патент
№ RU 2295739
МПК G01S13/52

УСТРОЙСТВО РАСПОЗНАВАНИЯ СТРЕЛЯЮЩИХ СИСТЕМ

Авторы:
Наумов Сергей Васильевич Ивашко Алексей Михайлович Кислицын Вадим Юрьевич
Все (4)
Номер заявки
2005119103/09
Дата подачи заявки
20.06.2005
Опубликовано
20.03.2007
Страна
RU
Как управлять
интеллектуальной собственностью
Чертежи 
1
Реферат

[103]

Изобретение относится к радиолокационной технике и может быть использовано в РЛС разведки для распознавания класса стреляющих систем по результатам измерения текущих координат снаряда (мины, ракеты) на траектории. Техническим результатом является повышение вероятности правильного распознавания стреляющих систем. Устройство распознавания стреляющих систем содержит запоминающее устройство, блок сглаживания полученных прямоугольных координат траектории полета снаряда, блок преобразования сглаженных координат, два пороговых устройства, блок памяти условных плотностей вероятности принадлежности цели к каждому из четырех классов, блок определения максимума условной плотности вероятности принадлежности цели к одному из четырех классов, устройство сравнения и блок анализа возрастания значений доплеровской частоты, при этом в него введены блок вычисления дополнительных параметров распознавания, два блока анализа параметров траектории, блок обнуления условных показателей вероятности принадлежности цели к соответствующему классу, четыре блока получения условных показателей вероятности принадлежности цели к соответствующему классу, блок суммирования условных показателей вероятности принадлежности цели к соответствующему классу, блок сравнения сумм условных показателей вероятности принадлежности цели к соответствующему классу. 2 ил.

Формула изобретения

Устройство распознавания стреляющих систем, содержащее последовательно соединенные запоминающее устройство, блок сглаживания полученных прямоугольных координат траектории полета снаряда, блок преобразования сглаженных координат, первое пороговое устройство, блок памяти условных плотностей вероятности принадлежности цели к каждому из четырех классов, блок определения максимума условной плотности вероятности принадлежности цели к одному из четырех классов, устройство сравнения и блок анализа возрастания значений доплеровской частоты, а также второе пороговое устройство, вход которого подключен ко второму выходу первого порогового устройства, а первый и второй выходы второго порогового устройства и выход блока определения максимума условной плотности вероятности принадлежности цели к одному из четырех классов объединены между собой и с входом устройства сравнения, при этом первый выход запоминающего устройства соединен со вторым входом блока анализа возрастания значений доплеровской частоты, отличающееся тем, что в него введены последовательно соединенные блок вычисления дополнительных параметров распознавания: значений отношений параметров траектории в средней точке участка наблюдения - баллистической функции к скорости, ускорения к скорости и значение одного из параметров стреляющих систем - баллистического коэффициента, первый блок анализа параметров траектории по величинам значений ускорения к баллистической функции в средней точке участка наблюдения, второй блок анализа параметров траектории в средней точке участка наблюдения: величин значений ускорения, баллистической функции, отношений - баллистической функции к скорости и ускорения к скорости, блок обнуления условных показателей вероятности принадлежности цели к соответствующему классу, первый блок получения условных показателей вероятности принадлежности цели к соответствующему классу, второй блок получения условных показателей вероятности принадлежности цели к соответствующему классу, третий блок получения условных показателей вероятности принадлежности цели к соответствующему классу, четвертый блок получения условных показателей вероятности принадлежности цели к соответствующему классу, блок суммирования условных показателей вероятности принадлежности цели к соответствующему классу, блок сравнения сумм условных показателей вероятности принадлежности цели к соответствующему классу, при этом первый выход блок анализа возрастания значений доплеровской частоты соединен с входом блока вычисления дополнительных параметров распознавания, а второй выход устройства сравнения объединен со вторыми выходами блока анализа возрастания значений доплеровской частоты, первого и второго блоков анализа параметров траектории, а так же с первым и вторым выходами блока сравнения сумм условных показателей вероятности и является выходом устройства.

Описание

[1]

Изобретение относится к области радиолокационных технических средств распознавания класса стреляющих артиллерийских систем противника по результатам измерения текущих координат снаряда (мины, ракеты) на траектории.

[2]

Известно устройство распознавания стреляющих систем [1], в котором измеренные в результате автосопровождения снаряда (ракеты, мины) на траектории его текущие координаты на восходящей ветви траектории сглаживаются, в результате чего находятся оценки координат, горизонтальные составляющие скорости и ускорения в любой точке интервала сопровождения. После чего производится расчет горизонтальных составляющих скорости и ускорения для середины интервала наблюдения. Далее по полученным оценкам горизонтальных составляющих скорости и ускорения для середины интервала наблюдения определяется значение баллистической функции.

[3]

Определение характера участка траектории - активный или пассивный - осуществляется по знаку баллистической функции. Для активного участка по предварительно выбранному порогу баллистической функции производится отнесение цели к 5 или 6 классам: 5 класс - тактические ракеты (активный участок), 6 класс - активно-реактивные снаряды, активно-реактивные мины (АРС, АРМ). Для пассивного участка траектории величины горизонтальных скоростей и ускорений используются для определения условных плотностей вероятности принадлежности наблюдаемой баллистической цели к каждому из четырех классов:

[4]

1 класс - гаубицы;

[5]

2 класс - минометы;

[6]

3 класс - РСЗО;

[7]

4 класс - тактические ракеты (пассивный участок).

[8]

Отнесение объекта к тому или иному классу осуществляется по максимуму условной плотности вероятности принадлежности наблюдаемой баллистической цели к одному из четырех классов.

[9]

В случае если предварительное распознавание по величине баллистической функции и по максимуму условной плотности вероятности принадлежности цели к одному из четырех классов показало принадлежность цели к 2, 4, 5 или 6 классу, дополнительное распознавание не проводится. Если же предварительное распознавание показало принадлежность цели к первому (артиллерия) или третьему (РСЗО) классам, производится дополнительное уточнение принадлежности цели к первому или третьему классам по значению доплеровской частоты сигнала. При возрастании значения доплеровской частоты (возрастании значений скорости) цель принадлежит к третьему классу. В случае убывания значений доплеровской частоты - цель находится на пассивном участке траектории - производится дополнительный анализ скорости полета снаряда в средней точке участка наблюдения. Если скорость снаряда в середине участка наблюдения меньше порогового значения, цель принадлежит к 1 классу, в противном случае класс цели берется равным полученному после предварительного распознавания.

[10]

Данное устройство, приведенное на фиг.1, включает в себя следующие блоки:

[11]

1 - блок сглаживания полученных прямоугольных координат траектории полета снаряда;

[12]

2 - блок преобразования сглаженных координат;

[13]

3 - первое пороговое устройство;

[14]

4 - блок памяти условных плотностей вероятности принадлежности цели к каждому из четырех классов;

[15]

5 - блок определения максимума условной плотности вероятности принадлежности цели к одному из четырех классов;

[16]

6 - второе пороговое устройство;

[17]

7 - запоминающее устройство;

[18]

8 - устройство сравнения;

[19]

9 - блок анализа возрастания значений доплеровской частоты;

[20]

10 - третье пороговое устройство.

[21]

Устройство, принятое за прототип, работает следующим образом.

[22]

В процессе автосопровождения значения текущих прямоугольных координат траектории полета снаряда и доплеровской частоты сигнала поступают на вход блока 7, где значения доплеровской частоты сигнала запоминаются и с первого выхода передаются на второй вход блока анализа возрастания значений доплеровской частоты 9, а прямоугольные координаты траектории полета снаряда со второго выхода блока 7 передаются на вход блока 1. Далее в блоке 1 прямоугольные координаты траектории полета снаряда сглаживаются, в результате чего получаются сглаженные оценки прямоугольных координат, скоростей и ускорений снаряда в конце интервала наблюдения. В блоке преобразования сглаженных координат 2 осуществляется пересчет прямоугольных координат траектории полета снаряда, скоростей и ускорений снаряда в середину интервала наблюдения, расчет горизонтальных составляющих скоростей и ускорений в середине интервала наблюдения, а также расчет баллистической функции Е. После чего в первом пороговом устройстве 3 анализируется знак баллистической функции Е.

[23]

Если Е≥0 - управление передается на блок 4, где хранятся константы, значения которых равны условным плотностям вероятности принадлежности полученных значений горизонтальных составляющих скорости и ускорения к каждому из четырех классов (1, 2, 3 или 4). В блоке 5 определяется принадлежность цели к соответствующему классу по максимальной условной плотности вероятности принадлежности цели к одному из четырех классов, после чего управление передается на устройство сравнения 8.

[24]

Если Е<0 - управление передается на второе пороговое устройство 6, где в соответствии с предварительно выбранным порогом баллистической функции производится отнесение цели к 5 или 6 классу, после чего управление передается на устройство сравнения 8.

[25]

В устройстве сравнения 8 анализируется принадлежность цели к 1 или 3 классам. Если цель относится к 2, 4, 5 или 6 классам, распознавание класса цели считается выполненным. Если цель относится к 1 или 3 классу, управление передается на первый вход блока 9, где анализируется наличие возрастания значений доплеровской частоты, поступивших на второй вход блока 9 с первого выхода запоминающего устройства 7. Если значения доплеровской частоты возрастают, цель принадлежит к 3 классу и распознавание класса цели считается выполненным, в противном случае управление передается на третье пороговое устройство 10, где производится сравнение скорости снаряда в средней точке участка наблюдения Vcp с пороговым значением Vпорог.

[26]

Если Vcp<Vпорог - цель принадлежит к 1 классу и распознавание класса цели считается выполненным, в противном случае (Vcp>Vпорог) - распознавание цели считается выполненным, класс цели не изменяется и остается равным полученному на этапе предварительного распознавания.

[27]

Однако существенное влияние на достоверность распознавания класса стреляющей системы оказывают величины среднеквадратических ошибок определения горизонтальных составляющих скорости и ускорения. Прежде всего, это касается горизонтальной составляющей ускорения, среднеквадратическая ошибка определения которого может быть до 40% от ее истинной величины. Однозначное отнесение цели к 3 классу по значению доплеровской частоты возможно только при ее возрастании (т.е. при наблюдении активного участка траектории). Кроме того, современные артиллерийские снаряды имеют скорости полета, сопоставимые со скоростями реактивных снарядов на конце активного участка, что в совокупности с ошибками в определении горизонтальных скоростей и ускорений приводит к ошибкам в определении класса стреляющих систем (перепутывание классов).

[28]

Недостатками прототипа являются перечисленные выше факты, приводящие к снижению вероятности распознавания стреляющих систем, относящихся к 1 или 3 классам.

[29]

Целью настоящего изобретения и техническим результатом является повышение достоверности распознавания целей, относящихся к 1 или 3 классам.

[30]

Указанная цель достигается тем, что вместо анализа величины скорости Vcp анализируются дополнительно введенные новые признаки (параметры) распознавания:

[31]

- значения параметров траектории в средней точке участка наблюдения:

[32]

Wcp - значение ускорения в средней точке;

[33]

Е - значение баллистической функции в средней точке;

[34]

- значение одного из параметров стреляющих систем:

[35]

С - значение баллистического коэффициента;

[36]

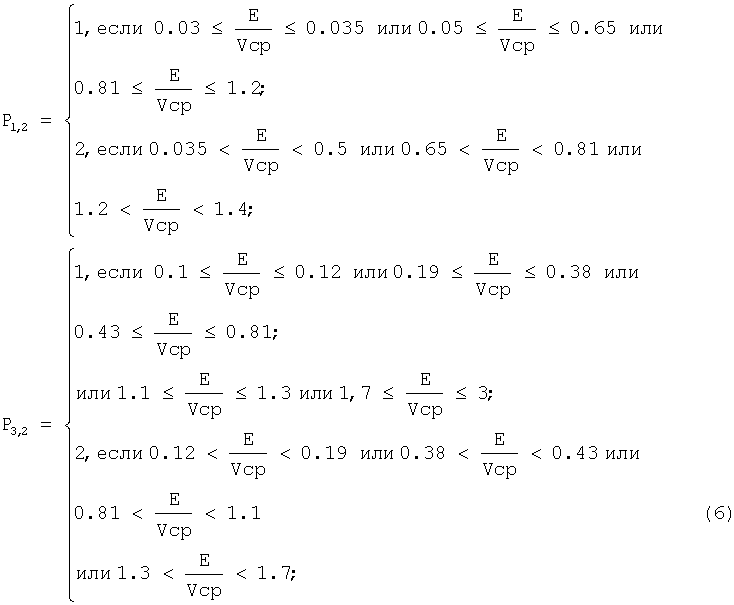
- значения отношений параметров траектории в средней точке участка наблюдения:

[37]

E/Vcp - значение отношения баллистической функции к скорости в средней точке;

[38]

Wcp/Vcp - значение отношения ускорения к скорости в средней точке.

[39]

По рассчитанным параметрам траектории в средней точке участка наблюдения вычисляются их отношения E/Vcp и Wcp/Vcp, а также значение баллистического коэффициента С:

[40]

[41]

где

[42]

Е - значение баллистической функции в средней точке;

[43]

Н(у) - значение функции плотности воздуха в зависимости от высоты траектории в средней точке - Нср:

[44]

[45]

G(Vcp) - функция сопротивления воздуха:

[46]

G(Vcp)=4.74·Vcp·Сх·10-4,

[47]

Сх - функция лобового сопротивления, вычисляемая по усредненным зависимостям:

[48]

[49]

Как показали расчеты, проведенные на модели и по имеющимся в распоряжении авторов записям реальных траекторных измерений полета снарядов, необходимо предварительно проанализировать значения Е и Wcp:

[50]

[51]

[52]

При выполнении неравенств (1) или (2) цель однозначно относится к 3 классу и процесс распознавания на этом прекращается. Если хотя бы одно из неравенств (1) или (2) не выполняются, необходимо продолжить идентификацию целей. Для этого вводится понятие условных показателей вероятности принадлежности цели к соответствующему i-ому классу (i=1,3) Pi,j по j параметрам, j=0,1,2,3. В качестве параметров, по которым осуществляется вычисление Pi,j, используются соответственно Е, Wcp/Vcp, E/Vcp и С. Непосредственно перед определением условных показателей вероятности принадлежности цели к соответствующему классу их значения обнуляются:

[53]

[54]

Значения Pi,j определяются следующими выражениями:

[55]

[56]

[57]

[58]

[59]

Полученные условные показатели вероятностей суммируются

[60]

[61]

Отнесение к 1-му или 3-му классу осуществляется по максимальному значению вероятностей Ps:

[62]

[63]

На фиг.2 изображена схема предлагаемого устройства, позволяющего производить распознавание класса разведанных целей.

[64]

Устройство включает в себя следующие блоки:

[65]

1 - блок сглаживания полученных прямоугольных координат траектории полета снаряда;

[66]

2 - блок преобразования сглаженных координат;

[67]

3 - первое пороговое устройство;

[68]

4 - блок памяти условных плотностей вероятности принадлежности цели к каждому из четырех классов;

[69]

5 - блок определения максимума условной плотности вероятности принадлежности цели к одному из четырех классов;

[70]

6 - второе пороговое устройство;

[71]

7 - запоминающее устройство (ЗУ);

[72]

8 - устройство сравнения;

[73]

9 - блок анализа возрастания значений доплеровской частоты;

[74]

10 - блок вычисления дополнительных параметров распознавания;

[75]

11 - первый блок анализа параметров траектории;

[76]

12 - второй блок анализа параметров траектории;

[77]

13 - блок обнуления условных показателей вероятности;

[78]

14 - первый блок получения условных показателей вероятности;

[79]

15 - второй блок получения условных показателей вероятности;

[80]

16 - третий блок получения условных показателей вероятности;

[81]

17 - четвертый блок получения условных показателей вероятности;

[82]

18 - блок суммирования условных показателей вероятности;

[83]

19 - блок сравнения сумм условных показателей вероятности.

[84]

Заявляемое устройство работает следующим образом.

[85]

В процессе автосопровождения значения текущих прямоугольных координат траектории полета снаряда и доплеровской частоты сигнала поступают на вход блока 7, где значения доплеровской частоты сигнала запоминаются и с первого выхода передаются на второй вход блока анализа возрастания значений доплеровской частоты 9, а прямоугольные координаты траектории полета снаряда со второго выхода блока 7 передаются на вход блока 1. Далее в блоке 1 прямоугольные координаты траектории полета снаряда сглаживаются, в результате чего получаются сглаженные оценки прямоугольных координат, скоростей и ускорений снаряда в конце интервала наблюдения. В блоке преобразования сглаженных координат 2 осуществляется пересчет прямоугольных координат траектории полета снаряда, скоростей и ускорений снаряда в середине интервала наблюдения, расчет горизонтальных составляющих скоростей и ускорений в середине интервала наблюдения, а также расчет баллистической функции Е. После чего в первом пороговом устройстве 3 анализируется знак баллистической функции Е.

[86]

Если Е≥0 - управление передается на блок 4, где хранятся константы, значения которых равны условным плотностям вероятности принадлежности полученных значений горизонтальных составляющих скорости и ускорения к каждому из четырех классов (1, 2, 3 или 4). В блоке 5 определяется принадлежность цели к соответствующему классу по максимальной условной плотности вероятности принадлежности цели к одному из четырех классов, после чего управление передается на устройство сравнения 8.

[87]

Если Е<0 - управление передается на второе пороговое устройство 6, где в соответствии с предварительно выбранным порогом баллистической функции производится отнесение цели к 5 или 6 классу, после чего управление передается на устройство сравнения 8.

[88]

В устройстве сравнения 8 анализируется принадлежность цели к 1 или 3 классам. Если цель относится к 2, 4, 5 или 6 классам, распознавание класса цели считается выполненным. Если цель относится к 1 или 3 классу, управление передается на первый вход блока 9, где анализируется наличие возрастания значений доплеровской частоты, поступивших на второй вход блока 9 с первого выхода запоминающего устройства 7. Если значения доплеровской частоты возрастают, цель принадлежит к 3 классу и распознавание класса цели считается выполненным, в противном случае управление передается на блок 10 вычисления дополнительных параметров распознавания (Wcp/Vcp, E/Vcp и С), и далее на первый блок анализа параметров траектории 11, где производится анализ по неравенствам (1).

[89]

Если оба неравенства (1) выполняются - цель принадлежит к 3 классу и распознавание класса цели считается выполненным.

[90]

Если хотя бы одно из неравенств (1) не выполняются, управление с выхода 1 первого блока анализа параметров траектории 11 передается на второй блок анализа параметров траектории 12, где производится анализ по неравенствам (2).

[91]

Если все неравенства (2) выполняются - цель принадлежит к 3 классу и распознавание класса цели считается выполненным.

[92]

Если хотя бы одно из неравенств (2) не выполняются, управление с выхода 1 второго блока анализа параметров траектории 12 передается последовательно:

[93]

- на блок 13, где производится обнуление условных показателей вероятности принадлежности цели к 1 и 3 классам согласно (3);

[94]

- на первый блок получения условных показателей вероятности принадлежности цели к соответствующему классу 14, где производится определение величин P1,0, P3,0 согласно (4) в результате анализа значения величины Е;

[95]

- на второй блок получения условных показателей вероятности принадлежности цели к соответствующему классу 15, где производится определение величин P1, 1, P3,1 согласно (5) в результате анализа значения величины Wcp/Vcp;

[96]

- на третий блок получения условных показателей вероятности принадлежности цели к соответствующему классу 16, где происходит определение величин P1,2, Р3,2 согласно (6) в результате анализа значения величины E/Vcp;

[97]

- на четвертый блок получения условных показателей вероятности принадлежности цели к соответствующему классу 17, где происходит определение величин P1,3, Р3,3 согласно (7) в результате анализа значения величины С;

[98]

- на блок суммирования условных показателей вероятности принадлежности цели к соответствующему классу 18, где производится расчет величин Ps1, Ps2 соответственно для 1 и 3 классов согласно (8);

[99]

- на блок сравнения сумм условных показателей вероятности 19, где производится отнесение цели к соответствующему классу согласно (9).

[100]

Использование заявляемого устройства, как показали расчеты, проведенные на модели, и по имеющимся в распоряжении авторов записям реальных траекторных измерений полета снарядов, повышает эффективность распознавания класса стреляющих систем противника по сравнению с устройством аналогичного назначения (прототип) на 20%.

[101]

Источники информации

[102]

1. Патент РФ №2231084, G 01 S 13/06, 13/56, опубликован 20.06.2004, бюл. №17.

Как компенсировать расходы
на инновационную разработку
Похожие патенты