Изобретение предназначено для органической электроники, электрореологии, медицины и может быть использовано при изготовлении микроэлектромеханических систем, тонкопленочных транзисторов, нанодиодов, наноэлектропроводов, модулей памяти, электрохимических источников тока, перезаряжаемых батарей, суперконденсаторов, сенсоров и биосенсоров, солнечных батарей, дисплеев, а также лекарств для лечения онкологических заболеваний. Мономер - 3-амино-7-диметиламино-2-метилфеназин гидрохлорид – нейтральный красный, растворяют в органическом растворителе до концентрации 0,01-0,05 моль/л. В полученный раствор добавляют одностенные углеродные нанотрубки (ОУНТ) в количестве 1-10 от массы мономера. Затем проводят окислительную полимеризацию мономера in situ в присутствии водного раствора окислителя. Полученный гибридный электропроводящий материал на основе поли-3-амино-7-метиламино-2-метилфеназина и ОУНТ характеризуется высокой электропроводностью, прочностью, термостойкостью. 2 н.п. ф-лы, 7 ил., 1 табл., 21 пр.
1. Гибридный электропроводящий материал на основе полимера и углеродных нанотрубок, отличающийся тем, что в качестве полимера используют поли-3-амино-7-метиламино-2-метилфеназин, а в качестве углеродных нанотрубок - одностенные углеродные нанотрубки ОУНТ при содержании ОУНТ в материале 1-10 масс. % от массы мономера. 2. Способ получения гибридного электропроводящего материала окислительной полимеризацией мономера in situ в присутствии углеродных нанотрубок и водного раствора окислителя, отличающийся тем, что для получения материала по п. 1 в качестве мономера используют 3-амино-7-диметиламино-2-метилфеназин гидрохлорид - нейтральный красный, в качестве углеродных нанотрубок - одностенные углеродные нанотрубки ОУНТ, а перед окислительной полимеризацией мономер растворяют в органическом растворителе до концентрации 0,01-0,05 моль/л и добавляют к раствору ОУНТ в количестве 1-10 масс. % от массы мономера.
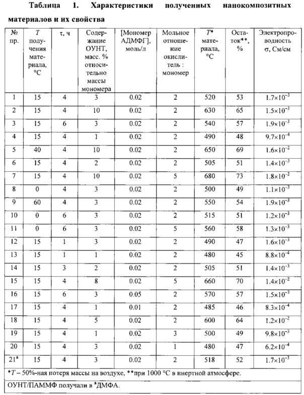
Изобретение относится к области создания новых структурированных гибридных наноматериалов на основе электроактивных полимеров с системой сопряжения и одностенных углеродных нанотрубок (ОУНТ) и может быть использовано в органической электронике и электрореологии, медицине (перенос молекул для доставки лекарств к клетке, например, при лечении онкологических заболеваний), для создания микроэлектромеханических систем, тонкопленочных транзисторов, нанодиодов, наноэлектропроводов, модулей памяти, электрохимических источников тока, перезаряжаемых батарей, суперконденсаторов, сенсоров и биосенсоров, солнечных батарей, дисплеев и т.д. С момента открытия в 1991 г. [1] углеродных нанотрубок (УНТ) интерес исследователей к ним не ослабевает благодаря присущим им замечательным физико-химическим свойствам, таким как высокая термостойкость и механическая прочность, высокая электрическая проводимость и теплопроводность. Высокие прочностные характеристики вместе с высокой удельной поверхностью и способностью формировать пористую среду представляют собой уникальную комбинацию при использовании нанотрубок в качестве носителей для катализаторов, в том числе в топливных элементах с полимерной мембраной. К настоящему времени разработано множество методов получения нанокомпозитов на основе полимеров с системой сопряжения и УНТ. Наиболее перспективным из них является окислительная полимеризация in situ мономера на многостенных углеродных нанотрубках (МУНТ), позволяющая получить однородное полимерное покрытие, толщина которого зависит от содержания нанотрубок в реакционной смеси [2, 3]. Наиболее близкими к предложенным являются гибридный материал на основе полианилина и многостенных углеродных нанотрубок (МУНТ) и способ получения этого композиционного материала окислительной полимеризацией анилина под действием персульфата аммония в присутствии исходных МУНТ (d=9.5 нм, Недостатком известного материала и способа является незначительное повышение электропроводности - поверхностное сопротивление пленки нанокомпозита МУНТ/ПАНи составляет 16.9 кОм/см (5.9×10-5 См/см) при анилин: МУНТ=10:1, что только на порядок величины меньше сопротивления ПАНи (343.3 кОм/см) (2.9×10-6 См/см), недостаточная термостабильность нанокомпозита МУНТ/ПАНи на воздухе (50%-ная потеря массы нанокомпозита наблюдается при 460°С; при 620°С материал полностью разлагается). Задача предлагаемого изобретения заключается в создании гибридного дисперсного электропроводящего наноматериала с высокой термостойкостью (термостабильностью), а также в повышении электропроводности материала при снижении содержания в нем УНТ и разработке простого и эффективного способа его получения. Поставленная задача решается тем, что предложен гибридный электропроводящий материал на основе полимера - поли-3-амино-7-метиламино-2-метилфеназина (ПАММФ) и углеродных нанотрубок (УНТ), а именно одностенных углеродных нанотрубок (ОУНТ) при содержании ОУНТ в материале 1-10 масс. % от массы мономера. ОУНТ производства "ООО Углерод Чг" получают электродуговым процессом с катализатором Ni/Y (d=1.4-1.6 нм, Поставленная задача также решается тем, что в способе получения гибридного электропроводящего материала окислительной полимеризацией мономера in situ в присутствии углеродных нанотрубок (УНТ) и водного раствора окислителя, в качестве мономера используют 3-амино-7-диметиламино-2-метилфеназин гидрохлорид (нейтральный красный) (АДМФГ), в качестве УНТ - одностенные углеродные нанотрубки (ОУНТ), а перед окислительной полимеризацией мономер растворяют в органическом растворителе до концентрации 0.01-0.05 моль/л и добавляют к раствору ОУНТ в количестве 1-10 масс. % от массы мономера. Мономер представляет собой гетероциклическое соединение, имеющее в своей структуре два атома азота, соединяющие два фенильных кольца: В качестве органического растворителя могут использовать ацетонитрил, диметилформамид (ДМФА) или диметилсульфоксид (ДМСО). Для проведения окислительной полимеризации АДМФГ (0.01-0.05 моль/л) растворяют в органическом растворителе - ацетонитриле, ДМФА или ДМСО, а окислитель (например, персульфат аммония) (0.01-0.10 моль/л) - в воде. К раствору мономера в ацетонитриле, термостатированном при постоянном перемешивании при 0-60°С, по каплям добавляют водный раствор окислителя. Реакцию полимеризации проводят в течение 1-6 ч при постоянном интенсивном перемешивании при 0-60°С. По окончании синтеза реакционную смесь осаждают в пятикратный избыток дистиллированной воды. Полученный продукт отфильтровывают, многократно промывают дистиллированной водой для удаления остатков реагентов и сушат под вакуумом до постоянной массы. Синтез нанокомпозита (гибридного материала) ОУНТ/поли-3-амино-7-метиламино-2-метилфеназин (ОУНТ/ПАММФ) проводят следующим образом. Сначала осуществляют закрепление мономера на поверхности ОУНТ. Для этого требуемое количество АДМФГ (нейтрального красного) (0.01-0.05 моль/л) растворяют в органическом растворителе - ацетонитриле, ДМФА или ДМСО. К полученному раствору добавляют ОУНТ. Содержание углеродных нанотрубок [ОУНТ]=1-10 масс. % относительно массы мономера. Процесс ведут при 40-60°С при постоянном интенсивном перемешивании в течение 0.5-1 ч. Охлаждение суспензии проводят при комнатной температуре при постоянном интенсивном перемешивании в течение 1 ч. Полученную суспензию ОУНТ/АДМФГ перемешивают в ультразвуковой мойке при комнатной температуре в течение 0.5 ч. Затем для проведения окислительной полимеризации in situ АДМФГ в присутствии ОУНТ в предварительно охлажденную до 0-60°С суспензию ОУНТ/АДМФГ в ацетонитриле по каплям добавляют водный раствор окислителя (например, персульфата аммония) (0.01-0.10 моль/л). Соотношение объемов органической и водной фаз составляет 1:1 (Vобщ.=60 мл). Синтез проводят в течение 1-6 ч при интенсивном перемешивании при 0-60°С. По окончании реакции смесь осаждают в пятикратный избыток дистиллированной воды. Полученный продукт отфильтровывают, многократно промывают дистиллированной водой для удаления остатков реагентов и сушат под вакуумом над КОН до постоянной массы. Образование нанокомпозита ОУНТ/ПАММФ подтверждено данными просвечивающей (ПЭМ) и сканирующей (СЭМ) электронной микроскопии, ИК Фурье спектроскопии и рентгеноструктурного исследования, представленными на фиг. 1-4, где I - интенсивность, 2θ - угол, I/I0 - соотношение интенсивностей падающего и прошедшего излучения, ν - частота излучения. На фиг. 1 представлены ИК-спектры ПАММФ (а) и нанокомпозита ОУНТ/ПАММФ, полученного при [ОУНТ]=1 (б) и 3 масс. % (в) относительно массы мономера. На фиг. 2 представлены ПЭМ микрофотографии нанокомпозита ОУНТ/ПАММФ, полученного при [ОУНТ]=3 масс. % относительно массы мономера. На фиг. 3 представлены СЭМ изображения ПАММФ (а) и нанокомпозита ОУНТ/ПАММФ, полученного при [ОУНТ]=10 масс. % относительно массы мономера (б). На фиг. 4 представлены дифрактограммы ПАММФ (1) и нанокомпозита ОУНТ/ПАММФ, полученного при [ОУНТ]=2 (2) и 3 масс. % (3) относительно массы мономера. Анализ результатов спектральных исследований методами ИК Фурье, электронной, рентгенофотоэлектронной спектроскопии, ЯМР13С твердого тела высокого разрешения ВМУ позволяет представить химическую структуру поли-3-амино-7-метиламино-2-метилфеназина (ПАММФ) следующим образом: ПАММФ представляет собой полулестничный гетероциклический полимер, содержащий атомы азота, участвующие в общей системе сопряжения. ПАММФ впервые получен в условиях химической окислительной полимеризации АДМФГ в водных растворах ацетонитрила или ДМФА. Для достижения высокого выхода процесс необходимо проводить при достаточно низких концентрациях мономера (0.02 моль/л), а также при соотношении [окислитель] : [мономер]=2-5 в течение 4 ч. Максимальный выход полимера 60-68% достигается в интервале температур 0-40°С. Использование ДМФА вместо ацетонитрила не влияет на выход и химическую структуру продукта [5]. Полученные гетероциклические полимеры, способные формировать в ходе синтеза пленочные покрытия на поверхности субстрата, внесенного в реакционный раствор, являются аморфными, электроактивными и термостабильными. Они сохраняют электроактивность в широком диапазоне значений рН (рН=1-6) (фиг. 5). 50%-ная потеря массы ПАММФ наблюдается при 475°С на воздухе и 865°С в токе аргона [5]. На фиг. 5 показаны циклические вольтамперограммы планарного электрода, модифицированного ПАММФ, при рН 1.0 (1) и 2.8 (2) и скорости развертки потенциала 40 мВ/с. Сравнение ИК-спектров полимера и нанокомпозита показало, что в ИК-спектрах нанокомпозита ОУНТ/ПАММФ сохраняются все основные полосы, характеризующие химическую структуру ПАММФ (фиг. 1). Наличие полосы поглощения в области 820 см-1, а также полос при 1287 и 1114 см-1 (неплоские деформационные колебания связей δC-H 1,2,4,5-замещенного бензольного кольца) указывает на то, что химическая структура полимерного покрытия формируется путем C-N присоединения между 3-амино группами и пара-положением фенильных колец по отношению к азоту с одновременным отщеплением аниона Сl- и одной метальной группы от 7-диметиламино группы аналогично тому, как это имеет место при свободной полимеризации мономера - 3-амино-7-диметиламино-2-метилфеназин гидрохлорида. Об этом же свидетельствует изменение относительной интенсивности и смещение полос 806, 731 и 714 см-1, обусловленных неплоскими деформационными колебаниями связей δC-H тризамещенного бензольного кольца концевых групп [5]. Регистрацию ИК-спектров выполняют на ИК Фурье спектрометре «IFS 66v» в области 4000-400 см-1 и обрабатывают по программе Soft-Spectra. Образцы готовят в виде таблеток, прессованных с КВr. Характеристичным изменением в ИК-спектрах нанокомпозита по сравнению со спектром полимера является расщепление полос при 1609 и 1500 см-1, соответствующих валентным колебаниям связей νC-C в ароматических кольцах (фиг. 1). Расщепление этих полос показывает наличие групп с различным типом замещения. При этом увеличение содержания ОУНТ в нанокомпозите приводит к более выраженному расщеплению полос, характеризующих ароматические кольца. По-видимому, происходит взаимодействие между планарными феназиновыми звеньями ПАММФ и ароматическими структурами ОУНТ. В процессе окислительной полимеризации in situ 3-амино-7-диметиламино-2-метилфеназин гидрохлорида планарные хиноидные звенья ПАММФ обеспечивают формирование полимерных цепей в непосредственной близости к поверхности ОУНТ, образуя на ней оболочку. По данным СЭМ и ПЭМ полимер формируется на поверхности ОУНТ в виде сплошного полимерного покрытия (фиг. 2, 3). По данным РФА полимерное покрытие является аморфным (фиг. 4). Отсутствие на дифрактограммах ОУНТ/ПАММФ пика отражения углеродной фазы объясняется невозможностью получения дифракционной картины от единичной плоскости ОУНТ. Электронно-микроскопические исследования осуществляют на просвечивающем электронном микроскопе JEM-2100 при ускоряющем напряжении 200 кВ и растровом электронном автоэмиссионном микроскопе Supra 25 производства Zeiss с рентгеноспектральной энергодисперсионной приставкой INCA Energy производства Oxford Instruments для определения элементного состава образцов. Разрешение на получаемых изображениях составляет величину 1-2 нм. Рентгеноструктурные исследования проводят при комнатной температуре на рентгеновском дифрактометре «Дифрей» с фокусировкой по Бреггу-Брентано на СrКα-излучении. Взаимодействие между хиноидными звеньями ПАММФ и поверхностью ОУНТ улучшает термические свойства нанокомпозита по сравнению с полимером и нанокомпозитом МУНТ/ПАНи (по прототипу). Термическая стабильность нанокомпозита ОУНТ/ПАММФ исследована методами ТГА и ДСК. На фиг. 6 показана температурная зависимость уменьшения массы нанокомпозита ОУНТ/ПАММФ, полученного при [ОУНТ]=3 масс. %, по сравнению с ПАММФ при нагревании до 1000°С в токе аргона и на воздухе. Как видно, характер кривых потери массы и температуры начала разложения образцов не меняется до 320°С. При этом потеря массы при низких температурах связана с удалением влаги, что подтверждается данными ДСК (фиг. 7). На термограмме ДСК нанокомпозита имеется эндотермический пик при 96°С. В инертной среде выше 320°С потеря массы образцов происходит постепенно. ПАММФ теряет половину первоначальной массы в инертной атмосфере при 865°С. В нанокомпозите ОУНТ/ПАММФ, полученном при [ОУНТ]=3 масс. %, при 1000°С остаток составляет 53%. Процессы термоокислительной деструкции начинаются при 290°С; на воздухе 50%-ная потеря массы ОУНТ/ПАММФ, полученного при [ОУНТ]=3 и 10 масс. %, наблюдается при 520 и 680°С, а ПАММФ и МУНТ/ПАНи (по прототипу) - при 475 и 460°С соответственно. Термический анализ осуществляют на приборе TGA/DSC1 фирмы "Mettler Toledo" в динамическом режиме в интервале 30-1000°С на воздухе и в токе азота. Навеска полимеров - 100 мг, скорость нагревания - 10°С/мин, ток азота - 10 мл/мин. В качестве эталона используют прокаленный оксид алюминия. Анализ образцов проводят в тигле Аl2O3. ДСК-анализ проводят на калориметре DSC823e фирмы "Mettler Toledo". Нагрев образцов осуществляют со скоростью 10°С/мин, в атмосфере аргона при его подаче 70 мл/мин. Обработку результатов измерения проводят с помощью сервисной программы STARe, поставляемой в комплекте с прибором. На фиг. 6 показано уменьшение массы ПАММФ (1, 2) и нанокомпозита ОУНТ/ПАММФ, полученного при [ОУНТ]=3 масс. % относительно массы мономера (3, 4), при нагревании до 1000°С со скоростью 10°С/мин в токе аргона (1, 3) и на воздухе (2, 4). На фиг. 7 представлены ДСК-термограммы нанокомпозита ОУНТ/ПАММФ, полученного при [ОУНТ]=3 масс. % относительно массы мономера, при нагревании в токе азота до 350°С со скоростью 10°С/мин (1 - первое нагревание, 2 - второе нагревание). Введение в состав нанокомпозита ОУНТ/ПАММФ электропроводящих нанотрубок приводит к значительному повышению его электропроводности по сравнению с электропроводностью исходного полимера, а также с МУНТ/ПАНи (по прототипу). Измеренная при комнатной температуре величина электропроводности ПАММФ σ=9.6×10-9 См/см. С увеличением содержания ОУНТ от 3 мас. % до 10 мас. % проводимость σ наноматериала ОУНТ/ПАММФ возрастает от 1.7×10-3 См/см до 1.8×10-2 См/см, соответственно, т.е. увеличивается на 6-7 порядков величины электропроводности по сравнению с ПАММФ. Электропроводность МУНТ/ПАНи, полученного при МУНТ=10 мас. %, σ=5.9×10-5 См/см, что тоже на 3 порядка величины меньше электропроводности ОУНТ/ПАММФ (1.8×10-2 См/см). При хранении нанокомпозита ОУНТ/ПАММФ на воздухе проводимость практически не меняется. Стабильность электрическим свойствам придают ОУНТ, присутствие которых в нанокомпозите делает материал в целом менее чувствительным к процессам допирования-дедопирования. Удельную электропроводность образцов измеряли стандартным четырехточечным методом на приборе Loresta-GP, МСР-Т610 (Япония). В выбранных условиях формируется термостойкий (термостабильный) электропроводящий гибридный наноматериал ОУНТ/поли-3-амино-7-метиламино-2-метилфеназин. Полимер сохраняет электроактивность в широком диапазоне значений рН 1-6. Электропроводность наноматериала ОУНТ/ПАММФ значительно выше электропроводности исходного полимера и нанокомпозита МУНТ/ПАНи (по прототипу) и зависит от количественного содержания нанотрубок. Нанокомпозитный материал ОУНТ/ПАММФ представляет собой черный порошок, нерастворимый в органических растворителях. Такие нанокомпозитные материалы, обладающие электрическими свойствами, могут быть использованы в органической электронике и электрореологии, для создания микроэлектромеханических систем, тонкопленочных транзисторов, нанодиодов, модулей памяти, преобразователей энергии, плоских панелей дисплеев, датчиков и нанозондов, электрохимических источников тока, перезаряжаемых батарей, сенсоров и биосенсоров, суперконденсаторов, солнечных батарей и других электрохимических устройств. Новизна предлагаемых методов и подходов к созданию гибридного дисперсного материала определяется тем, что впервые полимерный компонент нанокомпозита представляет собой термостойкий (термостабильный) электроактивный гетероциклический полимер ПАММФ. Преимущества предложенного материала и способа: 1. Формирование гибридного наноматериала ОУНТ/ПАММФ осуществляется в условиях окислительной полимеризации in situ в нейтральной среде при 0-60°С в течение 1-6 ч, что позволяет исключить сложное оборудование и существенно снизить энергозатраты. 2. Так как ПАММФ сохраняет электроактивность в широком диапазоне рН, а электропроводность наноматериала ОУНТ/ПАММФ на 3 порядка величины выше электропроводности МУНТ/ПАНи (по прототипу) и зависит от количественного содержания нанотрубок, нанокомпозит ОУНТ/ПАММФ может быть использован для создания электрохимических устройств, например сенсоров и биосенсоров, перезаряжаемых батарей, суперконденсаторов, тонкопленочных транзисторов, нанодиодов, модулей памяти, преобразователей энергии, плоских панелей дисплеев, датчиков и нанозондов. 3. Полученный гибридный наноматериал характеризуется высокой термостабильностью, превышающей термостабильность МУНТ/ПАНи (по прототипу). Высокая термостабильность нанокомпозита ОУНТ/ПАММФ определяется высокой термической и термоокислительной стабильностью ПАММФ. Высокая термостабильность полимерной матрицы на воздухе (до 290-320°С) и в инертной атмосфере (при 1000°С остаток составляет 45-73%) обеспечивает возможность использования предложенного нанокомпозитного дисперсного материала ОУНТ/ПАММФ в высокотемпературных процессах, например в качестве конструкционных материалов, защитных покрытий, носителей катализаторов в топливных элементах, наноэлектропроводов, электрохимических источников тока, перезаряжаемых и солнечных батарей. Авторами предложенного изобретения впервые получены гибридные электропроводящие термостойкие (термостабильные) дисперсные наноматериалы, в которых термостойкий полимер ПАММФ формируется на поверхности ОУНТ в виде сплошного полимерного покрытия. Примеры получения нанокомпозитного дисперсного материала ОУНТ/ПАММФ. Характеристики полученных по примерам нанокомпозитных материалов: содержание ОУНТ, термостойкость (термостабильность) и электропроводность приведены в таблице 1. Пример 1 Для синтеза нанокомпозита ОУНТ/ПАММФ 0.02 моль/л (0.38 г) АДМФГ растворяют в ацетонитриле (30 мл). К полученному раствору добавляют 3 мас. % относительно массы мономера (0.0114 г) ОУНТ. Процесс ведут при 60°С при постоянном интенсивном перемешивании в течение 1 ч. Полученную суспензию ОУНТ/АДМФГ перемешивают в УЗ мойке при комнатной температуре в течение 0.5 ч. Затем для проведения окислительной полимеризации in situ АДМФГ в присутствии ОУНТ, в предварительно охлажденную до 15°С суспензию ОУНТ/АДМФГ по каплям добавляют водный раствор (30 мл) персульфата аммония 0.04 моль/л (0.548 г). Соотношение объемов органической и водной фаз составляет 1:1 (Vобщ.=60 мл). Синтез проводят в течение 4 ч при интенсивном перемешивании при 15°С. По окончании реакции смесь осаждают в пятикратный избыток дистиллированной воды. Полученный продукт отфильтровывают, многократно промывают дистиллированной водой для удаления остатков реагентов и сушат под вакуумом над КОН до постоянной массы. Выход ОУНТ/ПАММФ составляет 0.234 г. Пример 2 Способ получения нанокомпозита проводят аналогично примеру 1, но берут 0.038 г ОУНТ (содержание нанотрубок [ОУНТ]=10 мас. % относительно массы мономера). Пример 3 Способ получения нанокомпозита проводят аналогично примеру 1, но синтез проводят в течение 6 ч. Пример 4 Способ получения нанокомпозита проводят аналогично примеру 1, но берут 0.0038 г ОУНТ (содержание нанотрубок [ОУНТ]=1 мас. % относительно массы мономера). Пример 5 Способ получения нанокомпозита проводят аналогично примеру 2, но синтез проводят при интенсивном перемешивании при 40°С. Пример 6 Способ получения нанокомпозита проводят аналогично примеру 1, но берут 0.0076 г ОУНТ (содержание нанотрубок [ОУНТ]=2 мас. % относительно массы мономера). Пример 7 Способ получения нанокомпозита проводят аналогично примеру 2, но берут 1.37 г персульфата аммония ([окислитель]:[мономер]=5). Пример 8 Способ получения нанокомпозита проводят аналогично примеру 1, но синтез проводят при интенсивном перемешивании при 0°С. Пример 9 Способ получения нанокомпозита проводят аналогично примеру 1, но синтез проводят при интенсивном перемешивании при 60°С. Пример 10 Способ получения нанокомпозита проводят аналогично примеру 3, но синтез проводят при интенсивном перемешивании при 0°С. Пример 11 Способ получения нанокомпозита проводят аналогично примеру 10, но берут 1.37 г персульфата аммония ([окислитель]:[мономер]=5). Пример 12 Способ получения нанокомпозита проводят аналогично примеру 1, но синтез проводят в течение 1 ч. Пример 13 Способ получения нанокомпозита проводят аналогично примеру 4, но синтез проводят в течение 1 ч. Пример 14 Способ получения нанокомпозита проводят аналогично примеру 6, но синтез проводят в течение 3 ч. Пример 15 Способ получения нанокомпозита проводят аналогично примеру 7, но берут 0.0304 г ОУНТ (содержание нанотрубок [ОУНТ]=8 мас. % относительно массы мономера). Пример 16 Способ получения нанокомпозита проводят аналогично примеру 3, но берут 0.95 г АДМФГ ([мономер]=0.05 моль/л). Пример 17 Способ получения нанокомпозита проводят аналогично примеру 4, но берут 0.19 г АДМФГ ([мономер]=0.01 моль/л). Пример 18 Способ получения нанокомпозита проводят аналогично примеру 1, но берут 0.019 г ОУНТ (содержание нанотрубок [ОУНТ]=5 мас. % относительно массы мономера). Пример 19 Способ получения нанокомпозита проводят аналогично примеру 4, но берут 0.822 г персульфата аммония ([окислитель]:[мономер]=3). Пример 20 Способ получения нанокомпозита проводят аналогично примеру 1, но берут 0.274 г персульфата аммония ([окислитель]:[мономер]=1). Пример 21 Способ получения нанокомпозита проводят аналогично примеру 1, но нанокомпозит получают в растворе ДМФА. Свойства полученных по примерам гибридных материалов (нанокомпозитов) приведены в таблице 1. Замена растворителя на ДМСО не приводит к значимому изменению показателей, а также практически не сказывается на свойствах полученного материала. Источники информации 1. Iijima S. Helical microtubules of graphitic carbon. // Nature. 1991. V. 354. №7. P. 56-58. 2. Cochet M., Maser W.K., Benito A.M., Callejas M.A., Martinez M.T., Benoit J.-M., Schreiber J., Chauvet O. Synthesis of a new polyaniline/nanotube composite: "in-situ" polymerisation and charge transfer through site-selective interaction. // Chem. Commun. 2001. P. 1450-1451. 3. Konyushenko E.N., Stejskal J., Trchova M., Hradil J., Kovarova J., Prokes J., Cieslar M., Hwang J.-Y., Chen K.-H., Sapurina I. Multi-wall carbon nanotubes coated with polyaniline. // Polymer. 2006. V. 47. №16. P. 5715-5723. 4. Suckeveriene R.Y., Zelikman E., Mechrez G., Tzur Α., Frisman I., Cohen Y., Narkis M. Synthesis of Hybrid Polyaniline/Carbon Nanotube Nanocomposites by Dynamic Interfacial Inverse Emulsion Polymerization Under Sonication. // J. Appl. Polym. Sci. 2011. V. 120. №2. P. 676-682. 5. Озкан С.Ж., Карпачева Г.П., Бондаренко Г.Н., Колягин Ю.Г. Полимеры на основе 3-амино-7-диметиламино-2-метилфеназин гидрохлорида: синтез, структура и свойства. // Высокомолек. соед. Б. 2015. Т. 57. №2. С. 113-123.
мкм) в реакционной смеси [4]. Поверхностное сопротивление пленки нанокомпозита МУНТ/ПАНи, полученной на пластине SiO2, составляет 16.9 кОм/см (при массовом соотношении анилин: МУНТ=10:1).
мкм).

