Использование: для лазерного отжига пластин из полупроводниковых, керамических и стеклообразных материалов. Сущность изобретения заключается в том, что в способе лазерной обработки неметаллических пластин, заключающемся в облучении их поверхности импульсом лазерного излучения с плотностью энергии, зависящей от температуры отжига, начальной температуры пластины, удельной теплоемкости и плотности материала пластины, а также показателя поглощения материала пластины на длине волны лазерного излучения, предварительно рассчитывают критерий термопрочности пластины и при его невыполнении перед воздействием лазерного импульса нагревают пластину до температуры, зависящей от толщины пластины, механических, теплофизических и оптических свойств материала пластины. Технический результат: обеспечение возможности исключения разрушения пластин термоупругими напряжениями в процессе обработки и повышения выхода годных пластин. 1 ил.
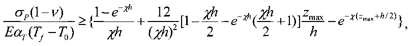
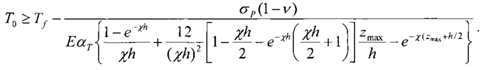
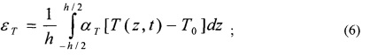
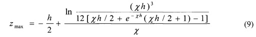
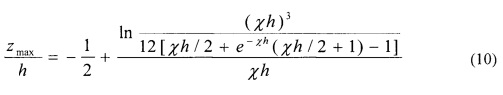
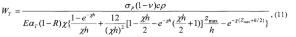
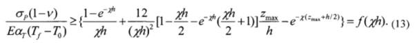
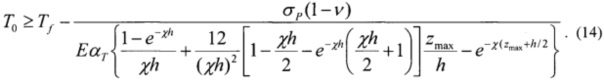
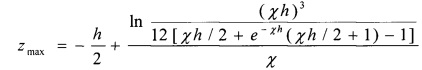
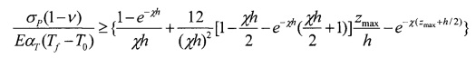
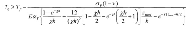
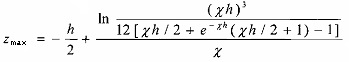
Способ лазерной обработки неметаллических пластин, имеющих свободную поверхность, заключающийся в облучении их поверхности импульсом лазерного излучения с плотностью энергии где Т0 - начальная температура пластины; c и ρ - удельная теплоемкость и плотность материала пластины соответственно; R - коэффициент отражения материала пластины; χ - показатель поглощения материала пластины на длине волны лазерного излучения, отличающийся тем, что рассчитывают условие термопрочности где σP - предел прочности материала пластины на растяжение; ν - коэффициент Пуассона материала пластины; Е - модуль Юнга; αT - коэффициент линейного расширения материала пластины, е - основание натурального логарифма; h - толщина пластины; Zmax - координата максимальных растягивающих напряжений в пластине, рассчитываемая по уравнению и, если оно не выполняется, предварительно нагревают пластину до температуры, определяемой по уравнению
,
- температура отжига материала пластины;
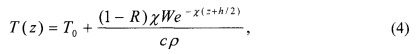
,
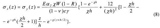
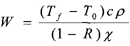
Изобретение относится к области технологических процессов и может быть использовано для лазерного отжига пластин из полупроводниковых, керамических и стеклообразных материалов. Известен способ обработки неметаллических материалов, применяемый для аморфизации кремния и заключающийся в облучении поверхности пластины импульсом лазерного излучения [Боязитов P.M. и др. Аморфизация и кристаллизация кремния субнаносекундными лазерными импульсами. Тезисы докладов Всесоюзной конференции по взаимодействию оптического излучения с веществом. Ленинград. 11-18 марта 1988 г., с 24] с плотностью энергии, достаточной для плавления поверхностного слоя. Известен также способ обработки неметаллических материалов, применяемый для отжига ионно-легированного кремния [Кузменченко Т.А. и др. Лазерный отжиг ионно-легированного кремния излучением с длиной волны 2,94 мкм. Тезисы докладов Всесоюзной конференции по взаимодействию оптического излучения с веществом. Ленинград. 11-18 марта 1988 г., с 29]. Недостатком указанных способов является то, что они не учитывают термоупругие напряжения, возникающие в пластинах в процессе обработки и могущие привести к разрушению пластин. Также известен способ обработки неметаллических материалов [Атаманюк В.М., Коваленко А.Ф. Левун И.В., Федичев А.В. Способ обработки неметаллических материалов. Патент RU 2211753 С2. Опубл. 10.09.2003. Бюл. №25], в котором обработка пластин осуществляется путем облучения поверхности импульсом лазерного излучения. Временная форма импульса описывается определенным соотношением в зависимости от плотности потока энергии лазерного излучения, констант b1 и b2, характеризующих фронт и спад лазерного импульса, от длительности лазерного импульса, текущего времени от начала воздействия, плотности энергии и максимального значения плотности потока лазерного излучения в импульсе. Эффект достигается тем, что формируют лазерный импульс, временная форма которого описывается соотношением где q(t) - плотность мощности лазерного излучения, Вт/м2; τ - длительность импульса лазерного излучения, с; b1 и b2 - константы, характеризующие фронт и спад лазерного импульса; е - основание натурального логарифма; t - текущее время от начала воздействия, с. Указанный способ позволяет минимизировать термоупругие напряжения в поглощающем слое материала пластины при воздействии лазерных импульсов длительностью менее 10-6 с, когда рассматривается динамическая задача термоупругости [Коваленко А.Ф. Экспериментальная установка для исследования влияния параметров лазерного импульса на разрушение неметаллических материалов // Приборы и техника эксперимента. - 2004. №4. - С. 119-124]. Но этот способ не работает, когда длительность лазерного импульса составляет ~(10-2-10-6) с и необходимо рассматривать квазистатическую задачу термоупругости. Известен способ лазерной обработки [Коваленко А.Ф. Неразрушающие режимы импульсного лазерного отжига стеклянных и керамических пластин // Стекло и керамика. 2006. №7. С. 31-33], в частности используемый для лазерного отжига неметаллических пластин, свободно защемленных по контуру, в котором плотность энергии на поверхности пластины определяют по соотношению где Wƒ - плотность энергии лазерного излучения, требуемая для нагрева поверхности пластины до температуры отжига; Tƒ - температура отжига пластины; Т0 - начальная температура пластины; с и ρ - удельная теплоемкость и плотность материала пластины соответственно; R - коэффициент отражения материала пластины; χ - показатель поглощения материала пластины на длине волны лазерного излучения. Применение лазерного отжига приводит к релаксации остаточных напряжений в приповерхностном слое пластин, возникающих при их шлифовке и полировке абразивом, а также устраняет неоднородности структуры при напылении тонких пленок, что позволяет повысить лучевую стойкость пластин, используемых в лазерной технике. Недостатком указанного способа является то, что он не позволяет исключить режимы воздействия, при которых возможно разрушение пластин термоупругими напряжениями и повысить выход годных пластин в процессе лазерной обработки. Известен также способ лазерной обработки пластин, имеющих свободную поверхность [Коваленко А.Ф., Воробьев А.А. Метод определения неразрушающих режимов импульсного лазерного отжига диэлектрических и полупроводниковых пластин // Известия высших учебных заведений. Материалы электронной техники. 2014. №3. - С. 206-210], при котором плотность энергии на поверхности пластины определяют по соотношению (1). Этот способ выбран в качестве прототипа. Недостатком указанного способа является то, что он не позволяет исключить режимы воздействия, при которых возможно разрушение пластин термоупругими напряжениями и повысить выход годных пластин в процессе лазерной обработки. Техническим результатом изобретения является повышение выхода годных за счет исключение разрушения пластин из полупроводниковых, керамических и стеклообразных материалов термоупругими напряжениями в процессе лазерного отжига. Технический результат достигается тем, что в способе лазерной обработки неметаллических пластин, имеющих свободную поверхность, заключающемся в облучении их поверхности импульсом лазерного излучения с плотностью энергии, определяемой по уравнению где Тƒ- температура отжига пластины, K; Т0 - начальная температура пластины, K; с и ρ - удельная теплоемкость и плотность материала пластины соответственно, Дж/кг и кг/м3; R - коэффициент отражения материала пластины; χ - показатель поглощения материала пластины на длине волны лазерного излучения, м-1, рассчитывают условие термопрочности где σP - предел прочности материала пластины на растяжение; ν - коэффициент Пуассона материала пластины; Е - модуль Юнга; αT - коэффициент линейного расширения материала пластины, е - основание натурального логарифма; h - толщина пластины; zmax - координата максимальных растягивающих напряжений в пластине, рассчитываемая по уравнению и, при его невыполнении, предварительно нагревают пластину до температуры, определяемой по уравнению Сущность способа состоит в следующем. Рассмотрим пластину со свободной поверхностью толщиной h, ограниченную двумя плоскостями ±h/2 и цилиндрической поверхностью с замкнутой направляющей. Теплофизические, механические и оптические свойства пластины примем независимыми от температуры. На поверхность -h/2 воздействует лазерный импульс. Если выполняется условие то температурное поле в пластине к концу действия лазерного импульса будет определяться уравнением [Лазерная и электронно-лучевая обработка материалов. Справочник / Н.Н. Рыкалин, А.А. Углов, И.В. Зуев, А.Н. Кокора. - М.: Машиностроение, 1985. - 496 с.] где z - координата, отсчитываемая от срединной плоскости пластины; χ - показатель поглощения материала пластины на длине волны лазерного излучения; τu - длительность лазерного импульса; Т0 - начальная температура пластины; R - коэффициент отражения пластины; с и ρ удельная теплоемкость и плотность материала пластины соответственно; q(t) - плотность мощности лазерного излучения. Для большинства неметаллических материалов условие (3) выполняется при τu<10-2 с. Для пластины со свободной поверхностью, в соответствии с принципом Сен-Венана, равнодействующее усилие и равнодействующий момент на контуре должны быть равны нулю [Коваленко А.Д. Термоупругость. Киев: «Вища школа», 1973. - 216 с.]. Поэтому термоупругие напряжения, возникающие в ней, определяются соотношением где: Подставив (4) в (5)-(7) и выполнив математические преобразования, получим уравнение для расчета термоупругих напряжений в пластине в момент окончания лазерного импульса Термоупругие напряжения в области высоких температур являются сжимающими, уменьшаются до нуля, становятся растягивающими, достигают максимального значения, затем уменьшаются и вновь становятся сжимающими. Максимальные сжимающие напряжения возникают на облучаемой поверхности пластины. Так как хрупкие материалы имеют предел прочности на растяжение примерно в 5-8 раз меньше, чем на сжатие [Феодосьев В.И. Сопротивление материалов. М.: Наука. 1986. - 512 с.], дальнейший анализ проведем для растягивающих напряжений. Исследования на экстремум уравнения (8) показывают, что максимальные растягивающие напряжения возникают в сечении с координатой или Из уравнения (8) получим уравнение для расчета плотности энергии лазерного излучения, приводящей к разрушению пластины термоупругими напряжениями где σP - предел прочности материала пластины на растяжение. Из (2) получим уравнения для расчета плотности энергии лазерного излучения, необходимой для достижения облучаемой поверхностью пластины (z=-h/2) температуры отжига Разделив (11) на (12) и поставив условие Физический смысл критерия заключается в следующем: достижение поверхностью пластины температуры отжига должно происходить при меньших плотностях энергии, чем требуется для разрушения ее термоупругими напряжениями. Проведем анализ соотношения (13). Левая часть неравенства не зависит от безразмерного параметра χh и является безразмерной константой, характеризующей отношение предела прочности материала пластины к максимально возможным термоупругим напряжениям в ней. Правая часть неравенства является монотонной выпуклой функцией безразмерного параметра χh. Исследования на экстремум функции ƒ(χh) показывают, что она достигает максимального значения, равного 0,15, при χh≈8. На фиг. 1, где показано графическое решение неравенства (13) для пластины из цветного оптического стекла ЖЗС12, можно выделить три области. В области 1 χh<(χh)1=3,8 и неравенство (13) выполняется. Следовательно, можно осуществлять импульсный лазерный отжиг, не опасаясь разрушения пластины термоупругими напряжениями. В области 2, в которой (χh)1=3,8<χh<(χh)2=20, неравенство (13) не выполняется. Разрушение пластины термоупругими напряжениями произойдет при меньших плотностях энергии, чем требуется для достижения ее поверхностью температуры отжига. В области 3 параметр χh>(χh)2=20 и неравенство (13) вновь выполняется. Следовательно, можно осуществлять лазерный отжиг пластин. Если мы используем для отжига пластин из цветного оптического стекла ЖЗС12 импульсный лазер с длиной волны 1,06 мкм, показатель поглощения для которой в данном стекле составляет 10 см-1 [ГОСТ 9411 - 90. Стекло цветное оптическое. М.: Изд-во стандартов, 1992. 48 с.], то пластины толщиной от 0,38 см до 2 см будут разрушены термоупругими напряжениями при плотности энергии лазерного излучения меньшей, чем требуется для отжига. В этом случае необходимо предварительно нагреть пластину до температуры, при которой критерий термопрочности будет выполняться. Из уравнения (13) найдем значение температуры, до которой необходимо нагреть пластину Нагрев пластины осуществляют в муфельной печи до требуемой для выполнения критерия термопрочности температуры Т0 и выдерживают необходимое время для выравнивания температуры по толщине пластины. Время выдержки определяют из критерия Фурье, определяющего тепловую инерцию пластины где tB - время выдержки пластины при требуемой для выполнения критерия термопрочности температуре. После выдержки пластины в муфельной печи осуществляют воздействие на нее лазерного импульса с плотностью энергии, определяемой по уравнению (1). В результате воздействия лазерного импульса температура поверхности пластины достигнет температуры отжига. Пример осуществления способа. Необходимо провести лазерный отжиг поверхности пластины из цветного оптического стекла ЖЗС12 толщиной 0,5 см. Показатель поглощения данной марки стекла для излучения с длиной волны 1,06 мкм составляет 10 см-1. Безразмерный параметр χh=5. Начальную температуру пластины примем равной 300 K, температуру отжига - 1100 K. Расчет по уравнению (1) показывает, что для отжига пластины потребуется плотность энергии в лазерном импульсе 146 Дж/см2. Расчет по уравнению (11) показывает, что плотность энергии в лазерном импульсе, приводящая к разрушению пластины термоупругими напряжениями, составляет 122 Дж/см2. Рассчитаем левую и правую части критерия термопрочности (13). Правая часть неравенства (13) при χh=5 составляет 0,138. Левая часть неравенства (13) составляет 0,115. Видно, что критерий термопрочности не выполнен. Пластина будет разрушена термоупругими напряжениями. Чтобы этого не произошло, необходимо пластину предварительно нагреть в муфельной печи до температуры не менее 433 K и выдержать при этой температуре не менее 125 секунд для выравнивания температуры по толщине пластины. Расчеты выполнены по уравнениям (14) и (15) при следующих исходных данных: σP=70 МПа, Е=80 ГПа, ν=0,2, αT=7,6⋅10-6 K-1, Таким образом, реализация предложенного способа лазерной обработки неметаллических пластин приводит к повышению выхода годных за счет исключения разрушения пластин термоупругими напряжениями в процессе лазерного отжига.


,
,
.

- плотность энергии лазерного излучения;







, получим критерий (условие) термопрочности пластины со свободной поверхностью из диэлектрических или полупроводниковых материалов при импульсном лазерном отжиге

