патент
№ RU 2573446
МПК H04R29/00

СПОСОБ ОПРЕДЕЛЕНИЯ АМПЛИТУДНО-ЧАСТОТНОЙ И ФАЗОЧАСТОТНОЙ ХАРАКТЕРИСТИК ЧУВСТВИТЕЛЬНОСТИ ПО ПОЛЮ ГИДРОАКУСТИЧЕСКОГО ПРИЕМНИКА

Авторы:
Исаев Александр Евгеньевич
Номер заявки
2014144052/28
Дата подачи заявки
31.10.2014
Опубликовано
20.01.2016
Страна
RU
Как управлять
интеллектуальной собственностью
Реферат

Изобретение относится к гидроакустике. Стенд содержит излучатель, обратимый преобразователь и градуируемый гидроакустический приемник, которые расположены в измерительном бассейне на одной прямой и разнесены в пространстве относительно друг друга на определенное расстояние. Излучатель и обратимый преобразователь поочередно возбуждают электрическим сигналом и определяют передаточные импедансы по полю пары излучатель - градуируемый приемник, пары излучатель - обратимый преобразователь и пары обратимый преобразователь - градуируемый приемник. Вычисляют амплитудно-частотную и фазочастотную характеристики чувствительности по полю градуируемого гидроакустического приемника к звуковому давлению по формуле метода взаимности. Амплитудно-частотную и фазочастотную характеристики чувствительности по полю гидроакустического приемника к векторным величинам гидроакустического поля определяют по формулам. Технический результат - расширение функциональных возможностей. 1 ил.

Формула изобретения

Способ определения амплитудно-частотной и фазочастотной характеристик чувствительности по полю гидроакустического приемника, заключающийся в расположении в измерительном бассейне с водой излучателя P, обратимого преобразователя T и градуируемого приемника R при известных расстояниях rPR между излучателем и приемником, rPT между излучателем и обратимым преобразователем и rTR между обратимым преобразователем и приемником достаточно больших для формирования на приемнике локально-плоских сферических звуковых волн излучателя и обратимого преобразователя, а на обратимом преобразователе - локально-плоской волны излучателя, возбуждении излучателя электрическим сигналом, измерении тока через излучатель и выходных напряжений приемника и обратимого преобразователя, возбуждении обратимого преобразователя электрическим сигналом, измерении тока через обратимый преобразователь и выходного напряжения приемника, определении частотных зависимостей комплексных передаточных импедансов по полю ZPR(f) пары излучатель - градуируемый приемник, ZPT(f) пары излучатель - обратимый преобразователь, ZTR(f) пары обратимый преобразователь - градуируемый приемник, определении амплитудно-частотной |MR(f)| и фазочастотной arg(MR(f)) характеристик чувствительности по полю градуируемого гидроакустического приемника к звуковому давлению по формулам


где f - частота, ρ - плотность воды, k=2π/λ - волновое число, λ - длина звуковой волны, c - скорость звука в воде, отличающийся тем, что амплитудно-частотную и фазочастотную характеристики чувствительности по полю гидроакустического приемника к векторным величинам гидроакустического поля определяют по формулам


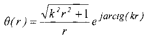
где для гидроакустического приемника градиента звукового давления и arg(θ(r))=arctg(kr), для приемника колебательной скорости частиц воды и arg(θ (r))=-arctg(1/kr).

Описание

[2]

Изобретение относится к акустическим измерениям и может быть использовано для градуировки (определения амплитудно-частотной и фазочастотной характеристик чувствительности) по полю векторного гидроакустического приемника.

[3]

К настоящему времени благодаря совершенствованию конструкции векторных гидроакустических приемников частотный диапазон векторно-фазовых измерений удалось расширить до 12,5 кГц, что потребовало соответствующего расширения частотного диапазона и разработки новых методов градуировки векторных приемников.

[4]

Известен способ градуировки векторного гидроакустического приемника в поле стоячей звуковой волны, которое создают в вертикальном столбе жидкости, колеблющемся в жесткой акустической камере, имеющей вид открытой сверху трубы [1, 2].

[5]

Возможности известного способа ограничены частотой 1-2 кГц (так называемой, критической частотой камеры). Попытки выполнить в камере градуировки на более высоких частотах приводят к значительному увеличению погрешности результата, что обусловлено как усложнением математической модели камеры, так и возрастающими с частотой искажениями звукового поля устанавливаемым в камеру градуируемым векторным приемником с его системой крепления. Недостатком известного способа является также то, что в результате градуировки не удается определить фазочастотную характеристику чувствительности векторного приемника.

[6]

За прототип принят способ определения чувствительности гидроакустического приемника звукового давления методом взаимности в свободном поле, который применяют на частотах от единиц килогерц и выше для градуировки гидрофона [3, 4].

[7]

Метод взаимности основан на использовании обратимого преобразователя, чувствительности которого на прием и излучение связаны известной зависимостью (параметр взаимности). Метод позволяет выполнять градуировку без использования опорного акустического приемника с известной чувствительностью, при этом дает возможность получать значения фазового угла чувствительности.

[8]

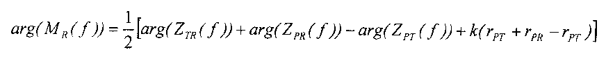
Прототип, например в [4], заключается в расположении в измерительном бассейне с водой излучателя Р, обратимого преобразователя T и градуируемого приемника R при известных расстояниях rPR между излучателем и приемником, rPT между излучателем и обратимым преобразователем и rTR между обратимым преобразователем и приемником достаточно больших для формирования на приемнике локально-плоских сферических звуковых волн излучателя и обратимого преобразователя, а на обратимом преобразователе - локально-плоской волны излучателя, возбуждении излучателя электрическим сигналом, измерении тока через излучатель и выходных напряжений приемника и обратимого преобразователя, возбуждении обратимого преобразователя электрическим сигналом, измерении тока через обратимый преобразователь и выходного напряжения приемника, определении частотных зависимостей комплексных передаточных импедансов по полю ZPR(ƒ) пары излучатель - градуируемый приемник, ZPT(ƒ) пары излучатель - обратимый преобразователь, ZTR(ƒ) пары обратимый преобразователь - градуируемый приемник, определении амплитудно-частотной |MR(ƒ)| и фазочастотной arg(ΜR(ƒ)) характеристик чувствительности по полю градуируемого гидроакустического приемника к звуковому давлению по формулам

[9]

[10]

[11]

где ƒ - частота, ρ - плотность воды, |…| и arg(…) означают соответственно модуль и аргумент комплексной частотной зависимости, k=2π/λ - волновое число, λ - длина звуковой волны, с - скорость звука в воде.

[12]

Недостатком прототипа является то, что способ позволяет определить только амплитудно- и фазочастотную характеристики чувствительности приемника к звуковому давлению (скалярной величине гидроакустического поля). Возможности метода ограничены градуировкой гидрофонов (гидроакустических приемников звукового давления).

[13]

Техническим результатом, получаемым от внедрения изобретения, является расширение возможностей известного способа определения чувствительности по полю гидроакустического приемника за счет обеспечения возможности градуировать по полю гидроакустический векторный приемник (приемник градиента и биградиента звукового давления, колебательной скорости и ускорения и т.п.) в расширенном до 12,5 кГц и выше частотном диапазоне.

[14]

Данный технический результат достигают за счет того, что в известном способе, заключающемся в расположении в измерительном бассейне с водой излучателя Р, обратимого преобразователя T и градуируемого приемника R при известных расстояниях rPR между излучателем и приемником, rPT между излучателем и обратимым преобразователем и rTR между обратимым преобразователем и приемником достаточно больших для формирования на приемнике локально-плоских сферических звуковых волн излучателя и обратимого преобразователя, а на обратимом преобразователе - локально-плоской волны излучателя, возбуждении излучателя электрическим сигналом, измерении тока через излучатель и выходных напряжений приемника и обратимого преобразователя, возбуждении обратимого преобразователя электрическим сигналом, измерении тока через обратимый преобразователь и выходного напряжения приемника, определении частотных зависимостей комплексных передаточных импедансов по полю ZFR(ƒ) пары излучатель - градуируемый приемник, ZPT(ƒ) пары излучатель - обратимый преобразователь, ZTR(ƒ) пары обратимый преобразователь - градуируемый приемник, определении амплитудно-частотной |MR(ƒ)| и фазочастотной arg(MR(ƒ)) характеристик чувствительности по полю градуируемого гидроакустического приемника к звуковому давлению по формулам

[15]

[16]

[17]

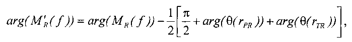
где ƒ - частота, ρ - плотность воды, |…| и arg(…) означают соответственно модуль и аргумент комплексной частотной зависимости, k=2π/λ - волновое число, λ - длина звуковой волны, с - скорость звука в воде, амплитудно-частотную |MR'(ƒ)| и фазочастотную arg(MR'(ƒ)) характеристики чувствительности по полю гидроакустического приемника к векторным величинам гидроакустического поля определяют по формулам

[18]

[19]

[20]

где для гидроакустического приемника градиента звукового давления |θ(r)|=k2r2+1r и arg(θ(r))=arctg(kr), для приемника колебательной скорости частиц воды

[21]

Изобретение поясняется чертежом, на котором представлена схема расположения преобразователей в измерительном бассейне при градуировке гидроакустического векторного приемника.

[22]

Обратимый преобразователь Т, векторный гидроакустический приемник R и излучатель P располагают в измерительном бассейне на одной прямой, как это показано на чертеже с излучателем. Расстояния rPT между излучателем и обратимым преобразователем, rPR между излучателем и векторным приемником, rTR между обратимым преобразователем и векторным приемником выбирают такими, чтобы падающие в измерительном эксперименте на обратимый преобразователь и векторный приемник сферические волны можно считать локально плоскими.

[23]

Возможность комплексной градуировки по полю векторного приемника с использованием метода взаимности поясним на примере приемника градиента звукового давления (ПГД).

[24]

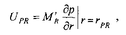
Комплексное напряжение UPR на выходе ПГД, находящегося в поле сферической волны на расстоянии rPR от излучателя, пропорционально градиенту звукового давления:

[25]

[26]

где MR' - комплексная чувствительность к градиенту звукового давления, pr=psph(r)θ(r) и psph=p0r0rejk(rr0) - соответственно градиент звукового давления и звуковое давление в сферической волне на расстоянии r от излучателя, [1].

[27]

Комплексный передаточный импеданс ZPR пары излучатель - градуируемый ПГД получают как отношение комплексного выходного напряжения канала UPR к комплексному току излучателя IP:

[28]

[29]

где rPR - расстояние между ПГД и излучателем, SP - комплексная чувствительность на излучение к току.

[30]

Запись комплексного передаточного импеданса ZTR пары обратимый преобразователь - ПГД имеет аналогичный вид:

[31]

[32]

где rTR - расстояние между ПГД и обратимым преобразователем, где ST и IT - соответственно комплексные чувствительность на излучение к току и ток через обратимый преобразователь.

[33]

В общепринятой записи комплексный передаточный импеданс ZPT пары излучатель - обратимый преобразователь (преобразователей звукового давления) имеет вид:

[34]

[35]

где rPT - расстояние между излучателем и обратимым преобразователем.

[36]

В поле сферической волны комплексные чувствительность обратимого преобразователя на прием и на излучение связаны между собой через комплексный параметр взаимности, полученный Беранеком [3, 4]:

[37]

[38]

Используя выражения (1), (2), (3), (4) аналогично тому, как это сделано в прототипе [4] для комплексной чувствительности гидрофона, получим формулы, позволяющие вычислять модуль |MR'| и фазовый угол arg(MR') комплексной чувствительности ПГД с использованием параметра взаимности обратимого преобразователя звукового давления:

[39]

[40]

[41]

где

[42]

[43]

[44]

[45]

[46]

Гидроакустический векторный приемник градуируют, основываясь на устанавливаемой теоретически и подтверждаемой экспериментально связи между звуковым давлением и измеряемой приемником векторной величиной гидроакустического поля, реализуемого в эксперименте. При измерениях в море векторный приемник находится на достаточном удалении от источника звука, и на него падает плоская бегущая звуковая волна. Поэтому при градуировке векторного приемника определяют чувствительность по полю, пересчитывая полученный результат к условиям, как если бы приемник находился в поле плоской бегущей звуковой волны.

[47]

Этим достигается поставленный технический результат.

[48]

Литература

[49]

1. Гордиенко В.А. Векторно-фазовые методы в акустике. М.: Физматлит, 2007. 480 с.

[50]

2. В.А. Гордиенко, Б.И. Гончаренко, С.С. Задорожный, М.В. Старкова. Расширение диапазона градуировки векторных приемников в неоднородном поле измерительных камер в сторону высоких частот // Акуст. журн. 2012, том 58, №5, с. 623-627.

[51]

3. L.D. Luker and A.L. Van Buren, "Phase calibration of hydrophones," J. Acoust. Soc. Am. 70, 516-519 (1981).

[52]

4. МЭК 60565:2006 Гидроакустика. Гидрофоны. Калибровка в частотном диапазоне от 0,01 Гц до 1 МГц (IEC 60565:2006 Underwater acoustics - Hydrophones - Calibration in the frequency range 0,01 Hz to 1 MHz) - прототип.

Как компенсировать расходы
на инновационную разработку
Похожие патенты