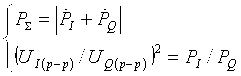
Изобретение относится к области измерительной техники и может быть использовано для измерения мощности радиосигнала в тракте, демодуляции сигнала, измерений амплитуды напряжения переменного тока, в частности к области измерений мощности сигнала путем измерений напряжения. Одновременно осуществляется измерение мощности сигнала P, являющейся суммарной мощностью его квадратурных составляющих, а также демодуляции сигнала. В процессе демодуляции происходит измерение амплитуд огибающих демодулированных сигналов квадратурных составляющих Uи U, затем при последующей дополнительной обработке результатов демодуляции производится компенсация паразитного набега фазы сигнала путем расчета обратной матрицы поворота. На заключительном этапе, в процессе решения системы уравненийпроизводится расчет мощностей квадратурных составляющих Pи P. Технический результат заключается в возможности определения мощности квадратурных составляющих радиосигнала отдельно друг от друга. 1 табл.
Способ определения мощности квадратурных составляющих радиосигнала, заключающийся в одновременном измерении мощности сигнала , являющейся суммарной мощностью его квадратурных составляющих, и демодуляции сигнала, измерении амплитуд огибающих демодулированных сигналов квадратурных составляющих
и
, последующей дополнительной обработке результатов демодуляции, включающей в себя компенсацию паразитного набега фазы сигнала путем расчета обратной матрицы поворота, и последующем расчете мощностей квадратурных составляющих
и
в процессе решения системы уравнений:
.
Изобретение относится к области измерительной техники и может быть использовано для измерения мощности радиосигнала в тракте, демодуляции сигнала, измерений амплитуды напряжения переменного тока, в частности к области измерений мощности сигнала путем измерений напряжения. Известен классический способ измерений мощности радиосигнала методом прямых измерений, с использованием ваттметров различной конструкции, состоящим в нагреве энергией электромагнитной волны чувствительного элемента ваттметра. Данный метод подходит для измерений суммарной мощности нескольких сигналов в тракте, но не позволяет измерить мощность двух квадратурных составляющих одного сигнала отдельно друг от друга. Другим способом является измерение проходящей СВЧ-мощности при помощи специализированного устройства (патент РФ №2071701 от 29.06.1994). Для уменьшения переменной составляющей погрешности рассогласования в полосе частот в предложенном устройстве, содержащем отрезок прямоугольного волновода, в его широкую и узкую стенки встроены две поглощающие пластины с установленными на них термодатчиками одинаковой длины, позволяющего измерять составляющие мощности сигнала. Однако так как предложенное устройство использует эффект нагрева чувствительного элемента, то также не позволяет проводить измерения мощности квадратурных составляющих сигнала по отдельности. Также известен способ определения составляющих мощности, основанный на измерении мгновенных значений тока и напряжения, формировании сигнала, ортогонального измеренному напряжению (с сохранением его нормы) по формулам преобразования Гильберта, вычислении действующего значения напряжения и пересчете норм полученных сигналов в активную и реактивную составляющие мощности (патент РФ 2191393 от 09.08.2000). Предложенный метод, хоть и позволяет оценить ортогональные составляющие мощности при работе на комплексную нагрузку, оценивает мощность только одного сигнала. Техническим результатом от внедрения изобретения является возможность определения мощности квадратурных составляющих радиосигнала отдельно друг от друга. Данный технический результат достигается за счет того, что одновременно осуществляется измерение мощности сигнала PΣ, являющейся суммарной мощностью его квадратурных составляющих, а также демодуляция сигнала. В процессе демодуляции происходит измерение амплитуд огибающих демодулированных сигналов квадратурных составляющих UI(p-p) и UQ(p-p), затем при последующей дополнительной обработке результатов демодуляции производится компенсация паразитного набега фазы сигнала путем расчета обратной матрицы поворота. На заключительном этапе, в процессе решения системы уравнений (1): производится расчет мощностей квадратурных составляющих PI и PQ. Предложенный метод отличается от перечисленных тем, что оценка мощности производится после математической обработки результатов демодуляции, чего ранее не применялось. Именно такой подход позволяет измерить мощности составляющих сигнала даже при существенной разнице их мощностей, а также разнице несущей частоты сигнала и частоты демодуляции. Предложенный способ измерений состоит в том, что результаты измерений получаются в результате совместной обработки измеренных значений суммарной мощности сигналов и амплитуд огибающих квадратурных сигналов. Измерения проходят в три этапа. На первом этапе методом прямых измерений при помощи ваттметра измеряется суммарная мощность сигнала (т.е. суммарная мощность его квадратурных составляющих), а также осуществляется демодуляция сигнала с выделением огибающих каждой из квадратурных составляющих. Демодуляция сигнала может проводиться аналоговыми, аналого-цифровыми или полностью цифровыми методами. Так как частота демодуляции и частота сигнала в тракте в большинстве случаев не совпадают в силу невозможности синхронизации источника сигнала и демодулятора, то фазы демодулированных сигналов могут получать дополнительные паразитные приращения, выражающиеся в эффекте «перетекания» мощности одной квадратуры в демодулированный сигнал другой, и наоборот. При этом значение амплитуды демодулированного сигнала перестает нести информацию только об одной квадратуре, поэтому требуется дополнительная обработка результатов демодуляции. На втором этапе осуществляется компенсация паразитного набега фазы. Паразитный набег фазы можно представить как поворот сигнального созвездия на комплексной плоскости относительно ее осей, причем абсцисса точек, образующих поворачивающуюся фигуру, - результат демодуляции одной квадратуры, ордината - другой квадратуры. Это можно описать матричным уравнением (2): здесь Очевидно, что в случае наличия набега фазы φdif(t) матрица поворота C(t) будет также изменяться вместе с набегом фазы и будет соответствовать матрице поворота на угол φ=(φ0+φdif(t)). В результате отслеживания положения радиус-вектора Элементы вектора На третьем этапе производится расчет мощностей исходя из того, что их сумма и соотношение известны, т.е. решается система уравнений (1). Применимость метода на практике подтверждается многочисленными лабораторными и натурными экспериментами. Результаты измерений приведены в таблице 1. Обозначения величин без штрихов приведены для параметров эталонного сигнала, используемого при апробации метода, обозначения величин со штрихами - результаты измерений величин при помощи ваттметра и аналого-цифрового демодулятора. Таким образом, появилась возможность определения мощности квадратурных составляющих радиосигнала независимо друг от друга. Этим достигается технический результат.