Изобретение относится к области косметологии и представляет собой косметический крем для ухода за кожей, содержащий ультрафиолетовые фильтры, выбранные из этилгексилметоцинамата, и/или диэтиламиногидроксибензоилгексил бензоата, и/или бисэтилгексилоксифенолметофенил триазина, загустители, выбранные из цетеарилового спирта и/или глицерилстеарата, эмоленты, выбранные из октилдодеканола и/или дикаприлилового эфира, эмульгаторы, выбранные из глицерилстеарат цитрата и/или стеароиллактилата натрия, увлажняющие агенты, выбранные из глицерина и/или сорбитола, и/или гидрогенизированного гидролизата крахмала, структурообразователи, выбранные из полиакрилата натрия и/или карбомера натрия, и/или ксантановой камеди, пантенол, природные биологически активные добавки растительного происхождения направленного действия, выбранные из водного экстракта донника, водного экстракта радиолы розовой, и/или водного экстракта лимонника китайского, и/или водного экстракта шлемника байкальского, эфирного масла пихты, эфирного масла кедра, и/или эфирного масла чабреца, и/или эфирного масла змееголовника, трансдермальный переносчик, представляющий собой низкомолекулярную гиалуроновую кислоту с молекулярной массой менее 40 кДа или гиалуронат натрия, глицирризиновую кислоту, парфюмерную композицию, консервант, натуральный краситель, модификатор реологии и воду, причем компоненты в креме находятся в определенном соотношении, в мас. %. Изобретение обеспечивает противовоспалительное, успокаивающее, ранозаживляющее, антисептическое, питательное, регенерирующее, увлажняющее, смягчающее действие на кожу реципиента, обеспечивает защиту кожи от действия солнечных лучей и мороза, предотвращает появление прыщей и эффекта черных точек на коже, обладает способностью проникать в самые глубокие слои дермы, является гипоаллергенным, имеет улучшенные потребительские свойства, в частности, крем имеет уникальную тянущуюся структуру, обладает свойством длительного хранения без использования антибиотиков и иных токсичных и опасных для здоровья консервантов, эффективен при укусах насекомых, а также способствует снятию ощущения усталости ног. 4 з.п. ф-лы.
1. Косметический крем для ухода за кожей, содержащий ультрафиолетовые фильтры, выбранные из этилгексилметоцинамата, и/или диэтиламиногидроксибензоилгексил бензоата, и/или бисэтилгексилоксифенолметофенил триазина, загустители, выбранные из цетеарилового спирта и/или глицерилстеарата, эмоленты, выбранные из октилдодеканола и/или дикаприлилового эфира, эмульгаторы, выбранные из глицерилстеарат цитрата и/или стеароиллактилата натрия, увлажняющие агенты, выбранные из глицерина, и/или сорбитола, и/или гидрогенизированного гидролизата крахмала, структурообразователи, выбранные из полиакрилата натрия, и/или карбомера натрия, и/или ксантановой камеди, пантенол, природные биологически активные добавки растительного происхождения направленного действия, выбранные из водного экстракта донника, водного экстракта радиолы розовой, и/или водного экстракта лимонника китайского, и/или водного экстракта шлемника байкальского, эфирного масла пихты, эфирного масла кедра, и/или эфирного масла чабреца, и/или эфирного масла змееголовника, трансдермальный переносчик, представляющий собой низкомолекулярную гиалуроновую кислоту с молекулярной массой менее 40 кДа или гиалуронат натрия, глицирризиновую кислоту, парфюмерную композицию, консервант, натуральный краситель, модификатор реологии и воду, при следующем соотношении компонентов в креме, мас. %: 2. Крем по п. 1, характеризующийся тем, что дополнительно содержит облепиховое масло. 3. Крем по п. 1, характеризующийся тем, что в качестве консерванта используются бензиловый спирт, этилгексилглицерин, бензоат натрия и сорбат калия. 4. Крем по п. 1, характеризующийся тем, что в качестве натурального красителя используется колер карамельный. 5. Крем по п. 1, характеризующийся тем, что в качестве модификатора реологии используется ПЭГ-90М.Ультрафиолетовые фильтры 10-15 Загустители 6-10 Эмоленты 8-12 Эмульгаторы 3-6 Увлажняющие агенты 5-15 Структурообразователи 0,5-2,5 Модификатор реологии 0,1-0,5 Природные биологически активные добавки растительного происхождения направленного действия 0,1-1 Гиалуроновая кислота с молекулярной массой менее 40 кДа и/или гиалуронат натрия 0,1-0,5 Глицирризиновая кислота 0,5-1,5 Парфюмерная композиция 0,1-0,5 Консервант 0,5-1,5 Натуральный краситель 0,1-1 Вода остальное
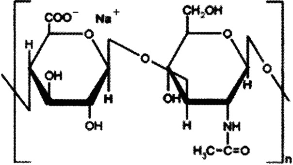
Изобретение относится к косметологии: к косметическим средствам, предназначенным для ухода за кожей лица и тела. Из уровня техники известен крем для ухода за кожей лица и рук по патенту РФ №2337665, состоящий из глицерина дистиллированного, триэтаноламина, этилового спирта ректификованного, отдушки, воды, в состав которого дополнительно вводят низкоплавкую фракцию куриного жира, масло подсолнечное, ланолин безводный, спирты синтетические, стеарин косметический, 0,2%-ный масляный раствор β-каротина, водно-спиртовой экстракт коры ивы, водно-спиртовой экстракт лапчатки, отдушку, воду дистиллированную, а в качестве консерванта - УВ-пропеллент. Недостатком данного крема является то, что в его состав входит этиловый спирт, который обладает высокой летучестью, а значит и способностью чрезвычайно иссушать и раздражать кожу. Такие спирты действуют на кожу крайне агрессивно, расширяют кровеносные сосуды, повышают чувствительность кожи, нарушают способность абсорбировать и метаболизировать витамин А. Такие свойства этанола могут приводить к морщинам и запускать процессы преждевременного старения кожи. Кроме того, проводились исследования, доказывающие, что этанол может быть токсичным для клеток человека, приводя их к апоптозу - одной из форм гибели клеток. Известен также крем для кожи лица и тела по патенту РФ №2259814. Крем для кожи содержит масло растительного происхождения, воду, ПАВ, глицерин, витамин Е, эмульгирующий состав на основе природных фосфолипидов, антиоксидант-бутилгидрокситолуол, биологически активные вещества растительного происхождения, консервант, отдушку, при этом дополнительно содержит загуститель - натуральный полисахарид, кремний органическое соединение, комплексообразователь ЭДТА, а в качестве консерванта используют смесь парабенов, компоненты берут в определенном количественном содержании, указанном в формуле изобретения. Недостатком данного средства является использование смеси парабенов, которые могут оказывать пагубное воздействие на человеческий организм, выражающееся, например, в возникновении сыпи (крапивницы) и легких аллергических реакций. Однако, с увеличением дозы проникновения указанного химического вещества в организм человека его токсическое воздействие может стать причиной более серьезных осложнений и нанести вред здоровью, например, вызвать тяжелые приступы астмы и удушья. Кроме того в качестве антиоксиданта в данном средстве используют бутилгидрокситолуол, который является синтетическим аналогом витамина Е. Данное соединение обладает канцерогенными и токсичными свойствами, что также может нанести вред здоровью реципиента. Наиболее близким по назначению и оказываемому на кожу действию аналогом заявленного изобретения является крем для ухода за кожей лица и тела по патенту РФ №2115409, содержащий стеарин, моностеарат глицерина, эмульсионные воски, масло кокосовое рафинированное дезодорированное, масло оливковое рафинированное дезодорированное или масло подсолнечное рафинированное дезодорированное, масло парфюмерное, карбомер, парафины, бутилстеарат, глицерин, триэтаноламин, карбамид, раствор ретинола пальмитата в масле 55%-ный (витамин А), раствор токоферола ацетата в масле 30%-ный (витамин Е), спирт бензиновый, параформ, эфир пропиловый параоксибензойной кислоты, отдушку кокосовую и воду в указанном в патенте соотношении компонентов. Существенным недостатком данного средства является то, что в его составе в качестве консервантов используются параформ и эфир пропилового параоксибензойной кислоты. Входящий в состав данного средства параформ - производное формалина - является тяжелым и токсичным консервантом, регулярное применение косметических средств с его содержанием может привести к аллергическим реакциям на коже, дерматитам и т.д. (Amer. J. Ind. Med. - 1993. - v. 24, N 5, p.p. 533-552). Кроме того параформ денатурирует белки и ферменты кожи и нарушает в некоторой степени нормальное функционирование клеточной системы кожи. Так же в креме используется парфюмерное масло, которое помимо защитной функции, может привести к закупориванию пор и появлению эффекта «черных точек». Задачей, на решение которой направлено заявленное изобретение является расширение ассортимента косметических средств наружного применения по интенсивному уходу и увлажнению кожи лица и тела, создание универсального с широким спектром действия, гипоаллергенного, нетоксичного средства на основе натуральных природных биологически активных компонентов растительного происхождения направленного действия с одновременным улучшение потребительских свойств. Технический результат заявленного изобретения заключается в том, что крем оказывает противовоспалительное, успокаивающее, ранозаживляющее, антисептическое, питательное, регенерирующее, увлажняющее, смягчающее действие на кожу реципиента, защиту кожу от действия солнечных лучей и мороза, предотвращает появление прыщей и эффекта «черных точек» на коже за счет применения комплекса природных биологически активных веществ растительного происхождения, подобранных с учетом их синергетического действия, и исключения применения в составе токсичных и агрессивного действия компонентов; обладает способностью проникать в самые глубокие слои дермы за счет входящего в состав трансдермального переносчика - производного гиалуроновой кислоты; обладает гипоаллергенным свойством, при одновременно улучшении потребительских свойств, в частности, крем имеет уникальную тянущуюся структуру «ириска» характерного цвета; невысокую стоимость производства и, как следствие, реализации; доступность компонентов широко распространенного растительного сырья, имеющего надежную и обеспеченную сырьевую базу; длительность сроков хранения без использования антибиотиков и иных токсичных и опасных для здоровья консервантов. Заявленный крем помогает при укусах насекомых, а так же способствует снятию ощущения усталости ног. Сущность заявленного крема заключается в том, что он содержит ультрафиолетовые фильтры, загуститель, эмоленты, эмульгаторы, увлажняющий агент, структурообразователь, модификатор реологии, пантенол, природные биологически активные добавки растительного происхождения направленного действия, трансдермальный переносчик в виде гиалуроновой кислоты и/или ее производного, глицирризиновую кислоту, парфюмерную композицию, консервант, натуральный краситель, модификатор реологии и воду, при следующем соотношении компонентов в креме, мас. %: Входящий в состав заявленного крема трансдермальный энхансер (переносчик) - производное низкомолекулярной гиалуроновой кислоты с молекулярной массой менее 40 кДа (молекулярная формула представлена ниже), в совокупности с остальными компонентами крема, способствует заживлению и увлажнению кожи реципиента, обладает способностью проходить сквозь барьеры, образованные мембранами клеток, вследствие чего может проникать с поверхности кожи в глубокие слои дермы; стимулирует рост лимфатических и кровеносных сосудов; улучшает микроциркуляцию в сосудах и питание кожи. Для эффективного достижения заявленного технического результата производное гиалуроновой кислоты работает как трансдермальный переносчик содержащихся в композиции природных биологически активных веществ растительного происхождения, подобранных с учетом их синергетического действия, в самые глубокие слои дермы реципиента. Предлагаемый крем для ухода за кожей рекомендуется использовать при ожогах, синяках, порезах и ссадинах, при укусах насекомых. Применение крема способствует предотвращению появления прыщей и эффекта «черных точек», морщин и отеков, мозолей и натоптышей. Крем также способствует снятию ощущение усталости ног. Пантенол, входящий в состав заявленного крема, в совокупности с остальными компонентами, обеспечивает заживляющие и увлажняющие свойства. Пантенол считается отличным ингредиентом для косметических средств для защиты кожи от неблагоприятного воздействия окружающей среды. Широко известно, что пантенол является мультиактивным ингредиентом с точки зрения применения в косметических средствах, благодаря его таким физико-химическим свойствам, как пенетрации относительно глубоко в кожу, связывания с водой и/или влагоудерживанием, преобразования в пантотеновую кислоту в коже и в волосах после наружного применения, благодаря действию про - витамина В5. Таким образом пантенол в составе заявленного крема обеспечивает, например, повышение митотической активности (восстановление клеток), ускорение эпителизации и грануляции после ожогов, изъязвлений в т.ч. после экземы, радиотерапии и пластической хирургии, уменьшение симптомов воспаления, облегчение и снятие зуда, защиту от раздражения, в т.ч. после использовании подгузников. Заявленный крем, содержащий глицирризиновую кислоту гидролизованный глицирризин (молекулярная формула представлена ниже) обладает выраженным противовоспалительным, регенерирующим и противомикробным действием, противозудным и иммуностимулирующим эффектом, снимает раздражение и успокаивает кожу, укрепляет стенки сосудов и стимулирует синтез коллагена. В отличие от гидрокортизоном, глицирризин обладает более мягким и длительным действием и не имеет побочных эффектов и химически стабилен, поэтому может быть безопасно использован продолжительное время. Солнцезащитные свойства крема обеспечиваются комплексом УФ-фильтров, как химического происхождения, так и инкапсулированных органических. Помимо достижения остальных заявленных свойств, крем обеспечивает защиту кожи реципиента от мороза за счет эмолентов в совокупности с другими компонентами, входящими в его состав. Также заявленный крем обладает репеллентными свойствами и помогает снять раздражения кожи реципиента, вызванные укусами насекомых, за счет входящих в его состав эфирных масел. Повышение потребительских свойств крема в виде уникальной тянущейся консистенции «ириска» обеспечивается за счет эмульгаторов, структурообразователя, модификатора реологии и соответствующего красителя натурального происхождения. Возможность осуществления заявленного изобретения и достижение заявленных технических результатов были подтверждены на практике примером конкретного выполнения. Косметический крем состоял из УФ-фильтров 10-15%, загустителей 6-10%, эмолентов - 8-12%, эмульгаторов 3-6%, увлажняющего агента 5-15%, структурообразователя 0,5-2,5%, пантенола 3-5%, растительных водных?? (водно-глицериновых???) экстрактов 0,1-10, эфирных масел 0,05-2%, глицирризиновую кислоту 0,5-1,5%, парфюмерную композицию 0,1-0,5%, консервант 0,5-1,5%, производное гиалуроновой кислоты - содиум гиалуронат - 0,1-0,5%, облепиховое масло - 1-10%, колер карамельный - 0,1-1%. В представленном выше примере крема в качестве УФ-фильтров были использованы, например, этилгексил метоцинамат, диэтиламино гидроксибензоил гексил бензоат, бис-этилгексилоксифенол метофенил триазин. В качестве загустителя были использованы, например, цетеариловый спирт и глицерил стеарат. В качестве эмолентов были использованы, например, октилдодеканол и дикаприлиловый эфир. В качестве эмульгаторов были использованы, например, глицерил стеарат цитрат и стеароил лактилат натрия. В качестве увлажняющего агента были использованы, например, глицерин, сорбитол, гидрогенизированый гидролизат крахмала. В качестве структурообразователя были использованы, например, полиакрилат натрия, карбомер натрия, ксантановая камедь, а в качестве модификатора реологии - ПЭГ-90М. В целях повышения эффективности достижения заявленных технических результатов в качестве биологически активных компонентов растительного происхождения с учетом их синергетического действия были использованы, например, водные экстракты донника, родиолы розовой, лимонника, шлемника байкальского. Входящий в состав крема водный экстракт родиолы розовой в совокупности с остальными компонентами обеспечивает усиление заявленных технических результатов, в т.ч. улучшение обмена веществ в коже, благоприятное воздействие на стареющую кожу, повышают ее тонус и упругость, лифтинг-эффект, способствует уменьшению морщин, а также оказывает раноочищающее действие, препятствует развитию инфекции, способствует заживлению повреждений и раздражений кожи реципиента. Входящий в состав крема водный экстракт донника белого однолетнего в совокупности с остальными компонентами обеспечивает усиление заявленных технических результатов, в т.ч. улучшает микроциркуляцию в коже, усиливая приток крови, обладает ранозаживляющим и антисептическим действием, обладает свойствами венотоника, противовоспалительного агента, источником витамина Р, антиоксидантом за счет содержания флавоноидов, мелилотина, кумаринов. Мелитотин и кумарины, содержащиеся в водном экстракте доннике, усиливают резистентность капилляров, улучшают сопротивление и тонус, уменьшают проницаемость сосудистых стенок, предотвращая фильтрацию белков с низкой молекулярной массой, воды и электролитов в межклеточное пространство. Сапонины, присутствующие в экстракте донника, уменьшают и устраняют признаки воспаления на коже. Водный экстракт лимонника китайского Schisandra Chinensis, в силу высокого содержания лигнанов - фенольных соединений растительного происхождения, обладает свойством ускорять обмен веществ, улучшать кислородный обмен, нормализовывать функционирование нервной системы и гормонального фона. Эфирные масла лимонника, присутствующие во всех частях растения, обладают бактерицидным, антисептическим, смягчающим, противовоспалительным, иммуностимулирующим, ранозаживляющим и обезболивающим свойствами. Входящий в состав крема водный экстракт лимонника китайского в совокупности с остальными компонентами обеспечивает усиление заявленных технических результатов, в т.ч., за счет содержащегося в нем витамина С способствует нормализации окислительно-восстановительных процессов клеточного дыхания, повышает степень проницаемости капилляров, за счет входящих в состав экстракта лимонника органических кислот оказывает противовоспалительное, вяжущее, антисептическое, противогрибковое, антиоксидантное, успокаивающее и иммуностимулирующее действие; его минеральные соли участвуют в регулировании кислотно-щелочного баланса, в функции эндокринных и ферментных систем, нормализация водного обмена; дубильные вещества способствуют процессам изменения строения белка, в следствие чего формируется защитная пленка, оказывающая на микроорганизмы бактерицидное воздействие; флавоноиды обладают антиоксидантными, седативными и противовоспалительными свойствами; а смолы обладают бактерицидным действием. Водный экстракт шлемника байкальского (Scutellariae Baicalensis), обладает активным началом в виде комплекса таких флавоноидов, как байкалин, байкалеин, лютеолин, скутеллареин, вогонин, апигенин, хразин, сальвигентин; изофлавоны-"фитоэстрогены" (даиздеин, даидзин), богат дубильными веществами, оксибензойными, оксикоричными (ванилиновая, кофейная, феруловая), койевая и глюкуроновой кислотами, пирокатехинами. Входящий в состав крема водный экстракт шлемника байкальского в совокупности с остальными компонентами обеспечивает усиление заявленных технических результатов, в т.ч, улучшает микроциркуляцию в коже, имеет противокуперозное, регенерирующее, стимулирующее образование коллагена и эластина, противовоспалительное, антиоксидантное, улучшающее обменные процессы в дерме, ускоряющее клеточное обновление, противоаллергическое действие, эффективно снимает воспаления, повышает эффективность при лечении проблемной кожи, уходе за комбинированной кожей, обладает ярко выраженным очищающим действием, матирует жирную кожу, восстанавливает упругость кожи, защищает кожу от воздействия неблагоприятных внешних факторов, способствует регенерации повреждений кожи и ускоренному образованию новых клеток, замедляет процесс старения кожи, противодействуя свободным радикалам. В целях повышения эффективности достижения заявленных технических результатов в качестве биологически активных компонентов растительного происхождения с учетом их синергетического действия были использованы, например, эфирные масла пихты, кедра, чабреца, змееголовника. Входящее в состав крема эфирное масло пихты в совокупности с остальными компонентами обеспечивает усиление заявленных технических результатов, в т.ч. оказывает общеукрепляющее, антимикробное, антивирусное, тонизирующее действие на кожу реципиента, помогает снять отек и зуд от укуса насекомых, т.е. обладает выраженным репеллентным свойством. Применение эфирного масла пихты эффективно при нагноениях, диатезе, псориазе, опрелостях, фурункулах, герпесе, болях в суставах рук и ног, переломах, ушибах, полиартрите, остеохондрозе, радикулите, варикозном расширении вен. Входящее в состав крема эфирное масло кедра в совокупности с остальными компонентами обеспечивает усиление заявленных технических результатов, в т.ч. оказывает эффективное противовоспалительное воздействие, устраняет тремор и нервную дрожь, способствует быстрому и эффективному заживлению ран и восстановлению кожи после повреждений, улучшает кровообращение и повышает работоспособность. Входящее в состав крема эфирное масло чабреца в совокупности с остальными компонентами обеспечивает усиление заявленных технических результатов, в т.ч. противозудное, антигипергидрозное действие, обеспечивая снятие гиперемии и отечности за счет улучшения кровоснабжения, обладает выраженным дезодорирующим эффектом. Входящее в состав крема эфирное масло змееголовника в совокупности с остальными компонентами обеспечивает усиление заявленных технических результатов, в т.ч. антисептическим, противогрибковым и ранозаживляющим, противовоспалительным, вяжущим, ветрогонным и спазмолитическим действием, за счет содержания большого количества дубильных веществ, флавоноидов, и витаминов; эффективен для лечения поврежденной кожи, при дерматитах, кожных заболеваниях, экземах, различной сыпи и т.д. Входящее в состав крема облепиховое масло в совокупности с остальными компонентами обеспечивает усиление заявленных технических результатов, в т.ч. обладает выраженным противовоспалительным, иммуномоделирующим, ранозаживляющим, обезболивающим и антибактериальным действием. В качестве консерванта в креме были использованы, например, бензиновый спирт, этилгексилглицерин, бензоат натрия, сорбат калия. Кроме того, для усиления синергического эффекта основных активных компонентов в рецептуру крема могут быть дополнительно введены такие биологически активные и душистые вещества, как например, масляные, водно- и водно-глицериновые экстракты полыни каменной, конского каштана, мяты, прополиса толокнянки, лука медвежьего, золотой розги, саянской лиственницы, корня бадана черного и пантов оленя, маточного молочка, череды, красного корня, луносемянника даурского. Полный или неполный комплект, от одного и более, водно-спирто-глицериновых экстрактов в сумме 0,1-2,0: Специально подобранная смесь эмульгаторов и модификаторов реологии придает крему уникальную тянущуюся текстуру «ириска» с характерным цветом, что, безусловно повышает потребительские свойства и делает продукт более привлекательным для потребителя на рынке аналогичных товаров. Возможность получения крема с заявленными свойствами была подтверждена на производстве. Способ получения заявленного крема заключается в том, что предварительно осуществляют нагрев отдельно водной фазы А и жировой фазы Б во вспомогательных котлах реактора до температуры 80-85°С, после чего производят одновременное перекачивание водной фазы А и жировой фазы Б в основной предварительно нагретый котел реактора и последующую непрерывную гомогенизацию получаемой массы на небольших оборотах в течение всего процесса производства крема. Затем в полученную массу вводят структурообразователь и охлаждают массу до температуры 35-40°С, после чего в нее вводят активную фазу В в виде природных биологически активных добавок, в т.ч. водных и водно-глицериновых экстрактов, эфирных масел, натурального красителя, консерванта и парфюмерной композиции. В завершение в отношении полученной массы (крема) осуществляют проверку на его соответствие заданным показателям (свойствам), и если результаты такой проверки оказались положительными, то в полученную гомогенизируемую массу вводят модификатор реологии, например ПЭГ-90М, предварительно диспергированный в глицерине с водой.Ультрафиолетовые фильтры - 10-15 Загуститель - 6-10 Эмоленты - 8-12 Эмульгаторы - 3-6 Увлажняющий агент - 5-15 Структурообразователь - 0,5-2,5 Модификатор реологии - 0,1-0,5 Природные биологически активные добавки растительного происхождения направленного действия - 0,1-1 Гиалуроновая кислота и/или ее производное - 0,1-0,5 Глицирризиновая кислота - 0,5-1,5 Парфюмерная композиция - 0,1-0,5 консервант - 0,5-1,5 Натуральный краситель - 0,1-1 Вода - остальное. 

