патент
№ US 0007888358
МПК A61K31/46

8-aza-bicyclo[3.2.1]octane derivatives and their use as monoamine neurotransmitter re-uptake inhibitors

Авторы:
Dan Peters Birgitte L. Eriksen Elsebet Østergaard Nielsen
Все (15)
Правообладатель:
Все (3)
Номер заявки
12216213
Дата подачи заявки
01.07.2008
Опубликовано
15.02.2011
Страна
US
Дата приоритета
07.02.2026
Номер приоритета
Страна приоритета
Как управлять
интеллектуальной собственностью
Реферат

This invention relates to novel 8-aza-bicyclo[3.2.1]octane derivatives useful as monoamine neurotransmitter re-uptake inhibitors. In other aspects the invention relates to the use of these compounds in a method for therapy and to pharmaceutical compositions comprising the compounds of the invention.

Формула изобретения

1. An 8-aza-bicyclo[3.2.1]octane compound, which is:

endo-3-(3,4,5-Trichlorothiophen-2-yloxy)-8-methyl-8-azabicyclo[3.2.1]octane;

endo-3-(3,4-Dichlorothiophen-2-yloxy)-8-methyl-8-azabicyclo[3.2.1]octane;

exo-3-(3,4,5-Trichlorothiophen-2-yloxy)-8-methyl-8-azabicyclo[3.2.1]octane;

exo-3-(1,2-Benzoisothiazol-3-yloxy)-8-methyl-8-azabicyclo[3.2.1]octane;

exo-3-(5-Bromothiazol-2-yloxy)-8-methyl-8-azabicyclo[3.2.1]octane;

exo-3-(Benzothiazol-2-yloxy)-8-methyl-8-azabicyclo[3.2.1]octane;

exo-3-(6-Chlorobenzothiazol-2-yloxy)-8-methyl-8-azabicyclo[3.2.1]octane;

exo-3-(Quinoxalin-2-yloxy)-8-methyl-8-azabicyclo[3.2.1]octane;

exo-3-(Quinolin-2-yloxy)-8-methyl-8-azabicyclo[3.2.1]octane;

exo-3-(Benzoxazol-2-yloxy)-8-methyl-8-azabicyclo[3.2.1]octane;

exo-3-(6-Chloro-pyridazin-3-yloxy)-8-methyl-8-azabicyclo[3.2.1]octane;

exo-3-(5-Bromopyridin-2-yloxy)-8-methyl-8-azabicyclo[3.2.1]octane;

exo-3-(5-Bromopyrimidin-2-yloxy)-8-methyl-8-azabicyclo[3.2.1]octane;

exo-3-(Quinazolin-2-yloxy)-8-methyl-8-azabicyclo[3.2.1]octane;

exo-3-(5-Trifluoromethylpyridin-2-yloxy)-8-methyl-8-azabicyclo[3.2.1]octane;

exo-3-(3,4,5-Tribromothiophen-2-yloxy)-8-methyl-8-azabicyclo[3.2.1]octane;

exo-3-(4-Bromothiophen-2-yloxy)-8-methyl-8-azabicyclo[3.2.1]octane;

endo-3-(3-Bromo-5-chloro-thiophen-2-yloxy)-8-methyl-8-azabicyclo[3.2.1]octane;

endo-3-(4-Bromo-5-chloro-thiophen-2-yloxy)-8-methyl-8-azabicyclo[3.2.1]octane;

exo-3-(2,3-Dichlorophenoxy)-8-methyl-8-azabicyclo[3.2.1]octane;

exo-3-(3,4-Dichlorophenoxy)-8-methyl-8-azabicyclo[3.2.1]octane;

exo-3-(3-Chloro-4-fluorophenoxy)-8-methyl-8-azabicyclo[3.2.1]octane;

exo-3-(4-Chloro-3-fluorophenoxy)-8-methyl-8-azabicyclo[3.2.1]octane;

exo-3-(2-Chloro-3-trifluoromethylphenoxy)-8-methyl-8-azabicyclo[3.2.1]octane;

exo-3-(3-Chloro-phenoxy)-8-methyl-8-azabicyclo[3.2.1]octane

exo-3-(Fluoren-9-one-2-yloxy)-8-methyl-8-azabicyclo[3.2.1]octane;

exo-3-(3,4-Dichlorophenylthio)-8-methyl-8-azabicyclo[3.2.1]octane;

exo-3-(1-Naphthyloxy)-8-methyl-8-azabicyclo[3.2.1]octane;

exo-3-(2-Naphthyloxy)-8-methyl-8-azabicyclo[3.2.1]octane;

exo-3-(4-Chloro-3-trifluoromethylphenoxy)-8-methyl-8-azabicyclo[3.2.1]octane;

exo-3-(3-Chloro-4-cyanophenoxy)-8-methyl-8-azabicyclo[3.2.1]octane;

exo-3-(2-Dibenzofuranyloxy)-8-methyl-8-azabicyclo[3.2.1]octane;

exo-3-(4-Chloronaphthalen-1-yloxy)-8-methyl-8-azabicyclo[3.2.1]octane;

exo-3-(4-Chloro-3-methylphenoxy)-8-methyl-8-azabicyclo[3.2.1]octane;

exo-3-(4-Methoxyphenoxy)-8-methyl-8-azabicyclo[3.2.1]octane;

exo-3-(7-Methoxynaphthalen-2-yloxy)-8-methyl-8-azabicyclo[3.2.1]octane;

exo-3-(6-Methoxynaphthalen-2-yloxy)-8-methyl-8-azabicyclo[3.2.1]octane;

exo-3-(4-Bromo-3-chloro-phenoxy)-8-methyl-8-azabicyclo[3.2.1]octane;

exo-3-(Isoquinolin-5-yl)-8-methyl-8-azabicyclo[3.2.1]octane;

exo-3-(6-Bromo-naphthalen-2-yloxy)-8-methyl-8-azabicyclo[3.2.1]octane;

exo-3-(3-Methoxyphenoxy)-8-methyl-8-azabicyclo[3.2.1]octane;

exo-3-(4-Cyanophenoxy)-8-methyl-8-azabicyclo[3.2.1]octane;

exo-3-(Quinolin-6-yloxy)-8-methyl-8-azabicyclo[3.2.1]octane;

exo-3-(1,2,3,4-Tetrahydronaphthalen-6-yloxy)-8-methyl-8-azabicyclo[3.2.1]octane;

exo-3-(8-Quinolinyl)-8-methyl-8-azabicyclo[3.2.1]octane;

exo-3-(5-Indanyloxy)-8-methyl-8-azabicyclo[3.2.1]octane;

exo-3-(4-Methoxynaphthalen-1-yloxy)-8-methyl-8-azabicyclo[3.2.1]octane;

exo-3-(Indol-5-yloxy)-8-methyl-8-azabicyclo[3.2.1]octane;

exo-3-(3-Trifluoromethoxyphenoxy)-8-methyl-8-azabicyclo[3.2.1]octane;

exo-3-(4-Trifluoromethoxyphenoxy)-8-methyl-8-azabicyclo[3.2.1]octane;

exo-3-(4-Fluoro-3-trifluoromethylphenoxy)-8-methyl-8-azabicyclo[3.2.1]octane;

endo-3-(3,4-Dichlorophenoxy)-8-methyl-8-azabicyclo[3.2.1]octane;

exo-3-(3,4-Dichlorophenoxy)-8-(2-hydroxyethyl)-8-azabicyclo[3.2.1]octane;

exo-3-(3,4-Dichlorophenoxy)-8-(cyanomethyl)-8-azabicyclo[3.2.1]octane;

exo-3-(3,4-Dichlorophenoxy)-8-(cyclopropylmethyl)-8-azabicyclo[3.2.1]octane;

exo-3-(3,4-Dichlorophenoxy)-8-(allyl)-8-azabicyclo[3.2.1]octane;

exo-3-(3,4-Dichlorophenoxy)-8-(methoxyethyl)-8-azabicyclo[3.2.1]octane;

exo-3-(6-Methoxypyridin-2-yloxy)-8-methyl-8-azabicyclo[3.2.1]octane;

exo-3-(6-Ethoxypyridin-2-yloxy)-8-methyl-8-azabicyclo[3.2.1]octane;

exo-3-(6-Hydroxy-pyridin-2-yloxy)-8-methyl-8-azabicyclo[3.2.1]octane;

exo-3-(6-Cyano-naphthalen-2-yloxy)-8-methyl-8-azabicyclo[3.2.1]octane

exo-(3,4-Dichloro-phenyl)-(8-methyl-8-aza-bicyclo[3.2.1]oct-3-yl)-amine; endo-(3,4-Dichloro-phenyl)-(8-methyl-8-aza-bicyclo[3.2.1]oct-3-yl)-formylamine;

exo-(3,4-Dichloro-phenyl)-(8-methyl-8-aza-bicyclo[3.2.1]oct-3-yl)-formylamine;

or any of its isomers or any mixture of its isomers, or a pharmaceutically acceptable salt thereof.

2. A pharmaceutical composition, comprising a therapeutically effective amount of a compound of claim 1, or any of its isomers or any mixture of its isomers, or a pharmaceutically acceptable salt thereof, together with at least one pharmaceutically acceptable carrier, excipient or diluent.

Описание

[0001]

This application is a Continuation of co-pending application Ser. No. 10/561,417 filed on Dec. 19, 2005, now U.S. Pat. No. 7,407,970 which claims priority on PCT International Application No. PCT/EP2004/051167 filed on Jun. 18, 2004, which claims priority on Application No. PA2003-00939 filed in Denmark on Jun. 24, 2003, U.S. Application No. 60/482,566 filed on Jun. 26, 2003, Application No. PA2003-01487 filed in Denmark on Oct. 9, 2003, U.S. Application Nos. 60/509,808 and 60/544,210 filed Oct. 10, 2003 and Feb. 13, 2004 respectively and Application No. PA2004-00228 filed in Denmark on Feb. 13, 2004. The entire contents of each of these applications are hereby incorporated by reference.

TECHNICAL FIELD

[0002]

This invention relates to novel 8-aza-bicyclo[3.2.1]octane derivatives useful as monoamine neurotransmitter re-uptake inhibitors.

[0003]

In other aspects the invention relates to the use of these compounds in a method for therapy and to pharmaceutical compositions comprising the compounds of the invention.

BACKGROUND ART

[0004]

WO 97/30997 (NeuroSearch A/S) describes tropane derivatives active as neurotransmitter re-uptake inhibitors.

[0005]

However, there is a continued strong need to find compounds with an optimised pharmacological profile as regards the activity on reuptake of the monoamine neurotransmitters serotonin, dopamine and noradrenaline, such as the ratio of the serotonin reuptake versus the noradrenaline and dopamine activity.

SUMMARY OF THE INVENTION

[0006]

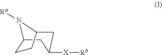
In its first aspect, the invention provides a compound of the Formula I:

[0007]


or any of its isomers or any mixture of its isomers, or a pharmaceutically acceptable salt thereof,
wherein Ra, Rband X are as defined below.

[0008]

In its second aspect, the invention provides a pharmaceutical composition, comprising a therapeutically effective amount of a compound of the invention, or any of its isomers or any mixture of its isomers, or a pharmaceutically acceptable salt thereof, together with at least one pharmaceutically acceptable carrier, excipient or diluent.

[0009]

In a further aspect, the invention provides the use of a compound of the invention, or any of its isomers or any mixture of its isomers, or a pharmaceutically acceptable salt thereof, for the manufacture of a pharmaceutical composition for the treatment, prevention or alleviation of a disease or a disorder or a condition of a mammal, including a human, which disease, disorder or condition is responsive to inhibition of monoamine neurotransmitter re-uptake in the central nervous system.

[0010]

In a still further aspect, the invention relates to a method for treatment, prevention or alleviation of a disease or a disorder or a condition of a living animal body, including a human, which disorder, disease or condition is responsive to responsive to inhibition of monoamine neurotransmitter re-uptake in the central nervous system, which method comprises the step of administering to such a living animal body in need thereof a therapeutically effective amount of a compound of the invention, or any of its isomers or any mixture of its isomers, or a pharmaceutically acceptable salt thereof.

[0011]

Other objects of the invention will be apparent to the person skilled in the art from the following detailed description and examples.

DETAILED DISCLOSURE OF THE INVENTION

8-aza-bicyclo[3.2.1]octane derivatives

[0012]

In its first aspect the present invention provides compounds of formula I:

[0013]


or any of its isomers or any mixture of its isomers,
or a pharmaceutically acceptable salt thereof,
wherein
Rarepresents hydrogen or alkyl;

    • which alkyl is optionally substituted with one or more substituents independently selected from the group consisting of:
      • halo, trifluoromethyl, trifluoromethoxy, cyano, hydroxy, amino, nitro, alkoxy, cycloalkoxy, alkyl, cycloalkyl, cycloalkylalkyl, alkenyl and alkynyl;
        X represents —O—, —S— or —NRc—;
    • wherein Rcrepresents hydrogen, alkyl, —C(═O)Rdor —SO2Rd;
      • wherein Rdrepresents hydrogen or alkyl;
        Rbrepresents an aryl or a heteroaryl group,
    • which aryl or heteroaryl group is optionally substituted with one or more substituents independently selected from the group consisting of:
      • halo, trifluoromethyl, trifluoromethoxy, cyano, hydroxy, amino, nitro, oxo, alkoxy, cycloalkoxy, alkyl, cycloalkyl, cycloalkylalkyl, alkenyl and alkynyl.

[0020]

In one embodiment, Rarepresents hydrogen or alkyl;

[0000]

X represents —O—, —S— or —NRc—;

[0000]

    • wherein Rcrepresents hydrogen, alkyl, —C(═O)Rdor —SO2Rd;
      • wherein Rdrepresents hydrogen or alkyl;
        Rbrepresents an aryl or a heteroaryl group,
    • which aryl or heteroaryl group is optionally substituted with one or more substituents independently selected from the group consisting of:
      • halo, trifluoromethyl, trifluoromethoxy, cyano, hydroxy, amino, nitro, alkoxy, cycloalkoxy, alkyl, cycloalkyl, cycloalkylalkyl, alkenyl and alkynyl.

[0025]

In a further embodiment, Rarepresents hydrogen or alkyl. In a still further embodiment, Rarepresents hydrogen. In a further embodiment, Rarepresents alkyl, such as methyl. In a still further embodiment, Rarepresents alkyl substituted with hydroxy, cyano, cycloalkyl or alkenyl. In a special embodiment, Rarepresents hydroxyalkyl, such as hydroxyethyl. In a further embodiment, Rarepresents cyanoalkyl, such as cyanomethyl. In a still further embodiment, Rarepresents cycloalkylalkyl, such as cyclopropylmethyl. In a further embodiment, Rarepresents alkenylalkyl, such as allyl.

[0026]

In a further embodiment, X represents —O—. In a still further embodiment, X represents —S—. In a further embodiment, X represents —NRc—. In a special embodiment, Rcrepresents hydrogen. In a further embodiment, Rcrepresents —C(═O)Rd. In a special embodiment, Rdrepresents hydrogen. In a special embodiment, X represents —NH— or —N((C═O)H)—

[0027]

In a further embodiment, Rbrepresents an aryl or a heteroaryl group, which aryl or heteroaryl group is optionally substituted with one or more substituents independently selected from the group consisting of: halo, trifluoromethyl, trifluoromethoxy, cyano, oxo and alkoxy. In a still further embodiment, Rbrepresents an aryl or a heteroaryl group, which aryl or heteroaryl group is optionally substituted with one or more substituents independently selected from the group consisting of: halo, trifluoromethyl, trifluoromethoxy, cyano and alkoxy. In a further embodiment, Rbrepresents an aryl or a heteroaryl group, which aryl or heteroaryl group is substituted with one or more substituents independently selected from the group consisting of: halo, trifluoromethyl, trifluoromethoxy, cyano, oxo, alkyl and alkoxy. In a still further embodiment, Rbrepresents an aryl or a heteroaryl group, which aryl or heteroaryl group is substituted with one or more substituents independently selected from the group consisting of: halo, trifluoromethyl, trifluoromethoxy, cyano, oxo and alkoxy. In a further embodiment, Rbrepresents an aryl or a heteroaryl group, which aryl or heteroaryl group is substituted with one or more substituents independently selected from the group consisting of: halo, trifluoromethyl, trifluoromethoxy, cyano and alkoxy.

[0028]

In a further embodiment, Rbrepresents an unsubstituted, monosubstituted or disubstituted aryl or heteroaryl group.

[0029]

In a still further embodiment, Rbrepresents an optionally substituted monocyclic heteroaryl group. In a further embodiment, Rbrepresents an optionally substituted bicyclic heteroaryl group. In a still further embodiment, Rbrepresents an optionally substituted polycyclic heteroaryl group.

[0030]

In a special embodiment, Rbrepresents an optionally substituted heteroaryl group and the compound of formula I is in the exo configuration. In a further embodiment, Rarepresents hydrogen and Rbrepresents an optionally substituted heteroaryl group. In a still further embodiment, Rarepresents hydrogen, Rbrepresents an optionally substituted heteroaryl group and the compound of formula I is in the exo configuration.

[0031]

In a still further embodiment, Rbrepresents an optionally substituted phenyl group. In a further embodiment, Rbrepresents an optionally substituted naphthyl group. In a still further embodiment, Rbrepresents an optionally substituted fluorenyl group.

[0032]

In a further embodiment, Rbrepresents an optionally substituted thienyl group. In a still further embodiment, Rbrepresents an optionally substituted benzoisothiazolyl group.

[0033]

In a still further embodiment, Rbrepresents a phenyl group, which phenyl group is optionally substituted with one or more substituents independently selected from the group consisting of: halo, trifluoromethyl, trifluoromethoxy, cyano and alkoxy.

[0034]

In a further embodiment, Rbrepresents a phenyl group optionally substituted once or twice with halo, such as chloro. In a special embodiment, Rbrepresents phenyl. In a further embodiment, Rbrepresents monosubstituted phenyl. In a special embodiment, Rbrepresents chlorophenyl, such as 3-chlorophenyl. In a further embodiment, Rbrepresents a disubstituted phenyl. In a still further special embodiment, Rbrepresents dichlorophenyl, such as 2,3-dichlorophenyl or 3,4-dichlorophenyl. In a further embodiment, Rbrepresents phenyl substituted with chloro and fluoro, such as 4-chloro-3-fluorophenyl or 4-fluoro-3-chlorophenyl. In a still further embodiment, Rbrepresents phenyl substituted with chloro and trifluoromethyl, such as 2-chloro-3-trifluoromethylphenyl or 4-chloro-3-trifluoromethylphenyl. In a still further embodiment, Rbrepresents phenyl substituted with fluoro and trifluoromethyl, such as 4-fluoro-3-trifluoromethylphenyl. In a further embodiment, Rbrepresents phenyl substituted with chloro and cyano, such as 3-chloro-4-cyanophenyl. In still a further embodiment, Rbrepresents phenyl substituted with chloro and methyl, such as 4-chloro-3-methylphenyl. In a further embodiment, Rbrepresents phenyl substituted with chloro and bromo, such as 4-bromo-3-chlorophenyl. In a further embodiment, Rbrepresents a monosubstituted phenyl. In a still further embodiment, Rbrepresents chlorophenyl, such as 3-chlorophenyl or 4-chlorophenyl. In a further embodiment, Rbrepresents trifluoromethoxyphenyl, such as 3-trifluoromethoxyphenyl or 4-trifluoromethoxyphenyl. In a still further embodiment, Rbrepresents trifluoromethylphenyl; such as 4-trifluoromethylphenyl. In a further embodiment, Rbrepresents methylphenyl, such as 4-methylphenyl. In a still further embodiment, Rbrepresents methoxyphenyl, such as 3-methoxyphenyl or 4-methoxyphenyl. In a still further embodiment, Rbrepresents cyanophenyl, such as 4-cyanophenyl.

[0035]

In a further embodiment, Rarepresents hydrogen and Rbrepresents a phenyl group which phenyl group is substituted twice with substituents independently selected from the group consisting of: halo, trifluoromethyl, trifluoromethoxy, cyano and alkoxy.

[0036]

In a further embodiment, Rbrepresents a naphthyl group, such as 1-naphthyl or 2-naphthyl. In a still further embodiment, Rbrepresents a naphthyl group substituted once or twice with halo, such as chloro or bromo. In a special embodiment, Rbrepresents chloronaphthyl, such as 4-chloronaphthalen-1-yl. In a further embodiment, Rbrepresents bromonaphthyl, such as 6-bromonaphthalen-2-yl. In a still further embodiment, Rbrepresents a naphthyl group substituted one or twice with alkoxy, such as methoxy. In a special embodiment, Rbrepresents methoxynaphthyl, such as 4-methoxynaphthalen-1-yl, 6-methoxynaphthalen-2-yl or 7-methoxynaphthalen-2-yl. In a still further embodiment, Rbrepresents a naphthyl group substituted one or twice with cyano. In a special embodiment, Rbrepresents cyanonaphthyl, such as 6-cyanonaphthalen-2-yl.

[0037]

In a still further embodiment, Rbrepresents a 1,2,3,4-tetrahydronaphthyl group, such as 1,2,3,4-Tetrahydronaphthalen-6-yl.

[0038]

In a further embodiment, Rbrepresents an indanyl group, such as 5-indanyl.

[0039]

In a still further embodiment, Rbrepresents a fluorenyl group substituted with oxo, such as fluoren-9-one-2-yl.

[0040]

In a still further embodiment, Rbrepresents a thienyl group, which thienyl group is substituted with one or more substituents independently selected from the group consisting of: halo, trifluoromethyl, trifluoromethoxy, cyano and alkoxy.

[0041]

In a further embodiment, Rbrepresents a thienyl group substituted one or more times with halo, such as chloro or bromo. In a special embodiment, Rbrepresents bromothienyl, such as 4-bromothiophen-2-yl. In a further embodiment, Rbrepresents dihalothienyl, such as bromo-chloro-thienyl, in particular 3-bromo-5-chloro-thiophen-2-yl or 4-bromo-5-chloro-thiophen-2-yl. In a further embodiment, Rbrepresents dichlorothienyl, such as 3,4-dichloro-thiophen-2-yl. In a further special embodiment, Rbrepresents trichlorothienyl, such as 3,4,5-trichloro-thiophen-2-yl. In a still further special embodiment, Rbrepresents tribromothienyl, such as 3,4,5-tribromo-thiophen-2-yl.

[0042]

In a still further embodiment, Rbrepresents a benzoisothiazolyl group, such as 1,2-benzoisothiazol-3-yl.

[0043]

In a further embodiment, Rbrepresents an optionally substituted benzothiazolyl group. In a special embodiment, Rbrepresents benzothiazolyl, such as benzothiazol-2-yl. In a further embodiment, Rbrepresents a benzothiazolyl group substituted once or twice with halo, such as chloro. In a special embodiment, Rbrepresents chlorobenzothiazolyl, such as 6-chlorobenzothiazol-2-yl.

[0044]

In a further embodiment, Rbrepresents a thiazolyl group substituted once or twice with halo, such as bromo. In a special embodiment, Rbrepresents bromothiazolyl, such as 5-bromothiazol-2-yl.

[0045]

In a still further embodiment, Rbrepresents a quinoxalinyl group, such as quinoxalin-2-yl.

[0046]

In a further embodiment, Rbrepresents a quinazolinyl group, such as quinazolin-2-yl.

[0047]

In a further embodiment, Rbrepresents a quinolinyl group, such as quinolin-2-yl, quinolin-6-yl or quinolin-8-yl.

[0048]

In a further embodiment, Rbrepresents a isoquinolinyl group, such as isoquinolin-5-yl.

[0049]

In a still further embodiment, Rbrepresents a benzoxazolyl group, such as benzoxazol-2-yl.

[0050]

In a further embodiment, Rbrepresents an optionally substituted pyridazinyl group. In a still further embodiment, Rbrepresents a pyridazinyl group substituted once or twice with halo, such as chloro. In a special embodiment, Rbrepresents chloropyridazinyl, such as 6-chloropyridazin-3-yl.

[0051]

In a further embodiment, Rbrepresents an optionally substituted pyridyl group. In a further embodiment, Rbrepresents a pyridyl group, which pyridyl group is substituted with one or more substituents independently selected from the group consisting of:

[0052]

halo, trifluoromethyl, trifluoromethoxy, cyano, hydroxy and alkoxy. In a still further embodiment, Rbrepresents a pyridyl group substituted once or twice with halo, such as chloro or bromo. In a special embodiment, Rbrepresents chloropyridyl, such as 5-chloropyridin-2-yl or 6-chloropyridin-2-yl. In a further embodiment, Rbrepresents bromopyridyl, such as 5-bromopyridin-2-yl or 6-bromopyridin-2-yl. In a still further embodiment, Rbrepresents a pyridyl group substituted once or twice with alkoxy, such as methoxy or ethoxy. In a special embodiment, Rbrepresents methoxypyridyl, such as 6-methoxypyridin-2-yl. In a further special embodiment, Rbrepresents ethoxypyridyl, such as 6-ethoxypyridin-2-yl. In a still further embodiment, Rbrepresents a pyridin group substituted once or twice with trifluoromethyl. In a special embodiment, Rbrepresents trifluoromethylpyridyl, such as 5-trifluoromethylpyridin-2-yl. In a further embodiment, Rbrepresents a pyridin group substituted once or twice with hydroxy. In a special embodiment, Rbrepresents a hydroxypyridyl, such as 6-hydroxy-pyridin-2-yl.

[0053]

In a further embodiment, Rbrepresents a isoquinolinyl group, such as isoquinolin-1-yl.

[0054]

In a further embodiment, Rbrepresents an optionally substituted pyrimidin group. In a still further embodiment, Rbrepresents a pyrimidin group substituted once or twice with halo, such as bromo. In a special embodiment, Rbrepresents bromopyrimidin, such as 5-bromopyrimidin-2-yl.

[0055]

In a further embodiment, Rbrepresents a dibenzofuranyl group, such as dibenzofuran-2-yl.

[0056]

In a still further embodiment, Rbrepresents an indolyl group, such as 5-indolyl.

[0057]

In a special embodiment the chemical compound of the invention is

  • endo-3-(3,4,5-Trichlorothiophen-2-yloxy)-8-methyl-8-azabicyclo[3.2.1]octane;
  • endo-3-(3,4-Dichlorothiophen-2-yloxy)-8-methyl-8-azabicyclo[3.2.1]octane;
  • exo-3-(3,4,5-Trichlorothiophen-2-yloxy)-8-methyl-8-azabicyclo[3.2.1]octane;
  • exo-3-(1,2-Benzoisothiazol-3-yloxy)-8-methyl-8-azabicyclo[3.2.1]octane;
  • exo-3-(5-Bromothiazol-2-yloxy)-8-methyl-8-azabicyclo[3.2.1]octane;
  • exo-3-(Benzothiazol-2-yloxy)-8-methyl-8-azabicyclo[3.2.1]octane;
  • exo-3-(6-Chlorobenzothiazol-2-yloxy)-8-methyl-8-azabicyclo[3.2.1]octane;
  • exo-3-(Quinoxalin-2-yloxy)-8-methyl-8-azabicyclo[3.2.1]octane;
  • exo-3-(Quinolin-2-yloxy)-8-methyl-8-azabicyclo[3.2.1]octane;
  • exo-3-(Benzoxazol-2-yloxy)-8-methyl-8-azabicyclo[3.2.1]octane;
  • exo-3-(6-Chloro-pyridazin-3-yloxy)-8-methyl-8-azabicyclo[3.2.1]octane;
  • exo-3-(5-Chloro-pyridin-2-yloxy)-8-methyl-8-azabicyclo[3.2.1]octane;
  • exo-3-(Isoquinolin-1-yloxy)-8-methyl-8-azabicyclo[3.2.1]octane;
  • exo-3-(6-Chloropyridin-2-yloxy)-8-methyl-8-azabicyclo[3.2.1]octane;
  • exo-3-(5-Bromopyridin-2-yloxy)-8-methyl-8-azabicyclo[3.2.1]octane;
  • exo-3-(6-Bromopyridin-2-yloxy)-8-methyl-8-azabicyclo[3.2.1]octane;
  • exo-3-(5-Bromopyrimidin-2-yloxy)-8-methyl-8-azabicyclo[3.2.1]octane;
  • exo-3-(Quinazolin-2-yloxy)-8-methyl-8-azabicyclo[3.2.1]octane;
  • exo-3-(5-Trifluoromethylpyridin-2-yloxy)-8-methyl-8-azabicyclo[3.2.1]octane;
  • exo-3-(3,4,5-Tribromothiophen-2-yloxy)-8-methyl-8-azabicyclo[3.2.1]octane;
  • exo-3-(4-Bromo thiophen-2-yloxy)-8-methyl-8-azabicyclo[3.2.1]octane;
  • endo-3-(3-Bromo-5-chloro-thiophen-2-yloxy)-8-methyl-8-azabicyclo[3.2.1]octane;
  • endo-3-(4-Bromo-5-chloro-thiophen-2-yloxy)-8-methyl-8-azabicyclo[3.2.1]octane;
  • endo-3-(3,4,5-Trichlorothiopen-2-yloxy)-8-H-8-azabicyclo[3.2.1]octane;
  • exo-3-(2,3-Dichlorophenoxy)-8-H-8-azabicyclo[3.2.1]octane;
  • exo-3-(3,4-Dichlorophenoxy)-8-H-8-azabicyclo[3.2.1]octane;
  • exo-3-(3,4,5-Trichlorothiophen-2-yloxy)-8-H-8-azabicyclo[3.2.1]octane;
  • exo-3-(3-Chloro-4-fluorophenoxy)-8-H-8-azabicyclo[3.2.1]octane;
  • exo-3-(3-Chloro-phenoxy)-8-H-8-azabicyclo[3.2.1]octane;
  • exo-3-(4-Chloro-3-fluorophenoxy)-8-H-8-azabicyclo[3.2.1]octane;
  • exo-3-(4-Chloro-phenoxy)-8-H-8-azabicyclo[3.2.1]octane;
  • exo-3-(2-Chloro-3-trifluoromethyl-phenoxy)-8-H-8-azabicyclo[3.2.1]octane;
  • exo-3-(Fluoren-9-one-2-yloxy)-8-H-8-azabicyclo[3.2.1]octane;
  • exo-3-(1,2-Benzoisothiazol-3-yloxy)-8-H-8-azabicyclo[3.2.1]octane;
  • exo-3-(3,4-Dichlorophenylthio)-8-methyl-8-azabicyclo[3.2.1]octane;
  • endo-3-(3,4-Dichlorophenoxy)-8-H-8-azabicyclo[3.2.1]octane;
  • exo-3-(4-Chloro-3-trifluoromethylphenoxy)-8-H-8-azabicyclo[3.2.1]octane;
  • exo-3-(2-Dibenzofuranyloxy)-8-H-8-azabicyclo[3.2.1]octane;
  • exo-3-(1-Naphthyloxy)-8-H-8-azabicyclo[3.2.1]octane;
  • exo-3-(2-Naphthyloxy)-8-H-8-azabicyclo[3.2.1]octane;
  • exo-3-(3-Chloro-4-cyanophenoxy)-8-H-8-azabicyclo[3.2.1]octane;
  • exo-3-(4-Chloro-3-methylphenoxy)-8-H-8-aza bicyclo[3.2.1]octane;
  • exo-3-(4-Chloronaphthalen-1-yloxy)-8-H-8-azabicyclo[3.2.1]octane;
  • exo-3-(Quinolin-2-yloxy)-8-H-8-azabicyclo[3.2.1]octane;
  • exo-3-(5-Chloro-pyridin-2-yl)-8-H-8-azabicyclo[3.2.1]octane;
  • exo-3-(4-Methoxyphenoxy)-8-H-8-aza bicyclo[3.2.1]octane;
  • exo-3-(Isoquinolin-5-yloxy)-8-H-8-azabicyclo[3.2.1]octane;
  • exo-3-(6-Bromo-naphthalen-2-yloxy)-8-H-8-azabicyclo[3.2.1]octane;
  • exo-3-(4-Bromo-3-chloro-phenoxy)-8-H-8-azabicyclo[3.2.1]octane;
  • exo-3-(Quinolin-6-yloxy)-8-H-8-azabicyclo[3.2.1]octane;
  • exo-3-(4-Trifluorophenoxy)-8-H-8-azabicyclo[3.2.1]octane;
  • exo-3-(4-Cyanophenoxy)-8-H-8-azabicyclo[3.2.1]octane;
  • exo-3-(Quinolin-8-yloxy)-8-H-8-azabicyclo[3.2.1]octane;
  • exo-3-(4-Methylphenoxy)-8-H-8-azabicyclo[3.2.1]octane;
  • exo-3-(6-Chloropyridin-2-yloxy)-8-H-8-azabicyclo[3.2.1]octane;
  • exo-3-(5-Bromopyridin-2-yloxy)-8-H-8-azabicyclo[3.2.1]octane;
  • exo-3-(6-Bromopyridin-2-yloxy)-8-H-8-azabicyclo[3.2.1]octane;
  • exo-3-(Isoquinolin-1-yloxy)-8-H-8-azabicyclo[3.2.1]octane;
  • exo-3-(3-Trifluoromethoxyphenoxy)-8-H-8-azabicyclo[3.2.1]octane;
  • exo-3-(4-Trifluoromethoxyphenoxy)-8-H-8-azabicyclo[3.2.1]octane;
  • exo-3-(6-Methoxypyridin-2-yloxy)-8-H-8-azabicyclo[3.2.1]octane;
  • exo-3-(5-trifluoromethylpyridin-2-yloxy)-8-H-8-azabicyclo[3.2.1]octane;
  • exo-3-(6-Ethoxypyridin-2-yloxy)-8-H-8-azabicyclo[3.2.1]octane;
  • exo-3-(4-Fluoro-3-trifluoromethylphenoxy)-8-H-8-azabicyclo[3.2.1]octane;
  • exo-3-(2,3-Dichlorophenoxy)-8-methyl-8-azabicyclo[3.2.1]octane;
  • exo-3-(3,4-Dichlorophenoxy)-8-methyl-8-azabicyclo[3.2.1]octane;
  • exo-3-(3-Chloro-4-fluorophenoxy)-8-methyl-8-azabicyclo[3.2.1]octane;
  • exo-3-(4-Chloro-3-fluorophenoxy)-8-methyl-8-azabicyclo[3.2.1]octane;
  • exo-3-(2-Chloro-3-trifluoromethyl-phenoxy)-8-methyl-8-azabicyclo[3.2.1]octane;
  • exo-3-(3-Chloro-phenoxy)-8-methyl-8-azabicyclo[3.2.1]octane;
  • exo-3-(4-Chloro-phenoxy)-8-methyl-8-azabicyclo[3.2.1]octane;
  • exo-3-(Fluoren-9-one-2-yloxy)-8-methyl-8-azabicyclo[3.2.1]octane;
  • exo-3-(3,4-Dichlorophenylthio)-8-methyl-8-azabicyclo[3.2.1]octane;
  • exo-3-(1-Naphthyloxy)-8-methyl-8-aza bicyclo[3.2.1]octane;
  • exo-3-(2-Naphthyloxy)-8-methyl-8-azabicyclo[3.2.1]octane;
  • exo-3-(4-Chloro-3-trifluoromethyl-phenoxy)-8-methyl-8-azabicyclo[3.2.1]octane;
  • exo-3-(3-Chloro-4-cyanophenoxy)-8-methyl-8-azabicyclo[3.2.1]octane;
  • exo-3-(2-Dibenzofuranyloxy)-8-methyl-8-azabicyclo[3.2.1]octane;
  • exo-3-(4-Chloronaphthalen-1-yloxy)-8-methyl-8-azabicyclo[3.2.1]octane;
  • exo-3-(4-Chloro-3-methylphenoxy)-8-methyl-8-azabicyclo[3.2.1]octane;
  • exo-3-(4-Methoxyphenoxy)-8-methyl-8-azabicyclo[3.2.1]octane;
  • exo-3-(7-Methoxynaphthalen-2-yloxy)-8-methyl-8-azabicyclo[3.2.1]octane;
  • exo-3-(6-Methoxynaphthalen-2-yloxy)-8-methyl-8-azabicyclo[3.2.1]octane;
  • exo-3-(4-Bromo-3-chloro-phenoxy)-8-methyl-8-azabicyclo[3.2.1]octane;
  • exo-3-(Isoquinolin-5-yl)-8-methyl-8-azabicyclo[3.2.1]octane;
  • exo-3-(6-Bromo-naphthalen-2-yloxy)-8-methyl-8-azabicyclo[3.2.1]octane;
  • exo-3-(3-Methoxyphenoxy)-8-methyl-8-azabicyclo[3.2.1]octane;
  • exo-3-(4-Cyanophenoxy)-8-methyl-8-azabicyclo[3.2.1]octane;
  • exo-3-(Quinolin-6-yloxy)-8-methyl-8-azabicyclo[3.2.1]octane;
  • exo-3-(1,2,3,4-Tetrahydronaphthalen-6-yloxy)-8-methyl-8-azabicyclo[3.2.1]octane;
  • exo-3-(4-Trifluoromethylphenoxy)-8-methyl-8-azabicyclo[3.2.1]octane;
  • exo-3-(4-Methylphenoxy)-8-methyl-8-azabicyclo[3.2.1]octane;
  • exo-3-(8-Quinolinyl)-8-methyl-8-azabicyclo[3.2.1]octane;
  • exo-3-(5-Indanyloxy)-8-methyl-8-azabicyclo[3.2.1]octane;
  • exo-3-(4-Methoxynaphthalen-1-yloxy)-8-methyl-8-azabicyclo[3.2.1]octane;
  • exo-3-(Indol-5-yloxy)-8-methyl-8-azabicyclo[3.2.1]octane;
  • exo-3-(3-Trifluoromethoxyphenoxy)-8-methyl-8-azabicyclo[3.2.1]octane;
  • exo-3-(4-Trifluoromethoxyphenoxy)-8-methyl-8-azabicyclo[3.2.1]octane;
  • exo-3-(4-Fluoro-3-trifluoromethylphenoxy)-8-methyl-8-azabicyclo[3.2.1]octane;
  • endo-3-(3,4-Dichlorophenoxy)-8-methyl-8-azabicyclo[3.2.1]octane;
  • exo-3-(3,4-Dichlorophenoxy)-8-(2-hydroxyethyl)-8-azabicyclo[3.2.1]octane;
  • exo-3-(3,4-Dichlorophenoxy)-8-(cyanomethyl)-8-azabicyclo[3.2.1]octane;
  • exo-3-(3,4-Dichlorophenoxy)-8-(cyclopropylmethyl)-8-azabicyclo[3.2.1]octane;
  • exo-3-(3,4-Dichlorophenoxy)-8-(allyl)-8-azabicyclo[3.2.1]octane;
  • exo-3-(3,4-Dichlorophenoxy)-8-(methoxyethyl)-8-azabicyclo[3.2.1]octane;
  • exo-3-(6-Methoxypyridin-2-yloxy)-8-methyl-8-azabicyclo[3.2.1]octane;
  • exo-3-(6-Ethoxypyridin-2-yloxy)-8-methyl-8-azabicyclo[3.2.1]octane;
  • exo-3-(6-hydroxy-pyridin-2-yloxy)-8-methyl-8-azabicyclo[3.2.1]octane;
  • exo-3-(6-Cyano-naphthalen-2-yloxy)-8-methyl-8-azabicyclo[3.2.1]octane;
  • exo-(3,4-Dichloro-phenyl)-(8-methyl-8-aza-bicyclo[3.2.1]oct-3-yl)-amine;
  • endo-(3,4-Dichloro-phenyl)-(8-methyl-8-aza-bicyclo[3.2.1]oct-3-yl)-formylamine;
  • exo-(3,4-Dichloro-phenyl)-(8-methyl-8-aza-bicyclo[3.2.1]oct-3-yl)-formylamine;
    or any of its isomers or any mixture of its isomers, or a pharmaceutically acceptable salt thereof.

[0170]

Any combination of two or more of the embodiments as described above is considered within the scope of the present invention.

Definition of Substituents

[0171]

In the context of this invention halo represents fluoro, chloro, bromo or iodo.

[0172]

In the context of this invention an alkyl group designates a univalent saturated, straight or branched hydrocarbon chain. The hydrocarbon chain preferably contain of from one to six carbon atoms (C1-6-alkyl), including pentyl, isopentyl, neopentyl, tertiary pentyl, hexyl and isohexyl. In a preferred embodiment alkyl represents a C1-4-alkyl group, including butyl, isobutyl, secondary butyl, and tertiary butyl. In another preferred embodiment of this invention alkyl represents a C1-3-alkyl group, which may in particular be methyl, ethyl, propyl or isopropyl.

[0173]

In the context of this invention an alkenyl group designates a carbon chain containing one or more double bonds, including di-enes, tri-enes and poly-enes. In a preferred embodiment the alkenyl group of the invention comprises of from two to six carbon atoms (C2-6-alkenyl), including at least one double bond. In a most preferred embodiment the alkenyl group of the invention is ethenyl; 1- or 2-propenyl; 1-, 2- or 3-butenyl, or 1,3-butdienyl; 1-, 2-, 3-, 4- or 5-hexenyl, or 1,3-hexdienyl, or 1,3,5-hextrienyl.

[0174]

In the context of this invention an alkynyl group designates a carbon chain containing one or more triple bonds, including di-ynes, tri-ynes and poly-ynes. In a preferred embodiment the alkynyl group of the invention comprises of from two to six carbon atoms (C2-6-alkynyl), including at least one triple bond. In its most preferred embodiment the alkynyl group of the invention is ethynyl; 1-, or 2-propynyl; 1-, 2-, or 3-butynyl, or 1,3-butdiynyl; 1-, 2-, 3-, 4-pentynyl, or 1,3-pentdiynyl; 1-, 2-, 3-, 4-, or 5-hexynyl, or 1,3-hexdiynyl or 1,3,5-hextriynyl.

[0175]

In the context of this invention a cycloalkyl group designates a cyclic alkyl group, preferably containing of from three to seven carbon atoms (C3-7-cycloalkyl), including cyclopropyl, cyclobutyl, cyclopentyl, cyclohexyl and cycloheptyl.

[0176]

Alkoxy is O-alkyl, wherein alkyl is as defined above.

[0177]

Cycloalkoxy means O-cycloalkyl, wherein cycloalkyl is as defined above.

[0178]

Cycloalkylalkyl means cycloalkyl as above and alkyl as above, meaning for example, cyclopropylmethyl.

[0179]

Amino is NH2or NH-alkyl or N-(alkyl)2, wherein alkyl is as defined above.

[0180]

In the context of this invention an aryl group designates a carbocyclic aromatic ring system such as phenyl, naphthyl (1-naphthyl or 2-naphthyl) or fluorenyl. The term aryl is also intended to cover a partially hydrogenated carbocyclic aromatic ring system, such as indanyl or 1,2,3,4-tetrahydronaphthyl.

[0181]

In the context of this invention a heteroaryl group designates an aromatic mono- or bicyclic heterocyclic group, which holds one or more heteroatoms in its ring structure. Preferred heteroatoms include nitrogen (N), oxygen (O), and sulphur (S).

[0182]

Preferred monocyclic heteroaryl groups of the invention include aromatic 5- and 6 membered heterocyclic monocyclic groups, including for example, but not limited to, oxazolyl (oxazol-2-yl, -4-yl, or -5-yl), isoxazolyl (isoxazol-3-yl, -4-yl, or -5-yl), thiazolyl (thiazol-2-yl, -4-yl, or -5-yl), isothiazolyl (isothiazol-3-yl, -4-yl, or -5-yl), 1,2,4-oxadiazolyl (1,2,4-oxadiazol-3-yl or -5-yl), 1,2,4-thiadiazolyl (1,2,4-thiadiazol-3-yl or -5-yl), 1,2,5-oxadiazolyl (1,2,5-oxadiazol-3-yl or -4-yl), 1,2,5-thiadiazolyl (1,2,5-thiadiazol-3-yl or -4-yl), imidazolyl (2-, 4-, or 5-imidazolyl), pyrrolyl (2- or 3-pyrrolyl), furanyl (2- or 3-furanyl), thienyl (2- or 3-thienyl), pyridyl (2-, 3- or 4-pyridyl), pyrimidyl (2-, 4-, 5- or 6-pyrimidyl), or pyridazinyl (3- or 4-pyridazinyl).

[0183]

Preferred bicyclic heteroaryl groups of the invention include indolizinyl, in particular 2-, 5- or 6-indolizinyl; indolyl, in particular 2-, 5- or 6-indolyl; isoindolyl, in particular 2-, 5- or 6-isoindolyl; indazolyl, in particular 1- or 3-indazolyl; benzo[b]furanyl, in particular 2-, 5- or 6-benzofuranyl; benzo[b]thienyl, in particular 2-, 5- or 6-benzothienyl; benzimidazolyl, in particular 2-, 5- or 6-benzimidazolyl; benzoxazolyl, in particular 2-, 5- or 6-benzoxazolyl; benzothiazolyl, in particular 2-, 5- or 6-benzothiazolyl; benzoisothiazolyl (1,2-benzoisothiazolyl or 2,1-benzoisothiazolyl), in particular 1,2-benzoisothiazol-3-yl; purinyl, in particular 2- or 8-purinyl; quinolinyl, in particular 2-, 3-, 6-, 7- or 8-quinolinyl; isoquinolinyl, in particular 1-, 3-, 5-, 6- or 7-isoquinolinyl; cinnolinyl, in particular 6- or 7-cinnolinyl; phthalazinyl, in particular 6- or 7-phthalazinyl; quinazolinyl, in particular 2-, 6- or 7-quinazolinyl; quinoxalinyl, in particular 2- or 6-quinoxalinyl; 1,8-naphthyridinyl, in particular 1,8-naphthyridin-2-, 3-, 6- or 7-yl; pteridinyl, in particular 2-, 6- or 7-pteridinyl; and indenyl, in particular 1-, 2-, 3-, 5- or 5-indenyl.

[0184]

Preferred polycyclic heteroaryl groups of the invention include dibenzofuranyl, in particular 2-dibenzofuranyl.

[0000]

Pharmaceutically Acceptable Salts

[0185]

The chemical compound of the invention may be provided in any form suitable for the intended administration. Suitable forms include pharmaceutically (i.e. physiologically) acceptable salts, and pre- or prodrug forms of the chemical compound of the invention.

[0186]

Examples of pharmaceutically acceptable addition salts include, without limitation, the non-toxic inorganic and organic acid addition salts such as the hydrochloride derived from hydrochloric acid, the hydrobromide derived from hydrobromic acid, the nitrate derived from nitric acid, the perchlorate derived from perchloric acid, the phosphate derived from phosphoric acid, the sulphate derived from sulphuric acid, the formate derived from formic acid, the acetate derived from acetic acid, the aconate derived from aconitic acid, the ascorbate derived from ascorbic acid, the benzenesulphonate derived from benzenesulphonic acid, the benzoate derived from benzoic acid, the cinnamate derived from cinnamic acid, the citrate derived from citric acid, the embonate derived from embonic acid, the enantate derived from enanthic acid, the fumarate derived from fumaric acid, the glutamate derived from glutamic acid, the glycolate derived from glycolic acid, the lactate derived from lactic acid, the maleate derived from maleic acid, the malonate derived from malonic acid, the mandelate derived from mandelic acid, the methanesulphonate derived from methane sulphonic acid, the naphthalene-2-sulphonate derived from naphtalene-2-sulphonic acid, the phthalate derived from phthalic acid, the salicylate derived from salicylic acid, the sorbate derived from sorbic acid, the stearate derived from stearic acid, the succinate derived from succinic acid, the tartrate derived from tartaric acid, the toluene-p-sulphonate derived from p-toluene sulphonic acid, and the like. Such salts may be formed by procedures well known and described in the art.

[0187]

Other acids such as oxalic acid, which may not be considered pharmaceutically acceptable, may be useful in the preparation of salts useful as intermediates in obtaining a chemical compound of the invention and its pharmaceutically acceptable acid addition salt.

[0188]

Examples of pharmaceutically acceptable cationic salts of a chemical compound of the invention include, without limitation, the sodium, the potassium, the calcium, the magnesium, the zinc, the aluminium, the lithium, the choline, the lysine, and the ammonium salt, and the like, of a chemical compound of the invention containing an anionic group. Such cationic salts may be formed by procedures well known and described in the art.

[0189]

In the context of this invention the “onium salts” of N-containing compounds are also contemplated as pharmaceutically acceptable salts. Preferred “onium salts” include the alkyl-onium salts, the cycloalkyl-onium salts, and the cycloalkylalkyl-onium salts.

[0190]

Examples of pre- or prodrug forms of the chemical compound of the invention include examples of suitable prodrugs of the substances according to the invention include compounds modified at one or more reactive or derivatizable groups of the parent compound. Of particular interest are compounds modified at a carboxyl group, a hydroxyl group, or an amino group. Examples of suitable derivatives are esters or amides.

[0191]

The chemical compound of the invention may be provided in dissoluble or indissoluble forms together with a pharmaceutically acceptable solvent such as water, ethanol, and the like. Dissoluble forms may also include hydrated forms such as the monohydrate, the dihydrate, the hemihydrate, the trihydrate, the tetrahydrate, and the like. In general, the dissoluble forms are considered equivalent to indissoluble forms for the purposes of this invention.

[0000]

Steric Isomers

[0192]

It will be appreciated by those skilled in the art that the compounds of the present invention may contain one or more chiral centers, and that such compounds exist in the form of isomers.

[0193]

Moreover, the substituent —X—Rbon position 3 of the 8-aza-bicyclo[3.2.1]octane skeleton of formula I may in particular be in the exo or endo configuration. In one embodiment of the invention the substituent at position 3 is in the exo configuration. In another embodiment of the invention the substituent at position 3 is in the endo configuration.

[0194]

The invention includes all such isomers and any mixtures thereof including racemic mixtures.

[0195]

Racemic forms can be resolved into the optical antipodes by known methods and techniques. One way of separating the isomeric salts is by use of an optically active acid, and liberating the optically active amine compound by treatment with a base. Another method for resolving racemates into the optical antipodes is based upon chromatography on an optical active matrix. Racemic compounds of the present invention can thus be resolved into their optical antipodes, e.g., by fractional crystallisation of d- or I-(tartrates, mandelates, or camphorsulphonate) salts for example.

[0196]

The chemical compounds of the present invention may also be resolved by the formation of diastereomeric amides by reaction of the chemical compounds of the present invention with an optically active activated carboxylic acid such as that derived from (+) or (−) phenylalanine, (+) or (−) phenylglycine, (+) or (−) camphanic acid or by the formation of diastereomeric carbamates by reaction of the chemical compound of the present invention with an optically active chloroformate or the like.

[0197]

Additional methods for the resolving the optical isomers are known in the art. Such methods include those described by Jaques J, Collet A, & Wilen S in “Enantiomers, Racemates, and Resolutions”, John Wiley and Sons, New York (1981).

[0198]

Optical active compounds can also be prepared from optical active starting materials.

[0000]

Labelled Compounds

[0199]

The compounds of the invention may be used in their labelled or unlabelled form. In the context of this invention “label” stands for the binding of a marker to the compound of interest that will allow easy quantitative detection of said compound.

[0200]

The labelled compounds of the invention may be useful as diagnostic tools, radio tracers, or monitoring agents in various diagnostic methods, and for in vivo receptor imaging.

[0201]

The labelled isomer of the invention preferably contains at least one radionuclide as a label. Positron emitting radionuclides are all candidates for usage. In the context of this invention the radionuclide is preferably selected from 2H (deuterium), 3H (tritium),13C,14C,131I,125I,123I, and18F.

[0202]

The physical method for detecting the labelled isomer of the present invention may be selected from Position Emission Tomography (PET), Single Photon Imaging Computed Tomography (SPECT), Magnetic Resonance Spectroscopy (MRS), Magnetic Resonance Imaging (MRI), and Computed Axial X-ray Tomography (CAT), or combinations thereof.

[0000]

Methods of Preparation

[0203]

The chemical compounds of the invention may be prepared by conventional methods for chemical synthesis, e.g. those described in the working examples. The starting materials for the processes described in the present application are known or may readily be prepared by conventional methods from commercially available chemicals.

[0204]

Also one compound of the invention can be converted to another compound of the invention using conventional methods.

[0205]

The end products of the reactions described herein may be isolated by conventional techniques, e.g. by extraction, crystallisation, distillation, chromatography, etc.

[0000]

Biological Activity

[0206]

Compounds of the invention may be tested for their ability to inhibit reuptake of the monoamines dopamine, noradrenaline and serotonin in synaptosomes eg such as described in WO 97/30997. Based on the balanced activity observed in these tests the compound of the invention is considered useful for the treatment the treatment, prevention or alleviation of a disease or a disorder or a condition of a mammal, including a human, which disease, disorder or condition is responsive to inhibition of monoamine neurotransmitter re-uptake in the central nervous system.

[0207]

In a special embodiment, the compounds of the invention are considered useful for the treatment, prevention or alleviation of: mood disorder, depression, atypical depression, major depressive disorder, dysthymic disorder, bipolar disorder, bipolar I disorder, bipolar II disorder, cyclothymic disorder, mood disorder due to a general medical condition, substance-induced mood disorder, pseudodementia, Ganser's syndrome, obsessive compulsive disorder, panic disorder, panic disorder without agoraphobia, panic disorder with agoraphobia, agoraphobia without history of panic disorder, panic attack, memory deficits, memory loss, attention deficit hyperactivity disorder, obesity, anxiety, generalized anxiety disorder, eating disorder, Parkinson's disease, parkinsonism, dementia, dementia of ageing, senile dementia, Alzheimer's disease, acquired immunodeficiency syndrome dementia complex, memory dysfunction in ageing, specific phobia, social phobia, post-traumatic stress disorder, acute stress disorder, drug addiction, drug misuse, cocaine abuse, nicotine abuse, tobacco abuse, alcohol addiction, alcoholism, pain, chronic pain, inflammatory pain, neuropathic pan, migraine pain, tension-type headache, chronic tension-type headache, pain associated with depression, fibromyalgia, arthritis, osteoarthritis, rheumatoid arthritis, back pain, cancer pain, irritable bowel pain, irritable bowel syndrome, post-operative pain, post-stroke pain, drug-induced neuropathy, diabetic neuropathy, sympathetically-maintained pain, trigeminal neuralgia, dental pain, myofacial pain, phantom-limb pain, bulimia, premenstrual syndrome, late luteal phase syndrome, post-traumatic syndrome, chronic fatigue syndrome, urinary incontinence, stress incontinence, urge incontinence, nocturnal incontinence, sexual dysfunction, premature ejaculation, erectile difficulty, erectile dysfunction, eating disorders, anorexia nervosa, sleep disorders, autism, mutism, trichotillomania, narcolepsy, post-stroke depression, stroke-induced brain damage, stroke-induced neuronal damage or Gilles de la Tourettes disease. In a preferred embodiment, the compounds are considered useful for the treatment, prevention or alleviation of depression.

[0208]

It is at present contemplated that a suitable dosage of the active pharmaceutical ingredient (API) is within the range of from about 0.1 to about 1000 mg API per day, more preferred of from about 10 to about 500 mg API per day, most preferred of from about 30 to about 100 mg API per day, dependent, however, upon the exact mode of administration, the form in which it is administered, the indication considered, the subject and in particular the body weight of the subject involved, and further the preference and experience of the physician or veterinarian in charge.

[0209]

Preferred compounds of the invention show a biological activity in the sub-micromolar and micromolar range, i.e. of from below 1 to about 100 μM.

[0000]

Pharmaceutical Compositions

[0210]

In another aspect the invention provides novel pharmaceutical compositions comprising a therapeutically effective amount of the chemical compound of the invention.

[0211]

While a chemical compound of the invention for use in therapy may be administered in the form of the raw chemical compound, it is preferred to introduce the active ingredient, optionally in the form of a physiologically acceptable salt, in a pharmaceutical composition together with one or more adjuvants, excipients, carriers, buffers, diluents, and/or other customary pharmaceutical auxiliaries.

[0212]

In a preferred embodiment, the invention provides pharmaceutical compositions comprising the chemical compound of the invention, or a pharmaceutically acceptable salt or derivative thereof, together with one or more pharmaceutically acceptable carriers therefore, and, optionally, other therapeutic and/or prophylactic ingredients, know and used in the art. The carrier(s) must be “acceptable” in the sense of being compatible with the other ingredients of the formulation and not harmful to the recipient thereof.

[0213]

Pharmaceutical compositions of the invention may be those suitable for oral, rectal, bronchial, nasal, pulmonal, topical (including buccal and sub-lingual), transdermal, vaginal or parenteral (including cutaneous, subcutaneous, intramuscular, intraperitoneal, intravenous, intraarterial, intracerebral, intraocular injection or infusion) administration, or those in a form suitable for administration by inhalation or insufflation, including powders and liquid aerosol administration, or by sustained release systems. Suitable examples of sustained release systems include semipermeable matrices of solid hydrophobic polymers containing the compound of the invention, which matrices may be in form of shaped articles, e.g. films or microcapsules.

[0214]

The chemical compound of the invention, together with a conventional adjuvant, carrier, or diluent, may thus be placed into the form of pharmaceutical compositions and unit dosages thereof. Such forms include solids, and in particular tablets, filled capsules, powder and pellet forms, and liquids, in particular aqueous or non-aqueous solutions, suspensions, emulsions, elixirs, and capsules filled with the same, all for oral use, suppositories for rectal administration, and sterile injectable solutions for parenteral use. Such pharmaceutical compositions and unit dosage forms thereof may comprise conventional ingredients in conventional proportions, with or without additional active compounds or principles, and such unit dosage forms may contain any suitable effective amount of the active ingredient commensurate with the intended daily dosage range to be employed.

[0215]

The chemical compound of the present invention can be administered in a wide variety of oral and parenteral dosage forms. It will be obvious to those skilled in the art that the following dosage forms may comprise, as the active component, either a chemical compound of the invention or a pharmaceutically acceptable salt of a chemical compound of the invention.

[0216]

For preparing pharmaceutical compositions from a chemical compound of the present invention, pharmaceutically acceptable carriers can be either solid or liquid. Solid form preparations include powders, tablets, pills, capsules, cachets, suppositories, and dispersible granules. A solid carrier can be one or more substances which may also act as diluents, flavouring agents, solubilizers, lubricants, suspending agents, binders, preservatives, tablet disintegrating agents, or an encapsulating material.

[0217]

In powders, the carrier is a finely divided solid, which is in a mixture with the finely divided active component.

[0218]

In tablets, the active component is mixed with the carrier having the necessary binding capacity in suitable proportions and compacted in the shape and size desired.

[0219]

The powders and tablets preferably contain from five or ten to about seventy percent of the active compound. Suitable carriers are magnesium carbonate, magnesium stearate, talc, sugar, lactose, pectin, dextrin, starch, gelatin, tragacanth, methylcellulose, sodium carboxymethylcellulose, a low melting wax, cocoa butter, and the like. The term “preparation” is intended to include the formulation of the active compound with encapsulating material as carrier providing a capsule in which the active component, with or without carriers, is surrounded by a carrier, which is thus in association with it. Similarly, cachets and lozenges are included. Tablets, powders, capsules, pills, cachets, and lozenges can be used as solid forms suitable for oral administration.

[0220]

For preparing suppositories, a low melting wax, such as a mixture of fatty acid glyceride or cocoa butter, is first melted and the active component is dispersed homogeneously therein, as by stirring. The molten homogenous mixture is then poured into convenient sized moulds, allowed to cool, and thereby to solidify.

[0221]

Compositions suitable for vaginal administration may be presented as pessaries, tampons, creams, gels, pastes, foams or sprays containing in addition to the active ingredient such carriers as are known in the art to be appropriate.

[0222]

Liquid preparations include solutions, suspensions, and emulsions, for example, water or water-propylene glycol solutions. For example, parenteral injection liquid preparations can be formulated as solutions in aqueous polyethylene glycol solution.

[0223]

The chemical compound according to the present invention may thus be formulated for parenteral administration (e.g. by injection, for example bolus injection or continuous infusion) and may be presented in unit dose form in ampoules, pre-filled syringes, small volume infusion or in multi-dose containers with an added preservative. The compositions may take such forms as suspensions, solutions, or emulsions in oily or aqueous vehicles, and may contain formulation agents such as suspending, stabilising and/or dispersing agents. Alternatively, the active ingredient may be in powder form, obtained by aseptic isolation of sterile solid or by lyophilization from solution, for constitution with a suitable vehicle, e.g. sterile, pyrogen-free water, before use.

[0224]

Aqueous solutions suitable for oral use can be prepared by dissolving the active component in water and adding suitable colorants, flavours, stabilising and thickening agents, as desired.

[0225]

Aqueous suspensions suitable for oral use can be made by dispersing the finely divided active component in water with viscous material, such as natural or synthetic gums, resins, methylcellulose, sodium carboxymethylcellulose, or other well known suspending agents.

[0226]

Also included are solid form preparations, intended for conversion shortly before use to liquid form preparations for oral administration. Such liquid forms include solutions, suspensions, and emulsions. In addition to the active component such preparations may comprise colorants, flavours, stabilisers, buffers, artificial and natural sweeteners, dispersants, thickeners, solubilizing agents, and the like.

[0227]

For topical administration to the epidermis the chemical compound of the invention may be formulated as ointments, creams or lotions, or as a transdermal patch. Ointments and creams may, for example, be formulated with an aqueous or oily base with the addition of suitable thickening and/or gelling agents. Lotions may be formulated with an aqueous or oily base and will in general also contain one or more emulsifying agents, stabilising agents, dispersing agents, suspending agents, thickening agents, or colouring agents.

[0228]

Compositions suitable for topical administration in the mouth include lozenges comprising the active agent in a flavoured base, usually sucrose and acacia or tragacanth; pastilles comprising the active ingredient in an inert base such as gelatin and glycerine or sucrose and acacia; and mouthwashes comprising the active ingredient in a suitable liquid carrier.

[0229]

Solutions or suspensions are applied directly to the nasal cavity by conventional means, for example with a dropper, pipette or spray. The compositions may be provided in single or multi-dose form.

[0230]

Administration to the respiratory tract may also be achieved by means of an aerosol formulation in which the active ingredient is provided in a pressurised pack with a suitable propellant such as a chlorofluorocarbon (CFC) for example dichlorodifluoromethane, trichlorofluoromethane, or dichlorotetrafluoroethane, carbon dioxide, or other suitable gas. The aerosol may conveniently also contain a surfactant such as lecithin. The dose of drug may be controlled by provision of a metered valve.

[0231]

Alternatively the active ingredients may be provided in the form of a dry powder, for example a powder mix of the compound in a suitable powder base such as lactose, starch, starch derivatives such as hydroxypropylmethyl cellulose and polyvinylpyrrolidone (PVP). Conveniently the powder carrier will form a gel in the nasal cavity. The powder composition may be presented in unit dose form for example in capsules or cartridges of, e.g., gelatin, or blister packs from which the powder may be administered by means of an inhaler.

[0232]

In compositions intended for administration to the respiratory tract, including intranasal compositions, the compound will generally have a small particle size for example of the order of 5 microns or less. Such a particle size may be obtained by means known in the art, for example by micronization.

[0233]

When desired, compositions adapted to give sustained release of the active ingredient may be employed.

[0234]

The pharmaceutical preparations are preferably in unit dosage forms. In such form, the preparation is subdivided into unit doses containing appropriate quantities of the active component. The unit dosage form can be a packaged preparation, the package containing discrete quantities of preparation, such as packaged tablets, capsules, and powders in vials or ampoules. Also, the unit dosage form can be a capsule, tablet, cachet, or lozenge itself, or it can be the appropriate number of any of these in packaged form.

[0235]

Tablets or capsules for oral administration and liquids for intravenous administration and continuous infusion are preferred compositions.

[0236]

Further details on techniques for formulation and administration may be found in the latest edition of Remington's Pharmaceutical Sciences (Maack Publishing Co., Easton, Pa.).

[0237]

A therapeutically effective dose refers to that amount of active ingredient, which ameliorates the symptoms or condition. Therapeutic efficacy and toxicity, e.g. ED50and LD50, may be determined by standard pharmacological procedures in cell cultures or experimental animals. The dose ratio between therapeutic and toxic effects is the therapeutic index and may be expressed by the ratio LD50/ED50. Pharmaceutical compositions exhibiting large therapeutic indexes are preferred.

[0238]

The dose administered must of course be carefully adjusted to the age, weight and condition of the individual being treated, as well as the route of administration, dosage form and regimen, and the result desired, and the exact dosage should of course be determined by the practitioner.

[0239]

The actual dosage depend on the nature and severity of the disease being treated, and is within the discretion of the physician, and may be varied by titration of the dosage to the particular circumstances of this invention to produce the desired therapeutic effect. However, it is presently contemplated that pharmaceutical compositions containing of from about 0.1 to about 500 mg of active ingredient per individual dose, preferably of from about 1 to about 100 mg, most preferred of from about 1 to about 10 mg, are suitable for therapeutic treatments.

[0240]

The active ingredient may be administered in one or several doses per day. A satisfactory result can, in certain instances, be obtained at a dosage as low as 0.1 μg/kg i.v. and 1 μg/kg p.o. The upper limit of the dosage range is presently considered to be about 10 mg/kg i.v. and 100 mg/kg p.o. Preferred ranges are from about 0.1 μg/kg to about 10 mg/kg/day i.v., and from about 1 μg/kg to about 100 mg/kg/day p.o.

[0000]

Methods of Therapy

[0241]

In another aspect the invention provides a method for the treatment, prevention or alleviation of a disease or a disorder or a condition of a living animal body, including a human, which disease, disorder or condition is responsive to inhibition of monoamine neurotransmitter re-uptake in the central nervous system, and which method comprises administering to such a living animal body, including a human, in need thereof an effective amount of a chemical compound of the invention.

[0242]

It is at present contemplated that suitable dosage ranges are 0.1 to 1000 milligrams daily, 10-500 milligrams daily, and especially 30-100 milligrams daily, dependent as usual upon the exact mode of administration, form in which administered, the indication toward which the administration is directed, the subject involved and the body weight of the subject involved, and further the preference and experience of the physician or veterinarian in charge.

Examples

[0243]

The invention is further illustrated with reference to the following examples, which are not intended to be in any way limiting to the scope of the invention as claimed.

[0244]

General: All reactions involving air sensitive reagents or intermediates were performed under nitrogen and in anhydrous solvents. Magnesium sulphate was used as drying agent in the workup-procedures and solvents were evaporated under reduced pressure.

[0000]

Method A

endo-3-(3,4,5-Trichlorothiopen-2-yloxy)-8-methyl-8-azabicyclo[3.2.1]octane fumaric acid salt

[0245]

A mixture of tetrachlorothiophene (5.48 g, 24.69 mmol), tropine (endo-8-methyl-8-azabicyclo[3.2.1]octan-3-ol) (3.48 g, 24.69 mmol), potassium-tert-butoxide (4.16 g, 37.04 mmol), 18-crown-6-ether (6.53 g, 24.69 mmol) and DMF (50 ml) was stirred at 100° C. for 15 h. Aqueous hydrochloric acid (50 ml, 4 M) was added to the mixture. The mixture was washed with diethyl ether (2×100 ml). Aqueous sodium hydroxide (100 ml, 4 M) was added. The mixture was extracted with ethyl acetate (3×100 ml). The organic phase was washed with aqueous sodium chloride (3×50 ml). Yield 2.65 g (33%). The corresponding salt was obtained by addition of a diethyl ether and methanol mixture (9:1) saturated with fumaric acid. Mp 200.4-206.4° C.

endo-3-(3,4-Dichlorothiopen-2-yloxy)-8-methyl-8-azabicyclo[3.2.1]octane

[0246]

Was prepared according to method A from 2,3,4-trichlorothiophene and tropine (endo-8-methyl-8-azabicyclo[3.2.1]octan-3-ol) isolated as the free base and oil.

exo-3-(3,4,5-Trichlorothiopen-2-yloxy)-8-methyl-8-azabicyclo[3.2.1]octane hydrochloric acid salt

[0247]

Was prepared according to method A from tetratrichlorothiophene and pseudo-tropine (exo-8-methyl-8-azabicyclo[3.2.1]octan-3-ol). Mp 249-250° C.

exo-3-(1,2-Benzoisothiazol-3-yloxy)-8-methyl-8-azabicyclo[3.2.1]octane hydrochloric acid salt

[0248]

Was prepared according to method A from 3-chloro-1,2-benzoisothiazole and pseudo-tropine (exo-8-methyl-8-azabicyclo[3.2.1]octan-3-ol). Mp 259.4-261.2° C.

exo-3-(5-Bromothiazol-2-yloxy)-8-methyl-8-azabicyclo[3.2.1]octane

[0249]

Was prepared according to method A from 2,5-dibromothiazole and pseudo-tropine (exo-8-methyl-8-azabicyclo[3.2.1]octan-3-ol). Isolated as the free base. Mp 104-106° C.

exo-3-(Benzothiazol-2-yloxy)-8-methyl-8-azabicyclo[3.2.1]octane fumaric acid salt

[0250]

Was prepared according to method A from 2-chlorobenzothiazole and pseudo-tropine (exo-8-methyl-8-azabicyclo[3.2.1]octan-3-ol). Mp 160-162° C.

exo-3-(6-Chlorobenzothiazol-2-yloxy)-8-methyl-8-azabicyclo[3.2.1]octane fumaric acid salt

[0251]

Was prepared according to method A from 2,6-dichlorobenzothiazole and pseudo-tropine (exo-8-methyl-8-azabicyclo[3.2.1]octan-3-ol). Mp 163-164.5° C.

exo-3-(Quinoxalin-2-yloxy)-8-methyl-8-azabicyclo[3.2.1]octane fumaric acid salt

[0252]

Was prepared according to method A from 2-chloroquinoxaline and pseudo-tropine (exo-8-methyl-8-azabicyclo[3.2.1]octan-3-ol). Mp 208-210° C.

exo-3-(Quinolin-2-yloxy)-8-methyl-8-azabicyclo[3.2.1]octane fumaric acid salt

[0253]

Was prepared according to method A from 2-chloroquinoline and pseudo-tropine (exo-8-methyl-8-azabicyclo[3.2.1]octan-3-ol). Mp 192.5-195° C.

exo-3-(Benzoxazol-2-yloxy)-8-methyl-8-azabicyclo[3.2.1]octane fumaric acid salt

[0254]

Was prepared according to method A from 2-chlorobenzoxazole and pseudo-tropine (exo-8-methyl-8-azabicyclo[3.2.1]octan-3-ol). Mp 141-144° C.

exo-3-(6-Chloro-pyridazin-3-yloxy)-8-methyl-8-azabicyclo[3.2.1]octane fumaric acid salt

[0255]

Was prepared according to method A from 3,6-dichloropyridazine and pseudo-tropine (exo-8-methyl-8-azabicyclo[3.2.1]octan-3-ol). Mp 181-183° C.

exo-3-(5-Chloro-pyridin-2-yloxy)-8-methyl-8-azabicyclo[3.2.1]octane fumaric acid salt

[0256]

Was prepared according to method A from 2,5-dichloropyridine and pseudo-tropine (exo-8-methyl-8-azabicyclo[3.2.1]octan-3-ol). Mp 214-216° C.

exo-3-(Isoquinolin-1-yloxy)-8-methyl-8-azabicyclo[3.2.1]octane fumaric acid salt

[0257]

Was prepared according to method A from 1-chloroisoquinoline and pseudo-tropine (exo-8-methyl-8-azabicyclo[3.2.1]octan-3-ol). Mp 180-181.5° C.

exo-3-(6-Chloropyridin-2-yloxy)-8-methyl-8-azabicyclo[3.2.1]octane fumaric acid salt

[0258]

Was prepared according to method A from 2,6-dichloropyridine and pseudo-tropine (exo-8-methyl-8-azabicyclo[3.2.1]octan-3-ol). Mp 202-204° C.

exo-3-(5-Bromopyridin-2-yloxy)-8-methyl-8-azabicyclo[3.2.1]octane fumaric acid salt

[0259]

Was prepared according to method A from 2,5-dibromopyridine and pseudo-tropine (exo-8-methyl-8-azabicyclo[3.2.1]octan-3-ol). Mp 213-215° C.

exo-3-(6-Bromopyridin-2-yloxy)-8-methyl-8-azabicyclo[3.2.1]octane fumaric acid salt

[0260]

Was prepared according to method A from 2,6-dibromopyridine and pseudo-tropine (exo-8-methyl-8-azabicyclo[3.2.1]octan-3-ol). Mp 198-200° C.

exo-3-(5-Bromopyrimidin-2-yloxy)-8-methyl-8-azabicyclo[3.2.1]octane fumaric acid salt

[0261]

Was prepared according to method A from 5-bromo-2-chloropyrimidine and pseudo-tropine (exo-8-methyl-8-azabicyclo[3.2.1]octan-3-ol). Mp 198-200° C.

exo-3-(Quinazolin-2-yloxy)-8-methyl-8-azabicyclo[3.2.1]octane fumaric acid salt

[0262]

Was prepared according to method A from 2-chloroquinazoline and pseudo-tropine (exo-8-methyl-8-azabicyclo[3.2.1]octan-3-ol). Mp 209-211° C.

exo-3-(5-Trifluoromethylpyridin-2-yloxy)-8-methyl-8-azabicyclo[3.2.1]octane fumaric acid salt

[0263]

Was prepared according to method A from 2-chloro-5-trifluoromethylpyridine and pseudo-tropine (exo-8-methyl-8-azabicyclo[3.2.1]octan-3-ol). Mp 190-191.5° C.

exo-3-(3,4,5-Tribromothiophen-2-yloxy)-8-methyl-8-azabicyclo[3.2.1]octane hydrochloric acid salt

[0264]

Was prepared according to method A from tetrabromothiophene and pseudo-tropine (exo-8-methyl-8-azabicyclo[3.2.1]octan-3-ol). Mp 223.3-223.9° C.

exo-3-(4-Bromothiophen-2-yloxy)-8-methyl-8-azabicyclo[3.2.1]octane hydrochloric acid salt

[0265]

Was prepared from exo-3-(3,4,5-Tribromothiophen-2-yloxy)-8-methyl-8-azabicyclo[3.2.1]octane by stirring with 5 eq of zincpowder in concentrated acetic acid at 75° C. for 15 h. Workup procedure was performed according to method A. Mp 222.1° C.

endo-3-(3-Bromo-5-chloro-thiophen-2-yloxy)-8-methyl-8-azabicyclo[3.2.1]octane fumaric acid salt

[0266]

Was prepared according to method A from 3-bromo-2,5-dichlorothiophene and tropine (endo-8-methyl-8-azabicyclo[3.2.1]octan-3-ol) Mp 171-173° C.

endo-3-(4-Bromo-5-chloro-thiophen-2-yloxy)-8-methyl-8-azabicyclo[3.2.1]octane fumaric acid salt

[0267]

Was prepared according to method A from 3-bromo-2,5-dichlorothiophene and tropine (endo-8-methyl-8-azabicyclo[3.2.1]octan-3-ol) Mp 136-139° C.

[0000]

Method B

endo-3-(3,4,5-Trichlorothiopen-2-yloxy)-8-H-8-azabicyclo[3.2.1]octane

[0268]

A mixture of endo-3-(3,4,5-trichlorothiophen-2-yloxy)-8-methyl-8-azabicyclo[3.2.1]octane (0.50 g, 1.53 mmol), 1-chloroethyl chloroformate (1.27 ml, 11.5 mmol) and toluene (20 ml) was stirred at reflux for 15 h. Water (10 ml) was added and the was stirred at reflux for 3.5 h. The mixture was evaporated. Sodium methoxide in methanol (5 ml, 1 M) and silica gel 60 (2 g) was added and was followed by evaporation. Chromatography, of the crude mixture, on silica gel with dichloromethane, methanol and conc. ammonia (89:10:1) gave the title compound in quantitative yield as free base and oil.

exo-3-(2,3-Dichlorophenoxy)-8-H-8-azabicyclo[3.2.1]octane

[0269]

Was prepared according to method B. Isolated as the free base. Mp 62.3-65.4° C.

exo-3-(3,4-Dichlorophenoxy)-8-H-8-azabicyclo[3.2.1]octane hydrochloric acid salt

[0270]

Was prepared according to method B. Mp 160.1° C.

exo-3-(3,4,5-Trichlorothiophen-2-yloxy)-8-H-8-azabicyclo[3.2.1]octane hydrochloric acid salt

[0271]

Was prepared according to method B. Mp 255-256° C.

exo-3-(3-Chloro-4-fluorophenoxy)-8-H-8-azabicyclo[3.2.1]octane fumaric acid salt

[0272]

Was prepared according to method B. Mp 151-154° C.

exo-3-(3-Chloro-phenoxy)-8-H-8-azabicyclo[3.2.1]octane fumaric acid salt

[0273]

Was prepared according to method B. Mp 195-196° C. exo-3-(4-Chloro-3-fluorophenoxy)-8-H-8-azabicyclo[3.2.1]octane

[0274]

Was prepared according to method B. Isolated as free base and oil.

exo-3-(4-Chloro-phenoxy)-8-H-8-azabicyclo[3.2.1]octane fumaric acid salt

[0275]

Was prepared according to method B. Mp 188-188.5° C.

exo-3-(2-Chloro-3-trifluoromethyl-phenoxy)-8-H-8-azabicyclo[3.2.1]octane fumaric acid salt

[0276]

Was prepared according to method B. Mp 190-193° C.

exo-3-(Fluoren-9-one-2-yloxy)-8-H-8-azabicyclo[3.2.1]octane

[0277]

Was prepared according to method B. Isolated as the free base. Mp 242.8-256.3° C.

exo-3-(1,2-Benzoisothiazol-3-yloxy)-8-H-8-azabicyclo[3.2.1]octane hydrochloric acid salt

[0278]

Was prepared according to method B from 3-chloro-1,2-benzoisothiazole and pseudo-tropine (exo-8-methyl-8-azabicyclo[3.2.1]octan-3-ol). Mp 252.5° C.

exo-3-(3,4-Dichlorophenylthio)-8-methyl-8-azabicyclo[3.2.1]octane fumaric acid salt

[0279]

Was prepared according to method B. Mp 194-196° C.

endo-3-(3,4-Dichlorophenoxy)-8-H-8-azabicyclo[3.2.1]octane hydrochloric acid salt

[0280]

Was prepared according to method B from. Mp 287° C.

exo-3-(4-Chloro-3-trifluoromethylphenoxy)-8-H-8-azabicyclo[3.2.1]octane fumaric acid salt

[0281]

Was prepared according to method B. Mp 215-217° C.

exo-3-(2-Dibenzofuranyloxy)-8-H-8-azabicyclo[3.2.1]octane fumaric acid salt

[0282]

Was prepared according to method B. Mp 217-221° C.

exo-3-(1-Naphthyloxy)-8-H-8-azabicyclo[3.2.1]octane fumaric acid salt

[0283]

Was prepared according to method B. Mp 223-224° C.

exo-3-(2-Naphthyloxy)-8-H-8-azabicyclo[3.2.1]octane fumaric acid salt

[0284]

Was prepared according to method B. Mp 202-204° C.

exo-3-(3-Chloro-4-cyanophenoxy)-8-H-8-azabicyclo[3.2.1]octane fumaric acid salt

[0285]

Was prepared according to method B. Mp 176.3-178.9° C.

exo-3-(4-Chloro-3-methylphenoxy)-8-H-8-azabicyclo[3.2.1]octane fumaric acid salt

[0286]

Was prepared according to method B. Mp 192.5-194.5° C.

exo-3-(4-Chloronaphthalen-1-yloxy)-8-H-8-azabicyclo[3.2.1]octane fumaric acid salt

[0287]

Was prepared according to method B. Mp 226-227° C.

exo-3-(Quinolin-2-yloxy)-8-H-8-azabicyclo[3.2.1]octane fumaric acid salt

[0288]

Was prepared according to method B. Mp 211-213° C.

exo-3-(5-Chloro-pyridin-2-yl)-8-H-8-azabicyclo[3.2.1]octane fumaric acid salt

[0289]

Was prepared according to method B. Mp 196-198° C.

exo-3-(4-Methoxyphenoxy)-8-H-8-azabicyclo[3.2.1]octane fumaric acid salt

[0290]

Was prepared according to method B. Mp 137-147° C.

exo-3-(Isoquinolin-5-yloxy)-8-H-8-azabicyclo[3.2.1]octane fumaric acid salt

[0291]

Was prepared according to method B. Mp 192-194° C.

exo-3-(6-Bromo-naphthalen-2-yloxy)-8-H-8-azabicyclo[3.2.1]octane hydrochloric acid salt

[0292]

Was prepared according to method B. Isolated as free base. Mp 270-274° C.

exo-3-(4-Bromo-3-chloro-phenoxy)-8-H-8-azabicyclo[3.2.1]octane fumaric acid salt

[0293]

Was prepared according to method B. Mp 207-209° C.

exo-3-(Quinolin-6-yloxy)-8-H-8-azabicyclo[3.2.1]octane fumaric acid salt

[0294]

Was prepared according to method B. Mp 237-239° C.

exo-3-(4-Trifluorophenoxy)-8-H-8-azabicyclo[3.2.1]octane hydrochloric acid salt

[0295]

Was prepared according to method B. Mp 178-180° C.

exo-3-(4-Cyanophenoxy)-8-H-8-azabicyclo[3.2.1]octane fumaric acid salt

[0296]

Was prepared according to method B. Mp 188.9-191.6° C.

exo-3-(Quinolin-8-yloxy)-8-H-8-azabicyclo[3.2.1]octane fumaric acid salt

[0297]

Was prepared according to method B. Mp 182-184.5° C.

exo-3-(4-Methylphenoxy)-8-H-8-azabicyclo[3.2.1]octane fumaric acid salt

[0298]

Was prepared according to method B. Mp 174-177° C.

exo-3-(6-Chloropyridin-2-yloxy)-8-H-8-azabicyclo[3.2.1]octane fumaric acid salt

[0299]

Was prepared according to method B from 2,6-dichloropyridine and pseudo-tropine (exo-8-methyl-8-azabicyclo[3.2.1]octan-3-ol). Mp 202-204° C.

exo-3-(5-Bromopyridin-2-yloxy)-8-H-8-azabicyclo[3.2.1]octane fumaric acid salt

[0300]

Was prepared according to method B. Mp 216-218° C.

exo-3-(6-Bromopyridin-2-yloxy)-8-H-8-azabicyclo[3.2.1]octane fumaric acid salt

[0301]

Was prepared according to method B. Mp 218-220° C.

exo-3-(Isoquinolin-1-yloxy)-8-H-8-azabicyclo[3.2.1]octane fumaric acid salt

[0302]

Was prepared according to method B from 1-chloroisoquinoline and pseudo-tropine (exo-8-methyl-8-azabicyclo[3.2.1]octan-3-ol). Mp 215-217° C.

exo-3-(3-Trifluoromethoxyphenoxy)-8-H-8-azabicyclo[3.2.1]octane

[0303]

Was prepared according to method B. Isolated as the free base. Mp 185.5-187° C.

exo-3-(4-Trifluoromethoxyphenoxy)-8-H-8-azabicyclo[3.2.1]octane

[0304]

Was prepared according to method B. Isolated as the free base. Mp. 192.5-194° C.

exo-3-(6-Methoxypyridin-2-yloxy)-8-H-8-azabicyclo[3.2.1]octane fumaric acid salt

[0305]

Was prepared according to method B). Mp 200-202° C.

exo-3-(5-Trifluoromethylpyridin-2-yloxy)-8-H-8-azabicyclo[3.2.1]octane fumaric acid salt

[0306]

Was prepared according to method B. Mp 196.5-198.5° C.

exo-3-(6-Ethoxypyridin-2-yloxy)-8-H-8-azabicyclo[3.2.1]octane fumaric acid salt

[0307]

Was prepared according to method B. Mp 192.5-194.5° C.

exo-3-(4-Fluoro-3-trifluoromethylphenoxy)-8-H-8-azabicyclo[3.2.1]octane fumaric acid salt

[0308]

Was prepared according to method B. Mp 182-185° C.

[0000]

Method C

exo-3-(2,3-Dichlorophenoxy)-8-methyl-8-azabicyclo[3.2.1]octane fumaric acid salt

[0309]

Diethylazodicarboxylate (8.36 ml, 53.1 mmol) was added dropwise at room-temperature to a mixture of tropine (endo-8-methyl-8-azabicyclo[3.2.1]octan-3-ol) (5.0 g, 35.4 mmol), 2,3-dichlorophenol (6.93 g, 42.5 mmol), triphenylphosphine (13.9 g, 53.1 mmol) and dioxane (55 ml). The mixture was stirred for 40 h at 100° C. Aqueous sodium hydroxide (100 ml, 1 M) was added to the mixture. The mixture was extracted with dichloromethane (2×100 ml). Chromatography on silica gel with methanol, dichloromethane and acetone (1:4:1) gave the title compound. Yield 6.22 g, (61%). The corresponding salt was obtained by addition of a diethyl ether and methanol mixture (9:1) saturated with fumaric acid. Mp 171.3-194.7° C.

exo-3-(3,4-Dichlorophenoxy)-8-methyl-8-azabicyclo[3.2.1]octane fumaric acid salt

[0310]

Was prepared according to method C. Mp 225.6° C.

exo-3-(3-Chloro-4-fluorophenoxy)-8-methyl-8-azabicyclo[3.2.1]octane

[0311]

Was prepared according to method C. Isolated as free base and oil.

exo-3-(4-Chloro-3-fluorophenoxy)-8-methyl-8-azabicyclo[3.2.1]octane

[0312]

Was prepared according to method C. Isolated as free base and oil.

exo-3-(2-Chloro-3-trifluoromethylphenoxy)-8-methyl-8-azabicyclo[3.2.1]octane

[0313]

Was prepared according to method C. Isolated as free base and oil.

exo-3-(3-Chloro-phenoxy)-8-methyl-8-azabicyclo[3.2.1]octane oxalic acid salt

[0314]

Was prepared according to method C. Mp 208-209° C.

exo-3-(4-Chloro-phenoxy)-8-methyl-8-azabicyclo[3.2.1]octane oxalic acid salt

[0315]

Was prepared according to method C. Mp 150.5-154.0° C.

exo-3-(Fluoren-9-one-2-yloxy)-8-methyl-8-azabicyclo[3.2.1]octane hydrochloric acid salt

[0316]

Was prepared according to method C. Mp Decomp.

exo-3-(3,4-Dichlorophenylthio)-8-methyl-8-azabicyclo[3.2.1]octane fumaric acid salt

[0317]

Was prepared according to method C from 3,4-dichlorothiophenol. Mp 179-181° C.

exo-3-(1-Naphthyloxy)-8-methyl-8-azabicyclo[3.2.1]octane

[0318]

Was prepared according to method C. Isolated as free base. Mp 72-74° C.

exo-3-(2-Naphthyloxy)-8-methyl-8-azabicyclo[3.2.1]octane

[0319]

Was prepared according to method C. Isolated as free base. Mp 83-86° C.

exo-3-(4-Chloro-3-trifluoromethylphenoxy)-8-methyl-8-azabicyclo[3.2.1]octane fumaric acid salt

[0320]

Was prepared according to method C. Mp 172.3-174.2° C.

exo-3-(3-Chloro-4-cyanophenoxy)-8-methyl-8-azabicyclo[3.2.1]octane fumaric acid salt

[0321]

Was prepared according to method C. Mp 191.7-194.3° C.

exo-3-(2-Dibenzofuranyloxy)-8-methyl-8-azabicyclo[3.2.1]octane fumaric acid salt

[0322]

Was prepared according to method C. Mp 199.9-202.0° C.

exo-3-(4-Chloronaphthalen-1-yloxy)-8-methyl-8-azabicyclo[3.2.1]octane fumaric acid salt

[0323]

Was prepared according to method C. Mp 198-199° C.

exo-3-(4-Chloro-3-methylphenoxy)-8-methyl-8-azabicyclo[3.2.1]octane fumaric acid salt

[0324]

Was prepared according to method C. Mp 230-232° C.

exo-3-(4-Methoxyphenoxy)-8-methyl-8-azabicyclo[3.2.1]octane fumaric acid salt

[0325]

Was prepared according to method C. Mp 164.5-166.5° C.

exo-3-(7-Methoxynaphthalen-2-yloxy)-8-methyl-8-azabicyclo[3.2.1]octane fumaric acid salt

[0326]

Was prepared according to method C. Mp 143-145° C.

exo-3-(6-Methoxynaphthalen-2-yloxy)-8-methyl-8-azabicyclo[3.2.1]octane fumaric acid salt

[0327]

Was prepared according to method C. Mp 78.5-81.5° C.

exo-3-(4-Bromo-3-chloro-phenoxy)-8-methyl-8-azabicyclo[3.2.1]octane fumaric acid salt

[0328]

Was prepared according to method C. Mp 218-220° C.

exo-3-(Isoquinolin-5-yl)-8-methyl-8-azabicyclo[3.2.1]octane fumaric acid salt

[0329]

Was prepared according to method C. Mp 193-196° C.

exo-3-(6-Bromo-naphthalen-2-yloxy)-8-methyl-8-azabicyclo[3.2.1]octane fumaric acid salt

[0330]

Was prepared according to method C. Mp 227-229° C.

exo-3-(3-Methoxyphenoxy)-8-methyl-8-azabicyclo[3.2.1]octane fumaric acid salt

[0331]

Was prepared according to method C. Mp 144-147° C.

exo-3-(4-Cyanophenoxy)-8-methyl-8-azabicyclo[3.2.1]octane fumaric acid salt

[0332]

Was prepared according to method C. Mp 177.9-181.9° C.

exo-3-(Quinolin-6-yloxy)-8-methyl-8-azabicyclo[3.2.1]octane fumaric acid salt

[0333]

Was prepared according to method C. Mp 221-223° C.

exo-3-(1,2,3,4-Tetrahydronaphthalen-6-yloxy)-8-methyl-8-azabicyclo[3.2.1]octane fumaric acid salt

[0334]

Was prepared according to method C. Mp 165.9-167.2° C.

exo-3-(4-Trifluoromethyl phenoxy)-8-methyl-8-azabicyclo[3.2.1]octane fumaric acid salt

[0335]

Was prepared according to method C. Mp 184.1-186.5° C. exo-3-(4-Methylphenoxy)-8-methyl-8-azabicyclo[3.2.1]octane fumaric acid salt

[0336]

Was prepared according to method C. Mp 178-181° C.

exo-3-(8-Quinolinyl)-8-methyl-8-azabicyclo[3.2.1]octane fumaric acid salt

[0337]

Was prepared according to method C. Mp 158-160° C.

exo-3-(5-Indanyloxy)-8-methyl-8-azabicyclo[3.2.1]octane fumaric acid salt

[0338]

Was prepared according to method C. Mp 184.7-185.9° C.

exo-3-(4-Methoxynaphthalen-1-yloxy)-8-methyl-8-azabicyclo[3.2.1]octane fumaric acid salt

[0339]

Was prepared according to method C. Mp 185-188° C.

exo-3-(Indol-5-yloxy)-8-methyl-8-azabicyclo[3.2.1]octane fumaric acid salt

[0340]

Was prepared according to method C. Mp 176.3-178.3° C.

exo-3-(3-Trifluoromethoxyphenoxy)-8-methyl-8-azabicyclo[3.2.1]octane

[0341]

Was prepared according to method C. Isolated as the free base. Oil.

exo-3-(4-Trifluoromethoxyphenoxy)-8-methyl-8-azabicyclo[3.2.1]octane

[0342]

Was prepared according to method C. Isolated as the free base. Oil.

exo-3-(4-Fluoro-3-trifluoromethyl phenoxy)-8-methyl-8-azabicyclo[3.2.1]octane fumaric acid salt

[0343]

Was prepared according to method C. Mp 167-169° C.

[0000]

Method D

endo-3-(3,4-Dichlorophenoxy)-8-methyl-8-azabicyclo[3.2.1]octane fumaric acid salt

[0344]

A mixture of endo-3-chloro-8-methyl-8-azabicyclo[3.2.1]octan (3.9, 24 mmol), (prepared from exo-8-methyl-8-azabicyclo[3.2.1]octan-3-ol and thionylchloride at reflux for 3 h), 3,4-dichlorophenol (5.9 g, 36 mmol), sodium hydride 60% (1.2 g, 36 mmol) and ethanol (30 ml) was stirred at reflux for 15 h. Aqueous hydrochloric acid (50 ml, 4 M) was added to the mixture. The ethanol was evaporated The mixture was washed with diethyl ether (3×50 ml). Aqueous sodium hydroxide (50 ml, 4 M) was added. The mixture was extracted with diethylether (3×50 ml). Chromatography, of the crude mixture, on silica gel with dichloromethane, methanol and conc. ammonia (89:10:1) gave the title compound. The corresponding salt was obtained by addition of a diethyl ether and methanol mixture (9:1) saturated with fumaric acid. Yield 0.90 g (9%). Mp 15198.0-207.7° C.

[0000]

Method E

exo-3-(3,4-Dichlorophenoxy)-8-(2-hydroxyethyl)-8-azabicyclo[3.2.1]octane

[0345]

A mixture of exo-3-(3,4-Dichlorophenoxy)-8-H-8-azabicyclo[3.2.1]octane (2.2 g, 8.1 mmol), 2-bromoethanol (0.6 ml, 8.9 mmol), potassium carbonate (1.1 g, 8.1 mmol) and ethanol (20 ml) was stirred at reflux for 15 h. Aqueous sodium hydroxide (50 ml, 4 M) was added. The mixture was extracted with dichloromethane (3×50 ml). Chromatography, of the crude mixture, on silica gel with dichloromethane, methanol and conc. ammonia (89:10:1) gave the title compound as free base and oil. Yield 0.40 g (16%).

exo-3-(3,4-Dichlorophenoxy)-8-(cyanomethyl)-8-azabicyclo[3.2.1]octane fumaric acid salt

[0346]

Was prepared according to method E. Mp 79-82° C.

exo-3-(3,4-Dichlorophenoxy)-8-(cyclopropylmethyl)-8-azabicyclo[3.2.1]octane fumaric acid salt

[0347]

Was prepared according to method E. Mp 187-189.5° C.

exo-3-(3,4-Dichlorophenoxy)-8-(allyl)-8-azabicyclo[3.2.1]octane fumaric acid salt

[0348]

Was prepared according to method E. 202-206° C.

exo-3-(3,4-Dichlorophenoxy)-8-(methoxyethyl)-8-azabicyclo[3.2.1]octane fumaric acid salt

[0349]

Was prepared according to method E. Mp 177.8-179.5° C.

[0000]

Method F

exo-3-(6-Methoxypyridin-2-yloxy)-8-methyl-8-azabicyclo[3.2.1]octane fumaric acid salt

[0350]

A mixture of exo-3-(6-Chloropyridin-2-yloxy)-8-methyl-8-azabicyclo[3.2.1]octane (6.5 g, 25.8 mmol), sodium methoxide (6.5 g, 0.12 mol) and NMP (30 ml) was stirred at 130° C. for 15 h. Water (300 ml) was added. The mixture was extracted with diethylether (3×150 ml). The corresponding salt was obtained by addition of a diethyl ether and methanol mixture (9:1) saturated with fumaric acid. Yield 3.0 g (32%). Mp 176-177.5° C.

exo-3-(6-Ethoxypyridin-2-yloxy)-8-methyl-8-azabicyclo[3.2.1]octane fumaric acid salt

[0351]

Was prepared according to method F, Mp 177-179° C.

exo-3-(6-hydroxy-pyridin-2-yloxy)-8-methyl-8-azabicyclo[3.2.1]octane fumaric acid salt

[0352]

Was prepared from exo-3-(6-(cis-methylvinyloxy)-pyridin-2-yloxy)-8-methyl-8-azabicyclo[3.2.1]octane by stirring it with concentrated hydrochloric acid at reflux for 0.5 h. Workup was performed according to method F. Mp 196.5-200° C.

[0000]

Method G

exo-3-(6-Cyano-naphthalen-2-yloxy)-8-methyl-8-azabicyclo[3.2.1]octane fumaric acid salt

[0353]

A mixture of exo-3-(6-bromo-naphth-2-yloxy)-8-methyl-8-azabicyclo[3.2.1]octane (2.6 g, 7.5 mmol), Zn(CN)2(2.2 g, 18 mmol), palladacycle (50 mg) and dioxane (30 ml) was stirred at reflux for 70 h. Aqueous sodium hydroxide (50 ml, 1 M) was added to the mixture. The mixture was extracted with dichloromethane (2×50 ml). Chromatography on silica gel with methanol, dichloromethane and aqueous ammonia (1:9:1%) gave the title compound. Yield 2.06 g, (94%). The corresponding salt was obtained by addition of a diethyl ether and methanol mixture (9:1) saturated with fumaric acid. Mp 230-232° C.

[0000]

Method H

exo-(3,4-Dichloro-phenyl)-(8-methyl-8-aza-bicyclo[3.2.1]oct-3-yl)-amine fumaric acid salt

[0354]

A mixture of 3,4-dichloroformanilide (0.6 g, 3.17 mmol), tropine methanesulfonate toluenesulfonic acid salt (1.24 g, 3.17 mmol) [S. Archer et. al. JACS 80, 4677-4691 (1958], sodium hydride (0.17 g, 6.97 mmol) and DMF (5 ml) was prepared at 0° C. The mixture was stirred for 15 h at room temperature. Aqueous sodium hydroxide (5 ml, 1 M) was added to the mixture. The mixture was extracted with dichloromethane (2×5 ml). Chromatography on silica gel with methanol, dichloromethane and aqueous ammonia (10:89:1) gave the title compound. The corresponding salt was obtained by addition of a diethyl ether and methanol mixture (9:1) saturated with fumaric acid. Yield 23 mg, (2%). Mp 193.5-202.0° C.

endo-(3,4-Dichloro-phenyl)-(8-methyl-8-aza-bicyclo[3.2.1]oct-3-yl)-formylamine fumaric acid salt

[0355]

Was isolated from the reaction mixture above according to method 1. Yield 32 mg, (3%). Mp 206.3° C.

exo-(3,4-Dichloro-phenyl)-(8-methyl-8-aza-bicyclo[3.2.1]oct-3-yl)-formylamine fumaric acid salt

[0356]

Was prepared by formylation with concentrated formic acid from exo-(3,4-Dichloro-phenyl)-(8-methyl-8-aza-bicyclo[3.2.1]oct-3-yl)-amine. Workup was performed according to method 1. Mp 150.5-153.0° C.

Как компенсировать расходы
на инновационную разработку
Похожие патенты