патент
№ RU 2575770
МПК G01R31/00

СПОСОБ ОПРЕДЕЛЕНИЯ ПАРАМЕТРОВ ПРИБОРА СВЧ

Авторы:
Балыко Илья Александрович Мякиньков Виталий Юрьевич Балыко Александр Карпович
Все (4)
Номер заявки
2014141713/28
Дата подачи заявки
15.10.2014
Опубликовано
20.02.2016
Страна
RU
Как управлять
интеллектуальной собственностью
Реферат

[92]

Изобретение относится к электронной технике. Предлагается способ определения параметров прибора СВЧ, включающий измерение Μ значений тока Ij, протекающего через прибор, и Μ значений напряжения Uj на электрических контактах прибора при значениях j, равных 1, 2, … М, моделирование работы прибора в виде нелинейной функции этого напряжения на электрических контактах прибора от этого тока и определяемых параметров, собственно определение параметров прибора решением нелинейных уравнений с определяемыми параметрами. В заявленном способе дополнительно измеряют N значений тока Ii и N значений дифференциального сопротивления Ri, при значениях i, равных 1, 2, … N, дополнительно осуществляют моделирование работы прибора нелинейной функцией дифференциального сопротивления от этих i значений тока и определяемых параметров, а собственно определение параметров прибора решением нелинейных уравнений с определяемыми параметрами осуществляют при их общем числе, равном Μ+N, посредством метода наименьших квадратов. Техническим результатом является повышение точности и расширение функциональных возможностей способа определения параметров прибора СВЧ. 3 табл.

Формула изобретения

Способ определения параметров прибора СВЧ, включающий измерение M значений тока Ij, протекающего через прибор, и M значений напряжения Uj на электрических контактах прибора при значениях j, равных 1, 2, …M, моделирование работы прибора в виде нелинейной функции этого напряжения на электрических контактах прибора от этого тока и определяемых параметров, собственно определение параметров прибора решением нелинейных уравнений с определяемыми параметрами, отличающийся тем, что дополнительно измеряют N значений тока Ii и N значений дифференциального сопротивления Ri, при значениях i, равных 1, 2, …N, дополнительно осуществляют моделирование работы прибора нелинейной функцией дифференциального сопротивления от этих i значений тока и определяемых параметров, а собственно определение параметров прибора решением нелинейных уравнений с определяемыми параметрами осуществляют при их общем числе, равном M+N, посредством метода наименьших квадратов.

Описание

[1]

Изобретение относится к электронной технике и может быть использовано при проектировании устройств СВЧ широкого применения.

[2]

В основе проектирования устройств управления амплитудой сигнала СВЧ (ограничителей, переключателей и т.д.) лежит нелинейная модель диода, которая в простейшем случае описывается эквивалентной схемой с элементами (емкостью, проводимостью, источником тока и т.п.), величины которых являются нелинейными функциями приложенных к этим элементам напряжений. Так зависимость тока от напряжения прибора СВЧ, как правило, представляет собой резко возрастающую функцию.

[3]

Известен способ определения параметров прибора СВЧ, включающий измерение Μ значений тока Ij, протекающего через прибор, и Μ значений напряжения Uj на электрических контактах прибора при значениях j, равных 1, 2, … М,

[4]

моделирование работы прибора в виде нелинейной функции этого напряжения на электрических контактах прибора от этого тока и определяемых параметров,

[5]

собственно определение параметров прибора решением нелинейных уравнений с определяемыми параметрами [1] - прототип.

[6]

Недостатком этого способа является то, что измерение вольтамперной характеристики прибора осуществляют при сравнительно малых значениях тока, протекающего через прибор.

[7]

Между тем при работе в устройствах управления амплитудой, особенно в защитных устройствах, ток через прибор СВЧ может достигать большой величины и поэтому точность определения параметров приборов СВЧ данным способом приводит к снижению точности, так что при больших токах способ определения параметров прибора СВЧ приводит к большой погрешности при проектировании устройств СВЧ.

[8]

Техническим результатом изобретения является повышение точности и расширение функциональных возможностей способа определения параметров прибора СВЧ.

[9]

Технический результат достигается заявленным способом определения параметров прибора СВЧ включающим измерение Μ значений тока Ij, протекающего через прибор, и Μ значений напряжения Uj на электрических контактах прибора при значениях j равных 1, 2, … М,

[10]

моделирование работы прибора в виде нелинейной функции этого напряжения на электрических контактах прибора от этого тока и определяемых параметров,

[11]

собственно определение параметров прибора решением нелинейных уравнений с определяемыми параметрами, в котором дополнительно измеряют N значений тока Ii и N значений дифференциального сопротивления Ri при значениях i, равных 1, 2, … N,

[12]

дополнительно осуществляют моделирование работы прибора нелинейной функцией дифференциального сопротивления от этих i значений тока и определяемых параметров,

[13]

а собственно определение параметров прибора решением нелинейных уравнений с определяемыми параметрами осуществляют при их общем числе, равном Μ+N, посредством метода наименьших квадратов.

[14]

Раскрытие сущности заявленного изобретения

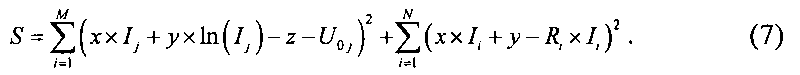
[15]

Совокупность существенных признаков заявленного способа определения параметров прибора СВЧ, а именно когда:

[16]

дополнительно измеряют N значений тока Ii и N значений дифференциального сопротивления Ri при значениях i, равных 1, 2,…N,

[17]

дополнительно осуществляют моделирование работы прибора нелинейной функцией дифференциального сопротивления от этих i значений тока и определяемых параметров,

[18]

а собственно определение параметров прибора решением нелинейных уравнений с определяемыми параметрами осуществляют при их общем числе, равном Μ+N, посредством метода наименьших квадратов.

[19]

Это обеспечит возможность:

[20]

во-первых, использования помимо измерения напряжения результатов измерения второй, отличной от напряжения, характеристики прибора СВЧ - дифференциального сопротивления, что приводит к увеличению, по меньшей мере, вдвое точности определения параметров прибора СВЧ и к расширению его функциональных возможностей;

[21]

во-вторых, увеличения от N до Μ+N числа измеряемых значений тока, и тем самым увеличения, по меньшей мере, в (Μ+Ν)/Ν раз точности определения параметров прибора СВЧ;

[22]

в-третьих, расширения диапазона изменения тока, протекающего через прибор СВЧ, благодаря возможности измерения вольтамперных характеристик прибора СВЧ при малых и средних значений тока, а дифференциального сопротивления - при больших значениях тока и тем самым возможности определения параметров прибора СВЧ для более широкого диапазона токов, при этом в сторону больших токов и, как следствие, - расширение функциональных возможностей;

[23]

в-четвертых, применения метода наименьших квадратов, дающего наибольшую точность из всех известных методов, применяемых для обработки результатов измерения, поскольку полное число уравнений (М+Ν) больше числа определяемых параметров.

[24]

Сущность изобретения подтверждается также следующими теоретическими выкладками.

[25]

Прибор СВЧ имеет низкое сопротивление при прямом включении и высокое - при обратном. Это свойство прибора СВЧ может быть описано с помощью зависимости

[26]

[27]

где

[28]

VT - температурный потенциал;

[29]

в идеальном случае VT=k×T/e, e - заряд электрона,

[30]

k - постоянная Больцмана,

[31]

Т - температура в градусах Кельвина,

[32]

при комнатной температуре Т=300 K и VT=0,026 В.

[33]

IS - ток насыщения.

[34]

Если к прибору СВЧ приложить напряжение U0, то через прибор СВЧ будет протекать ток I. Величины напряжения U0 и тока I измеряют. Часть напряжения в приборе СВЧ падает в области движения электронов, которая описывается сопротивлением RS, а другая часть U - в области, где это движение отсутствует, поэтому внешнее напряжение U0 распределяется между двумя областями

[35]

[36]

С учетом условия I>>IS и выражения (1) это равенство можно записать в виде

[37]

[38]

С помощью измерителя LCR-параметров (Тип Л52) измеряют дифференциальное сопротивление прибора

[39]

[40]

Поскольку I>>IS, то выражение (4) преобразуется к виду

[41]

[42]

При малых токах измеряют зависимость тока от напряжения. При этом получают Μ значений напряжения U0j и тока Ij, связанных соотношением (3);

[43]

j=1,…M.

[44]

При больших токах измеряют N значений дифференциального сопротивления Rj и тока Ii, связанных соотношением (5);

[45]

i=1,…N.

[46]

Параметры прибора СВЧ, которые требуется определить, обозначим в виде неизвестных переменных: x=RS, y=VT, z=VT×ln(IS).

[47]

Таким образом, для определения этих неизвестных необходимо решить систему Μ+N уравнений:

[48]

x×Ij+y×ln(Ij)-z-U0j=0,

[49]

x×Ii+y-Ri×Ii=0, i=1, … N.

[50]

Для решения системы уравнений воспользуемся методом наименьших квадратов [2].

[51]

Для этого запишем сумму квадратов

[52]

[53]

Здесь токи Ij и Ii разделены, чтобы иметь возможность отдельно получать решения по измеренным ΒΑΧ и сопротивлениям.

[54]

Минимум суммы находится путем приравнивания к нулю частных производных S по x, y и z. После ряда преобразований, получаем систему из трех уравнений с тремя неизвестными:

[55]

,

[56]

[57]

x(I)CM+y(lnI)CM-z·M=(U0)CM,

[58]

где

[59]

,

[60]

Решение системы (8) находится методами линейной алгебры.

[61]

Если используется только ΒΑΧ - зависимость напряжения от тока, то в системе (8) отбрасываются все члены, содержащие суммирование по i, если используются только зависимости сопротивления от тока, то отбрасываются члены, содержащие суммирование по j. Отметим, что в последнем случае не определяется ток насыщения IS, поскольку он не входит в уравнение (4).

[62]

Итак, как видно теоретическое обоснование полностью подтверждает реализацию заявленного способа определения параметров прибора СВЧ и достижение технического результата - повышение точности и расширение функциональных возможностей.

[63]

Пример конкретной реализации способа определения параметров прибора СВЧ.

[64]

Рассмотрим определение параметров ограничительного кремниевого диода СВЧ типа «Параграф» с толщиной базы d=0.7 мкм и диаметром мезаструктуры D=20 мкм.

[65]

Измеряют Μ значений тока Ij, протекающего через прибор СВЧ - кремниевый диод СВЧ (далее диод), и Μ значений напряжения Uj на его контактах при значениях j, равных 1, 2, … М.

[66]

Моделируют работу диода в виде нелинейной функции этого напряжения на его контактах от этого тока и определяемых параметров.

[67]

Дополнительно измеряют N значений тока Ii и N значений дифференциального сопротивления Ri, при значениях i, равных 1, 2, … N.

[68]

Дополнительно осуществляют моделирование работы диода нелинейной функцией дифференциального сопротивления от этих i значений тока и определяемых параметров.

[69]

Определяют собственно параметры диода решением нелинейных уравнений с определяемыми параметрами при их общем числе, равном Μ+N, посредством метода наименьших квадратов.

[70]

Измеренные зависимости для этого диода:

[71]

1. Напряжения от тока (М=4) приведены в табл. 1.

[72]

[73]

2.Сопротивления от тока (N=9) приведены в табл.2:

[74]

[75]

При использовании только зависимостей напряжения от тока (табл. 1) в результате расчета были получены значения параметров диода:

[76]

RS=2,45 Ом; VT=0,0356 В; IS=0,67·10-13 А.

[77]

При использовании только зависимостей сопротивления от тока (табл. 2) в результате расчета по предложенной методике были получены значения параметров диода:

[78]

RS=1,775 Ом; VT=0,04 В.

[79]

При использовании обоих зависимостей (табл. 1 и 2) были получены значения параметров диода:

[80]

RS=1,82 Ом; VT=0,037 В; IS=1,53·10-13 А.

[81]

Примеры 2-9.

[82]

Аналогично примеру 1 определены параметры для других ограничительных диодов того же типа, но имеющих другие конструкционные параметры (геометрические размеры).

[83]

Данные представлены в таблице 3.

[84]

[85]

Как видно из таблицы 3, заявленный способ позволяет:

[86]

1. Рассчитывать параметры диода, при этом сопротивление RSопределяется с наибольшей погрешностью.

[87]

2. Величины напряжения VT и тока IS практически не зависят от диаметра диода.

[88]

Таким образом, заявленный способ определения параметров прибора СВЧ обеспечит по сравнению с прототипом повышение точности примерно в два раза и расширение функциональных возможностей.

[89]

Источники информации

[90]

1. Обзоры по электронной технике. Серия 1, Электроника СВЧ. 1991 г., вып. 7, с. 52 - прототип.

[91]

2. Линник Ю.В. Метод наименьших квадратов и основы теории обработки наблюдений М., Физматгиз. - 1962 г.

Как компенсировать расходы
на инновационную разработку
Похожие патенты