патент
№ RU 2315983
МПК G01N25/00

СПОСОБ ОПРЕДЕЛЕНИЯ ДЕФЕКТОВ В ИЗДЕЛИИ МЕТОДОМ ТЕПЛОВОГО НЕРАЗРУШАЮЩЕГО КОНТРОЛЯ

Авторы:
Павлухин Вячеслав Владимирович Баженов Борис Николаевич Мулишкин Игорь Анатольевич
Все (6)
Номер заявки
2006114424/28
Дата подачи заявки
28.04.2006
Опубликовано
27.01.2008
Страна
RU
Как управлять
интеллектуальной собственностью
Чертежи 
1
Реферат

[56]

Изобретение относится к контрольно-диагностическим технологиям. Способ включает нагрев изделия, его последующее охлаждение, измерение температуры изделия и определение темпа охлаждения для каждой элементарной площадки поверхности изделия. Охлаждение осуществляют рабочей средой, в качестве которой используют смесь газа и жидкости, измеряют расход жидкости, а наличие дефекта выявляют по отклонению от единицы отношения ΔV, определяемого для каждой элементарной площадки поверхности изделия. Технический результат - изобретение позволяет повысить точность определения дефектов в изделии и расширить функциональные возможности. 3 з.п. ф-лы, 2 ил.

Формула изобретения

1. Способ определения дефектов в изделии методом теплового неразрушающего контроля, включающий нагрев изделия, его последующее охлаждение, измерение температуры изделия и определение темпа охлаждения для каждой элементарной площадки поверхности изделия, отличающийся тем, что охлаждение осуществляют рабочей средой, в качестве которой используют смесь газа и жидкости, измеряют расход жидкости, а наличие дефекта выявляют по отклонению от единицы отношения ΔV, рассчитываемого для каждой элементарной площадки поверхности изделия, по формуле

где Gi=Gv C,

Gv - расход жидкости для исследуемого изделия;

С - удельная теплота фазового перехода жидкости в газ;

х и y - текущие координаты элементарной площадки поверхности изделия, для которой производят расчет;

mi(х, y) - темп охлаждения, рассчитанный для каждой элементарной площадки поверхности изделия с координатами (х, y) для исследуемого изделия;

Ge=GTC,

GT - расход жидкости для эталонного изделия;

me(х, y) - темп охлаждения, рассчитанный для каждой элементарной площадки поверхности изделия с координатами (х, y) для эталонного изделия.

2. Способ определения по п.1, отличающийся тем, что рабочую среду закручивают и охлаждение осуществляют закрученной рабочей средой.

3. Способ по п.2, отличающийся тем, что рабочую среду закручивают шнеком.

4. Способ по любому из пп.1-3, отличающийся тем, что измерение температуры изделия осуществляют неконтактным методом.

Описание

[1]

Изобретение относится к контрольно-диагностическим технологиям, в частности к способам определения дефектов в изделии методом активного теплового неразрушающего контроля, и может найти применение в машиностроении, авиадвигателестроении и других областях техники при проверке характеристик и параметров изделия.

[2]

Известен способ определения внутренних дефектов в изделии методом активного теплового неразрушающего контроля, включающий нагрев изделия, его охлаждение, пропускание через его каналы рабочей среды с переменным расходом и с температурой, неравной средней температуре нагрева изделия, измерение поля температур во время пропускания рабочей среды через каналы, определение производной от темпа изменения температуры по расходу рабочей среды и сравнение полученных данных с эталонными данными, при этом по результатам сравнения делают вывод о пригодности изделия (см. патент RU №2219531, Кл. G 01 N 25/00, опубл. 20.12.2003).

[3]

Недостаток известного способа - низкая достоверность определения дефектов в изделии в связи с тем, что рассчитываемая по результатам эксперимента производная от темпа изменения температуры по расходу рабочей среды в значительной степени зависит от параметров потока, протекающего через внутренние каналы изделия и в меньшей степени от теплофизических параметров изделия. Кроме этого, способ имеет ограниченное применение, так как пригоден только для изделий со сквозными каналами, и кроме этого, не позволяет количественно оценить наличие дефектов и определить их координату в изделии.

[4]

Технический результат заявленного способа - повышение точности определения дефектов в изделии и расширение функциональных возможностей.

[5]

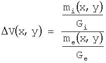
Указанный технический результат достигается тем, что в способе определения дефектов в изделии методом теплового неразрушающего контроля, включающем нагрев изделия, его последующее охлаждение, измерение температуры изделия и определение темпа охлаждения для каждой элементарной площадки поверхности изделия, согласно изобретению охлаждение осуществляют рабочей средой, в качестве которой используют смесь газа и жидкости, измеряют расход жидкости, а наличие дефекта выявляют по отклонению от единицы отношения ΔV, рассчитываемого для каждой элементарной площадки поверхности изделия по формуле:

[6]

[7]

где:

[8]

Gi=GvС;

[9]

Gv - расход жидкости для исследуемого изделия;

[10]

С - удельная теплота фазового перехода жидкости в газ;

[11]

х и y - текущие координаты элементарной площадки поверхности изделия, для которой производят расчет;

[12]

mi(x, y) - темп охлаждения, рассчитанный для каждой элементарной площадки поверхности изделия с координатами (х, y) для исследуемого изделия;

[13]

Gе=GтС;

[14]

Gт - расход жидкости для эталонного изделия;

[15]

me(x, y) - темп охлаждения, рассчитанный для каждой элементарной площадки поверхности изделия с координатами (х, y) для эталонного изделия.

[16]

Рабочую среду можно закручивать и охлаждение осуществлять закрученной рабочей средой, что позволяет равномерно распределить капли жидкости в газе и интенсифицировать отбор тепла от изделия на фазовый переход капель жидкости в газ.

[17]

Для упрощения операции закрутки рабочую среду можно закручивать шнеком.

[18]

Для повышения достоверности результатов измерение температуры изделия можно осуществлять неконтактным методом.

[19]

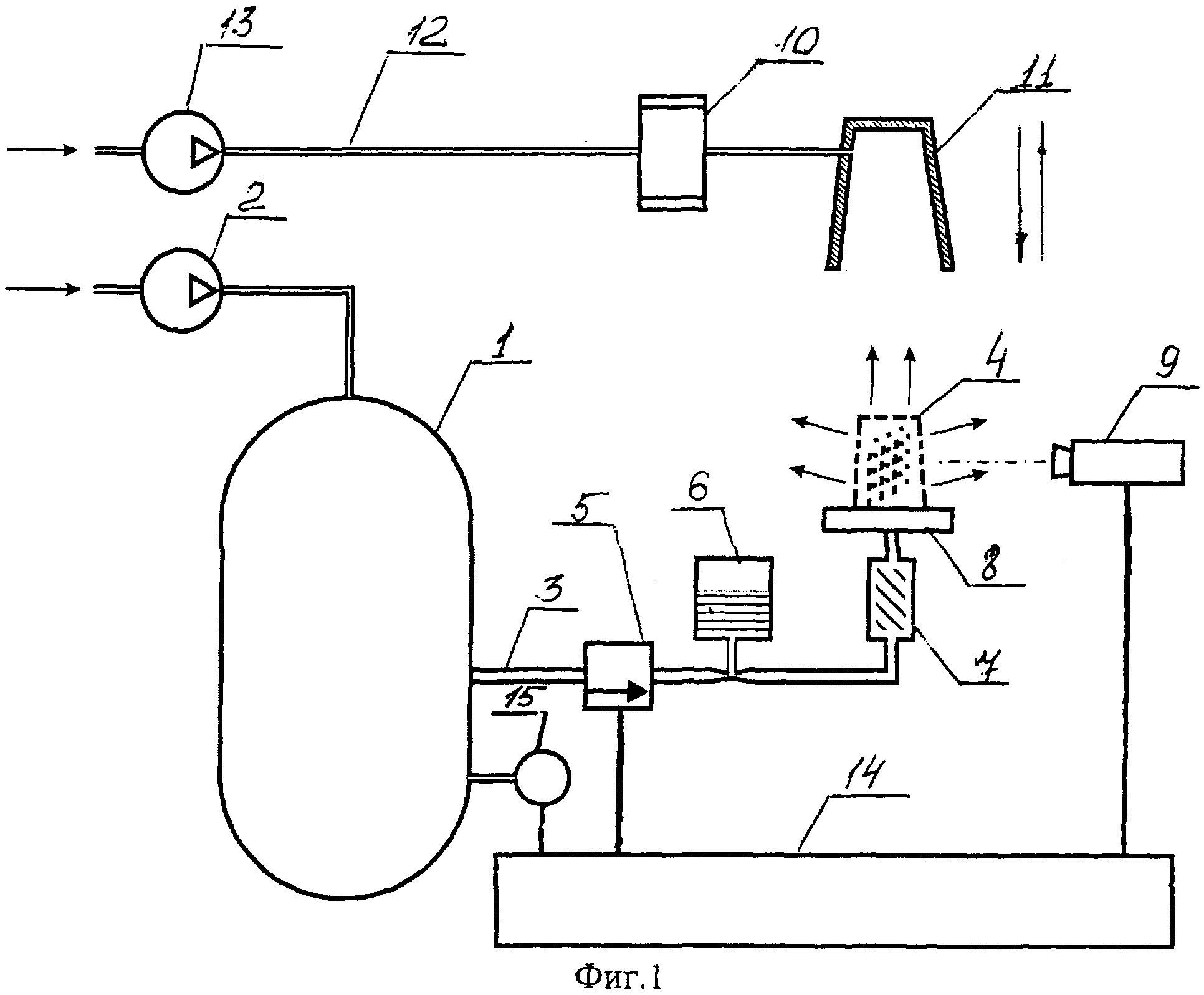
На фиг.1 схематично изображена установка для реализации способа;

[20]

на фиг.2 - распределение параметра ΔV по проекциям лопатки турбины со стороны спинки и со стороны корыта.

[21]

Реализация способа рассмотрена на примере выявления дефектов внутренних охлаждаемых каналов лопатки газотурбинного двигателя.

[22]

Установка содержит ресивер 1, соединенный трубопроводом с компрессором 2. Ресивер 1 по выходу соединен трубопроводом 3 с исследуемым изделием охлаждаемой лопаткой 4 турбины газотурбинного двигателя. В трубопроводе 3 расположены электромагнитный клапан 5, эжекторное устройство 6 для осуществления впрыска и распыления жидкости, например воды или дистиллированной воды, содержащее мерный бачок для жидкости, устройство 7 с мерным бачком для жидкости для закручивания двухфазного потока рабочей среды - смеси воды и газа, например воздуха, содержащее шнек, заключенный в корпус. На платформе 8 закреплена лопатка 4. Напротив лопатки 4 установлен тепловизор 9, с помощью которого осуществляют измерение температуры лопатки 4 неконтактным методом. Над лопаткой 4 расположено устройство для ее нагрева, например, содержащее промышленный фен 10 и защитную насадку 11, служащую для равномерного распределения подогретого воздуха и имеющую возможность перемещения (отвода) относительно лопатки 4 (на фиг.1 изображена защитная накладка в отведенном от лопатки 4 положении, т.е. после проведения нагрева лопатки 4). Устройство для нагрева лопатки через трубопровод 12 соединено с компрессором 13. Для управления работой установки и обработки получаемых данных используют компьютер 14. Датчик давления 15 используют для оценки текущего давления. Для измерения температуры газа в ресивере 1 используют датчики температуры (на чертеже не показаны).

[23]

Способ реализуется следующим образом.

[24]

Ресивер 1 объемом 50 литров заполняют воздухом температурой t0, равной в данном случае температуре окружающей среды, до давления 8 атмосфер. Определяют координаты каждой элементарной площадки с помощью компьютерной программы по расположению лопатки в поле зрения тепловизора 9. Лопатку 4 накрывают защитной насадкой 11 и нагревают воздухом, подаваемым от компрессора 13 через промышленный фен 10. Время нагрева устанавливается экспериментально и составляет для данного примера 110 секунд для нагрева лопатки 4 до средней по поверхности температуры 300°С. После проведения нагрева защитную насадку 11 отводят от лопатки 4, после чего включают тепловизор 9 для измерения температуры лопатки 4. В процессе остывания результаты измерений, проводимых с помощью тепловизора 9, передаются на компьютер 14, который в соответствии с программой производит вычисление температуры лопатки 4 в каждой элементарной площадке поверхности (пикселе). По достижению средней температуры 270-280°С открывают клапан 5, и происходит истечение воздуха из ресивера 1. В процессе истечения воздуха из мерного бачка объемом 0,1 л эжекторного устройства 6, заполненного дистиллированной водой на 1/3, осуществляется поступление воды в поток воздуха. Двухфазная смесь потока проходит через устройство 7, в котором поток закручивается, и попадает во внутренние каналы лопатки 4. Под воздействием центробежных сил капли воды попадают на стенки, а воздух и образовавшийся после испарения воды пар перемещаются к выходному сечению лопатки 4. При этом происходит интенсификация охлаждения изделия в связи с тем, что на фазовый переход воды в пар тратится значительное количество энергии. Расход воздуха и необходимый расход впрыснутой в поток воздуха воды рассчитывают, исходя из условия затрат энергии на фазовый переход капель воды в пар, не менее чем в 10 раз больших по сравнению с затратами энергии на охлаждение воздухом, протекающим у стенки лопатки. Расход жидкости определяют по количеству залитой в мерный бачок жидкости и времени испытания (эксперимента). Расход воздуха определяют по известной величине объема ресивера 1 и показаниям датчика давления 15. Для представленного примера, расход воздуха составляет 30 грамм в секунду, а расход воды, впрыснутой через эжекторное устройство 6 за время испытания 10 сек, составляет 3 грамма в секунду. В процессе охлаждения лопатки 4 определяют температуры ti0 и ti для каждой элементарной площадки тепловизором 9. Для данной установки используют тепловизор Российского производства «Иртис-200М». Фиксируют время τ0 охлаждения в начальный момент охлаждения и время τi в конце охлаждения с помощью компьютерной программы. После проведения указанных выше операций поворачивают лопатку 4 на 180°С и повторяют все операции для второй поверхности лопатки 4, например спинки лопатки, если в первом этапе исследования проводили для корыта лопатки 4.

[25]

По окончании испытаний выполняют обработку результатов: определяют по известной формуле для каждой элементарной площадки поверхности изделия темп изменения охлаждения

[26]

[27]

где:

[28]

ti - текущее значение температуры в i-той точке;

[29]

ti0 - начальная температура в i-той точке;

[30]

t0 - температура газа в ресивере;

[31]

τi0 - интервал времени охлаждения между начальной температурой ti и температурой ti0;

[32]

m - темп охлаждения 1/сек.

[33]

Темп охлаждения m определяют логарифмированием уравнения (1)

[34]

[35]

И рассчитывают распределение функции Vi(х, y) для исследуемой детали по формуле:

[36]

[37]

где mi(x, y) - темп охлаждения, рассчитанный для каждой элементарной площадки поверхности изделия с координатами (х, y) для исследуемого изделия;

[38]

Gi=GvС;

[39]

Gv - расход жидкости для исследуемого изделия (кг/сек);

[40]

С - удельная теплота фазового перехода жидкости в газ (C=const для конкретной жидкости - табличная величина) (Ккал/кг);

[41]

х и y - текущие координаты, элементарной площадки поверхности изделия, для которой производят расчет.

[42]

Испытание эталонных лопаток делают предварительно. По результатам рассчитывают распределение функции Ve(x, y) для эталонной лопатки по формуле:

[43]

Ve(x, y)=me(x, y)/Ge

[44]

где:

[45]

Ge=GтC;

[46]

Gт - расход жидкости для эталонной лопатки;

[47]

С - удельная теплота фазового перехода жидкости в газ;

[48]

me(x, y) - темп охлаждения, рассчитанный для каждой элементарной площадки поверхности изделия с координатами (х, y) для эталонного изделия;

[49]

х и y - текущие координаты элементарной площадки поверхности лопатки, для которой производят расчет.

[50]

Текущие координаты х и y для исследуемой лопатки и эталонной лопатки, а также условия экспериментов для эталона и исследуемого изделия идентичные.

[51]

Наличие дефекта определяется сравнением функций Vi(х, y) и Ve(х, y), а именно сравнением величины отношения Δ V с единицей.

[52]

Вычисляют величину ΔV=Vi/Ve, т.е.

[53]

[54]

Результаты обработки представляются в виде цифровых файлов распределений по поверхности детали отношения ΔV, а также в графическом виде. С целью наглядного представления на изображении (см. фиг.2) представлены распределения указанного числа ΔV в тонах черного и светло серого-цветов. На фиг.2 представлена теплограмма лопатки 4 (распределения по поверхности лопатки числа ΔV с обеих сторон - спинки и корыта). Зоны, имеющие черную и светло-серую окраску считаются дефектными. В указанных дефектных зонах распределение числа ΔV значимо (<0,25 черный цвет; от 0,25 до 0,75 светло-серый цвет)отличается от единицы в меньшую сторону. Указанный результат объясняется тем обстоятельством, что в данных зонах имеется различие в теплофизических параметрах по сравнению с эталоном, определяемых темпом охлаждения.

[55]

Реализация способа рассмотрена на примере определения дефектов у лопатки турбины, имеющей сквозные каналы для ее охлаждения, т.е. на примере выявления дефектов у детали, имеющей сложную форму. В связи с этим установка содержит устройство 7 для закручивания потока рабочей среды. В случае если деталь имеет несложную форму без внутренних каналов и полостей, например пластина, операции способа аналогичны вышеприведенным, за исключением того, что охлаждение осуществляют не путем подачи рабочей среды во внутреннюю полость или каналы, а путем обдувки наружных поверхностей детали. Для деталей неложной формы, например пластин, устройство 7 в составе установки не используется, т.е. охлаждение осуществляют незакрученным потоком. При выборе в качестве рабочего тела иного, чем воздух, газа (например, кислород) и иной, чем вода, жидкости (например, спирт) операции способа также аналогичны.

Как компенсировать расходы
на инновационную разработку
Похожие патенты