патент
№ RU 2568977
МПК H01L21/308

СПОСОБ ЗАЩИТЫ УГЛОВ ТРЕХМЕРНЫХ МИКРОМЕХАНИЧЕСКИХ СТРУКТУР НА КРЕМНИЕВОЙ ПЛАСТИНЕ ПРИ ГЛУБИННОМ АНИЗОТРОПНОМ ТРАВЛЕНИИ

Авторы:
Ушков Александр Викторович
Номер заявки
2014132199/28
Дата подачи заявки
05.08.2014
Опубликовано
20.11.2015
Страна
RU
Как управлять
интеллектуальной собственностью
Чертежи 
5
Реферат

Использование: для изготовления микроэлектромеханических структур. Сущность изобретения заключается в том, что способ защиты углов трехмерных микромеханических структур на кремниевой пластине с кристаллографической ориентацией (100) при глубинном анизотропном травлении в водном растворе гидрооксида калия КОН включает формирование масочного рисунка с элементами защиты углов, элементы защиты углов, имеющие диагональную форму на топологической маске, располагают под углом 45° к контурам жесткого центра, причем размеры изготовляемых трехмерных микромеханических структур определяются из определенных условий. Технический результат: обеспечение возможности повышения качества и увеличения процента выхода годных трехмерных микромеханических структур. 6 ил., 2 табл.

Формула изобретения

Способ защиты углов трехмерных микромеханических структур на кремниевой пластине с кристаллографической ориентацией (100) при глубинном анизотропном травлении в водном растворе гидрооксида калия КОН, включающий формирование масочного рисунка с элементами защиты углов, примыкающими к исходной части топологической маски вблизи точки пересечения сторон защищаемого чипа или трехмерной микроструктуры на пластине, причем травление проводят до тех пор, пока кремниевые элементы, сформированные в области маски защиты углов, не стравятся в процессе травления до границы исходной топологической области жесткого центра микромеханической структуры, отличающийся тем, что элементы защиты углов, имеющие диагональную форму на топологической маске, располагают под углом 45° к контурам жесткого центра, причем размеры изготовляемых трехмерных микромеханических структур определяют из условий: a/hTP>2,97; b/hTP>2,1; (a-b)/hTP>0,87, а параметры их изготовления назначают из соотношений m≥hTP·(1+ctgβ) - длина, l=2·hTP - ширина,
где а - половина от размера стороны квадратной мембраны трехмерной микромеханической структуры,
b - половина от размера квадратной стороны жесткого центра на мембране трехмерной микромеханической структуры,
hTP - глубина травления в направлении <100>,
β - угол, определяемый отношением скорости травления V1 диагонального компенсатора к скорости травления V<100> в направлении <100>.

Описание

[1]

Изобретение относится к микромеханике, а именно к технологии изготовления микроэлектромеханических структур (МЭМС).

[2]

Известен способ микропрофилирования монокристаллического кремния ориентации (100) посредством анизотропного химического травления в системе едкое кали КОН - изопропиловый спирт (ИПС) C3H2OH - вода H2O, содержащей КОН: ИПС: H2O=32 г: 250 мл: 375 мл при температуре +80°C. При формировании мезаструктур или V-образных канавок в данном травителе происходит растравливание внешних углов. Для получения формы углов, близкой к прямоугольной, в рисунок фотошаблонов в вершинах внешних углов вводят компенсирующие элементы в виде маскированного квадрата, центр которого совмещен с вершиной элемента. Недостатком указанного способа защиты внешних углов является большая площадь фигур компенсации квадратной формы, в результате которой остаточная толщина кремниевой пластины в местах расположения указанных фигур из-за неполного их стравливания может превышать заданное значение на 5-15 мкм, что отражается на характеристиках изготавливаемых микромеханических структур. Например, в случае формирования таким способом мембраны с жестким центром датчика давления это приводит к снижению чувствительности, определяемой номинальной толщиной мембраны, и ухудшению линейности преобразовательной характеристики. Готра З.Ю. Технология микроэлектронных устройств: Справочник. - М.: Радио и связь, 1991: илл., с. 397.

[3]

Известен способ защиты углов трехмерных микромеханических структур на кремниевой пластине с кристаллографической ориентацией (100), которую подвергают анизотропному травлению в водном растворе гидрооксида калия КОН, включающий формирование масочного рисунка с элементами защиты углов, примыкающими к исходной части топологической маски вблизи точки пересечения сторон защищаемого чипа или трехмерной микроструктуры на пластине и продолжающимися за пределы исходной части маски, при котором для защиты выпуклых углов чипа или трехмерной микроструктуры формируют масочный рисунок с элементами Т-образной формы, содержащей продольную и поперечную части, масочный рисунок с Т-образными элементами защиты выпуклых углов формируют из металлической структуры V-Cu′-Cu′′, включающей тонкопленочную структуру ванадия и меди V-Cu′ и гальванический слой меди Cu′′, а каждый из Т-образных элементов защиты выполняют в форме двух полосок - продольной вдоль кристаллографического направления [110] высотой В и поперечной шириной Ш, расположенной в поперечном направлении под прямым углом к продольной полоске, при этом травление проводят до тех пор, пока продольные кремниевые элементы, сформированные в области маски защиты углов в процессе анизотропного химического травления, не стравятся до границы исходной топологической области жесткого центра преобразователя, что соответствует моменту формирования правильного многоугольника в основании объемной фигуры жесткого центра, самосовмещения топологических слоев преобразователя и выхода на заданную глубину травления. В случае травления кремния в 33% растворе гидрооксида калия при температуре кипения для заданных интервалов отношений конструктивных параметров микромеханической структуры 0,44<b/a<0,73 и 30,6<h/a·103<36,6, размеры Т-образных элементов защиты выполняют в соотношениях как 5,1<В/Ш<9,1, где а - половина от размера стороны квадратной мембраны, b - половина от размера стороны квадратного основания жесткого центра, h - толщина мембраны.

[4]

Патент Российской Федерации №2220475, МПК: H01L 21/308, 2003 г. Прототип.

[5]

Недостатками прототипа являются невозможность получения точной формы прямого угла и потеря точности при визуальном контроле процесса самосовмещения топологических слоев, как следствие, увеличивается процент брака выпускаемых трехмерных микромеханических структур. Это обусловлено тем, что Т-образные фигуры компенсации, так же как и защищаемые ими внешние углы, имеют один и тот же механизм травления, в процессе которого происходит огранка (скругление) вершин внешних углов. Поэтому в момент полного стравливания компенсаторов квадратной или Т-образной формы сразу же начинается травление защищаемого ими элемента микромеханической структуры, в связи с чем получить правильную прямоугольную форму внешнего угла при использовании указанных фигур компенсации принципиально невозможно. Поскольку радиус скругления защищаемого угла может иметь технологический разброс в довольно широком диапазоне, определяемом такими факторами, как свойства кремниевой пластины, свойства компонентов травителя, температурой травителя и точностью ее поддержания, то выработать четкие критерии, определяющие момент полного стравливания защитного элемента и, как следствие, достижения требуемой глубины травления, не представляется возможным. В результате получится разброс формируемых мембран по толщине, что применительно, например, к изготовлению чувствительных элементов датчиков давления приведет к их вариации по чувствительности, линейности и нагрузочной способности.

[6]

Изобретение устраняет указанные недостатки.

[7]

Техническим результатом изобретения является повышение качества и увеличение процента выхода годных трехмерных микромеханических структур.

[8]

Технический результат достигается тем, что в способе защиты углов трехмерных микромеханических структур на кремниевой пластине с кристаллографической ориентацией (100) при глубинном анизотропном травлении в водном растворе гидрооксида калия КОН, включающем формирование масочного рисунка с элементами защиты углов, примыкающими к исходной части топологической маски вблизи точки пересечения сторон защищаемого чипа или трехмерной микроструктуры на пластине, причем травление проводят до тех пор, пока кремниевые элементы, сформированные в области маски защиты углов не стравятся в процессе травления до границы исходной топологической области жесткого центра микромеханической структуры, элементы защиты углов, имеющие диагональную форму на топологической маске, располагают под углом 45′ к контурам жесткого центра, причем размеры изготовляемых трехмерных микромеханических структур определяют из условий: a/hTP>2,97; b/hTP>2,1; (a-b)/hTP>0,87, а параметры их изготовления назначают из соотношений m≥hTP·(1+ctgβ) - длина, l=2·hTP - ширина,

[9]

где а - половина от размера стороны квадратной мембраны трехмерной микромеханической структуры,

[10]

b - половина от размера квадратной стороны жесткого центра на мембране трехмерной микромеханической структуры,

[11]

hTP - глубина травления в направлении <100>,

[12]

β - угол, определяемый отношением скорости травления V1 диагонального компенсатора к скорости травления V<100> в направлении <100>.

[13]

Изобретение поясняется фигурами 1-6.

[14]

На Фиг. 1 показана фотография трехмерной микромеханической структуры, представляющей собой кремниевую мембрану с жестким центром и сформированную с использованием Т-образных фигур компенсации.

[15]

На Фиг. 2 показана конфигурация кремниевой мембраны с жестким центром, имеющим правильную прямоугольную форму.

[16]

На Фиг. 3 показано поперечное сечение кремниевой мембраны с жестким центром, имеющим правильную прямоугольную форму.

[17]

На Фиг. 4 показана схема размещения фигур компенсации диагональной формы и назначения их размеров.

[18]

На Фиг. 5 показан график зависимости угла β на компенсаторе диагональной формы от соотношения скоростей травления.

[19]

На Фиг. 6 показана фотография кремниевой мембраны с жестким центром, сформированной с использованием фигур компенсации диагональной формы.

[20]

Способ осуществляется следующим образом. В момент полного стравливания элементов защиты Т-образной формы (см. Фиг. 1) сразу же начинается травление защищаемых ими внешних углов, из-за чего получить правильную прямоугольную форму последних при использовании подобных защитных элементов принципиально невозможно. Это объясняется тем, что в данном случае огранка внешних углов происходит по плоскостям {111}, {100} и плоскостям, близким к {311}, у основания углов наблюдается выход плоскостей {110}. Поверхность плоскостей {311}, {100} и {111}, образующих боковые грани, зеркальная, а {110} - ребристая, что обусловлено выходом семейства плоскостей {111}, пересечения граней которых и образуют указанные ребра.

[21]

Правильную прямоугольную форму защищаемого внешнего угла (см. Фиг. 2 и Фиг. 3) получают при использовании фигур компенсации диагональной формы. В начале процесса (см. Фиг. 4) травление при вершине прямого угла в направлении вектора скорости V1 идет по тому же пути, что и для квадратного или Т-образного компенсаторов. При травлении в направлении вектора V2 появляется семейство плоскостей {100}. Это подтверждается равенством абсолютных значений скоростей V<100> и V2 во всем исследованном температурном диапазоне. При определенной глубине травления, зависящей от формы, размеров и ориентации исходной фигуры травления, достигается равновесная форма огранки. После того как прямой угол при вершине компенсатора окончательно стравится, появляются плоскости, следы которых образуют между собой угол ≈30° в плоскости (100) и угол ≈15° с семейством плоскостей, перпендикулярных направлению вектора V2. При дальнейшем увеличении глубины фигура травления изменяется геометрически подобно.

[22]

В качестве маскирующего материала при анизотропном травлении кремния в водном растворе гидрооксида калия КОН применяют пленки, например, двуокиси кремния SiO2, нитрида кремния или металлической структуры V-Cu′-Cu′′. Минимальное расстояние Si3N4 между вершиной диагонального компенсатора и контуром мембраны микромеханической структуры на топологической маске определяется характеристиками оборудования, используемого для формирования маскирующего слоя на поверхности кремниевой пластины и переноса на него топологического рисунка маски. Для случая контактной фотолитографии Smin составляет 5…10 мкм.

[23]

Ширина l диагонального компенсатора вычисляется по формуле:

[24]

[25]

где hTP - глубина травления кремния, мкм;

[26]

V<100> - скорость травления кремния в направлении <100>, мкм/мин;

[27]

tTP - время травления, мин.

[28]

Для обеспечения защиты внешнего угла в течение заданного времени травления размер m, определяемый как расстояние от вершины защищаемого угла до вершины угла диагонального компенсатора на топологическом рисунке фотошаблона, должен удовлетворять условию:

[29]

[30]

Случай равенства в формуле (2) является предельным и соответствует длине стороны треугольника, образуемого фронтами травления скоростей V2 и V2 (см. Фиг. 3). При m<hTP·(1+ctgβ) компенсатор стравится до достижения требуемой толщины мембраны и начнется растравливание защищаемого им угла, что приведет к формированию конфигурации внешних углов, представленной на Фиг. 1.

[31]

Угол β определяется типом проводимости кремниевой пластины, температурой и концентрацией травителя. Значения угла β для монокристаллического кремния марки КЭФ n-типа проводимости (ρ=4,5 Ом·см) ориентации (100) при травлении в 33%-ном водном растворе КОН представлены в таблице 1.

[32]

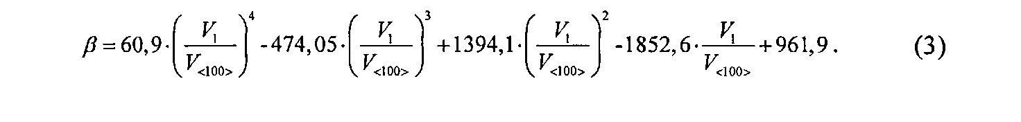
В общем случае значение угла β зависит от соотношения скоростей травления V1/V<100> и определяется по формуле (3):

[33]

[34]

Численные значения угла β в зависимости от соотношения скоростей V1/V<100> представлены в таблице 2 и на Фиг. 5.

[35]

Конфигурация трехмерной микромеханической структуры, представляющей собой изготовленную с использованием компенсаторов диагональной формы мембрану с жестким центром, представлена на Фиг. 6

[36]

Ввиду того, что скорость V2 бокового травления компенсатора совпадает со скоростью травления V<100> вглубь кремниевой пластины, момент полного стравливания компенсатора диагональной формы соответствует достижению требуемой глубины травления.

[37]

Способ позволяет получать внешние углы правильной прямоугольной формы, одновременно обеспечивая возможность визуального контроля глубины травления по остаточной конфигурации фигур компенсации, и, следовательно, повысить качество и выход годных трехмерных микромеханических структур.

[38]

Как компенсировать расходы
на инновационную разработку
Похожие патенты