Изобретение относится к помехозащищённым системам связи и может быть использовано для формирования сигналов с расширенным спектром. Технический результат – повышение скорости передачи информации и разведзащищённости, снижение уровня внеполосного излучения. Способ формирования состоит в том, что формируют две квазиортогональные псевдослучайные последовательности, синхронизирующую и информационную. Формируют К последовательностей путём суммирования по модулю двух циклически сдвинутых синхронизирующей и информационной ПСП. Циклические сдвиги синхронизирующей ПСП фиксированы и различны, а информационной ПСП определяются К символами передаваемой информации. Двоичные символы последовательностей заменяют целыми противоположными числами. Формируют последовательность комплексных чисел, действительная часть которых является суммой элементов L из К преобразованных последовательностей, а мнимая – суммой элементов оставшихся (К-L) последовательностей и преобразованной синхронизирующей ПСП. В начале и конце дополняют последовательность нулевыми элементами и осуществляют её обратное дискретное преобразование Фурье. Последовательности действительных и мнимых частей полученных отсчётов фильтруют в корректирующих фильтрах, преобразуют в аналоговые сигналы в ЦАП, фильтруют в ФНЧ и модулируют ими радиочастотный сигнал квадратурным методом. 1 ил.
Способ формирования сигналов с расширенным спектром, заключающийся в том, что формируют две квазиортогональные псевдослучайные последовательности (ПСП), сфазированные между собой, синхронизирующую и информационную, циклически сдвигают информационную ПСП относительно синхронизирующей ПСП на количество элементов, определяемое передаваемым информационным символом, а также формируют два подобных радиочастотных сигнала, разность фаз которых составляет 90°, отличающийся тем, что формируют К последовательностей путем суммирования по модулю два циклически сдвинутых синхронизирующей и информационной ПСП, причем циклические сдвиги синхронизирующей ПСП фиксированы и различны, а циклические сдвиги информационной ПСП определяются К символами передаваемой информации, символы сформированных К последовательностей заменяют целыми противоположными числами, символы синхронизирующей ПСП также заменяют целыми противоположными числами, поэлементно суммируют L из К преобразованных последовательностей, а также поэлементно суммируют оставшиеся (К-L) преобразованные последовательности и преобразованную синхронизирующую ПСП, из полученных суммарных последовательностей формируют последовательность комплексных чисел, действительная часть которых является элементом одной суммарной последовательности, а мнимая – элементом другой, последовательность комплексных чисел дополняют в начале и конце нулевыми элементами для получения общего количества элементов, равного целой степени числа два, и осуществляют её обратное преобразование Фурье, формируют последовательности действительных и мнимых частей полученных отсчетов, которые фильтруют корректирующими фильтрами, преобразуют цифроаналоговыми преобразователями, фильтруют фильтрами нижних частот и умножают на радиочастотные сигналы, а результаты умножения складывают.
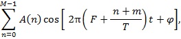
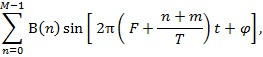
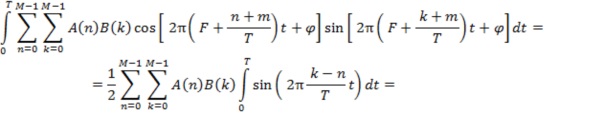
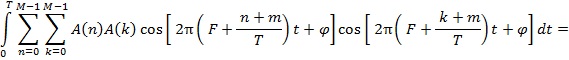
Изобретение относится к помехозащищённым системам связи и позволяет формировать шумоподобные сигналы с повышенной скоростью передачи информации и разведзащищённостью, низким уровнем внеполосного излучения. Среди известных методов расширения спектра наибольшее распространение получили метод скачкообразной перестройки частоты (frequency hopping, FH) и метод прямой последовательности (direct sequence, DS) [1]. В отечественной литературе сигналы, формируемые методом DS, называют шумоподобными (широкополосными) фазоманипулированными сигналами (ШПС). Методы их формирования и приема достаточно хорошо исследованы. Им посвящено большое количество научных публикаций, например [2], и патентов. С другой стороны, так же хорошо исследованы методы их радиотехнической разведки (РТР). Разработаны методики определения несущей частоты сигналов, тактовой частоты и структуры модулирующих последовательностей [3]. Это снижает разведзащищенность радиосистем, использующих DS-сигналы, и в связи с этим значительно усложняет организационно-технические мероприятия при проведении испытаний таких радиосистем. Задачей изобретения является создание способа формирования сигналов, для которых методики РТР DS-сигналов непригодны, а скорость передачи информации значительно выше, чем у DS-сигналов. Достигаемый при использовании изобретения технический результат – повышение разведзащищенности систем связи и скорости передачи информации, а также снижение уровня внеполосного излучения передающих устройств. Наиболее близким по количеству совпадающих признаков с заявляемым способом является способ расширения спектра, описанный в [4]. Согласно этому способу формируют сигналы несущей и тактовой частот, из сигнала тактовой частоты формируют квазиортогональные или ортогональные псевдослучайные последовательности, одна из которых предназначена для синхронизации (СП), а вторая – для передачи информации (ИП). Последовательности фазируют между собой, после чего ИП циклически сдвигают относительно СП на количество элементов, определяемое цифровыми данными, поступающими от источника информации за время, равное периоду псевдослучайных последовательностей. Циклически сдвинутую последовательность ИП складывают по модулю два с дополнительным битом информации и манипулируют по фазе сигнал несущей частоты. Формируют второй сигнал несущей частоты, сдвинутый относительно первого по фазе на 90 градусов, который манипулируют по фазе последовательностью СП и складывают с манипулированным первым сигналом несущей частоты. Недостатком способа-прототипа является то, что формируемый сигнал принадлежит к классу шумоподобных фазоманипулированных сигналов (DS). Для решения поставленной в изобретении задачи в способе формирования сигналов с расширенным спектром, заключающемся в том, что формируют две квазиортогональные псевдослучайные последовательности (ПСП), сфазированные между собой, синхронизирующую и информационную, информационную ПСП циклически сдвигают относительно синхронизирующей ПСП на количество элементов, определяемое передаваемым информационным символом, а также формируют два радиочастотных сигнала, отличающихся только фазами, разность которых составляет 90 градусов, и, дополнительно, согласно изобретению формируют Способ формирования сигналов с расширенным спектром заключается в последовательном выполнении следующих операций. 1. Формируют две квазиортогональные ПСП, сфазированные между собой, синхронизирующую и информационную. 2. Формируют 3. Двоичные символы синхронизирующей ПСП и сформированных 4. Поэлементно суммируют 5. Формируют последовательность комплексных чисел, действительная часть которых является элементом одной суммарной последовательности, а мнимая – элементом другой. 6. В начале и конце дополняют последовательность нулевыми элементами до получения общего количества элементов, равного целой степени числа два. 7. Осуществляют обратное дискретное преобразование Фурье полученной последовательности. 8. Последовательности действительных и мнимых частей полученных отсчетов фильтруют в корректирующих фильтрах (для выравнивания спектра сигналов после цифро-аналогово преобразования). 9. Отфильтрованные последовательности преобразуют в аналоговые сигналы в ЦАП. 10. Выходные сигналы ЦАП фильтруют в ФНЧ (для подавления гармоник). 11. Формируют два радиочастотных сигнала, отличающиеся только фазами, разность которых составляет 90 градусов. 12. Выходные сигналы ФНЧ умножают на радиочастотные сигналы и складывают. Рассмотрим математическое описание процессов формирования сигнала. Элементы синхронизирующей ПСП обозначим как где Элементы циклически сдвинутых синхронизирующих ПСП обозначим как Элементы информационной ПСП, циклически сдвинутой на После преобразования символов элементы последовательностей принимают вид Элементы последовательности комплексных чисел после дополнения её нулевыми элементами можно представить в виде при при где Так как все дальнейшие операции являются линейными по отношению к последовательности В результате обратного дискретного преобразования Фурье формируются отсчеты Действительные и мнимые части отсчетов имеют вид Если эти отсчеты следуют с частотой W, то на выходах ФНЧ формируются сигналы где После умножения выходных сигналов ФНЧ на радиочастотные сигналы, частота которых равна S Аналогично можно показать, что из последовательностей, входящих в мнимую часть последовательности Таким образом, формируемый сигнал можно представить в виде суммы Будем называть сигналы Весь набор сигналов обладает следующими свойствами. 1. На интервале времени Синфазные сигналы имеют вид а квадратурные – поэтому их взаимная корреляция на интервале 2. Энергия информационных сигналов на интервале времени Энергия синфазных сигналов равна Для синфазных информационных сигналов поэтому их энергия равна Такое же значение можно получить для квадратурных информационных сигналов, а заменой 3. Синфазные сигналы на интервале времени где Функция а при В обоих случаях Таким образом, модуль значения взаимной корреляции двух сигналов гораздо меньше их энергии. Это определяющее условие их квазиортогональности. 4. Аналогично можно показать, что квадратурные сигналы квазиортогональны на интервале времени Таким образом, формируемый сигнал представляет собой сумму синхронизирующего сигнала и Возможен также некогерентный прием информации. В этом случае формируются две копии информационных сигналов. Вычисляются корреляции входного сигнала с каждой из них, и квадраты их значений складываются. Далее все как для когерентного приема. 5. Ширина спектра сигналов База сигналов 6. Суммарная спектральная плотность мощности информационных сигналов в полосе рабочих частот а синхронизирующего сигнала где 7. Сравним скорости передачи информации в заявляемом способе и способе-прототипе. Для корректного сравнения будем считать, что база сигналов и полоса рабочих частот одинаковы. В способе-прототипе ширина полосы рабочих частот Время передачи одного информационного символа В заявленном способе время передачи а количество передаваемых бит информации равно если Таким образом, увеличение скорости передачи информации в заявленном способе составляет более 8. Уровень внеполосного излучения определяется информационными сигналами. Относительный уровень суммарной спектральной плотности мощности этих сигналов при отстройке от крайних рабочих частот на величину При базе сигналов Для сравнения, ослабление спектральной плотности мощности фазоманипулированного ШПС составляет всего 13 дБ при отстройке на 25% полосы рабочих частот. 9. Формируемые сигналы относятся к классу сигналов с расширенным спектром, так как выполняются следующие условия [1], распространённые на случай недвоичных ансамблей сигналов: – для передачи информации используется ансамбль сигналов с большой базой; – прием информации осуществляется путем сопоставления полученного сигнала с синхронизированными копиями ансамбля сигналов. 10. Существующие методы РТР, применимые к фазоманипулированным ШПС, для заявляемых сигналов непригодны. Более того, для них не существуют понятия тактовая частота ПСП и несущая частота сигнала. Можно говорить о центральной частоте спектра сигнала, но определить её простыми нелинейными преобразованиями сигнала и фильтрацией невозможно. Любой метод точной оценки параметров сигналов потребует сложного анализа спектра сигналов, причем при очень высоком отношении сигнал/шум. Таким образом, сигналы, формируемые согласно заявляемому способу, обладают более высокой разведзащищенностью, чем DS - сигналы. 11. Автокорреляционная функция синхронизирующего сигнала имеет вид Как видно, огибающая этой функции имеет основной пик шириной Пример технической реализации устройства формирования сигнала согласно заявляемому способу для значений 1 – последовательно-параллельный преобразователь; 2, 3, 4 – генераторы информационной ПСП; 5 – генератор синхронизирующей ПСП; 6, 7, 8 – сумматоры по модулю два; 9, 10, 11, 12 – преобразователи кода; 13, 14 – сумматоры; 15, 16 – умножители; 17 – счетчик-распределитель; 18 – блок обратного дискретного преобразования Фурье (ОДПФ); 19, 20 – фильтры-корректоры; 21, 22 – цифроаналоговые преобразователи (ЦАП); 23 – синтезатор частот; 24, 25 – фильтры нижних частот (ФНЧ); 26 – фазовращатель; 27, 28 – перемножители; 29 – сумматор. Устройство работает следующим образом. Передаваемая двоичная информация поступает на последовательно- параллельный преобразователь 1, в котором разбивается на блоки, которые поступают на входы начальной установки генераторов информационной ПСП 2, 3, 4. В качестве информационной ПСП используется М-последовательность, а ее генераторы выполнены по схеме с вынесенными сумматорами. Синтезатор частот 23 вырабатывает гармонический сигнал частоты После появления импульсов разрешения работы генераторов генераторы ПСП 2, 3, 4, 5 начинают формировать последовательности с частотой После окончания импульса разрешения работы генераторов на выходах последовательно-параллельного преобразователя 1 устанавливается новый блок информации, а блок ОДПФ 18 продолжает записывать уже нулевые данные до появления импульса синхронизации с выхода счетчика-распределителя 17. После прихода этого импульса начинается процесс записи следующей комплексной последовательности данных, а записанная последовательность подвергается преобразованию. Преобразованные данные выдаются на выход блока ОДПФ 18 с той же частотой Выходные сигналы фильтров-корректоров 19, 20 преобразуются в аналоговую форму в ЦАП 21, 22, после чего фильтруются в ФНЧ 24, 25. Фильтры нижних частот 24, 25 имеют полосу пропускания не менее, чем ИСТОЧНИКИ ИНФОМАЦИИ 1.Скляр Б. Цифровая связь. Теоретические основы и практическое применение. Изд. 2-е, испр.: Пер. с англ. – М.: Издательский дом «Вильямс», 2004. – 1104с., с.733-819. 2.Борисов В. И. и др. Помехозащищенность систем радиосвязи с расширением спектра сигналов модуляцией несущей псевдослучайной последовательностью – М.: Радио и связь, 2003. – 641с. 3. Смирнов Ю. А. Радиотехническая разведка. – М: Воениздат, 2001. – 452с. 4. Патент RU 2279 183 С2. Способ передачи информации в системе связи с широкополосными сигналами. Опубликован 27.06.2006 Бюл. №18.
последовательностей путем сложения по модулю два циклически сдвинутых синхронизирующей и информационной ПСП, причем циклические сдвиги синхронизирующей ПСП фиксированы и различны, а циклические сдвиги информационной ПСП определяются
символами передаваемой информации, двоичные символы этих
последовательностей и синхронизирующей ПСП заменяют целыми противоположными числами, поэлементно суммируют
из
преобразованных последовательностей, а также поэлементно суммируют оставшиеся
преобразованные последовательности и преобразованную синхронизирующую ПСП, из полученных суммарных последовательностей формируют последовательность комплексных чисел, действительная часть которых является элементом одной суммарной последовательности, а мнимая – элементом другой, последовательность комплексных чисел в начале и конце дополняют нулевыми элементами до получения общего количества элементов, равного целой степени числа два, и осуществляют её обратное дискретное преобразование Фурье, последовательности действительных и мнимых частей полученных отсчетов фильтруют в корректирующих фильтрах, преобразуют в аналоговые сигналы в цифроаналоговых преобразователях (ЦАП), фильтруют в фильтрах нижних частот (ФНЧ), умножают на радиочастотные сигналы и складывают.
последовательностей путем сложения по модулю два циклически сдвинутых синхронизирующей и информационной ПСП. Циклический сдвиг синхронизирующей ПСП для каждой последовательности фиксирован и все они различны. Циклический сдвиг информационной ПСП для каждой последовательности определяется значением одного из символов передаваемого
- символьного информационного блока.
последовательностей заменяют целыми противоположными числами (в общем случае они различны для синхронизирующей ПСП и остальных
последовательностей, что позволяет изменять мощность синхронизирующего сигнала).
из
преобразованных последовательностей, а также поэлементно суммируют оставшиеся
преобразованных последовательностей и преобразованную синхронизирующую ПСП.
,
– длина (количество элементов) ПСП.
.
элементов, обозначим как
.
,
, где
– целые числа.
,
и
,
– общее количество элементов последовательности
.
, формируемый сигнал является суммой сигналов, образованных каждой составляющей последовательности
. Рассмотрим результат преобразования одной из последовательностей
входящих в действительную часть
, положив остальные последовательности равными нулю.
, имеющие вид






– длительность передачи одного информационного символа.
а начальная фаза одного из них равна 
и сложения полученных произведений образуется сигнал



образуются сигналы



– информационными, а 
– синхронизирующим. Кроме того, будем называть сигналы, образованные последовательностями, входящими в действительную часть 
, синфазными, а в мнимую часть
– квадратурными.
синфазные и квадратурные сигналы ортогональны.






равна 
, а синхронизирующего – 
.



. 
на 
определить энергию синхронизирующего сигнала.
квазиортогональны








зависит от автокорреляционных и взаимокорреляционных свойств синхронизирующей и информационной ПСП. Рассмотрим случай, когда ПСП являются М-последовательностями. Тогда сумма по модулю два двух циклически сдвинутых последовательностей образует ту же последовательность с другим циклическим сдвигом. Для таких ПСП при 






1, что означает 
.


информационных сигналов, которые ортогональны или квазиортогональны между собой на интервале времени передачи одного блока, состоящего из 
символов информации. Если передаваемые символы информации независимы, их оптимальный прием также независим. Это означает, что для приема 
-го символа информации осуществляется сравнение принимаемого сигнала с синхронизированными копиями 
путем вычисления их взаимной корреляции для всех возможных значений циклических сдвигов информационной ПСП. Из полученных значений выбирается максимальное и по соответствующему ему значению циклического сдвига определяется значение 
-го информационного символа. 









– дельта-функция Дирака.
, измеренная по первым нулям спектра сигнала, равна удвоенной тактовой частоте ПСП, а база сигнала равна длине ПСП 
.
, а количество передаваемых бит информации равно 
, поэтому скорость передачи информации 

информационных символов 

, поэтому скорость передачи информации 

, то 

раз, а при больших базах приближается к величине 
раз.
составляет 

уже при отстройке частоты на 10% полосы 
спектральная плотность мощности падает на 30 дБ.
.
уровень которого на 13 дБ превышает уровень соседних пиков, что позволяет с высокой помехозащищенностью осуществлять обнаружение сигнала, а также определять его задержку 
, отслеживать её изменение и изменение фазы 
. 
приведен на фиг.1. Устройство содержит:
и тактовые импульсы частоты 
, которые поступают на тактовые входы генераторов ПСП 2, 3, 4, 5, фильтров-корректоров 19, 20, блока ОДПФ 18 и счетчика-распределителя 17. Счетчик-распределитель 17 осуществляет счет импульсов, следующих с частотой 
, по модулю 
и вырабатывает импульсы синхронизации в момент своего последнего состояния 
, которые поступают на блок ОДПФ 18. Кроме того, он вырабатывает импульсы разрешения работы генераторов ПСП длительностью от 
-го состояния счетчика до 
-го состояния, поступающие на входы разрешения записи начального состояния генераторов ПСП 2, 3, 4, 5, входы умножителей 15, 16 и вход последовательно-параллельного преобразователя 1. Пока эти импульсы отсутствуют, генераторы ПСП находятся в начальном состоянии, причем генератор синхронизирующей ПСП 5 – в фиксированном состоянии, а генераторы информационной ПСП 2, 3, 4 – в состоянии, определяемом двоичным кодом на выходах последовательно-параллельного преобразователя 1. Выходы умножителей 15, 16 в это время находятся в состоянии, соответствующем нулевым числам, поэтому в блок ОДПФ 18 записываются нулевые комплексные числа с частотой 
.
. Синхронизирующая ПСП поступает в блок преобразования кода 12, где преобразуется в последовательность чисел 
и минус 
. Информационные ПСП складываются по модулю два с выходными сигналами триггеров регистра сдвига генератора синхронизирующей ПСП 5, формирующего линейную рекуррентную последовательность, в сумматорах по модулю два 6, 7, 8 и преобразуются в последовательности чисел 
и минус 
в преобразователях кода 9, 10, 11. Выходные сигналы преобразователей кода 9, 10 суммируются в сумматоре 13, умножаются на единицу в умножителе 15 и поступают на вход действительной части данных блока ОДПФ 18. Выходные сигналы преобразователей кода 11, 12 суммируются в сумматоре 14, умножаются на единицу в умножителе 16 и поступают на вход мнимой части данных блока ОДПФ 18. Входные данные записываются в блок ОДПФ 18 с частотой 
. 
, что и записываются, но с некоторой задержкой. Последовательность действительных частей выходных данных блока ОДПФ 18 поступает на фильтр-корректор 19, а мнимых частей – на фильтр-корректор 20. Функцией этих фильтров является коррекция искажения спектра сигналов после преобразования в ЦАП. Точнее, их частотная характеристика должна быть близка к функции вида 
в диапазоне частот от 
до 
.
, и частоту задерживания не более 
. Выходные сигналы фильтров поступают на перемножители 27, 28, где умножаются на гармонические сигналы частоты 
, разность фаз которых составляет 90 градусов. На перемножитель 28 гармонический сигнал поступает непосредственно с выхода синтезатора частот 23, а на перемножитель 27 – с выхода фазовращателя 26, в котором выходной сигнал синтезатора частот 23 сдвигается по фазе на 90 градусов. Выходные сигналы перемножителей 27, 28 складываются в сумматоре 29, выход которого является выходом формирователя.