патент
№ RU 2496121
МПК G01S13/08

СПОСОБ ИНФОРМАЦИОННОГО ОБЕСПЕЧЕНИЯ ВИХРЕВОЙ БЕЗОПАСНОСТИ ПОЛЕТА ЛЕТАТЕЛЬНЫХ АППАРАТОВ

Авторы:
Буркин Владимир Савельевич
Номер заявки
2012109080/07
Дата подачи заявки
11.03.2012
Опубликовано
20.10.2013
Страна
RU
Как управлять
интеллектуальной собственностью
Реферат

Изобретение может быть использовано для предупреждения о возможности попадания летательного аппарата (ЛА) в зону вихревого следа. Сущность изобретения состоит в том, что заявленный способ характеризуется осуществлением передачи данных «борт-борт» и «борт-система управления воздушным движением (УВД)» в радиовещательном режиме и/или в режиме «точка-точка» с передачей информации каждым ЛА (ЛА-генератором) о параметрах создаваемого им вихревого следа, получаемых путем измерений и/или расчета в самолетной системе координат ЛА-генератора, приемом этой информации каждым другим ЛА и/или системой УВД (далее абоненты), находящихся в зоне доступности передатчика соответствующего ЛА-генератора, последующим расчетом в системе координат ЛА-абонентов последствий воздействия вихревого следа и анализом этой информации ЛА-абонентами, причем в передаваемую информацию ЛА-генератора включают такие данные в самолетных координатах этого ЛА, как местоположение ЛА-генератора и категорию его передатчика, скорость и курс ЛА-генератора, его вес и время передачи им информации, данные турбулентности атмосферы, скорость и направление ветра, температуру и барометрическое давление, а принимающие информацию ЛА-абоненты оценивают возможность прохождения зоны создаваемого ЛА-генератором вихревого следа, и, в случае необходимости, проводят измерения характеристик атмосферы, и/или учитывают поступающие от системы УВД данные, необходимые для соответствующего расчета вихревого следа, и/или учитывают характеристики атмосферы с учетом изменчивости порывов ветра и/или турбулентности, при этом параметры вихревого следа определяют с уче

Формула изобретения

1. Способ информационного обеспечения вихревой безопасности полета летательных аппаратов, характеризующийся осуществлением передачи данных «борт-борт» и «борт-система управления воздушным движением (УВД)» в радиовещательном режиме и/или в режиме «точка-точка» с передачей информации каждым ЛА (ЛА-генератором) о параметрах создаваемого им вихревого следа, получаемых путем измерений и/или расчета в самолетной системе координат ЛА-генератора, приемом этой информации каждым другим ЛА и/или системой УВД (далее абоненты), находящихся в зоне доступности передатчика соответствующего ЛА-генератора, последующим расчетом в системе координат ЛА-абонентов последствий воздействия вихревого следа и анализом этой информации ЛА-абонентами, причем в передаваемую информацию ЛА-генератора включают такие данные в самолетных координатах этого ЛА, как местоположение ЛА-генератора и категорию его передатчика, скорость и курс ЛА-генератора, его вес и время передачи им информации, данные турбулентности атмосферы, скорость и направление ветра, температуру и барометрическое давление, а принимающие информацию ЛА-абоненты оценивают возможность прохождения зоны создаваемого ЛА-генератором вихревого следа, и, в случае необходимости, проводят измерения характеристик атмосферы, и/или учитывают поступающие от системы УВД данные, необходимые для соответствующего расчета вихревого следа, и/или учитывают характеристики атмосферы с учетом изменчивости порывов ветра и/или турбулентности, при этом параметры вихревого следа определяют с учетом сноса вихревого следа, в том числе с учетом влияния стохастических атмосферных воздействий, например, порывов ветра и/или турбулентности.

2. Способ информационного обеспечения вихревой безопасности полета ЛА по п.1, отличающийся тем, что величину циркуляции создаваемого ЛА-генератором вихревого следа определяют из соотношения
Г(t)=4GetσT/L/πρVL,
где ρ - плотность воздуха, V - скорость полета, L - размах крыла самолета, G - вес самолета, σT - величина среднеквадратического отклонения скорости ветра.

3. Способ информационного обеспечения вихревой безопасности полета ЛА по п.1, отличающийся тем, что снос вихревого следа за счет влияния ветра в свободном пространстве определяют по соотношениям
z1,2(t)=±1/2+Wzt; y1,2(t)=Wyt, где z1,2(t) и y1,2(t) - соответствующие координаты (математическое ожидание положения соответствующих координат), Wz и Wy - средняя скорость ветра.

4. Способ информационного обеспечения вихревой безопасности полета ЛА по п.1, отличающийся тем, что снос вихревого следа за счет влияния ветра в области влияния подстилающей поверхности определяют по соотношениям
z1,2(t)=±Δz(t)/2+Wzt, где Δz(t) - расстояние (математическое ожидание расстояния) между расходящимися вихрями, а остальные обозначения соответствуют записанным ранее.

5. Способ информационного обеспечения вихревой безопасности полета ЛА по п.1, отличающийся тем, что среднеквадратическое отклонение (СКО) сноса вихревого следа определяют из выражения
σr=1,22σTτтt,
здесь τт=Lт/W - временной масштаб турбулентности, Lт - пространственный масштаб турбулентности, W - средняя скорость ветра, при этом W=ΣWi2, где i=x, y, z, а остальные обозначения соответствуют записанным ранее.

Описание

[1]

Предлагаемое изобретение может быть использовано для предупреждения о возможности попадания летательного аппарата (ЛА) в зону вихревого следа.

[2]

Известен способ мониторинга окружающего пространства (см., например, «Система вихревой безопасности аэропортов», http://www.lsystems.ru/catalog/spec_systems/safety_aeroport/ от 07.02.2011), включающий зондирование произвольно выбранного сектора обзора с помощью доплеровского лидара.

[3]

Известный способ обеспечивает возможность получения информации об интенсивности и динамике вихревых следов за ЛА, а также об интенсивности турбулентности в вихревых следах, профиле турбулентности и о пространственном распределении компонент скорости ветра, однако для его применения в полетных условиях необходимо установка на борту соответствующей аппаратуры.

[4]

Наиболее близким аналогом-прототипом является способ предупреждения о возможности попадания ЛА в опасную зону вихревого следа (см., например, патент РФ №2324203 с приоритетом от 25.07.2003, МПК: G01S 13/95), включающий получение информации о конфигурации, местонахождении и ориентации ЛА относительно инерциальной системы координат в текущий момент времени, получение и сохранение информации о параметрах движения генератора вихрей (ГВ) и его положении, геометрических и массовых характеристиках относительно той же системы координат в текущий момент времени, получение информации о параметрах окружающей среды в области совместного размещения ЛА и ГВ, определение траектории и интенсивности вихревого следа ГВ как совокупности траекторий центров областей завихренности, генерируемых указанным ГВ, в инерциальной системе координат в текущий момент времени, сохранение информации о координатах точек траектории и интенсивности вихревого следа ГВ как совокупности траекторий центров областей завихренности в инерциальной системе координат, выбор времени упреждения, в течение которого ЛА может, по меньшей мере, выполнить маневр изменения траектории полета, обеспечивающий уклонение ЛА от вихревого следа ГВ после предупреждения о возможности попадания в него, вычисление упреждающего расстояния, равного расстоянию, преодолеваемому ЛА за время упреждения, моделируют контрольную плоскость, расположенную в пространстве перед ЛА, и определяют прогнозируемый момент времени пролета ЛА через указанную контрольную плоскость в инерциальной системе координат, а также осуществляют для пользователя индикацию события равенства нулю расстояния до опасной зоны вихревого следа указанного ГВ.

[5]

Известный способ позволяет организовать систему управления воздушным движением с обеспечением информирования пользователя о возможности опасной полетной ситуации, однако его реализация потребует создания объединенных в единую информационную систему систем предупреждения, размещенных на ЛА, кораблях, аэродромах и т.д., что сопряжено с необходимостью значительных финансовых затрат и в ряде случаев нецелесообразно.

[6]

Задача изобретения состоит в разработке способа информационного обеспечения вихревой безопасности полета ЛА, позволяющего предупреждать пилотов об опасности попадания в вихревой след впереди идущего ЛА.

[7]

Сущность изобретения состоит в том, что способ информационного обеспечения вихревой безопасности полета летательных аппаратов, характеризуется осуществлением передачи данных «борт-борт» и «борт-система управления воздушным движением (УВД)» в радиовещательном режиме и/или в режиме «точка-точка» с передачей информации каждым ЛА (ЛА-генератором) о параметрах создаваемого им вихревого следа, получаемых путем измерений и/или расчета в самолетной системе координат ЛА-генератора, приемом этой информации каждым другим ЛА и/или системой УВД (далее абоненты), находящихся в зоне доступности передатчика соответствующего ЛА-генератора, последующим расчетом в системе координат ЛА-абонентов последствий воздействия вихревого следа и анализом этой информации ЛА-абонентами, причем в передаваемую информацию ЛА-генератора включают такие данные в самолетных координатах этого ЛА, как местоположение ЛА-генератора и категорию его передатчика, скорость и курс ЛА-генератора, его вес и время передачи им информации, данные турбулентности атмосферы, скорость и направление ветра, температуру и барометрическое давление, а принимающие информацию ЛА-абоненты оценивают возможность прохождения зоны создаваемого ЛА-генератором вихревого следа, и, в случае необходимости, проводят измерения характеристик атмосферы, и/или учитывают поступающие от системы УВД данные, необходимые для соответствующего расчета вихревого следа, и/или учитывают характеристики атмосферы с учетом изменчивости порывов ветра и/или турбулентности, при этом параметры вихревого следа определяют с учетом сноса вихревого следа, в том числе с учетом влияния стохастических атмосферных воздействий, например, порывов ветра и/или турбулентности, причем величину циркуляции создаваемого ЛА-генератором вихревого следа определяют из соотношения:

[8]

Г(t)=4Ge-tσT/L/πρVL.

[9]

где ρ - плотность воздуха, V - скорость полета, L - размах крыла самолета, G - вес самолета, σT - величина среднеквадратического отклонения скорости ветра.

[10]

При этом снос вихревого следа за счет влияния ветра в свободном пространстве определяют по соотношениям:

[11]

z1,2(t)=±1/2+Wzt; y1,2(t)=Wyt, где z1,2(t) и y1,2(t) соответствующие координаты (математическое ожидание положения соответствующих координат) центра вихрей, Wz и Wy средняя скорость ветра по соответствующей координате, а снос вихревого следа за счет влияния ветра в области влияния подстилающей поверхности определяют по соотношениям:

[12]

z1,2(t)=±Δz(t)/2+Wzt, где Δz(t) - расстояние (математическое ожидание расстояния) между расходящимися вихрями, а остальные обозначения соответствуют записанным ранее.

[13]

Кроме того, среднеквадратическое отклонение (СКО) сноса вихревого следа определяют из выражения:

[14]

σr=1,22σTτTt.

[15]

Здесь τT=LT/W - временной масштаб турбулентности, LT - пространственный масштаб турбулентности, W - средняя скорость ветра, при этом W=ΣWi2, где i=x, y, z, а остальные обозначения соответствуют записанным ранее.

[16]

Техническим результатом предполагаемого изобретения является повышение безопасности полета ЛА за счет получения информации о возможности попадания соответствующего ЛА в зону вихревого воздействия.

[17]

При полете в атмосфере ЛА создает вихревой след, который может представлять опасность для других ЛА. Эта проблема актуальна также и для аэропортов при организации взлета-посадки самолетов.

[18]

Предлагаемый способ информационного обеспечения полета ЛА, предполагает решение этой проблемы за счет информирования заинтересованных пользователей воздушного пространства о месте и времени возникновения вихревой обстановки и выявления ими приближения опасности путем анализа полученной информации о параметрах этой вихревой обстановки, координатах ее формирования и перемещения, а также путем соответствующего измерения характеристик атмосферы в зоне предполагаемого нахождения соответствующего пользователя.

[19]

При этом измерения характеристик атмосферы в соответствующей зоне аэропорта можно производить путем использования, например, комплекса автономных лидарных модулей, включающего доплеровский лидар дальнего действия, лазерно-доплеровский сканер вихревых следов, а также доплеровский лазерный измеритель вертикального профиля ветра, позволяющего получать информацию о таких параметрах, как: вертикальный профиль скорости ветра и пространственное распределение вертикальной компоненты скорости ветра, профиль турбулентности и интенсивность турбулентности в вихревых следах, интенсивность и динамика вихревых следов за летательными аппаратами и др. (см., например, «Системы вихревой безопасности аэропортов», http://www.lsystems.ru/catalog/spec_systems/safety_aeroport/).

[20]

Измерения параметров атмосферных характеристик (температуры, давления и др.) можно производить непосредственно на ЛА с помощью соответствующих датчиков и бортового метеолокатора (см., например, http://ru.wikipedia.org/wiki/).

[21]

При этом заинтересованные пользователи воздушного пространства осуществляют связь «борт-борт» и «борт-система управления воздушным движением (УВД)» и каждый ЛА по радиовещательному каналу многостанционного доступа и/или по радиосвязи «точка-точка» передает информацию о создаваемой им вихревой обстановке (ВО) с включением в эту информацию данных о параметрах ВО в самолетных или в земных координатах передающего ЛА (далее ЛА-генератора), получаемых путем соответствующих расчетов и/или измерений, а также сообщают местоположение ЛА-генератора, его вес и категорию его передатчика, время передачи им информации, его курс и скорость полета, данные турбулентности атмосферы, скорость и направление ветра, температуру и барометрическое давление (см., например, Передача полученных на борту ВС (воздушного судна) метеоданных по ADS-B линии передачи для приложений вихревого следа, организации воздушного движения и метеорологических приложений (Aircraft Derived Meteorological Data via ADS-B Data Link for Wake Vortex, Air Traffic Management, and Weather Application), проект «Определение эксплуатационных служб и внешних условий (OSED)» (Operational Services and Environmental Definition), RTCA SC-206, SG-1, Подгруппа по вихревым следам, ОВД и MET, редакция 0.1, с.12, 21.09.2011) в результате чего обеспечивается возможность приема этой информации каждым другим ЛА и/или наземными диспетчерскими пунктами аэродромных служб УВД (далее абоненты ЛА-генератора), находящихся в зоне доступности соответствующего передатчика, а также последующей обработки и анализа полученной информации абонентами, при этом принимающие информацию абоненты оценивают возможность прохождения зоны создаваемого ЛА-генератором вихревого следа, ориентируясь на время диффузии вихревого следа, а также его сноса ветром (см., например, Ярошевский В.А. и др. «Влияние вихревого следа на динамику полета пассажирского самолета», Полет. Вып. ЦАГИ-90, 2009), соответственно при следовании этих ЛА в направлении возникновения указанной ВО и при прохождении ЛА-генератора в зоне безопасности соответствующего аэродрома, причем принимающие информацию ЛА и службы УВД, в случае необходимости, проводят измерения характеристик атмосферы и/или учитывают характеристики атмосферы по вероятностной модели с учетом изменчивости порывов ветра и/или турбулентности, при этом параметры вихревого следа определяют с учетом его сноса за счет влияния стохастических атмосферных воздействий, например, порывов ветра и/или турбулентности.

[22]

Известно (см, например, Буркин B.C. «Разработка стохастической модели вихревых следов ЛА реального времени и определение информации обмена между ЛА и наземными службами УВД в интересах создания бортовой системы вихревого предупреждения» отчет ФГУП «ГосНИИАС» №34(16044)2011, Москва, 2011 г., с.40) что при распространении сформировавшихся вихрей изменение величин циркуляции Г(t) можно представить в виде:

[23]

Г(t)=Г0е-γt, где γ=0,82q/b.

[24]

Здесь Г0=G/ρVb - циркуляция вихрей на момент образования, q - атмосферная турбулентность, b=πL/4 - расстояние между вихрями следа (в предположении, что непосредственно за самолетом справедливо эллиптическое распределение циркуляции по размаху), G [кг·м·сек-2] - вес самолета, ρ[кг·м-3] - плотность воздуха, V[м·сек-1] - скорость полета, L[м] - размах крыла (см., например, Г.Г. Судаков «Математические модели и численные методы расчета характеристик спутных следов их воздействия на самолет», Автореферат диссертации на соискание ученой степени доктора технических наук, Москва, 2005, с.с.14-15, см. также В.В. Вышинский, Г.Г. Судаков «Вихревой след самолета и вопросы безопасности полетов» Труды МФТИ, 2009, том 1, №3, с.78).

[25]

После подстановок, проводя преобразования, получаем:

[26]

Г(t)=4Ge-qt/L/πρVL.

[27]

Принимая во внимание, что по определению q≡σT, где в стохастической постановке σT - величина среднеквадратического отклонения скорости ветра (см, например, Буркин B.C. «Разработка стохастической модели вихревых следов ЛА реального времени и определение информации обмена между ЛА и наземными службами УВД в интересах создания бортовой системы вихревого предупреждения» отчет ФГУП «ГосНИИАС» №34 (16044)2011, Москва, 2011 г. с.51), имеем:

[28]

Г(t)=4Ge-tσT/L/πρVL.

[29]

Известно также (см., например, Буркин B.C. «Разработка стохастической модели вихревых следов ЛА реального времени и определение информации обмена между ЛА и наземными службами УВД в интересах создания бортовой системы вихревого предупреждения» отчет ФГУП «ГосНИИАС» №34 (16044)2011, Москва, 2011 г., с.41), что снос вихревого следа ветром в свободном пространстве определяют по соотношениям:

[30]

Z1,2(t)=±1/2+Wzt; y1,2(t)=Wyt, где z1,2(t) и y1,2(t) соответствующие координаты (математическое ожидание положения соответствующих координат) центра вихрей, Wz и Wy средняя скорость ветра по соответствующей координате, а снос вихревого следа за счет влияния ветра в области влияния подстилающей поверхности определяют по соотношениям:

[31]

z1,2(t)=±Δz(t)/2+Wzt, где Δz(t) - расстояние (математическое ожидание расстояния) между расходящимися вихрями, а остальные обозначения соответствуют записанным ранее.

[32]

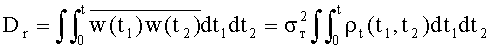
В общем случае дисперсию положения вихря при случайных порывах ветра со скоростями W(t) можно записать в виде:

[33]

Dr=0tw(t1)w(t2)¯dt1dt2=σт20tρt(t1,t2)dt1dt2,

[34]

где σт2 - дисперсия скорости турбулентных порывов ветра, ρt(t1,t2) - нормированная временная корреляционная функция скорости порывов и r={z, у} - компоненты координат вихря.

[35]

Вычисление сноса вихревого следа для корреляционной функции Кармана при t>>τT приводит к результату:

[36]

Dr=1.49σт2tτТ и σr=1.22σТτТt.

[37]

Здесь τт=Lт/W - временной масштаб турбулентности [сек], где

[38]

Lт - пространственный масштаб турбулентности [м], a W - средняя скорость ветра [м/сек], причем W=ΣWi2, где i=x, y, z.

[39]

При этом наиболее вероятное значение Lт≈300 м, а σТ<0,5 м/сек для спокойной атмосферы и σТ>2,5 м/сек для сильно возмущенной атмосферы, (см., например, Буркин B.C. «Разработка стохастической модели вихревых следов ЛА реального времени и определение информации обмена между ЛА и наземными службами УВД в интересах создания бортовой системы вихревого предупреждения» отчет ФГУП «ГосНИИАС» №34 (16044)2011, Москва, 2011 г., с.50-53).

[40]

Таким образом, для каждого самолета величина его вихревого следа и координаты его ветрового сноса в принципе могут быть подсчитаны и ретранслированы при радиосвязи для соответствующего ориентирования заинтересованных пользователей воздушного пространства.

[41]

Реализацию способа информационного обеспечения полета ЛА осуществляют следующим образом:

[42]

Находящиеся в воздухе ЛА осуществляют связь «борт-борт» и «борт-система управления воздушным движением (УВД)» по радиовещательному каналу многостанционного доступа и/или по радиосвязи «точка-точка» и передают информацию о создаваемой им вихревой обстановке (ВО) с включением в эту информацию данных о параметрах ВО и максимальном значении величины формируемого передающим ЛА (ЛА-генератором) вихревого следа и его ветрового сноса в самолетных или в земных координатах ЛА-генератора, получаемых путем соответствующих расчетов и/или измерений, а также сообщают время передачи, скорость и направление полета ЛА-генератора и другие вышеуказанные данные.

[43]

После приема этой информации каждым другим ЛА и/или наземными диспетчерскими пунктами аэродромных служб УВД (управления воздушным движением) (далее абоненты), находящихся в зоне доступности соответствующего передатчика, абоненты производят последующую обработку и анализ полученной информации, оценивают возможность прохождения соответствующим ЛА зоны создаваемого ЛА-генератором вихревого следа, определяемой, например, дистанцией между ЛА-генератором и абонентом, следующим в направлении этого вихревого следа, а также при прохождении ЛА-генератора в зоне безопасности соответствующего аэродрома проводят измерения характеристик атмосферы.

[44]

Учет времени диффузии вихревого следа и координат его ветрового сноса повышает безопасность полета ЛА, следующих в направлении этого вихревого следа.

[45]

Использование при радиосвязи воздушного пространства по радиовещательному каналу многостанционного доступа и/или по радиосвязи «точка-точка» выполняют с временным разделением каналов (см., например, «Разработка рекомендаций по созданию системы автоматического зависимого наблюдения взлета и посадки воздушных судов», Отчет о научно-исследовательской работе ФГУП «ГосНИИАС», 2010 г.) в виде комплексной системы связи и передачи данных путем обеспечения нескольких, например четырех, отдельных радиоканалов на одной несущей волне с частотной сеткой 25 кГц и модуляцией (номинально три речевых канала и один канал передачи данных). В первом случае осуществляется свободный доступ группы абонентов к каналу на основе принципа «слушай, прежде чем включать микрофон», а во втором - реализуется доступ к каналу с разрешения наземной станции по запросу борта.

Как компенсировать расходы
на инновационную разработку
Похожие патенты