Изобретение относится к способам определения осевой нагрузки, действующей на упорный подшипник, в частности к способам, позволяющим настроить эту нагрузку на опорах работающих газотурбинных двигателей. Способ настройки осевой нагрузки на упорный подшипник опоры ротора газотурбинного двигателя включает измерение осевой нагрузки на требуемом режиме работы на базовом двигателе из серии с одновременным замером давления во внутренней полости двигателя, определяющей осевую нагрузку. В качестве внутренней полости двигателя, определяющей осевую нагрузку, используют думисную полость компрессора, ограниченную лабиринтным уплотнением компрессора и лабиринтным уплотнением на валу ротора. Полость сообщают с выпускной системой с по меньшей мере одним отверстием перепуска в настроечном элементе для регулирования давления в думисной полости компрессора. Определяют площади зазоров во всех кольцевых полостях зубьев лабиринтного уплотнения компрессора (F…F) с учетом вытяжки зубьев лабиринтного уплотнения за счет теплового расширения и действия центробежных сил и определяют суммарную площадь отверстий перепуска в настроечном элементе выпускной системы F, при которой осевая нагрузка каждого двигателя из серии не превышает нормированную осевую нагрузку базового двигателя, после чего устанавливают требуемое значение площади отверстий перепуска. При этом площадь отверстий перепуска определяют по формуле:где: γ…γ- удельный вес воздуха в кольцевых полостях зубьев лабиринтного уплотнения компрессора; F…F- площади зазоров кольцевых полостей зубьев лабиринтного уплотнения компрессора; 1…i - количество зубьев лабиринтного уплотнения компрессора. Изобретение позволяет обеспечить требуемый ресурс двигателей в серии за счет настройки осевой нагрузки для каждого двигателя, которая не превышает нормированное значение, при этом сохраняется уровень экономичности серийного производства двигателей, поскольку настройка производится без использования дорогостоящего оборудования, препарировки двигателя, используются только результаты обмеров геометрических характеристик деталей двигателя, которые производят в процессе их изготовления на серийных двигателях. 2 ил.
Способ настройки осевой нагрузки на упорный подшипник опоры ротора газотурбинного двигателя, включающий измерение осевой нагрузки на требуемом режиме работы на базовом двигателе из серии с одновременным замером давления во внутренней полости двигателя, определяющей осевую нагрузку, отличающийся тем, что в качестве внутренней полости двигателя, определяющей осевую нагрузку, используют думисную полость компрессора, ограниченную лабиринтным уплотнением компрессора и лабиринтным уплотнением на валу ротора, полость сообщают с выпускной системой с по меньшей мере одним отверстием перепуска в настроечном элементе для регулирования давления в думисной полости компрессора, определяют площади зазоров во всех кольцевых полостях зубьев лабиринтного уплотнения компрессора (F1…Fi) с учетом вытяжки зубьев лабиринтного уплотнения за счет теплового расширения и действия центробежных сил и определяют суммарную площадь отверстий перепуска в настроечном элементе выпускной системы Fп, при которой осевая нагрузка каждого двигателя из серии не превышает нормированную осевую нагрузку базового двигателя, после чего устанавливают требуемое значение площади отверстий перепуска, при этом площадь отверстий перепуска определяют по формуле: где γ1…γi - удельный вес воздуха в кольцевых полостях зубьев лабиринтного уплотнения компрессора; F1…Fi - площади зазоров кольцевых полостей зубьев лабиринтного уплотнения компрессора; 1…i - количество зубьев лабиринтного уплотнения компрессора.
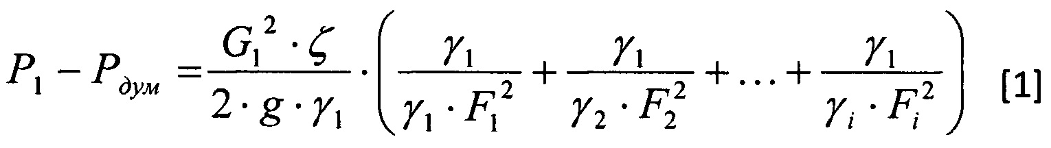
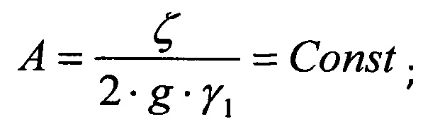
Изобретение относится к способам определения осевой нагрузки, действующей на упорный подшипник, в частности к способам, позволяющим настроить эту нагрузку на опорах работающих газотурбинных двигателей. Известен способ осевой нагрузки на упорный подшипник опоры ротора газотурбинного двигателя, включающий измерение осевой нагрузки на требуемом режиме работы на базовом двигателе из серии с одновременным замером давления во внутренней полости двигателя, определяющей осевую нагрузку (патент RU №2392464 F02C 7/06 от 20.06 2010 г.). Недостатком такого решения является то, что для каждого двигателя серии необходимо либо напрямую измерять осевую нагрузку, либо препарировать внутренние полости двигателя, определяющие осевую нагрузку, что при условии товарной поставки продукции заказчику часто бывает невозможно, поскольку в этом случае в результате установки датчиков давления или тензодатчиков сверлятся корпуса двигателя, прокладываются каналы препарировки и т.д. Таким образом, после испытаний требуются промежуточные сборки-разборки двигателя, чтобы максимально устранить последствия влияния препарировки на характеристики двигателя, что является достаточно трудоемким и повышает уровень затрат на эксплуатацию двигателей в серии. Также в данном решении не учитывается тот факт, что геометрические размеры двигателей в серии могут изменяться в пределах допусков изготавливаемого двигателя. При увеличении требуемого ресурса, особенно для двигателей стационарного назначения, например, до 50000…70000 часов, даже незначительный разброс допусков приводит к недопустимому изменению осевой нагрузки, что в целом снижает ресурс двигателя. Задача изобретения - обеспечение требуемого ресурса работы двигателя при сохранении уровня экономичности в процессе его эксплуатации. Технический результат - обеспечить настройку осевой нагрузки до нормированного значения. Ожидаемый технический результат достигается тем, что в известном способе настройки осевой нагрузки на упорный подшипник опоры ротора газотурбинного двигателя, включающем измерение осевой нагрузки на требуемом режиме работы на базовом двигателе из серии с одновременным замером давления во внутренней полости двигателя, определяющей осевую нагрузку, по предложению, в качестве внутренней полости двигателя, определяющей осевую нагрузку, используют думисную полость компрессора, ограниченную лабиринтным уплотнением компрессора и лабиринтным уплотнением на валу ротора, полость сообщают с выпускной системой с, по меньшей мере, одним отверстием перепуска в настроечном элементе для регулирования давления в думисной полости компрессора, определяют площади зазоров во всех кольцевых полостях зубьев лабиринтного уплотнения компрессора (F1…Fi) с учетом вытяжки зубьев лабиринтного уплотнения за счет теплового расширения и действия центробежных сил и определяют суммарную площадь отверстий перепуска в настроечном элементе выпускной системы Fп, при которой осевая нагрузка каждого двигателя из серии не превышает нормированную осевую нагрузку базового двигателя, после чего устанавливают требуемое значение площади отверстий перепуска, при этом площадь отверстий перепуска определяют по формуле: где γ1…γi - удельный вес воздуха в кольцевых полостях зубьев лабиринтного уплотнения компрессора; F1…Fi - площади зазоров кольцевых полостей зубьев лабиринтного уплотнения компрессора; 1…i - количество зубьев лабиринтного уплотнения компрессора. Основной вклад в величину осевой нагрузки, действующей на упорный подшипник ротора газотурбинного двигателя, вносит уровень давлений и геометрические характеристики думисной полости компрессора, особенно уровень давлений и геометрические характеристики лабиринтного уплотнения компрессора. При серийном производстве двигатели различаются в значениях диаметральных зазоров по лабиринтному уплотнению компрессора в пределах допуска на изготовление. Но и этого бывает достаточно, чтобы изменить осевую нагрузку так, что это приведет к уменьшению ресурса работы двигателя. Сообщение думисной полости компрессора с выпускной системой с настроечными элементами позволяет регулировать уровень осевой нагрузки путем изменения уровня «стравливания» воздуха, поступающего из думисной полости компрессора в выпускную систему, тем самым регулируя давление в думисной полости и настраивая осевую нагрузку на требуемую величину. Определение площади зазоров во всех кольцевых полостях лабиринтного уплотнения компрессора для каждого двигателя серии на основе обмеров и с учетом вытяжки зубьев лабиринтного уплотнения за счет теплового расширения и действия центробежных сил позволяет определить реальную площадь зазоров кольцевых полостей зубьев лабиринтного уплотнения компрессора для конкретного двигателя. Расчетная формула для определения величины площади отверстий перепуска настроечных элементов выводится на основании общеизвестной формулы для определения потерь давления (И.Е. Идельчик. Справочник по гидравлическим сопротивлениям. М., «Машиностроение», 1975, стр. 27): где Р1 - давление на входе в лабиринтное уплотнение компрессора; Рдум - давление в думисной полости компрессора; G1 - расход воздуха через лабиринтное уплотнение компрессора; ζ - коэффициент сопротивления; γ1…γi - удельный вес воздуха; F1…Fi - площади зазоров кольцевых полостей зубьев лабиринтного уплотнения компрессора; g - ускорение силы тяжести; 1…i - количество зубьев лабиринтного уплотнения компрессора. Из формулы [1], путем преобразований и введения обозначений имеем: где Из уравнения неразрывности известно, что расход через лабиринтное уплотнение компрессора равен расходу в думисной полости компрессора: где G2 - расход воздуха в думисной полости компрессора, определяемый также из формулы для определения потерь давления (И.Е. Идельчик «Справочник по гидравлическим сопротивлениям». М., «Машиностроение», 1975, стр. 28) путем преобразований и введения обозначений: Рп - давление на выходе из выпускной системы; Рдум - давление в думисной полости компрессора; Fп - площадь отверстий перепуска настроечных элементов выпускной системы; γП - удельный вес воздуха, поступающего в выпускную систему. Далее, приравняв формулы для определения расходов, имеем: Поскольку величина Для серии двигателей возможно набрать статистику изменений величины удельного веса воздуха по кольцевым полостям зубьев лабиринтного уплотнения компрессора, и, таким образом, для одного типа двигателя в серии возможно использовать постоянные значения Способ поясняется графическими материалами: на фиг. 1 - схема думисной полости компрессора; на фиг. 2 - площади зазоров кольцевых полостей лабиринтного уплотнения компрессора. Газотурбинный двигатель, реализующий предлагаемый способ настройки осевой нагрузки на упорный подшипник опоры ротора, содержит компрессор 1, думисную полость компрессора 2, ограниченную лабиринтным уплотнением компрессора 3 и лабиринтным уплотнением на валу ротора 4, и сообщенную с выпускной системой 5 с настроечными элементами 6 для регулирования давления в думисной полости компрессора. Лабиринтное уплотнение компрессора 3 содержит кольцевые полости зубьев 7. Способ реализуют следующим образом: На одном из серии двигателей - базовом двигателе - производят прямое измерение осевой нагрузки на упорный подшипник ротора. Уровень осевой нагрузки, например, на стационарном газотурбинном двигателе составил 500 кгс. На основании расчетов на долговечность подшипника, определяют, что данная осевая нагрузка является оптимальной для данного типа двигателей и принимают это значение в качестве нормированной осевой нагрузки. Одновременно замеряют давления в думисной полости компрессора 2 и по кольцевым полостям лабиринтного уплотнения компрессора 7. Для остальных двигателей серии по результатам обмеров зазоров лабиринтного уплотнения компрессора 3, которые производят в процессе изготовления и сборки компрессора 1, определяют площади зазоров во всех кольцевых полостях зубьев 7 лабиринтного уплотнения компрессора 3 (F1…Fi) с учетом вытяжки зубьев лабиринтного уплотнения компрессора 3 за счет теплового расширения и действия центробежных сил. Поскольку удельный вес воздуха γ1…γi в кольцевых полостях лабиринтного уплотнения компрессора 7 прямо пропорционален давлению в этих полостях, а температура меняется незначительно, то по замерам давления определяют: И по формуле [1]: рассчитывают площадь отверстий перепуска настроечных элементов 6 выпускной системы 5. Далее устанавливают в выпускную систему 5 требуемое количество с необходимой площадью отверстий перепуска настроечных элементов 6. На одном из двигателей, где были установлены настроечные элементы в выпускной системе думисной полости компрессора, определенные в соответствие с расчетной формулой [1], был произведен поверочный замер осевой нагрузки, который не превысил уровень осевой нагрузки, замеренной на базовом двигателе, а именно 500 кгс. Это позволяет без прямого измерения осевой нагрузки на упорный подшипник ротора обеспечить уровень осевой нагрузки, не превышающий нормированное значение, путем установки настроечных элементов в выпускной системе по расчетной формуле [1] на всех остальных двигателях серии. Реализация изобретения позволяет обеспечить требуемый ресурс двигателей в серии за счет настройки осевой нагрузки для каждого двигателя, которая не превышает нормированное значение, при этом сохраняется уровень экономичности серийного производства двигателей, поскольку настройка производится без использования дорогостоящего оборудования, препарировки двигателя, используются только результаты обмеров геометрических характеристик деталей двигателя, которые производят в процессе их изготовления на серийных двигателях.









по статистике от двигателя к двигателю в серии меняется незначительно, то площадь отверстий перепуска настроечных элементов выпускной системы в большей степени зависит от площади зазоров кольцевых полостей лабиринтного уплотнения компрессора, т.е. от тех зазоров лабиринтного уплотнения компрессора, с какими был изготовлен и собран конкретный двигатель.
. Поэтому площадь отверстий перепуска настроечных элементов будет зависеть только от площадей кольцевых полостей зубьев лабиринтного уплотнения компрессора, которые определены, исходя из знаний по обмерам лабиринтного уплотнения в процессе его изготовления.

