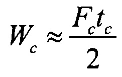
Изобретение относится к области измерений, в частности к исследованию характеристики трещиностойкости деталей и конструкций, и направлено на повышение производительности, информативности способа и расширение его области применения. Сущность: осуществляют вдавливание в поверхность испытуемого материала алмазной четырехгранной пирамиды с последующей полной разгрузкой, в процессе испытания непрерывно регистрируют диаграмму вдавливания в координатах «нагрузка - глубина отпечатка», а затем по первому перелому на линии нагружения диаграммы вдавливания измеряют нагрузку Fи соответствующую ей глубину отпечатка t, по которым рассчитывают удельную работу упругопластической деформации ω, необходимую для образования первой трещины, как:где- абсолютная работа упругопластической деформации при достижении Fи t,- упругопластический объем отпечатка глубиной t. Технический результат: повышение производительности, информативности способа и расширение его области применения. 1 ил.
Способ определения характеристики трещиностойкости материалов, заключающийся во вдавливании в поверхность испытуемого материала алмазной четырехгранной пирамиды с последующей полной разгрузкой, отличающийся тем, что в процессе испытания непрерывно регистрируют диаграмму вдавливания в координатах «нагрузка - глубина отпечатка», а затем по первому перелому на линии нагружения диаграммы вдавливания измеряют нагрузку Fc и соответствующую ей глубину отпечатка tс, по которым рассчитывают удельную работу упругопластической деформации ωс, необходимую для образования первой трещины, как: где 
- абсолютная работа упругопластической деформации при достижении Fс и tс,
- упругопластический объем отпечатка глубиной tc.
Изобретение относится к области измерений и может быть использовано для исследования механических характеристик материалов, в частности характеристики трещиностойкости деталей и конструкций. Известен способ определения трещиностойкости материалов (Evans A.G., Charles Е.А. Fracture toughness determinations by indentation // Journal of American ceramics society. 1976. Vol. 58. Issue 7-8. pp. 371-372), согласно которому в поверхность испытуемого материала вдавливают пирамиду с усилием F до образования отпечатка с развивающейся из него радиальной трещиной, после чего снимают нагрузку и с помощью микроскопа измеряют диагональ отпечатка 2 Недостатками настоящего способа является ограниченная область применения и низкая информативность, т.к. он применим только для радиальных трещин, исходящих из вершин отпечатка. Наиболее близким по технической сущности к предлагаемому изобретению является способ определения характеристики трещиностойкости материалов (авторское свидетельство СССР №1188578, опубл. 30.10.1985, МПК G01N 3/40), согласно которому в поверхность испытуемого материала вдавливают с усилием F алмазную четырехгранную пирамиду до образования отпечатка с развивающейся из него трещиной, измеряют после разгрузки размер отпечатка и длину трещины, после чего прикладывают нагрузку Fкр>F, обеспечивающую страгивание трещины, и снова измеряют после разгрузки размер отпечатка и длину трещины, с учетом которых рассчитывают параметр трещиностойкости K1с. Недостатками данного технического решения являются ограниченная область применения, т.к. он применим только для радиальных трещин, исходящих из вершин отпечатка и полудисковых трещин, сложность определения нагрузки Fкр, соответствующей страгиванию трещины, низкая производительность испытаний, а также низкая информативность вследствие определения только сопротивления распространению имеющейся трещины. Технической задачей изобретения является возможность определения сопротивления образованию первой трещины независимо от ее вида при однократном вдавливании индентора. Технический результат заключается в повышении производительности, информативности способа и расширении его области применения. Это достигается тем, что в известном способе определения характеристики трещиностойкости материала, включающем вдавливание в поверхность испытуемого материала алмазной четырехгранной пирамиды с последующей полной разгрузкой, в процессе испытания непрерывно регистрируют диаграмму вдавливания в координатах «нагрузка - глубина отпечатка», а затем по первому перелому на линии нагружения диаграммы вдавливания измеряют нагрузку Fc и соответствующую ей глубину отпечатка tc, по которым рассчитывают удельную работу упругопластической деформации ωс, необходимую для образования первой трещины, как: где Сущность изобретения поясняется чертежом, на котором в качестве примера реализации способа определения характеристики трещиностойкости материалов изображена диаграмма вдавливания алмазной четырехгранной пирамиды в покрытие из TiN толщиной 30 мкм, нанесенного на подложку из стали 45. Реализация предлагаемого способа определения характеристики трещиностойкости материалов осуществляется следующим образом. Испытания вдавливанием индентора в виде алмазной четырехгранной пирамиды в поверхность материала выполняют на стационарном приборе-твердомере механического действия. Индентор вдавливают с непрерывно возрастающей нагрузкой и в процессе испытания непрерывно регистрируют диаграмму вдавливания в координатах «нагрузка - глубина отпечатка». Вдавливание проводят до тех пор, пока на диаграмме вдавливания не появится перелом в виде локального спада нагрузки. Возникновение перелома на линии нагружения диаграммы при некотором значении нагрузки Fc соответствует образованию в испытуемом материале первой трещины. Зарегистрировав значения нагрузки Fc и соответствующей ей глубины отпечатка tc, рассчитывают удельную работу упругопластической деформации ωс, необходимую для образования первой трещины по формуле (3). Экспериментально установлено, что первый перелом на диаграмме вдавливания индентора при некоторой нагрузке Fc соответствует образованию первой трещины вокруг отпечатка (Матюнин В.М., Марченков А.Ю., Волков П.В. Оперативный контроль механических свойств упрочняющих покрытий // Материалы 18-ой международной научно-практической конференции «Технологии упрочнения, нанесения покрытий и ремонта: теория и практика». - СПб.: Издательство Политехнического университета, 2016. - С. 186-193). Индентор в виде четырехгранной пирамиды или шара вдавливали непрерывно в поверхность испытуемого материала до некоторого заданного значения нагрузки F. Было установлено, что если останавливать нагружение при нагрузке F≥Fc, то на поверхности наблюдаются трещины, которые выявляются с помощью оптического микроскопа, а если останавливать нагружение при любой нагрузке F<Fc - то трещин на поверхности не наблюдается. Для дополнительного подтверждения момента образования первой трещины вдавливание индентора производили с регистрацией сигналов акустической эмиссии (АЭ) с использованием датчиков АЭ, установленных на испытуемом образце. Было показано, что при достижении нагрузки Fc, т.е. при появлении первого перелома на диаграмме вдавливания, возникает импульс АЭ, характеризующийся высокими амплитудой и энергией, что соответствует образованию трещины в испытуемом материале. Удельная работа упругопластической деформации ωс является характеристикой трещиностойкости, показывающей сопротивление материала образованию первой трещины. В отличие от показателя трещиностойкости K1c, характеризующего работу, необходимую для распространения трещины в испытуемом материале, ωс характеризует работу, затрачиваемую на ее зарождение. Большинство используемых в промышленности высокотвердых и высокопрочных материалов и покрытий являются хрупкими и имеют крайне малый запас пластичности, и зарождение в них трещины может привести к внезапному хрупкому разрушению. Поэтому при выборе таких материалов необходимо знать их показатели трещиностойкости, характеризующие сопротивление образованию первой трещины. Кроме того, для ряда покрытий, обладающих определенными свойствами (например, электропроводящие покрытия, коррозионно-стойкие покрытия) нарушение их сплошности при образовании трещины может привести к потере функциональных свойств всего покрытия. Поэтому для таких покрытий важно знать именно работу, затрачиваемую на образование первой трещины. С этой точки зрения, работа упругопластической деформации ωс, необходимая для образования первой трещины, является более ценным показателем - по значениям ωс можно сравнивать высокотвердые материалы и покрытия по их способности сопротивляться образованию первой трещины вокруг отпечатка независимо от ее вида. Чем выше ωс, тем лучше эта способность и тем более качественным является материал. Независимо от типа образующейся в материале или покрытии трещины, ее зарождение проявляется на диаграмме вдавливания в виде локального спада (перелома) нагрузки, поэтому при реализации предлагаемого способа ωс может быть определена при образовании любого типа трещин (радиальные, круговые, бикруговые, боковые, медианные и др.). Реализация предлагаемого способа показана на примере испытания покрытия из TiN толщиной 30 мкм, нанесенного на подложку из стали 45. На диаграмме вдавливания алмазной четырехгранной пирамиды в покрытие, представленной на чертеже, наблюдаются несколько локальных срывов нагрузки (переломов) на ветви нагружения. Как следует из диаграммы, первый перелом, соответствующий образованию первой трещины вокруг отпечатка, наступил при нагрузке Fc ≈ 6,7 Н, которой соответствует глубина отпечатка tc=7,4 мкм. Согласно формуле (3), работа упругопластической деформации ωс, необходимая для образования первой трещины на этом покрытии, составляет 7,49 Дж/мм3. Следует отметить, что, как видно из чертежа, на поверхности данного покрытия при внедрении индентора образуется круговая трещина и применение существующих способов для определения характеристик трещиностойкости для такого типа трещин является невозможным. Использование изобретения позволяет повысить информативность способа за счет введения новой характеристики трещиностойкости - удельной работы упругопластической деформации ωс, необходимой для образования первой трещины. Определение этой характеристики возможно в рамках однократного испытания вдавливанием индентора, за счет чего достигается увеличение производительности испытаний в сравнении с существующим способом, подразумевающим как минимум два вдавливания индентора для определения характеристик трещиностойкости материала. Кроме того, предлагаемый способ имеет более широкую область применения, т.к. может быть использован на материалах и покрытиях при образовании трещин любого типа.


- абсолютная работа упругопластической деформации при достижении Fc и tc,
- упругопластический объем отпечатка глубиной tc.