Изобретение относится к нефтедобыче и может быть использовано при кислотных, щелочных и других видах обработок пласта. Технический результат - широкий диапазон совместимости с водной и нефтяной фазами, низкая высаливающая способность, высокая технологическая эффективность для снятия водной блокады, совместимость с пластовой водой, улучшение экологии. Взаимный растворитель для обработки призабойной зоны пласта содержит, мас.%: метанол 18-30; этилцеллозольв 22-37; неопентилполиол или его производное 0,5-5; ацетон - остальное. 1 з.п. ф-лы, 3 табл., 17 пр.
1. Взаимный растворитель для обработки призабойной зоны пласта, содержащий ацетон, метанол и этилцеллозольв, отличающийся тем, что он дополнительно содержит неопентилполиол или его производное, имеющее в составе молекулы неопентильный фрагмент, при следующем отношении компонентов, мас.%: 2. Взаимный растворитель по п. 1, отличающийся тем, что в качестве неопентилполиола он содержит 2,2-диметилолпропан (неопентилгликоль) или триметилолпропан (этриол) или их производные, имеющие в составе молекулы неопентильный фрагмент.метанол 18-30 этилцеллозольв 22-37 неопентилполиол или его производное 0,5-5 ацетон остальное.
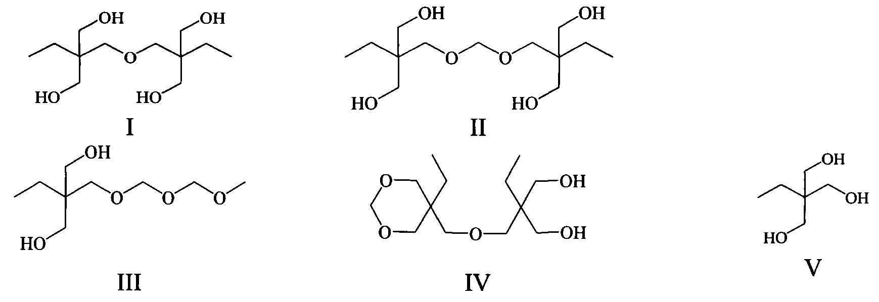
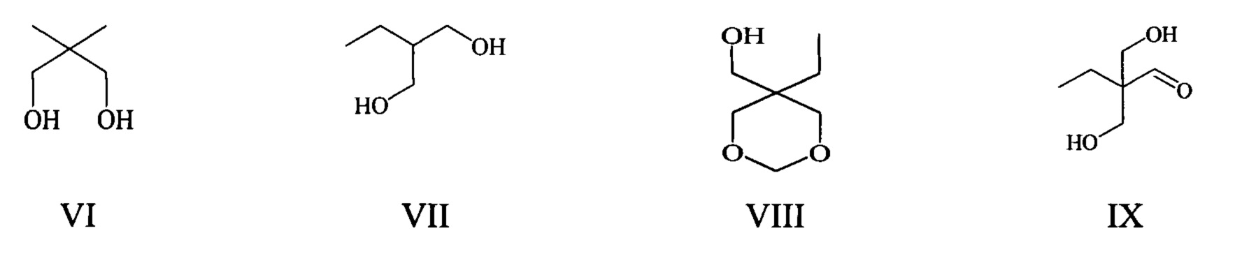
Настоящее изобретение относится к нефтедобыче, а именно, к взаимному растворителю для обработки призабойной зоны пласта, предназначенному для повышения продуктивности добывающих скважин при кислотных, щелочных и других видах обработок, например, при задавке ингибитора солеотложения в пласт. Взаимные растворители - соединения или композиции, обладающие широким диапазоном растворимости, как в нефтяной, так и в водной фазах. Взаимные растворители снижают поверхностное натяжение водных растворов на границе с углеводородами, что способствует созданию гомогенной системы при контакте и смешивании пластовых и закачиваемых флюидов, предотвращая образование эмульсий, блокирующих каналы фильтрации. При кислотных обработках взаимный растворитель снижает активность кислоты, способствуя снижению скорости взаимодействия кислоты с породой, увеличивая тем самым глубину обрабатываемой зоны и замедляя вторичное осадкогелеобразование продуктов реакции. При обработках призабойной зоны и задавках ингибиторов солеотложений возникает риск изменения водо- и нефтенасыщенности пластов со значительным снижением фазовой проницаемости коллекторов по нефти. Возникает также риск отложения осадков при применении жидкостей глушения, что приводит к существенному снижению коэффициента продуктивности скважин. Использование взаимного растворителя в обработках скважин для предотвращения солеотложения позволяет очищать обрабатываемые поры и каналы фильтрации от пластовой воды и нефти, удалять с поверхности породы рыхлосвязанную воду и пленку нефти. Это приводит к увеличению площади поверхности, контактирующей с ингибитором солеотложения, обеспечивая подготовку пласта для более высокой сорбции ингибитора на породе пласта с последующей медленной и полной его десорбцией. Описаны способы обработки призабойной зоны пласта с применением взаимного растворителя, в качестве которого используют алкилцеллозольвы (бутил-, этилцеллозольв) или их композиции с изопропиловым спиртом (RU 2187634 С2, опубл. 20.08.2002), диоксаном, диметиловым эфиром этиленгликоля, метиловым эфиром пропиленгликоля и некоторыми другими (RU 2211325 С1, опубл. 27.08.2003). Известны также рецептуры взаимных растворителей, включающие, наряду с упомянутыми выше смесями (целлозольвов, диоксана, алифатического кетона и низших спиртов), добавки высших жирных спиртов и полиспиртов. Так, предложена многокомпонентная смесь, включающая бутилцеллозольв, изопропиловый спирт и дополнительно высшие жирные спирты С6-С10, в частности, октиловый спирт. US 4919827 А, опубл. 24.04.1990. Недостатками этого типа взаимных растворителей является небольшой интервал совместимости с водной и нефтяной фазами, обусловленный, в том числе, применением высших жирных спиртов, которые в воде практически нерастворимы. Полиспирты, запатентованные в качестве компонентов взаимных растворителей, представлены исключительно гликолями. Например, заявлена рецептура взаимного растворителя на основе бутилцеллозольва, монометилового эфира дипропиленгликоля, низших спиртов (метанола, этанола и изопропанола), с добавками полиспиртов, представленных гликолями: этиленгликолем, пропиленгликолем и их олигомерами. WO 2010150120 А1, опубл. 01.05.2003. Аналогично, в ряде патентов указывают, что в качестве полиспирта применяют гликоли: этиленгликоль (RU 2398003 С1, опубл. 27.08.2010, пример 9), пропиленгликоль, диэтиленгликоль, дипропиленгликоль, полиэтиленгликоль, полипропиленгликоль (RU 2627787 С2, опубл. 27.01.2015). Из информации, приведенной в патенте RU 2411275 С1, опубл. 10.02.2011, следует, что полиспирты, применяемые в качестве компонентов взаимного растворителя, представлены моно-, ди-, три-, тетра- и пентагликолями. Недостатками такого рода взаимных растворителей является их сложный состав и небольшой интервал совместимости с водной и нефтяной фазами и с насыщенной солями пластовой водой. Наиболее близким по технической сущности к заявляемому является взаимный растворитель, рекомендованный для применения при кислотных, щелочных и других видах обработок призабойной зоны пласта, например, при задавке ингибитора солеотложения. Такой взаимный растворитель имеет следующий состав компонентов, об %: спирты (представлены низшими алифатическими спиртами и гликолями) 5-70, эфиры 12-60, алифатический кетон 10-50, азотсодержащее соединение или алкилсульфоксид - остальное. RU 2398003 С1, опубл. 27.08.2010. Недостатками этого взаимного растворителя являются сложность состава, а следовательно, и его высокая стоимость, а также небольшой интервал взаимной совместимости с водной и нефтяной фазами. Так, введение полигликоля (этиленгликоля) в композицию метанол/алкилцеллозольв/диоксан ухудшает совместимость с 2%-ным водным раствором NaCl с 21,6 до 7,0 об %, а совместимость с изооктаном с 20,5 до 0,1 об %. Технической задачей предлагаемого изобретения является создание рецептуры взаимного растворителя для обработки призабойной зоны пласта упрощенного состава с широким диапазоном совместимости с водной и нефтяной фазами, низкой высаливающей способностью, Технический результат от реализации изобретения заключается в обеспечении широкого диапазона совместимости с водной и нефтяной фазами, низкой высаливающей способности, высокой технологической эффективности для снятия водной блокады, совместимости с пластовой водой, улучшения экологических последствий применения. Технический результат достигается тем, что взаимный растворитель для обработки призабойной зоны пласта, содержащий ацетон, метанол и этилцеллозольв, согласно изобретению, дополнительно содержит неопентилполиол или его производное, содержащее в молекуле неопентильный фрагмент, при следующем содержании компонентов, масс%: метанол 18-30, этилцеллозольв 22-37, неопентилполиол или его производное, содержащее в молекуле неопентильный фрагмент 0,5-5, ацетон - остальное. Достижению технического результата также способствует то, что в качестве неопентилполиола он содержит 2,2-диметилопропан или триметилолпропан (этриол), или их производные, содержащие в молекуле неопентильный фрагмент. Указанные признаки весьма существенны. Заявленный взаимный растворитель имеет упрощенный по сравнению с ближайшим аналогом состав и, соответственно, меньшую стоимость. Он характеризуется широким диапазоном совместимости с водной и нефтяной фазами и низкой высаливающей способностью, обладает значимой технологической эффективностью для снятия водной блокады. В отличие от высших жирных спиртов, практически не растворимых в воде, растворимость неопентилполиолов, в частности, 2,2-диметилолпропана, удовлетворяет условиям совместимости как с водной, так и с органической фазами при температуре 50°С. Высоцкий М.П. и др. Выделение триметилолпропана и неопентилгликоля из водных растворов продуктов конденсации альдегидов С4 с формальдегидом методом экстракции. В сб.: Карбонилирование ненасыщенных углеводородов. Л., Химия, 1968, с. 250. Наличие неопентилполиола в составе взаимного растворителя обеспечивает, помимо этого, улучшение экологических последствий его применения: эти полиолы поддаются биоразложеиию, относятся к низкому классу опасности, не обладают потенциальной способностью к биоаккумуляции. Alcohols, Polyhydric. Ullmans Encyclopedia of Industrial Chemistry; Neopentylglycol. MSDS (Material Safety Data Sheet), Perstorp., v.2, p.275, 03.11.2017. Кроме того, эти продукты не обладают высокой степенью адсорбции на поверхности твердых взвешенных частиц и осадков (почва, порода, грунт), что отвечает основной задаче - очистке призабойной зоны и увеличению площади фильтрации. Достоинством заявляемого взаимного растворителя является, кроме того, тот факт, что эффективность, которую проявляет добавка неопентилполиола или его производного, содержащего в молекуле неопентильный фрагмент, проявляется при ее весьма небольшом содержании: 0,5-5 масс %. Таким образом, анализ отобранных в процессе поиска известных технических решений показал, что в науке и технике нет объекта, аналогичного по заявленной совокупности признаков и преимуществ, что позволяет сделать вывод о соответствии условиям патентоспособности "новизна" и "изобретательский уровень". В соответствии с изобретением, процесс получения взаимного растворителя заключается в смешении компонентов, которые берут в произвольной последовательности в количествах, соответствующих заданному составу. Осуществление настоящего изобретения иллюстрируют приведенные ниже примеры, которые не ограничивают объем притязаний, представленных в формуле изобретения. В составе заявленного взаимного растворителя допустимо суммарное содержание воды, вносимое с компонентами технического качества, не более 0,8 масс %. Характеристики компонентов заявляемого взаимного растворителя должны соответствовать научно-технической документации: Этилцеллозольв ГОСТ 8313-88; Метанол ГОСТ 6995-77 или ГОСТ 2222-95; Ацетон ГОСТ 2768-84; 2,2-Диметилолпропан ТУ 2422-013-53505711-2005. Пример 1. Совместимость взаимного растворителя с водным раствором NaCl и с изооктаном, определенная при отсутствии добавки неопентилполиола и его производных. Готовят взаимный растворитель, помещая в колбу Эрленмейера при комнатной температуре и атмосферном давлении при перемешивании метанол (30 г), ацетон (40 г) и этилцеллозольв (30 г). Смесь выдерживают при температуре 20°С в течение 30 мин при перемешивании. Получают взаимный растворитель (100 г) в виде однородного, прозрачного, бесцветного, стабильного во времени раствора. Совместимость взаимного растворителя с водным раствором NaCl определяют путем добавления взаимного растворителя к 2 мл солевого раствора; добавление проводят по каплям с помощью бюретки и прекращают при появлении мути. Совместимость определяют по отсутствию расслоения реагента и образования осадков при температуре 20 и 60°С в течение 1 ч. Испытания проводят с использованием раствора NaCl (ρ=1,012 г/мл) и раствора NaCl (ρ=1,180 г/мл) при температуре 20°С, как это описано в патенте RU 2411275 С1, опубл. 10.02.2011. Аналогично, совместимость взаимного растворителя с изооктаном определяют путем добавления к 2 мл изооктана взаимного растворителя, который вводят по каплям с помощью бюретки. Взаимный растворитель с органической фазой считают совместимым, если в смеси не наблюдается расслоения. Результат испытания взаимного растворителя в отсутствие добавки неопентилполиола представлен в таблице 1 (пример 1) Показано, что взаимный растворитель (BP) приведенного состава полностью совместим с 2 масс %-ным раствором NaCl (ρ=1,012 г/мл) и 24 масс %-ным раствором NaCl (ρ=1,180 г/мл) при объемном отношении 2 масс %-ного раствора NaCl : BP=1:(0-10) и 1:(0-4,2) соответственно и полностью совместим с изооктаном при объемных отношениях Изооктан : BP 1:2, 1:1 и 2:1. Примеры 2-13. Совместимость взаимного растворителя с водным раствором NaCl и с изооктаном, определенная в присутствии добавок неопентилполиолов и их производных. Опыты проводят, как описано в примере 1, но помимо метанола, ацетона и этилцеллозольва в смесь дополнительно вводят добавку неопентилполиола (таблица 1). Получают взаимный растворитель в виде однородного, прозрачного, бесцветного, стабильного во времени раствора. Результаты определения совместимости взаимного растворителя с водным раствором NaCl и совместимости взаимного растворителя с изооктаном показаны в таблице 1. Там же указан компонентный состав взаимного растворителя при использовании различных добавок неопентилполиольного типа. Добавки циклического формаля триметилолпропана (этриола), кубового остатка перегонки этриола и предэтриольной фракции (примеры 6, 7, 12, 13) представлены полиспиртами с неопентановым фрагментом в углеродном скелете, получаемыми в качестве побочных продуктов производства этриола (триметилолпропана) из н-бутираля и формальдегида. RU 2616 004 С1, опубл. 12.04.2017. Кубовый остаток перегонки этриола (примеры 7) - высококипящие побочные продукты процесса получения триметилолпропана (этриола), содержащие, преимущественно ди-триметилолпропан (I), линейный формаль этриола (II), метилполиформаль этриола (III), циклический формаль ди-триметилолпропана (IV) и другие с остаточным содержанием этриола (триметилолпропана) (V): Предэтриольная фракция (пример 13) - низкокипящие побочные продукты получения этриола, содержащие преимущественно: неопентилгликоль (VI), 1,1-диметилолпропан (VII), циклический формаль этриола (VIII), 2,2-диметилолбутираль (IX). Циклический формаль этриола (примеры 6 и 12) - побочный продукт (VIII) производства этриола, выделяемый как индивидуальное вещество. Примеры 2-13 свидетельствуют о широком интервале совместимости взаимного растворителя, содержащего добавки неопентилполиола и его производных, с водной и органической фазами и об их низкой высаливающей способности. Пример 14. Оценка технологической эффективности взаимного растворителя для снятия водной блокады при отсутствии добавки неопентилполиола. Фильтрационные эксперименты проводят на программно-измерительном комплексе для исследования фильтрационно-емкостных и электрических свойств керна ПИК-ОФП производства ЗАО «Геологика» (г. Новосибирск). Оказалось, что по технологической эффективности для снятия водной блокады фазовая проницаемость водонасыщенного керна по керосину после обработки взаимным растворителем с составом, указанным в примере 1 (т.е., в отсутствие добавки неопентилполиола или его производного), больше, чем до обработки на 48 отн %. Для сравнения, использование обычного промышленного взаимного растворителя марки (производства ООО "Мастер кемикалз") демонстрирует большую проницаемость водонасыщенного керна по керосину после обработки на 39 отн %, чем до обработки. Пример 15. Оценка технологической эффективности взаимного растворителя для снятия водной блокады в присутствии добавки неопентилполиола. Фильтрационные эксперименты проводят, как описано в примере 14, но при использовании взаимного растворителя с составом, указанным в примере 2 (т.е. в присутствии 2,2-диметилолпропана в количестве 0,5 масс %). По технологической эффективности для снятия водной блокады фазовая проницаемость водонасыщенного керна по керосину после обработки таким взаимным растворителем оказалась больше, чем до обработки, на 52 отн %. Пример 16. Совместимость взаимного растворителя с пластовой водой. Взаимный растворитель с составом по примеру 2 смешивают с пластовой водой в отношениях BP : Пластовая вода 1:9, 3:7, 5:5, 7:3, 9:1, тщательно перемешивают и выдерживают в термостате в течение 2 ч при комнатной температуре (25°С), затем при пластовой температуре 60°С также в течение 2 ч. Заключение о совместимости либо несовместимости делают по результатам визуального определения и фиксирования выпадения осадка, или образования взвешенных коллоидных хлопьев, или выделения реагента в отдельную фазу (эффект высаливания). За результат показателя совместимости принимается содержание взаимного растворителя в той смеси, которая по внешнему виду не отличается от пробы сравнения. Тестирование проводят при использовании пластовой попутно-добываемой воды Приобского месторождения следующего состава, мг/л: Са2+ - 290,6; Mg2+ - 79; K+ + Na+ - 2725; НСO3- - 2623; С1- - 7629; общая минерализация - 13346,6. Результаты определения совместимости взаимного растворителя с пластовой водой Приобского месторождения показаны в таблице 2. Оказалось, что все приготовленные растворы взаимных растворителей в пластовой воде при температуре 25°С гомогенные, бесцветные и прозрачные. Проба пластовой воды после термостатирования оставалась прозрачной, помутнения и выпадения осадка не происходило. Однако в растворах, в которых концентрация взаимного растворителя превышала 70 масс %, при выдерживании в течение 2 ч при температуре 60°С наблюдалось образование белого студенистого осадка. Следовательно, при температуре 60°С испытанный взаимный растворитель с пластовой водой Приобского месторождения совместим при концентрации растворителя в воде, не превышающей 70 масс %. Пример 17. Совместимость взаимного растворителя с нефтью. Образец взаимного растворителя с составом по примеру 2 и нефть Приобского месторождения смешивали в пробирках в объемном отношении 25:75, 50:50, 75:25, перемешивали и выдерживали в термостате при температуре 65°С в течение 2 ч. После термостатирования фиксировали количество отделившейся нефтяной фазы, затем каждую из пробирок отдельно фильтровали через сито 100 меш и проверяли наличие сгустков или осадка на сите. Под совместимостью взаимного растворителя с нефтью подразумевается отсутствие образования стойких эмульсий при смешении нефти и взаимного растворителя при пластовой температуре в различных объемных отношениях (25:75, 50:50, 75:25); отсутствие образования осадков АСПО при смешении нефти и взаимного растворителя при пластовой температуре в различных объемных отношениях (25:75, 50:50, 75:25). Результаты тестирования совместимости нефти Приобского месторождения с взаимными растворителем представлены в таблице 3. Оказалось, что при смешении нефти Приобского месторождения с взаимным растворителем с составом по примеру 2 в различных соотношениях не образуются стойкие эмульсии, осадки или взвеси не выпадают. Водонефтяная смесь легко фильтруется через ячейки сита, а остающаяся на сите пленка нефти и водной фазы промокается фильтровальной бумагой. Таким образом, заявляемый взаимный растворитель эффективен, имеет широкий диапазон совместимости с водной и нефтяной фазами, обладает низкой высаливающей способностью; при одновременном упрощенном составе, обладает высокой технологической эффективностью для снятия водной блокады, совместим с пластовой водой и обеспечивает улучшение экологических последствий его применения.



