки на скорость звука в воде. 2 ил.

Формула изобретения

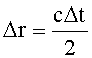
Способ определения пространственного смещения акустического центра гидрофона относительно его геометрического центра, заключающийся в том, что гидрофон и излучатель располагают в испытательном бассейне, ориентируя гидрофон опорным направлением на излучатель, с помощью которого излучают сигнал заданной частоты, который принимают гидрофоном, отличающийся тем, что после приема гидрофоном сигнала излучателя гидрофон поворачивают вокруг его оси на 180°, обеспечивая неизменность положения геометрического центра гидрофона относительно исходного положения, и ориентируют на излучатель направлением, противоположным опорному, при этом повторно излучают сигнал заданной частоты и принимают гидрофоном сигнал излучателя, затем определяют изменение временной задержки Δt сигнала, принятого гидрофоном до и после поворота на 180°, причем смещение Δr акустического центра гидрофона относительно геометрического центра в опорном направлении гидрофона вычисляют по формуле:
Δr=cΔt2,
где с - скорость звука в воде.

Описание

[1]

Изобретение относится к области гидроакустики и может быть применено при измерениях с использованием фазовых характеристик чувствительности гидроакустических преобразователей, при использовании преобразователей в гидроакустических фазированных антенных решетках, а также для контроля качества при производстве измерительных гидрофонов.

[2]

Задача точного определения положения акустического центра гидрофона неизменно возникает при градуировке гидрофона, измерениях с использованием фазовой характеристики гидрофона, использовании гидрофона в многоэлементной антенне либо фазированной решетке. Задача обусловлена тем, что гидрофон представляет собой физическое тело определенных размеров и формы, а не геометрическую точку. Неопределенность положения акустического центра вызывает погрешность определения фазовой характеристики гидрофона, которая пропорциональна частоте и с возрастанием частоты может увеличиваться до неприемлемо больших величин.

[3]

Известен способ того же назначения, принятый за прототип:

[4]

1. Градуировка гидрофонов. Международная электротехническая комиссия. Стандарт МЭК. Публикация 565 (565 А). Издание первое 1977. Издательство стандартов. - М. - 1981.

[5]

2. Исаев А.Е. Точная градуировка приемников звукового давления в водной среде в условиях свободного поля. ISBN 978-5-903232-10-9. Монография. - Менделеево: ФГУП «ВНИИФТРИ». - 2008, стр.30-34.

[6]

Известный способ заключается в том, что гидрофон и излучатель располагают в испытательном бассейне, ориентируя гидрофон опорным направлением на излучатель, с помощью которого излучают сигнал заданной частоты, который принимают гидрофоном. Положение акустического центра гидрофона определяют по экспериментальной зависимости звукового давления Р от расстояния r между излучателем и гидрофоном. Для этого на гидрофоне устанавливают опорную точку (например, принимают в качестве опорной точки положение геометрического центра активного элемента гидрофона). Относительно этой точки устанавливают расстояния между излучателем и гидрофоном и измеряют зависимость Р(r). По полученным экспериментальным данным строят график зависимости Р-1(r) и прямую линию, дающую наилучшее приближение зависимости P-1(r). Точку пересечения полученной прямой оси расстояний используют для определения смещения опорной точки относительно акустического центра гидрофона.

[7]

Наилучшим образом известный способ проявляет себя на средних частотах, когда, с одной стороны, отношение сигнал/шум достаточно высокое, с другой стороны, малы искажения звукового поля, вызванные источниками рассеяния на преобразователях и подводных конструкциях системы позиционирования, а неточность системы позиционирования приводит к относительно небольшим ошибкам фазового угла чувствительности гидрофона. Использование экспериментальной зависимости звукового давления от расстояния может обеспечивать приемлемую точность определения положения акустического центра гидрофона для модуля чувствительности, при этом погрешность фазового угла на высоких частотах оказывается неприемлемо большой.

[8]

Техническим результатом, получаемым от внедрения изобретения, является устранение отмеченного недостатка прототипа, т.е. повышение точности определения положения акустического центра гидрофона.

[9]

Данный технический результат достигают за счет того, что в известном способе, в котором гидрофон и излучатель располагают в испытательном бассейне, ориентируя гидрофон опорным направлением на излучатель, с помощью которого излучают сигнал заданной частоты, который принимают гидрофоном, после приема гидрофоном сигнала излучателя гидрофон поворачивают вокруг его оси на 180°, обеспечивая неизменность положения геометрического центра гидрофона относительно исходного положения, и ориентируют на излучатель направлением, противоположным опорному, при этом повторно излучают сигнал заданной частоты и принимают гидрофоном сигнал излучателя, затем определяют изменение временной задержки Δt сигнала, принятого гидрофоном до и после поворота на 180°, причем смещение Δr акустического центра гидрофона относительно геометрического центра в опорном направлении гидрофона вычисляют по формуле:

[10]

Δr=cΔt2,

[11]

где с - скорость звука в воде.

[12]

Изобретение поясняется чертежами. На фиг.1 представлена схема эксперимента по определению смещения акустического центра гидрофона относительно геометрического центра в опорном направлении гидрофона, на фиг.2 - осциллограмма для определения временной задержки Δt.

[13]

Существо способа заключается в том, что в измерительном бассейне (на чертеже не показан) располагают гидрофон и излучатель, при этом гидрофон ориентируют опорным направлением на излучатель.

[14]

Излучают сигнал заданной частоты, который принимают гидрофоном.

[15]

Затем гидрофон поворачивают вокруг его оси на 180° и ориентируют его на излучатель направлением, противоположным опорному. На чертеже указанный поворот изображен стрелкой. При повороте гидрофона принимают меры, исключающие смещение геометрического центра гидрофона относительно исходного положения. Так, например, для этих целей в гидрофон позиционируют по лучу лазера (Hayman G., Robinson S. Phase calibration of hydrophones by the free-field reciprocity method / Proc. of the 11th European Conference on Underwater Acoustics // Edinburgh, 2012, P.1437-1444).

[16]

Повторно излучают сигнал заданной частоты, принимают гидрофоном сигнал излучателя и определяют изменение временной задержки Δt сигнала, принятого гидрофоном до и после поворота на 180°, например, по осциллограмме (фиг.2).

[17]

Смещение Δr акустического центра относительно геометрического центра в опорном направлении гидрофона определяют по формуле.

[18]

Δr=cΔt2,

[19]

где с - скорость звука в воде. Положение акустического центра гидрофона определяют по смещению Δr.

[20]

Определенное подобным способом положение акустического центра применяют в качестве опорного центра гидрофона при измерениях с использованием фазового угла чувствительности для акустического центра гидрофона.

Как компенсировать расходы
на инновационную разработку
Похожие патенты