патент
№ RU 2400471
МПК A61K31/185

N-ЗАМЕЩЕННЫЕ ПРОИЗВОДНЫЕ ТИОГИДРАЗИДОВ ОКСАМИНОВЫХ КИСЛОТ, СПОСОБ ИХ ПОЛУЧЕНИЯ И ИХ ИСПОЛЬЗОВАНИЕ

Авторы:
Краюшкин Михаил Михайлович Зигангирова Наиля Ахатовна Зорина Виктория Владимировна
Все (8)
Номер заявки
2009116341/04
Дата подачи заявки
30.04.2009
Опубликовано
27.09.2010
Страна
RU
Как управлять
интеллектуальной собственностью
Реферат

Изобретение относится к N-замещенным производным тиогидразидов оксаминовых кислот общей формулы: ! ! где R и R1, представляют собой Н, незамещенные или замещенные Het, фенил, Alk, при этом заместителями могут быть Alk, Hal, CF3, COOR3, SR3, либо R+R1=C2H4OC2H4; R2 представляет собой Н, Alk, OR3, Hal, где R3=Alk; Het представляет собой 5- или 6-членное кольцо, содержащее один или два гетероатома, выбранных из N, S. Изобретение также относится к способу получения указанных соединений. Технический результат - получение новых соединений, которые проявляют антибактериальную активность и могут быть использованы в качестве антибактериальных средств для подавления патогенных бактерий, в том числе и хламидий. 3 н. и 1 з.п. ф-лы.

Формула изобретения

1. N-замещенные производные тиогидразидов оксаминовых кислот общей формулы:

где R и R1, представляют собой Н, незамещенные или замещенные Het, фенил, Alk, при этом заместителями могут быть Alk, Hal, CF3, COOR3, SR3, либо R+R1=C2H4OC2H4;
R2 представляет собой Н, Alk, OR3, Hal, где R3=Alk;
Het представляет собой 5- или 6-членное кольцо, содержащее один или два гетероатома, выбранных из N, S.

2. Соединения по п.1, обладающие антибактериальной активностью в отношении патогенных бактерий.

3. Способ получения N-замещенных производных тиогидразидов оксаминовых кислот по пп.1 и 2, заключающийся во взаимодействии соответствующих хлорацетамидов общей формулы

где R и R1 имеют вышеуказанные значения, с раствором элементной серы в морфолине, пропускании полученного раствора соответствующих монотиооксамидов общей формулы

где R и R1 имеют вышеуказанные значения, через слой сорбента, последующей обработкой раствора монотиооксамидов гидразингидратом и взаимодействием образующихся при этом тиогидразидов оксаминовых кислот с производными салицилового альдегида, с последующим восстановлением полученных гидразонов натрий боргидридом.

4. Способ подавления патогенных бактерий, заключающийся в воздействии на бактерии эффективным количеством соединения по пп.1 и 2.

Описание

[1]

Изобретение относится к новым тиогидразидам оксаминовых кислот, а именно к новым N- замещенным производным тиогидразидов оксаминовых кислот, к способу их получения, а также к их использованию как антибактериальных средств для подавления патогенных бактерий.

[2]

Проблема антибиотикорезистентности является наиболее острой на данный момент, поскольку отмечено, что ко всем существующим классам антибактериальных препаратов у патогенных бактерий развивается устойчивость в той или иной степени {Сидоренко С.В. Механизмы антибиотикорезистентности / Антибактериальная терапия: Практическое руководство под ред. Страчунского Л.С., Белоусова Ю.Б., Козлова С.Н. - 2000. - М.: Фарммединфо. - 190 с.; Страчунский Л.С., Богданович Т.М. Состояние антибиотикорезистентности в России / Антибактериальная терапия: Практическое руководство под ред. Страчунского Л.С., Белоусова Ю.Б., Козлова С.Н. - 2000. - М, Фарммединфо. - 190 с.; Фурлетова Н.М., Карп В.П., Мирская М.А., Никитин А.П. Мониторинг спектра и чувствительности выделяемой микрофлоры в стационаре - МКО-10, 2002; Clatworthy A.E., Pierson E., Hung D.T. Targeting virulence: a new paradigm for antimicrobial therapy - Nature Chemical Biology - 2007. - V.3. - N9. - P.541-548).

[3]

Так, например, к группе β-лактамных антибиотиков на данный момент описано более 200 ферментов β-лактамаз, инактивирующих путем гидролиза одну из связей β-лактамного кольца. Согласно статистике, такие ферменты встречаются у 60-80% штаммов стафилококков, 30-40% - Escherihia coli, 20% у возбудителей тяжелых нозокомиальных инфекций Enterobacter spp., в результате чего существенно снизилась эффективность цефалоспоринов III и, в последнее время, IV поколений.

[4]

Практически у всех грамотрицательных бактерий с течением времени развивается еще один механизм устойчивости к данной группе препаратов: снижение проницаемости внешних структур, в результате мутаций, приводящих к полной или частичной утрате поринов, белков, участвующих в осуществлении динамической связи между бактериями и окружающей средой, в том числе поддерживают структурную целостность клетки, регулируют транспорт питательных веществ и бактерицидных агентов).

[5]

Аналогичная ситуация складывается с чувствительностью патогенов к аминогликозидам. Описано более 50 ферментов, инактивирующих данную группу антибиотиков.

[6]

Кроме того, используемые в клинической практике антибиотики в большинстве своем эффективно работают против острых инфекций, но не эффективны к хронической стадии инфекционного процесса. Это объясняется тем, что острая и хроническая инфекции - две разные формы взаимодействия патогена и организма хозяина, при которых реализуются две различные стратегии, заложенные в геноме патогена. В отличие от острой инфекции, хроническая инфекция это более сложная система взаимодействия, эволюционно выработанная адаптация, направленная на длительное выживание.

[7]

Таким образом, создание новых лекарственных препаратов для борьбы с хроническими инфекциями является актуальнейшей проблемой биологии и медицины.

[8]

Описанные выше проблемы заставили разработать подходы к синтезу новых антибактериальных средств для борьбы с патогенными бактериями.

[9]

В литературе описаны соединения, содержащие тиогидразидные фрагменты в своем составе, обладающие антибактериальными и антивирусными свойствами (К.Waisser, N.Houngbedji, Z.Odlerova, W.Thiel, R.Mayer. Pharmazie 45 (1990), H.2, 141; Antituberkulotika 45. Mitteilung: Antimykobakterielle Thiohydrazide, Waisser K., Odlerova Z., Houngbedji N., Thiel W., Mayer R. Zentralbl Mikrobiol. (1989), 144(5), 355). Практически не изучено биологическая активность тиогидразидов оксаминовых кислот.

[10]

Наиболее близкими к заявляемым соединениям являются тиогидразиды оксаминовых кислот общей формулы:

[11]

[12]

где R = циклогексил, фенил, дифенил, нафтил, которые исследовались в качестве противотуберкулезных средств (Antituberkulotika 45. Mitteilung: Antimykobakterielle Thiohydrazide, Waisser К., Odlerova Z., Houngbedji N., Thiel W., Mayer R. Zentralbl Mikrobiol. (1989), 144(5), 355). Однако производные тиогидразидов оксаминовых кислот, в том числе N-замещенные тиогидразиды оксаминовых кислот не изучались в качестве средств против патогенных бактерий, в том числе хламидий, вызывающих хронические инфекции.

[13]

Большую опасность для человека представляют хламидии, чрезвычайно успешно адаптированные к длительному сосуществованию с организмом хозяина и определяющие возможность развития хронических инфекций. Как известно патогенными для человека являются два основных вида хламидий: Ch.trachomatis и Ch.pneumoniae. Ch.trachomatis - самый распространенный возбудитель урогенитальных инфекций бактериальной природы. В нашей стране регистрируется ежегодно более 1,5 млн. новых случаев заболеваний, но это не отражает истинную картину заболеваемости, так как почти в 80% случаев инфекция протекает бессимптомно, а значит, не выявляется и не лечится, что и приводит к развитию хронического процесса. Хронические урогенитальные хламидиозы имеют очень серьезные последствия: женское и мужское бесплодие, патологии беременности, артрит, рак простаты и шейки матки.

[14]

Другим патогенным для человека видом хламидий является Ch.pneumoniae - возбудитель респираторного хламидиоза. С этим возбудителем связывают от 10 до 20% внебольничных пневмоний, а в период эпидемии показатели могут увеличиваться до 25%. Летальность при хламидийных пневмониях составляет почти 10%.

[15]

Задачей настоящего изобретения является изыскание новых соединений, возможность их использования в качестве антибактериальных средств против патогенных бактерий, в том числе и хламидий, и разработка способа их получения.

[16]

Поставленная задача достигается новыми N-замещенными производными тиогидразидов оксаминовых кислот общей формулы (I):

[17]

[18]

где R и R1, представляют собой Н, незамещенные или замещенные Het, Ar, Alk, при этом заместителями могут быть Alk, Hal, CF3, NR3R4, COOR3, CONR3R4, CONHNR3R4, COR3, NO2, CN, ОН, OR3, SH, SR3, либо R+R1=C2H4OC2H4,

[19]

R2 представляет собой Н, Alk, OR3, Hal, COOR3, CONH2, NO2 CN, OH, SR3, где R3,R4 = Alk

[20]

Het представляет собой 5- или 6-членное кольцо, содержащее один или два гетероатома, выбранных из О, N, S

[21]

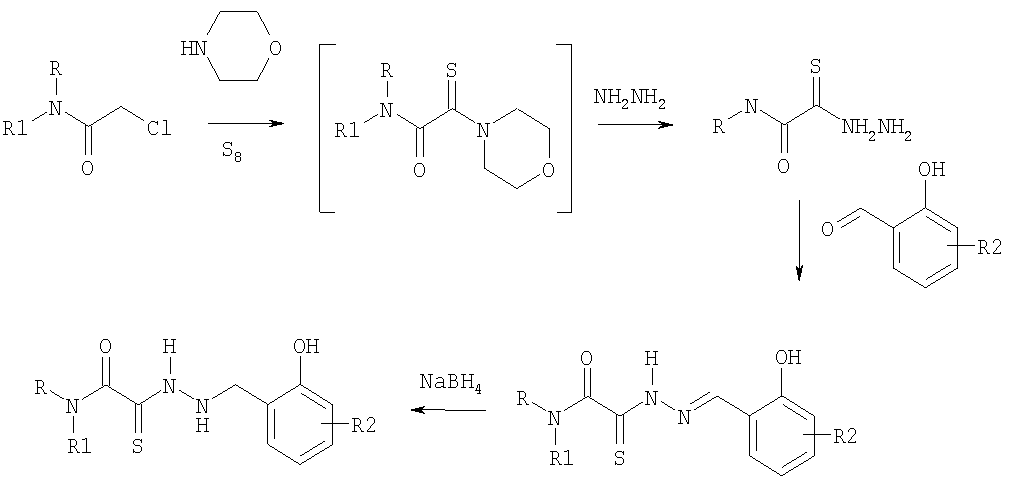
и способом их получения, заключающимся во взаимодействии соответствующих хлорацетамидов с раствором элементной серы в морфолине с последующим пропусканием полученного раствора монотиооксамида через слой сорбента и обработкой его гидразингидратом, взаимодействием образующихся при этом тиогидразидов оксаминовых кислот с производными салицилового альдегида с последующим восстановлением полученных гидразонов натрий боргидридом, в соответствии с нижеприведенной схемой:

[22]

[23]

При этом тиогидразиды оксаминовых кислот получают по методу, который отличается от описанного в литературе (Синтез тиогидразидов оксаминовых кислот и карбамоил-1,3,4-тиадиазолов, В.Н.Яровенко, А.В.Широков, О.Н.Крупинова, И.В.Заварзин, М.М.Краюшкин. ЖОрХ, (2003), 39(8), 1204) тем, что промежуточный монотиооксамид не выделяют и реакционную смесь, содержащую монотиооксамид, пропускают через слой сорбента и затем обрабатывают гидразингидратом. Для получения целевых продуктов образующиеся при этом тиогидразиды оксаминовых кислот подвергают взаимодействию с производными салицилового альдегида с последующим восстановлением полученных гидразонов натрийборгидридом.

[24]

Предложенный метод позволяет получать новые N- замещенные производные тиогидразидов оксаминовых кислот с хорошим выходом.

[25]

Соединения (I) проявляют антибактериальную активность и могут быть использованы в качестве антибактериальных средств для подавления патогенных бактерий, в том числе и хламидий.

[26]

Способ подавления патогенных бактерий заключается в воздействии на бактерии эффективным количеством соединения (I).

[27]

Полученные соединения хорошо растворимы в органических растворителях, что способствует их дальнейшему изучению и продвижению в качестве лекарственных препаратов.

[28]

Конкретные примеры выполнения группы изобретений.

[29]

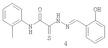
Пример 1.

[30]

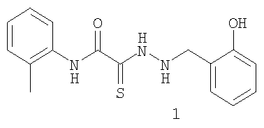
2-[2-(2-гидроксибензил)гидразино]-N-(2-метилфенил)-2-тиоксоацетамид (1)

[31]

[32]

N-хлорацетил-2-метиланилин (2).

[33]

[34]

К раствору 10,7 г (0,1 моль) 2-метиланилина в 100 мл ДМФА добавляем, при охлаждении, 8,75 мл (0,11 моль) хлорацетилхлорида, следя за тем, чтобы температура не превышала 20°С. После окончания прибавления перемешиваем при комнатной температуре раствор еще 2 часа. Затем выливаем реакционную смесь в 600 мл холодной воды и отфильтровываем осадок. Промываем его на фильтре водой и сушим на воздухе.

[35]

Выход хлорацетамида (2) 15,5 г, 85%. Т.пл. 124-126°С. ЯМР1H DMSOd6 (δ, м.д., J, Гц): 1,74 (с, 3Н, СН3); 7,41 (м, 1H, аром); 7,21 (м, 1H, аром); 7,07 (м, 1Н, аром) 7,63 (м, 1H, аром); 4,20 (с, 2Н, CH2Cl); 10,57 (с, 1H, NH). Найдено (%) 58.86, Н 5.47, N 7.64. Вычислено (%): С 58.87, Н 5.49, N 7.63. Масс-спектр, m/z: 183.

[36]

2-[гидразино-(тиоксо)-ацетиламино]-2-метиланилин (3).

[37]

[38]

Готовим раствор 0,15 моль элементной серы в 50 мл ДМФА и добавляем 5 мл (0,06 моль) морфолина. Полученную смесь перемешиваем 20-30 минут и добавляем к ней раствор 9,15 г (0,05 моль) хлорацетамида (2) в минимальном количестве ДМФА, при охлаждении, следя за тем, чтобы температура не превышала 15°С. Полученную смесь перемешиваем 3-4 часа (контроль по ТСХ). После окончания реакции реакционную смесь пропускаем через слой силикагеля, к полученному раствору добавляем 6 мл (0,12 моль) гидразингидрата и перемешиваем при комнатной температуре 2 часа. Затем выливаем в воду и подкисляем разбавленной соляной кислотой до рН 7. Отфильтровываем осадок и сушим его на воздухе.

[39]

Выход тиогидразида (3) 10,4 г, 60%. Т.пл. 154-155°С. ЯМР1H DMSOd6(δ, м.д., J, Гц): 1,74 (с, 3Н, СН3); 7,41 (м, 1Н, аром); 7,21 (м, 1H, аром); 7,07 (м, 1Н, аром); 7,63 (м, 1H, аром); 10,59 (с, 1Н, NH). Найдено: С 51.64, Н 5.28, N 20,10. Вычислено: С 51.66, Н 5.30, N 20.08. Масс-спектр, m/z: 209.

[40]

2-{2-[(2-гидроксифенил)метилиден]гидразино}-N-(2-метилфенил)-2-тиоксоацетамид (4)

[41]

[42]

К 209 мг (10 ммоль) тиогидразида оксаминовой кислоты (3) в 1-2 мл ДМФА добавили 140 мг (11 ммоль) салицилового альдегида в 1 мл ДМФА. Реакционную смесь оставили на сутки при комнатной температуре, затем добавили 3 мл метанола, выпавший осадок отфильтровали и промыли метанолом.

[43]

Выход гидразона (4) 156 мг, 50%. Т.пл. 215-217°С. ЯМР1Н DMSOd6 (δ, м.д., J, Гц): 2,50 (с, 3Н, СН3); 7,02 (м, 4Н, аром); 7,41 (м, 1H, аром); 7,21 (м, 1Н, аром); 7,07 (м, 1Н, аром); 7,63 (м, 1Н, аром); 10,59 (с, 1Н, NH). 11,92 (с, 1Н, NH т.амид). 12,76 (с, 1H, ОН, фен.). Найдено: С 61.33, Н 4.81, N 13.40. Вычислено: С 61.32, Н 4.82, N 13.41. Масс-спектр, m/z: 313.

[44]

2-[2-(2-гидроксибензил)гидразино]-N-(2-метилфенил)-2-тиоксоацетамид (1)

[45]

[46]

К 313 мг (1 ммоль) тиогидразона (4) в 3 мл метанола при охлаждении льдом (0-5°С) добавили 55 мг (1,5 ммоль) боргидрида натрия, небольшими порциями. Реакционную смесь оставили на 2 часа при охлаждении, затем добавили 15 мл воды и нейтрализовали разбавленной соляной кислотой до нейтральной среды. Выпавший осадок отфильтровали и перекристаллизовали из изопропанола или этанола.

[47]

Выход гидразида (1) 220 мг, 70%. Т.пл. 245-246°С. ЯМР1Н CDCl3 (δ, м.д., J, Гц): 2,50 (с, 3Н, СН3); 4,35 (с, 1H, СН2); 6,45 (с, 1H, NH); 6,96 (м, 2Н, аром); 7,21 (м, 5Н, аром); 7,98 (м, 1H, аром); 9,92 (с 1H, ОН, фен.). Найдено (%): С 61.10, Н 5.11, N 13.40. Вычислено (%): С 60.93, Н 5.43, N 13.32. Масс-спектр, m/z: 315.

[48]

Пример 2.

[49]

2-[2-(3-этокси-2-гидроксибензил)гидразино]-N-(4-фторфенил)-2-тиоксоацетамид (5)

[50]

[51]

N-хлорацетил-4-фторанилин (6).

[52]

[53]

К раствору 11,1 г (0,1 моль) 4-фторанилина в 100 мл ДМФА добавляем при охлаждении 8,75 мл (0,11 моль) хлорацетилхлорида, следя за тем, чтобы температура не превышала 20°С. После окончания прибавления перемешиваем при комнатной температуре раствор еще 2 часа. Затем выливаем реакционную смесь в 600 мл холодной воды и отфильтровываем осадок. Промываем его на фильтре водой и сушим на воздухе.

[54]

Выход хлорацетамида (6) 80% Т.пл. 110-112°С. ЯМР1Н DMSOd6 (δ, м.д., J, Гц): 7,21 (д, 2Н, аром); 7,07 (д, 2Н, аром); 4,20 (с, 2Н, СН2С1). Найдено (%): С 51.21, Н 3.73, N 7.46. Вычислено (%): С 51.22, Н 3.76, N 7.47. Масс-спектр, m/z: 187.

[55]

2-[гидразино-(тиоксо)-ацетиламино]-4-фторанилин (7).

[56]

[57]

Готовим раствор 0,15 моль элементной серы в 50 мл ДМФА и добавляем 0,06 моль морфолина. Полученную смесь перемешиваем 20-30 минут и добавляем к ней раствор 9,37 г (0,05 моль) хлорацетамида (6) в минимальном количестве ДМФА, при охлаждении, следя за тем, чтобы температура не превышала 15°С. Полученную смесь перемешиваем 3-10 часов (контроль по ТСХ). После окончания реакции реакционную смесь пропускаем через слой силикагеля, к полученному раствору добавляем 6 мл (0,12 моль) гидразингидрата и перемешиваем при комнатной температуре 2 часа. Затем выливаем в воду и подкисляем разбавленной соляной кислотой до рН 7. Отфильтровываем осадок и сушим его на воздухе.

[58]

Выход тиогидразида (7) 6,4 г, 60%. Т.пл. 154-155°С. ЯМР1Н DMSOd6(δ, м.д., J, Гц): 7,21 (д, 2Н, аром); 7,07 (д, 2Н, аром); 10,59 (с, 1H, NH). Найдено (%): С 51.64, Н 5.28, N 20,10. Вычислено (%): С 45.06, Н 3.78, N 19,71. Масс-спектр, m/z: 213.

[59]

2-{[1-(2-гидрокси3-этокси-фенил)-метилиден-гидразиноокситиоацетил]-амино}-4-фторанилин (8).

[60]

[61]

К 213 мг (10 ммоль) тиогидразида оксаминовой кислоты (7) в 0,5 мл ДМФА добавили 11 ммоль салицилового альдегида в 1 мл метанола. Реакционную смесь оставили на сутки при комнатной температуре. Затем добавили 2 мл метанола и охладили до -5, осадок отфильтровали и промыли небольшим количеством ледяного метанола.

[62]

Выход гидразона (8) 180 мг, 50%. Т.пл. 215-217°С. ЯМР1H CDCl3 (δ, м.д., J, Гц): 1.5 (м, 3Н, СН3); 4,15 (м, 2Н, СН2); 6,88 (м, 2Н, аром); 7,07 (м, 3Н, аром) 7,65 (м, 2Н, аром); 8,57 (м, 1H, гидр.); 10,05 (с, 1H, ОН); 10,98 (с, 1Н, NH). 12,00 (с, 1H, NH т.амид). Найдено (%): С 56.41, Н 4.30, N 11.79. Вычислено (%): С 56.50, Н 4.46, N 11.63. Масс-спектр, m/z: 361.

[63]

2-[2-(3-этокси-2-гидроксибензип)гидразино]-N-(4-фторфенил)-2-тиоксоацетамид (5)

[64]

[65]

К 361 мг (1 ммоль) тиогидразона (8) в 3 мл метанола при охлаждении льдом (0-5°С) добавили 55 мг (1,5 ммоль) боргидрида натрия, небольшими порциями. Реакционную смесь оставили на 2 часа при охлаждении, затем добавили 15 мл воды и нейтрализовали разбавленной соляной кислотой до нейтральной среды. Выпавший осадок отфильтровали и перекристаллизовали из изопропанола или этанола.

[66]

Выход гидразида (5) 272 мг, 75%. Т.пл. 232-233°С. ЯМР1H CDC13 (δ, м.д., J, Гц): 1.46 (м, 3Н, СН3); 4,12 (м, 2Н, СН2); 4,36 (с, 2Н, СН2), 6,85 (м, 4Н, аром); 7,08 (м, 1H, аром) 7,60 (м, 2Н, аром); 9,85 (с, 1H, ОН). Найдено (%): С 56.43, Н 4.62, N 11.78. Вычислено (%): С 56.19, Н 4.99, N 11.56. Масс-спектр, m/z: 363.

[67]

Пример 3.

[68]

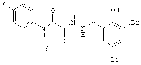
2-[2-(3,5-дибром-2-гидроксибензил)гидразино]-N-(4-фторфенил)-2-тиоксоацетамид (9)

[69]

[70]

2-{2-[(3,5-дибром-2-гидроксифенил)метилиден]гидразино}-Н-(4-фторфенил)-2-тиоксоацетамид (10)

[71]

[72]

К 213 мг (10 ммоль) тиогидразида оксаминовой кислоты (7) в 0,5 мл ДМФА добавили 11 ммоль салицилового альдегида в 1 мл метанола. Реакционную смесь оставили на сутки при комнатной температуре. Затем добавили 2 мл метанола и охладили до -5, осадок отфильтровали и промыли небольшим количеством ледяного метанола.

[73]

Выход гидразона (10) 394 мг, 83%. Т.пл. 315-317°С. ЯМР1Н CDCl3 7,22 (д, 2Н, аром); 7,08 (д, 2Н, аром) 7,21 (с, 1Н, аром); 7,07 (с, 1H, аром); 10,55 (с, 1H, NH); 11,70 (с, 1Н, NH т.амид); 13,78(с, 1Н, ОН, фен.). Найдено (%): С 37.72, Н 2.19, N 8.98. Вычислено (%): С 37.92, Н 2.12, N 8.84. Масс-спектр, m/z: 475.

[74]

2-[2-(3,5-дибром-2-гидроксибензил)гидразино]-N-(4-фторфенил)-2-тиоксоацетамид (9)

[75]

[76]

К 475 мг (1 ммоль) тиогидразона (10) в 3 мл метанола при охлаждении льдом (0-5°С) добавили 55 мг (1,5 ммоль) боргидрида натрия, небольшими порциями. Реакционную смесь оставили на 2 часа при охлаждении, затем добавили 15 мл воды и нейтрализовали разбавленной соляной кислотой до нейтральной среды. Выпавший осадок отфильтровали и перекристаллизовали из изопропанола, этанола или хлороформа.

[77]

Выход гидразида (9) 357 мг, 75%. Т.пл. 272-273°С. ЯМР1H CDCl3 (δ, м.д., J, Гц): 4,36 (с, 2Н, СН2), 6,85 (м, 4Н, аром); 7,60 (м, 2Н, аром); 9,85 (с, 1H, ОН). Найдено (%): С 37.56, Н 2.73, N 8.62. Вычислено (%): С 37.76, Н 2.53, N 8.81. Масс-спектр, m/z: 477.

[78]

Пример 4.

[79]

2-[2-(5-бром-2-гидроксибензил)гидразино]-N-(4-фторфенил)-2-тиоксоацетамид (11)

[80]

[81]

2-{2-[(5-бром-2-гидроксифенил)метилиден]гидразино}-N-(4-фторфенил)-2-тиоксоацетамид (12)

[82]

[83]

К 213 мг (10 ммоль) тиогидразида оксаминовой кислоты (7) в 0,5 мл ДМФА добавили 11 ммоль салицилового альдегида в 1 мл метанола. Реакционную смесь оставили на сутки при комнатной температуре. Затем добавили 2 мл метанола и охладили до -5, осадок отфильтровали и промыли небольшим количеством ледяного метанола.

[84]

Выход гидразона (12) 277 мг, 70%. Т.пл. 235-237°С. ЯМР1H CDCl3 7,22 (д, 2Н, аром); 7,08 (д, 2Н, аром) 7,21 (с, 1Н, аром); 7,07 (м, 2Н, аром); 10,55 (с, 1Н, NH); 11,70 (с, 1H, NH т.амид); 13,78 (с, 1H, ОН, фен.). Найдено (%): С 45.36, Н 2.89, N 10.77. Вычислено (%): С 45.47, Н 2.80, N 10.60. Масс-спектр, m/z: 396.

[85]

2-[2-(5-бром-2-гидроксибензил)гидразино]-N-(4-фторфенил)-2-тиоксоацетамид (11)

[86]

[87]

К 478 мг (1 ммоль) тиогидразона (12) в 3 мл метанола при охлаждении льдом (0-5°С) добавили 55 мг (1,5 ммоль) боргидрида натрия, небольшими порциями. Реакционную смесь оставили на 2 часа при охлаждении, затем добавили 15 мл воды и нейтрализовали разбавленной соляной кислотой до нейтральной среды. Выпавший осадок отфильтровали и перекристаллизовали из изопропанола, этанола или хлороформа.

[88]

Выход гидразида (11) 278 мг, 70%. Т.пл. 222- 223°С. ЯМР1Н CDCl3 (δ, м.д., J, Гц): 4,36 (с, 2Н, СН2), 6,85 (м, 4Н, аром); 7,08 (м, 1H, аром) 7,60 (м, 2Н, аром); 9,85 (с, 1H, ОН). Найдено (%): С 56.43, Н 4.62, N 11.78. Вычислено (%): С 56.19, Н 4.99, N 11.56. Масс-спектр, m/z: 398.

[89]

Пример 5.

[90]

2-[2-(3-этокси-2-гидроксибензил)гидразино]-N-(3-фторфенил)-2-тиоксоацетамид (13)

[91]

[92]

N-хлорацетил-3-фторанилин (14).

[93]

[94]

К раствору 11,1 г (0,1 моль) 3-фторанилина в 100 мл ДМФА добавляем при охлаждении 8,75 мл (0,11 моль) хлорацетилхлорида, следя за тем, чтобы температура не превышала 20°С. После окончания прибавления перемешиваем при комнатной температуре раствор еще 2 часа. Затем выливаем реакционную смесь в 600 мл холодной воды и отфильтровываем осадок. Промываем его на фильтре водой и сушим на воздухе.

[95]

Выход хлорацетамида (14) 80% Т.пл. 130-131°С. ЯМР1Н DMSOd6 (δ, м.д., J, Гц): 7,21 (м, 3Н, аром); 7,07 (с, 1Н, аром); 4,20 (с, 2Н, CH2Cl). Найдено (%): С 51.21, Н 3.73, N 7.46. Вычислено (%): С 51.22, Н 3.76, N 7.47. Масс-спектр, m/z: 187.

[96]

2-[гидразино-(тиоксо)-ацетиламино]-3-фторанилин (15).

[97]

[98]

Готовим раствор 0,15 моль элементной серы в 50 мл ДМФА и добавляем 0,06 моль морфолина. Полученную смесь перемешиваем 20-30 минут и добавляем к ней раствор 9,37 г (0,05 моль) хлорацетамида (14) в минимальном количестве ДМФА, при охлаждении, следя за тем, чтобы температура не превышала 15°С. Полученную смесь перемешиваем 3-10 часов (контроль по ТСХ). После окончания реакции реакционную смесь пропускаем через слой силикагеля, к полученному раствору добавляем 6 мл (0,12 моль) гидразингидрата и перемешиваем при комнатной температуре 2 часа. Затем выливаем в воду и подкисляем разбавленной соляной кислотой до рН 7. Отфильтровываем осадок и сушим его на воздухе.

[99]

Выход тиогидразида (15) 6,4 г, 60%. Т.пл. 164-165°С. ЯМР1Н DMSOd6(δ, м.д., J, Гц): 7,21 (д, 2Н, аром); 7,07 (д, 2Н, аром); 10,59 (с, 1H, NH). Найдено (%): С 51.64, Н 5.28, N 20,10. Вычислено (%): С 45.06, Н 3.78, N 19,71. Масс-спектр, m/z: 213.

[100]

2-{[1-(2-гидрокси3-этокси-фенил)-метилиден-гидразиноокситиоацетил]-амино}-3-фторанилин (16).

[101]

[102]

К 213 мг (10 ммоль) тиогидразида оксаминовой кислоты (15) в 0,5 мл ДМФА добавили 11 ммоль салицилового альдегида в 1 мл метанола. Реакционную смесь оставили на сутки при комнатной температуре. Затем добавили 2 мл метанола и охладили до -5, осадок отфильтровали и промыли небольшим количеством ледяного метанола.

[103]

Выход гидразона (16) 158 мг, 50%. Т.пл. 225-226°С. ЯМР1Н CDCl3 (δ, м.д., J, Гц): 1.5 (м, 3Н, СН3); 4,15 (м, 2Н, СН2); 6,88 (м, 3Н, аром); 7,07 (м, 3Н, аром); 7,65 (с, 1Н, аром); 8,57 (м, 1H, гидр.); 10,05 (с, 1H, ОН); 10,98 (с, 1H, NH); 12,00 (с, 1H, NH т.амид). Найдено (%):С 56.41, Н 4.30, N 11.79. Вычислено (%): С 56.50, Н 4.46, N 11.63. Масс-спектр, m/z: 361.

[104]

2-[2-(3-этокси-2-гидроксибензил)гидразино]-N-(3-фторфенил)-2-тиоксоацетамид (13)

[105]

[106]

К 361 мг (1 ммоль) тиогидразона (16) в 3 мл метанола при охлаждении льдом (0-5°С) добавили 55 мг (1,5 ммоль) боргидрида натрия, небольшими порциями. Реакционную смесь оставили на 2 часа при охлаждении, затем добавили 15 мл воды и нейтрализовали разбавленной соляной кислотой до нейтральной среды. Выпавший осадок отфильтровали и перекристаллизовали из изопропанола или этанола.

[107]

Выход гидразида (13) 272 мг, 75%. Т.пл. 232- 233°С. ЯМР1Н CDC13 (δ, м.д., J,Гц): 1.46 (м, 3Н, СН3); 4,12 (м, 2Н, СН2); 4,36 (с, 2Н, СН2), 6,85 (м, 4Н, аром); 7,08 (м, 1H, аром); 7,60 (м, 2Н, аром); 9,85 (с, 1H, ОН). Найдено (%): С 56.43, Н 4.62, N 11.78. Вычислено (%): С 56.19, Н 4.99, N 11.56. Масс-спектр, m/z: 363.

[108]

Пример 6.

[109]

2-[2-(3-этокси-2-гидроксибензил)гидразино]-N-(2-фторфенил)-2-тиоксоацетамид (17)

[110]

[111]

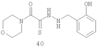
N-хлорацетил-2-фторанилин (18)

[112]

[113]

К раствору 11,1 г (0,1 моль) 2-фторанилина в 100 мл ДМФА добавляем при охлаждении 8,75 мл (0,11 моль) хлорацетилхлорида, следя за тем, чтобы температура не превышала 20°С. После окончания прибавления перемешиваем при комнатной температуре раствор еще 2 часа. Затем выливаем реакционную смесь в 600 мл холодной воды и отфильтровываем осадок. Промываем его на фильтре водой и сушим на воздухе.

[114]

Выход хлорацетамида (18) 80% Т.пл. 130-132°С. ЯМР1H DMSOd6 (δ, м.д., J, Гц): 7,21 (м, 2Н, аром); 7,07 (м, 2Н, аром); 4,20 (с, 2Н, СН2С1). Найдено (%): С 51.21, Н 3.73, N 7.46. Вычислено (%): С 51.22, Н 3.76, N 7.47. Масс-спектр, m/z: 187.

[115]

2-[гидразино-(тиоксо)-ацетиламино]-2-фторанилин (19).

[116]

[117]

Готовим раствор 0,15 моль элементной серы в 50 мл ДМФА и добавляем 0,06 моль морфолина. Полученную смесь перемешиваем 20-30 минут и добавляем к ней раствор 9,37 г (0,05 моль) хлорацетамида (18) в минимальном количестве ДМФА при охлаждении, следя за тем, чтобы температура не превышала 15°С. Полученную смесь перемешиваем 3-10 часов (контроль по ТСХ). После окончания реакции реакционную смесь пропускаем через слой силикагеля, к полученному раствору добавляем 6 мл (0,12 моль) гидразингидрата и перемешиваем при комнатной температуре 2 часа. Затем выливаем в воду и подкисляем разбавленной соляной кислотой до рН 7. Отфильтровываем осадок и сушим его на воздухе.

[118]

Выход тиогидразида (18) 6,4 г, 60%. Т.пл. 164-165°С. ЯМР1Н DMSOd6(δ, м.д., J, Гц): 7,21 (д, 2Н, аром); 7,07 (д, 2Н, аром); 10,59 (с, 1H, NH). Найдено (%): С 51.64, Н 5.28, N 20,10. Вычислено (%): С 45.06, Н 3.78, N 19,71. Масс-спектр, m/z: 213.

[119]

2-{[1-(2-гидрокси3-этокси-фенил)-метилиден-гидразиноокситиоацетил]-амино}-2-фторанилин (19).

[120]

[121]

К 213 мг (10 ммоль) тиогидразида оксаминовой кислоты (18) в 0,5 мл ДМФА добавили 11 ммоль салицилового альдегида в 1 мл метанола. Реакционную смесь оставили на сутки при комнатной температуре. Затем добавили 2 мл метанола и охладили до -5, осадок отфильтровали и промыли небольшим количеством ледяного метанола.

[122]

Выход гидразона (19) 158 мг, 50%. Т.пл. 215-217°С. ЯМР1Н CDCl3 (δ, м.д., J, Гц): 1.5 (м, 3Н, СН3); 4,15 (м, 2Н, СН2); 6,88 (м, 2Н, аром); 7,07 (м, 3Н, аром) 7,65 (м, 2Н, аром); 8,57 (м, 1H, гидр.); 10,05 (с, 1H, ОН); 10,98 (с, 1H, NH). 12,00 (с, 1H, NH т.амид). Найдено (%): С 56.41, Н 4.30, N 11.79. Вычислено (%): С 56.50, Н 4.46, N 11.63. Масс-спектр, m/z: 361.

[123]

2-[2-(3-этокси-2-гидроксибензил)гидразино]-N-(2-фторфенил)-2-тиоксоацетамид (17)

[124]

[125]

К 361 мг (1 ммоль) тиогидразона (19) в 3 мл метанола при охлаждении льдом (0-5°С) добавили 55 мг (1,5 ммоль) боргидрида натрия, небольшими порциями. Реакционную смесь оставили на 2 часа при охлаждении, затем добавили 15 мл воды и нейтрализовали разбавленной соляной кислотой до нейтральной среды. Выпавший осадок отфильтровали и перекристаллизовали из изопропанола или этанола.

[126]

Выход гидразида (17) 272 мг, 75%. Т.пл. 232-233°С. ЯМР1Н CDCl3 (δ, м.д., J, Гц): 1,46 (м, 3Н, СН3); 4,12 (м, 2Н, СН2); 4,36 (с, 2Н, СН2); 6,85 (м, 4Н, аром); 7,08 (м, 1Н, аром); 7,60 (м, 2Н, аром); 9,85 (с, 1Н, ОН). Найдено (%): С 56.43, Н 4.62, N 11.78. Вычислено (%): С 56.19, Н 4.99, N 11.56. Масс-спектр, m/z: 363.

[127]

Пример 7.

[128]

2-[2-(3-этокси-2-гидроксибензил)гидразино]-2-тиоксо-N-[2-(трифторметил)фенил]ацетамид (20)

[129]

[130]

N-хлорацетил-2-(трифторметил)-анилин (21).

[131]

[132]

К раствору 16,1 г (0,1 моль) 2-(трифторметил)-анилина в 100 мл ДМФА добавляем при охлаждении 8,75 мл (0,11 моль) хлорацетилхлорида, следя за тем, чтобы температура не превышала 20°С. После окончания прибавления перемешиваем при комнатной температуре раствор еще 2 часа. Затем выливаем реакционную смесь в 600 мл холодной воды и отфильтровываем осадок. Промываем его на фильтре водой и сушим на воздухе.

[133]

Выход хлорацетамида (21) 19 г 80%. Т.пл. 115-116°С. ЯМР1Н DMSOd6(δ, м.д, J, Гц): 7,21 (д, 2Н, аром); 7,07 (д, 2Н, аром); 4,20 (с, 2Н, CH2Cl).

[134]

Найдено (%): С 45.38, Н 2.81, N 5.96. Вычислено (%): С 45.49, Н 2.97, N 5.89. Масс-спектр, m/z: 237.

[135]

2-[гидразино-(тиоксо)-ацетиламино]-2-(трифторметил)-анилин (22).

[136]

[137]

Готовим раствор 0,15 моль элементной серы в 50 мл ДМФА и добавляем 0,06 моль морфолина. Полученную смесь перемешиваем 20-30 минут и добавляем к ней раствор 11,85 г (0,05 моль) хлорацетамида (21) в минимальном количестве ДМФА при охлаждении, следя за тем, чтобы температура не превышала 15°С. Полученную смесь перемешиваем 3-10 часов (контроль по ТСХ). После окончания реакции реакционную смесь пропускаем через слой силикагеля, к полученному раствору добавляем 6 мл (0,12 моль) гидразин гидрата и перемешиваем при комнатной температуре 2 часа. Затем выливаем в воду и подкисляем разбавленной соляной кислотой до рН 7. Отфильтровываем осадок и сушим его на воздухе.

[138]

Выход тиогидразида (22) 6,4 г, 60%. Т.пл. 154-155°С. ЯМР1Н DMSOd6(δ, м.д., J, Гц): 7,21 (д, 2Н, аром); 7,07 (д, 2Н, аром); 10,59 (с, 1H, NH). Найдено (%): С 41.16, Н 3.13, N 15.83. Вычислено (%): С 41.06, Н 3.06, N 15.96. Масс-спектр, m/z: 263.

[139]

2-{[1-(2-гидрокси3-этокси-фенил)-метилиден-гидразиноокситиоацетил]-амино}-2-(трифторметил)-анилин (23).

[140]

[141]

К 263 мг (10 ммоль) тиогидразида оксаминовой кислоты (13) в 0,5 мл ДМФА добавили 11 ммоль салицилового альдегида в 1 мл метанола. Реакционную смесь оставили на сутки при комнатной температуре. Затем добавили 2 мл метанола и охладили до -5, осадок отфильтровали и промыли небольшим количеством ледяного метанола.

[142]

Выход гидразона (23) 158 мг, 50%. Т.пл. 215-217°С. ЯМР1H CDCl3 (δ, м.д., J, Гц): 1.5 (м, 3Н, СН3); 4,15 (м, 2Н, СН2); 6,88 (м, 2Н, аром); 7,07 (м, 3Н, аром); 7,65 (м, 2Н, аром); 8,57 (м, 1H, гидр.); 10,05 (с, 1H, ОН); 10,98 (с, 1Н, NH); 12,00 (с, 1H, NH т.амид). Найдено (%): С 52.43, Н 3.82, N 10.31. Вычислено (%): С 52.55, Н 3.92, N 10.21. Масс-спектр, m/z: 411.

[143]

2-[2-(3-этокси-2-гидроксибензил)гидразино]-2-тиоксо-N-[2-(трифторметил)фенил]ацетамид (20)

[144]

[145]

К 411 мг (1 ммоль) тиогидразона (23) в 3 мл метанола при охлаждении льдом (0-5°С) добавили 55 мг (1,5 ммоль) боргидрида натрия, небольшими порциями. Реакционную смесь оставили на 2 часа при охлаждении, затем добавили 15 мл воды и нейтрализовали разбавленной соляной кислотой до нейтральной среды. Выпавший осадок отфильтровали и перекристаллизовали из изопропанола или этанола.

[146]

Выход гидразида (20) 272 мг, 75%. Т.пл. 232-233°С. ЯМР1H CDCl3 (δ, м.д., J, Гц): 1.46 (м, 3Н, СН3); 4,12 (м, 2Н, СН2); 4,36 (c, 2Н, CH2),6,85 (4H, аром); 7,08 (м, 1Н, аром); 7,60 (м, 2Н, аром); 9,85 (c, 1H, OH). Найдено (%): С 52.29, Н 4.25, N 10.11. Вычислено (%): С 52.30, Н 4.39, N 10.16. Масс-спектр, m/z: 413. .

[147]

2-[2-(3,5-дибром-2-гидроксибензил)гидразино]-2-тиоксо-N-[2-(трифторметил)фенил]ацетамид (25)

[148]

[149]

2-{2-[(3,5-дибром-2-гидроксифенил)метилиден]гидразино}-2-тиоксо-N-[2-(трифторметил) фенил]ацетамид (23)

[150]

[151]

К 263 мг (10 ммоль) тиогидразида оксаминовой кислоты (13) в 0,5 мл ДМФА добавили 11 ммоль салицилового альдегида в 1 мл метанола. Реакционную смесь оставили на сутки при комнатной температуре. Затем добавили 2 мл метанола и охладили до -5, осадок отфильтровали и промыли небольшим количеством ледяного метанола.

[152]

Выход гидразона (25) 158 мг, 50%. Т.пл. 215-217°С.ЯМР1H CDCl3 7,22 (д, 2Н, аром); 7,08 (д, 2Н, аром) 7,21 (с, 1Н, аром); 7,07 (с, 1Н, аром); 10,55 (с, 1Н, NH); 11,70 (с, 1H, NH т.амид); 13,78 (с, 1H, ОН, фен.). Найдено (%): С 36.69, Н 1.81, N 8.09. Вычислено (%): С 36.60, Н 1.92, N 8.00. Масс-спектр, m/z: 525.

[153]

2-[2-(3,5-дибром-2-гидроксибензил)гидразино]-2-тиоксо-H-[2-(трифторметил)фенил]ацетамид (25)

[154]

[155]

К 525 мг (1 ммоль) тиогидразона (25) в 3 мл метанола при охлаждении льдом (0-5°С) добавили 55 мг (1,5 ммоль) боргидрида натрия, небольшими порциями. Реакционную смесь оставили на 2 часа при охлаждении, затем добавили 15 мл воды и нейтрализовали разбавленной соляной кислотой до нейтральной среды. Выпавший осадок отфильтровали и перекристаллизовали из изопропанола, этанола или хлороформа.

[156]

Выход гидразида (24) 272 мг, 75%. Т.пл. 232-233°С. ЯМР1Н CDCl3 (δ, м.д, J, Гц): 1.46 (м, 3Н, СН3); 4,12 (м, 2Н, СН2); 4,36 (с, 2Н, СН2); 6,85 (м, 4Н, аром); 7,08 (м, 1Н, аром); 7,60 (м, 2Н, аром); 9,85 (с, 1Н, ОН). Найдено (%): С 36.35, Н 2.21, N 7.84. Вычислено (%): С 36.46, Н 2.29, N 7.97. Масс-спектр, m/z: 527.

[157]

Пример 9.

[158]

2-[2-(5-бром-2-гидроксибензил)гидразино]-2-тиоксо-N-[2-(трифторметил)фенил]ацетамид (26)

[159]

[160]

2-{(2-[(5-бром-2-гидроксифенил)метилиден]гидразино}-2-тиоксо-N-[2-(трифториетил)фенил]ацетамид (27)

[161]

[162]

К 263 мг (10 ммоль) тиогидразида оксаминовой кислоты (13) в 0,5 мл ДМФА добавили 11 ммоль салицилового альдегида в 1 мл метанола. Реакционную смесь оставили на сутки при комнатной температуре. Затем добавили 2 мл метанола и охладили до -5, осадок отфильтровали и промыли небольшим количеством ледяного метанола.

[163]

Выход гидразона (27) 312 мг, 70%. Т.пл. 215-217°С. ЯМР1Н CDCl3 7,22 (д, 2Н, аром); 7,08 (д, 2Н, аром); 7,21 (с, 1Н, аром); 7,07 (с, 1Н, аром); 10,55 (с, 1Н, NH); 11,70 (с, 1H, NH т.амид); 13,78 (с, 1Н, ОН, фен.). Найдено (%): С 43.16, Н 2.35, N 9.52. Вычислено (%): С 43.07, Н 2.48, N 9.42. Масс-спектр, m/z: 446.

[164]

2-[2-(5-бром-2-гидроксибензил)гидразжо]-2-тиоксо-N-[2-(трифторметил)фенил] ацетамид (26)

[165]

[166]

К 446 мг (1 ммоль) тиогидразона (26) в 3 мл метанола при охлаждении льдом (0-5°С) добавили 55 мг (1,5 ммоль) боргидрида натрия, небольшими порциями. Реакционную смесь оставили на 2 часа при охлаждении, затем добавили 15 мл воды и нейтрализовали разбавленной соляной кислотой до нейтральной среды. Выпавший осадок отфильтровали и перекристаллизовали из изопропанола, этанола или хлороформа.

[167]

Выход гидразида (26) 358 мг, 75%. Т.пл. 232-233°С. ЯМР1Н CDCl3 (δ, м.д., J, Гц): 1.46 (м, 3Н, СН3); 4,12 (м, 2Н, СН2); 4,36 (с, 2Н, СН2); 6,85 (м, 4Н, аром); 7,08 (м, 1Н, аром); 7,60 (м, 2Н, аром); 9,85 (с, 1H, ОН). Найдено (%): С 42.76, Н 2.86, N 9.42. Вычислено (%): С 42.87, Н 2.92, N 9.37. Масс-спектр, m/z: 448.

[168]

Пример 10.

[169]

2-[2-(3-этокси-2-гидроксибензил)гидразино]-2-тиоксо-N-[3-(трифторметил)фенил]ацетамид (28)

[170]

[171]

N-хлорацетил-3-(трифторметил)-анилин (29).

[172]

[173]

К раствору 16,1 г (0,1 моль) 3-(трифторметил)-анилина в 100 мл ДМФА добавляем при охлаждении 8,75 мл (0,11 моль) хлорацетилхлорида, следя за тем, чтобы температура не превышала 20°С. После окончания прибавления перемешиваем при комнатной температуре раствор еще 2 часа. Затем выливаем реакционную смесь в 600 мл холодной воды и отфильтровываем осадок. Промываем его на фильтре водой и сушим на воздухе.

[174]

Выход хлорацетамида (29) 19 г 80% Т.пл. 125-126°С. ЯМР1H DMSOd6(δ, м.д., J, Гц): 7,21 (д, 2Н, аром); 7,07 (д, 2Н, аром); 4,20 (с, 2Н, CH2Cl).

[175]

Найдено (%): С 45.38, Н 2.81, N 5.96. Вычислено (%): С 45.49, Н 2.97, N 5.89. Масс-спектр, m/z: 237.

[176]

2-[гидразино-(тиоксо)-ацетиламино]-3-(трифторметил)-анилин (30).

[177]

[178]

Готовим раствор 0,15 моль элементной серы в 50 мл ДМФА и добавляем 0,06 моль морфолина. Полученную смесь перемешиваем 20-30 минут и добавляем к ней раствор 11,85 г (0,05 моль) хлорацетамида (21) в минимальном количестве ДМФА при охлаждении, следя за тем, чтобы температура не превышала 15°С. Полученную смесь перемешиваем 3-10 часов (контроль по ТСХ). После окончания реакции реакционную смесь пропускаем через слой силикагеля, к полученному раствору добавляем 6 мл (0,12 моль) гидразингидрата и перемешиваем при комнатной температуре 2 часа. Затем выливаем в воду и подкисляем разбавленной соляной кислотой до рН 7. Отфильтровываем осадок и сушим его на воздухе.

[179]

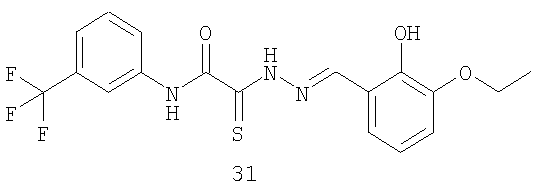
Выход тиогидразида (30) 6,4 г, 60%. Т.пл. 154-155°С. ЯМР1Н DMSOd6(δ, м.д., J, Гц): 7,21 (д, 2Н, аром); 7,07 (д, 2Н, аром); 10,59 (с, 1H, NH). Найдено (%): С 41.16, Н 3.13, N 15.83. Вычислено (%): С 41.06, Н 3.06, N 15.96. Масс-спектр, m/z: 263.

[180]

2-{(2-[(3-этокси-2-гидроксифенил)метилиден]гидразино}-2-тиоксо-N-[3-(трифторметил)фенил]ацетамид (31)

[181]

[182]

К 263 мг (10 ммоль) тиогидразида оксаминовой кислоты (30) в 0,5 мл ДМФА добавили 11 ммоль салицилового альдегида в 1 мл метанола. Реакционную смесь оставили на сутки при комнатной температуре. Затем добавили 2 мл метанола и охладили до -5, осадок отфильтровали и промыли небольшим количеством ледяного метанола.

[183]

Выход гидразона (31) 158 мг, 50%. Т.пл. 215-217°С. ЯМР1Н CDCl3 (δ, м.д., J, Гц): 1.5 (м, 3Н, СН3); 4,15 (м, 2Н, СН2); 6,88 (м, 2Н, аром); 7,07 (м, 3Н, аром) 7,65 (м, 2Н, аром); 8,57 (м, 1H, гидр.); 10,05 (с, 1Н, ОН); 10,98 (с, 1H, NH); 12,00 (с, 1H, NH т.амид). Найдено (%): С 52.43, Н 3.82, N 10.31. Вычислено (%): С 52.55, Н 3.92, N 10.21. Масс-спектр, m/z: 411.

[184]

2-[2-(3-этокси-2-гидроксибензил)гидразино]-2-тиоксо-N-[3-(трифторметил)фенил]ацетамид (28)

[185]

[186]

К 411 мг (1 ммоль) тиогидразона (31) в 3 мл метанола при охлаждении льдом (0-5°С) добавили 55 мг (1,5 ммоль) боргидрида натрия, небольшими порциями. Реакционную смесь оставили на 2 часа при охлаждении, затем добавили 15 мл воды и нейтрализовали разбавленной соляной кислотой до нейтральной среды. Выпавший осадок отфильтровали и перекристаллизовали из изопропанола или этанола.

[187]

Выход гидразида (28) 272 мг, 75%. Т.пл. 232-233°С. ЯМР1Н CDCl3 (δ, м.д., J, Гц): 1.46 (м, 3Н, СН3); 4,12 (м, 2Н, СН2); 4,36 (с, 2Н, СН2); 6,85 (м, 4Н, аром); 7,08 (м, 1H, аром); 7,60 (м, 2Н, аром); 9,85 (с, 1Н, ОН). Найдено (%): С 52.39, Н 4.25, N 10.11. Вычислено (%): С 52.30, Н 4.39, N 10.16. Масс-спектр, m/z: 413.

[188]

Пример 11.

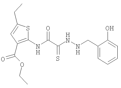
[189]

2-[2-(3-этокси-2-гидроксибензил)гидразино]-2-тиоксо-N-[4-(трифторметил)фенил]ацетамид (32)

[190]

[191]

N-хлорацетил-4-(трифторметил)-анилин (33).

[192]

[193]

К раствору 16,1 г (0,1 моль) 4-(трифторметил)-анилина в 100 мл ДМФА добавляем при охлаждении 8,75 мл (0,11 моль) хлорацетилхлорида, следя за тем, чтобы температура не превышала 20°С. После окончания прибавления перемешиваем при комнатной температуре раствор еще 2 часа. Затем выливаем реакционную смесь в 600 мл холодной воды и отфильтровываем осадок. Промываем его на фильтре водой и сушим на воздухе.

[194]

Выход хлорацетамида (33) 19 г 80% Т.пл. 115-116°С. ЯМР1Н DMSOd6(δ, м.д., J, Гц): 7,21 (д, 2Н, аром); 7,07 (д, 2Н, аром); 4,20 (с, 2Н, CH2Cl). Найдено (%): С 45.38, Н 2.81, N 5.96. Вычислено (%): С 45.49, Н 2.97, N 5.89. Масс-спектр, m/z: 237.

[195]

2-гидразино-2-тиоксо-N-[4-(трифторметил)фенил]ацетамид (34).

[196]

[197]

Готовим раствор 0,15 моль элементной серы в 50 мл ДМФА и добавляем 0,06 моль морфолина. Полученную смесь перемешиваем 20-30 минут и добавляем к ней раствор 11,85 г (0,05 моль) хлорацетамида (33) в минимальном количестве ДМФА при охлаждении, следя за тем, чтобы температура не превышала 15°С. Полученную смесь перемешиваем 3-10 часов (контроль по ТСХ). После окончания реакции реакционную смесь пропускаем через слой силикагеля, к полученному раствору добавляем 6 мл (0,12 моль) гидразингидрата и перемешиваем при комнатной температуре 2 часа. Затем выливаем в воду и подкисляем разбавленной соляной кислотой до рН 7. Отфильтровываем осадок и сушим его на воздухе.

[198]

Выход тиогидразида (34) 6,4 г, 60%. Т.пл. 154-155°С. ЯМР1H DMSOd6(δ, м.д., J, Гц): 7,21 (д, 2Н, аром); 7,07 (д, 2Н, аром); 10,59 (с, 1H, NH). Найдено (%): С 41.16, Н 3.13, N 15.83. Вычислено (%): С 41.06, Н 3.06, N 15.96. Масс-спектр, m/z: 263.

[199]

2-[2-(3-этокси-2-гидроксибензилиден)гидразино]-2-тиоксо-N-[4-(трифторметил)фенил]ацетамид (35).

[200]

[201]

К 263 мг (10 ммоль) тиогидразида оксаминовой кислоты (34) в 0,5 мл ДМФА добавили 11 ммоль салицилового альдегида в 1 мл метанола. Реакционную смесь оставили на сутки при комнатной температуре. Затем добавили 2 мл метанола и охладили до -5, осадок отфильтровали и промыли небольшим количеством ледяного метанола.

[202]

Выход гидразона (35) 158 мг, 50%. Т.пл. 215-217°С. ЯМР1H CDCl3 (δ, м.д., J, Гц): 1.5 (м, 3Н, СН3); 4,15 (м, 2Н, СН2); 6,88 (м, 2Н, аром); 7,07 (м, 3Н, аром) 7,65 (м, 2Н, аром); 8,57 (м, 1H, гидр.); 10,05 (с, 1Н, ОН); 10,98 (с, 1H, NH). 12,00 (с, 1Н, NH т.амид). Найдено (%): С 52.43, Н 3.82, N 10.31. Вычислено (%): С 52.55, Н 3.92, N 10.21. Масс-спектр, m/z: 411.

[203]

2-[2-(3-этокси-2-гидроксибензил)гидразино]-2-тиоксо-N-[4-(трифторметил)фенил]ацетамид (32)

[204]

[205]

К 411 мг (1 ммоль) тиогидразона (35) в 3 мл метанола при охлаждении льдом (0-5°С) добавили 55 мг (1,5 ммоль) боргидрида натрия, небольшими порциями. Реакционную смесь оставили на 2 часа при охлаждении, затем добавили 15 мл воды и нейтрализовали разбавленной соляной кислотой до нейтральной среды. Выпавший осадок отфильтровали и перекристаллизовали из изопропанола или этанола.

[206]

Выход гидразида (32) 309 мг, 75%. Т.пл. 232-233°С. ЯМР1Н CDCl3, (δ, м.д, J, Гц): 1.46 (м, 3Н, СН3); 4,12 (м, 2Н, СН2); 4,36 (с, 2Н, СН2); 6,85 (м, 4Н, аром); 7,08 (м, 1Н, аром); 7,60 (м, 2Н, аром); 9,85 (с, 1H, ОН). Найдено (%): С 52.39, Н 4.25, N 10.11. Вычислено (%): С 52.30, Н 4.39, N 10.16. Масс-спектр, m/z: 413.

[207]

Пример 12.

[208]

5-этил-2-{[1-(2-гидрокси-бензил)-гидразино]-2-тиоксо-N-[амино}-тиофен-3-этилкарбоксилат]ацетамид (36)

[209]

[210]

N-хлорацетил-3-карбэтокси-5-этил-тиофен (37).

[211]

[212]

К раствору 19,9 г (0,1 моль) 2-амино-3-карбэтокси-5-этилтиофена, полученного по реакции Гевальда (J. Heterocycl. Chem. Vol.36, (1999), p.333-345, в 100 мл ДМФА добавляем при охлаждении 8,75 мл (0,11 моль) хлорацетилхлорида, следя за тем, чтобы температура не превышала 20°С. После окончания прибавления перемешиваем при комнатной температуре раствор еще 2 часа. Затем выливаем реакционную смесь в 600 мл холодной воды и отфильтровываем осадок. Промываем его на фильтре водой и сушим на воздухе.

[213]

Выход хлорацетамида (37) 23,4 г, 85%. Т.пл. 123-125°С (EtOH). Спектр ЯМР1Н (δ, м.д., J, Гц): 1,27 (м, 3Н, СН3); 1,30 (м, 3Н, СН3); 2,45 (м, 2Н, СН2); 4,43 (м, 2Н, СН2); 4,3 (с, 2Н, CH2Cl); 7,53 (с, 1H, тиофен); 10,65 (с, 1Н, NH). Найдено (%): С 47.92, Н 5.11, N 5.07. Вычислено (%): С 47.91, Н 5.12, N 5.08. Масс-спектр, m/z: 275.

[214]

5-этил-2-[гидразино]-2-тиоксо-N-[амино-тиофен-3-этилкарбоксилат]ацетамид (38),

[215]

[216]

Готовим раствор 4,8 г (0,15 моль) элементной серы в 50 мл ДМФА и добавляем 5,1 мл (0,06 моль) морфолина. Полученную смесь перемешиваем 20-30 минут и добавляем к ней раствор 13,75 г (0,05 моль) хлорацетамида (37) в минимальном количестве ДМФА при охлаждении, следя за тем, чтобы температура не превышала 15°С. Полученную смесь перемешиваем 3-10 часов (контроль по ТСХ). После окончания реакции реакционную смесь пропускаем через слой силикагеля, к полученному раствору добавляем 6 мл (0,12 моль) гидразингидрата и перемешиваем при комнатной температуре 2 часа. Затем выливаем в воду и подкисляем разбавленной соляной кислотой до рН 7. Отфильтровываем осадок и сушим его на воздухе.

[217]

Выход тиогидразида (38) 8,6 г, 57%. Т.пл. 152-154°С. Спектр ЯМР1Н (δ, м.д., J, Гц): 1.2 (т, 3Н, СН3); 1.4 (т, 3Н, СН3); 2.8 (м, 3Н, СН3); 4.3 (м, 3Н, СН3); 7.10 (с, 1Н, Н аром.); 12.40 (с, 1Н, NH). Найдено (%): С 43.90, Н 5.97, N 13.90. Вычислено (%): С 43.84, Н 5.02, N 13.94. Масс-спектр, m/z: 301.

[218]

5-этил-2-{[1-(2-гидрокси-бензилиден)-гидразино]-2-тиоксо-1H-[амино}-тиофен-3-этилкарбоксилат]ацетамид (39).

[219]

[220]

К 300 мг (10 ммоль) тиогидразида оксаминовой кислоты (38) в 1-2 мл ДМФА добавили 140 мг (11 ммоль) салицилового альдегида в 1 мл ДМФА. Реакционную смесь оставили на сутки при комнатной температуре, затем добавили 3 мл метанола, выпавший осадок отфильтровали и промыли метанолом.

[221]

Выход гидразона (39) 364 мг, 90%. Т пл. 189-190°С. Спектр ЯМР1Н DMSOd6 (δ, м.д., J, Гц):1.2 (т, 3Н, СН3); 1.4 (т, 3Н, СН3); 2.8 (м, 3Н, СН3); 4.3 (м, 3Н, СН3); 7.05 (м, 4Н, Н аром); 7.10 (с, 1Н, Н аром.); 7.35 (с, 1Н); 12.40 (с, 1 Н, NH). Найдено (%): С 53.33, Н 4.71, N 10.35. Вычислено (%): С 53.32, Н 4.72, N 10.36.

[222]

5-этил-2-{[1-(2-гидрокси-бензил)-гидразино]-2-тиоксо-N-[амино}-тиофен-3-этилкарбоксилат]ацетамид (36)

[223]

[224]

К 405 мг (1 ммоль) тиогидразона (39) в 3 мл метанола при охлаждении льдом (0-5°С) добавили 55 мг (1,5 ммоль) боргидрида натрия, небольшими порциями. Реакционную смесь оставили на 2 часа при охлаждении, затем добавили 15 мл воды и нейтрализовали разбавленной соляной кислотой до нейтральной среды. Выпавший осадок отфильтровали и перекристаллизовали из изопропанола или этанола.

[225]

Выход гидразида (36) 364 мг, 90%. Т пл. 159-160°С. Спектр ЯМР1Н DMSOd6 (δ, м.д., J, Гц): 1.2 (т, 3Н, СН3); 1.4 (т, 3Н, СН3); 2.8 (м, 3Н, СН3); 4.3 (м, 3Н, СН3); 4,36 (с, 2Н, СН2); 7.05 (м, 4Н, Н аром); 7.10 (с, 1Н, Н аром.); 12.40 (с, 1Н, NH). Найдено (%): С 53.33, Н 4.71, N 10.35. Вычислено (%): С 53.32, Н 4.72, N 10.36.

[226]

Пример 13

[227]

N-(2-гидроксибензил)-2-морфолин-4-ил-2-оксоэтантиогидразид (40)

[228]

[229]

N-хлорацетилморфолид (41).

[230]

[231]

К раствору 8,7 мл (0,1 моль) морфолина в 50 мл ДМФА добавляют, при охлаждении, 8,75 мл (0,11 моль) хлорацетилхлорида, следя за тем, чтобы температура не превышала 20°С. После окончания прибавления раствор перемешивают при комнатной температуре еще 2 часа. Затем реакционную смесь выливают в 600 мл холодной воды и экстрагируют хлористым метиленом. Промываем органический слой раствором карбоната натрия, затем водой. Сушим над сульфатом натрия и упариваем растворитель на роторном испарителе.

[232]

Выход хлорацетамида (41) 13,8 г (85%). Т.пл. 82-83°С. ЯМР1H DMSOd6 (δ, м.д., J, Гц): 1,94 (м, 4Н, СН2); 2,10 (м, 4Н, СН2); 4,20 (с, 2Н, CH2Cl). Найдено (%): С 44.21, Н 6.03, N 8.43. Вычислено (%): С 44.05, Н 6.16, N 8.56. Масс-спектр, m/z: 163.

[233]

2-[гидразино-(тиоксо)-ацетиламино]-морфолид (42).

[234]

[235]

Готовят раствор 0,15 моль элементной серы в 50 мл ДМФА и добавляют 5 мл (0,06 моль) морфолина. Полученную смесь перемешивают 20-30 минут и добавляют к ней раствор 8,15 г (0,05 моль) хлорацетамида (41) в минимальном количестве ДМФА при охлаждении, следя за тем, чтобы температура не превышала 10°С. Полученную смесь перемешивают 3-4 часа (контроль по ТСХ). После окончания реакции реакционную смесь пропускают через слой силикагеля. К полученному раствору добавляют 6 мл (0,12 моль) гидразингидрата и перемешивают при комнатной температуре 2 часа. Затем реакционную смесь выливают в воду и подкисляют разбавленной соляной кислотой до рН 7. Экстрагируют вещество этилацетатом, промываем водой. Органический слой сушим над сульфатом натрия и пропускаем через небольшой слой силикагеля. Элюат упариваем на роторном испарителе при комнатной температуре.

[236]

Выход тиогидразида (42) 6,14 г (65%). Т.пл. 104-105°С. ЯМР1Н DMSOd6 (δ, м.д., J, Гц): 2,01 (м, 4Н, СН2); 2,22 (м, 4Н, СН2) 10,45 (с, 1H, NH). Найдено: С 38.15, Н 5.95, N 22.43. Вычислено: С 38.08, Н 5.86, N 22.20. Масс-спектр, m/z: 189.

[237]

2-{[1-(2-гидрокси-фенил)-метилиден-гидразиноокситиоацетил]-амино}-морфолид (43).

[238]

[239]

К 189 мг (10 ммоль) тиогидразида оксаминовой кислоты (42) в 1-2 мл ДМФА добавляют 140 мг (11 ммоль) салицилового альдегида в 1 мл ДМФА. Реакционную смесь оставляют на сутки при комнатной температуре, затем добавляют 3 мл воды. Выпавший осадок отфильтровывают и сушат на воздухе.

[240]

Выход гидразона (43) 156 мг (50%). Т.пл. 155-157°С. ЯМР1Н DMSOd6 (δ, м.д, J, Гц): 1,94 (м, 4Н, СН2); 2,10 (м, 4Н, СН2); 7,42 (м, 1Н, аром); 7,21 (м, 1Н, аром); 7,07 (м, 1Н, аром); 7,63 (м, 1Н, аром); 10,59 (с, 1H, NH). 11,82 (с, 1Н, NH т.амид); 12,76 (с, 1Н, ОН, фен.). Найдено: С 53.39, Н 5.26, N 14.21. Вычислено: С 53.23, Н 5.15, N 14.32. Масс-спектр, m/z: 293.

[241]

N′-(2-гидроксибензил)-2-морфолин-4-ил-2-оксоэтантиогидразид (40)

[242]

[243]

К 293 мг (1 ммоль) тиогидразида оксаминовой кислоты (43) в 3 мл метанола добавляем 55 мг (1,5 ммоль) боргидрида натрия при охлаждении, следя за тем, чтобы температура не поднималась выше 5 градусов. После добавления боргидрида натрия реакционную смесь перемешиваем 1,5 часа при охлаждении, затем выливаем в 30 мл холодной воды и подкисляем разбавленной соляной кислотой до нейтральной реакции по лакмусу. Выпавший осадок отфильтровывают и перекристаллизовывают из изопропанола или хлороформа.

[244]

Выход гидразида (40) 156 мг (50%). Т.пл. 215-217°С. ЯМР1Н DMSOd6 (δ, м.д., J, Гц): 1,94 (м, 4Н, СН2); 2,10 (м, 4Н, СН2); 4,10 (с, 2Н, СН2); 7,41 (м, 1Н, аром); 7,21 (м, 1Н, аром); 7,07 (м, 1Н, аром); 7,63 (м, 1Н, аром); 10,59 (с, 1Н, NH); 11,92 (с, 1H, NH т.амид). 12,76 (с, 1Н, ОН, фен.). Найдено: С 52.94, Н 5.64, N 14.43. Вычислено: С 52.87, Н 5.80, N 14.23. Масс-спектр, m/z: 295.

[245]

Пример 14

[246]

2-[2-(2-гидроксибензил)гидразино]-N-изопропил-2-тиоксоацетамид (44)

[247]

[248]

N-хлорацетил-2-аминопропан (45).

[249]

[250]

К раствору 5,9 г (0,1 моль) изопропиламина в 20 мл ДМФА и 10 мл триэтиламина (0,1 моль) добавляют, при охлаждении, 8,75 мл (0,11 моль) хлорацетилхлорида, следя за тем, чтобы температура не превышала 20°С. После окончания прибавления раствор перемешивают при комнатной температуре еще 2 часа. Затем реакционную смесь выливают в 200 мл холодной воды и экстрагируют хлористым метиленом. Промываем органический слой раствором карбоната натрия, затем водой. Сушим над сульфатом натрия и упариваем растворитель на роторном испарителе.

[251]

Выход хлорацетамида (45) 10,1 г (75%). Т.пл. 71-73°С. ЯМР1Н DMSOd6 (δ, м.д, J, Гц): 1,54 (м, 6Н, СН3); 1,85 (м, 1H, СН); 4,25 (с, 2Н, CH2Cl). Найдено (%): С 44.14, Н 7.52, N 10.23. Вычислено (%): С 44.29, Н 7.43, N 10.33. Масс-спектр, m/z: 135.

[252]

[гидразино-(тиоксо)-ацетиламино]-2-аминопропан (46).

[253]

[254]

Готовят раствор 0,15 моль элементной серы в 50 мл ДМФА и добавляют 5 мл (0,06 моль) морфолина. Полученную смесь перемешивают 20-30 минут и добавляют к ней раствор 6,75 г (0,05 моль) хлорацетамида (45) в минимальном количестве ДМФА при охлаждении, следя за тем, чтобы температура не превышала 10°С. Полученную смесь перемешивают 3-4 часа (контроль по ТСХ). После окончания реакции реакционную смесь пропускают через слой силикагеля. К полученному раствору добавляют 6 мл (0,12 моль) гидразингидрата и перемешивают при комнатной температуре 2 часа. Затем реакционную смесь выливают в воду и подкисляют разбавленной соляной кислотой до рН 7. Экстрагируют вещество этилацетатом, промываем водой. Органический слой сушим над сульфатом натрия и пропускаем через небольшой слой силикагеля. Элюат упариваем на роторном испарителе при комнатной температуре.

[255]

Выход тиогидразида (46) 5,23 г (65%). Т.пл. 104-105°С. ЯМР1Н DMSOd6 (δ, м.д, J, Гц): 1,55 (м, 6Н, СН3); 1,92 (м, 1Н, СН) 10,47 (с, 1H, NH). Найдено: С 37.13, Н 6.78, N 26.23. Вычислено: С 37.25, Н 6.88, N 26.06. Масс-спектр, m/z: 161.

[256]

{[1-(2-гидроксифенил)-метилиден-гидразиноокситиоацетил]-амино}-2-аминопропан (47).

[257]

[258]

К 161 мг(10 ммоль) тиогидразида оксаминовой кислоты (46) в 1-2 мл ДМФА добавляют 140 мг (11 ммоль) салицилового альдегида в 1 мл ДМФА. Реакционную смесь оставляют на сутки при комнатной температуре, затем добавляют 3 мл воды. Выпавший осадок отфильтровывают и сушат на воздухе.

[259]

Выход гидразона (47) 106 мг (40%). Т.пл. 154-155°С. ЯМР1Н DMSOd6 (δ, м.д., J, Гц): 1,56 (м, 6Н, СН3); 1,98 (м, 1Н, СН); 7,41 (м, 1H, аром); 7,21 (м, 1Н, аром); 7,07 (м, 1H, аром); 7,63 (м, 1Н, аром); 10,59 (с, 1H, NH); 11,88 (с, 1Н, NH т.амид); 12,54 (с, 1H, ОН, фен.). Найдено: С 54.21, Н 5.60, N 15.98. Вычислено: С 54.32, Н 5.70, N 15.84. Масс-спектр, m/z: 265.

[260]

2-[2-(2-гидроксибензил)гидразино]-N-изопропил-2-тиоксоацетамид (44)

[261]

[262]

К 265 мг (1 ммоль) тиогидразида оксаминовой кислоты (47) в 3 мл метанола добавляем 55 мг (1,5 ммоль) боргидрида натрия при охлаждении, следя за тем, чтобы температура не поднималась выше 5 градусов. После добавления боргидрида натрия реакционную смесь перемешиваем 1,5 часа при охлаждении, затем выливаем в 30 мл холодной воды и подкисляем разбавленной соляной кислотой до нейтральной реакции по лакмусу Выпавший осадок отфильтровывают и перекристаллизовывают из изопропанола или хлороформа.

[263]

Выход гидразида (44) 133 мг (50%). Т.пл. 145-147°С. ЯМР1Н DMSOd6 (δ, м.д., J, Гц): 1,55 (м, 6Н, СН3); 1,97 (м, 1H, СН); 4,15 (с, 2Н, СН2); 7,41 (м, 1Н, аром); 7,21 (м, 1Н, аром); 7,07 (м, 1Н, аром); 7,63 (м, 1H, аром); 10,55 (с, 1Н, NH); 11,90 (с, 1H, NH т.амид); 12,55 (с, 1H, ОН, фен.). Найдено: С 53.80, Н 6.62, N 15.47. Вычислено: С 53.91, Н 6.41, N 15.72. Масс-спектр, m/z: 267.

[264]

Пример 15

[265]

2-[2-(2-гидрокси-4-метилбензил)гидразино]-N-(2-метилфенил)-2-тиоксоацетамид (48)

[266]

[267]

2-{[1-(2-гидрокси-5-метил-фенил)-метилиден-гидразиноокситиоацетил]-амино}-2-метиланилин (49).

[268]

[269]

К 209 мг (10 ммоль) тиогидразида оксаминовой кислоты (3) в 1-2 мл ДМФА добавляют 149 мг (11 ммоль) 2-гидрокси-4-метилбензальдегида в 1 мл ДМФА. Реакционную смесь оставляют на сутки при комнатной температуре, затем добавляют 3 мл метанола. Выпавший осадок отфильтровывают и промывают метанолом.

[270]

Выход гидразона (49) 228 мг (70%). Т.пл. 225-227°С. ЯМР1Н DMSOd6 (δ, м.д., J, Гц): 1,75 (с, 3Н, СН3); 1,82 (с, 3Н, СН3); 7,05 (м, 4Н, аром); 7,31 (м, 1H, аром); 7,21 (с, 1Н, аром); 7,17 (м, 1Н, аром); 10,55 (с, 1H, NH); 11,74 (с, 1Н, NH т.амид); 12,45 (с, 1H, ОН, фен.). Найдено: 62.23, Н 5.12, N 12.95. Вычислено: С 62.37, Н 5.23, N 12.83. Масс-спектр, m/z: 327.

[271]

2-[2-(2-гидрокси-4-метилбензил)гидразино]-N-(2-метилфенил)-2-тиоксоацетамид (48)

[272]

[273]

К 327 мг (1 ммоль) тиогидразона оксаминовой кислоты (49) в 3 мл метанола добавляем 55 мг (1,5 ммоль) боргидрида натрия при охлаждении, следя за тем, чтобы температура не поднималась выше 5 градусов. После добавления боргидрида натрия реакционную смесь перемешиваем 1,5 часа при охлаждении, затем выливаем в 30 мл холодной воды и подкисляем разбавленной соляной кислотой до нейтральной реакции по лакмусу Выпавший осадок отфильтровывают и перекристаллизовывают из изопропанола или хлороформа.

[274]

Выход гидразида (48) 230 мг (70%). Т.пл. 211-212°С. ЯМР1Н DMSOd6 (δ, м.д., J, Гц): 1,75 (с, 3Н, СН3); 1,82 (с, 3Н, СН3); 4,12 (с, 2Н, СН2); 7,05 (м, 4Н, аром); 7,34 (м, 1Н, аром); 7,22 (с, 1Н, аром); 7,19 (м, 1Н, аром); 11,74 (с, 1H, NH т.амид). 12,45 (с, 1H, ОН, фен.). Найдено: С 61.75, Н 5.98, N 12.84. Вычислено: С 61.98, Н 5.81, N 12.76. Масс-спектр, m/z: 329.

[275]

Пример 16

[276]

2-[2-(2-гидроксибензил)-гидразино]-N-[4-(метилтио)анилин]-тиоксоацетамид (50).

[277]

[278]

N-хлорацетил-4-(метилтио)анилин (51).

[279]

[280]

К раствору 13,9 г (0,1 моль) 2-хлор-N-[4-(метилтио)фенил]ацетамида в 100 мл ДМФА добавляем, при охлаждении, 8,75 мл (0,11 моль) хлорацетилхлорида, следя за тем, чтобы температура не превышала 20°С. После окончания прибавления перемешиваем при комнатной температуре раствор еще 2 часа. Затем выливаем реакционную смесь в 600 мл холодной воды и отфильтровываем осадок. Промываем его на фильтре водой и сушим на воздухе.

[281]

Выход хлорацетамида (51) 19,4 г, 90%. Т.пл. 144-146°С. ЯМР1Н DMSOd6 (δ, м.д., J, Гц): 2,54 (с, 3Н, SCH3); 7,52 (м, 2Н, аром); 7,34 (м, 2Н, аром); 4,20 (с, 2Н, CH2Cl); 10,57 (с, 1Н, NH). Найдено (%) С 50.02, Н 4.85, N 6.35. Вычислено (%): С 50.12, Н 4.67, N 6.49. Масс-спектр, m/z: 215.

[282]

2-[гидразино]-N-[4-(метилтио)анилин]-тиоксоацетамид (52).

[283]

[284]

Готовим раствор 0,15 моль элементной серы в 50 мл ДМФА и добавляем 5 мл (0,06 моль) морфолина. Полученную смесь перемешиваем 20-30 минут и добавляем к ней раствор 10,7 г (0,05 моль) хлорацетамида (51) в минимальном количестве ДМФА при охлаждении, следя за тем, чтобы температура не превышала 15°С. Полученную смесь перемешиваем 3-4 часа (контроль по ТСХ). После окончания реакции реакционную смесь пропускаем через слой силикагеля, к полученному раствору добавляем 6 мл (0,12 моль) гидразингидрата и перемешиваем при комнатной температуре 2 часа. Затем выливаем в воду и подкисляем разбавленной соляной кислотой до рН 7. Отфильтровываем осадок и сушим его на воздухе.

[285]

Выход тиогидразида (52) 7,8 г, 65%. Т.пл. 154-155°С. ЯМР1Н DMSOd6(δ, м.д., J, Гц): 2,55 (с, 3Н, SCH3); 7,54 (м, 2Н, аром); 7,44 (м, 2Н, аром); 10,53 (с, 1H, NH). Найдено: С 44.64, Н 4.67, N 17.67. Вычислено: С 44.79, Н 4.59, N 17.41. Масс-спектр, m/z: 241.

[286]

2-[2-(2-гидроксибензилиден)-гидразино]-N-[4-(метилтио)анилин]-тиоксоацетамид (53).

[287]

[288]

К 241 мг (10 ммоль) тиогидразида оксаминовой кислоты (52) в 1-2 мл ДМФА добавили 140 мг (11 ммоль) салицилового альдегида в 1 мл ДМФА. Реакционную смесь оставили на сутки при комнатной температуре, затем добавили 3 мл метанола, выпавший осадок отфильтровали и промыли метанолом.

[289]

Выход гидразона (53) 207 мг, 70%. Т.пл. 205-207°С. ЯМР1Н DMSOd6(δ, м.д., J, Гц): 2,55 (с, 3Н, SCH3); 7,54 (м, 2Н, аром); 7,44 (м, 2Н, аром); 7,41 (м, 1Н, аром); 7,21 (м, 1Н, аром); 7,07 (м, 1Н, аром); 7,63 (м, 1Н, аром); 10,59 (с, 1H, NH); 11,92 (с, 1H, NH т.амид). 12,77 (с, 1H, OH, фен.). Найдено: С 55.50, Н 4.49, N 12.25. Вычислено: С 55.63, Н 4.38, N 12.16. Масс-спектр, m/z: 345.

[290]

2-[2-(2-гидроксибензил)гидразино]-N-[4-(метилтио)анилин]-тиоксоацетамид (50).

[291]

[292]

К 345 мг (1 ммоль) тиогидразона (53) в 3 мл метанола при охлаждении льдом (0-5°С) добавили 55 мг (1,5 ммоль) боргидрида натрия, небольшими порциями. Реакционную смесь оставили на 2 часа при охлаждении, затем добавили 15 мл воды и подкислили разбавленной соляной кислотой до нейтральной (по лакмусу) реакции среды. Выпавший осадок отфильтровали и перекристаллизовали из изопропанола или этанола.

[293]

Выход гидразида (50) 260 мг, 75%. Т.пл. 255-256°С. ЯМР1Н CDCl3 (δ, м.д., J, Гц): 2,55 (с, 3Н, SCH3); 4,35 (с, 1H, СН2); 7,54 (м, 2Н, аром); 7,44 (м, 2Н, аром); 6,45 (с, 1Н, NH); 6,96 (м, 2Н, аром); 7,21 (м, 5Н, аром); 7,98 (м, 1H, аром); 9,92 (с 1H, ОН, фен.). Найдено (%): С 55.22, Н 5.10, N 12.18. Вычислено (%): С 55.31, Н 4.93, N 12.09. Масс-спектр, m/z: 347.

[294]

Пример 17.

[295]

2-[N-(2-Гидрокси-бензил)-гидразино]-N-пиридин-2-ил-2-тиоксоацетамид (54).

[296]

[297]

N-хлорацетил-2-аминопиридин (55).

[298]

[299]

К раствору 9,4 г (0,1 моль) 2-аминопиридина в 100 мл ДМФА добавляют при охлаждении 8,75 мл (0,11 моль) хлорацетилхлорида, следя за тем, чтобы температура не превышала 20°С. После окончания прибавления раствор перемешивают при комнатной температуре еще 2 часа. Затем выливают реакционную смесь в 600 мл холодной воды и отфильтровывают осадок. Промывают его на фильтре водой и сушат на воздухе.

[300]

Выход: N-хлорацетил-2-аминопиридина (55) 11,9 г, (70%). Т.пл. 140-141°С. ЯМР1H DMSOd6 (δ, м.д., J, Гц): 7,41 (м, 1Н, аром); 8,21 (м, 1H, аром) 8,07 (м, 1Н, аром); 8,63 (м, 1Н, аром); 4,20 (с, 2Н, CH2Cl); 10,57 (с, 1H, NH). Найдено (%): С 49.20, Н 4.03, N 16.21. Вычислено (%): С 49.28, Н 4.14, N 16.42. Масс-спектр, m/z: 170.

[301]

N(S)-морфолино-N(О)-(пиридино)-тиоксамид (56).

[302]

[303]

Готовят раствор 4,8 г (0,15 моль) элементной серы в 50 мл ДМФА и добавляют 5 мл (0,06 моль) морфолина. Полученную смесь перемешивают 20-30 минут и при охлаждении добавляют к ней раствор 8,5 г (0,05 моль) хлорацетамида (55) в минимальном количестве ДМФА, следя за тем, чтобы температура не превышала 15°С. Реакционную смесь перемешивают в течение 3-5 часов (контроль по ТСХ). После окончания реакции реакционную смесь пропускают через небольшой слой сорбента, в качестве которого может быть использован силикагель, промывают его 50 мл ДМФА, полученный раствор выливают в воду, экстрагируют этилацетатом, промывают органический слой водой и пропускают через небольшую колонку с силикагелем (элюент-этилацетат). Упаривают этилацетат на роторном испарителе.

[304]

Выход: N(S)-морфолино-N(О)-(пиридино)-тиоксамида (56) 8,5 г, (68%). Т.пл. 170-172°С. ЯМР1H DMSOd6 (δ, м.д., J, Гц): 7,41 (м, 1Н, аром); 8,21 (м, 1H, аром); 8,07 (м, 1Н, аром) 8,63 (м, 1H, аром); 3,38 (м, 2Н, СН2, морф); 4,12 (м, 2Н, СН2,морф); 10,59 (с, 1H, NH). Найдено (%): С 52.42, Н 5.10, N 16.55. Вычислено (%): С 52.57, Н 5.21, N 16.72. Масс-спектр, m/z: 251.

[305]

2-Гидразино-N-пиридин-2-ил-2-тиоксоацетамид (57).

[306]

[307]

Растворяют 2,5 г (0,01 моль) монотиоксамида (56) в 15 мл ДМФА. При охлаждении и перемешивании добавляют 1 мл (0,02 моль) гидразингидрата. Раствор перемешивают при комнатной температуре еще 2 часа. Затем выливают в воду и подкисляют разбавленной соляной кислотой до рН 7. Отфильтровывают осадок и сушат его на воздухе.

[308]

Выход: 2-гидразино-N-пиридин-2-ил-2-тиоксоацетамида (3) 1,2 г, (60%). Т.пл. 164-165°С. ЯМР1H DMSOd6 (δ, м.д, J, Гц): 7,41 (м, 1H, аром); 8,21 (м, 1Н, аром); 8,07 (м, 1Н, аром); 8,63 (м, 1Н, аром); 10,59 (с, 1H, NH). Найдено (%): С 42.76, Н 4.01, N 28.44. Вычислено (%): С 42.85, Н 4.11, N 28.55. Масс-спектр, m/z: 196.

[309]

2-[N′-(2-Гидроксибензилиден)-гидразино]-N-пиридин-2-ил-2-тиоксоацетамид (58).

[310]

[311]

К 196 мг (1,0 ммоль) тиогидразида оксаминовой кислоты (57) в 1-2 мл ДМФА добавляют 140 мг (1,1 ммоль) салицилового альдегида в 1 мл ДМФА. Реакционную смесь оставляют на сутки при комнатной температуре, затем добавляют 3 мл метанола, выпавший осадок отфильтровывают и промывают метанолом.

[312]

Выход: 2-[N′-(2-гидрокси-бензилиден)-гидразино]-N-пиридин-2-ил-2-тиоксоацетамида (58) 150 мг, (50%). Т.пл. 204-205°С. ЯМР1Н DMSOd6 (δ, м.д., J, Гц): 7,02 (м, 4Н, аром); 7,41 (м, 1H, аром); 8,21 (м, 1H, аром); 8,07 (м, 1H, аром); 8,63 (м, 1H, аром); 10,59 (с, 1H, NH); 11,92 (с, 1Н, NH т.амид). 12,76 (с, 1Н, ОН, фен.). Найдено (%): С 55.79, Н 4.12, N 18.66. Вычислено (%): С 55.99, Н 4.03, N 18.65. Масс-спектр, m/z: 300.

[313]

2-[N′-(2-Гидроксибензил)-гидразино]-N-пиридин-2-ил-2-тиоксоацетамид (54).

[314]

[315]

К 300 мг (1 ммоль) тиогидразона оксаминовой кислоты (58) в 3 мл метанола добавляем 55 мг (1,5 ммоль) боргидрида натрия при охлаждении, следя за тем, чтобы температура не поднималась выше 5 градусов. После добавления боргидрида натрия реакционную смесь перемешиваем 1,5 часа при охлаждении, затем выливаем в 30 мл холодной воды и подкисляем разбавленной соляной кислотой до нейтральной реакции по лакмусу. Выпавший осадок отфильтровывают и перекристаллизовывают из изопропанола или хлороформа.

[316]

Выход гидразида (54) 211 мг (70%), Т.пл. 231-232°С. ЯМР1Н DMSOd6 (δ, м.д., J, Гц): ЯМР1H DMSOd6 (δ, м.д, J, Гц): 4,39 (с, 1H, СН2); 7,05 (м, 4Н, аром); 7,43 (м, 1H, аром); 8,25 (м, 1H, аром); 8,11 (м, 1H, аром); 8,66 (м, 1H, аром); 10,61 (с, 1H, NH); 12,16 (c, 1H, ОН, фен.). Найдено (%): С 55.52, Н 4.74, N 18.67. Вычислено (%): С 55.62, Н 4.67, N 18.53. Масс-спектр, m/z: 302.

[317]

Аналогично были получены соединения формулы (I), где R и R1 представляют собой незамещенные или замещенные Het, Ar, Alk, при этом заместителями могут быть NR3R4, CONR3R4, CONHNR3R4, COR3, NO2, CN, OH, OR3, SH; R2 представляет собой COOR3, CONH2, NO2 CN, OH, SR3, где R3,R4 = Alk с выходами 70-75%.

[318]

Для определения биологической активности производных тиогидразидов оксаминовых кислот были использованы следующие методы:

[319]

1. Метод суспензионного заражения эукариотических клеток.

[320]

Для получения суспензии использовали суточный монослой клеток McCoy В и HL, который обрабатывали 2,5 мл раствора трипсина и версена (соотношение 1:3, соответственно) для открепления клеток от поверхности флакона. Флакон помещали в термостат на 5 мин. Затем отбирали раствор трипсина и версена и добавляли 2,5 мл полной среды культивирования (СК). Открепившиеся клетки отмывали в указанном объеме СК путем центрифугирования при 1000 об/мин 10 мин. Убирали надосадок и ресуспендировали клетки в 2 мл СК.

[321]

Для получения монослоя из приготовленной клеточной суспензии производили подсчет клеток в камере Горяева из расчета 1,5×105 кл/мл. Заражение клеток штаммом Bu-434 Chlamydia trachomatis серовар L2 производили в соотношении бактерия:клетка 1:1 в необходимом объеме транспортной среды, что обеспечивает 80-90% инфицированных клеток. Готовую суспензию вносили в лунки 96- или 24-луночных планшетов в объеме 100 мкл или 1000 мкл соответственно. Для осаждения клеток и стимуляции взаимодействия с ними хламидий планшеты центрифугировали при 3000 об/мин 1 час при температуре 25°С. После этого планшет помещали в СО2 инкубатор на 48 ч при 37°С.

[322]

2. Определение влияния производных тиогидразидов оксаминовых кислот на жизнеспособность хламидий.

[323]

Исследуемые химические соединения в разных концентрациях вносили в культуру клеток одновременно с патогеном, для оценки возможного их влияния на взаимодействие хламидии с эукариотической клеткой: сразу после центрифугирования зараженной суспензии (ранняя стадия внутриклеточного цикла хламидии 0-2 ч), через 6-8 часов после начала эксперимента (средняя фаза), через 16 часов (поздняя стадия). Эффект оценивали методом прямой иммунофлюоресценции и путем высева материала, полученного из лизата клеток, инфицированных в присутствии ингибитора клеток.

[324]

Для данного метода были использованы клеточные линии McCoy В и HL. Работу проводили в формате 96-луночных планшетов. В суточном монослое клеток заменяли СК на транспортную среду (ТС) и заражали С.trachomatis L2 для получения 80-90% инфицированных клеток (множественность инфекции 1:1). После центрифугирования при 3000 об/мин 30 мин при 25°С клетки инкубировали в течение 48 ч в СО2 инкубаторе при 37°С. Разные дозы исследуемого соединения добавляли в рабочую суспензию с учетом особенностей жизненного цикла хламидии, как было описано ранее. Спустя 48 ч из лунок отбирали надосадок и планшет помещали на 30 мин при -70°С, для того чтобы лизировать инфицированные клетки. В получившийся лизат добавляли 100 мкл транспортной среды и готовили разведения материала 1:10-1:1000. Заражали суточный монослой клеток с последующим центрифугированием при 3000 об/мин 30 мин при 25°С. После 48 ч инкубирования в ранее указанных условиях, клетки фиксировали и окрашивали меченными ФИТЦ (флюоресцеинизотиоцианит) моноклональными антителами для последующего учета результатов методом иммунофлюоресцентной микроскопии.

[325]

3. Методы прямой иммунофлюоресценции.

[326]

Методы иммунофлюоресценции направлены на выявление объектов, содержащих некоторый антиген, и основаны на обработке препаратов соответствующими антителами, меченными флюорохромом, с последующей микроскопией в ультрафиолетовом луче.

[327]

В данной работе использован метод прямой иммунофлюоресценции (стандартная методика), позволяющий проводить полуколичественный учет развития хламидийной инфекции. Для этого использован коммерческие наборы ЗАО "НИАРМЕДИК плюс" при НИИЭМ им.Н.Ф.Гамалеи РАМН (ФС 42-359598 и регистрационное удостоверение Минздрава России 93/270/9) "Хламоноскрин" для определения моноклональных антител к родоспецифическому липополисахаридному антигену Chlamydia и "Хламоноскрин-2" для определения моноклональных антител к видоспецифическому белковому антигену C.trachomatis.

[328]

Работу проводили на клеточных линиях McCoy В и HL, инфицированных С.trachomatis серовар L2 в формате 96-луночных планшетов или 24-луночных со стеклами. Для этого суточный монослой заражали для получения 80-90% инфицированных клеток и одновременно с внесением инфекции добавляли разные дозы исследуемых химических соединений. Планшет центрифугировали при 3000 об/мин 30 мин при 25°С и инкубировали клетки в течение 48 ч в СО2 инкубаторе при 37°С. Через 48 ч из лунок отбирали надосадок и фиксировали клетки. При работе с 96-луночными планшетами фиксацию осуществляли ледяным 72° этанолом с последующим помещением планшета на 30-40 мин на -20°С. При работе с 24-луночными планшетами стекла промывали в 0,1 моль/л растворе ФСБ и высушивали. После этого клетки фиксировали ацетоном в течение 15 мин при комнатной температуре. На фиксированные клетки наносили 30-50 мкл моноклональные, меченные ФИТЦ антитела к белковым антигенам всех серотипов C.trachomatis (ХлаМоноСкрин-2, ООО «НИАРМЕДИК ПЛЮС») и инкубировали в течение 30 мин во влажной камере при 37°С. После инкубации клетки промывались 2 раза раствором ФСБ. Препарат полностью высушивали. В формате 24-луночных планшетов, подготовленные таким образом стекла монтировали на предметное стекло при помощи монтирующей жидкости (забуференный глицерин). Готовые препараты исследовали в люминесцентном микроскопе.

[329]

Для определения токсичности производных гидразонов тиогидразидов оксаминовых кислот были использованы следующие методы:

[330]

4. Методы определения цитотоксического эффекта производных гидразонов тиогидразидов оксаминовых кислот.

[331]

А) Для эукариотической клетки использовали метод окрашивания клеток метиленовым синим (стандартная методика) с последующим спектрометрическим учетом результатов. Работу проводили в формате 96-луночных планшетов.

[332]

В суточном монослое клеток McCoy В (гибридная линия синовиальных клеток человека и мышиных фибробластов) и HL (эпителиальные клетки легкого человека) заменяли среду культивирования на полную СК с циклогексимидом и вносили разные дозы исследуемых химических соединений. Клетки инкубировали в течение 24 и 48 часов в СО2 инкубаторе при 37°С. Спустя 24/48 ч из лунок отбирали надосадок и отмывали клетки 0,1 моль/л раствором фосфатно-солевого буфера (ФСБ). Клетки фиксировали охлажденным метанолом (20 мкл) в течение 15 мин при 4°С. К фиксированным клеткам добавляли 40 мкл 0,5% метиленового синего и инкубировали 20 мин при комнатной температуре. После инкубации метиленовую синь отбирали из лунок и отмывали клетки ФСБ 4 раза. В лунки добавляли 100 мкл додецилсульфата натрия (SDS) в ФСБ и инкубировали в течение 1 часа при комнатной температуре до полного лизиса клеток. Количество живых клеток определяли спектрометрически при длине волны 540 нм на флуориметре MuktiscanEX.

[333]

Б) Метод, направленный на определение метаболической активности клетки - МТТ-тест (Niks M., Otto M. Toward sanoptimized МТТ assay. // J Immunol. - 1900. - V.130, №1, - p.149-151), основанный на восстановлении бесцветной соли тетразолия (3-[4,5-диметилтиазол-2-ил]-2,5-дифенилтетразолия бромид, МТТ) митохондриальными и цитоплазматическими дегидрогеназами живых метаболически активных клеток с образованием голубых кристаллов формазана, количество которого измеряется спектрометрически.

[334]

Метод проводили в формате 96-луночного культурального планшета. В суточном монослое клеток McCoy В и HL заменяли среду культивирования на полную СК без циклогексемида и вносили разные дозы исследуемых химических соединений. Клетки инкубировали в течение 48 часов в СО2 инкубаторе при 37°С. За 4 часа до окончания эксперимента вносили 1:10 от объема культуральной среды 10х раствора МТТ (5 мг/мл). Инкубировали 4 часа при 37°С 5% СО2. Отбирали среду, отмывали однократно ФСБ. Добавляли в каждую лунку 100 мкл изопропанола (пропанола-2). Инкубировали при комнатной температуре 30 минут. Оценивали оптическую плотность при длине волны 540 нм на флуориметре Muktiscan EX. Субстратное поглощение оценивали при 405 нм.

[335]

Пример 18.

[336]

Определение биологической активности.

[337]

Соединение LHC 764 (получено по примеру №2)

[338]

2-[2-(3-этокси-2-гидроксибензил)гидразино]-N-(4-фторфенил)-2-тиоксоацетамид

[339]

[340]

Соединение характеризуется высокой степенью растворимости в ДМФ, не образует осадка в процессе хранения и при переведении в транспортную среду.

[341]

Анализ токсичности LHC 764 в условиях in vitro (при добавлении 50 мМ раствора в среду культивирования эукариотических клеток в дозах 12.5, 25, 50 и 75 мкМ и последующем инкубировании в течение 48 часов при 37°С), проведенный методами 4. А-Б, выявил отсутствие токсического эффекта в дозе 12,5 и 25 мкМ. В дозе 50 мкМ токсический эффект составил в среднем 40%. Максимальные показатели токсичности отмечены в дозе 75 мкМ и составили 75-80%.

[342]

Способность данного соединения подавлять внутриклеточный жизненный цикл хламидии в условиях in vitro оценивалась при помощи методов 1-3. Наилучший эффект соединение LHC 764 проявляет в дозе 50 мкМ при добавлении в СК клеток HL одновременно с инфекционным материалом (штамм C.trachomatis L2) и последующем культивированием в течение 48 часов. Показано, что в данных условиях количество инфицированных клеток составляет 15% по сравнению с аналогичными показателями контроля (инфицированные клетки, культивируемые без добавления исследуемого химического соединения).

[343]

Таким образом, данное соединение характеризуется антибактериальным эффектом в дозе 50 мкМ при допустимом уровне токсичности данной дозы для эукариотических клеток.

[344]

Пример 19.

[345]

Соединение LHC 765 (получено по примеру №7)

[346]

2-[2-(3-этокси-2-гидроксибензил)гидразино]-N-(2-(трифторметил)фенил)-2-тиоксоацетамид

[347]

[348]

Соединение характеризуется высокой степенью растворимости в ДМФ, не образует осадка в процессе хранения и при переведении в транспортную среду.

[349]

Анализ токсичности LHC 765 в условиях in vitro (при добавлении 50 мМ раствора в среду культивирования эукариотических клеток в дозах 12.5, 25, 50 и 75 мкМ и последующем инкубировании в течение 48 часов при 37°С), проведенный методами 4. А-Б, выявил отсутствие токсического эффекта в дозе 12,5 и 25 мкМ. В дозе 50 мкМ токсический эффект составил в среднем 32%. Максимальные показатели токсичности отмечены в дозе 75 мкМ и составили 75-80%.

[350]

Способность данного соединения подавлять внутриклеточный жизненный цикл хламидии в условиях in vitro оценивалась при помощи методов 1-3. Наилучший эффект соединение LHC 765 проявляет в дозе 50 мкМ при добавлении в СК клеток HL одновременно с инфекционным материалом (штамм C.trachomatis L2) и последующем культивированием в течение 48 часов. Показано, что в данных условиях количество инфицированных клеток составляет 20% по сравнению с аналогичными показателями контроля (инфицированные клетки, культивируемые без добавления исследуемого химического соединения).

[351]

Таким образом, данное соединение характеризуется антибактериальным эффектом в дозе 50 мкМ при допустимом уровне токсичности данной дозы для эукариотических клеток.

[352]

Пример 20.

[353]

Соединение LHC 723 (получено по примеру №17)

[354]

2-[N′-(2-Гидроксибензил)-гидразино]-N-пиридин-2-ил-2-тиоксоацетамид

[355]

[356]

Соединение характеризуется высокой степенью растворимости в ДМФ, не образует осадка в процессе хранения и при переведении в транспортную среду.

[357]

Анализ токсичности LHC 723 в условиях in vitro (при добавлении 50 мМ раствора в среду культивирования эукариотических клеток в дозах 12.5, 25, 50 и 75 мкМ и последующем инкубировании в течение 48 часов при 37°С), проведенный методами 4. А-Б, выявил отсутствие токсического эффекта в дозе 12,5 и 25 мкМ. В дозе 50 мкМ токсический эффект составил в среднем 25%. Максимальные показатели токсичности отмечены в дозе 75 мкМ и составили 65-70%.

[358]

Способность данного соединения подавлять внутриклеточный жизненный цикл хламидии в условиях in vitro оценивалась при помощи методов 1-3. Наилучший эффект соединение LHC 723 проявляет в дозе 50 мкМ при добавлении в СК клеток HL одновременно с инфекционным материалом (штамм C.trachomatis L2) и последующем культивированием в течение 48 часов. Показано, что в данных условиях количество инфицированных клеток составляет 5-10% по сравнению с аналогичными показателями контроля (инфицированные клетки, культивируемые без добавления исследуемого химического соединения).

[359]

Таким образом, данное соединение характеризуется антибактериальным эффектом в дозе 50 мкМ при допустимом уровне токсичности данной дозы для эукариотических клеток.

[360]

Пример 21.

[361]

Соединение LHC 683 (получено по примеру №12)

[362]

5-этил-2-{[1-(2-гидроксибензил)-гидразино]-2-тиоксо-N-[амино}-тиофен-3-этилкарбоксилат]ацетамид

[363]

[364]

Соединение характеризуется высокой степенью растворимости в ДМФ, не образует осадка в процессе хранения и при переведении в транспортную среду.

[365]

Анализ токсичности LHC 683 в условиях in vitro (при добавлении 50 мкМ раствора в среду культивирования эукариотических клеток в дозах 12.5, 25, 50 и 75 мкМ и последующем инкубировании в течение 48 часов при 37°С), проведенный методами 4. А-Б, выявил отсутствие токсического эффекта в дозе 12,5 и 25 мкМ. В дозе 50 мкМ токсический эффект составил в среднем 30%. Максимальные показатели токсичности отмечены в дозе 75 мкМ и составили 90-95%.

[366]

Способность данного соединения подавлять внутриклеточный жизненный цикл хламидии в условиях in vitro оценивалась при помощи методов 1-3. Наилучший эффект соединение LHC 683 проявляет в дозе 50 мкМ при добавлении в СК клеток HL одновременно с инфекционным материалом (штамм C.trachomatis L2) и последующем культивированием в течение 48 часов. Показано, что в данных условиях количество инфицированных клеток составляет 5-10% по сравнению с аналогичными показателями контроля (инфицированные клетки, культивируемые без добавления исследуемого химического соединения).

[367]

Таким образом, данное соединение характеризуется антибактериальным эффектом в дозе 50 мкМ при допустимом уровне токсичности данной дозы для эукариотических клеток.

[368]

Технический результат, достигаемый заявленной группы изобретений, заключается в получении новых соединений - N-замещенных производных тиогидразидов оксаминовых кислот с хорошим выходом, обладающих антибактериальной активностью в отношении патогенных бактерий, в том числе и хламидии. При этом полученные соединения хорошо растворимы в органических растворителях, обладают стабильностью и приемлемой токсичностью для нормальной микрофлоры и клеток хозяина, в частности для эукариотических клеток.

Как компенсировать расходы
на инновационную разработку
Похожие патенты