патент
№ RU 2563365
МПК A61B6/00

СПОСОБ АНГИОГРАФИЧЕСКОЙ ОЦЕНКИ СТЕПЕНИ СТЕНОЗА ВНУТРЕННЕЙ СОННОЙ АРТЕРИИ НА ЭКСТРА- И ИНТРАКРАНИАЛЬНОМ УРОВНЕ

Авторы:
Процкий Сергей Васильевич Суслина Зинаида Александровна Лагода Ольга Викторовна
Все (4)
Номер заявки
2014116339/14
Дата подачи заявки
23.04.2014
Опубликовано
20.09.2015
Страна
RU
Как управлять
интеллектуальной собственностью
Чертежи 
7
Реферат

Изобретение относится к медицине, в частности нейрохирургии, неврологии и сосудистой хирургии. Определяют диаметр стенозированного участка артерии и диаметр ее референтного участка. При этом в качестве референтного участка артерии для определения его диаметра используют неизмененную часть артерии, ближайшую к стенозу. Степень стеноза внутренней сонной артерии (X) рассчитывают по оригинальной формуле в десятичных дробях. Способ позволяет повысить точность оценки степени стеноза внутренних сонных артерий как на экстра-, так и на интракраниальном уровне, и сосудов с малым диаметром, за счет адекватного отражения патологического процесса и использования в качестве референтной зоны ближайшей к стенозу неизмененной части артерии. 3 табл., 2 пр., 7 ил.

Формула изобретения

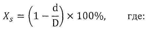
Способ ангиографической оценки степени стеноза внутренней сонной артерии на экстра- и интракраниальном уровне, включающий определение диаметра стенозированного участка артерии и диаметра ее референтного участка, отличающийся тем, что в качестве референтного участка артерии для определения его диаметра используют неизмененную часть артерии, ближайшую к стенозу, а степень стеноза внутренней сонной артерии (XF) рассчитывают по формуле в десятичных дробях: XF=(2-XD)*XD*0,91, где 0,91 - поправочный коэффициент, компенсирующий погрешность за счет неправильной геометрической формы просвета стенозированной части сосуда; XD - относительная величина стеноза по отношению диаметров стенозированного участка артерии и референтного участка артерии - неизмененной части артерии, ближайшей к стенозу, выраженная в десятичных дробях и рассчитанная по формуле XD=(1-d/D), где d - диаметр стенозированного участка артерии, D - диаметр референтного участка - неизмененной части артерии, ближайшей к стенозу.

Описание

[2]

Изобретение относится к медицине, в частности к нейрохирургии, неврологии и сосудистой хирургии, и предназначено для оценки степени стеноза внутренней сонной артерии на экстра- и интракраниальном уровне с целью выбора тактики лечения больных со стенозами внутренних сонных артерий.

[3]

Оценка степени стеноза пораженной артерии является одной из важнейших характеристик атеросклеротического процесса и определяющим критерием в выборе тактики лечения. Так, стенозы внутренней сонной артерии (ВСА) менее 50% не влияют на гемодинамику и не рассматриваются в качестве показания к хирургическому лечению, а стенозы более 70% обусловливают неблагоприятный прогноз и требуют более агрессивной тактики лечения, даже при отсутствии сосудистых событий в соответствующем артериальном бассейне. От того, насколько точно будет оценена степень сужения просвета артерии и его гемодинамическая значимость, зависит и адекватность выбранной тактики лечения и его эффективность в каждом конкретном случае.

[4]

Степень стеноза внутренней сонной артерии (ВСА) оценивают при ультразвуковом (ДС МАГ) и ангиографическом исследовании - дигитальная субтракционная ангиография (ДСА), магниторезонансная ангиография (МРА), компьютерно-томографическая ангиография (КТА), исходя из простого соотношения диаметра артерии в зоне максимального сужения к диаметру «референтного» сегмента сосуда, в качестве которого могут выступать:

[5]

1) внутренняя сонная артерия выше уровня луковицы ВСА (критерии рандомизированного исследования NASCET, впервые примененного при контрастной рентгеновской ангиографии);

[6]

2) внутренняя сонная артерия на уровне максимального сужения (критерии рандомизированного исследования ECST при всех визуализационных методах, кроме дигитальной субстракционной ангиографии);

[7]

3) общая сонная артерия на 1 см проксимальнее уровня бифуркации (индекс ССА);

[8]

4) общая сонная артерия на 3-4 см проксимальнее уровня бифуркации (индекс CSI). (Рис. 1)

[9]

На рис. 1 представлены анатомические места измерений на сонной артерии для расчета процента стеноза различными методами: для NASCET (Североамериканская Симптоматическая каротидная эндартерэктомия Trial), ECST (Европейская каротидная хирургия Trial), и CSI (индекс стеноза сонной артерии). D - диаметр внутренней сонной артерии в области стеноза, N - нормальный диаметр общей сонной артерии, используемые в каждом методе (CarotidStenosisIndex. A new method of measuring internal carotid artery stenosis. Bladin CF, Alexandrov AV, Murphy J, Maggisano R, Norris JW. Stroke February 1995 vol. 26 no. 2230-234).

[10]

Многочисленность существующих подходов в оценке степени стеноза внутренней сонной артерии (ВСА) является свидетельством сложности этой проблемы и условной точности получаемых результатов, зависящей от ряда факторов: 1) анатомическое строение синуса ВСА, наиболее часто подверженного стенозированию, представляет ампулообразно расширенную часть и имеет различную величину диаметров на своем протяжении; 2) сечение интактного сегмента артерии представляет геометрически правильную форму круга, в отличие от которой просвет стенозированного сегмента чаще имеет неправильную геометрическую форму в зависимости от расположения атеросклеротической бляшки на стенках артерии. Поэтому оценить площадь просвета стенозированной части не так просто.

[11]

Большинство используемых в качестве референтных зон сегментов ВСА анатомически значимо отличаются от дистальной ее части. Получаемые с помощью критерия NASCET результаты значимо отличаются в сторону их занижения в сравнении с таковыми при использовании других референтных зон (критерий ECST, индексы ССА и CSI), но и они, по сути, не столь надежны. Использование критерия ESCT при ангиографическом исследовании возможно, но, как видно на рис. 1, требует определения воображаемых границ синуса ВСА, которые при ангиографическом исследовании абсолютно непонятны и напрямую зависят от представлений конкретного специалиста. Использование этого критерия при дигитальной субтракционной ангиографии (ДСА) приводит к большей субъективизации результатов и снижает их точность.

[12]

Использование для оценки стеноза ВСА критериев ESCT, ССА и CSI, учитывая специфику референтных зон, применимо только на экстракраниальном уровне. При оценке стеноза ВСА на интракраниальном уровне, где просвет артерии уменьшается и значительно отличается от начального отдела ВСА, использовать те же критерии нелогично и недостаточно. Такая же ситуация при оценке стенозов более мелких интракраниальных артерий (средних и передних мозговых артерий), а также артерий вертебрально-базилярной системы (позвоночная, подключичная, основная и задняя мозговые артерии).

[13]

На рис. 2 (А) представлена анигиограмма стеноза ВСА, на рис. 2 (Б) - дуплексное сканирование этого стеноза, поперечное сечение ВСА в области стеноза и продемонстрирован принцип оценки диаметра стеноза. На рис. 3 (А, Б, В, Г) приведено схематическое изображение стенозирующего процесса и его оценки. Во-первых, визуальная оценка стеноза на продольном сечении стенозированной части артерии не столь показательна по сравнению с поперечным сечением этого же сосуда (рис. 3А). Во-вторых, при вычислении степени стеноза по отношению диаметров суженной части артерии к ее референтному диаметру, по сути сечение приравнивается к прямой линии, что не тождественно (Рис. 3Б). Стеноз рассчитывают по формуле:

[14]

[15]

d - диаметр стенозированной артерии;

[16]

D - диаметр неизмененной артерии;

[17]

Xs - стеноз (%).

[18]

Используя эту формулу, можно принять диаметр суженной части условно равным 4 ед., и референтный диаметр сосуда соответственно равным 11,5 ед., то степень стеноза будет равна:

[19]

[20]

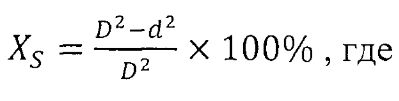
Из полученного результата следует, что сечение остаточного просвета артерии соответствует примерно 1/3 от базового диаметра артерии, а полный просвет артерии, как видно на схеме, равен сумме площадей всего 3-х окружностей (рис. 3В). На самом деле поперечное сечение сосуда равно сумме площадей более 7 таких окружностей (рис. 3Г), а стеноз в таком случае составляет более 85%. Вот почему использование метода вычисления степени стеноза только по отношению диаметров является некорректным.

[21]

Степень стеноза артерии, вычисленную по отношению площадей стенозированной части к референтной части, для удобства можно выразить через диаметры:

[22]

[23]

XS - относительная величина стеноза по отношению площадей (%);

[24]

D - диаметр референтного участка артерии;

[25]

d - диаметр стенозированного участка артерии.

[26]

Это удобно, поскольку при ангиографическом исследовании оценить можно именно диаметры разных сегментов артерий.

[27]

Хотя используют все те же показатели - диаметры референтной и стенозированной части пораженной артерии - степень стеноза, рассчитанная по отношению площадей, всегда больше, чем по отношению диаметров, и этот факт соответствует действительности. Так, например, стеноз, рассчитанный по отношению диаметров и равный 50%, соответствует стенозу в 75%, рассчитанному по отношению площадей. Именно поэтому появились двойные стандарты в исследовании SPACE (Stent-Protected Angioplasty versus Carotid Endarterectomy).

[28]

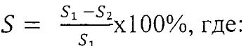
Лелюк В.Г., Лелюк С.Э. (Ультразвуковая ангиология. Лелюк В.Г., Лелюк С.Э. - 2-е изд., доп. и перер. - М., 2003, с. 84-85) предложили оценку степени просвета сосуда методом дуплексного сканирования по отношению площадей сечений сосудов (помимо общепринятого метода по отношению диаметров):

[29]

[30]

S - степень редукции просвета сосуда (%);

[31]

S1 - площадь поперечного сечения неизмененного просвета сосуда (мм2);

[32]

S2 - площадь свободного просвета стенозированного сосуда (мм2).

[33]

Достоинством данного метода является адекватность математических вычислений степени стеноза в отличие от вышеописанных методов, в которых площадь круга выражается через линейную величину диаметра просвета артерии. Однако при этом имеет место завышение степени стеноза на 10%. Таким образом, вышепредставленные методы оценки степени стеноза либо завышают, либо занижают гемодинамически значимую величину стеноза - 70%, которая требует более агрессивной тактики лечения и является показанием к стентированию.

[34]

В качестве прототипа мы используем метод ультразвуковой оценки стеноза ВСА по площади (Ультразвуковая ангиология. Лелюк В.Г., Лелюк С.Э. - 2-е изд., доп. и перер. - М., 2003, с. 84-85). Недостатком метода является неточность определения истинного диаметра из-за субъективной оценки оператора, а также сложность измерения диаметра с учетом толщины стенки сосуда. Кроме того, авторы определяют данные показатели только в экстракраниальных отделах. Состояние интракраниальных артерий таким способом не оценивается.

[35]

Технический результат предлагаемого способа заключается в повышении точности оценки степени стеноза внутренних сонных артерий как на экстра-, так и на интракраниальном уровне, и сосудов с малым диаметром, за счет адекватного отражения патологического процесса и использования в качестве референтной зоны ближайшую к стенозу неизмененную часть артерии, что, кроме того, делает способ удобным и универсальным.

[36]

Технический результат достигается тем, что ангиографическую оценку степени стеноза внутренней сонной артерии на экстра- и интракраниальном уровне проводят путем определения диаметра стенозированного участка артерии и диаметра ее референтного участка, при этом в качестве референтного участка артерии для определения его диаметра используют неизмененную часть артерии, ближайшую к стенозу, а степень стеноза внутренней сонной артерии (XF) рассчитывают по формуле в десятичных дробях: XF=(2-XD)*XD*0,91, где 0,91 - поправочный коэффициент, компенсирующий погрешность за счет неправильной геометрической формы просвета стенозированной части сосуда; XD - относительная величина стеноза по отношению диаметров стенозированного участка артерии и референтного участка артерии - неизмененной части артерии, ближайшей к стенозу, выраженная в десятичных дробях и рассчитанная по формуле XD=(1-d/D) в десятичных дробях, где d - диаметр стенозированного участка артерии, D - диаметр референтного участка - неизмененной части артерии, ближайшей к стенозу.

[37]

Способ осуществляется следующим образом.

[38]

Проводят каротидную ангиографию на ангиографических установках, МРТ и СКТ аппаратах, исследуя стенозированный участок артерии и референтный участок - неизмененную часть артерии, ближайшую к стенозу. Оценивают диаметр стенозированного участка артерии (d) и референтную зону - диаметр неизмененной части артерии, ближайшей к стенозу (D). Затем для экстра- и интракраниальных артерий в автоматическом режиме или вручную определяют их отношение (XD) в десятичных дробях по формуле: XD=(1-d/D). Степень стеноза внутренней сонной артерии (XF) рассчитывают по формуле в десятичных дробях: XF=(2-XD)*XD*0,91, где 0,91 - поправочный коэффициент, компенсирующий погрешность за счет неправильной геометрической формы просвета стенозированной части сосуда; XD - относительная величина стеноза по отношению диаметров стенозированного участка артерии и референтного участка артерии - неизмененной части артерии, ближайшей к стенозу, выраженная в десятичных дробях и рассчитанная по формуле XD=(1-d/D) в десятичных дробях, где d - диаметр стенозированного участка артерии, D - диаметр референтного участка - неизмененной части артерии, ближайшей к стенозу.

[39]

Было проведено обследование группы пациентов (n=53), с атеросклеротическим поражением экстракраниальной части ВСА. У всех больных определяли диаметр стенозированного участка артерии и диаметр ее референтного участка, при этом в качестве референтного участка артерии для определения его диаметра использовали неизмененную часть артерии, ближайшую к стенозу. После чего степень стеноза внутренней сонной артерии (XF) рассчитывали по формуле в десятичных дробях: XF=(2-XD)*XD*0,91, где 0,91 - поправочный коэффициент, компенсирующий погрешность за счет неправильной геометрической формы просвета стенозированной части сосуда; XD - относительная величина стеноза по отношению диаметров стенозированного участка артерии и референтного участка артерии - неизмененной части артерии, ближайшей к стенозу, выраженная в десятичных дробях и рассчитанная по формуле XD=(1-d/D), где d - диаметр стенозированного участка артерии, D - диаметр референтного участка - неизмененной части артерии, ближайшей к стенозу. Кроме того, у этих же больных проведено сравнение между собой степени стеноза, рассчитанной известными двумя способами: по отношению диаметров (XD) и по отношению площадей (XS) - в соответствии с критериями NASCET и по формулам:

[40]

[41]

где XD - стеноз только по диаметру; XS - стеноз по площади; d - диаметр стенозированного сосуда, D - диаметр референтной зоны в соответствии с критериями NASCET.

[42]

На рис. 4 показано графическое сопоставление степени стенозов, рассчитанных по отношению только диаметров и по отношению площадей по общепринятым известным критериям. Из рисунка видно, что связь их не является линейной и максимальные расхождения наблюдаются в диапазоне от 20% до 80%, внутри которого находится гемодинамически значимый стеноз в 70%. В крайних же значениях результаты этих двух методов сближаются.

[43]

Затем результаты этих двух методов - «по отношению только диаметров» (XD) и «по отношению площадей» (XS) - сравнили с результатами ультразвукового исследования, принятого в качестве референтного - ДС МАГ, поскольку дуплексное сканирование основывается на более точном критерии ECST с допплерографическим его подтверждением.

[44]

На диаграмме (рис. 5), где представлены медианы степени стеноза ВСА: ХДС МАГ - стеноз ВСА, определенный по ультразвуковому методу, XD - стеноз, определенный только по диаметру, XS - стеноз, определенный по площади, видно, что все три медианы отличаются друг от друга статистически значимо (Табл. 1), причем показатель стеноза, определенного ультразвуковым методом ДС МАГ (рис. 5), находится между двумя другими, как и медианы. Из этого следует вывод, что и способ расчета степени стеноза по отношению площадей также имеет погрешность, что объяснимо, так как способ применим к окружностям правильной геометрической формы. Если для референтного участка артерии, имеющей классическую форму круга, это правило применимо, то для участка артерии с сужением ее просвета за счет атеросклеротической бляшки все обстоит иначе, поскольку бляшка может иметь разную форму и распространение относительно окружности артерии. Так, выделяют сегментарные, полуконцентрические или концентрические атеросклеротические бляшки, обусловливающие неправильную геометрическую форму просвета стенозированной части артерии.

[45]

[46]

[47]

Чтобы доказать или исключить принципиальное сродство этих двух методов расчета («по отношению только диаметров» (XD) и «по отношению площадей» (XS) к референтному методу (ДС МАГ), используя специальные статистические инструменты, оценили корреляционную связь между разностью результатов каждого из методов с соответствующим референтным значением, полученными при дуплексном сканировании МАГ (ХДС МАГ-XD; ХДС МАГ-XS) с одной стороны и полусуммой этого же результата и референтного значения ((ХДС МАГ+XD)/2; (ХДСМАГ+XS)/2) с другой стороны. В случае, если такая корреляция чрезвычайно слабая и стремится к «0», а р-уровень очень высокий и стремится к «1,0», то функции являются тождественными и альтернативными (табл. 2).

[48]

[49]

Как видно на рис. 6 «Ранговые корреляции Спирмана между разностью результатов каждого из методов и референтными значениями ДС МАГ» и из табл. 2, корреляции между разностью по площади и средним от суммы референтного значения и значения, рассчитанного по площади, не выявлено (г=0.01), а р-уровень равен 0,93, что подтверждает сопоставимость методов. Это значит, что метод расчета стеноза по площади является тождественным референтному и альтернативным. Другой же метод («по отношению только диаметров») в очередной раз доказал свою не тождественность референтному, поскольку, как видно из рис. 6, имеется существенная корреляционная связь между показателями: г=0,38 при р-уровне 0,004 (табл. 3). При любой величине исходных диаметров стенозированной артерии различия между результатами референтной (ХДС МАГ) и экспериментальной (XS) методик остаются неизменными (прямая разности по площади и средним от суммы референтного значения и значения, рассчитанного по площади, параллельна оси абсцисс (нулевая линия)) (рис. 6).

[50]

После определения диаметра стенозированного участка артерии и диаметра ее референтного участка, при этом в качестве референтного участка артерии для определения его диаметра используют неизмененную часть артерии, ближайшую к стенозу заявленным методом, провели расчет по формуле:

[51]

XF=(2-XD)*XD*0,91,

[52]

где: XF - относительная величина стеноза по отношению диаметров, выраженная в десятичных дробях: 0,91 - корректирующий коэффициент, который получен за вычетом 9% от разности по медиане ХДС МАГи среднего от ХДС МАГ+XS по аналогии с выборочным стандартным отклонением, когда вместо n (количество переменных) применяют n-1, чтобы компенсировать гораздо больший разброс значений, существующий в генеральной совокупности. В данном случае коэффициент позволяет снизить завышение величины стеноза в силу слишком правильной геометрической формы условного стеноза; таким образом, этот коэффициент является долевым выражением за вычетом среднего. Снова провели перерасчет степени стенозов ВСА у обследованных 53 пациентов с повторным сравнением результатов вышеописанных методов, в том числе референтным - по ДС МАГ (см. Рис. 7), на котором показано сравнение результатов оценки степени стеноза ВСА по ДС МАГ (ХДС МАГ) и рассчитанным по принципам отношения диаметров (XD), отношения площадей (XS), а также по заявленному способу по формуле (XF) (см. табл. 3).

[53]

[54]

Как видно на рис. 7 и табл. 3, средние значения стенозов по предложенной формуле XF с использованием референтной зоны - неизмененной части артерии, ближайшей к стенозу (что является «удобным» и при оценке интркраниального стеноза), и корректирующего коэффициента 0,91 и по референтному методу ДС МАГ статистически не различаются (р=0,49), однако ультразвуковой метод ДС МАГ не пригоден для оценки стеноза интракриниальных, которые имеют небольшой диаметр. Другие же методы оценки стенозов - по отношению диаметров (XD) и по отношению площадей (XS) по общепринятым формулам показали статистически значимые отличия от результатов референтного метода ДС МАГ (см. табл. 3).

[55]

Таким образом, предлагаемый нами способ оценки стеноза является универсальным для любых артерий на экстра- и интракраниальном уровне и обладает высокой точностью, поскольку не требует использования специальных референтных сегментов, а только неизмененную часть артерии, ближайшую к стенозу, и не зависит от анатомических особенностей пораженного сосуда.

[56]

Примеры выполнения способа

[57]

Пример 1.

[58]

Пациент С. 69 лет обратился в НЦН РАМН в январе 2012 года в связи с жалобами на легкую слабость и неловкость в левой руке и ноге. Из анамнеза известно, что в конце декабря 2011 внезапно развился левосторонний гемипарез. При МРТ головного мозга были выявлены острые ишемические очаги в бассейне правой СМА, в связи с чем пациент был госпитализирован. На фоне проводимого лечения неврологический дефицит регрессировал полностью в течение суток. Спустя несколько дней в стационаре повторно развился сосудистый эпизод уже со стойким левосторонним гемипарезом легкой степени. При обследовании в НЦН РАМН СКТ-ангиография выявила стеноз интракраниальной части правой ВСА, равный 60% по критерию NASCET и сочетающийся со значительным обеднением сосудистого рисунка бассейна правой ВСА. Формально данная степень стеноза не является гемодинамически значимой и должна приводить к коллатеральным перестройкам церебрального кровотока. При рентгеноконтрастной субтракционной ангиографии интракраниальных артерий степень стеноза интракраниальной части правой ВСА также была рассчитана по критерию NASCET и полностью совпала с результатами СКТ-ангиографии, однако при контрастировании бассейна правой ВСА имело место заполнение контрастом только основного ствола и ветвей правой СМА, а обе ПМА контрастировались при ангиографии левой ВСА. Данное обстоятельство указывает на значительную гемодинамическую значимость стенозирующего поражения правой ВСА, что не совпадает с оценкой стеноза по критерию NASCET.

[59]

При исследовании стенозированного участка артерии и референтной зоны - неизмененной части артерии, ближайшей к стенозу, были получены следующие показатели d=1,2 мм и D=4,3 мм соответственно. По предложенной формуле рассчитываем степень стеноза в десятичных дробях:

[60]

XF=(2-XD)*XD*0,91.

[61]

XD=1-1,2/4,3=1,0-0,279=0,72.

[62]

XF=(2-0,72)*0,72*0.91=0,838.

[63]

При умножении указанного показателя на 100% получаем оценочный показатель в процентах 0,84*100=84%. Учитывая формирование коллатеральных перетоков в кровоснабжении правого полушария, механизм развития церебральной ишемии в данном случае носил гемодинамический характер, что в нашем исследовании наблюдалось при стенозе от 76,4%. Т.е. по критерию NASCET оценка степени стеноза оказалась заниженной и не соответствовала гемодинамическим проявлениям.

[64]

Пример 2.

[65]

Пациентка М. 62 с 2002 года отмечала повышение артериального давления до 220/100 мм рт.ст. Регулярно гипотензивную терапию не получала. В 2003 году появились повторяющиеся, кратковременные эпизоды пелены перед правым глазом. С весны 2004 года приступы значительно участились. При проведении дуплексного сканирования (ДС) МАГ в экстракраниальном отделе правой ВСА примерно на 1,2 см выше устья была выявлена локальная концентрической формы гипоэхогенная атеросклеротическая бляшка с сужением просвета артерии по допплерографическим показателям на 80-85%, а по критерию ECST на 60%. Дистальнее стеноза определялся сниженный кровоток с выраженной турбуленцией. При оценке цереброваскулярного резерва с нитроглицерином выявлено отсутствие реакции кровотока по правой СМА и сниженная реакция кровотока по левой СМА (ИР=0,88). При проведении дигитальной субтракционной ангиографии (ДСА) магистральных артерий головы степень стенозирования правой ВСА, рассчитанная по критерию NASCET, также соответствовала 60%. При исследовании стенозированного участка артерии и референтной зоны - неизмененной части артерии, ближайшей к стенозу, были получены следующие показатели d=2,1 мм и D=5,2 мм соответственно. По предложенной формуле рассчитали степень стеноза в десятичных дробях:

[66]

XF=(2-XD)*XD*0,91.

[67]

XD=l-2,l/5,2=1,0-0,4=0,6.

[68]

XF=(2-0,6)*0,6*0.91=0,76.

[69]

При умножении указанного показателя на 100 получаем оценочный показатель в процентах 0,76*100=76%. Пересчитав сужение просвета с использованием предлагаемой нами формулы, получаем степень стеноза, равную 76%. В данном примере при первичной ангиографической оценке имело место несоответствие степени стеноза клинической картине. Полученные результаты как по критериям NASCET, так и по критериям ECST, полностью исключали гемодинамическую значимость стеноза. В то же время по результатам допплерографии и исследованию цереброваскулярного резерва (ЦВР) ультразвуковым методом получено гемодинамически значимое снижение объемного кровотока по стенозированной артерии, что в полной мере соответствует показателям по предлагаемому способу оценки стеноза.

[70]

Предлагаемый способ ангиографической оценки степени стеноза внутренней сонной артерии на экстра- и интракраниальном уровне является альтернативным и практически равнозначным по точности референтному методу ультразвуковой диагностики. Но в отличие от последнего может равноценно использоваться с высокой точностью как на экстракраниальном, так и на интракраниальном уровнях. Кроме того, метод может рассматриваться как универсальный и быть применимым для любых сосудов, поскольку не требует использования специальных референтных зон по известным общепринятым критериям и не зависит от анатомических особенностей пораженного сосуда. Использование удобной и универсальной референтной зоны и адекватного геометрическим категориям математического способа позволяет более точно оценить степень стеноза с помощью предлагаемого метода, а также обеспечить универсальность и возможность оценки стенозов в интракраниальной части ВСА и других артерий.

[71]

Как компенсировать расходы
на инновационную разработку
Похожие патенты