Изобретение относится к области ионометрии, а именно к разработке ионоселективных электродов с мембранами на основе полимерных супрамолекулярных систем. Предлагаемое изобретение предназначено для прямого потенциометрического определения активности катионов кадмия в водных растворах и может быть использовано при экологическом мониторинге сточных вод, в технологических и биологических растворах. Предложена мембрана ионоселективного электрода для определения ионов кадмия, которая содержит полимерную матрицу, пластификатор, липофильную добавку и активный компонент, в которой в качестве полимерной матрицы используется поливинилхлорид, а в качестве пластификатора используется дибутилфталат. В качестве электродоактивного компонента используется фосфорилсодержащий поданд 2,6-бис[2-(дифенилфосфинил)фенокси] пиридин, а в качестве липофильной добавки - дигидрат тетракис(4-фторфенил)борат натрия при следующих соотношениях мембранных компонентов, мас.%:Изобретение позволяет улучшить предел обнаружения ионов кадмия до 2,1⋅10М в водных растворах, а также увеличить избирательность определения кадмия в присутствии меди, цинка, свинца, а также многих щелочных и щелочноземельных металлов. 1 пр., 3 табл.
Мембрана ионоселективного электрода для определения ионов кадмия, содержащая полимерную матрицу, пластификатор, липофильную добавку и электродоактивный компонент, в которой в качестве полимерной матрицы используется поливинилхлорид, а в качестве пластификатора используется дибутилфталат, отличающаяся тем, что в качестве электродоактивного компонента используется фосфорилсодержащий поданд 2,6-бис[2-(дифенилфосфинил)фенокси]пиридин, в качестве липофильной добавки дигидрат тетракис(4-фторфенил)борат натрия при следующих соотношениях мембранных компонентов, мас.%:
электродоактивный компонент 1-3 липофильная добавка 0,5-1,5 пластификатор 65-71 ПВХ 27-32
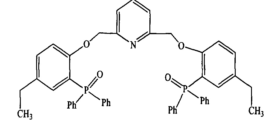
Изобретение относится к области ионометрии, а именно к разработке ионоселективных электродов с мембранами на основе полимерных супрамолекулярных систем. Предлагаемое изобретение предназначено для прямого потенциометрического определения активности ионов кадмия в водных растворах и может быть использовано для определения концентраций катионов токсичного металла в сточных и промышленных водах, биологических растворах, при решении ряда задач экологического мониторинга. Кадмий и все его соединения ядовиты, что связано с его способностью связывать серосодержащие ферменты и аминокислоты. Растворимые соединения кадмия после всасывания в кровь поражают центральную нервную систему, печень и почки, нарушают фосфорно-кальциевый обмен. Электроаналитические параметры разработанного электрода (область линейной зависимости, угловой наклон электродной функции и селективность) позволяют рекомендовать его для контроля качества питьевой воды и для экологического мониторинга промышленных и сточных вод. Предельно допустимая концентрация кадмия в питьевой воде составляет 0,001 мг/л, что позволяет использовать предлагаемый электрод для мониторинга кадмия в питьевой воде. Известны составы мембран ионоселективных электродов для анализа кадмия, например, электроды, чувствительные к ионам кадмия на основе краун-эфиров, а именно: дибензо-24-краун-8 (I) [Vinod К. Gupta, Pankaj Kumar //Analitica Chimica Acta 1999. V. 389. P.205], моноаза-18-краун-6 (II) [Vinod K. Gupta, Pankaj Kumar, and Rajni Mangla // Electroanalysis 2000. V. 12. №10. P. 752], тетратиа-12-краун-4 (III) [Mojtaba Shamsipur, Mohammad Hossein Mashadizadeh // Talanta 2001. 53. P. 1065], дициклогексил-18-краун-6 (IV) [Vinod K. Gupta, Sudeshna Chandra, Rajni Mangla // Electrochimica acta 2002. V. 47. P. 1579], которые входят в состав мембран кадмийселективных электродов в качестве электродоактивных компонентов (ЭАК). Угловой наклон электродных характеристик таких электродов близок к теоретическому и составлял S=29-30 мВ, предел обнаружения порядка 10-6 М. Но электроды на основе I-IV не имели практического значения, т.к. имели низкую селективность к ионам кадмия в присутствии меди, цинка, свинца, а также многих щелочных и щелочноземельных металлов. Наиболее близким технически решением является состав полимерной мембраны кадмийселективного электрода, состава 2-3% электродоактивного компонента (ЭАК), 67-70% пластификатор, 27-31% поливинилхлорид (ПВХ), где в качестве ЭАК использовали фосфорилсодержащий поданд 1,8-бис[2-(дифенилфосфорилэтил)фенокси]-3,6-диоксаоктан (V - прототип), в качестве липофильной добавки - тетракис(4-хлорфенил)борат калия (ТХФБК), а в качестве пластификатора дибутилфталат (ДБФ). [Е.Н. Пятова, И.Н. Полякова, И. С. Иванова, Е. С. Криворотъко, Е. Н. Галкина, В. Е. Баулин, А.Ю. Цивадзе // Журн. неорган. химии 2017. Т. 62. №4. С. 427-435. DOI: 10.7868/S0044457X17040158]. Электродная функция данного электрода линейна в диапазоне измеряемых концентраций 10-1-10-5 М. Угловой коэффициент электродной характеристики составлял 25±1 мВ, измеренный предел обнаружения составил 6.2⋅10-6 М. Электрод обладал недостаточно высокой избирательностью по отношению к ионам кадмия в присутствии некоторых переходных металлов, а также относительно невысоким пределом обнаружения, что не позволило его применить при экологическом мониторинге сточных вод, в технологических и биологических растворах. Для краун-эфиров I-IV и фосфорилсодержащего поданда 1,8-бис[2-(дифенилфосфорилэтил) фенокси]-3,6-диоксаоктана - протопит (V) данные электродных функций и предела обнаружения приведены в Таблице 1 «Электродные характеристики кадмий - ИСЭ на основе соединений I-V». Изобретение направленно на повышение избирательности определения катионов кадмия в присутствии некоторых переходных и токсичных металлов и улучшение предела обнаружения в присутствии биогенных катионов щелочных и щелочноземельных элементов. Технический результат достигается тем, что предложенная мембрана ИСЭ для определения ионов кадмия, содержит полимерную матрицу, пластификатор, липофильную добавку и электродоактивный компонент. В качестве полимерной матрицы используется поливинилхлорид, в качестве пластификатора используется ДБФ. Отличие состоит в том, что в качестве ЭАК предлагается использовать 2,6-бис[2-(дифенилфосфинил)фенокси] пиридин (VI), а в качестве липофильной добавки дигидрат тетракис(4-фторфенил)борат натрия (TФФБNa) при следующих соотношениях мембранных компонентов, мас. %: При увеличении или уменьшении соотношения в мембране ПВХ и пластификатора, меняются механические и физические параметры полимерной композиции, такие как проводимость (увеличивается электрическое сопротивление мембраны), вязкость, и др., что приводит к резкому ухудшению электроаналитических параметров электрода (воспроизводимость и стабильность потенциала). Характеристики ИСЭ можно существенно изменять за счет увеличения относительного количества липофильной добавки. Значения Kпот. вначале уменьшаются, проходят через минимум, а затем возрастают при увеличении концентрации липофильной добавки в мембране. Изменение величины селективности определяется и природой липофильной добавки. [О.М. Петрухин, С.Н. Кураченкова, Е.А. Сонина, Е.В. Шипуло, В.Е. //Журнал аналитической химии. 2002, Т. 57, №3, С. 313]. При использовании липофильных соединений (например, тетрафннилборат натрия или дигидрат тетракис(4-фторфенил)борат натрия) для изменения величин селективности необходима меньшая концентрация более липофильных добавок, что важно при их высокой стоимости. Таким образом, оптимизируя состав мембран ИСЭ, можно существенно изменять их аналитические характеристики, учитывая требования конкретных аналитических задач. Ниже приведена структурная формула электродоактивного компонента - фосфорилсодержащего поданда 2,6-бис[2-(дифенилфосфинил)фенокси] пиридина: Исследуемые полимерные мембраны готовили по известной методике. [Камман К., Работа с ионоселективными электродами, М. Мир, 1980, с. 283]. Пленочную мембрану готовили следующим образом: навески ЭАК растворяли в пластификаторе, а затем вводили в 5%-ный раствор ПВХ в свежеперегнанном тетрагидрофуране (ТГФ) при перемешивании, таким образом, чтобы после испарения ТГФ получить полимерную композицию определенного состава. Полученный раствор выливали в чашку Петри и высушивали в течение недели в боксе при комнатной температуре до постоянного веса. Из полимерной пленки вырезали диски диаметром 5-7 мм и приклеивали их при помощи клея (состав мембраны в ТГФ) к торцу ПВХ трубки. В качестве пластификатора использовали ДБФ (ε=6,43) или ОНФОЭ (ε=24). Полученный электрод заполняли внутренним раствором и снабжали внутренним электродом сравнения. Затем его выдерживали в 1⋅10-2 М растворе нитрата кадмия в течение суток. Полученный таким образом ИСЭ может быть использован для определения катионов кадмия в водных растворах. Для исследования электроаналитических свойств мембраны использовался стандартный корпус ISE (Fluka 45137), а в качестве электрода сравнения - хлорсеребряный электрод ОР-0820Р («Раделкис», Венгрия). Измерения проводились с помощью рН-ион-анализатора ОР-300 («Раделкис», Венгрия). В процессе исследования электроаналитических свойств разработанных мембран использовалась гальваническая цепь: Электроаналитические параметры ионоселективных электродов были определены согласно рекомендациям IUPAC [Richard P. Back and Ниже приведен пример изготовления мембраны с наилучшими электроаналитическими параметрами. Пример 1 5.5 мг 2,6-бис[2-(дифенилфосфинил)фенокси] пиридина и 2,75 мг тетракис(4-фторфенил)бората натрия дигидрата растворяли в 270 мг ДБФ. 81 мг ПВХ растворяли в 5 мл свежеперегнанного тетрагидрофурана при перемешивании. Полученные растворы смешивали и выливали в чашку Петри, а затем высушивали при комнатной температуре до постоянного веса. Получена мембрана ИСЭ следующего состава: ЭАК - 2,6-бис[2-(дифенилфосфинил)фенокси] пиридин - 2,0%; TФФБNa - 1,0%; ДБФ - 67%; ПВХ - 30%. В Таблице 2 «Свойства мембран в зависимости от содержания электродоактивных компонентов», приведены электроаналитические параметры мембран. Мембраны 2 (по Примеру 1.) и 4 обладали оптимальными электроаналитическими параметрами с точки зрения предела обнаружения, углового наклона и воспроизводимости потенциала. Коэффициенты селективности были определены по методу смешанных растворов на фоне постоянной концентрации мешающих компонентов 10-1 М [Bakker Е., Pretsch Е., Buhlmann P. //Anal. Chem. 2000. Vol. 72. P. 1127]. Значения рассчитанных коэффициентов селективности Как видно из таблицы, значения коэффициентов селективности заявляемого соединения значительно выше К техническому результату предлагаемого изобретения относится увеличение величин коэффициентов селективности (избирательности) кадмиевой мембраны ИСЭ. Основными мешающими катионами для работы ИСЭ как на основе заявляемого соединения 2,6-бис[2-(дифенилфосфинил)фенокси] пиридина, так и сравнительных лигандов являются Рb2+ и Ag+. Многие катионы щелочных, щелочноземельных и переходных металлов мешают работе электродов на основе краун-эфиров и мало влияют на работу ИСЭ на основе 2,6-бис[2-(дифенилфосфинил)фенокси] пиридина. Указанный технический результат достигается тем, что в состав пластифицированной мембраны ионоселективного электрода для определения катионов кадмия, входит 2,6-бис[2-(дифенилфосфинил)фенокси] пиридин в качестве электродоактивного компонента, которое впервые было получено из 2-дифенилфосфинил-4-этилфенола в присутствие гидрида натрия в диоксане при 100°С и 2,6-бис(метокситозил) пиридина. Техническим результатом заявленного изобретения является повышение избирательности к иону кадмия в водных растворах в присутствии некоторых переходных металлов, а также катионов щелочных, щелочноземельных металлов.
ПВХ 26-32 пластификатор 65-70 липофильная добавка 0,5-1,5 ЭАК 1-3 

Lindner, RECOMMENDATION FOR NOMENCLATURE OF ION-SELECTIVE ELECTRODES (UPAC Recommendations 1994) // Pure and Apple. Chem. Vol. 66, No 12, pp 2527-2536, 1994]. Для получения электродных характеристик использовали калибровочные растворы Сd(NO3)2 с концентрацией 1⋅10-7 - 1⋅10-1 М, которые готовили методом последовательного разбавления исходного раствора 0,1М Сd(NO3)2 непосредственно перед измерением.

приведены в таблице 3 «Коэффициенты потенциометрической селективности
для дибензо-24-краун-8 (I), моноаза-18-краун-6 (II), тетратиа-12-краун-4 (III), дициклогексил-18-краун-6 (IV), 1,8-бис[2-(дифенилфосфорилэтил) фенокси] -3,6-диоксаоктан (V) и 2,6-бис[2-(дифенилфосфинил)фенокси] пиридин - заявляемое соединение (VI)».

сравнительных электродов не только для щелочных, щелочноземельных, но и многих переходных металлов.