Изобретение относится к области радиационного контроля, а именно к способам измерения бета-радиоактивности тритиевой мишени в запаянных (отпаянных) нейтронных трубках. Сущность изобретения заключается в том, что неизвестную радиоактивность тритиевой мишени Ав нейтронной трубке определяют, используя полученное значение бета-тока, по формулеА=K⋅I,где K- калибровочный коэффициент, для определения которого берут n нейтронных трубок данного типа с известной радиоактивностью тритиевых мишеней А, для каждой трубки регистрируют значения бета-тока Iи на основании полученных значений определяют Кпо формулегде,- средние значения величин Iи A,- среднее значение произведения величин Aи I,- среднее значение квадрата величины I.Технический результат – определение радиоактивности тритиевой мишени внутри запаянной нейтронной трубки без вскрытия корпуса трубки и демонтажа мишени. 3 ил., 1 табл.
Способ измерения радиоактивности тритиевой мишени в запаянной нейтронной трубке, заключающийся в измерении тока с измерительного электрода, собирающего поток бета-частиц с бета-источника, причем измерительный электрод и бета-источник находятся в вакууме, отличающийся тем, что управляющие электроды нейтронной трубки, электрически изолированные от тритиевой мишени, электрически соединяют вместе, формируя измерительный электрод, к измерительному электроду подключают источник постоянного напряжения положительной полярности от 80 до 140 В, бета-ток Iβ измеряют в электрической цепи, состоящей из измерительного электрода, источника постоянного напряжения и мишенного электрода с тритиевой мишенью, посредством включения в цепь измерителя тока, неизвестную радиоактивность тритиевой мишени Анеизвестная в нейтронной трубке определяют, используя полученное значение бета-тока, по формуле Анеизвестная=Kм⋅Iβ, где Kм - калибровочный коэффициент, для определения которого берут n нейтронных трубок данного типа с известной радиоактивностью тритиевых мишеней AMi, для каждой трубки регистрируют значения бета-тока Iβi и на основании полученных значений определяют Kм по формуле где
,
- средние значения величин Iβi и AMi,
- среднее значение произведения величин AMi и Iβi,
- среднее значение квадрата величины Iβi.
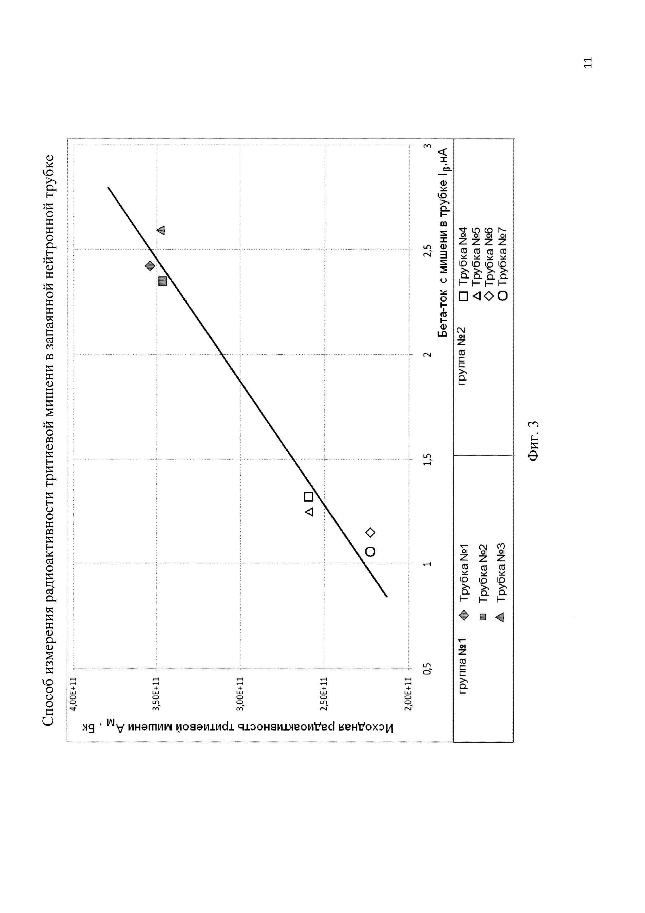
Изобретение относится к области радиационного контроля, а именно к способам определения бета-радиоактивности тритиевой мишени в запаянных нейтронных трубках. Изобретение может быть использовано при проведении технологического контроля запаянных нейтронных трубок с тритиевыми мишенями на всех этапах их жизненного цикла (после изготовления, при хранении и эксплуатации) или в научно-исследовательских целях, где необходимы измерения радиоактивности в диапазоне от 1⋅107 до 5⋅1012 Бк. Общеизвестен способ определения радиоактивности с помощью ионизационных камер [Б. Росси и Г. Штауб. Ионизационные камеры и счетчики / Перевод с английского под ред. Г.Б. Жданова. - М.: Иностранная литература, 1951. - 29 с.], заключающийся в том, что радиоактивный объект помещают в ионизационную камеру, имеющую два электрода и заполненную газом, прикладывают разность потенциалов между электродами, измеряют ионизационный ток, возникающий между электродами, вследствие образования определенного числа пар ионов в рабочем газе камеры при пролете ионизирующих частиц, вылетевших из измеряемого объекта, и обрабатывают результат с учетом градуировочной зависимости, полученной при установке в камеру образцовых источников излучения. Использовать способ определения радиоактивности с помощью ионизационных камер напрямую нельзя, так как в нейтронных трубках в выключенном состоянии возникновение ионизационного тока невозможно, поскольку длина свободного пробега бета-частицы, вылетевшей с тритиевой мишени, намного больше расстояния между мишенью и другими электродами трубки, что сводит к минимуму вероятность ионизации остаточного газа. Можно было бы извлечь мишень и измерить ее радиоактивность в газе, но нейтронная трубка имеет герметичный корпус с вакуумом ~10-5 Торр внутри, поэтому доступ к мишени невозможен без вскрытия корпуса трубки и потери ее работоспособности. Прототипом изобретения является способ измерения абсолютной активности β-излучателя [ГОСТ 26306-84. ИСТОЧНИКИ БЕТА-ИЗЛУЧЕНИЯ РАДИОНУКЛИДНЫЕ ЗАКРЫТЫЕ. Методы измерения параметров. Общие требования безопасности. Введ. 01.01.1986. - М.: Изд-во стандартов, 1985. - 13 с.], основанный на измерении электрометром тока, стекающего с массивного измерительного электрода (цилиндр Фарадея), выполненного в виде стакана и изолированного от земли, внутри которого помещен бета-излучатель, поток бета-частиц с которого в геометрии 2⋅π собирается электродом и сообщает ему заряд. Электрод и источник помещены в вакуумированный кожух, чтобы исключить ионизацию воздуха ионизирующими частицами. Согласно прототипу, для измерения радиоактивности тритиевой мишени необходимо поместить тритиевую мишень в цилиндр Фарадея и обеспечить геометрию собирания заряда 2⋅π. Недостатком прототипа является невозможность определения радиоактивности тритиевой мишени в запаянной нейтронной трубке без вскрытия корпуса трубки и демонтажа мишени. Техническим результатом предлагаемого способа является возможность определения радиоактивности тритиевой мишени в запаянной нейтронной трубке без вскрытия корпуса трубки и демонтажа мишени. Технический результат достигается тем, что в способе измерения радиоактивности тритиевой мишени в запаянной нейтронной трубке, заключающемся в измерении тока с измерительного электрода, собирающего поток бета-частиц с бета-источника, причем измерительный электрод и бета-источник находятся в вакууме, управляющие электроды нейтронной трубки, электрически изолированные от тритиевой мишени, электрически соединяют вместе, формируя измерительный электрод, к измерительному электроду подключают источник постоянного напряжения положительной полярности от 80 до 140 В, бета-ток Iβ измеряют в электрической цепи, состоящей из измерительного электрода, источника постоянного напряжения и мишенного электрода с тритиевой мишенью, посредством включения в цепь измерителя тока, неизвестную радиоактивность тритиевой мишени Анеизвестная в нейтронной трубке определяют, используя полученное значение бета-тока, по формуле Анеизвестная=Kм⋅Iβ, где Kм - калибровочный коэффициент, для определения которого берут n нейтронных трубок данного типа с известной радиоактивностью тритиевых мишеней AMi,, для каждой трубки регистрируют значения бета-тока Iβi и на основании полученных значений определяют Kм по формуле где Принципиальная схема, поясняющая способ измерения радиоактивности тритиевой мишени в нейтронной трубке, представлена на фиг. 1. Принятые обозначения: 1 - измерительный электрод, 2 - мишенный электрод, 3 - тритиевая мишень, 4 - изолятор, 5 - измеритель тока, 6 - экран, 7 - источник постоянного напряжения, 8 - внешние выводы управляющих электродов, 9 - поток бета-частиц. На фиг. 2. представлена зависимость бета-тока на измерительном канале от напряжения на измерительном электроде (положительная ветвь BAX) для двух групп трубок (группа №1, группа №2) одинакового типа с различными значениями радиоактивностей установленных в них тритиевых мишеней 3 при различных коэффициентах насыщения трития в титановой мишени, представляющим собой отношение трития к титану T/Ti. Для группы №1 средняя радиоактивность 3,5⋅1011 Бк, для группы №2 - 2,4⋅1011 Бк. На фиг. 3 показана типовая зависимость исходной радиоактивности тритиевой мишени от бета-тока с мишени в трубке АM (Iβ) для данного типа трубок, характеризующаяся калибровочным коэффициентом KM. Нейтронная трубка, радиоактивность мишени которой требуется измерить, включает в себя мишенный электрод 2, тритиевую мишень 3, изолятор 4 и управляющие электроды, имеющие внешние выводы 8. Тритиевая мишень 3, испускающая поток 9 бета-частиц, расположена на мишенном электроде 2, который соединен с изолятором 4, на противоположной стороне которого располагаются внешние выводы 8 управляющих электродов. Для реализации заявленного способа необходимы измерительный электрод 1, источник 7 постоянного напряжения, измеритель 5 тока, экран 6. Заявленный способ реализуется следующим образом. Образуют измерительный электрод 1 путем электрического соединения внешних выводов 8 управляющих электродов нейтронной трубки, отделенных изолятором 4 от мишенного электрода 2 с тритиевой мишенью 3. К измерительному электроду 1 подключают положительный вывод источника 7 постоянного напряжения. Отрицательный вывод источника 7 постоянного напряжения соединяют с одним из выводов измерителя 5 тока, второй вывод измерителя 5 тока соединяют с мишенным электродом 2. Таким образом, получают электрическую цепь, состоящую из измерительного электрода 1, источника 7 постоянного напряжения, измерителя 5 тока, мишенного электрода 2 с тритиевой мишенью 3 и потока 9 бета-частиц. С целью уменьшения электромагнитных наводок, нейтронную трубку с измерительной электрической схемой помещают в экран 6. Тритиевая мишень 3, входящая в состав запаянной нейтронной трубки, является бета-источником, который создает поток 9 бета-частиц. Измерительный электрод 1 собирает поток 9 бета-частиц с бета-источника, причем измерительный электрод 1 и бета-источник (тритиевая мишень 3) находятся в вакууме. С помощью измерителя 5 тока измеряют бета-ток Iβ в электрической цепи. Подавая напряжение U от источника 7 постоянного напряжения, повышают чувствительность метода за счет коэффициента усиления Ку, который равен отношению величины Iβ при заданном напряжении к величине Iβ при отсутствии напряжения. Неизвестную радиоактивность тритиевой мишени Анеизвестная в нейтронной трубке определяют, используя полученное значение тока Iβ, по формуле Анеизвестная=KM⋅Iβ. Для определения калибровочного коэффициента KM изучают работу однотипных вакуумных нейтронных трубок в количестве n штук с различным насыщением тритиевой мишени 3 с известными коэффициентами насыщения T/Ti в мишени, т.е. с известной радиоактивностью AMi. Экспериментально измеряют IβI, соответствующее известной радиоактивности AMi. Для повышения чувствительности метода измерения бета-тока Iβi снимают вольтамперную характеристику (ВАХ) и определяют напряжение U, при котором бета-ток Iβi переходит в насыщение. Для примера приведем ВАХ трубок с различным насыщением тритиевой мишени 3 с коэффициентами насыщения T/Ti в мишени равными 1,8 (группа №1) и 0,9 (группа№2). Положительная ветвь ВАХ групп трубок с различными коэффициентами насыщения трития T/Ti в титановой мишени представлена на фиг. 2. На фиг. 2 приведены экспериментальные значения бета-тока на измерительном электроде для каждой трубки, которые имеют некоторый разброс (для группы №1 и группы №2), обусловленный экспериментальной погрешностью при насыщении мишени 3 тритием. В группе №1 с коэффициентом насыщения T/Ti равными 1,8 представлены трубки №№1, 2, 3 со средней радиоактивностью мишени 3,5⋅1011 Бк, в группе №2 с коэффициентом насыщения T/Ti 0,9 - трубки №№4, 5, 6, 7 со средней радиоактивностью мишени 2,4⋅1011 Бк. Для группы №1 серия кривых ВАХ находятся сверху, для группы №2 кривые расположились ниже. Диапазон напряжения U, где бета-ток переходит в насыщение, начинается уже с 40 В. На практике удобно использовать напряжение U=100 В для измерения бета-тока с усилением чувствительности. В таблице приведены значения бета-токов при отсутствии напряжения между измерительным электродом 1 и мишенью 3 и с приложенным напряжением 100 В, а также радиоактивности мишеней этих трубок. Коэффициент усиления, равный отношению величины бета-тока в этой точке (при подаче с источника 7 постоянного напряжения U=100 В) к величине бета-тока при отсутствии напряжения (U=0 В), будет равен Ку=2,5. Таким образом, при подключении источника 7 постоянного напряжения повышается чувствительность метода измерения бета-токов и, как следствие, способа измерения радиоактивности тритиевой мишени 3 в запаянной нейтронной трубке. На фиг. 3 показана типовая зависимость исходной радиоактивности тритиевой мишени от бета-тока с мишени в трубке АM (Iβ) для данного типа трубок при подаче с источника 7 постоянного напряжения U=100 В (бета-тока с мишени 3 в трубке равен току на измерительном электроде 1). В рассмотренном примере были выбраны трубки в количестве n=7 одного типа: группа №1 (трубки №№1, 2, 3) и группа №2 (трубки №№4, 5, 6, 7). Значения бета-токов и радиоактивности мишеней, представленные на графике на Фиг. 3, пропорциональны и характеризуются калибровочным коэффициентом KM. Для группы №1 средняя радиоактивность 3,5⋅1011 Бк, для группы №2 - 2,4⋅1011 Бк. Коэффициент KM получаем по формуле [Кобзарь А.И. Прикладная математическая статистика. Для инженеров и научных работников. - М.: ФИЗМАТЛИТ, 2006. - 688 с.]. Подставляя экспериментальные значения АМi и Iβi, получаем для данного типа трубок KM=1,69⋅1020 Бк/А. Таким образом, определяется калибровочный коэффициент KM, для чего было выбрано n нейтронных трубок данного типа с известной радиоактивностью тритиевых мишеней AMi,, при этом для каждой трубки с помощью измерителя 5 тока регистрируют значения бета-тока Iβi при подаче напряжения U с источника 7 постоянного напряжения. Полученное значение KM используют для определения неизвестной радиоактивности тритиевой мишени Анеизвестная нейтронной трубки данного типа, измерив бета-ток Iβ и проведя вычисления по формуле Анеизвестная=KM⋅Iβ. Рассматриваемый способ предназначен для измерения радиоактивности тритиевой мишени внутри нейтронной трубки в диапазоне от 1⋅107 до 5⋅1012 Бк. Таким образом, достигается заявленный технический результат, а именно возможность определения радиоактивности тритиевой мишени в запаянной нейтронной трубке без вскрытия корпуса трубки и демонтажа мишени.
,
- средние значения величин Iβi и АMi,
- среднее значение произведения величин AMi и Iβi,
- среднее значение квадрата величины Iβi.
,