патент
№ RU 2573180
МПК H01Q7/00

КОМПАКТНОЕ ШИРОКОПОЛОСНОЕ ТРЁХКОМПОНЕНТНОЕ ПРИЁМНОЕ АНТЕННОЕ УСТРОЙСТВО

Авторы:
Неуструев Владимир Владимирович Кулик Михаил Геннадьевич Герасимчук Олег Анатольевич
Все (4)
Номер заявки
2014141100/28
Дата подачи заявки
13.10.2014
Опубликовано
20.01.2016
Страна
RU
Как управлять
интеллектуальной собственностью
Чертежи 
2
Реферат

Изобретение относится к антенной технике. Трехкомпонентное приемное антенное устройство содержит металлическое основание, на котором размещены две взаимно ортогональные приемные магнитные антенны на стержневых ферритовых сердечниках с обмотками на каждом из сердечников, три симметрирующих трансформатора, три разъема, емкостную антенну, торцевые элементы антенного снижения. При этом дифференциальные выводы обмоток через симметрирующие трансформаторы соединены с соответствующими разъемами. Электрические экраны антенн выполнены с продольными щелями, линии связи выполнены экранированными, магнитные антенны смещены относительно друг друга по вертикали, расположены над металлическим основанием, плоскость которого параллельна продольным осям магнитных антенн, обмотки каждой из магнитных антенн помещены в собственный электрический экран. Емкостная антенна содержит верхний и нижний металлические электроды, состоящие из четырех плоских сегментов, которые расположены аксиально симметрично в одной плоскости вокруг центральной оси устройства и электрически соединены между собой в общей точке. Причем плоскость верхнего электрода расположена над верхней магнитной антенной, а плоскость нижнего электрода расположена под нижней магнитной антенной. Технический результат - устранение двузначности определения пеленга. 3 ил.

Формула изобретения

Компактное широкополосное трехкомпонентное приемное антенное устройство, содержащее металлическое основание, на котором размещены две взаимно ортогональные приемные магнитные антенны на стержневых ферритовых сердечниках, расположенные крестообразно, с обмотками на каждом из сердечников, расположенными симметрично относительно центральных сечений сердечников, первый и второй симметрирующие трансформаторы, первый и второй разъемы, дифференциальные выводы обмоток соединены с дифференциальными входами соответствующих симметрирующих трансформаторов, а выходы первого и второго симметрирующих трансформаторов электрически соединены с соответствующими разъемами, электрические экраны приемных магнитных антенн с продольными щелями, первые и вторые экранированные линии связи, торцевые элементы антенного снижения, приемные магнитные антенны смещены относительно друг друга по вертикали, расположены над металлическим основанием, плоскость которого параллельна продольным осям приемных магнитных антенн, обмотки каждой из приемных магнитных антенн помещены в собственный электрический экран с продольной щелью, в месте пересечения антенн экраны верхней и нижней приемных магнитных антенн электрически соединяются между собой, при этом продольная щель экрана верхней приемной магнитной антенны обращена вверх, продольная щель экрана нижней приемной магнитной антенны обращена вниз, к торцевым краям экрана нижней приемной магнитной антенны симметрично подсоединены электропроводящие конструктивно идентичные торцевые элементы антенного снижения, замыкающие электрические экраны на металлическое основание, а первые и вторые экранированные линии связи между дифференциальными выходами приемных магнитных антенн и дифференциальными входами симметрирующих трансформаторов проложены вдоль поверхностей экрана нижней приемной магнитной антенны, торцевых элементов снижения и металлического основания симметрично относительно центрального сечения сердечника нижней приемной магнитной антенны, и экранирующие оболочки первых и вторых экранированных линий связи электрически соединены с экраном нижней приемной магнитной антенны, торцевыми элементами снижения и металлическим основанием, отличающееся тем, что дополнительно содержит третий симметрирующий трансформатор, третий разъем, третьи экранированные линии связи, верхний и нижний металлические электроды, состоящие каждый из четырех плоских сегментов, проекции четырех плоских сегментов на металлическое основание не выходят за его пределы, четыре плоских сегмента аксиально симметрично расположены в одной плоскости вокруг центральной оси устройства и электрически соединены между собой в общей точке, лежащей на центральной оси устройства, причем плоскость верхнего электрода расположена над верхней приемной магнитной антенной, а плоскость нижнего электрода расположена под нижней приемной магнитной антенной, и оба электрода образуют приемную электрическую антенну конденсаторного типа, к общим точкам каждого электрода которой подключены жилы третьих экранированных линий, электрически связывающих электроды с дифференциальным входом третьего симметрирующего трансформатора, выход которого электрически соединен с третьим разъемом, проложенные вдоль поверхностей экрана нижней приемной магнитной антенны, торцевых элементов снижения и металлического основания симметрично относительно центрального сечения сердечника нижней приемной магнитной антенны, и экранирующие оболочки третьих экранированных линий связи приемной электрической антенны электрически соединены с экраном нижней приемной магнитной антенны, торцевыми элементами снижения и металлическим основанием.

Описание

[1]

Устройство относится к радиоприемной технике и может быть использовано в области радиопеленгации, радионавигации и радиомониторинга.

[2]

Выявление и анализ радиоизлучений для идентификации источников сигналов и помех, измерение параметров сигналов и помех, определение положения источников на местности являются важнейшими задачами современной радиотехники.

[3]

При решении этих задач особенно высокие требования по чувствительности, широкополосности, погрешности пеленга и помехозащищенности предъявляют к антенным устройствам - первичным преобразователям электромагнитного поля.

[4]

Известна ферритовая антенна [1], в которой обмотка на стержневом ферритовом сердечнике помещена в резистивный электрический экран. Для повышения широкополосности электрического экранирования экран изготавливают из хорошо проводящего материала (металла). В этом случае для сохранения магнитной чувствительности антенны экран вокруг стержневого ферритового сердечника имеет щель [2], расположенную вдоль его оси по всей длине экрана. Такой экран со щелью позволяет улучшить направленные свойства ферритовой антенны.

[5]

К недостаткам аналога относится то, что по мере повышения частоты воздействующего электромагнитного поля на выходе обмотки ферритовой антенны появляется заметный помеховый сигнал, обусловленный электрической составляющей поля. В широкополосной ферритовой антенне мегагерцового диапазона частот этот помеховый сигнал уже может быть соизмерим с полезным сигналом от магнитной составляющей, что нарушает нормальную работу магнитной антенны.

[6]

Известна также сопряженная пеленгационная антенна диапазона 0,5-30 МГц [3], содержащая две взаимно ортогональные приемные магнитные антенны на стержневых ферритовых сердечниках, которые имеют профиль с углами, уменьшающими отражение радиолокационного излучения и расположенных крестообразно, с обмотками на каждом из них, расположенными симметрично относительно центральных сечений сердечников, дифференциальные выходы которых соединены с дифференциальными входами симметрирующих трансформаторов, выходы которых соединены с разъемами, все указанные элементы защищены кожухом и размещены на металлическом основании, и с выхода разъемов с помощью кабелей принимаемые радиосигналы передаются на вход приемного электронного устройства.

[7]

Симметрирование элементов устройства позволяет достаточно эффективно подавлять синфазную составляющую помехового сигнала от электрической составляющей электромагнитного поля.

[8]

Недостатком этого аналога является слабая поляризационная развязка между взаимно ортогональными приемными антеннами и, как следствие, значительная ошибка определения пеленга. Реально достижимая поляризационная развязка в антенных устройствах с взаимно ортогональным крестообразным расположением приемных магнитных антенн, сочетающих в себе широкополосность и взаимную симметрию их элементов, не превышает 40 дБ на частотах около 100 кГц, 30 дБ - на частотах около 1 МГц и 21 дБ - на частотах около 10 МГц и выше. При требовании к точности пеленга в 1÷2°, необходимо иметь развязку не менее 40 дБ.

[9]

Наиболее близким по своей технической сущности устройством (прототипом) является широкополосное двухкомпонентное приемное антенное устройство [4], содержащее металлическое основание, на котором размещены две взаимно ортогональные приемные антенны на стержневых ферритовых сердечниках, расположенных крестообразно, с обмотками на каждом из сечений сердечников, расположенными симметрично относительно центральных сечений сердечников, симметрирующие трансформаторы и разъемы, дифференциальные выходы обмоток соединены с дифференциальными входами трансформаторов, а выходы симметрирующих трансформаторов с разъемами, с выходов которых принимаемые радиосигналы с помощью кабелей передаются на вход приемного электронного устройства, электрические экраны приемных антенн с продольными щелями, экранированные линии связи, торцевые элементы антенного снижения, приемные магнитные антенны смещены друг относительно друга по вертикали, расположены над металлическим основанием, плоскость которого параллельна продольным осям магнитных антенн, обмотки каждой из приемных магнитных антенн помещены в собственный электрический экран с продольной щелью, в месте пересечения антенн экраны верхней и нижней приемных магнитных антенн электрически соединяются между собой, при этом продольная щель экрана верхней приемной магнитной антенны обращена вверх, продольная щель экрана нижней приемной магнитной антенны обращена вниз, к торцевым краям экрана нижней приемной магнитной антенны симметрично подсоединены электропроводящие конструктивно идентичные торцевые элементы антенного снижения, замыкающие электрические экраны на металлическое основание, а экранированные линии связи между дифференциальными выходами приемных антенн и дифференциальными входами симметрирующих трансформаторов проложены вдоль поверхностей экрана нижней приемной магнитной антенны, торцевых элементов снижения и металлического основания симметрично относительно центрального сечения сердечника нижней приемной магнитной антенны, и экранирующие оболочки линий связи электрически соединены с экраном нижней приемной магнитной антенны, торцевыми элементами снижения и металлическим основанием.

[10]

Использование предложенных в прототипе конструктивного и технического решений позволяет снизить влияние помехи на полезный сигнал, а также улучшить поляризационную развязку до значения не менее 40 дБ в диапазоне частот до 10 МГц.

[11]

Недостатком прототипа является двузначность определения пеленга (истинный пеленг и пеленг, отличающийся от истинного на 180°), связанная с отсутствием возможности привязки поляризаций взаимно ортогональных электрической и магнитной составляющих принимаемых электромагнитных сигналов.

[12]

Техническим результатом изобретения является устранение двузначности определения пеленга.

[13]

Технический результат достигается тем, что компактное широкополосное трехкомпонентное приемное антенное устройство, содержащее металлическое основание, на котором размещены две взаимно ортогональные приемные магнитные антенны на стержневых ферритовых сердечниках, расположенные крестообразно, с обмотками на каждом из сердечников, расположенными симметрично относительно центральных сечений сердечников, первый и второй симметрирующие трансформаторы, первый и второй разъемы, дифференциальные выводы обмоток соединены с дифференциальными входами соответствующих симметрирующих трансформаторов, а выходы первого и второго симметрирующих трансформаторов электрически соединены с соответствующими разъемами, электрические экраны приемных магнитных антенн с продольными щелями, первые и вторые экранированные линии связи, торцевые элементы антенного снижения, приемные магнитные антенны смещены относительно друг друга по вертикали, расположены над металлическим основанием, плоскость которого параллельна продольным осям приемных магнитных антенн, обмотки каждой из приемных магнитных антенн помещены в собственный электрический экран с продольной щелью, в месте пересечения антенн экраны верхней и нижней приемных магнитных антенн электрически соединяются между собой, при этом продольная щель экрана верхней приемной магнитной антенны обращена вверх, продольная щель экрана нижней приемной магнитной антенны обращена вниз, к торцевым краям экрана нижней приемной магнитной антенны симметрично подсоединены электропроводящие конструктивно идентичные торцевые элементы антенного снижения, замыкающие электрические экраны на металлическое основание, а первые и вторые экранированные линии связи между дифференциальными выходами приемных магнитных антенн и дифференциальными входами симметрирующих трансформаторов проложены вдоль поверхностей экрана нижней приемной магнитной антенны, торцевых элементов снижения и металлического основания симметрично относительно центрального сечения сердечника нижней приемной магнитной антенны, и экранирующие оболочки первых и вторых экранированных линий связи электрически соединены с экраном нижней приемной магнитной антенны, торцевыми элементами снижения и металлическим основанием, дополнительно содержит третий симметрирующий трансформатор, третий разъем, третьи экранированные линии связи, верхний и нижний металлические электроды, состоящие каждый из четырех плоских сегментов, проекции четырех плоских сегментов на металлическое основание не выходят за его пределы, четыре плоских сегмента аксиально симметрично расположены в одной плоскости вокруг центральной оси устройства и электрически соединены между собой в общей точке, лежащей на центральной оси устройства, причем плоскость верхнего электрода расположена над верхней приемной магнитной антенной, а плоскость нижнего электрода расположена под нижней приемной магнитной антенной, и оба электрода образуют приемную электрическую антенну конденсаторного типа, к общим точкам каждого электрода которой подключены жилы третьих экранированных линий, электрически связывающих электроды с дифференциальным входом третьего симметрирующего трансформатора, выход которого электрически соединен с третьим разъемом, проложенные вдоль поверхностей экрана нижней приемной магнитной антенны, торцевых элементов снижения и металлического основания симметрично относительно центрального сечения сердечника нижней приемной магнитной антенны, и экранирующие оболочки третьих экранированных линий связи приемной электрической антенны электрически соединены с экраном нижней приемной магнитной антенны, торцевыми элементами снижения и металлическим основанием.

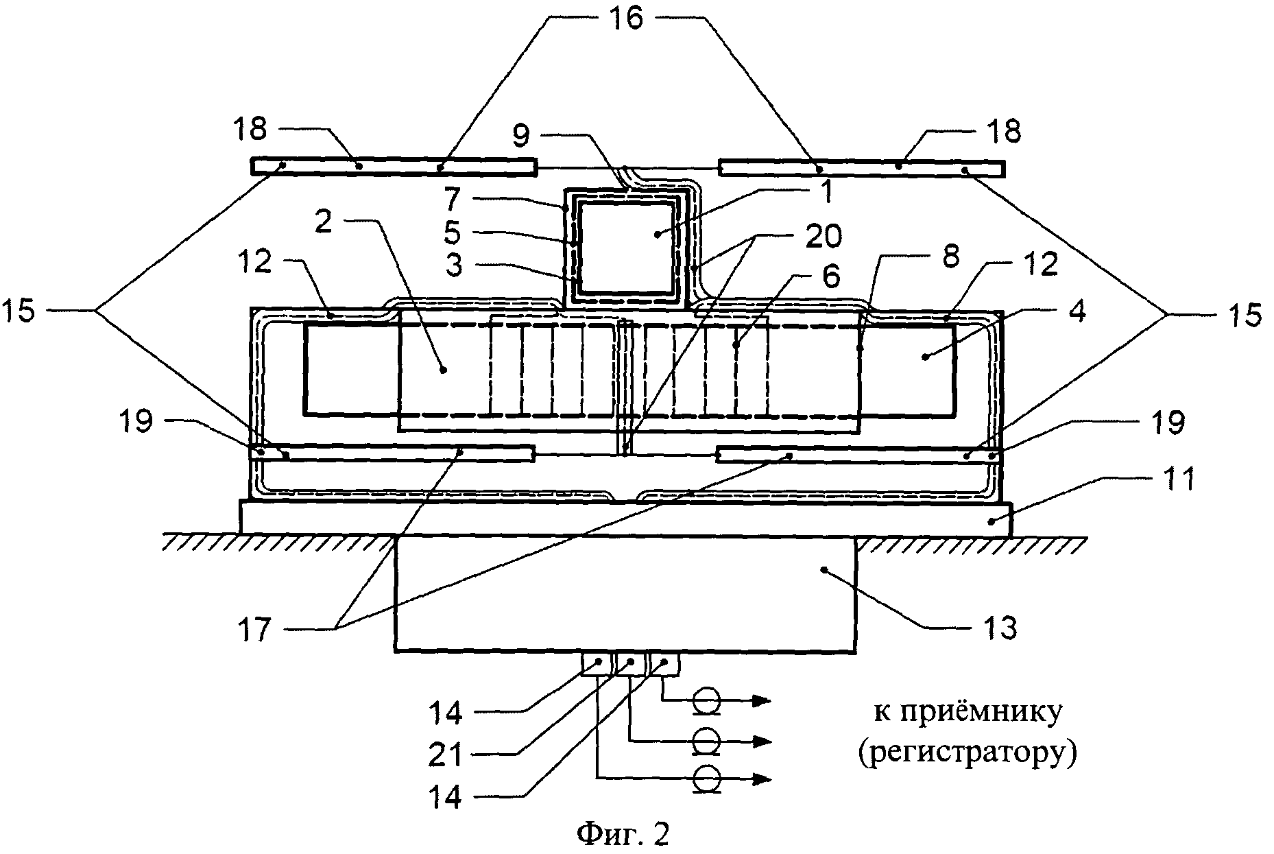
[14]

На фигурах 1-3 представлены три проекции общего вида на антенное устройство: вид спереди, вид сбоку и вид сверху, соответственно. На чертежах приняты следующие обозначения:

[15]

1 - верхняя приемная магнитная антенна;

[16]

2 - нижняя приемная магнитная антенна;

[17]

3 - стержневой ферритовый сердечник верхней приемной магнитной антенны;

[18]

4 - стержневой ферритовый сердечник нижней приемной магнитной антенны;

[19]

5 - обмотка верхней приемной магнитной антенны;

[20]

6 - обмотка нижней приемной магнитной антенны;

[21]

7 - электрический экран верхней приемной магнитной антенны;

[22]

8 - электрический экран нижней приемной магнитной антенны;

[23]

9 - продольные щели в электрических экранах верхней и нижней приемных магнитных антенн;

[24]

10 - торцевые элементы антенного снижения;

[25]

11 - металлическое основание;

[26]

12 - первые и вторые экранированные линии связи;

[27]

13 - экранированный корпус симметрирующих трансформаторов;

[28]

14 - разъемы приемных магнитных антенн;

[29]

15 - приемная электрическая антенна;

[30]

16 - верхний металлический электрод приемной электрической антенны;

[31]

17 - нижний металлический электрод приемной электрической антенны;

[32]

18 - плоские сегменты верхнего электрода приемной электрической антенны;

[33]

19 - плоские сегменты нижнего электрода приемной электрической антенны;

[34]

20 - третьи экранированные линии связи;

[35]

21 - разъем приемной электрической антенны.

[36]

Компактное широкополосное трехкомпонентное приемное антенное устройство содержит две крестообразно расположенные одна под другой верхняя и нижняя приемные магнитные антенны 1 и 2, в состав которых входят стержневые ферритовые сердечники 3 и 4, обмотки 5 и 6 и электрические экраны 7 и 8 верхней и нижней приемных магнитных антенн 1 и 2 соответственно. Электрические экраны 7 и 8 имеют продольные щели 9, причем продольная щель 9 электрического экрана 7 расположена над верхней гранью стержневого ферритового сердечника 3, т.е. обращена вверх, а продольная щель 9 электрического экрана 8 - под нижней гранью стержневого ферритового сердечника 4, т.е. обращена вниз. Электрический экран 8 нижней приемной магнитной антенны 2 имеет торцевые элементы антенного снижения 10 на металлическое основание 11. Электрические экраны 7, 8 нижней и верхней приемных магнитных антенн 1 и 2 и металлическое основание 11 соединены электрически между собой. Первые и вторые экранированные линии связи 12, состоящие из двух примерно равных отрезков однотипных коаксиальных кабелей (лучший результат по исключению из сигнала синфазной помехи достигается при использовании более точного равенства отрезков кабелей), верхней и нижней приемных магнитных антенн 1 и 2 одним своим концом подключены к дифференциальным выходам обмоток 5 и 6, другим - к дифференциальным входам первого и второго симметрирующих трансформаторов (на фигурах 1-3 не показаны), размещенных в экранированном корпусе 13, выходы которых электрически соединены с первым и вторым разъемами 14 верхней и нижней приемных магнитных антенн 1 и 2. Первые и вторые экранированные линии связи 12 верхней и нижней приемных магнитных антенн 1 и 2 разведены попарно, симметрично относительно места пересечения электрических экранов 7 и 8 и проложены по верхней плоскости электрического экрана 8, торцевым элементам антенного снижения 10 и поверхности металлического основания 11 вдоль осевой линии проекции нижней приемной магнитной антенны 2 до точки проекции центра пересечения верхней и нижней приемных магнитных антенн 1 и 2 на металлическое основание 11, при этом экранирующие оболочки первых и вторых экранированных линий связи 12 вдоль линии их прокладки электрически соединены с электрическим экраном 8 и металлическим основанием 11. Над верхней приемной магнитной антенной 1 размещен верхний металлический электрод 16 приемной электрической антенны 15 конденсаторного типа, состоящей из четырех плоских сегментов 18, аксиально симметрично расположенных в одной плоскости вокруг центральной оси устройства, а под нижней приемной магнитной антенной 2 размещен нижний металлический электрод 17 приемной электрической антенны 15 конденсаторного типа, состоящей из четырех плоских сегментов 19, проекции которых на металлическое основание 11 не выходят за его пределы, аксиально симметрично расположенных в одной плоскости вокруг центральной оси устройства. Плоские сегменты 18 верхнего металлического электрода 16 и плоские сегменты 19 нижнего металлического электрода 17 поэлектродно электрически соединены между собой в общих точках, лежащих на центральной оси устройства. К общим точкам верхнего и нижнего металлических электродов 16 и 17 подключены жилы третьих экранированных линий связи 20, состоящие из двух примерно равных отрезков однотипных коаксиальных кабелей, электрически связывающих приемную электрическую антенну 15 с дифференциальным входом третьего симметрирующего трансформатора (на фигурах 1-3 не показан), размещенного в экранированном корпусе 13, выход которого электрически соединен с третьим разъемом 21 приемной электрической антенны 15. Третьи экранированные линии связи 20 приемной электрической антенны 15 разведены симметрично относительно места пересечения электрических экранов 7 и 8 верхней и нижней приемных магнитных антенн 1 и 2 и проложены по верхней плоскости электрического экрана 8, торцевым элементам антенного снижения 10 и поверхности металлического основания 11 вдоль осевой линии нижней приемной магнитной антенны 2 до точки проекции центра пересечения верхней и нижней приемных магнитных антенн 1 и 2 на металлическое основание 11, при этом экранирующие оболочки третьих экранированных линий связи 20 приемной электрической антенны 15 вдоль трассы их прокладки электрически соединены с электрическим экраном 8 и металлическим основанием 11.

[37]

Устройство работает следующим образом.

[38]

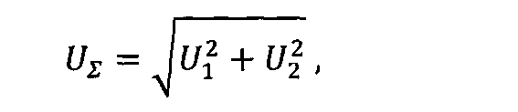
Магнитная составляющая падающего на верхнюю и нижнюю приемные магнитные антенны 1, 2 электромагнитного поля концентрируется стержневыми ферритовыми сердечниками 3, 4 соответственно, и наводит в обмотках 5, 6 эдс, зависящие от угла прихода электромагнитной волны. Эти эдс в виде соответствующих напряжений на симметричных выходах обмоток 5, 6 по первым и вторым экранированным линиям связи 12 передаются на входы первого и второго симметрирующих трансформаторов, расположенных в экранированном корпусе 13, где освобождаются от синфазных помеховых сигналов, и далее с первого и второго разъемов 14 пара полезных сигналов по кабелям транслируется к входу приемного электронного устройства (регистратору). Для защиты обмоток 5, 6 от воздействия электрической составляющей электромагнитного поля, являющейся помеховым фактором для верхней и нижней приемных магнитных антенн 1 и 2, они помещены в электрические экраны 7 и 8, соответственно. Электрическое поле, взаимодействуя с электрическими экранами 7 и 8, формирует натекающий на них из окружающего пространства ток смещения, который переходит в ток антенного снижения, стекающий с электрических экранов 7, 8 от места их электрического соединения по двум симметричным ветвям снижения, сформированным с помощью двух электрически и конструктивно идентичных торцевых элементов антенного снижения 10, на металлическое основание 11. С металлического основания 11 ток снижения растекается по находящейся с ним в электрофизическом контакте подстилающей поверхности земли. При этом сформированные торцевыми элементами 10 симметричные ветви стекания на металлическое основание 11 тока снижения расположены в вертикальной плоскости пространственной фиксации нижней приемной магнитной антенны 2 симметрично по отношению к ортогональной вертикальной плоскости, в которой фиксирована верхняя приемная антенна 1. Такая пространственная структура размещения элементов антенного устройства выводит нижнюю приемную магнитную антенну 2 из области воздействия магнитного поля тока снижения, а для верхней приемной магнитной антенны 1 влияние противоположно направленных магнитных полей симметричных ветвей тока снижения компенсируется. Продольные щели 9 в электрических экранах 7 и 8, располагаясь у верхней приемной магнитной антенны 1 сверху, а у нижней приемной магнитной антенны 2 снизу, находятся вне путей стекания тока снижения и, тем самым, не создают асимметрии в его распределении. Продольные оси верхней и нижней приемных магнитных антенн 1 и 2 параллельны металлическому основанию 11. Компланарность плоскостей, в которых лежат оси верхней и нижней приемных магнитных антенн 1 и 2, исключает возможность ассиметричного натекания на антенное устройство тока смещения из окружающего пространства. Электрическая составляющая падающего на приемную электрическую антенну 15 конденсаторного типа электромагнитного поля создает между верхним металлическим электродом 16 приемной электрической антенны 15 конденсаторного типа и нижним металлическим электродом 17 приемной электрической антенны 15 конденсаторного типа эдс, которая в виде соответствующего ей напряжения между жилами третьих экранированных линий связи 20 передается по ним на дифференциальный вход третьего симметрирующего трансформатора, расположенного в экранированном корпусе 13, где освобождается от синфазного помехового сигнала, и в виде полезного сигнала с третьего разъема 21 приемной электрической антенны 15 по кабелю транслируется к входу приемного электронного устройства. Расстояние между верхним 16 и нижним 17 металлическими электродами задано положением плоских сегментов 18 относительно плоских сегментов 19 и определяет чувствительность приемной электрической антенны 15 конденсаторного типа и соответственно величину полезного сигнала, снимаемого с третьего разъема 21 приемной электрической антенны 15. Сегментирование верхнего и нижнего металлических плоских электродов 16 и 17 позволяет функционировать приемной электрической антенне 15 конденсаторного типа, не изменяя характеристик верхней и нижней приемных магнитных антенн 1 и 2. Форма плоских сегментов 18 и 19 практически не влияет на характеристики приемной электрической антенны 15 конденсаторного типа, имеет значение лишь их площадь, так, чтобы состоящие из плоских сегментов 18 и 19 верхнего 16 и нижнего 17 металлических электродов образовывали плоский конденсатор, вписывающийся в поперечные габариты металлического основания 11. В приемном электронном устройстве полезные сигналы с верхней и нижней приемных магнитных антенн 1, 2 и приемной электрической антенны 15 конденсаторного типа анализируются по соотношению полярностей их, например, первого квазиполупериода, после чего дается однозначное направление на источник электромагнитного излучения.

[39]

Внешнее изменяющееся во времени магнитное поле Н=H(t) наводит в обмотках 5 и 6 взаимно ортогонально расположенных верхней и нижней приемных магнитных антенн 1 и 2 в апериодическом режиме (широкополосный прием) токи, которые создают на дифференциальных входах соответствующих симметрирующих трансформаторов напряжения U1 и U2, соответственно

[40]

[41]

где Kпр1 и Kпр2 - коэффициенты преобразования напряженности магнитного поля в напряжение на нагрузках верхней и нижней приемных магнитных антенн 1 и 2, соответственно; φ - азимутальный угол на источник электромагнитного излучения.

[42]

Из (1), (2) следует, что при векторном сложении суммарное напряжение, соотносимое с модулем вектора напряженности магнитного поля , равное

[43]

[44]

не зависит от угла φ при равенстве Kпр1 и Kпр2, т.е. теоретически устройство обладает строго круговой диаграммой направленности и может независимо использоваться в малобазовых (однопунктовых) радиопеленгаторах.

[45]

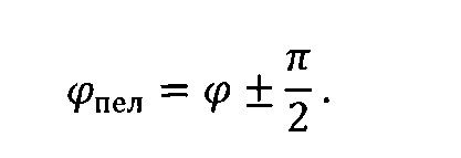
При этом направление на источник излучения (пеленг) определяется с помощью соотношения

[46]

[47]

Однако угол φ, найденный из соотношения (3), соответствующий однозначно определенному в азимутальной плоскости положению вектора , оставляет неопределенность в направлении на источник излучения φпел (пеленг), допуская два диаметрально противоположенных его значения, т.е.

[48]

[49]

Для устранения этой двузначности пеленга необходимо найти направление вектора прихода электромагнитной волны (вектора Пойтинга)

[50]

[51]

и определить пеленг, как направление ему противоположенное

[52]

[53]

Как следует из (4), пеленг определяется однозначно, если кроме направления вектора в азимутальной плоскости найдено направление компоненты вектора электрического поля , нормальной к азимутальной плоскости. Поскольку продольные оси взаимно ортогональных верхней и нижней приемных магнитных антенн 1 и 2 компланарны металлическому основанию 11, устанавливаемому в азимутальной плоскости, то соответственно приемная электрическая антенна 15 должна обладать избирательной чувствительностью к компоненте электрического поля, нормальной к металлическому основанию 11. Это требование выполняется, благодаря компланарному расположению плоских сегментов 18 и 19, составляющих верхний 16 и нижний 17 металлические электроды приемной электрической антенны 15, и металлического основания 11. В результате плоские верхний 16 и нижний 17 металлические электроды образуют приемную электрическую антенны 15 конденсаторного типа с действующей высотой, равной, приблизительно, расстоянию между верхней и нижней плоскостями электродов 16 и 17. Внешнее изменяющееся во времени электрическое поле Е=E(t) наводит между металлическими электродами 16 и 17 приемной электрической антенны 15 э.д.с., которая создает на дифференциальном входе соответствующего симметрирующего трансформатора напряжение U3

[54]

[55]

где Kпр3 - коэффициент преобразования напряженности электрического поля в напряжение на нагрузке приемной электрической антенны 15, θ - угол места для направления прихода электромагнитной волны.

[56]

Из (5) видно, что напряжение U3 пропорционально вертикальной на местности компоненте вектора электрического поля , и поэтому полярность напряжения U3 по отношению к сочетанию полярностей напряжений U1и U2дает направление вектора Пойтинга, снимает двузначность и позволяет однозначно определить пеленг.

[57]

Приемная электрическая антенна 15 вписана в конструкцию прототипа [4] без увеличения его габаритных размеров, поэтому габариты предлагаемого трехкомпонентного устройства минимальные из возможных для фиксированных чувствительности и широкополосности устройства - любое конструктивное выделение приемной электрической антенны 15 в самостоятельный антенный элемент увеличивает габариты приемной антенной системы. Компактность предлагаемого устройства делает его более удобным в эксплуатации и значительно расширяет область его применения.

[58]

Таким образом, компактное широкополосное трехкомпонентное приемное антенное устройство устраняет двузначность определения пеленга без какого-либо увеличения его габаритов в сравнении с прототипом.

[59]

Литература

[60]

1. Патент США №2981950? НКИ 343-788, 1959.

[61]

2. Ротхаммель К., Кришке А. Антенны, т. 2, Минск, Наш город, 2001, с. 194.

[62]

3. Патент США №6570543 B1, МКИ H01Q 7/04, 2003.

[63]

4. Ахмедзянов И.Ш., Молочков В.Ф. Широкополосное двухкомпонентное антенное устройство, Патент РФ №2474014 С1, МКИ H01Q 7/04, 06, 2013.

Как компенсировать расходы
на инновационную разработку
Похожие патенты