патент
№ RU 2498258
МПК G01M7/02
Номер заявки
2011121210/28
Дата подачи заявки
25.05.2011
Опубликовано
10.11.2013
Страна
RU
Как управлять
интеллектуальной собственностью
Реферат

Изобретение относится к испытательной технике и может быть использовано для выделения и фильтрации исследуемых сигналов из воспроизводимого стационарного случайного процесса и измерения в реальном времени параметров сигнала. Система обработки сигналов, содержащая перестраиваемый по частоте фильтр, характеризующаяся тем, что в систему введены виброиспытательный комплекс, анализатор, прибор визуального контроля, формирователь нестационарного процесса, источник управляющего сигнала и блок стробирования, при этом фильтр своим первым входом подключен к выходу виброиспытательного комплекса, а выходом соединен с входом прибора визуального контроля, первый и второй выходы которого подключены соответственно к первому и второму входам анализатора, третьим входом соединенного с первым выходом формирователя нестационарного процесса, одновременно подключенного также ко входу виброиспытательного комплекса, причем анализатор своим четвертым входом соединен с первым входом системы, а выходом подключен к ее выходу, причем второй выход формирователя нестационарного процесса соединен с первым входом блока стробирования, выходом подключенного к второму входу фильтра, а вторым входом соединенного с выходом источника управляющего сигнала, входом подключенного к второму входу системы. Технический результат заключается в повышении точности обработки. 3 з.п. ф-лы, 16 ил.

Формула изобретения

1. Система обработки сигналов, содержащая перестраиваемый по частоте фильтр, отличающийся тем, что в систему введены виброиспытательный комплекс, анализатор, прибор визуального контроля, формирователь нестационарного процесса, источник управляющего сигнала и блок стробирования, при этом фильтр своим первым входом подключен к выходу виброиспытательного комплекса, а выходом соединен с входом прибора визуального контроля, первый и второй выходы которого подключены соответственно к первому и второму входам анализатора, третьим входом соединенного с первым выходом формирователя нестационарного процесса, одновременно подключенного также ко входу виброиспытательного комплекса, причем анализатор своим четвертым входом соединен с первым входом системы, а выходом подключен к ее выходу, причем второй выход формирователя нестационарного процесса соединен с первым входом блока стробирования, выходом подключенного к второму входу фильтра, а вторым входом соединенного с выходом источника управляющего сигнала, входом подключенного к второму входу системы.

2. Система по п.1, отличающаяся тем, что виброиспытательный комплекс содержит последовательно соединенные усилитель мощности, вибростенд и виброизмеритель, при этом вход усилителя мощности соединен с входом виброиспытательного комплекса, а выход виброизмерителя подключен к выходу виброиспытательного комплекса.

3. Система по п.1, отличающаяся тем, что анализатор содержит приемный блок и триггерный программный модуль, при этом первый, второй и третий входы приемного блока соединены соответственно с первым, вторым и третьим входами анализатора, а выход приемного блока подключен к первому выходу анализатора, причем вход триггерного модуля соединен с четвертым входом анализатора.

4. Система по п.1, отличающаяся тем, что формирователь нестационарного процесса содержит схему синхронизации и источник опорного сигнала, при этом выход схемы синхронизации соединен с входом источника опорного сигнала и с первым выходом формирователя, а выход источника опорного сигнала подключен к выходу формирователя.

Описание

[1]

Предлагаемое изобретение относится к испытательной технике и может быть использовано при аппаратурной обработке нестационарных процессов (в том числе вибрационных) при лабораторных исследованиях надежности изделий современной техники.

[2]

Аналогом предлагаемого изобретения является схема линейной обработки сигналов (см., например, Л. Френке «Теория сигналов», изд. «Советское радио», М., 1974, стр.278).

[3]

Указанная схема содержит средство перемножения входного и опорного сигналов, интегратор, устройство сравнения и источник опорного сигнала.

[4]

Цель использования данной схемы состоит в том, чтобы дать ответ, имеется ли полезный сигнал в колебании, поступившем на вход, или оно представлено одним шумом. Однако для оценки параметров сигнала и воспроизведения его формы необходимо применение неуказанных в аналоге дополнительных аппаратурных устройств.

[5]

Аналогом-прототипом предлагаемого изобретения является оптимальный приемник на согласованном фильтре (см. В.А. Игнатов «Теория информации и передачи сигналов», изд. «Советское радио», М., 1974, стр.161-163).

[6]

Данное устройство содержит фильтр, согласованный с исследуемым полезным сигналом, схему синхронизации и решающее устройство. Входом устройства является вход фильтра, к которому подключен также вход схемы синхронизации. Выход фильтра подключен к первому входу решающего устройства, второй выход которого соединен с первым выходом схемы синхронизации, второй выход которой подключен ко второму входу фильтра.

[7]

Решающая схема имеет два выхода, один из которых предназначен для подтверждения присутствия входного сигнала в составе исследуемого процесса, а второй для указания на отсутствие сигнала. Средств измерения параметров сигнала и воспроизведения его формы прототип также не содержит. Кроме того, согласованные фильтры чаще всего применяются лишь для некоторых сигналов, смешанных с шумом. Однако для сигналов произвольной формы техническая реализация согласованных фильтров представляет существенные трудности.

[8]

Задачей предлагаемого изобретения является разработка устройства, обеспечивающего выделение полезных сигналов (например, нестационарных вибраций) из поступающей на вход аддитивной смеси сигнала с вибрационным случайным процессом или с шумовыми помехами и измерения в реальном времени параметров сигнала. Кроме того, задача состоит также в предварительной проверке наличия во входном колебании полезного сигнала.

[9]

Сущность предлагаемого изобретения состоит в том, что в систему обработки сигналов, содержащую перестраиваемый по частоте фильтр, введены виброиспытательный комплекс, прибор визуального контроля, формирователь нестационарного процесса, анализатор, источник управляющего сигнала и блок стробирования.

[10]

При этом вход фильтра соединен с выходом виброиспытательного комплекса, а выход фильтра подключен к входу прибора визуального контроля. Первый и второй выходы прибора визуального контроля соединены соответственно с первым и вторым входами анализатора. Третий вход анализатора подключен к первому выходу формирователя нестационарного процесса, соединенному также с входом виброиспытательного комплекса. Четвертый вход анализатора подключен к первому входу системы.

[11]

Кроме того, второй выход формирователя нестационарного процесса соединен с первым входом блока стробирования, выход которого подключен ко второму входу фильтра. При этом выход источника управляющего сигнала соединен со вторым входом блока стробирования, а его вход подключен ко второму входу системы.

[12]

При этом виброиспытательный комплекс содержит соединенные последовательно усилитель мощности, вибростенд и виброизмеритель. Вход усилителя мощности соединен с входом виброиспытательного комплекса, а выход виброизмерителя подключен к выходу виброиспытательного комплекса.

[13]

Анализатор содержит приемный блок и триггерный программный модуль. Группа входов приемного блока соединена с первым, вторым и третьим входами анализатора, а выход приемного блока подключен к выходу анализатора. Вход триггерного модуля соединен с четвертым входом анализатора, причем приемный блок и триггерный модуль программно взаимосвязаны.

[14]

Формирователь нестационарного процесса содержит схему синхронизации и источник опорного сигнала. Выход схемы синхронизации соединен с входом источника опорного сигнала и с первым выходом формирователя, а выход источника опорного сигнала подключен к выходу формирователя.

[15]

Применение предлагаемого изобретения обеспечивает повышение точности обработки сигналов (в частности вибрационных процессов) в особенности в тех случаях, когда нестационарный процесс и широкополосный стационарный шум взаимно статистически независимы.

[16]

При этом операции выделения и фильтрации сигналов совмещены, а измерения параметров как полезного сигнала, так и сопровождающего случайного процесса производятся в реальном времени.

[17]

На фиг.1 представлена блок-схема заявленной системы. На фиг 2, 3 и 4 показаны блок-схемы виброиспытательного комплекса, анализатора и формирователя нестационарного процесса. На фиг.5-16 приведены диаграммы сигналов, поясняющие принцип действия системы.

[18]

Система содержит виброиспытательный комплекс 1, перестраиваемый по частоте фильтр 2, прибор 3 визуального контроля, анализатор 4, формирователь 5 нестационарного процесса, источник 6 управляющего сигнала и блок 7 стробирования.

[19]

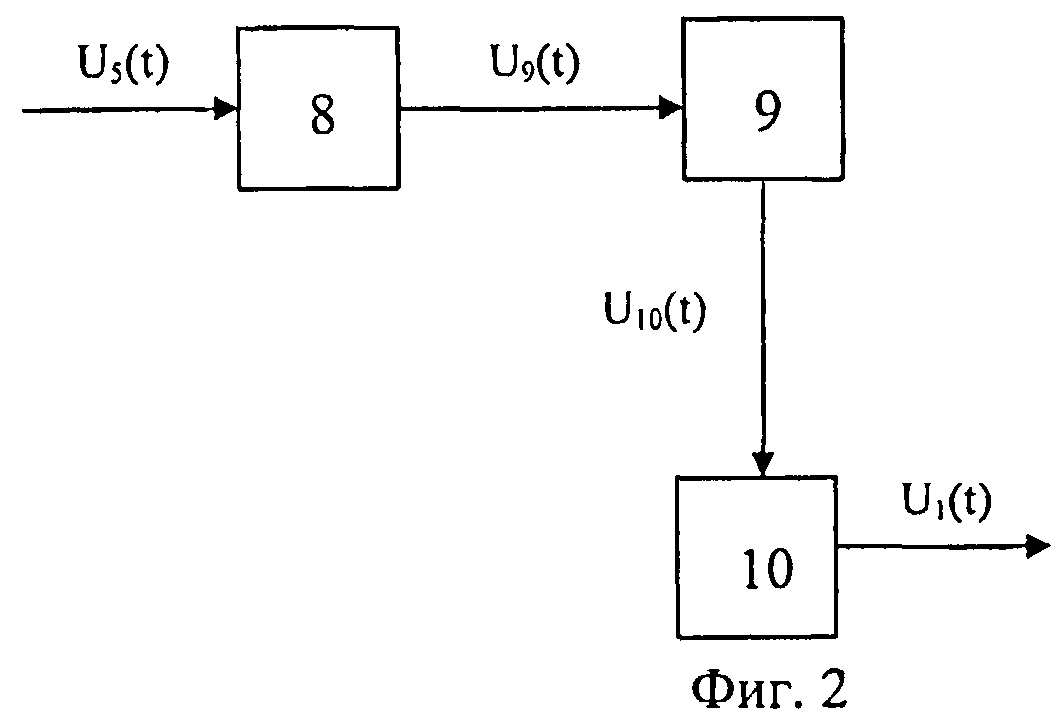
Виброиспытательный комплекс (см. фиг.2) содержит усилитель мощности 8, вибростенд 9 и виброизмеритель 10.

[20]

Анализатор (см. фиг.3) содержит приемный блок 11 и триггерный программный блок 12.

[21]

Формирователь нестационарных процессов (см. фиг.4) содержит схему 13 синхронизации и источник 14 опорного сигнала. В осуществленном варианте предлагаемого изобретения применены следующие аппаратурные средства:

[22]

- в качестве виброиспытательного комплекса 1:

[23]

усилитель мощности SPA 40K (см. паспорт завода - изготовителя 347905 г.Таганрог ул. 2 Котельная 28, ООО РОСТЕХ);

[24]

вибростенд Д40А (см, справочник «Приборы и системы» под ред. В.В. Клюева Т.2 стр.291);

[25]

виброизмеритель: пьезоакселерометр КД-35, измерительный усилитель 000 28 (см. «Пьезоэлектрические датчики ускорения» VEB Metra and Frequenztechnik Radebeul 10.81; техническое описание VEB Robotron - Messelektronik Otto Schön Dresden 09.88);

[26]

в качестве перестраиваемого по частоте фильтра 2 - узкополосный фильтр 01013 (см. техническое описание VEB Robotron - Messelektronik Otto Schön Dresden 09.87);

[27]

в качестве прибора 3 визуального контроля - вольтметр VM-70 (см. техническое описание VEB Metra and Frequenztechnik Radebeul 08.84);

[28]

в качестве анализатора 4 - система анализа динамических сигналов Photon II (Web - Site: www.lds-group.com);

[29]

в качестве формирователя 5 нестационарного процесса - устройство формирования виброудара СПВ - ЗПМ - М (принципиальные основы рассмотрены в работе «Современные методы и средства виброиспытаний», автор С.И. Равдин, М., 1984, изд. «Знамя» стр.49-50);

[30]

в качестве источника 6 управляющего сигнала - прибор 04036 «Управление частотой» (см. техническое описание VEB Robotron - Messelektronik Otto Schön Dresden 4.88);

[31]

в качестве блока 7 стробирования - переключающее устройство 2972 11.1972 фирма Bruel and Kjaer).

[32]

Указанные аппаратурные средства соответствуют своему функциональному назначению.

[33]

Входящие в состав системы обработки элементы имеют следующие взаимосвязи (см. фиг.1).

[34]

Выход виброизмерительного комплекса 1 соединен с первым входом фильтра 2, своим выходом подключенного к входу прибора 3 визуального контроля. Первый и второй выходы прибора 3 соединены соответственно с первым и вторым входами анализатора 4, третий вход которого подключен к первому выходу формирователя 5 нестационарного процесса, соединенному также с входом виброиспытательного комплекса 1. Второй выход формирователя 5 подключен к первому входу блока 7 стробирования, своим выходом соединенного со вторым входом фильтра 2. Второй вход блока стробирования 7 подключен к выходу источника 6 управляющего сигнала. Выход анализатора 4 соединен с выходом системы, а четвертый вход анализатора подключен к входу системы.

[35]

Элементы виброиспытательного комплекса имеют следующие связи (см. фиг.2).

[36]

Усилитель 8 мощности, вибростенд 9 и виброизмеритель 10 соединены между собой последовательно. При этом вход усилителя 8 мощности подключен к входу виброиспытательного комплекса, а выход виброизмерителя 10 соединен с выходом виброиспытательного комплекса.

[37]

Элементы анализатора имеют следующие связи (см. фиг.3).

[38]

Группа входов приемного блока II соединена с первым, вторым и третьим входами анализатора, а выход приемного блока II подключен к выходу анализатора. Вход триггерного модуля 12 соединен с четвертым входом анализатора, кроме того приемный блок II и триггерный модуль 12 программно взаимосвязаны.

[39]

Элементы формирователя нестационарного процесса (см. фиг.4) имеют следующие связи.

[40]

Выход схемы 13 синхронизации подключен к входу источника 14 опорного согнала и ко второму выходу формирователя, а выход источника 14 соединен с первым выходом формирователя.

[41]

Система обработки сигналов функционирует следующим образом (см. фиг.1, 5-8).

[42]

Сигнал U1(t), представляющий собой аддитивную смесь широкополосного случайного процесса и короткого детерминированного воздействия (в частности, виброудара), поступает на вход перестраиваемого по частоте фильтра 2. В тех случаях, когда фильтр 2 установлен для работы в режиме линейного усилителя с коэффициентом передачи, равным 1, сигнал U2(t) на выходе фильтра 2 является копией сигнала U1(t). Реализация такого сигнала представлена на фиг.5. Источником нестационарной детерминированной составляющей сигнала U2(t) служит формирователь 5 нестационарного процесса, с первого выхода которого сигнал U5 поступает на вход виброиспытательного комплекса 1. Источником стационарной составляющей сигнала является система управления случайной вибрацией.

[43]

Структура сигнала U5 показана на фиг.6. Одновременно с передачей на вход виброиспытательного комплекса 1 сигнал U5 поступает также на первый вход анализатора 4. Параметры сигнала U5 устанавливаются при начальной настройке формирователя 5. Кроме того, со второго выхода формирователя 5 на первый вход блока 7 стробирования передается сигнал U6, представляющий собой импульс положительной полярности. Импульсный сигнал U6 открывает блок 7 стробирования, нормальное состояние которого закрытое. На второй вход блока 7 стробирования с выхода источника 6 управляющего сигнала поступает сигнал U7, величина которого устанавливается предварительной настройкой.

[44]

В открытом состоянии на выходе блока 7 стробирования создается сигнал U8, представляющий собой импульс положительной полярности с амплитудой, равной величине сигнала U7. Длительность сигнала U8 устанавливается в необходимых пределах предварительной настройкой блока 7.

[45]

Сигнал U8 с выхода блока 7 стробирования поступает на второй вход фильтра 2, работающего при этом в режиме внешнего управления. При отсутствии сигнала U5 фильтр 2 заперт и сигнал его на выходе равен нулю. Сигнал U8 открывает фильтр 2, при этом на выходе последнего создается сигнал U2(t, F). Частотная полоса пропускания фильтра 2 непосредственно зависит от величины сигнала U8, поступающего на второй вход фильтра 2 с выхода блока 7 стробирования, а длительность импульса U8 определяет временной интервал, в течение которого фильтр 2 находится в открытом состоянии.

[46]

Облик сигнала U2(t) на выходе фильтра 2 показан на фиг.7. Реально фильтр 2 при этом работал в режиме фильтра нижних частот с полосой 0-70 Гц. С выхода фильтра 2 сигнал U2(t) поступает на вход прибора 3 визуального контроля. В качестве прибора 3 в системе вольтметр VM-70, имеющий два выхода; на первом выходе присутствует сигнал U5, представляющий собой копию сигнала U2(t), a на втором выходе формируется сигнал U4 постоянного напряжения, определяющий среднеквадратическое значение исследуемого процесса, соответствующее сигналу U5.

[47]

Сигнал U5 и U4 с выходов прибора 3 визуального контроля поступают соответственно на второй и третий входы анализатор 4, на первый вход которого с первого выхода формирователя 5 передается сигнал U5. При этом сигналы U5 и U6 на выходе формирователя существуют строго синхронно, чем обеспечивается согласование во времени работы блока 7 стробирования и анализатора 4. Вследствие указанного анализатор 4 срабатывает по максимальной (пиковой) величине сигнала U5 положительной полярности. На диаграмме фиг.6 указан уровень Ucp срабатывания анализатора 4, причем для того, чтобы получить полноразмерную оценку нестационарной составляющей исследуемого процесса (в частности, с очертанием переднего фронта) прием сигнала анализатором 4 осуществляется с упреждением по времени. Величина упреждения устанавливается программно при настройке аппаратуры.

[48]

Работа виброиспытательного комплекса 1 в составе системы обработки сигналов происходит следующим образом (см. фиг.2).

[49]

Сигнал U5 с первого выхода формирователя 5 нестационарного процесса поступает на вход усилителя 8 мощности. Кроме того, на вход усилителя 8 поступает также сигнал, представляющий собой стационарный случайный процесс с заданными статистическими характеристиками. Смешивание указанных входных сигналов выполняется посредством аналогового суммирования.

[50]

Сигнал U5 с выхода усилителя 8 мощности поступает на вход вибростенда 9, который воспроизводит вибрационный процесс U10. Виброизмеритель 10 преобразует вибрацию U10 в сигнал U1(t), являющийся входным сигналом виброиспытательного комплекса 1.

[51]

Анализатор 4 в составе системы обработки сигналов действует следующим образом (см. фиг.3 и 8).

[52]

Сигнал U5 поступает с первого выхода формирователя 5 нестационарного процесса на первый вход приемного блока 11 анализатора 4. В рабочей программе триггерного модуля 12 указывается порядковый номер этого входа (в данном случае первый) как источник опорного сигнала. Осциллограмма опорного сигнала и уровень срабатывания триггерного модуля в качестве примера показаны на фиг.6. Третьим параметром, приводимым в данной программе, является величина времени интервала задержки или упреждения, необходимого для обработки принимаемых анализатором 4 сигналов.

[53]

На второй и третий входы приемного блока 11 поступают сигналы U3 и U4 с первого и второго выходов прибора 3 визуального контроля. Сигналы U3 и U4, соответствующие конкретной реализации, показаны на фиг.8 и 9.

[54]

Полоса пропускания фильтра 2 была установлена в пределах 0-1000 Гц; измерение среднеквадратического уровня прибором 3 визуального контроля выполнено с постоянной времени 250 мс (см. фиг.8).

[55]

Вычисленные значения дисперсии и среднеквадратического уровня колебательного процесса указаны на диаграмме фиг.8 (соответственно параметры Power и RMS).

[56]

Анализатор 4, наряду с регистрацией временных реализаций, выполняет также спектральный и корреляционный анализ исследуемых сигналов с осреднением во временной или частотной области. На фиг.10-13 представлены следующие результаты аппаратурной обработки:

[57]

- на фиг.10 и 11 - реализация и спектр сигнала U5 в полосе 20- 2000 Гц;

[58]

- на фиг.12 и 13 - реализация и спектр сигнала U5 в полосе 20-80 Гц.

[59]

На данных диаграммах приведены результаты вычисления дисперсии и среднеквадратического уровня. Необходимо при этом учитывать, что по своему характеру воспроизводимое колебание представляет собой сумму двух процессов - широкополосного случайного и детерминированного (в частности, виброудара). Эти процессы статистически взаимно независимы и поэтому дисперсия их суммы равна сумме их дисперсий без добавки удвоенной взаимно корреляционной функции (см. Е.С. Вентцель «Теория вероятностей» изд. «Наука», М., 1969, стр.223-224). Исходя из указанного, представляется возможным определить дисперсию и среднеквадратическое значение стационарной компоненты сигнала U2(t).

[60]

Если в качестве исходных величин принять дисперсии, полученные из временных величин реализаций Dф.вх на входе фильтра и Dф.вых на выходе фильтра, то получится:

[61]

Dст.=Dф.вх-Dф.вых=21.31-9.89=11.42 g2

[62]

σст.=3.38g.

[63]

Указанные значения определены по однократным реализациям (см. фиг.10 и 12). Поэтому полученный результат представляет собой смешенную оценку (см. Д. Бендат, А. Пирсол «Прикладной анализ случайных данных» «Мир», М., 1989, стр.34).

[64]

Уточнение результата возможно, если использовать дисперсию из спектральных значений, полученных осреднением по ансамблю из семи реализаций (см. параметр Frame Number на фиг.11 и 13):

[65]

Dст.=21.245-12.736=8.509g2

[66]

σст.=2.92g.

[67]

Проверить полученный результат можно посредством дополнительной операции аппаратурного спектрального анализа. Заявленная система делает возможным определение параметров стационарного воздействия. Для этого следует выполнить следующие действия.

[68]

1. Установить в рабочей программе триггерного модуля режим задержки срабатывания. Величину задержи указать в пределах, обеспечивающих устранение нестационарной компоненты исследуемого процесса из обрабатываемого временного интервала.

[69]

2. Подать на второй вход приемного блока сигнал U1(t), для чего предварительно отключить выход виброиспытательного комплекса 1 от входа фильтра 2 и подключить указанный выход непосредственно к второму входу приемного блока.

[70]

3. Произвести обработку сигнала U1(t) в режиме спектрального анализа с осреднением по ансамблю.

[71]

Результаты подобной обработки сигнала U1(t) приведены на фиг.14 и 15. При этом на фиг.14 показана однократная реализация стационарного случайного сигнала U1(t) спектр, на фиг.15 - соответствующий сигналу U1(t) спектр, вычисленный осреднением по ансамблю, как и в предшествующем варианте, ансамбль состоял из семи реализаций. Проверка, выполненная состоял вышеуказанная п.п.1-3, показала: Dст.=8.726g, σст=2.95g - вычисление по однократной реализации сигнала U1(t).

[72]

Dст.=8.295g2, σст.=2.88g - вычисление по спектру, осредненному по ансамблю N=7.

[73]

Формирователь 5 нестационарного процесса в составе системы обработки сигналов функционирует следующим образом.

[74]

Сигнал U6, представляющий собой импульс положительной полярности, с выхода схемы 13 синхронизации одновременно поступает на вход источника 14 опорного сигнала и на второй выход формирователя 5. При этом источник 14 на первом выходе формирователя задает опорный сигнал U5.

[75]

Кроме вышеизложенного предлагаемое изобретение позволяет также обнаружить присутствие слабого детерминированного сигнала в аддитивной смеси с широкополосным случайным процессом. Наиболее эффективным средством для выполнения такой задачи является корреляционный анализ. По существу задача состоит в проверке простой гипотезы о том, что наблюдаемая на ограниченном временном интервале реализация принадлежит стационарному нормальному процессу с нулевым средним и корреляционной зависимостью, имеющей облик 5 - функции, против простой альтернативы, что эта реализация содержит также другой процесс, изменяющийся по зависимости, имеющей свои отличия (в частности, в виде виброудара). В тех случаях, когда указанный другой процесс достигает пороговой величины, форма корреляционной функции меняется (см. Б.Р.Левин «Теоретические основы статистической радиотехники» изд. «Советское радио», М., 1975, стр.253-286).

[76]

На фиг.16 показана автокорреляционная функция, соответствующая однократной реализации сигнала U1(t), содержащей виброударную компоненту, смешанную с широкополосной случайной вибрации, причем виброудар достигает пороговой величины, при которой делается возможным его обнаружение. Видоизмененная форма корреляционной функции подтверждает это.

Как компенсировать расходы
на инновационную разработку
Похожие патенты