патент
№ RU 2528401
МПК G21C17/104

СПОСОБ ИЗМЕРЕНИЯ НЕЙТРОННОЙ МОЩНОСТИ ЯДЕРНОГО РЕАКТОРА В АБСОЛЮТНЫХ ЕДИНИЦАХ

Авторы:
ЛЕБЕДЕВ ГЕННАДИЙ ВАСИЛЬЕВИЧ
Номер заявки
2013128025/07
Дата подачи заявки
20.06.2013
Опубликовано
20.09.2014
Страна
RU
Как управлять
интеллектуальной собственностью
Реферат

Изобретение относится к физике ядерных реакторов и может быть использовано для измерения F - нейтронной мощности реактора в абсолютных единицах, например, при пусках космических ядерных энергетических установок (КЯЭУ). Техническим результатом, на которое направлено изобретение, является увеличение максимальных значений F. В способе измерения нейтронной мощности ядерного реактора в абсолютных единицах F=V·γ, где V - значение мощности реактора в относительных единицах, γ - коэффициент пропорциональности, нейтронную мощность ядерного реактора в относительных единицах измеряют как среднюю скорость счета детектора нейтронов в стационарном критическом состоянии средствами измерения При этом коэффициент пропорциональности рассчитывают, используя значение автокорреляционной функции. В качестве средства измерения числа нейтронов используют ионизационную камеру для определения флуктуации числа нейтронов. Измеряют отдельно среднее значение тока ионизационной камеры и флуктуирующую составляющую тока ионизационной камеры непрерывно во времени с интервалом дискретности, рассчитывают автокорреляционную функцию флуктуирующего тока ионизационной камеры, после чего рассчитывают коэффициент пропорциональности. 2 з.п. ф-лы, 1 ил., 1 табл.

Формула изобретения

1. Способ измерения нейтронной мощности ядерного реактора в абсолютных единицах F=V·γ, где
V - значение мощности реактора в относительных единицах,
γ = коэффициент пропорциональности,
при этом нейтронную мощность ядерного реактора в относительных единицах измеряют как среднюю скорость счета детектора нейтронов в стационарном критическом состоянии средствами измерения, а коэффициент пропорциональности рассчитывают, используя значение автокорреляционной функции, отличающийся тем, что в качестве средства измерения числа нейтронов используют ионизационную камеру для определения флуктуации числа нейтронов I(t)=I¯+i(t), измеряя отдельно среднее значение тока ионизационной камеры I¯ и флуктуирующую составляющую тока ионизационной камеры i(t) непрерывно во времени с интервалом дискретности Δt, рассчитывают автокорреляционную функцию флуктуирующего тока ионизационной камеры по формуле
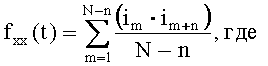
fxx(t)=m=1Nn(imim+n)Nn, где
im, im+n - переменные токи в момент времени T и T+t соответственно
t=k·Δt, k=1, 2, 3…
n=0, 1, 2 …
после чего рассчитывают коэффициент пропорциональности
N - число чисел отсчетов детектора (N>>n)
γ=Y·ехр(-α·t), где
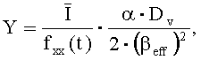
Y=I¯fxx(t)αDv2(βeff)2,
Dv - параметр Дайвена (константа, табличная величина), Dv=0.795 для U235,
Beff - эффективная доля запаздывающих нейтронов,
α - константа спада мгновенных нейтронов в критическом реакторе.

2. Способ по п.1, отличающийся тем, что выбирают интервал дискретности Δt≈0.1/α.

3. Способ по п.1, отличающийся тем, что число измерений i(t) во времени должно быть не менее десяти тысяч.

Описание

[1]

Изобретение относится к физике ядерных реакторов и может быть использовано для измерения F - нейтронной мощности реактора в абсолютных единицах. Задачи измерений F реактора требуется решать при проектировании защиты от излучения, при определении радиационной стойкости корпусов реакторов ВВЭР. Эта задача решается при пусках космических ядерных энергетических установок (КЯЭУ). Пуск КЯЭУ проводят строго по времени с учетом результатов измерений F. Медленный или излишне быстрый выход КЯЭУ на номинальную мощность может быть губительным для нее. Задача в этом случае осложняется тем, что F реактора КЯЭУ должна измеряться в абсолютных единицах на всех этапах пуска КЯЭУ.

[2]

Принятые в тексте обозначения

[3]

F - нейтронная мощность реактора в абсолютных единицах [деления/секунда или ватт]

[4]

V - значение мощности реактора в относительных единицах [отсчеты/секунда или ампер]

[5]

γ - число, коэффициент пропорциональности [ватт/ампер или деления/(секунда - ампер)]

[6]

ε - эффективность детектора нейтронов [отсчет/деления].

[7]

t - время [секунда]

[8]

τ - время [секунда]

[9]

С - число отсчетов детектора [отсчет]

[10]

φхх(τ) - автокорреляционная функция чисел отсчетов детектора [отсчет2]

[11]

fxx(t) - автокорреляционная функция [ампер2]

[12]

I(t) - ток [ампер]

[13]

I¯ - значение среднего значения тока ионизационной камеры [ампер]

[14]

i(t) - флуктуирующие значения тока ионизационной камеры во времени [ампер]

[15]

Y - параметр, определяемый в процессе обработки экспериментальных данных [ампер/деления или ампер/(ватт·секунда)]

[16]

α - параметр, [1/секунда]

[17]

Dν=0.795 - табличная безразмерная величина

[18]

βeff - безразмерная величина

[19]

Δt - интервал дискретности измерений [секунда]

[20]

Задача измерений F решается в два этапа. На первом, относительно простом этапе, выбирается способ измерений мощности реактора в относительных единицах (скорость счета детекторов нейтронов, ток ионизационной камеры и т.п.). Важно, чтобы результат измерений мощности реактора в относительных единицах был пропорционален мощности реактора в абсолютных единицах. Этот коэффициент пропорциональности должен оставаться неизменным в заданном диапазоне изменений F, т.е. в этом диапазоне должно выполняться равенство:

[21]

F=Vγ,где(1)

[22]

F - значение нейтронной мощности реактора в абсолютных единицах (в ваттах или в делениях в секунду)

[23]

V - значение мощности реактора в относительных единицах (скорость счета детектора нейтронов, ток, протекающий через ионизационную камеру)

[24]

γ - коэффициент пропорциональности.

[25]

На втором этапе измеряется одновременно мощность реактора в абсолютных и относительных единицах. По результатам этих измерений вычисляется значение γ. Далее для определения F в диапазоне пропорциональности достаточно измерить мощность в относительных единицах и умножить этот результат измерений на γ. Номинальная мощность реакторов обычно на много порядков больше уровня мощности, который может быть измерен экспериментально. В практической работе более всего ценятся результаты вычислений γ на уровнях мощности реактора, сравнимых с номинальным уровнем.

[26]

Предлагается измерять F статистическими методами. Известно несколько разновидностей статистических методов измерений F в критическом состоянии реактора. Различаются эти методы в деталях, все они основаны на изучении флуктуации числа нейтронов в реакторе. Характерным свойством флуктуации является уменьшение их амплитуд на уровнях средних значений чисел нейтронов по мере увеличения нейтронной мощности. Соответственно общим недостатком всех без исключения статистических методов являются относительно небольшие уровни мощности, на которых они могут быть реализованы. Известен способ измерений F - метод корреляционного анализа (МКА) - прототип. Известный американский специалист Р. Уриг в своей монографии «Статистические методы в физике ядерных реакторов» (Атомиздат. 1974. Москва) по поводу МКА на стр.55 пишет: «Следует отметить, что… фоновые величины зависят от … F2, в то время как амплитуда … зависит только от F. Следовательно, этот метод ограничивается очень низкими скоростями делений».

[27]

МКА основан на измерении вероятности зарегистрировать нейтрон в момент времени t+τ при условии, что ранее нейтрон был зарегистрирован в момент времени t. Эта вероятность называется автокорреляционной функцией φхх(τ) измерений чисел отсчетов детектора. Значения функции φхх(τ) рассчитываются по результатам измерений чисел отсчетов детектора по формуле:

[28]

ϕxx(τ)=m=1NnCmCm+nNn, (2)

[29]

где

[30]

Cm, Cm+n - числа отсчетов детектора за временной интервал Δt в момент времени t и t+τ соответственно,

[31]

t=k·Δt, k=1,2,3…

[32]

n=0,1,2,…

[33]

N- число отсчетов детектора (N>>n).

[34]

Исходя из характеристик цепной реакции деления ядер и свойств стационарного критического реактора без запаздывающих нейтронов можно записать соотношение, связывающее функцию φxx(τ) при τ>0 с параметрами такого реактора (Р. Уриг «Статистические методы в физике ядерных реакторов» (Атомиздат. 1974. Москва):

[35]

ϕxx(τ)=(FεΔt)2+FεΔt[εDν2βeff2αΔteατ], где (3)

[36]

ε - эффективность экспериментального детектора

[37]

Dν - параметр Дайвена (константа, табличная величина), Dν=0.795 для U235,

[38]

βeff - эффективная доля запаздывающих нейтронов (величина, известная по результатам независимых экспериментов или вычисляемая по программам расчета параметров кинетики реакторов),

[39]

α - константа спада мгновенных нейтронов в критическом реакторе.

[40]

Формула численно описывает флуктуации потока нейтронов во временной области. Первое слагаемое этой формулы описывает вероятность случайных пар отсчетов нейтронов. Второе слагаемое описывает вероятность коррелированных пар отсчетов нейтронов, имеющих общее происхождение. Если реализовать измерения, непосредственно используя формулу (3) при обработке экспериментальных данных для определения мощности в абсолютных единицах, то существует предел по мощности, исчисляемый долями ватт, выше которого измерения станут невозможными. Действительно, в формуле (3) первое слагаемое (фоновая составляющая), пропорциональное (F·ε)2, начиная с указанного предела по мощности, становится во много раз больше второго слагаемого, пропорционального F·ε.

[41]

Характерной особенностью статистических методов измерений параметров реактора является требование достаточно высокой эффективности экспериментального детектора (ε~βeff2104). При низкой эффективности детектора (ε<<10-4) вероятность коррелированных пар отсчетов становится много меньше случайных пар отсчетов. В этом случае не удается измерить какие-либо параметры реактора ни МКА, ни любым другим статистическим методом.

[42]

Предлагается модернизированный метод корреляционного анализа (ММКА). Этот способ обеспечивает измерения мощности реактора до уровней, исчисляемых в киловаттах. При реализации ММКА флуктуации числа нейтронов I(t) представляются в виде суммы среднего значения I¯ функции I(t) и флуктуирующей составляющей i(t):I(t)=I¯+i(t). В этих случаях корреляционная функция рассчитывается по формуле:

[43]

fxx(t)=m=1Nn(imim+n)Nn, где (4)

[44]

im, im+n - переменные токи в момент времени T и T+t соответственно.

[45]

t=k·Δt, k=1,2,3…

[46]

n=0,1,2,…

[47]

N - число чисел отсчетов детектора (N>>n)

[48]

Техническим результатом, на которое направлено изобретение, является увеличение максимальных значений F, измеряемых следующим способом,

[49]

Способ измерения нейтронной мощности ядерного реактора в абсолютных единицах F=V·γ, где

[50]

V - значение мощности реактора в относительных единицах,

[51]

γ = коэффициент пропорциональности,

[52]

при этом нейтронную мощность ядерного реактора в относительных единицах измеряют как среднюю скорость счета детектора нейтронов в стационарном критическом состоянии средствами измерения, а коэффициент пропорциональности рассчитывают, используя значение автокорреляционной функции, при этом в качестве средства измерения числа нейтронов используют ионизационную камеру для определения флуктуации числа нейтронов I(t)=I¯+i(t), измеряя отдельно среднее значение тока ионизационной камеры I¯ и флуктуирующую составляющую тока ионизационной камеры i(t) непрерывно во времени с интервалом дискретности Δt, рассчитывают автокорреляционную функцию флуктуирующего тока ионизационной камеры по формуле

[53]

fxx(t)=m=1Nn(imim+n)Nn, где

[54]

im, im+n - переменные токи в момент времени T и T+t соответственно.

[55]

t=k·Δt, k=1,2,3…

[56]

n=0,1,2,…

[57]

N - число чисел отсчетов детектора (N>>n),

[58]

после чего рассчитывают коэффициент пропорциональности

[59]

γ=Y·ехр(-α·t), где

[60]

Y=I¯fxx(t)αDν2(βeff)2,

[61]

Dν - параметр Дайвена (константа, табличная величина), Dν=0.795 для U235,

[62]

βeff - эффективная доля запаздывающих нейтронов

[63]

α - константа спада мгновенных нейтронов в критическом реакторе.

[64]

При этом выбирают интервал дискретности Δt≈0.1/α.

[65]

Кроме того, число измерений i(t) во времени должно быть не менее десяти тысяч.

[66]

Таким образом, увеличение измеряемой мощности достигается за счет:

[67]

1) использования в эксперименте в качестве детектора нейтронов ионизационной камеры

[68]

2) отсечение на аппаратном уровне постоянной составляющей от I(t) - результата измерений флуктуации числа нейтронов

[69]

3) измерений среднего значения тока (I¯) и отдельно i(t) - флуктуирующих значений тока ионизационной камеры во времени t с помощью усилителя У7-6 (или его аналога) с записью измеренных значений i(t) в оперативную память компьютера

[70]

4) расчета корреляционной функции fxx(t) по формуле (4) с использованием результатов измерений i(t)

[71]

5) преобразования формулы (3) к рабочему виду:

[72]

[73]

[74]

I¯ - среднее значение тока ионизационной камеры (результат измерений мощности реактора в относительных единицах)

[75]

α - параметр

[76]

Dν, βeff - параметры, величины которых известны из независимых экспериментов

[77]

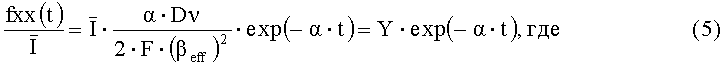
6) использования измеренных значений fxx(t)/I¯ для определения параметров Y и α методом наименьших квадратов с учетом вида формулы (5)

[78]

7) вычисления искомого значения коэффициента пропорциональности γ по формуле:

[79]

γ=α2Y(βeff)2(6)

[80]

Предложенный способ измерений значения γ назван модернизированным методом корреляционного анализа, заключающимся в том, что включают экспериментальную установку для измерений значений I¯ и i(t) во времени непрерывно с интервалом дискретности Δt от начала до конца эксперимента. Экспериментальная установка состоит из детектора нейтронов (ионизационной камеры), электрометра для измерений среднего значения тока ионизационной камеры, усилителя типа У7-6 (или его аналога) для измерений флуктуирующих значений тока ионизационной камеры на уровне среднего значения тока, преобразователя сигнала с выхода усилителя У7-6 в цифровой код, компьютера с программой, обеспечивающей запись цифрового кода в оперативную память PC и внешние носители информации. Выводят реактор в стационарное критическое состояние на заданный уровень нейтронной мощности реактора. Уровень мощности реактора ограничен максимальным значением тока ионизационной камеры, записанным в ее паспорте. Включают компьютер. Вводят в оперативную память компьютера, сопряженного с экспериментальной аппаратурой, программу записи результатов измерений значения I¯ и i(t) во времени непрерывно с интервалом дискретности Δt. Указывают в программе значение Δt и число значений функции, которое планируется реализовать для достижения требуемой точности эксперимента. Обычно число значений функций i(t), записываемых в оперативную память компьютера, несколько десятков тысяч. Интервал Δt рекомендуется выбирать из расчета: Δt≈0.1/α. Примерное значение параметра α должно быть известно до опыта.

[81]

В подтверждение возможности реализации измерений ММКА значения γ проведена серия экспериментов на реакторе. Измерено значение γ на трех уровнях нейтронной мощности ~ 50 ватт, ~ 100 ватт и ~ 500 ватт.

[82]

На чертеже в полулогарифмическом масштабе приведены результаты вычислений значений функций fxx(t)/I¯ по данным измерений токов i(t) ионизационной камеры КНК-56 на трех уровнях мощности критсборки. Значения функций fxx(t)/I¯ помечены точками, совокупность этих данных обработана методом наименьших квадратов с учетом вида формулы (5). Пунктирной линией обозначена кривая, имеющая следующие параметры в результате обработки данных:

[83]

α=-(654±1)с-1, Y=exp(-24.80±0.01). По этому значению Y рассчитана искомая величина γ=0.772·107 ватт/ампер. Результаты измерений средних значений токов ионизационной камеры КНК-56 на трех уровнях мощности критсборки и коэффициент γ использованы для расчета F. Результаты расчета значений F и соответствующие значения I¯ приведены в таблице.

[84]

n123
I¯n (мкА)6.76±0.113.3±0.166.9±0.1
Fn (ватт)52.2±1102.7±1516.8±1

[85]

Результаты экспериментов, приведенные в таблице, подтверждают возможность измерений мощности реактора F предложенным способом. ММКА по сравнению с известным МКА не имеет ограничений по причине все возрастающих значений фоновых величин по сравнению с информативными величинами ввиду отсутствия фоновых величин. Более того, целесообразно проводить измерения ММКА по возможности на максимально больших уровнях мощности реактора F. При измерениях токов ионизационных камер неизбежно присутствуют помехи, уровень которых не зависит от величины мощности реактора F. С увеличением мощности реактора F увеличиваются средние значения токов I¯ и i(t), соответственно уменьшается влияние помех на результат эксперимента.

Как компенсировать расходы
на инновационную разработку
Похожие патенты