патент
№ RU 2463615
МПК G01R29/00

СВЕРХШИРОКОПОЛОСНЫЙ ЕМКОСТНЫЙ ИЗМЕРИТЕЛЬНЫЙ ПРЕОБРАЗОВАТЕЛЬ ИМПУЛЬСНЫХ ЭЛЕКТРИЧЕСКИХ ПОЛЕЙ

Авторы:
Молочков Виктор Федорович
Номер заявки
2011123265/28
Дата подачи заявки
09.06.2011
Опубликовано
10.10.2012
Страна
RU
Как управлять
интеллектуальной собственностью
Чертежи 
1
Реферат

Изобретение относится к технике измерений амплитудных значений напряженности электромагнитных импульсов и предназначено для использования при измерении параметров импульсных электрических полей. Сверхширокополосный емкостной измерительный преобразователь импульсных электрических полей выполнен в виде двух параллельных и соосных электрически проводящих дисков, пространство между которыми заполнено диэлектрическим материалом с относительной диэлектрической проницаемостью, не меньшей относительной диэлектрической проницаемости окружающей среды. Первый электрически проводящий диск - вибратор - соединен с центральной жилой, а второй электрически проводящий диск - противовес - соединен с оплеткой выходного коаксиального кабеля, оканчивающегося радиочастотным соединителем. При этом диск, возбуждаемый внешним электрическим полем, - вибратор, выполнен в виде последовательности концентрических электропроводящих кольцевых элементов, сходящихся к центральному дисковому элементу и соединенных между собой и центральным дисковым элементом с помощью резисторов, равномерно расположенных в межкольцевых промежутках. Кольцевые элементы вибратора делятся на равные сектора посредством радиальных прорезей, идущих от центрального дискового элемента до внешнего края вибратора, кольцевые сегменты сектора соединены между собой и с центральным дисковым элементом вибратора с помощью резисторов, расположенных по центральной оси сектора. Технический результат изобретения - повышение широкополосности измерительного преобразователя. 2 ил.

Формула изобретения

Сверхширокополосный емкостный измерительный преобразователь импульсных электрических полей, содержащий два параллельных и соосных электрически проводящих диска, пространство между которыми заполнено диэлектрическим материалом с относительной диэлектрической проницаемостью, не меньшей относительной диэлектрической проницаемости окружающей среды, первый электрически проводящий диск - вибратор соединен с центральной жилой, а второй электрически проводящий диск - противовес соединен с оплеткой выходного коаксиального кабеля, оканчивающегося радиочастотным соединителем, отличающийся тем, что диск, возбуждаемый внешним электрическим полем - вибратор, выполнен в виде последовательности концентрических электропроводящих кольцевых элементов, сходящихся к центральному дисковому элементу и соединенных между собой и центральным дисковым элементом с помощью резисторов, равномерно расположенных в межкольцевых промежутках, кольцевые элементы вибратора делятся на равные сектора посредством радиальных прорезей, идущих от центрального дискового элемента до внешнего края вибратора, кольцевые сегменты сектора соединены между собой и с центральным дисковым элементом вибратора с помощью резисторов, расположенных по центральной оси сектора.

Описание

[1]

Изобретение сверхширокополосный емкостной измерительный преобразователь импульсных электрических полей (далее «СШП-преобразователь») относится к технике измерений амплитудных значений напряженности электромагнитных импульсов и предназначен для использования при измерении параметров импульсных электрических полей.

[2]

Измерение параметров импульсных полей сопряжено с необходимостью воспроизведения измерительным преобразователем их частотного спектра. Стандарт МЭК 61000-2-13 [1] для классификации сигналов по ширине их спектра вводит количественную характеристику - относительную ширину спектра - pwb (percent bandwidth), определяемую по формуле:

[3]

[4]

где fв - верхняя граничная частота спектра сигнала,

[5]

fн - нижняя граничная частота спектра сигнала,

[6]

(1/2)(fв+fн) - центральная частота спектра сигнала.

[7]

В зависимости от значения данной характеристики указанный стандарт определяет следующие типы сигналов:

[8]

- узкополосный сигнал - pwb≤1%;

[9]

- сигнал со средней шириной спектра - 1%<pwb<25%;

[10]

- сверхширокополосный (СШП) сигнал - pwb≥25%.

[11]

В соответствии с этим определением все одиночные или редкоповторяющиеся сигналы формально относятся к СШП-сигналам. Однако в последнее время к СШП-сигналам стали относить только сверхкороткоимпульсные сигналы [2], спектр которых лежит выше 1 ГГц. Вместе с тем, наибольший интерес в настоящее время представляют измерения параметров электромагнитных СШП-сигналов, частотный спектр которых простирается от 10 МГц до 10 ГГц.

[12]

Известно устройство для измерения параметров электромагнитного импульса [3], содержащее первичный измерительный преобразователь в виде отрезка двухпроводной линии передачи, один из концов которой разомкнут и обращен к источнику электромагнитного импульса, при этом преобразователь соединен с регистратором согласованной линией связи. Двухпроводная линия передачи имеет постоянное вдоль длины линии волновое сопротивление за счет того, что электроды линии передачи имеют вдоль длины этой линии постоянную ширину, величина которой является функцией расстояния между электродами линии, диэлектрической проницаемости диэлектрика между электродами и величины волнового сопротивления двухпроводной линии.

[13]

Недостатком известного устройства является его отличная от круговой диаграмма направленности, что при отсутствии априорной информации о направлении прихода электромагнитного излучения обуславливает внесение искажений в результат измерений вплоть до полной невосприимчивости источника излучения. Кроме того, устройство чувствительно одновременно к электрической и магнитной составляющим электромагнитного импульса, что ограничивает его применение как измерителя параметров электромагнитного поля случаями известной волновой связи между электрической и магнитной составляющими, например в волне ТЕМ-типа.

[14]

Также известно устройство для измерения параметров импульсных электромагнитных полей (прототип) [4], содержащее емкостной измерительный преобразователь в виде двух параллельных и соосных металлических дисков диаметром d0, центры которых подключены с помощью линии связи к активному сопротивлению и регистратору, при этом зазор высотой h между дисками заполнен диэлектрическим материалом.

[15]

В этом устройстве, благодаря центральному съему сигнала с металлических дисков емкостного измерительного преобразователя, устранена его чувствительность к магнитной составляющей электромагнитного поля. Соосное расположение металлических дисков позволяет отнести емкостной первичный преобразователь к геометрической разновидности электрического диполя с характерной для диполей тороидальной (амбиполярной) диаграммой направленности, имеющей в сечении косинусоидальную зависимость коэффициента преобразования от угла падения излучения в виде «восьмерки». Такая диаграмма направленности дает возможность, например, с заранее установленной чувствительностью принимать сигналы от любых источников электромагнитного излучения, расположенных вокруг емкостного первичного преобразователя на проводящей плоскости, а для источников, расположенных вне этой плоскости, чувствительность устройства зависит от косинусов углов, под которыми они видны из точки установки его первичного преобразователя.

[16]

Недостатком известного устройства является недостаточная для измерения параметров СШП сигналов широкополосность устройства. Этот недостаток обусловлен следующим.

[17]

Верхняя граничная частота емкостного измерительного преобразователя определяется как

[18]

[19]

где tнар - время нарастания переходной характеристики емкостного измерительного преобразователя;

[20]

с - скорость света в вакууме;

[21]

d - диаметр металлических дисков;

[22]

h - расстояние между металлическими дисками;

[23]

ε1 - относительная диэлектрическая проницаемость внешней среды,

[24]

а нижняя граничная частота емкостного измерительного преобразователя определяется из соотношения

[25]

[26]

где τ - постоянная спада переходной характеристики емкостного измерительного преобразователя;

[27]

Rн - активное сопротивление нагрузки на выходе емкостного измерительного преобразователя;

[28]

C02ε0πd2/4h - электрическая емкость емкостного измерительного преобразователя;

[29]

ε2 - относительная диэлектрическая проницаемость материала, заполняющего пространство между металлическими дисками;

[30]

ε0=8,85 пФ/м - диэлектрическая проницаемость вакуума.

[31]

Из (2) и (3) видно, что для достижения максимальных значений fв диаметр металлических дисков d должен быть как можно меньше, с другой стороны, для достижения минимальных значений fн диаметр d должен быть как можно больше. Это противоречие и является главным ограничением широкополосности известного устройства.

[32]

Техническим результатом изобретения является повышение широкополосности измерительного преобразователя.

[33]

Технический результат достигается тем, что сверхширокополосный емкостной измерительный преобразователь импульсных электрических полей, выполненный в виде двух параллельных и соосных электрически проводящих дисков, пространство между которыми заполнено диэлектрическим материалом с относительной диэлектрической проницаемостью, не меньшей относительной диэлектрической проницаемости окружающей среды, содержащий первый электрически проводящий диск - вибратор, соединенный с центральной жилой, и второй электрически проводящий диск - противовес, соединенный с оплеткой выходного коаксиального кабеля, оканчивающегося радиочастотным соединителем, отличается тем, что диск, возбуждаемый внешним электрическим полем, - вибратор, выполнен в виде последовательности концентрических электропроводящих кольцевых элементов, сходящихся к центральному дисковому элементу и соединенных между собой и центральным дисковым элементом с помощью резисторов, равномерно расположенных в межкольцевых промежутках, кольцевые элементы вибратора делятся на равные сектора посредством радиальных прорезей, идущих от центрального дискового элемента до внешнего края вибратора, кольцевые сегменты сектора соединены между собой и с центральным дисковым элементом вибратора с помощью резисторов, расположенных по центральной оси сектора.

[34]

На фиг.1 представлена схема СШП-преобразователя, подключенного к регистратору. На фиг.2 - вид по стрелке А на фиг.1.

[35]

Приняты следующие обозначения:

[36]

1 - СШП-преобразователь,

[37]

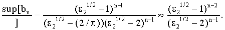
2 - вибратор,

[38]

3 - противовес,

[39]

4 - диэлектрический материал,

[40]

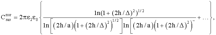
5 - последовательность концентрических электропроводящих кольцевых элементов,

[41]

6 - центральный дисковый элемент вибратора,

[42]

7 - резисторы,

[43]

8 - коаксиальный кабель,

[44]

9 - регистратор,

[45]

10 - радиальные прорези.

[46]

СШП-преобразователь 1 представляет собой плоский цилиндрический конденсатор, электродами которого являются два параллельных и соосных электрически проводящих диска - вибратор 2 и противовес 3. Пространство между вибратором 2 и противовесом 3 заполнено диэлектрическим материалом 4 с относительной диэлектрической проницаемостью ε2. Вибратор 2 в отличие от противовеса 3 выполнен не сплошным, а в виде последовательности концентрических электропроводящих кольцевых элементов 5, разделенных радиальными прорезями 10 на равные сектора. Кольцевые элементы 5 соединены между собой и с центральным дисковым электродом 6 с помощью резисторов 7, число которых равно числу радиальных прорезей (секторов). Резисторы 7 расположены в межкольцевых промежутках по оси каждого сектора вибратора 2. Последовательность концентрических кольцевых элементов 5, уменьшаясь в диаметре, сходится от периферии вибратора 2 к центральному дисковому элементу 6. Съем сигнала с СШП-преобразователя 1 осуществляется посредством коаксиального кабеля, оплетка которого присоединена к противовесу 3, а центральная жила - к центральному дисковому элементу 6 вибратора 2.

[47]

Противоположный конец кабеля оканчивается радиочастотным соединителем для подключения СШП-преобразователя 1 к регистратору 9.

[48]

СШП-преобразователь работает следующим образом.

[49]

СШП-преобразователь помещается на электропроводящую подстилающую поверхность так, чтобы противовес 3 располагался непосредственно на этой поверхности, а кабельная линия связи 8 (например, коаксиальный кабель), соединяющая СШП-преобразователь 1 с регистратором 9, уходила под эту поверхность либо при достаточной ее экранировке располагалась на этой поверхности, контактируя с ней своей оплеткой. При падении электромагнитного импульса на СШП-преобразователь 1, который чувствителен в силу аксиальной симметрии ко всем направлениям прихода электромагнитного импульса кроме строго вертикального (нормального) по отношению к подстилающей поверхности, его вибратор 2 возбуждается электрической составляющей поля падающего импульса, нормальной к поверхности вибратора 2, а следовательно, и к подстилающей поверхности. При этом, благодаря наличию межкольцевых промежутков, кольцевые 5 и центральный дисковый 6 элементы вибратора 2 возбуждаются независимо друг от друга по мере достижения их фронтом падающего импульса, поэтому время нарастания ПХ устройства (tн) зависит только от размеров и геометрии ближайшего к точке подключения (а) линии связи 8 элемента, а именно от размеров центрального дискового элемента 6, и определяется наибольшим из двух значений где d0 - диаметр центрального дискового элемента вибратора. После того как фронт волны возбуждения достиг точки а, на входе коаксиального кабеля 8 возникает напряжение U, которое через промежуток времени, равный tн, становится пропорциональным напряженности электрического поля E, действующей в зазоре между вибратором 2 и противовесом 3 СШП-преобразователя 1. Напряжение U, возникшее между жилой и оплеткой кабельной линии связи 8, через время (где Lкаб, εкаб - длина и относительная диэлектрическая проницаемость внутренней изоляции кабеля) достигает входа регистратора 9 и выделяется на его нагрузке Rн.

[50]

Амплитудно-временная форма воздействующего электромагнитного импульса E(t) записывается регистратором 9 в виде его электрического аналога Uн(t), причем параметры Uн(t) совпадают с параметрами E(t), если выполняется условие tфр>>tн и t0,5<<τсп, где tфр и t0,5 - длительность фронта и длительность на уровне половины амплитуды воздействующего электромагнитного импульса, tн и τсп - соответственно время нарастания и постоянная спада переходной характеристики (ПХ) СШП-преобразователя.

[51]

Выражения (2) и (3), из которых определяются tн и τcп для СШП-преобразователя, принимают вид

[52]

[53]

[54]

где Rн - активное сопротивление нагрузки регистратора;

[55]

- суммарная электрическая емкость кольцевых элементов вибратора 2 СШП-преобразователя 1;

[56]

Сi≈ε0ε2π(di-di-1)2/4h - электрическая емкость i-го кольцевого элемента;

[57]

n - общее количество кольцевых элементов;

[58]

di - внешний диаметр i-го кольцевого элемента;

[59]

ε0=8,85 пФ/м - диэлектрическая проницаемость вакуума.

[60]

В пределе, за счет минимизации диаметра центрального дискового элемента 6 удается снизить значение tн СШП-преобразователя до величины , не зависящей от диаметра dn последнего кольцевого элемента вибратора 2, что является принципиальным его отличием от прототипа.

[61]

Концентрические кольцевые элементы 5 не только полностью определяют спадающую часть ПХ, но и участвуют в формировании начальной фазы ПХ устройства. При этом для минимизации времени установления и формирования плоской вершины ПХ устройства, близкой по аналитической форме к разности двух изменяющихся с разной скоростью экспонент

[62]

Uн(t)=Uнmax(t)[exp(-t/τ)-ехр(-2,3t/tн)]

[63]

концентрические кольцевые элементы 5, вообще говоря, хотя бы первый, примыкающий к центральному дисковому элементу 6, должен удовлетворять соотношению

[64]

[65]

т.е. время нарастания их собственных индивидуальных ПХ (tнкэ) должно быть не хуже времени нарастания ПХ центрального дискового элемента 6 (tнцэ), иначе не хуже времени нарастания ПХ СШП-преобразователя. Однако для оптимизации параметров кольцевых элементов 5 необходимо учитывать не только время распространения в радиальном направлении несвязанных зарядов, наведенных на внутренней стороне кольцевого элемента, но и время движения возбуждающего вибратор 2 электромагнитного импульса от одной точки на внешнем диаметре кольцевого элемента до диаметрально противоположной точки. Поэтому , зависящее от обоих указанных факторов, может быть найдено из соотношения

[66]

[67]

где b=(1/2)(dвнеш-dвнутр) - ширина кольцевого элемента.

[68]

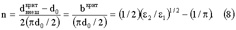
Соотношения (6) и (7) позволяют определить критический внешний диаметр кольцевых элементов 5, превышение которого ведет к преобладанию в (7) второго фактора над первым.

[69]

[70]

откуда

[71]

.

[72]

Поскольку внутри любого из концентрических кольцевых элементов 5 должен располагаться, по крайней мере, центральный дисковый элемент 6, то число кольцевых элементов n, которые удовлетворяют условию (6), можно определить из выражения

[73]

[74]

Для стандартных фольгированных материалов относительная диэлектрическая проницаемость диэлектрической основы лежит в диапазоне от ε2≈2 (для фторопласта) до ε2≈5 (для стеклотекстолита), поэтому из (8) для воздушной окружающей среды (ε1=1)

[75]

при n=1 для фторопластовой основы d1=dкрит≈1,4(πd0/2), b1=bкрит≈0,4(πd0/2),

[76]

при n=1 для стеклотекстолитовой основы d1=dкрит≈2,2(πd0/2), b1=bкрит≈0,8(πd0/2).

[77]

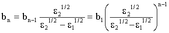
Ширину второго и последующих кольцевых элементов 5 можно также найти из условия равноценности обоих факторов в соотношении (7), продолжая поэлементное сопоставление ширины b и диаметра d, последовательно переходя от элемента к элементу.

[78]

Для этого достаточно записать следующие равенства

[79]

n=2 → b2ε21/2=(d1+2b21l/2,

[80]

откуда

[81]

;

[82]

n=3 → b3ε21/2=(d1+2b2+2b31l/2,

[83]

откуда

[84]

;

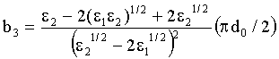
[85]

и, приняв, что окружающая среда есть воздух, для которого ε1=1, найти члены ряда, начиная со второго, для ширины b кольцевых элементов 5

[86]

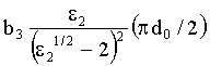
; ; , где n=2, 3 …, ε2>4. Очевидно, что ширина кольцевых элементов при 0<(ε21/2-2)<1 (например, для ε=5) растет очень быстро и, если нет других соображений, вибратор 2 и, соответственно, СШП-преобразователь 1 практически завершают свое геометрическое формирование на третьем кольцевом элементе. Сформированный таким образом вибратор 2 будет выглядеть как последовательность трех кольцевых элементов 5, сходящихся к центральному дисковому элементу 6

[87]

d0, d2=d1+2b2, d3=d2+2b3, … dn=dn-1+2bn.

[88]

Естественно считать такой подход оценкой для bn «сверху»

[89]

.

[90]

Для оценки bn «снизу» можно предложить подход, учитывающий задержку возбуждения предыдущего кольцевого элемента 5 на время прохождения электромагнитным импульсом последующего, расположенного ближе к периферии вибратора 2. В этом случае для времени нарастания ПХ n-го кольцевого элемента 5 справедливо равенство

[91]

(tн)n=(tн)n-1+(Δtзад)n или bnε21/2/c=bn-1ε21/2/c+bnε11/2/c,

[92]

откуда

[93]

, где n=2, 3, …, ε21.

[94]

Приняв ε1=1 и раскрывая b1, получим более слабую геометрическую прогрессию

[95]

,

[96]

так что

[97]

[98]

Количество и, следовательно, номинал резисторов 7, равномерно расположенных в межкольцевых промежутках, определяется из условия подавления собственного резонанса межкольцевого зазора, возбуждаемого компонентой электрического поля, действующей в плоскости вибратора 2 при наклонном падении электромагнитного импульса на СШП-преобразователь 1.

[99]

С учетом малости в сравнении с поперечным размером кольцевого зазора скин-слоя в материале вибратора 2 (обычно медь или латунь) для расчета погонной емкости в межкольцевом зазоре можно воспользоваться формулой [5]

[100]

[101]

где Δ≈1 мм - ширина межкольцевого зазора, обусловленная размером (обычно бескорпусного) резистора 7;

[102]

2а≤50 мкм - толщина материала вибратора (обычно медной фольги на стеклотекстолите);

[103]

ε2~5 - относительная диэлектрическая проницаемость диэлектрика, заполняющего пространство между вибратором 2 и противовесом 3 (обычно стеклотекстолит);

[104]

ε0 - диэлектрическая проницаемость вакуума.

[105]

Принимая во внимание, что для СШП-преобразователя 1 справедливы соотношения (2h/Δ)≈1 и (2h/a)≥10, выражение для наибольшего из практически реализуемых значений погонной емкости в межкольцевом зазоре примет вид

[106]

[107]

При малой толщине токового скин-слоя для оценки погонной индуктивности вполне пригодна формула [6]

[108]

[109]

где µ - относительная магнитная проницаемость материала, заполняющего пространство между вибратором 2 и противовесом 3;

[110]

µ0 - магнитная проницаемость вакуума.

[111]

Из конструктивных предпосылок, связанных с тем, что нормализованная толщина медной фольги в зависимости от типа фольгированного стеклотекстолита может изменяться от 5 до 50 мкм, отношение Δ/а заключено в пределы

[112]

10≤Δ/а≤100.

[113]

Тогда для наибольшего значения погонной индуктивности межкольцевого зазора справедлив упрощенный вид

[114]

[115]

При этом характеристическое сопротивление зазора (ρ) оценивается с помощью (9) и (10) величиной

[116]

[117]

Возникающий под действием возбуждающего электрического поля в межкольцевом зазоре паразитный переходный процесс должен, с одной стороны, протекать апериодически с тем, чтобы его влияние на устройство могло быть скомпенсировано, благодаря аксиальной симметрии вибратора 2. Перевод межкольцевого зазора в апериодический режим осуществляется с помощью резисторов 7 при условии, что

[118]

α2mn≥ω02mn, (12)

[119]

где - декремент затухания в m-м контуре, образованном соседними резисторами из числа равномерно распределенных m-резисторов в n-м межкольцевом зазоре;

[120]

- сопротивление, вносимое в m-й контур n-го межкольцевого зазора с результирующим сопротивлением Rn, состоящим из m соединенных параллельно резисторов 7;

[121]

- значение резонансной частоты m-го контура в n-м межвитковом зазоре;

[122]

rn - радиус n-го межкольцевого зазора вибратора 2.

[123]

Подставляя в равенство (9) параметрические выражения для входящих в него величин, с учетом соотношений (9), (10) и (11), получаем ограничение для m «сверху»

[124]

[125]

Численно верхний предел для m можно оценить, приняв для диэлектрика, заполняющего пространство между вибратором 2 и противовесом 3, например µ=1 и ε2=5, что характерно для стеклотекстолита. Кроме того, для определения величины Rn в (13) необходимо исходить из того факта, что наибольшее влияние на напряжение на нагрузке Uн(t) со стороны высоких резонансных частот оказывает первый межкольцевой зазор, расположенный между центральным дисковым элементом 6 и первым кольцевым элементом 5 вибратора 2. Влияние на Uн(t) резонансов последующих межкольцевых зазоров ослабляется интегрирующим действием окружающих емкостных кольцевых элементов. Тогда можно положить

[126]

Rn→R11/C10/C10/10С0=0,1Rн.

[127]

В диапазоне высоких частот нагрузка Rн регистратора 9 принимается равной волновому сопротивлению (согласованный режим) кабеля 8, которое составляет обычно 50 Ом.

[128]

В результате подстановки численных значений величин, входящих в (13) имеем m≤17.

[129]

С другой стороны, справедливо требование, чтобы резонансная частота m-го контура в n-м межкольцевом зазоре находилась вне полосы частот устройства, т.е. с учетом приоритета влияния первого межкольцевого зазора должно выполняться неравенство

[130]

[131]

где ωв=2πfв - верхняя граничная круговая частота устройства.

[132]

Заменяя в неравенстве (14) круговые частоты их параметрическими выражениями, получаем ограничение для m «снизу»

[133]

[134]

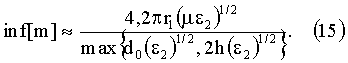
Учитывая, что d0≈2r1≈2h, а также принимая µ=1, ε1=1 (для воздуха) и ε2=5 (для стеклотекстолита), имеем m≥6.

[135]

В отличие от верхнего нижний предел значений m достаточно устойчив и составляет ~2π. Верхний предел m по существу линейно зависит от волнового сопротивления кабеля 8, которое для стандартных коаксиальных кабелей может изменяться от 37,5 до 75 Ом. Поэтому оптимальное значение m находится как среднее геометрическое верхнего и нижнего пределов

[136]

mопт=(inf[m]·sup[m])1/2≈10

[137]

или, с учетом неопределенности величин параметров, 8≤mопт≤12.

[138]

Для исключения возможности паразитной циркуляции электромагнитной энергии по круговым образующим кольцевых элементов 5 вибратора 2 СШП-преобразователя 1 все кольцевые элементы 5 делятся радиальными прорезями на равные сектора, причем в каждом секторе каждый последующий от центра кольцевой сегмент находится на одной радиальной оси с предыдущим. При этом линии разреза вибратора 2 на сектора являются прямыми, направленными радиально от центрального дискового элемента 6 вибратора 2 к его периферии, а резисторы, располагаясь вдоль радиальной оси каждого сектора, соединяют их электропроводящие кольцевые сегменты между собой в электромагнитно независимые электрические цепочки, сходящиеся к центральному дисковому элементу 6.

[139]

Чтобы сохранить полосу частот устройства неизменной в отношении паразитного возбуждения электромагнитным импульсом усеченных радиальными прорезями 10 межкольцевых зазоров, количество секторов, на которое разделяется вибратор 2 СШП-преобразователя 1, принимается равным m-количеству резисторов 7, демпфирующих резонанс в межкольцевом зазоре. При таком делении вибратора 2 на сектора в каждом секторе n резисторов 7 (по числу межкольцевых зазоров) объединяются кольцевыми сегментами 5 в m последовательных электромагнитно независимых (слабо связанных) электрических цепочек, замкнутых на центральный дисковый элемент 6.

[140]

Таким образом, из сравнения предлагаемого СШП-преобразователя с прототипом следует:

[141]

- при равенстве их верхних граничных частот по (2) и (4), что соответствует равенству d0=d (где d0 - диаметр центрального дискового элемента 6 вибратора 2 СШП-преобразователя 1, d - диаметр вибратора прототипа), нижняя граничная частота устройства по (3) понижается в сравнении с прототипом в раз, т.е во столько же раз расширяется его полоса в сторону низких частот;

[142]

- при равенстве их нижних граничных частот по (3) и (5), что соответствует равенству dn=d (где dn - диаметр вибратора 2 СШП-преобразователя 1), верхняя граничная частота устройства по (2) с учетом того, что С0~d02, повышается в сравнении с прототипом в ((1/C0)∑Ci)1/2 раз, т.е во столько же раз расширяется его полоса в сторону высоких частот.

[143]

Литература

[144]

1. Стандарт МЭК 61000-2-13. Электромагнитная совместимость (ЭМС). Устойчивость к СШП ЭМИ, 2004.

[145]

2. Сахаров К.Ю. «Излучатели сверхкоротких электромагнитных импульсов и методы измерения их параметров». Монография, Москва, 2006.

[146]

3. Авторское свидетельство СССР №788044, кл. G01R 29/08, 1978.

[147]

4. Панин В.В., Степанов Б.М. «Измерение импульсных магнитных и электрических полей». М.: Энергоатомиздат, 1987 г., с.80.

[148]

5. Иоссель Ю.Я., Коганов Э.С., Струнский М.Г. «Расчет электрической емкости». Л.: Энергоатомиздат, 1981, с.225.

[149]

6. Никольский В.В. «Теория электромагнитного поля». М.: Высшая школа, 1961, с.115.

[150]

7. Никольский В.В. «Теория электромагнитного поля». М.: Высшая школа, 1961, с.326.

[151]

8. Никольский В.В. «Теория электромагнитного поля». М.: Высшая школа, 1961, с.317.

Как компенсировать расходы
на инновационную разработку
Похожие патенты