Использование: в области электротехники. Технический результат – устранение проблемы нелинейного искажения тока короткого замыкания вследствие насыщения трансформаторов тока. Сегментация призвана выделить интервалы правильной трансформации, возникающие в те промежутки времени, когда магнитопровод трансформатора тока выходит из насыщения, и подготовить условия для восстановления искаженного тока. Способ основан на сравнении отсчетов электрической величины и модельного сигнала. По результатам сравнения формируют двумерный сигнал, который подают на распознающий модуль, своеобразие которого заключается в том, что область его срабатывания задают на плоскости двумерного сигнала. Для достижения поставленной цели те же операции выполняют в строго определенной последовательности не однократно, а столько раз, сколько потребуется для определения максимальной продолжительности интервала однородности. Исследование совершают путем поэтапного расширения интервала всякий раз на один интервал дискретизации. Используют двухпараметрический сигнал. Параметры подбирают по заданному алгоритму. Между длительностью начального интервала и числом параметров модельного сигнала устанавливают взаимосвязь: число отсчетов наблюдаемой величины на единицу больше числа параметров модельного сигнала. Расширение интервала производят в случае срабатывания распознающего модуля на предыдущем интервале. Процесс приостанавливают, если при очередном расширении не произойдет срабатывания соответствующего распознающего модуля. Предлагается структура двумерного сигнала, состоящая из сигнала оценки уровня электрической величины на данном интервале и из сигнала невязки между электрической величиной и модельным сигналом. 3 з.п. ф-лы, 5 ил.
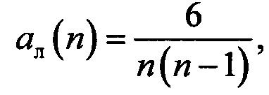
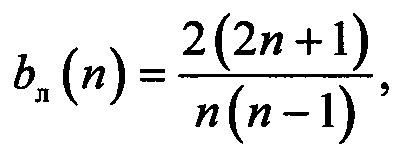
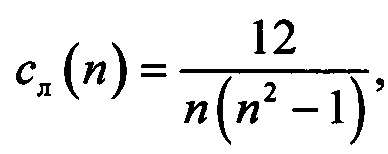
1. Способ определения интервалов однородности (сегментации) электрической величины, согласно которому отсчеты электрической величины сравнивают с отсчетами модельного сигнала, формируют по результатам сравнения двумерный сигнал, которым воздействуют на распознающий модуль, задают на плоскости двумерного сигнала область срабатывания распознающего модуля, отображают двумерный сигнал на его плоскости и фиксируют интервал однородности в случае попадания отображения в область срабатывания, отличающийся тем, что упомянутые операции выполняют поочередно на разных интервалах наблюдения электрической величины, каждый из которых продолжительнее предыдущего на один интервал дискретизации, причем первый интервал наблюдения выбирают из условия превышения числом отсчетов электрической величины на единицу числа варьируемых параметров модельного сигнала, на каждом интервале наблюдения формируют индивидуальный двумерный сигнал, которым воздействуют на индивидуальный модуль с собственной областью срабатывания, переходят от предыдущего интервала наблюдения к последующему в случае срабатывания распознающего модуля предыдущего интервала и определяют интервал однородности электрической величины как последний из интервалов наблюдения, на котором будет зафиксировано срабатывание его распознающего модуля. 2. Способ по п. 1, отличающийся тем, что каждый двумерный сигнал составляют из сигнала оценки уровня электрической величины на интервале ее наблюдения и из сигнала невязки между электрической величиной и модельным сигналом на том же интервале. 3. Способ по п. 1, отличающийся тем, что используют линейный модельный сигнал iмод(n,k)=xл(n)+yл(n)k, где k=1, 2, … - дискретное время; n≥3 - число отсчетов электрической величины i(k) на интервале наблюдения xл(n)=bл(n)pл(n,i)- yл(n)=- где сигнал оценки уровня электрической величины определяют как а сигнал невязки - 4. Способ по п. 1, отличающийся тем, что используют синусоидальный модельный сигнал частоты сети iмод(n,k)=xс(n)sinαk+yс(n)cosαk, где α=ωτ; ω - частота сети; τ - интервал дискретизации, хс(n), yс(n) - варьируемые параметры модельного сигнала.
; хл(n), yл(n) - варьируемые параметры модельного сигнала, которые определяют по следующим соотношениям:






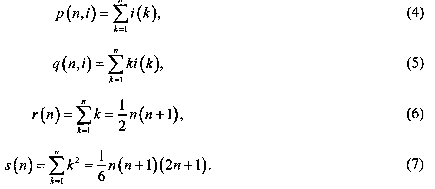
Изобретение относится к электроэнергетике, а именно к релейной защите и автоматике электрических систем. Оно имеет отношение к проблеме нелинейного искажения наблюдаемого тока. Искажение происходит вследствие насыщения трансформатора тока. Приходу в область насыщения предшествует движение рабочей точки по нормальному участку характеристики намагничивания стали трансформатора. Это участок правильной трансформации, и ему соответствуют интервалы правильной трансформации. В кривой наблюдаемого тока они появляются всякий раз при выходе из области насыщения [1]. Существует задача сегментации - разграничения интервалов однородности электрической величины с целью выделения участков правильной трансформации и, возможно, восстановления тока, искаженного на участках насыщения. Известны способы определения интервалов однородности путем формирования двумерного сигнала и воздействия этим сигналом на распознающий модуль (исполнительное реле) [2, 3]. В этих способах применена своеобразная процедура формирования двумерного сигнала. Отсчеты наблюдаемого тока обрабатывают фильтром ортогональных составляющих, формирующим комплексный выходной сигнал, а затем его отсчеты обрабатывают попарно. Данная процедура сужает функциональные возможности способа. Дело в том, что интервал правильной трансформации в условиях сильного насыщения трансформатора тока может составлять всего лишь 3-4 миллисекунды, и всей информацией, содержащейся на столь малом интервале, желательно распорядиться в полной мере. Известно техническое решение, в котором ставится цель полного охвата всего участка правильной трансформации в процессе цифровой обработки наблюдаемого тока [4]. Однако общее решение задачи оказалось весьма сложным и малоподходящим для восстановления искаженного тока. Полезным для практики стало использование модельного сигнала. Но следующая операция - настройка адаптивного фильтра на подавление этого сигнала и далее разделение фильтра на два преобразователя - все это придает способу оригинальность, но очевидным образом усложняет его. Цель изобретения - упрощение способа сегментации и вместе с тем придание ему универсальности для дальнейшего развития в качестве способа восстановления нелинейно искаженного тока. Поставленная цель достигается иным использованием модельного сигнала при формировании двумерного сигнала и изменением самой структуры двумерного сигнала. Если в прототипе и аналогах двумерный сигнал формировали фильтры, то в данном случае для этой цели выполняется более общая операция непосредственного сравнения отсчетов электрической величины и модельного сигнала. Результат сравнения определяется простым повторением процедуры сравнения отсчетов на расширяющемся интервале наблюдения электрической величины. Начальный (первый) интервал не может быть сколь угодно малым. Его выбирают из условия превышения числом отсчетов электрической величины ровно на единицу числа варьируемых параметров модельной величины. Расширение интервала наблюдения производят всякий раз только на один интервал дискретизации. На каждом интервале наблюдения стереотипно формируют свой индивидуальный двумерный сигнал и воздействуют им на индивидуальный распознающий модуль. Процесс расширения интервала наблюдения ограничен условием срабатывания всех задействованных распознающих модулей. Искомый интервал однородности, т.е. интервал правильной трансформации, определяют как предельный интервал наблюдения электрической величины. В дополнительных пунктах формулы изобретения детализируются структура двумерного сигнала и форма модельного сигнала. Двумерный сигнал предлагается формировать в координатах, образованных сигналом оценки уровня электрической величины и сигналом невязки между электрической величиной и модельным сигналом. То и другое - на интервале наблюдения электрической величины. В качестве приоритетных модельных сигналов предлагаются, во-первых, линейно изменяющийся сигнал и, во-вторых, синусоидальный сигнал. На фиг. 1-4 приведены иллюстрации наблюдаемого тока (фиг. 1) и трех этапов его обработки с помощью линейного модельного сигнала. На фиг. 2, 3, 4 - соответственно первый (начальный) этап, второй и третий этап. На фиг. 5 приведена структура сегментатора, выделяющего интервалы однородности электрической величины при двухпараметрическом модельном сигнале. На фиг. 1 приведены отсчеты наблюдаемого тока i(k), Сегментатор, построенный по предлагаемому способу, включает в свой состав модули сравнения 1-3 отсчетов двух сигналов i(k), iмод(k) на трех этапах. Каждый модуль формирует двумерный выходной сигнал в составе сигнала уровня тока I2(k) и сигнала невязки ΔI2(n); иллюстрация (фиг. 5) ограничена значениями n=3, 4, 5, но на самом деле рост интервала наблюдения никак не ограничен. Каждому значению n≥nmin отвечает индивидуальный распознающий модуль 4-6. Значение nmin определяется числом р варьируемых параметров модельного сигнала iмод(k). Если р=2, как принято в приведенных примерах, то nmin=р+1=3. Логику работы сегментатора устанавливают элементы И 7, 8, объединяющие попарно выходы распознающих модулей, закрепленных за соседними интервалами наблюдения со значениями n-1 и n. Выходной блок 9 определяет наибольшее значение nmax при условии, что сработают все элементы И 7, 8 при Рассмотрим реализацию предлагаемого способа на примере линейного модельного сигнала где функции x(n) и y(n) длины интервала наблюдения n играют роль варьируемых параметров линейного сигнала. Модули сравнения 1-3 реализуют один из критериев близости наблюдаемого и модельного сигналов, например, критерий наименьших квадратов Условие (2) для сигнала (1) эквивалентно двум уравнениям где Решение уравнений (3) Из (6), (7) и (9)-(12) определяются масштабные коэффициенты преобразований (8), не зависящие от наблюдаемого тока i(k) В распознающих модулях 1-3 преобразования (4) и (5) совершаются над каждой совокупностью из n соседних отсчетов нелинейно искаженного тока i(k). Суммарные сигналы p(n, i), q(n, i) преобразуются затем операцией (8) в параметры x(n), y(n), определяющие модельный сигнал (1). За этим следует суммирование сигнала невязки (2) и сигнала уровня, например, в виде Распознающие модули действуют в заданной очередности по мере увеличения числа n. В начальном (первом) модуле 1 преобразование (4) и (5) совершаются над каждыми соседними тройками отсчетов нелинейно искаженного тока i(k). Суммарные сигналы (4), (5) подвергаются затем преобразованию (8) при n=3. Выходные величины x(3), y(3) определят модельный сигнал (1) при n=3 (фиг. 2) и сигнал невязки (2) при том же значении n Кроме того, числу n=3 отвечает сигнал уровня на начальном интервале Скалярные сигналы (19), (20) образуют в совокупности двумерный сигнал первого канала, состоящего из модулей 1 и 4. Воздействие двумерного сигнала на распознающий модуль 4 заключается в отображении значений I2(3) и ΔI2(3) на плоскости (I2, ΔI2), с заданной на ней областью срабатывания S(3). В область срабатывания заранее включают то множество точек, которое характеризует такое изменение трех отсчетов i(1), i(2), i(3), которое можно считать близким к линейному. Отображение двумерного сигнала представляет собой вектор [I2, ΔI/2]T. Условие срабатывания модуля 4 В случае его выполнения делают вывод о том, что отсчеты i(k), iмод(4, k)=x(4)+y(4)k внесет изменения в сигнал невязки (19) Изменится и сигнал уровня (20) Второй распознающий модуль 5 располагает собственной областью срабатывания S(4), и условие его срабатывания имеет вид Если условие (26) не выполняется, модуль 5 не сработает. Как следствие, не будет активирован элемент И 7. Получив только один сигнал по каналу n=3, выходной модуль 9 примет решение, что nmax=3, то есть интервал правильной трансформации охватывает только три отсчета наблюдаемого тока. Второй вариант развития событий - срабатывание распознающего модуля 5 и, как следствие, элемента И 7. Теперь выходной модуль 9 получает еще один входной сигнал по второму каналу n=4, но решение о продолжительности искомого интервала не будет принято выходным модулем 9 до тех пор, пока не откажет в срабатывании распознающий модуль канала с более высоким значением n. На фиг. 5 в структуре сегментатора показан еще один канал с n=5. Допустим, его распознающий модуль 6 сработает, что приведет к срабатыванию элемента И 8. Что же касается последующего канала с n=6, не показанного на схеме, то примем, что в нем условия срабатывания не будут выполнены, и следовательно, процедура распознавания завершится сигналом канала n=5. Выходной модуль 9 примет это значение в качестве продолжительности интервала однородности: nmax=5. Линейный модельный сигнал (1) - наиболее простой и вместе с тем подходящий для выделения резко нарастающего участка тока. В некоторых процессах хорошо зарекомендовал себя синусоидальный модельный сигнал iмод(n, k)=x(n) sin αk+y (n) cos αk, где α=ωτ, ω - частота сети; τ - интервал дискретизации. Возможны и иные, не обязательно двухпараметрические сигналы. Простота предложенного способа обеспечивается стереотипностью выполняемых операций, а универсальность - возможностью обучения распознающих модулей с целью задания характеристик их срабатывания. Кроме того, способ допускает экстраполяцию модельного сигнала за пределы интервала однородности, что создает необходимые условия для восстановления нелинейно искаженного тока. Источники информации 1. Патент РФ №2457495, G01R 15/18, 2008. 2. Патент РФ №2316870, Н02Н 3/38, G01R 31/02, 2006. 3. Патент РФ №2418268, G01D 1/06, G01R 31/02, 2010. 4. Патент РФ №2308137, Н02Н 3/28, 2006 (прототип).
, где k - дискретное время. На фиг. 2-4 отсчеты i(k) показаны совместно с отсчетами iмод(n, k) модельного тока, где n - число отсчетов на интервале наблюдения тока i(k). На первом интервале n=3 (фиг. 2), затем n=4 (фиг. 3) и n=5 (фиг. 4). Отсчеты наблюдаемого тока изображены точками, отсчеты модельного тока - звездочками.
.











, принадлежат участку правильной трансформации, и приступают к определению общей протяженности этого участка. Интервалу наблюдения задают расширение (n=4) и вводят в действие второй модуль сравнения 2, добавляющий к информационной базе модуля сравнения 1 наблюдаемый отсчет i(4) и модельный iмод(4). Параметры (8) x(4), y(4) изменят свои значения по отношению к сигналу (18). Новый модельный сигнал (фиг. 3)

