патент
№ RU 2477723
МПК C07D401/06

ИНГИБИТОРЫ ПРОТЕИНКИНАЗ (ВАРИАНТЫ), ИХ ПРИМЕНЕНИЕ ДЛЯ ЛЕЧЕНИЯ ОНКОЛОГИЧЕСКИХ ЗАБОЛЕВАНИЙ И ФАРМАЦЕВТИЧЕСКАЯ КОМПОЗИЦИЯ НА ИХ ОСНОВЕ

Авторы:
Чилов Гермес Григорьевич
Номер заявки
2011124304/04
Дата подачи заявки
16.06.2011
Опубликовано
20.03.2013
Страна
RU
Как управлять
интеллектуальной собственностью
Реферат

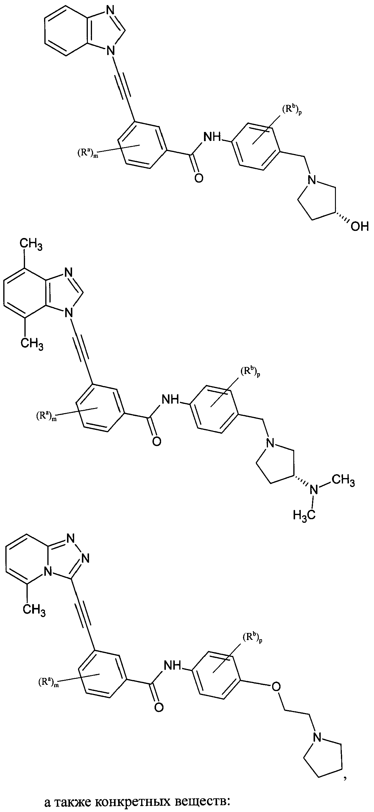
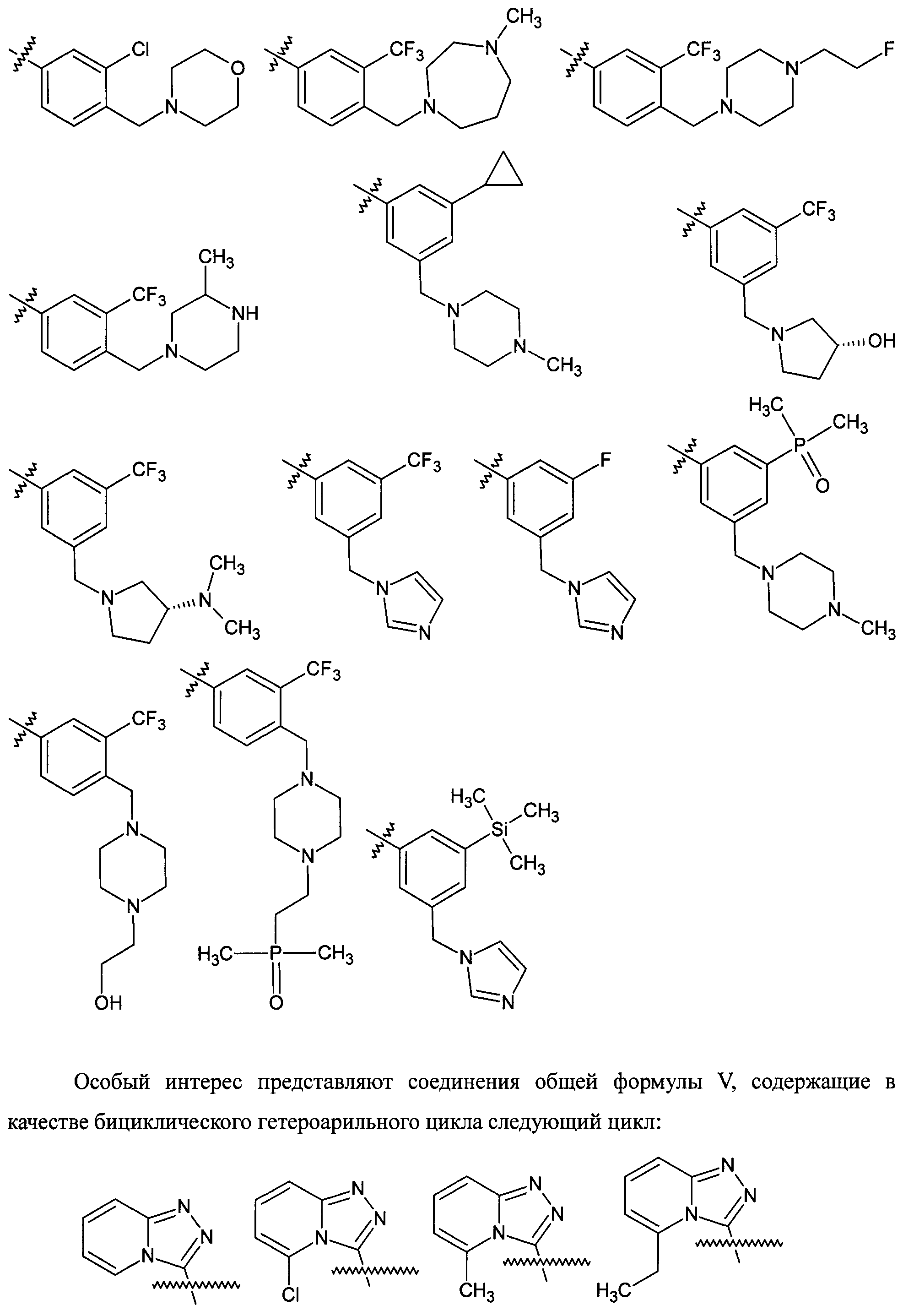
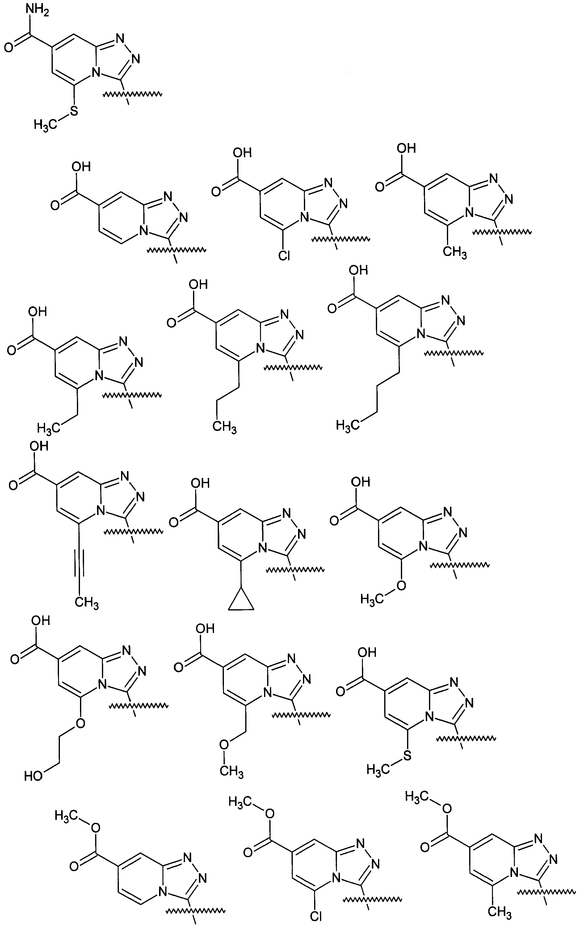
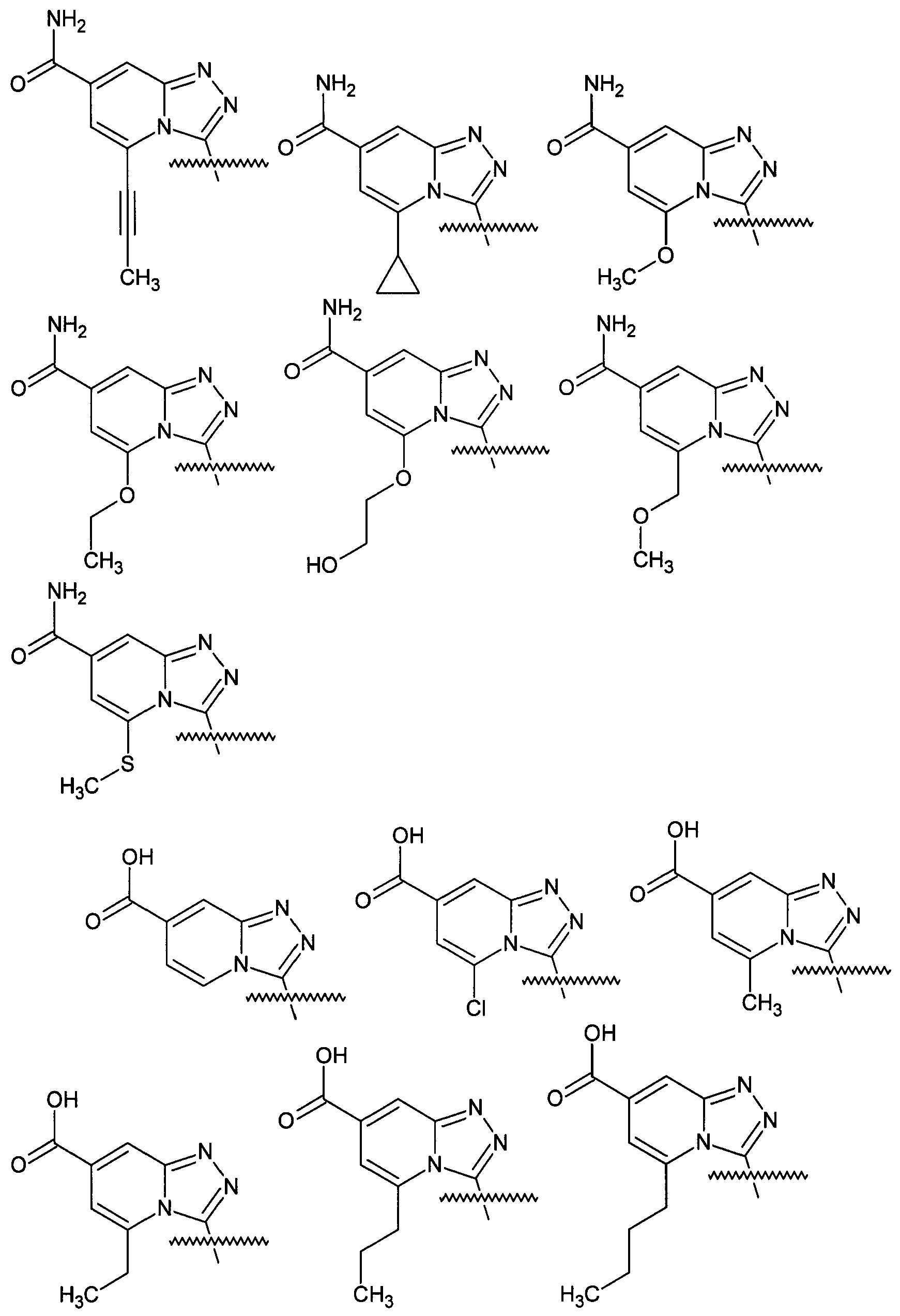
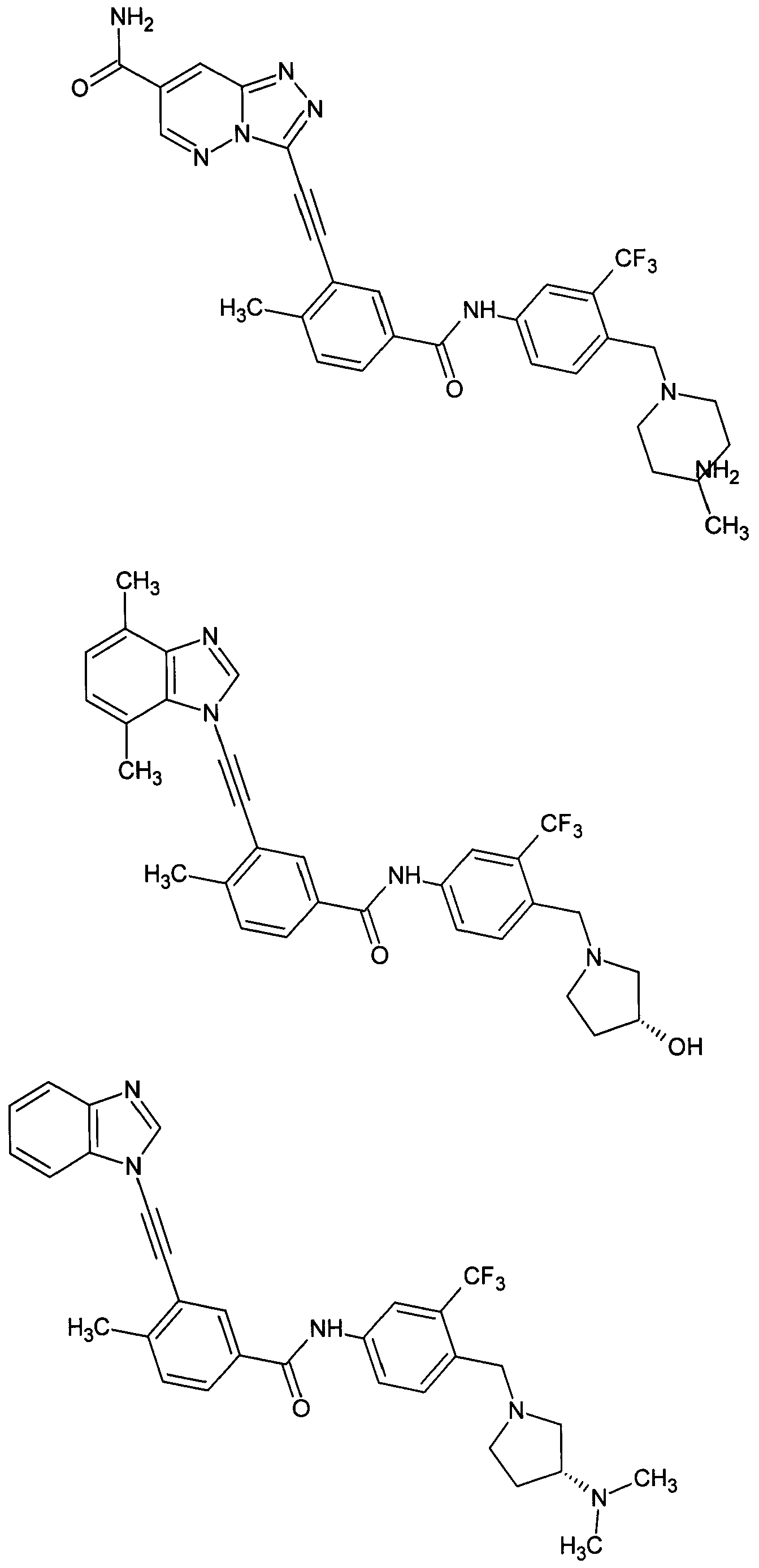
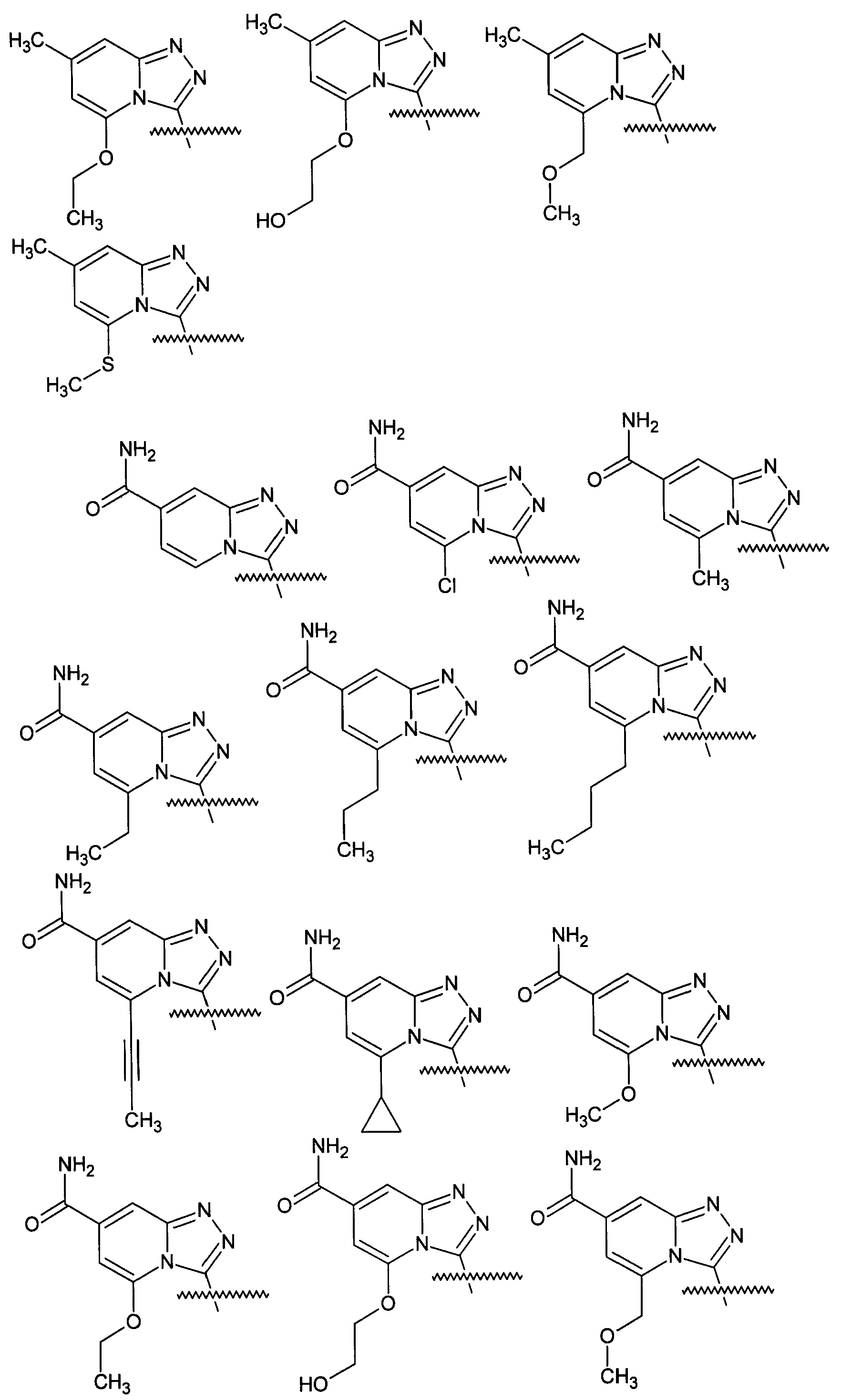
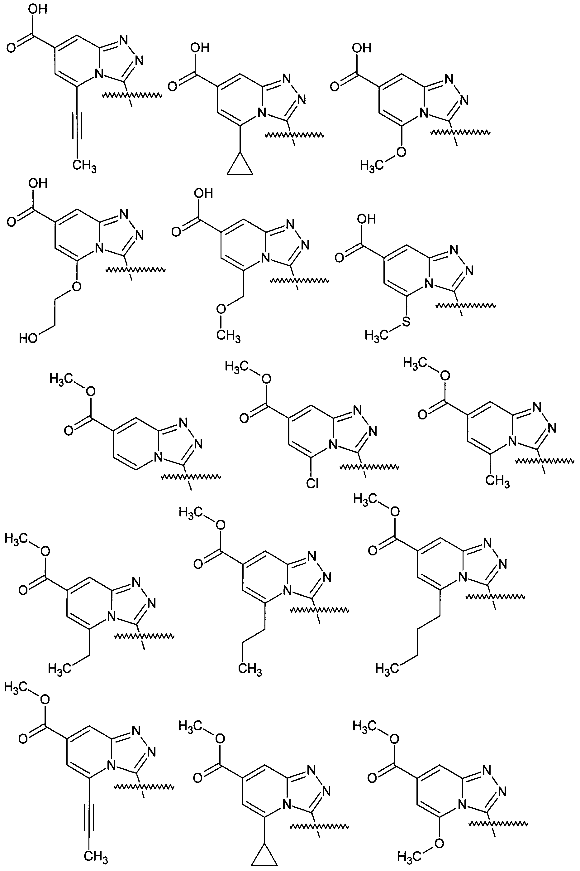
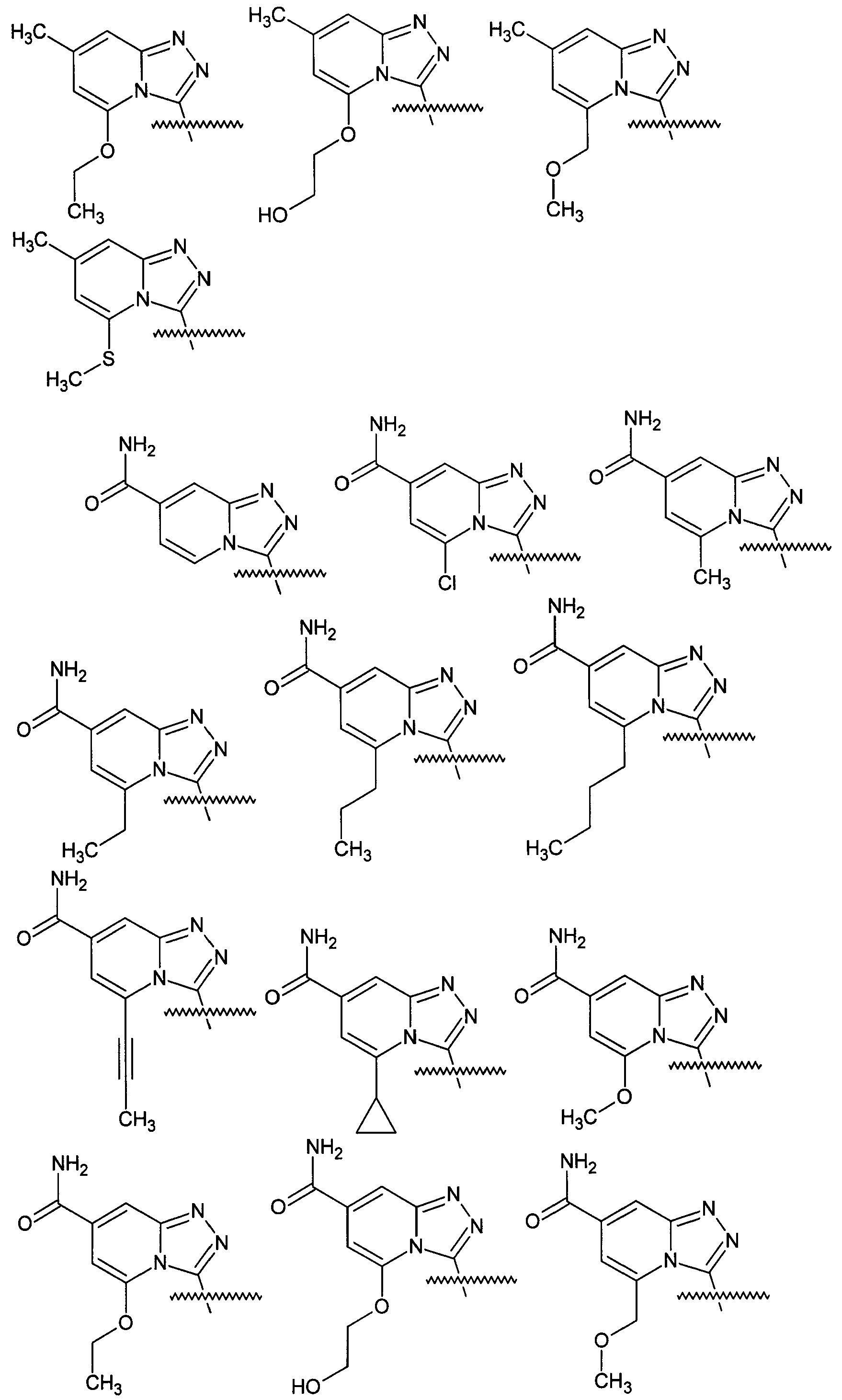
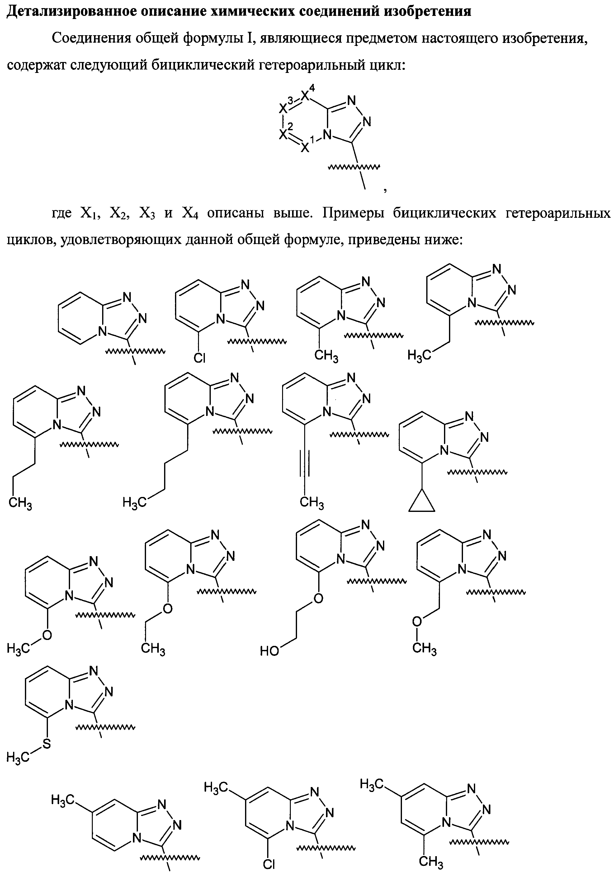
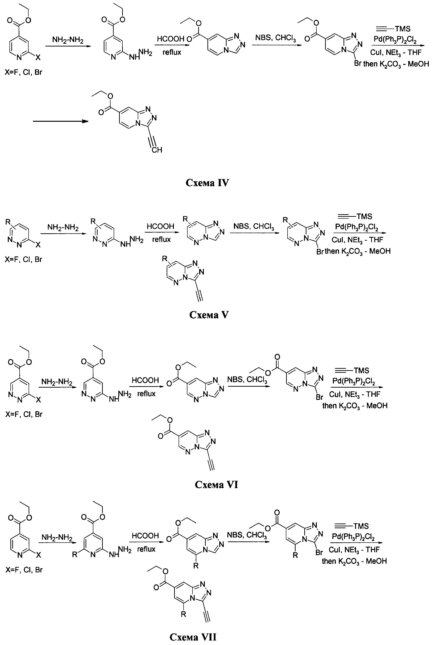
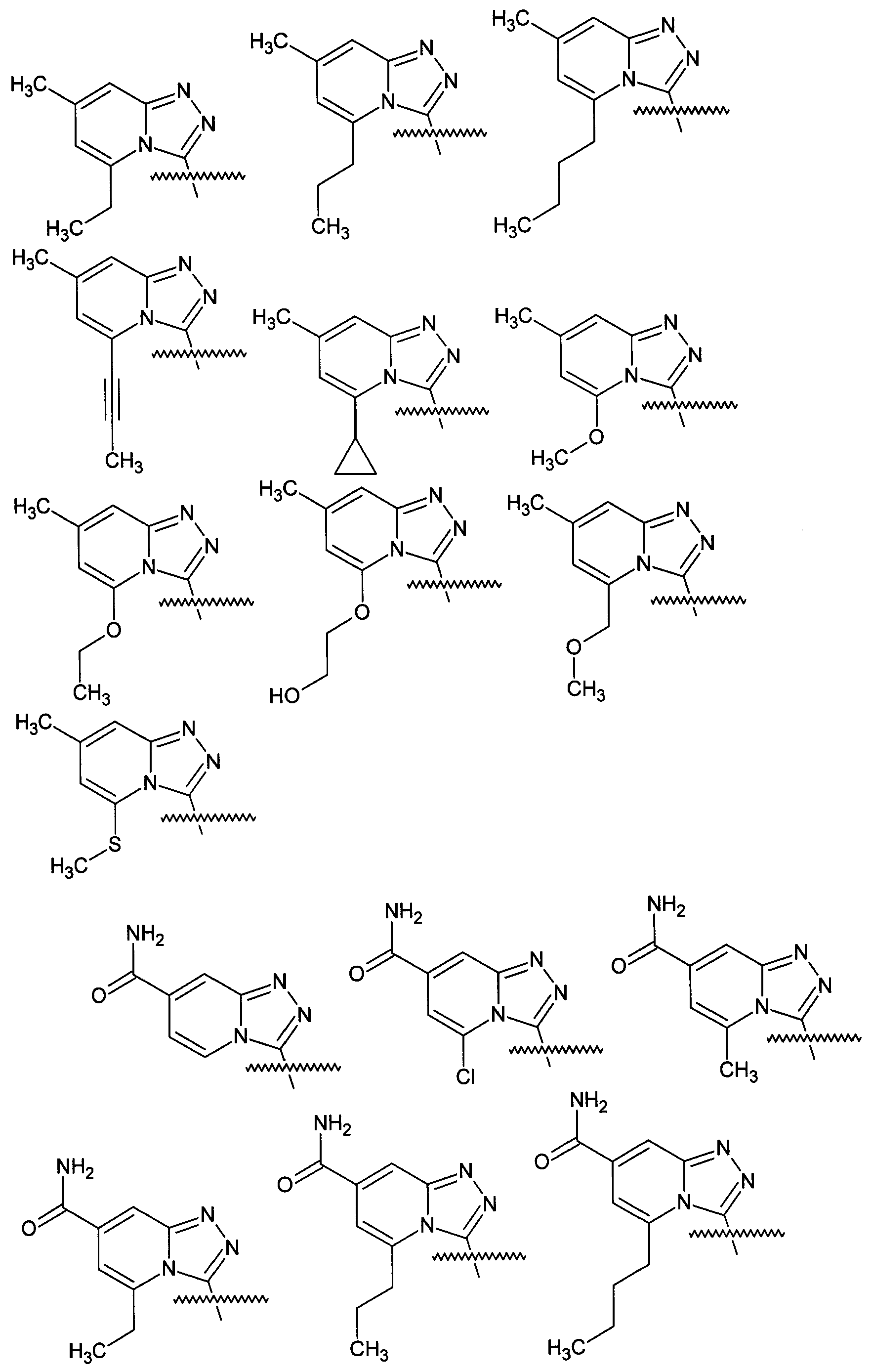
Изобретение относится к соединениям формулы (I) и (II), обладающих свойством ингибитора протеинкиназ, их фармацевтически приемлемым солям, сольватам и гидратам, а также к их применению и фармацевтической композиции на их основе. В общих формуле (I) Xпредставляет собой N,, Хпредставляет собой N,, Хпредставляет собой N,, Хпредставляет собой N, СН и где X, X, Xи Xвыбираются независимо;представляет собой -Н, галоген, -СООН, -СН, -СНСН, -ОН, -ОСН, -ОСНСН, -CN, -СНОН;представляет собой -Н, галоген, -СН, -СНСН, -ОН, -ОСН, -ОСНСН, -CN, СНОН, -NH;представляет собой -Н, -S(O)R, галоген, -CN, -СООН, -CONH, -СООСН, -СООСНСН; цикл А представляет собой фенил или 6-членный гетероарильный цикл, где гетероарил содержит 1-2 гетероатома, выбранных из N, необязательно замещенный 1-4 группами R; цикл В представляет собой фенил или 5- или 6-членный гетероарильный цикл, где гетероарил содержит 1-2 гетероатома, выбранных из N, S, необязательно замещенный 1-5 группами R; Rи Rвыбираются независимо и представляют собой -Н, галоген, -CN, -R, -OR, -NRR, -C(O)YR, -S(O)R, -SONRR, -NRSONRR, где Y выбирается независимо и представляет собой химическую связь, -О-, -S-, -NR-; Lпредставляет собой NRC(O) или C(O)NR; R, Rи Rвыбираются независимо и представляют собой Н, С-С-алкил, также группа NRRможет представлять собой 5- или 6-членный насыщенный или ароматический цикл; в каждом случае Rвыбирается независимо и представляет собой С-С-алкил, возможно замещенный C-С-алкилом или 5-6-членным гетероциклилом, который может быть замещен C-C-алкилом; r равно 0. В общей формуле (II) Z представляет собой СН; Хпредставляет собой; Хпредставляет собой, Хпредставляет собой, Хпредставляет собой СН и где X, X, Xи Xвыбираются независимо;представляет собой -Н;представляет собой -

Формула изобретения

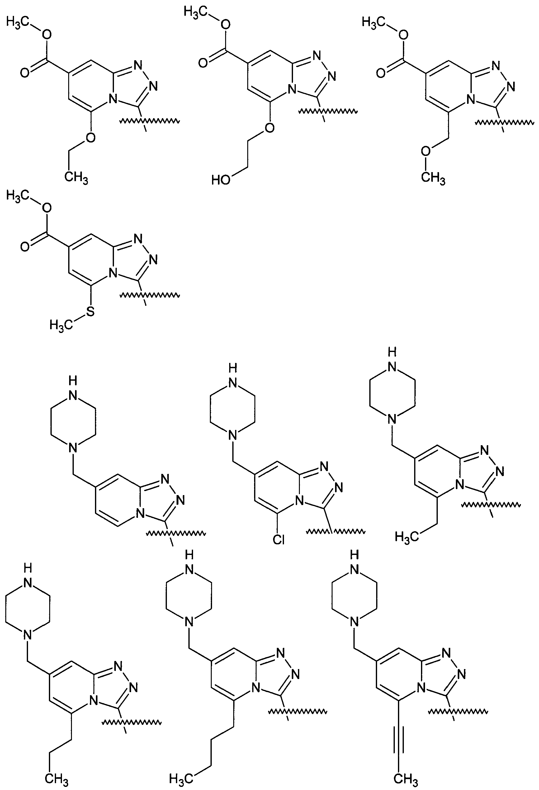
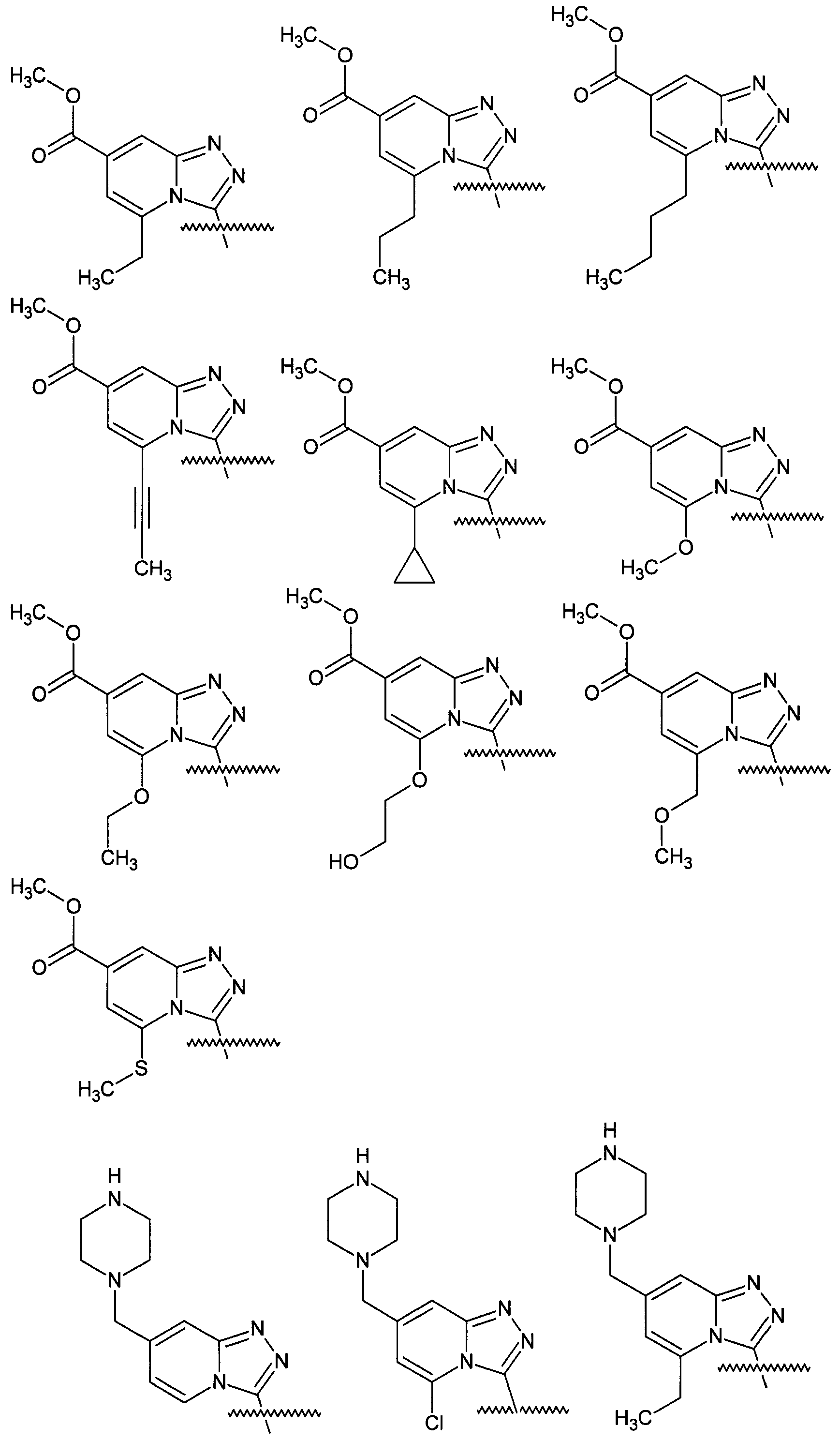
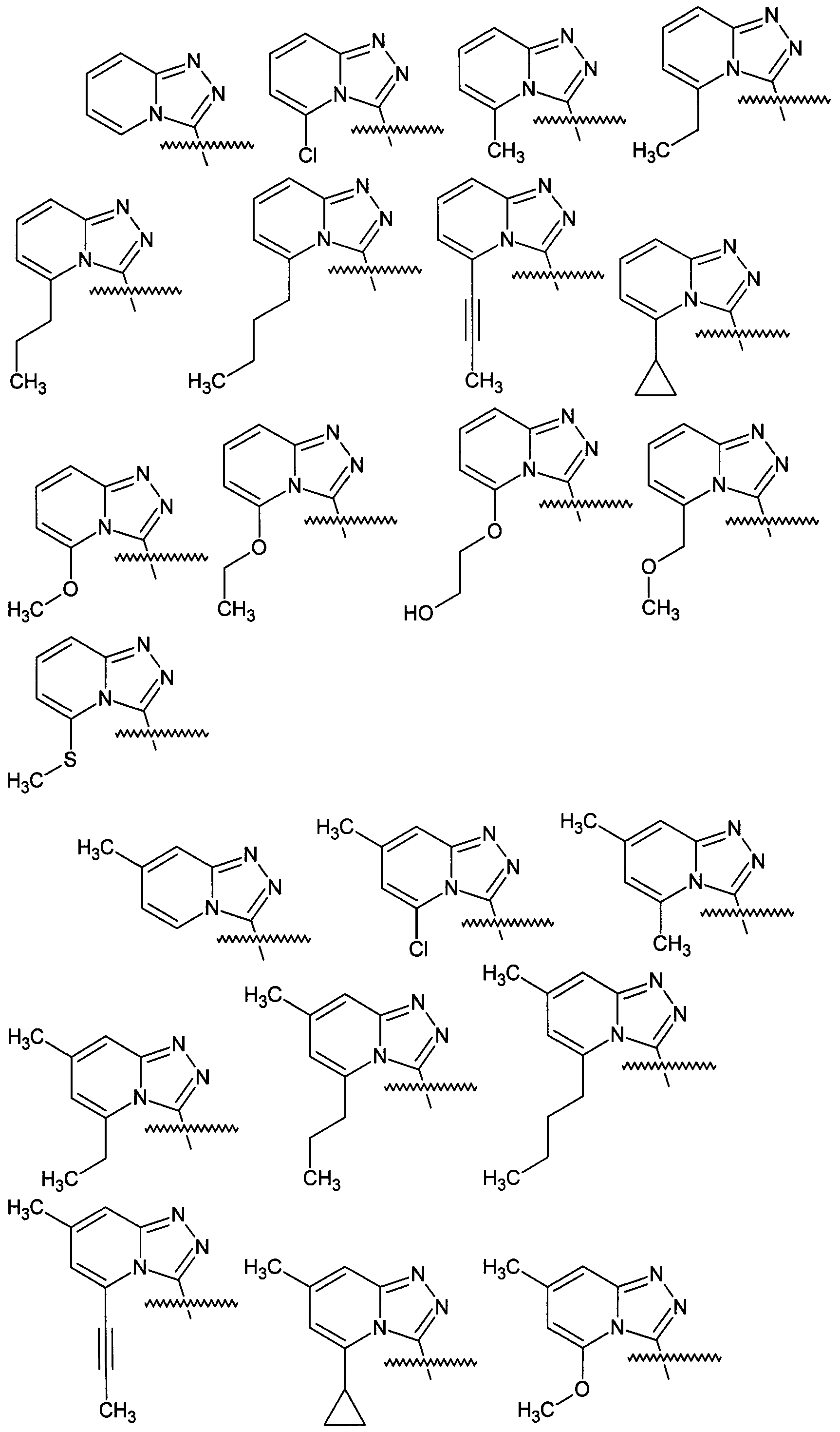
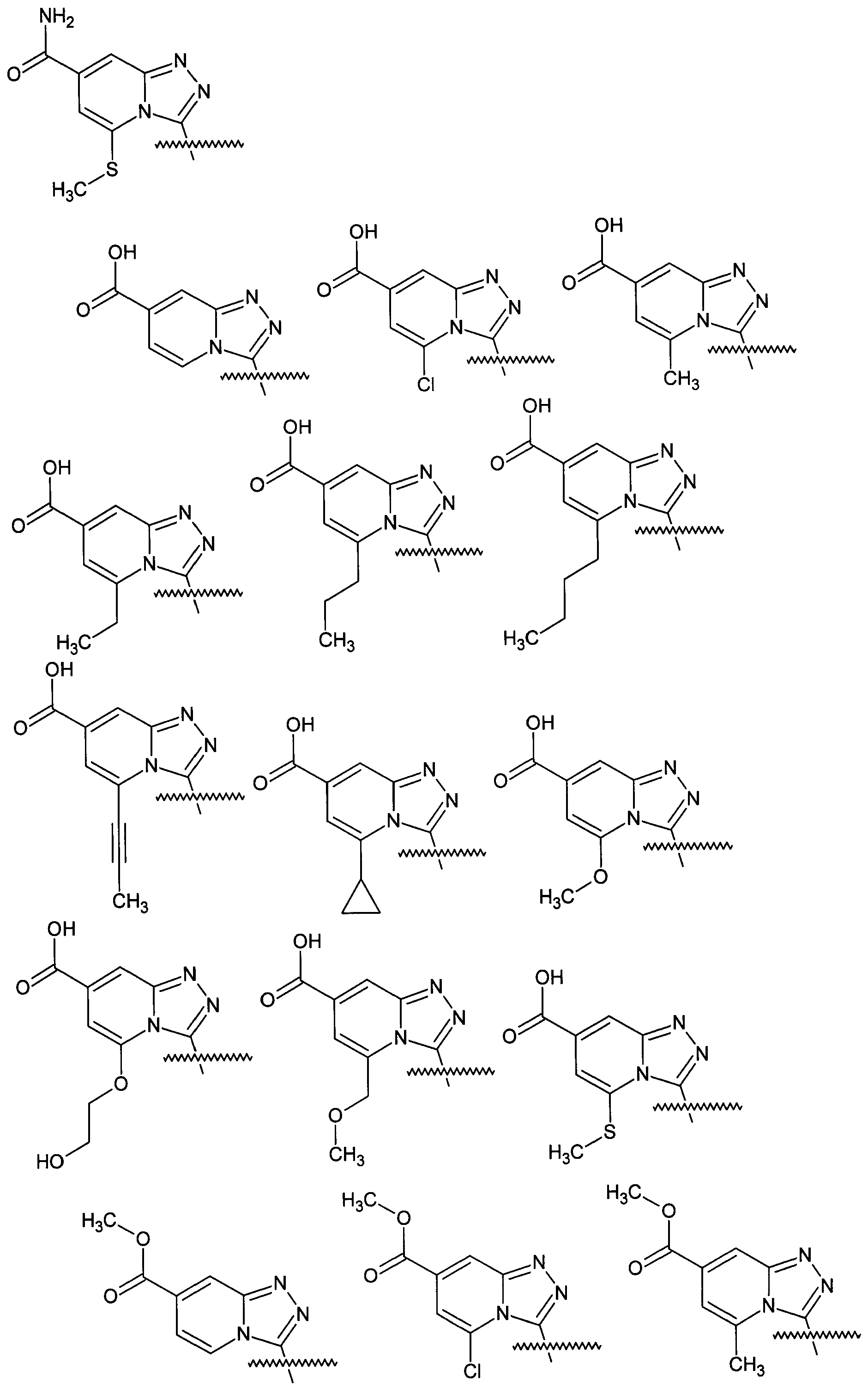
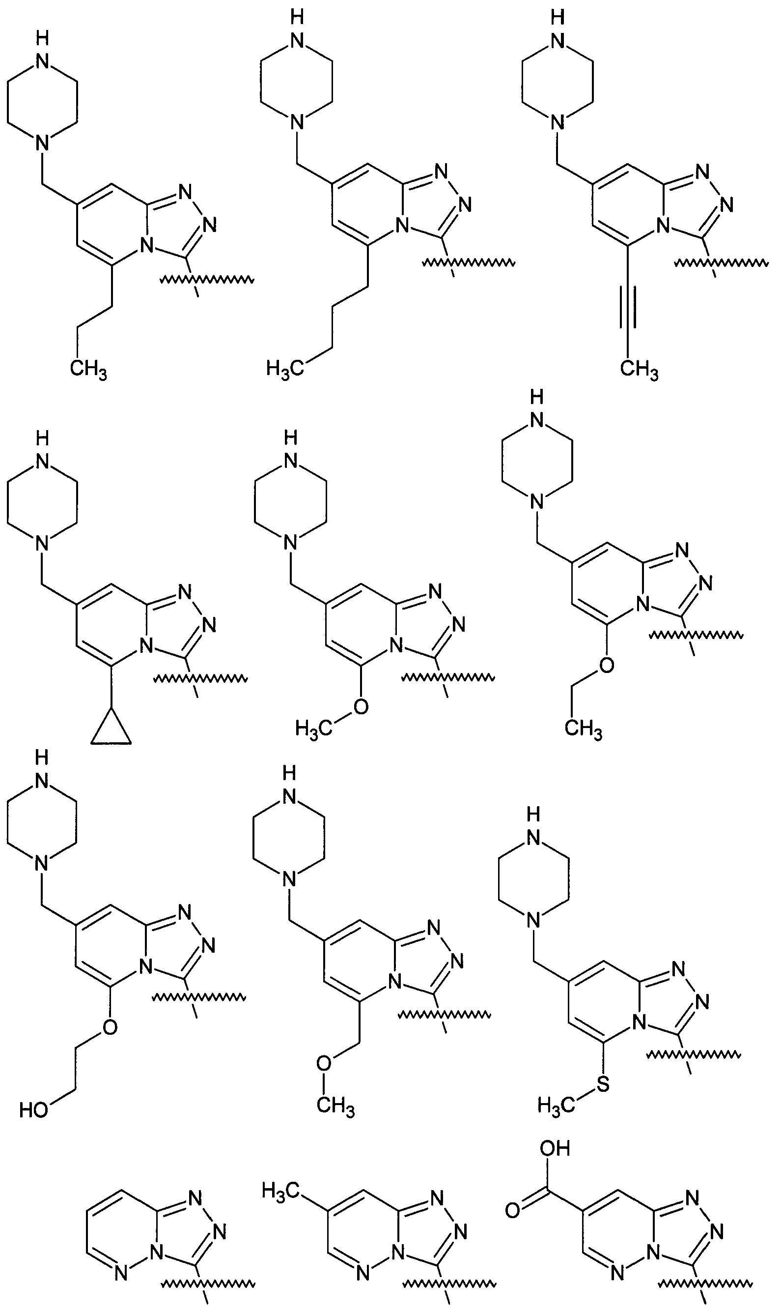
1. Химическое соединение общей формулы I

X1 представляет собой N, ; X2 представляет собой N, , X3представляет собой N, , X4 представляет собой N, CH и где X1, X2, X3 и X4выбираются независимо;
представляет собой -Н, галоген, -СООН, -СН3, -СН2СН3, -ОН, -ОСН3, -ОСН2СН3, -CN, -СН3ОН;
представляет собой -Н, галоген, -СН3, -СН2СН3, -ОН, -ОСН3, -ОСН2СН3, -CN, СН2ОН, -NH2;
представляет собой -Н, -S(O)rR4, галоген, -CN, -СООН, -CONH2, -СООСН3, -СООСН2СН3;
цикл А представляет собой фенил или 6-членный гетероарильный цикл, где гетероарил содержит 1-2 гетероатома, выбранных из N, необязательно замещенный 1-4 группами R3;
цикл В представляет собой фенил или 5- или 6-членный гетероарильный цикл, где гетероарил содержит 1-2 гетероатома, выбранных из N, S, необязательно замещенный 1-5 группами Rb;
Ra и Rb выбираются независимо и представляют собой -Н, галоген, -CN, -R6, -OR4, -NR4R5, -C(O)YR4, -S(O)rR4, -SO2NR4R5, -NR4SO2NR4R5, где Y выбирается независимо и представляет собой химическую связь, -О-, -S-, -NR5-;
L1 представляет собой NR3C(O) или C(O)NR3;
R3, R4 и R5 выбираются независимо и представляют собой Н, С16-алкил также группа NR4R5 может представлять собой 5- или 6-членный насыщенный или ароматический цикл;
в каждом случае R6 выбирается независимо и представляет собой C1-C6-алкил, возможно замещенный С16-алкилом или 5-6 членным гетероциклилом, который может быть замещен С16-алкилом;
r равно 0;
или его фармацевтически приемлемую соль, сольват или гидрат.

2. Химическое соединение по п.1, характеризующееся тем, что представляет собой соединение формулы I, в котором , , , Х4=СН.

3. Химическое соединение по п.1, характеризующееся тем, что представляет собой соединение формулы I, в котором , -Cl, -СООН;

4. Химическое соединение по п.1, характеризующееся тем, что представляет собой соединение формулы I, в котором .

5. Химическое соединение по п.1, характеризующееся тем, что представляет собой соединение формулы I, в котором , -Cl.

6. Химическое соединение по п.1, характеризующееся тем, что представляет собой соединение формулы I, в котором предпочтительно цикл А является фенильным.

7. Химическое соединение по п.1, характеризующееся тем, что представляет собой соединение формулы I, в котором цикл В является фенильным.

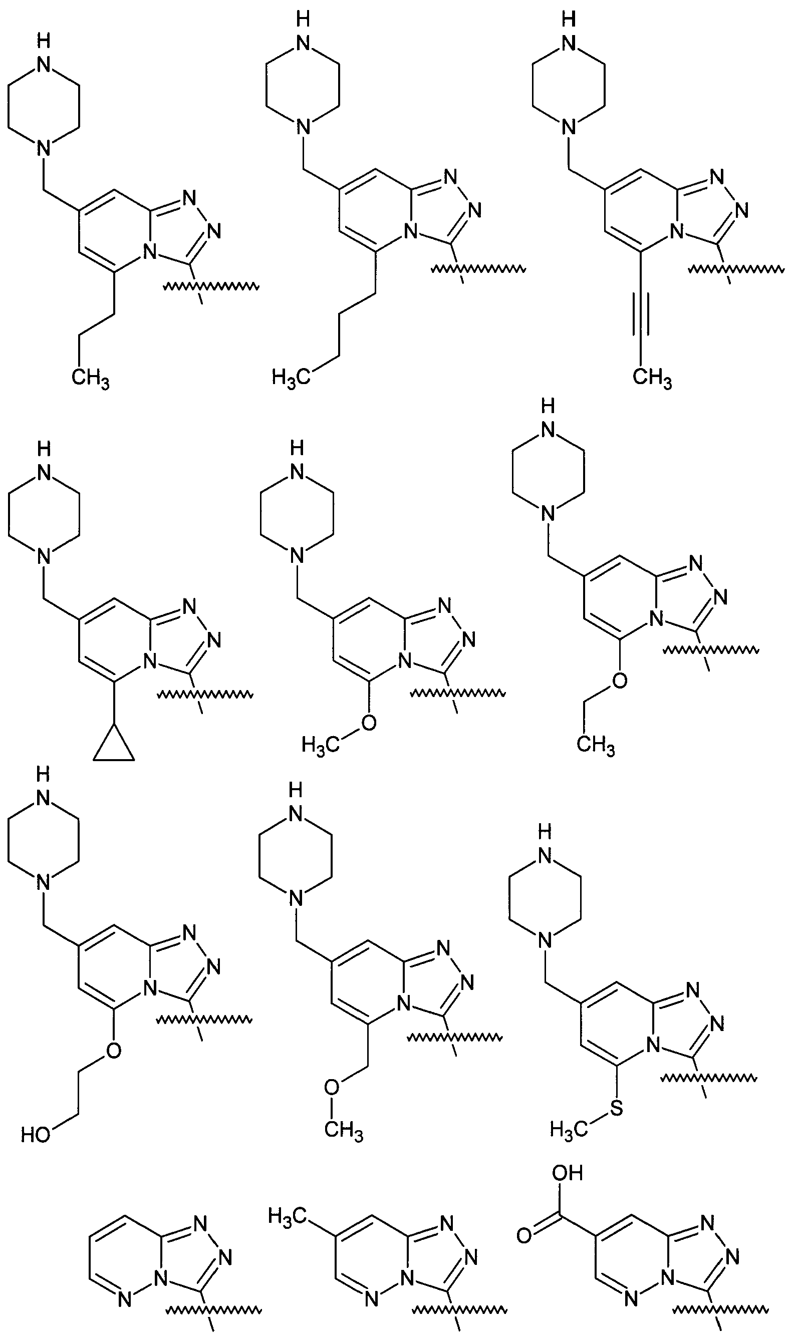
8. Химическое соединение общей формулы II

где
Z представляет собой CH;
X1 представляет собой ; Х2 представляет собой , Х3 представляет собой , X4 представляет собой СН и где X1, X2, X3 и X4 выбираются независимо;
представляет собой -Н;
представляет собой -Н, -F;
представляет собой -Н, -F;
цикл А представляет собой фенил или 6-членный гетероарильный цикл, где гетероарил содержит 1-2 гетероатома, выбранных из N, необязательно замещенный 1-4 группами R3;
цикл В представляет собой фенил или 5- или 6-членный гетероарильный цикл, где гетероарил содержит 1-2 гетероатома, выбранных из N, S, необязательно замещенный 1-5 группами Rb,
Ra и Rb выбираются независимо и представляют собой -Н, галоген, -CN, -R6, -OR4, -NR4R5, -C(O)YR4, -S(O)rR4, -SO2NR4R5, где Y выбирается независимо и представляет собой химическую связь, -NR5-;
L1 представляет собой NR3C(O) или C(O)NR3;
R4 и R5 выбираются независимо и представляют собой Н, С1-С6-алкил, также группа NR4R5 может представлять собой 6-членный насыщенный цикл;
в каждом случае R6 выбирается независимо и представляет собой С16-алкил, возможно замещенный С16-алкилом или 5-6 членным гетероциклилом, который может быть замещен С1-С6-алкилом;
r равно 0;
m равно 1;
р равно 1,2, или его фармацевтически приемлемую соль, сольват или гидрат.

9. Химическое соединение, характеризующееся тем, что представляет собой соединение формулы II, в котором X14 и X23, Z=CH.

10. Химическое соединение, характеризующееся тем, что представляет собой соединение формулы II, в котором .

11. Химическое соединение, характеризующееся тем, что представляет собой соединение формулы II, в котором .

12. Химическое соединение, характеризующееся тем, что представляет собой соединение формулы II, в котором .

13. Химическое соединение по любому из пп.1-12 для применения в качестве ингибитора протеинкиназ.

14. Применение химического соединения по любому из пп.1-12 для получения фармацевтической композиции для лечения и/или предотвращения заболевания, связанного с нарушенной активностью протеинкиназ.

15. Применение по п.14, в котором заболеванием, связанным с нарушенной активностью протеинкиназ, является острый миелолейкоз, хронический миелолейкоз, гепатоцеллюлярная карцинома, немелкоклеточный рак легкого и гастроинтестинальные стромальные опухоли.

16. Фармацевтическая композиция для лечения и/или предотвращения заболевания, связанного с нарушенной активностью протеинкиназ, характеризующаяся тем, что содержит эффективное количество химического соединения по любому из пп.1-12 и фармакологически приемлемый носитель, растворитель или наполнитель.

Описание

[1]

Текст описания приведен в факсимильном виде.

Как компенсировать расходы
на инновационную разработку
Похожие патенты