патент
№ RU 2458342
МПК G01N29/06

СПОСОБ УЛЬТРАЗВУКОВОЙ ТОМОГРАФИИ И УСТРОЙСТВО ДЛЯ ЕГО ОСУЩЕСТВЛЕНИЯ

Авторы:
Самокрутов Андрей Анатольевич Соколов Никита Юрьевич Алёхин Сергей Геннадиевич
Все (4)
Номер заявки
2011120842/28
Дата подачи заявки
25.05.2011
Опубликовано
10.08.2012
Страна
RU
Как управлять
интеллектуальной собственностью
Чертежи 
2
Реферат

Использование: для ультразвуковой диагностики плоских металлоконструкций. Сущность: заключается в том, что выполняют излучение в объект контроля и прием из него ультразвуковых сигналов с помощью антенной решетки, фиксацию реализации ультразвуковых колебаний, принятых каждым элементом решетки при излучении ультразвукового сигнала независимо каждым ее элементом, и поточечное построение изображения внутренней структуры объекта путем выбора изо всех принятых реализаций тех фрагментов, времена задержки которых равны временам распространения ультразвуковых сигналов от излучающего элемента решетки к каждой визуализируемой точке объекта и от нее к приемному элементу, суммирования этих выбранных фрагментов для каждой точки изображения и записи результата суммирования, при этом, учитывая известную толщину объекта контроля, в результирующую сумму выбранных фрагментов реализаций для каждой точки изображения дополнительно включают выборки фрагментов, времена задержек которых равны временам распространения ультразвуковых сигналов, переотраженных от донной и внешней поверхностей объекта контроля на траекториях от излучающего элемента решетки к данной визуализируемой точке объекта и от нее к приемному элементу. Технический результат: повышение чувствительности к малым отражателям, а также повышение разрешающей способности. 2 н.п. и 1 з.п. ф-лы, 3 ил.

Формула изобретения

1. Способ ультразвуковой томографии, включающий в себя излучение в объект контроля и прием из него ультразвуковых сигналов с помощью антенной решетки, фиксацию реализации ультразвуковых колебаний, принятых каждым элементом решетки при излучении ультразвукового сигнала независимо каждым ее элементом, и поточечное построение изображения внутренней структуры объекта путем выбора изо всех принятых реализаций тех фрагментов, времена задержки которых равны временам распространения ультразвуковых сигналов от излучающего элемента решетки к каждой визуализируемой точке объекта и от нее к приемному элементу, суммирования этих выбранных фрагментов для каждой точки изображения и записи результата суммирования, отличающийся тем, что при известной толщине объекта контроля в результирующую сумму выбранных фрагментов реализации для каждой точки изображения дополнительно включают выборки фрагментов, времена задержек которых равны временам распространения ультразвуковых сигналов, переотраженных от донной и внешней поверхностей объекта контроля на траекториях от излучающего элемента решетки к данной визуализируемой точке объекта и от нее к приемному элементу.

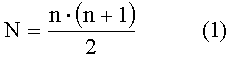
2. Устройство ультразвуковой томографии, содержащее антенную решетку с n приемно-передающими элементами, каждый из которых соединен с выходом соответствующего генератора импульсов и входом соответствующей цепочки последовательно соединенных усилителя и аналого-цифрового преобразователя, выход каждой из n указанных цепочек соединен с соответствующим входом памяти реализации, количество выходов которой - N определяется формулой
N=n·(n+1)/2,
выходы памяти реализации соединены с соответствующими входами вычислительного блока, связанного с дисплеем через память изображения, при этом входы синхронизации каждого генератора импульсов, памяти реализации, вычислительного блока и памяти изображения соединены с соответствующими выходами синхронизатора, отличающееся тем, что дополнительно введен соединенный с вычислительным блоком блок накопительной памяти, суммирующий для каждой точки изображения все фрагменты реализаций, времена задержки которых соответствуют временам распространения ультразвуковых сигналов как без отражений, так и с переотражениями их от границ объекта контроля.

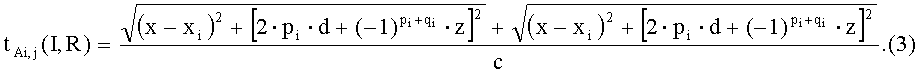
3. Устройство по п.2, отличающееся тем, что вычислительный блок для каждой точки изображения реализует функцию
, ,
где uA(t) - суммарный эхосигнал, принятый антенной решеткой из точки А(x, z) объекта контроля с координатами x, z;
i, j - номера излучающих и приемных элементов антенной решетки соответственно;
I, R - общее количество отражений ультразвукового сигнала от обеих границ объекта контроля на прямом пути от антенной решетки к точке А(x, z) и на обратном пути от точки А(x, z) к антенной решетке соответственно;
М - максимальное количество отражений ультразвукового сигнала от обеих границ объекта контроля отдельно на прямом и обратном путях распространения сигнала, используемое при реконструкции изображения;
ui,j - фрагмент реализации, полученной от элементов i, j антенной решетки;
t - текущее время;
tAi,j(I, R) - время задержки фрагмента ui,j реализации, содержащего сигнал, прошедший по траектории с общим количеством (I+R) отражений от обеих границ объекта контроля;
τu - длительность зондирующего импульса,
с последующим детектированием полученного результата для ввода сигнала в память изображения.

Описание

[1]

Изобретение относится к измерительной технике и может быть использовано при ультразвуковой диагностике плоских металлоконструкций определенной толщины.

[2]

Прототипом изобретения является способ ультразвуковой (УЗ) томографии, включающий в себя излучение в объект контроля (ОК) и прием из него УЗ сигналов с помощью антенной решетки (АР), фиксацию реализаций УЗ колебаний, принятых каждым элементом АР при излучении УЗ сигнала независимо каждым ее элементом, и поточечное построение изображения внутренней структуры ОК путем выбора изо всех принятых реализаций тех фрагментов, времена задержки которых равны временам распространения УЗ сигналов от излучающего элемента АР к каждой визуализируемой точке ОК и от нее к приемному элементу, суммирования этих выбранных фрагментов для каждой точки изображения и записи результата суммирования - статья В.А.Воронкова, И.В.Воронкова, В.Н.Козлова, А.А.Самокрутова, В.Г.Шевалдыкина «О применимости технологии антенных решеток в решении задач ультразвукового контроля опасных производственных объектов» в журнале «В мире неразрушающего контроля», 2011, №1 (51), с.64-70.

[3]

Прототипом изобретения-устройства является устройство УЗ томографии, реализующее указанный способ и содержащее АР с n приемно-передающими элементами, каждый из которых соединен с выходом соответствующего генератора импульсов и входом соответствующей цепочки последовательно соединенных усилителя и аналого-цифрового преобразователя, выход каждой из n указанных цепочек соединен с соответствующим входом памяти реализаций, количество выходов которой N определяется формулой:

[4]

N=n·(n+1)/2,

[5]

выходы памяти реализаций соединены с соответствующими входами вычислительного блока, связанного с дисплеем через память изображения, при этом входы синхронизации каждого генератора импульсов, памяти реализаций, вычислительного блока и памяти изображения соединены с соответствующими выходами синхронизатора - источник указан выше.

[6]

Недостатки прототипа - способа и устройства состоят в следующем:

[7]

- алгоритм реконструкции изображения основан на фокусировке апертуры АР в каждую точку визуализируемого сечения ОК в предположении того, что каждая точка материала рассеивает ультразвук во все стороны одинаково, т.е. алгоритм настроен на обнаружение малых в сравнении с длиной волны отражателей. Поэтому зеркально отражающие ультразвук несплошности материала, например, трещины с гладкими поверхностями, особенно ориентированные вертикально (перпендикулярно внешней поверхности) или под небольшими углами наклона относительно нормали к поверхности, могут быть пропущены. Внутренние вертикальные трещины отображаются на дисплее только как две точки, которые формируются эхосигналами от краев трещины, а сама поверхность трещины не видна;

[8]

- при контроле объектов с определенной толщиной, в частности, плит или пластин (а это - наиболее часто встречающиеся ОК), на изображении присутствуют несколько образов от одного и того же отражателя: один, самый верхний - реальный, остальные на кратных глубинах - мнимые, вызванные отражениями ультразвука от донной и внешней поверхностей ОК как от зеркал. Это усложняет изображение и делает его трудно интерпретируемым.

[9]

В связи с этим технической задачей, решаемой изобретениями - способом и устройством ультразвуковой томографии, является повышение чувствительности к малым отражателям, повышение разрешающей способности и получение вида изображения, адекватного реальному сечению ОК.

[10]

Задача решена в способе ультразвуковой томографии, включающем в себя излучение в объект контроля и прием из него УЗ сигналов с помощью антенной решетки, фиксацию реализаций УЗ колебаний, принятых каждым элементом решетки при излучении УЗ сигнала независимо каждым ее элементом, и поточечное построение изображения внутренней структуры объекта путем выбора изо всех принятых реализаций тех фрагментов, времена задержки которых равны временам распространения ультразвуковых сигналов от излучающего элемента решетки к каждой визуализируемой точке объекта и от нее к приемному элементу, суммирования этих выбранных фрагментов для каждой точки изображения и записи результата суммирования, при этом при известной толщине объекта контроля в результирующую сумму выбранных фрагментов реализаций для каждой точки изображения дополнительно включают выборки фрагментов, времена задержек которых равны временам распространения ультразвуковых сигналов, переотраженных от донной и внешней поверхностей объекта контроля на траекториях от излучающего элемента решетки к данной визуализируемой точке объекта и от нее к приемному элементу.

[11]

Указанная задача решена устройством ультразвуковой томографии, содержащим антенную решетку с n приемно-передающими элементами, каждый из которых соединен с выходом соответствующего генератора импульсов и входом соответствующей цепочки последовательно соединенных усилителя и аналого-цифрового преобразователя, выход каждой из n указанных цепочек соединен с соответствующим входом памяти реализаций, количество выходов которой TV определяется формулой:

[12]

N=n·(n+1)/2,

[13]

выходы памяти реализаций соединены с соответствующими входами вычислительного блока, связанного с дисплеем через память изображения, при этом входы синхронизации каждого генератора импульсов, памяти реализаций, вычислительного блока и памяти изображения соединены с соответствующими выходами синхронизатора, при этом дополнительно введен соединенный с вычислительным блоком блок накопительной памяти, суммирующий для каждой точки изображения все фрагменты реализаций, времена задержки которых соответствуют временам распространения ультразвуковых сигналов как без отражений, так и с переотражениями их от границ объекта контроля.

[14]

Одним из частных представлений вычислительного блока устройства является реализация им функции:

[15]

, ,

[16]

где uA(t) - суммарный эхосигнал, принятый антенной решеткой из точки A(x, z) объекта контроля с координатами x, z;

[17]

i, j - номера излучающих и приемных элементов антенной решетки соответственно;

[18]

I, R - общее количество отражений ультразвукового сигнала от обеих границ объекта контроля на прямом пути от антенной решетки к точке A(x, z) и на обратном пути от точки A(x, z) к антенной решетке соответственно;

[19]

M - максимальное количество отражений ультразвукового сигнала от обеих границ объекта контроля отдельно на прямом и обратном путях распространения сигнала, используемое при реконструкции изображения;

[20]

ui,j - фрагмент реализации, полученной от элементов i, j антенной решетки;

[21]

t - текущее время;

[22]

tAi,j(I, R) - время задержки фрагмента ui,j реализации, содержащего сигнал, прошедший по траектории с общим количеством (I+R) отражений от обеих границ объекта контроля;

[23]

τu - длительность зондирующего импульса,

[24]

с последующим детектированием полученного результата для ввода сигнала в память изображения.

[25]

На фиг.1 приведены диаграммы, поясняющие сущность способа; на фиг.2 - схема распространения УЗ сигналов в плоскопараллельном слое материала; на фиг.3 - устройство для осуществления способа.

[26]

На фиг.1 показана антенная решетка, содержащая n элементов 1-5-n, в качестве которых обычно используются пьезоэлементы. Элементы 1-5-n АР расположены с некоторым шагом на поверхности твердого материала ОК. Все элементы 1-5-n решетки одинаковые, имеют широкую диаграмму направленности и могут работать как в качестве излучателей, так и приемников УЗ сигналов.

[27]

Для наиболее полного озвучивания визуализируемой области ОК для зондирования и приема УЗ колебаний используют все n элементов АР. В результате получают N реализаций УЗ колебаний от каждой пары элементов АР (излучатель - приемник), включая и случаи совмещенной работы элементов в качестве излучателя и приемника УЗ колебаний:

[28]

[29]

При излучении зондирующего импульса каким-либо элементом (в частности, элементом 2 на фиг.1) энергия этого импульса распространяется широким фронтом внутрь материала. Пространственная длина зондирующего импульса в направлении его распространения равна произведению длительности τu импульса на скорость с распространения УЗ волн в данном материале.

[30]

При наличии в материале ОК в точке A(x, z) с координатами x, z какого-либо отражателя (несплошности материала) часть энергии зондирующего импульса отражается обратно в сторону АР. Начало системы координат связано с АР, например, совпадает с фазовым центром первого элемента 1 (см. фиг.1). Отраженные в сторону АР сигналы распространяются по разным направлениям. К приемным элементам 1-5-n решетки отраженные сигналы приходят неодновременно, т.к. траектории их распространения имеют разную длину.

[31]

На фиг.1 внизу показаны осциллограммы реализаций УЗ колебаний, принятых отдельными элементами АР (в частности, для примера, 3-м, 5-м и 4-м при излучении зондирующих импульсов 2-м, снова 2-м и 3-м элементами решетки соответственно). Эти колебания, помимо различных шумов, содержат эхоимпульсы от отражателя в точке A(x, z). Эхоимпульсы (они на фиг.1 превышают по амплитуде шумы) расположены на оси времени с разными задержками tAi,j, где i и j - номера излучающих и приемных элементов решетки вследствие разных длин траекторий распространения УЗ сигналов в ОК. Времена tAi,j задержки прихода эхоимпульсов от отражателя в точке A(x, z) на приемные элементы АР относительно моментов посылки в ОК зондирующих импульсов зависят от координат расположения элементов АР и точки A(x, z):

[32]

[33]

где xi, xj - координаты излучающего и приемного элементов АР соответственно;

[34]

с - скорость распространения УЗ волн в материале ОК.

[35]

На фиг.2 приведена схема возможных путей распространения зондирующего импульса в плоскопараллельном слое твердого материала толщиной d от любого элемента АР к любому отражателю, расположенному, например, в точке A(x, z). Из схемы видно, что УЗ сигналы распространяются не только по кратчайшим путям (на схеме это путь 0), но и по более длинным, претерпевая отражения от донной и внешней поверхностей слоя.

[36]

На пути к любой точке в ОК, в частности, к точке A(x, z), от каждого элемента АР таких отражений может быть несколько. При четном количестве отражений (на фиг.2 это пути 6 и 8), УЗ сигнал падает в точку A(x, z) со стороны той же поверхности слоя, где расположена АР (со стороны внешней поверхности). При нечетном количестве (на схеме это пути 7 и 9) - со стороны донной поверхности.

[37]

Если шероховатость поверхностей слоя достаточно мала и закон отражения УЗ сигнала от границ слоя можно считать зеркальным, то пространственное расположение точек отражений на каждом пути сигнала к точке A(x, z) строго определено координатами элемента АР, координатами точки A(x, z) и толщиной слоя материала d. Определен этими величинами и сам путь, т.е. его длина.

[38]

Согласно принципу взаимности эти же пути являются путями распространения УЗ сигналов, отраженных от любого отражателя (например, в точке A(x, z)) к приемному элементу АР. Следовательно, траектории распространения УЗ сигналов от элементов АР к любой точке плоскопараллельного ОК и обратно - к АР существуют двух видов: с четным общим количеством отражений от границ слоя и с нечетным количеством отражений.

[39]

Если неоднородность материала в точке A(x, z) рассеивает УЗ волны диффузно, то возможны траектории обоих видов. Пусть, например, падающий сигнал прошел по пути с одним отражением (путь 7 на фиг.2), а отраженный - по пути с двумя и тремя отражениями (пути 6 и 9 на фиг.2). Общее количество отражений сигнала в траекториях «путь 7 плюс путь 6» и «путь 7 плюс путь 9» соответственно три и четыре (нечетное и четное).

[40]

При зеркальном отражении УЗ сигнала в точке A(x, z) возможны только траектории с нечетным общим количеством отражений, т.к. сигнал, падающий в точку A(x, z) со стороны одной границы слоя, отражается в сторону другой границы, и любая траектория складывается из путей с четным и нечетным количеством отражений. В результате общее количество отражений - нечетное.

[41]

Таким образом, по известным координатам элементов АР, координатам точек в ОК и значению толщины d можно вычислить длины любых траекторий распространения УЗ сигналов в ОК при любом количестве отражений от донной и внешней поверхностей ОК. Используя значение скорости с, можно вычислить и все времена задержек эхоимпульсов от отражателя в точке A(x, z) в соответствующих реализациях принятых УЗ колебаний.

[42]

Пусть количество отражений УЗ сигнала от донной поверхности ОК на прямом пути его распространения от излучающего элемента АР с номером i к отражателю в точке A(x, z) равно pi, а количество отражений УЗ сигнала от внешней поверхности ОК на этом же пути равно qi. Аналогично обозначим количества отражений УЗ сигнала на обратном пути от точки A(x, z) к приемному элементу АР с номером j: pj и qj. Тогда общее количество I отражений УЗ сигнала от обеих границ ОК на прямом пути будет равно: I=pi+qi, количество отражений от границ на обратном пути: R=pj+qj. А время задержки эхо-импульса от отражателя в точке A(x, z) в реализации УЗ колебаний, полученной при излучении зондирующего импульса i-тым элементом АР и приеме колебаний j-тым элементом АР при общем количестве (I+R) всех отражений УЗ сигнала от границ ОК на всей траектории его распространения, выразится следующим образом:

[43]

[44]

В частности, для траектории распространения УЗ сигнала с pi=5, qi=4, pj=2, qj=2, I=9, R=4 формула (3) примет вид:

[45]

[46]

Если сложить все эхоимпульсы, пришедшие к АР из точки A(x, z) по всем траекториям от каждой пары элементов АР, то мы получим суммарный эхосигнал uA(t), амплитуда которого будет характеризовать отражательную способность материала ОК в точке A(x, z). Для этого необходимо выбрать из каждой реализации принятых УЗ колебаний фрагменты ui,j длительностью τu, с временами задержки, рассчитанными по формуле (3), совместить фрагменты на оси времени с точностью до фазы и алгебраически сложить соответствующие по времени мгновенные значения колебаний всех фрагментов:

[47]

[48]

где M - максимальное количество отражений УЗ сигнала от границ ОК на каждом из путей распространения сигнала к отражателю в точке A(x, z) и обратно, выбранное заранее для ограничения числа используемых траекторий.

[49]

Амплитуду UA полученного суммарного эхосигнала легко определить путем выделения его огибающей и взятия максимума полученной функции. В частности, это выполняется с помощью амплитудного детектирования суммарного эхо-сигнала (выпрямления с низкочастотной фильтрацией) или с помощью синхронного детектирования.

[50]

При выполнении изложенных операций для всех точек визуализируемого сечения ОК получается матрица амплитуд суммарных эхосигналов, которая при отображении ее на экране в цветояркостной форме представляет собой томограмму визуализируемого сечения ОК.

[51]

Функциональная схема устройства, реализующего описанный способ и показанная на фиг.3, содержит антенную решетку 10 с n приемно-передающими элементами 11, каждый из которых соединен с выходом соответствующего генератора импульсов 12 и входом соответствующей цепочки последовательно соединенных усилителя 13 и аналого-цифрового преобразователя (АЦП) 14.

[52]

Выход каждой из n цепочек усилитель 13 - АЦП 14 соединен с соответствующим входом памяти реализаций 15, количество выходов которой N определяется формулой:

[53]

N=n·(n+1)/2.

[54]

N выходов памяти реализаций 15 по количеству принятых реализаций УЗ колебаний соединены с соответствующими входами вычислительного блока 16, реализующего функцию:

[55]

,

[56]

с последующим детектированием полученного результата для ввода сигналов в память изображения 17, соединенную с дисплеем 18.

[57]

С вычислительным блоком 16 соединен блок накопительной памяти 19, который суммирует для каждой точки изображения все фрагменты реализаций с временами задержки, соответствующими временам распространения ультразвуковых сигналов как без отражений, так и с переотражениями их от границ объекта контроля.

[58]

Входы синхронизации каждого генератора импульсов 12, памяти реализаций 15, вычислительного блока 16 и памяти изображения 17 соединены с соответствующими выходами синхронизатора 20, синхронизирующего работу всех указанных блоков устройства.

[59]

Антенная решетка 10 установлена на объект контроля 21 и имеет с ним акустический контакт.

[60]

Устройство в соответствии с предложенным способом работает следующим образом.

[61]

По сигналу от синхронизатора 20 первый генератор импульсов 12 подает импульс возбуждения на первый элемент 11 АР 10. В ОК 21 излучается зондирующий импульс. В этот момент все элементы 11 АР 10, включая и ее первый элемент, начинают принимать УЗ колебания из ОК 21. Эти колебания, преобразованные в электрические колебания, усиливаются в усилителях 13, оцифровываются в АЦП 14 и записываются в память реализаций 15 независимо друг от друга, без каких-либо преобразований и временных сдвигов. Эти колебания записываются в интервале времени, превышающем с некоторым запасом время распространения УЗ колебаний от излучающего элемента 11 АР 10 к наиболее дальней визуализируемой точке ОК и обратно - к самому удаленному от нее приемному элементу 11. В этих колебаниях присутствует шум структуры материала ОК 21, импульсы отражений зондирующего сигнала от границ материала и в случае каких-либо несплошностей материала - импульсы отражений от них.

[62]

Далее генератор импульсов 12, соединенный со вторым элементом 11 АР 10, по сигналу от синхронизатора 20 возбуждает второй элемент, который посылает в ОК 21 зондирующий импульс. Снова происходит прием и запись принятых колебаний в память реализаций 15. Но колебания, принятые первым элементом 11 АР 10, в данном случае не записываются, т.к. реализация этих колебаний, согласно принципу взаимности, тождественна той, которая уже была принята вторым элементом 11 АР 10 при посылке зондирующего импульса ее первым элементом 11 в предыдущем цикле зондирования-приема УЗ колебаний.

[63]

Затем в третьем цикле зондирования-приема УЗ колебаний все происходит аналогично изложенному выше, только зондирующий импульс в ОК 21 посылает третий элемент 11 АР 10, а колебания в память реализаций 15 записываются ото всех элементов 11 АР 10, за исключением колебаний от первого и второго ее элементов.

[64]

В последнем, n-ном цикле зондирования-приема n-ный элемент 11 АР 10 исполняет роль излучателя и приемника УЗ колебаний, т.е. работает в совмещенном режиме. При этом в память реализаций 15 записывается всего одна реализация принятых колебаний.

[65]

После выполнения всех этих циклов зондирования-приема УЗ колебаний, т.е. после того как все элементы 11 АР 10 совершат по одной посылке зондирующего импульса, в памяти реализаций 15 окажутся записанными N=n·(n+1)/2 реализаций принятых колебаний. Каждая реализация - это результат зондирования и приема колебаний каждой из возможных пар элементов 11 АР 10, включая и совмещенные пары, когда излучатель и приемник - один и тот же элемент. В частности, если n=16, количество реализаций N=136.

[66]

После записи всех N реализаций в память реализаций 15 начинается реконструкция изображения внутренней структуры ОК поочередно для каждой визуализируемой точки.

[67]

Рассмотрим этот процесс для произвольно взятой в объекте точки А(х, z) с координатами x, z (см. фиг.1).

[68]

Для получения изображения отражательной способности отражателя в точке А(х, z) из каждой записанной реализации выбирается (считывается из памяти реализаций 15) фрагмент длительностью τu со временем задержки tAi,j(I, R). Значение этого времени предварительно вычисляется в вычислительном блоке 16. Причем вначале считываются фрагменты реализаций со временами задержки tAi,j(0,0). Все эти фрагменты содержат эхоимпульсы от отражателя в точке А(х, z) (если он там присутствует), полученные при разных ракурсах падения в эту точку и отражения от нее УЗ колебаний. Выбранные фрагменты в вычислительном блоке 16 совмещаются во времени t с точностью до фазы и суммируются. Промежуточный результат суммирования запоминается в накопительной памяти 19, связанной с вычислительным блоком 16.

[69]

Затем процесс выбора фрагментов реализаций и их суммирования повторяется, но выбираются фрагменты с временами задержки tAi,j(1,0). Результат суммирования второй группы фрагментов добавляется к результату суммирования первой группы. Далее то же повторяется для всех фрагментов со всеми временами задержки вплоть до tAi,j(M,M).

[70]

Один из возможных вариантов блока накопительной памяти 19 для формирования информации об отражательной способности одной визуализируемой точки ОК представляет собой (N+1)-входовый сумматор, выход которого соединен со входом ячейки памяти для временного хранения данных одного импульса длительностью τu. Выход этой ячейки памяти подключен к одному из N+1 входов сумматора. При одновременном считывании из памяти реализаций фрагментов реализаций с временами задержки tAi,j(k, l), где k, l - натуральные числа, меньшие M, из этой ячейки также одновременно с фрагментами считывается результат предыдущего суммирования, который суммируется со считываемыми фрагментами, и результат снова записывается в эту ячейку памяти. Вся накопительная память состоит из множества таких (N+1)-входовых сумматоров со своими ячейками памяти. Количество таких цепочек сумматоров и ячеек памяти равно количеству точек изображения.

[71]

Другой вариант накопительной памяти - это N двухвходовых сумматоров со своими ячейками памяти, выходы которых подключены к одному из входов соответствующего двухвходового сумматора. На свободный вход этого сумматора поступают суммы считываемых фрагментов реализаций, которые суммируются с данными, записанными в подключенной к нему ячейке памяти, и результат снова записывается в эту же ячейку.

[72]

Таким образом реализуется вычисление по формуле (5) суммарного эхосигнала от отражателя в точке А(х, z) с учетом всех возможных траекторий распространения УЗ сигнала, вплоть до траекторий с максимальным количеством отражений от границ ОК, равным М на каждом из путей от АР к точке А(х, z) и обратно.

[73]

Суммарный эхосигнал uA(t) затем в вычислительном блоке 16 детектируется (вычисляется его огибающая) и значение UA максимума полученной функции записывается в память изображения 17. Этому значению (числу) присваивается определенный цвет (или яркость) точки A(x, z) на экране дисплея 18.

[74]

Аналогично, операции считывания фрагментов, суммирования их, детектирования и записи результата в память изображения 17 поочередно производятся для всех точек визуализируемой области ОК 21. В итоге реконструируется изображение этой области.

[75]

Все точки изображения, таким образом, оказываются полученными как результат поочередной фокусировки антенной решетки 10 в каждую соответствующую точку ОК 21 с использованием не только траекторий распространения УЗ сигнала без отражений от границ материала ОК 21, но и с использованием множества траекторий с отражениями УЗ сигнала от границ ОК 21.

[76]

Таким образом, реализуются положительные эффекты изобретения, состоящие в следующем:

[77]

- повышается чувствительность к малым отражателям, т.к. при использовании еще и отражений от границ в результирующий суммарный эхосигнал накапливается больше энергии отраженного ультразвука;

[78]

- повышается разрешающая способность томографа из-за того, что отражатели озвучиваются под большим количеством ракурсов, т.е. с большего числа направлений под разными углами;

[79]

- появляется возможность селектировать вид отражателя: диффузно рассеивающего или направленно рассеивающего ультразвук. В частности, малые в сравнении с длиной волны отражатели и протяженные, особенно с гладкими поверхностями (трещины) по-разному отображаются на экране (лучше или хуже), если использовать не все траектории распространения УЗ сигналов, а специально выбираемые: с четным или нечетным количеством отражений ультразвука от границ ОК;

[80]

- улучшается качество изображения: лучше прорисовываются контуры отражателей, больших длины волны ультразвука, особенно в несколько длин волн вследствие большего количества ракурсов облучения отражателя;

[81]

- изображение получается адекватным реальному сечению ОК: мнимых образов на нем нет; все, что ниже (глубже) донной поверхности, - не отображается, а сигналы, вызывающие мнимые образы, дополнительно прорисовывают изображение в адекватных местах.

Как компенсировать расходы
на инновационную разработку
Похожие патенты