Изобретение относится к области радиосвязи и может найти применение в системах, в которых используются широкополосные сигналы. Техническим результатом является уменьшение времени декодирования. Способ декодирования информационных элементов сигнала, закодированных последовательностями Уолша, представленных строками матрицы Адамара порядка n (последовательностями, состоящий в том, что на принимающей стороне база последовательностей n представляется в виде n=n+n+…+nбит и декодирование неизвестной последовательностиначинается с помощью последовательностии последовательностей, полученных из ƒ=nбит соответствующих последовательностейи, и, после определения номера Pпоследовательности, устанавливается его правильность путем вычисления корреляционной функции (КФ) последовательностис последовательностьюи, в случае превышения полученного значения КФ заданного порога, число Pсчитается вычисленным правильно и декодирование считается выполненным, в противном случае декодирование неизвестной последовательностиосуществляется с помощью последовательностии последовательностейполученных из ƒ=n+nбит соответствующих последовательностейис осуществлением вышеперечисленных действий, в случае, если КФ не превысило порог, декодирование неизвестной последовательностиосуществляется после очередного увеличения количества ƒ бит последовательностейи, декодированием последовательностиопределением номера Ри его правильности до тех пор, пока не будет получено правильное значение номера Рпри ƒ=n. 1 табл.
Способ быстрого декодирования информационных элементов сигнала, закодированных последовательностями Уолша, представленных строками матрицы Адамара порядка n (последовательностями
, состоящий в том, что на принимающей стороне база последовательностей n представляется в виде n=n1+n2+...+nz+ng бит и декодирование неизвестной последовательности
начинается с помощью последовательности
и последовательностей
полученных из
бит соответствующих последовательностей
и
и, после определения номера P1 последовательности
устанавливается его правильность путем вычисления корреляционной функции (КФ) последовательности
с последовательностью
и, в случае превышения полученного значения КФ заданного порога, число P1 считается вычисленным правильно и декодирование считается выполненным, в противном случае декодирование неизвестной последовательности
осуществляется с помощью последовательности
и последовательностей
полученных из
бит соответствующих последовательностей
и
и, после определения номера Р2 последовательности
устанавливается его правильность путем вычисления корреляционной функции КФ последовательности
с последовательностью
и, в случае превышения полученного значения КФ заданного порога, число Р2 считается вычисленным правильно и декодирование считается выполненным, в противном случае декодирование неизвестной последовательности
осуществляется с помощью последовательности
и последовательностей
полученных из
бит соответствующих последовательностей
и
и, после определения номера Pz последовательности
устанавливается его правильность путем вычисления корреляционной функции КФ последовательности
с последовательностью
и, в случае превышения полученного значения КФ заданного порога, число Pz считается вычисленным правильно и декодирование считается выполненным, в противном случае декодирование неизвестной последовательности
осуществляется после очередного увеличения количества
бит последовательностей
и
декодированием последовательности
определением номера
и его правильности до тех пор, пока не будет получено правильное значение номера
при
.
Изобретение относится к области радиосвязи и может найти применение в системах, в которых используются широкополосные сигналы (ШПС). Одним из важных свойств ШПС является обеспечение высокой помехоустойчивости, обусловленной тем, что при свертке ШПС отношение сигнал/помеха увеличивается. Это увеличение тем больше, чем больше база сигнала. За счет выбора большой базы ШПС удается обрабатывать сигнал, который значительно меньше помех. Но чем больше база сигнала, тем больше времени необходимо для его декодирования, а значит хуже пропускная способность канала связи. В связи с этим становиться актуальной разработка способов сокращения этого времени без ущерба для помехоустойчивости канала связи. В основе известных способов передачи информации с помощью ШПС (RU 125724 U1, дата публикации 10.03.2013; RU 2532085 С2, дата публикации 27.10.2014; RU 2543514 С2, дата публикации 10.03.2015; RU 2587474 С1, дата публикации 20.06.2016; RU 2609525 С1, дата публикации 02.02.2017) лежит кодирование на передающей стороне передаваемой двоичной информации последовательностями Уолша, представленными, например, в виде строк матрицы Адамара порядка n и их декодирование на приемной стороне. Кодировка состоит в разбиении передаваемой двоичной информации на группы из k бит, где k определяется из соотношения n=2k. Каждая группа бит определяет информационный элемент и воспринимается в качестве числа Pi, т.е. передаваемая двоичная информация представляется числами Р1, Р2, …, Pg. Каждое из этих чисел воспринимается как номер строки в матрице Адамара порядка n. Последовательностями На приемной стороне после обнаружения сигнала осуществляется демодуляция сигнала, дискретизация огибающей, выделение оцифрованных элементов сигнала длиной n и их декодирование. Выделяется первый информационный элемент сигнала - последовательность Максимальное значение КФ будет достигнуто с последовательностью Повторяя описанный способ декодирования g раз (по количеству информационных групп), будут получены все числа Р1, Р2, …, Pg. Из двоичных номеров этих чисел операцией конкатенации формируется двоичное представление передаваемой информации. Описанный способ декодирования информационных элементов является традиционным. Он занимает много времени, т.к. по указанным выше причинам база сигналов n выбирается достаточно большой. Технический результат предлагаемого технического решения - уменьшение времени декодирования. Для этого предлагается способ быстрого декодирования информационных элементов сигнала, закодированных последовательностями Уолша, представленных строками матрицы Адамара порядка n (последовательностями В основе предлагаемого способа быстрого декодирования последовательности Действие 1 Вычисление корреляционной функции КФ Разбиваем число бит n на группы так, что n=n1+n2+…+nz+…+nm. Последовательности, содержащие только биты n1, или только биты n2, …, или только биты nm, обозначим, соответственно, как В этих обозначениях корреляционные функции последовательностей где (ƒ-1)=n1+n2+…+nz-1 бит. Действие 2 Каждая последовательность где h=1, 2, …, k. Остальные биты являются второстепенными и предназначены для повышения помехоустойчивости сигнала. Учитывая это, в матрице Адамара порядка n во всех последовательностях Такая перестановка не нарушает свойств строк матрицы Адамара, но позволяет однозначно идентифицировать последовательность Действие 3 Известно, что отношение сигнал/помеха на входе коррелятора ρ2 и на его выходе h2 связаны соотношением: где В - база сигнала (число бит n последовательностей Действие 4 Как было описано выше, при декодировании n оцифрованных значений сигнала вычисляются корреляционные функции КФ В предлагаемом способе быстрого декодирования критерий «максимальное значение корреляционной функции» заменен на критерий «превышение значения корреляционной функции порога Пi». Значения порогов Пi для разных С учетом перечисленных действий способ быстрого декодирования последовательностей Уолша, обеспечивающий сохранение требуемой помехоустойчивости, можно изложить следующим образом. Количество бит n последовательностей В соответствии с Действием 2 для выбранной базы сигнала n=2k определяется количество бит k и с помощью формулы (2) определяются номера бит, которые однозначно определяют последовательности Вычисляются корреляционные функции КФ Если же значение КФ Далее вычисляются значения КФ Если же значение КФ Увеличение количества бит ƒ и декодирование предлагаемым способом может привести к ситуации, когда ƒ=n. В этом случае число Pn будет определено правильно, однако время декодирования оцифрованных значений сигнала предлагаемым способом будет превышать время выполнения традиционным способом декодирования. В таблице 1 для базы n=256 приведены оценки увеличения числа алгоритмических операций при вычислении способом быстрого декодирования для разных вариантов разбиения на группы. Из таблицы 1 видно, что в худшем варианте, когда на входе коррелятора отношение сигнал/помеха будет составлять В случаях, когда
модулируется, например, фаза несущей частоты информационных элементов сигнала. Таким образом, представленная в двоичном виде информация оказывается закодированной последовательностями 
из n оцифрованных значений сигнала. Вычисляются корреляционные функции (КФ) последовательности
со всеми последовательностями
(здесь и далее j=1, 2, n).
Номер этой последовательности принимается в качестве числа P1. Далее выделяется второй информационный элемент сигнала - последовательность
из n следующих оцифрованных значений сигнала, вычисляются КФ последовательности
со всеми последовательностями
Максимальное значение КФ будет достигнуто с последовательностью
Номер этой последовательности принимается в качестве числа Р2.
состоящий в том, что на принимающей стороне база последовательностей n представляется в виде n=n1+n2+…+nz+ng бит, и декодирование неизвестной последовательности
начинается с помощью последовательности
и последовательностей
полученных из ƒ=n1 бит соответствующих последовательностей
и
и, после определения номера P1 последовательности
, устанавливается его правильность путем вычисления корреляционной функции (КФ) последовательности
с последовательностью
и, в случае превышения полученного значения КФ заданного порога, число P1 считается вычисленным правильно и декодирование считается выполненным, в противном случае декодирование неизвестной последовательности
осуществляется с помощью последовательности
и последовательностей
полученных из ƒ=n1+n2 бит соответствующих последовательностей
и
и, после определения номера Р2 последовательности
устанавливается его правильность путем вычисления корреляционной функции КФ последовательности
с последовательностью
и, в случае превышения полученного значения КФ заданного порога, число Р2 считается вычисленным правильно и декодирование считается выполненным, в противном случае декодирование неизвестной последовательности
осуществляется с помощью последовательности
и последовательностей
полученных из ƒ=n1+n2+…+nz бит соответствующих последовательностей
и
и, после определения номера Pz последовательности
, устанавливается его правильность путем вычисления корреляционной функции КФ последовательности
с последовательностью
и, в случае превышения полученного значения КФ заданного порога, число Pz считается вычисленным правильно и декодирование считается выполненным, в противном случае декодирование неизвестной последовательности
осуществляется после очередного увеличения количества ƒ бит последовательностей
и
декодированием последовательности
, определением номера Рƒ и его правильности до тех пор, пока не будет получено правильное значение номера Рƒ при ƒ=n.
лежат следующие действия.
может быть осуществлено по частям.
Последовательности, содержащие только биты (n1+n2), или только биты (n1+n2+n3), …, (n1+n2+…+nz+…+nm)=n обозначим, соответственно, как 
и
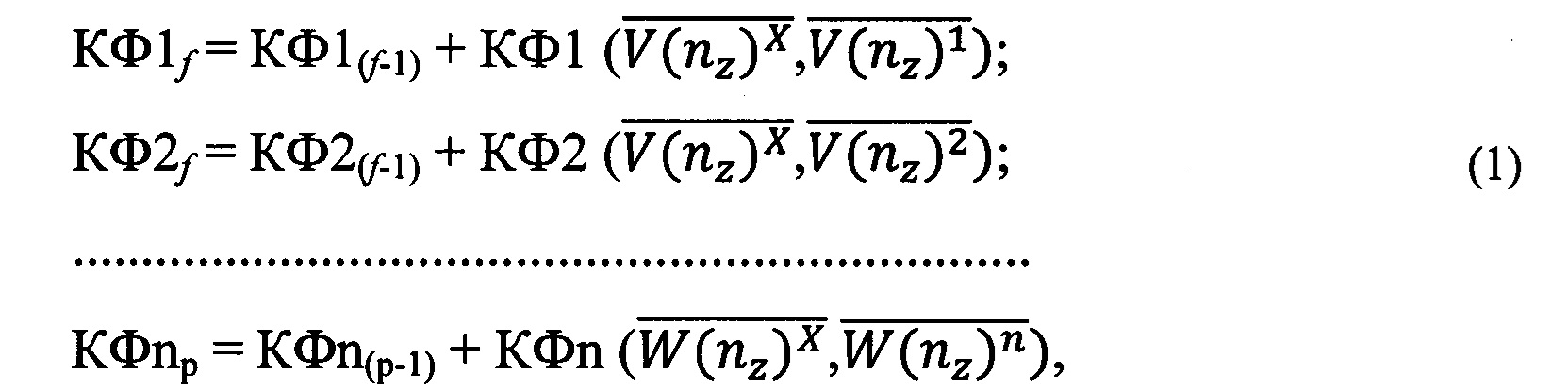
для ƒ=n1+n2+…+nz вычисляются как:
с базой n=2k может быть однозначно определена всего по k битам, где k - показатель двойки в порядке n матрицы Адамара, а номера этих бит можно вычислить по формуле:
все, вычисленные по формуле (2) биты, переставляются вперед и при разбиении базы на части n=n1+n2+…+nz+…+nm включаются в состав бит n1.
по битам n1, или по битам (n1+n2), …, или по битам (n1+n2+…+nz)…, или по битам n.
Из (3) следует, что при отношении сигнал/помеха на входе коррелятора, равном
всегда можно подобрать такое значение базы Bi, при котором величина
обеспечит правильное декодирование информационных элементов сигнала с заданной вероятностью. На практике база сигнала n выбирается в соответствии с минимально допустимым отношением сигнал/помеха
т.е. большей, чем это требуется при отношениях сигнал/помеха
А, так как помеховая обстановка с максимальной помехой действует на ШПС достаточно редко, то при
для декодирования сигнала с заданной вероятностью достаточно было бы иметь сигнал с базой, меньшей n, т.е. сигнал с базой n1, или сигнал с базой (n1+n2), или сигнал с базой (n1+n2+n3) и т.д.
и среди вычисленных значений определяется максимальное. Однако такой возможности нет при декодировании последовательности
по n1 битам, или по (n1+n2) битам, и т.д.
и разного количества бит ƒ можно подобрать при настройке изделия или заранее определить путем моделирования.
разбивается на группы n=n1+n2+…+nz+…+nm.
Вычисленные по формуле (2) биты переставляются во всех последовательностях
вперед так, чтобы они попали в группу n1.
последовательности
со всеми последовательностями
, где ƒ=n1 бит. Номер последовательности
обеспечившей максимум КФ, принимается в качестве предположительной оценки передаваемого числа P1. Для подтверждения этого предположения вычисляется КФ
и полученное значение сравнивается с порогом
Если значение КФ
превысило порог
(отношение сигнал/помеха на входе коррелятора таково, что количества бит n1 последовательностей
и
достаточно для правильного декодирования последовательности
, то принимается решение, что число P1 определено правильно, и декодирование последовательности
по количеству бит n1 считается выполненным. Время декодирования последовательности
по количеству бит n1 будет много меньше времени декодировании
традиционным способом (по количеству бит n).
не превысило порог
(отношение сигнал/помеха на входе коррелятора таково, что количества бит n1 последовательностей
и
недостаточно для правильного декодирования последовательности
то необходимо увеличить базу последовательностей
и 
которые в соответствии с Действием 1 складываются с уже вычисленными значениями КФ
,
Получатся корреляционные функции КФ
, где ƒ=n1+n2 бит. Номер последовательности
давшей максимальное значение КФ, предварительно принимается за передаваемое число Р2. Для подтверждения этого предположения вычисляется КФ
и полученное значение сравнивается с порогом
. Если значение КФ
превысило порог
(отношение сигнал/помеха на входе коррелятора таково, что количества бит ƒ=(n1+n2) последовательностей
и
достаточно для правильного декодирования последовательности
то принимается решение, что число Р2 определено правильно. Время декодирования последовательности
по количеству бит ƒ=(n2+n2) будет много меньше времени декодировании
традиционным способом (по количеству бит n).
не превысило порог
(отношение сигнал/помеха на входе коррелятора таково, что количества бит ƒ=(n1+n2) последовательностей
и
недостаточно для правильного декодирования последовательности
то необходимо увеличить базу последовательностей
и 

увеличение числа алгоритмических операций составит не более 17%.
время декодирования будет существенно меньше. Так, например, для базы n=256 и при разбиении n на 16 одинаковых групп, выигрыш по времени будет: при количестве бит ƒ=n1, при количестве бит ƒ=2n1, …, при количестве бит ƒ=14n14. И только при количестве бит ƒ=15n15 и количестве бит ƒ=n будет превышение времени, соответственно, не более, чем на 3% и 9% от времени традиционного декодирования.