Изобретение относится к летательным аппаратам с тепловой абляционной защитой. Наконечник гиперзвукового летательного аппарата выполнен из углерод-углеродного композиционного материала. Диаметр волокна (d), формирующего структурную ячейку углерод-углеродного композиционного материала в центральной части наконечника, имеет меньшее значение по отношению к диаметру волокна (D), формирующего структурную ячейку углерод-углеродного композиционного материала основной части наконечника. Свойства композиционного материала выбраны в зависимости от диаметра структурной ячейки, диаметра волокон, скорости уноса материала и давления торможения. Отношение радиуса центральной части к радиусу сферического затупления наконечника соотносится от 0,04 до 0,06. Изобретение направлено на повышение стабильности аэродинамических характеристик гиперзвукового летательного аппарата. 3 з.п. ф-лы, 5 ил.
1. Наконечник гиперзвукового летательного аппарата, выполненный из углерод-углеродного композиционного материала, отличающийся тем, что диаметр волокна (d), формирующего структурную ячейку углерод-углеродного композиционного материала в центральной части наконечника, имеет меньшее значение по отношению к диаметру волокна (D), формирующего структурную ячейку углерод-углеродного композиционного материала основной части наконечника, при этом углерод-углеродный композиционный материал в зависимости от диаметра структурной ячейки обладает свойством νун.(d)>νун.(D) при Р0>10 МПа, где νун.(d) - скорость уноса материала с диаметром волокна (d) структурной ячейки; νун.(D) - скорость уноса материала с диаметром волокна (D) структурной ячейки; Р0 - давление торможения. 2. Наконечник гиперзвукового летательного аппарата по п. 1, отличающийся тем, что размеры наконечника соотносятся по зависимости где Rцентр. - радиус центральной части наконечника; Rсфер.затупл. - радиус сферического затупления наконечника. 3. Наконечник гиперзвукового летательного аппарата по п. 1, отличающийся тем, что увеличение диаметра волокна, формирующего структурную ячейку при удалении от оси к внешней образующей наконечника, происходит по зависимости L1≥L2≥Ln d1<d2≤dn, где L1…n - длина слоя с одинаковым размером диаметра волокна, формирующего структурную ячейку; d1, d2, dn - диаметр волокна, формирующего структурную ячейку углерод-углеродного композиционного материала вдоль центральной оси наконечника; 1, 2, …, n - номер слоя с одинаковым диаметром волокна, формирующего структурную ячейку материала в возрастающей последовательности от оси к внешней образующей наконечника. 4. Наконечник гиперзвукового летательного аппарата по п. 1, отличающийся тем, что увеличение диаметра волокна, формирующего структурную ячейку при удалении от края наконечника вглубь вдоль его оси, происходит по зависимости d1'<d2'≤dn', гдe d1', d2', dn' - диаметр волокна, формирующего структурную ячейку углерод-углеродного композиционного материала от края наконечника вглубь вдоль его оси; 1, 2, …, n - номер слоя с одинаковым диаметром волокна, формирующего структурную ячейку материала в возрастающей последовательности от края наконечника вглубь вдоль его оси.
,
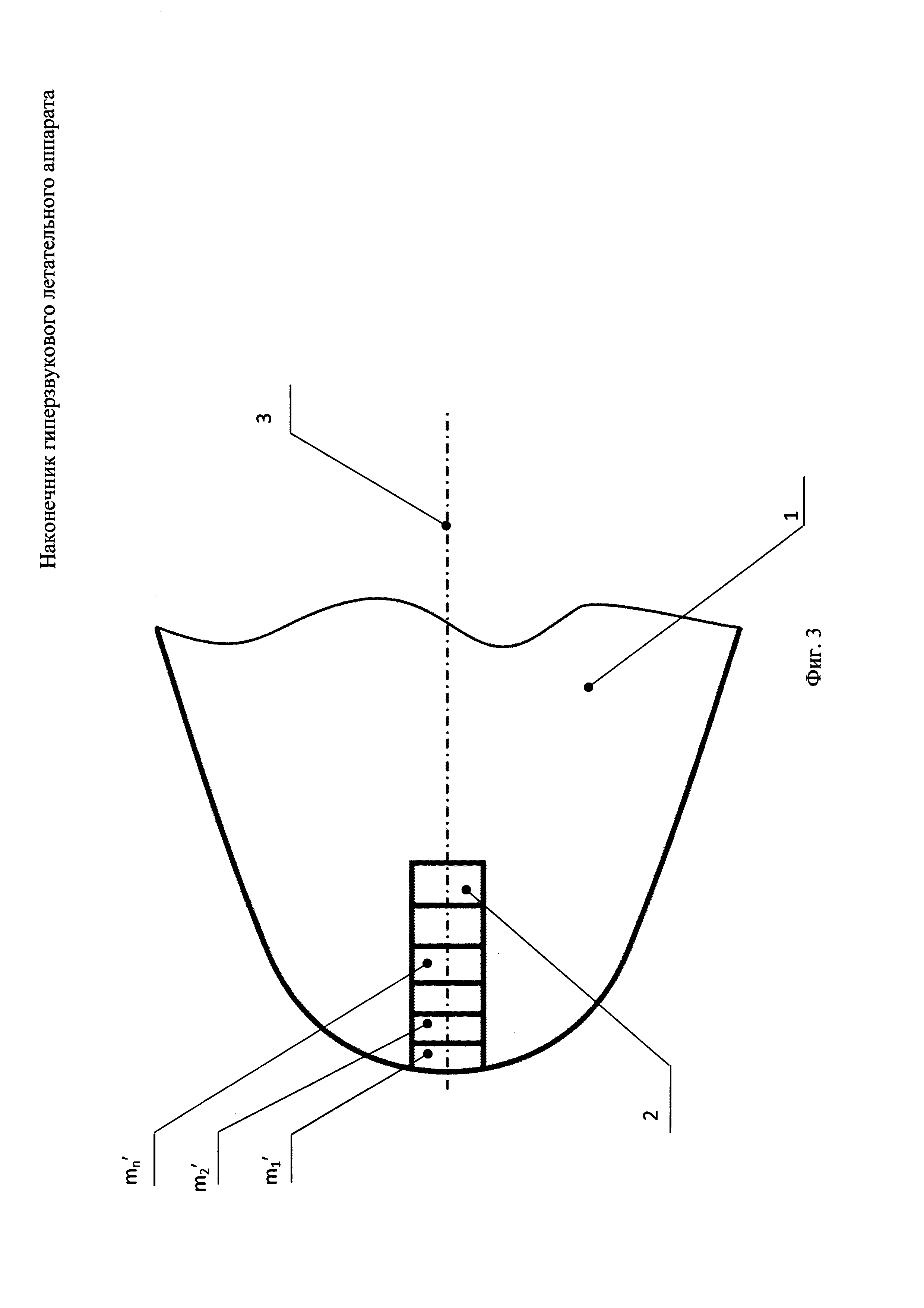
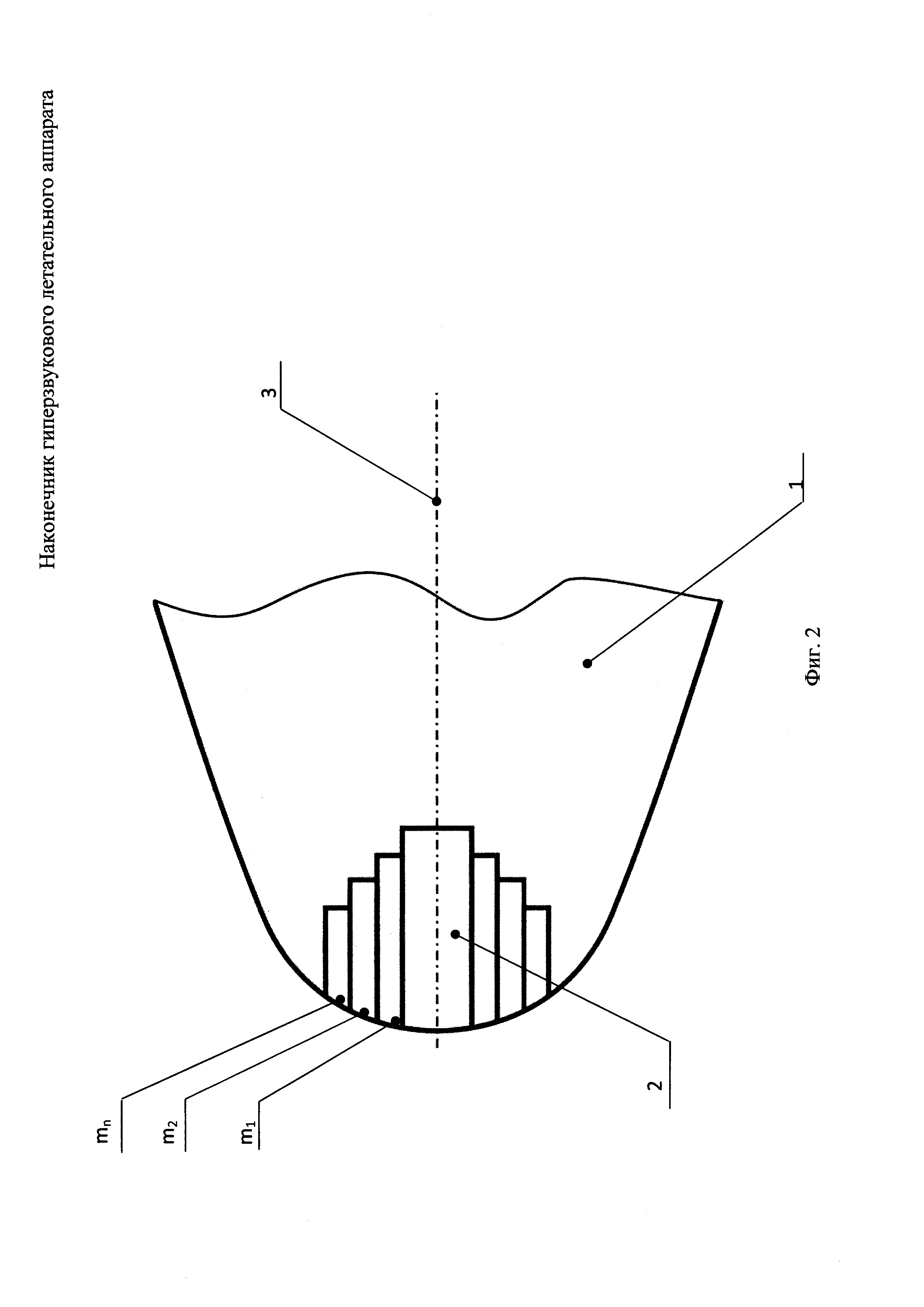
Изобретение относится к авиационной и ракетно-космической технике, в частности к наконечникам летательных аппаратов, совершающих полет в атмосфере с гиперзвуковыми скоростями и обладающих тепловой защитой с повышенной абляционной стойкостью. При движении летательного аппарата в атмосфере с гиперзвуковыми скоростями переход кинетической энергии в тепловую приводит к интенсивному разогреву его наконечника до температур, которые не может выдержать без разрушения ни один из существующих материалов. Поэтому наиболее распространенным на практике способом предохранения полезной нагрузки от перегрева является использование абляционных теплозащитных материалов [Полежаев Ю.В., Юревич Ф.Б. Тепловая защита. М.: Энергия. 1976]. В процессе уноса массы теплозащитных материалов поглощается большая часть тепла, подводимая к конструкции аппарата, однако даже для самых теплостойких материалов этого класса происходит изменение обгарной формы наконечника аппарата, что, в свою очередь, может привести к недопустимому изменению аэродинамических характеристик аппарата. Указанная проблема усугубляется образованием пичкообразной обгарной формы на затуплении аппарата, приводящей к существенному увеличению скорости разрушения теплозащитного материала. Известен способ охлаждения головной части летательного аппарата, в котором на ее внешнюю поверхность навстречу набегающему высокотемпературному потоку подают под давлением охлаждающую жидкость, а на головную часть налагают осевые вибрации (см. патент РФ №2463209). Однако указанный способ имеет ряд недостатков, например, система теплообмена в данном способе достаточно инерционна и не приспособлена к резким и высоким изменениям внешнего теплового потока за счет закипания и испарения охлаждающей жидкости, в данном случае воды. Другим недостатком указанного способа является сложность конструкции. Известна передняя кромка крыла и носа орбитального летательного аппарата «Орбитер» с неразрушающейся тепловой защитой, содержащая оболочку, выполненную из материала с высокой излучательной способностью со сферическим затуплением, воспринимающим пиковые тепловые нагрузки, и боковыми поверхностями, воспринимающими пониженные тепловые нагрузки. В качестве такого материала использован углерод-углеродный композиционный материал, который противостоит температурам до 1430°С (К. Гэтланд. "Космическая техника". Москва, Мир, 1986 г., стр. 199). Недостатком данного изобретения является ограниченное использование таких материалов для гиперзвукового летательного аппарата за счет низких допустимых тепловых нагрузок, что не позволяет уменьшить габариты передних кромок крыла и носа и улучшить аэродинамические характеристики летательного аппарата. Таким образом, очевидно, что проблема тепловой защиты для аппаратов с минимальным аэродинамическим сопротивлением на гиперзвуковых скоростях полета до сих пор не решена до конца. Действительно благодаря уникальному сочетанию высокой механической прочности при повышенных температурах, высокой стойкости к термическим ударным нагрузкам и абляционной стойкости углерод-углеродные композиционные материалы (УУКМ) нашли широкое применение для изготовления элементов конструкций, испытывающих высокие термонагрузки. Однако, несмотря на все перечисленные преимущества данного материала, у него также имеются недостатки. Эксплуатационные характеристики УУКМ при гиперзвуковых скоростях недостаточно высоки. В частности, при выполнении наконечника летательного аппарата из углерод-углеродного композиционного материала при его движении с гиперзвуковой скоростью происходит неравномерный унос материала с поверхности наконечника, нарушается его симметрия, в результате чего он приобретает метеоритную форму, которая образована двумя конусами, что сопряжено с резкой интенсификацией конвективного теплообмена и обгара наконечника. Вследствие чего нарушается аэродинамический контур летательного аппарата, ухудшается его управляемость и снижается точность. Основной технической задачей, на решение которой направлено заявляемое изобретение, является изготовление наконечника гиперзвукового летательного аппарата (ГЛА) из углерод-углеродных композиционных материалов (УУКМ) с повышенными эксплуатационными характеристиками, а именно с достижением контролируемого и прогнозируемого уноса материала с поверхности наконечника. Поставленная задача решается тем, что - наконечник гиперзвукового летательного аппарата выполняют из высокоплотного, высокопрочного углерод-углеродного композиционного мелкоячеистого материала, который обладает термальной ударопрочностью, механическими, эрозионными и радиационными свойствами, позволяющими снизить тепловые потоки к поверхности наконечника; - диаметр волокна (d), формирующего структурную ячейку углерод-углеродного композиционного материала в центральной части наконечника, имеет меньшее значение по отношению к диаметру волокна (D), формирующего структурную ячейку углерод-углеродного композиционного материала основной части наконечника. Кроме того, углерод-углеродный композиционный материал в зависимости от диаметра волокна структурной ячейки обладает свойством νун.(d)>νун.(D) при Р0>10 МПа, где νун.(d) - скорость уноса материала с диаметром волокна (d) структурной ячейки; νун.(D) - скорость уноса материала с диаметром волокна (D) структурной ячейки; Р0 - давление торможения. Для реализации предлагаемого технического решения дополнительно могут быть использованы следующие признаки: - размеры наконечника гиперзвукового летательного аппарата соотносятся по зависимости 0,04<Rцентр./Rcфер.затупл.<0,06, где Rцентр. - радиус центральной части наконечника; Rсфер.затупл. - радиус сферического затупления наконечника; - увеличение диаметра волокна, формирующего структурную ячейку при удалении от оси к внешней образующей наконечника, происходит по зависимости L1≥L2≥Ln d1<d2≤dn, где L1…n - длина слоя с одинаковым размером диаметра волокна, формирующего структурную ячейку; d1, d2, dn - диаметр волокна, формирующего структурную ячейку углерод-углеродного композиционного материала вдоль центральной оси наконечника; 1, 2, …, n - номер слоя с одинаковым диаметром волокна, формирующего структурную ячейку материала в возрастающей последовательности от оси к внешней образующей наконечника; - увеличение диаметра волокна, формирующего структурную ячейку при удалении от края наконечника вглубь вдоль его оси, происходит по зависимости d1'<d2'≤dn', где d1', d2', dn' - диаметр волокна, формирующего структурную ячейку углерод-углеродного композиционного материала от края наконечника вглубь вдоль его оси; 1, 2, …, n - номер слоя с одинаковым диаметром волокна, формирующего структурную ячейку материала в возрастающей последовательности от края наконечника вглубь вдоль его оси. Размер структурной ячейки УУКМ наконечника оптимизируется исходя из: - условия минимизации скорости его разрушения при высоких аэродинамических нагрузках (проверяется, в том числе, при газодинамических испытаниях в струях электродуговых установок и в струях продуктов сгорания жидкостного ракетного двигателя); - условий технологичности изготовления наконечника; - отсутствия повреждений его конструкции в процессе испытаний в струях ракетных двигателей. То есть зависимость задается таким образом, что размер структурной ячейки (определяется, в том числе, диаметром волокна) у образующей наконечника больше, чем размер структурной ячейки его центральной части. Использование в центральной части наконечника УУКМ с диаметром волокна (d) структурной ячейки меньшего значения по отношению к диаметру волокна (D) структурной ячейки УУКМ основной части наконечника приводит к уменьшению прочностных характеристик материала в центральной части наконечника, предотвращению образования выступа в этой части, сопровождаемого существенной интенсификацией теплообмена и обгара тепловой защиты. Кроме того, на поверхности наконечника не образуются углубления, свойственные использованию легко уносимых центральных вставок, наличие которых крайне нежелательно с точки зрения их влияния на аэродинамические характеристики аппарата. Таким образом, достигается повышение эксплуатационных характеристик УУКМ, унос УУКМ с поверхности наконечника ГЛА становится контролируемым (предсказуемым, прогнозируемым), вследствие чего обеспечивается сохранение стабильной структуры наконечника и повышается стабильность аэродинамических характеристик ГЛА, а именно его управляемость и точность полета. Дополнительные признаки заявленного технического решения позволяют еще более улучшить указанный технический результат решения, т.е. повысить стабильность аэродинамических характеристик ГЛА. Сущность изобретения поясняется графическими материалами, где на - Фиг. 1 изображен общий вид наконечника гиперзвукового летательного аппарата; - Фиг. 2 показан наконечник гиперзвукового летательного аппарата с продольным расположением слоев углерод-углеродного композиционного материала; - Фиг. 3 показан наконечник гиперзвукового летательного аппарата с поперечным расположением слоев углерод-углеродного композиционного материала; - Фиг. 4 приведены обгарные формы, полученные в ходе газодинамических испытаний, для наконечника без вставки; - Фиг. 5 приведены обгарные формы для наконечника, в центральной части которого диаметр волокна (d) структурной ячейки углерод-углеродного композиционного материала меньше, чем диаметр волокна (D) структурной ячейки материала, из которого выполнен наконечник. На представленных фигурах позициями обозначены следующие элементы решения. 1 - наконечник ГЛА; 2 - центральная часть наконечника ГЛА с диаметром волокна (d), формирующего структурную ячейку углерод-углеродного композиционного материала; 3 - центральная ось наконечника ГЛА; m1, m2, mn - слои с диаметром волокна, формирующего структурную ячейку углерод-углеродного композиционного материала, увеличивающимся при удалении от оси к внешней образующей наконечника; m1', m2', mn' - слои с диаметром волокна, формирующего структурную ячейку углерод-углеродного композиционного материала увеличивающимся от края наконечника вглубь вдоль ее оси; 6 - исходная форма; 7 - обгарная форма. Для заявленной конструкции наконечника ГЛА были проведены газодинамические испытания при значениях давления торможения (Р0>10 МПа), в результате которых были получены значения соотношений скоростей уноса Полученные в ходе испытаний вышеуказанные значения соотношений скоростей уноса подтверждают характеристики наконечника предлагаемой конструкции (νун.(d)>νун.(D)), за счет чего и достигается заявленный вышеуказанный технический результат. Результаты газодинамических испытаний отражены на фиг. 4 и 5, при этом на фигуре 4 приведены обгарные формы для наконечника без вставки, а на фигуре 5 - обгарные формы для наконечника, в центральной части которого диаметр волокна (d) структурной ячейки углерод-углеродного композиционного материала меньше, чем диаметр волокна (D) структурной ячейки материала, из которого выполнен наконечник. Из анализа представленных обгарных форм видно, что в ходе испытания наконечник, в центральной части которого диаметр волокна (d) структурной ячейки углерод-углеродного композиционного материала меньше, чем диаметр волокна (D) структурной ячейки материала, из которого выполнен наконечник, сохраняет сферическую форму, что подтверждает равномерность и симметричность уноса материала с поверхности наконечника. Таким образом, заявленное изобретение решает актуальные задачи в ракетно-космической области и является промышленно применимым.