патент
№ RU 2683275
МПК H04W4/00

СПОСОБ ОБНАРУЖЕНИЯ СОСЕДНИХ УЗЛОВ В МОБИЛЬНОЙ БЕСПРОВОДНОЙ ДИНАМИЧЕСКОЙ СЕТИ РАДИОСВЯЗИ

Авторы:
Верещагин Вячеслав Николаевич
Номер заявки
2018112821
Дата подачи заявки
09.04.2018
Опубликовано
27.03.2019
Страна
RU
Как управлять
интеллектуальной собственностью
Реферат

Изобретение относится к технике радиосвязи и может быть использовано при организации мобильных беспроводных динамических (самоорганизующихся) сетей между подвижными объектами, которые меняют координаты с течением времени по хаотическому (случайному) закону. Технический результат заключается в обеспечении вхождения в связь с соседними узлами на большей дальности. Способ включает передачу сообщения «запрос» и прием сообщения «квитанция», причем передающие устройства и приемные устройства всех узлов подключают к направленным антеннам. Диаграммы направленности последних вращают до устойчивого обмена упомянутыми сообщениями между передающим и приемным устройствами соседних узлов. Направление главного излучения ДН направленной антенны передающего устройства и направление главного излучения ДН направленной антенны приемного устройства в каждом узле сети совмещают и вращают ДН с постоянной скоростью, которая не совпадает по величине со скоростью вращения ДН в других узлах сети.

Формула изобретения

Способ обнаружения соседних узлов в мобильной беспроводной динамической сети радиосвязи, включающий передачу сообщения «запрос» и прием сообщения «квитанция», причем передающие устройства всех узлов подключают к направленным антеннам, диаграммы направленности (ДН) которых вращают до устойчивого обмена упомянутыми сообщениями между передающим и приемным устройствами соседних узлов, отличающийся тем, что приемные устройства узлов подключают к направленным антеннам, при этом направление главного излучения ДН направленной антенны передающего устройства и направление главного излучения ДН направленной антенны приемного устройства в каждом узле сети совмещают и вращают ДН с постоянной скоростью, которая не совпадает по величине со скоростью вращения ДН в других узлах сети.

Описание

[1]

Изобретение относится к радиосвязи и может быть использовано при организации мобильных беспроводных динамических (самоорганизующихся) сетей между подвижными объектами, которые меняют координаты с течением времени по хаотическому (случайному) закону.

[2]

Одной из важных задач при организации мобильной беспроводной динамической (самоорганизующейся) сети радиосвязи между подвижными объектами, которые меняют свои координаты с течением времени по хаотическому (случайному) закону, является поиск соседних узлов для установления соединения.

[3]

Известен способ, обеспечивающий поиск соседних узлов в самоорганизующихся сетях радиосвязи (см., например, Фокин Г.А. Особенности функционирования территориально распределенных самоорганизующихся сетей радиосвязи с адаптивными антенными системами, Телекоммуникации и транспорт, №1, 2009, с. 20-22). Однако известный способ не обеспечивает достаточную дальность связи из-за использования антенн с ДН, близкой к круговой.

[4]

Известен способ, в котором используются антенны с направленной ДН, что позволяет увеличить дальность связи (см., например, И.Л. Евдокимов. Применение технологии МГМО в самоорганизующихся сетях связи. Материалы Международной научно-технической конференции, 14-17 ноября 2011 г. INTERMATIC - 2011). Но в этом способе возможна «глухота» абонентского устройства при посылке сигнала от устройства, не входящего в сектор направления антенны на момент посылки сообщения, что серьезно усложняет поиск соседнего узла или делает его невозможным.

[5]

Наиболее близким к предлагаемому техническому решению является способ, при котором во время поиска от приемных устройств всех узлов отключаются направленные антенны, а подключаются антенны с ДН, близкой к круговой. Передающие же устройства остаются подключенными к направленным антеннам. Лучи ДН антенн передающих устройств всех узлов совершают один полный оборот с определенной скоростью. За время одного оборота узел, который производит поиск, находит все соседние узлы. Передающие устройства узлов, производящих поиск, во время поиска постоянно с достаточно высокой частотой посылают сообщения-запросы, содержащие необходимые сведения: координаты узла, направление рассылки, номер узла. Когда соседний узел получает такое сообщение, в ответ направляется сообщение-квитанция, также содержащее необходимую информацию. Когда направление сканирующего луча совпадает с направлением на соседний узел, происходит обмен сообщениями (служебной информацией управления). [Фокин Г.А. Особенности функционирования территориально распределенных самоорганизующихся сетей радиосвязи с адаптивными антенными системами, Телекоммуникации и транспорт, №1, 2009, с. 20-22].

[6]

Однако и в данном способе из-за использования антенн с ДН, близкой к круговой, возможность соединения (связи) с соседними узлами уменьшается с увеличением расстояния между подвижными узлами, что приводит к невозможности обнаружения других (соседних) узлов и невозможности передачи полезной информации.

[7]

Задача изобретения - создание самоорганизующейся сети радиосвязи между подвижными объектами, в которой обеспечивается связь на большем расстояния между соседними по местоположению узлами.

[8]

Технический результат - обеспечение вхождения в связь с соседними узлами на большей дальности.

[9]

Технический результат достигается тем, что в способе обнаружения соседних узлов в мобильной беспроводной динамической сети радиосвязи, включающем передачу сообщения «запрос» и прием сообщения «квитанция», причем передающие устройства всех узлов подключают к направленным антеннам, диаграммы направленности (ДН) которых вращают до устойчивого обмена упомянутыми сообщениями между передающим и приемным устройствами соседних узлов, и приемные устройства узлов подключают к направленным антеннам, при этом направление главного излучения ДН направленной антенны передающего устройства и направление главного излучения ДН направленной антенны приемного устройства в каждом узле сети совмещают и вращают ДН с постоянной скоростью, которая не совпадает по величине со скоростью вращения ДН в других узлах сети.

[10]

Способ обнаружения соседних по местоположению узлов, меняющих координаты с течением времени по хаотическому (случайному) закону, может быть осуществлен в системе, в которой каждый узел имеет одну приемопередающую направленную антенну с частотным разделением и один приемопередатчик. Функция каждого узла - принять информацию и передать узлу, которому она предназначена.

[11]

На время поиска направление главного излучения ДН приемных и передающих антенн каждого узла сети совмещают и вращают ДН до устойчивого обмена сообщениями между передающим и приемным устройствами соседних узлов. Вращают ДН в одном направлении с постоянными, но разными для каждого узла скоростями,

[12]

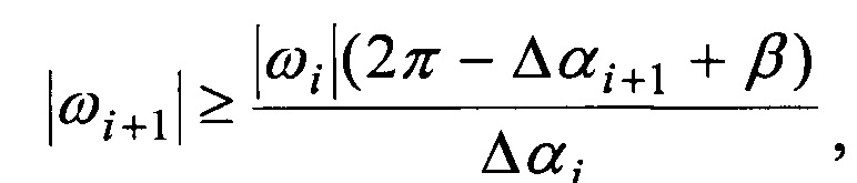
где n - количество узлов в сети. Значения скоростей могут выбираться из условия:

[13]

где

[14]

ωi+1 - скорость (круговая частота) вращения (i+1)-го узла, рад/с (i ∈ Z); ωi - скорость вращения i-го узла, рад/с; Z - множество целых чисел, соответствующих номерам узлов в мобильной беспроводной динамической сети радиосвязи;Δαi - ширина луча основного лепестка диаграммы направленности антенны передающего/приемного устройства i-го узла, рад; Δαi+1 - ширина луча основного лепестка диаграммы направленности антенны приемного/передающего устройства (i+1)-го узла, рад; β - угол запаса, рад, - максимальное время передачи сообщения-запроса, с; tответ - максимальное время передачи сообщения-ответа, с.

[15]

На время поиска возможный существующий канал между узлами разрывается, и приемопередатчик используют для поиска.

[16]

Для обнаружения соседних узлов для каждого искомого узла необходимы два параметра: момент времени и направление на этот узел.

[17]

Современные алгоритмы, элементная база и материалы позволяют осуществить вращение луча ДН со скоростью до ωmax=2π×108 рад/с, т.е. один полный оборот луч ДН антенны совершает за 10 нс.

[18]

Пример осуществления способа в мобильной беспроводной динамической сети с пятью узлами, которые осуществляют вращение луча ДН соответственно со скоростями:

[19]

ω1=2π×103 рад/с, ω2=2π×104 рад/с, ω3=2π×105 рад/с, ω4=2π×106 рад/с, ω5=2π×107 рад/с и шириной луча Δα=π/4 основного лепестка ДН антенн передающего/приемного устройств узлов.

[20]

Луч ДН антенны узла 1 направлен на узел 2 в течение времени, равном Δα/ω1=0.125×10-3 с. Луч ДН антенны узла 2 совершает полный оборот за время 10-4 с < 0.125×10-3=1.25×10-4. Если время обмена сообщениями не будет превышать 0.25×10-4, тоза время, при котором луч ДН антенны узла 1 будет направлена на узел 2, луч ДН антенны 2 успеет совершить более одного полного оборота, поэтому обмен информацией гарантированно произойдет, и факт обнаружения состоится. Рассчитанное время обмена сообщениями справедливо и для других соседних по порядковому номеру узлов (2-3, 3-4, 4-5). Чем больше разница скоростей вращения (для узлов 1-3, 2-4, 1-4, 1-5 и др.), тем большее количество оборотов будет совершать луч ДН узла с большей скоростью вращения, что гарантированно обеспечивает обнаружение соседнего узла.

[21]

Использование направленных приемных антенн позволяет увеличить коэффициент усиления на единичный угол по сравнению с антенной с круговой ДН в 2π/Δαi; раз, что позволяет увеличить дальность связи между узлами даже без увеличения мощности сигнала.

[22]

Таким образом, предлагаемое техническое решение обеспечивает поиск и вхождение в связь с соседними узлами на большем расстоянии, чем в известном устройстве.

Как компенсировать расходы
на инновационную разработку
Похожие патенты