заявка
№ WO 2011117571
МПК C07F15/00

RUTHENIUM COMPLEXES FOR USE IN OLEFIN METATHESIS

Авторы:
CAZIN, Catherine
Номер заявки
GB2011000404
Дата подачи заявки
21.03.2011
Опубликовано
29.09.2011
Страна
WO
Дата приоритета
15.12.2025
Номер приоритета
Страна приоритета
Как управлять
интеллектуальной собственностью
Реферат

[0000]

Cis ruthenium complexes that can be used as catalysts are described. The complexes are generally square pyramidal in nature, having two anionic ligands X adjacent to each other. The complexes can be used as catalysts, for example in olefin metathesis reactions. Corresponding trans ruthenium complexes are also described, together with cationic complexes where one or both of the anionic ligands X are replaced by a non- co-ordinating anionic ligand.

Формула изобретения

CLAIMS

1. A cis ruthenium complex according to general formula I: wherein for each occurrence the groups X are the same or different and are anionic ligands or are fused to form a bidentate ligand;

the groups R1 and R2 are the same or different and are selected from the group consisting of hydrogen, C1-C20 alkyl, C2-C20 alkenyl, C2-C20 alkynyl, C2-C20 alkoxycarbonyl, aryl, C1-C20 carboxylate, C1-C20 alkoxy, C2-C20 alkenyloxy, C2-C20 alkynyloxy, aryloxy, C1-C20 alkylthio, C1-C20 alkylsulfonyl, and C1-C20 alkylsulfinyl; and when not hydrogen are optionally substituted; or the groups R1 and R2 are fused together to form a ring that may be substituted or unsubstituted, saturated or unsaturated and may be fused to a further ring; and the group Z is selected from the group consisting of :

wherein the groups R3, R4 and R5 are each independently for each occurrence selected from the group consisting of substituted or unsubstituted primary , secondary or tertiary alkyl, that may be cyclic and may be unsaturated; substituted or

unsubstituted aryl or heteroaryl ; optionally two or more of the groups R3, R4 and R5 are fused to form a ring; and

the group A is selected from the group consisting of a nucieophilic carbene, and a phosphorus ligand independently selected from the list of groups as defined for group Z; and

with the proviso that when A is a nucieophilic carbene, Z is not

2. The cis ruthenium complex according to claim 1 wherein the anionic ligands X are independently selected from the group consisting of halogen, benzoate, Ci-C5 carboxylates, C C5 alkoxy, phenoxy, C C5 alkyl thio groups, tosylate, mesylate, brosylate, trifluoromethane sulfonate, and pseudo-halogens.

3. The cis ruthenium complex according to claim 1 or claim 2 wherein the groups R1 and R2 are H and aryl.

4. The cis ruthenium complex according to claim 1 or claim 2 wherein the groups R1 and R2 are fused to form a substituted or unsubstituted indenylidene moiety.

The cis ruthenium complex according to any preceding claim wherein the group

Z is a phosphite group:

6. The cis ruthenium complex according to claim 5 wherein the phosphite group is selected from the group consisting of P(OMe)3 P(OEt)3, P(0'Pr)3 and P(OPh)3.

7. The cis ruthenium complex according to any preceding claim wherein the group A is a nucleophilic carbene having a four, five, six or seven membered ring containing the carbene carbon.

8. The cis ruthenium complex according to claim 7 wherein the group A is an N- heterocyclic carbene.

9. The cis ruthenium complex according to claim 8 wherein the N-heterocyclic carbene ligand contains more than one nitrogen atom in the ring and/or contains at least one of O or S in the ring.

10. The cis ruthenium complex according to claim 7 wherein the nucleophilic

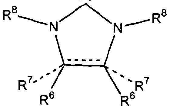
carbene has the form the form the groups R may be the same or different, the groups R7 where present may be the same or different and the dashed line in the ring represents optional unsaturation; optionally one or more of the carbon atoms in the ring is substituted with O or S; and

each R6 and R7 is, independently for each occurrence, selected from: H, a primary or secondary alkyl group that is substituted or unsubstituted, substituted or unsubstituted phenyl, substituted or unsubstituted naphthyl, or substituted or unsubstituted anthracenyl, or a functional group selected from the group consisting of halo, hydroxyl, sulfhydryl, cyano, cyanato, thiocyanato, amino, nitro, nitroso, sulfo, sulfonato, boryl, borono, phosphono, phosphonato, phosphinato, phospho, phosphino, and silyloxy.

11. The cis ruthenium complex according to claim 9 wherein the N-heterocyclic carbene ligand contains two nitrogen atoms in the ring, each adjacent the carbene carbon.

12. The cis ruthenium complex according to claim 11 wherein the N-heterocyclic carbene ligand has the form:

wherein each of the groups R6, R7 and R8 may be the same or different for each occurrence and the dashed line in the ring represents optional unsaturation, wherein R7 is absent; and each R6, R7 and R8 is independently for each occurrence, selected from: H, a primary or secondary alkyl group that is substituted or unsubstituted, substituted or unsubstituted phenyl, substituted or unsubstituted naphthyl, or substituted or unsubstituted anthracenyl, or a functional group selected from the group consisting of halo, hydroxyl, suifhydryl, cyano, cyanato, thiocyanato, amino, nitro, nitroso, sulfo, sulfonato, boryl, borono, phosphono, phosphonato, phosphinato, phospho, phosphino, and silyloxy.

13. The cis ruthenium complex according to claim 12 wherein the N-heterocyclic carbene ligand has a structure according to any one of formulas III to VI:

wherein each group R9, R10 and R11, is independently for each occurrence selected from: H, a primary or secondary alkyl group that may be substituted or unsubstituted, substituted or unsubstituted phenyl, substituted or unsubstituted naphtyi, or substituted or unsubstituted anthracenyl, or a functional group selected from the group consisting of halo, hydroxyl, sulfhydryl, cyano, cyanato, thiocyanato, amino, nitro, nitroso, sulfo, sulfonato, boryl, borono, phosphono, phosphonato, phosphinato, phospho, phosphino, and silyloxy; and wherein R12, R13, R1 and R15 are each independently for each occurence H, a substituted or unsubstituted alkyl group, substituted or unsubstituted aryl, or in formulas (IV) and (VI) together with the carbons carrying them form a substituted or unsubstituted, fused 4-8 membered carbocylic ring or a substituted or unsubstituted, fused aromatic ring, preferably a fused phenyl ring; and

R16 is alkyl or a cycloalkyl.

14. The cis ruthenium complex according to claim 13 wherein the N-heterocyclic carbene has a structure according to any one of the following formulas:

IPr SIPr

The cis ruthenium complex according to any one of claims 1 to 6 wherein the A is selected from the group consisting of:

wherein the groups R3, R4 and R5 are each independently for each occurrence selected from the group consisting of substituted or unsubstituted primary , secondary or tertiary alkyl, that may be cyclic and may be unsaturated, substituted or unsubstituted aryl or heteroaryl ; and optionally two or more of the groups R3, R4 and R5 are fused to form a ring. The cis complex of claim 1 selected from the group consisting of:

A method of preparing a ruthenium complex according to general formula the method comprising:

providing a complex according to general formula VII: VII; where L is a leaving group; and

reacting the complex of formula VII with a compound comprising or consisting of a group Z; wherein the groups Α,Χ,Ζ, R1 and R2 have the same meaning as in claim 1.

18. The method of claim 17 wherein the leaving group L is selected from the group cnsisting of; substituted or unsubstituted pyridine, phosphine, phosphite, phosphinite, phosphonite, phosphoramidate, thiophene, tetrahydrofuran, N-heterocyclic carbene, acetonitrile and benzonitrile.

19. The method of claim 17 or claim 18 further comprising heating to convert a trans complex to a cis complex.

20. Use of a complex according to general formula I: as a catalyst; wherein the groups Α,Χ,Ζ, R1 and R2 have the same meaning as in claim 1.

21. The use according to claim 20 wherein the complex is used for carrying out an olefin metathesis reaction.

22. The use according to claim 20 wherein the complex is used to catalyse a reaction selected from the group consisting of ring closing metathesis, enyne ring closing metathesis and cross metathesis.

A cationic ruthenium complex of formula VIII or of formula IX:

wherein wherein for each occurrence the groups X are the same or different and are anionic ligands;

the groups R1 and R2 are the same or different and are selected from the group consisting of hydrogen, C1-C20 alkyl, C2-C20 alkenyl, C2-C20 alkynyl, C2-C20 alkoxycarbonyl, aryl, C1-C20 carboxylate, C1-C20 alkoxy, C2-C20 alkenyloxy, C2-C20 alkynyloxy, aryloxy, C1-C20 alkylthio, C1-C20 alkylsulfonyl, and C1-C20 alkylsulfinyl; and when not hydrogen are optionally substituted; or the groups R1 and R2 are fused together to form a ring that may be substituted or unsubstituted, saturated or unsaturated and may be fused to a further ring; and the group Z is selected from the group consisting of :

wherein the groups R3, R4 and R5 are each independently for each occurrence selected from the group consisting of substituted or unsubstituted primary , secondary or tertiary alkyl, that may be cyclic and may be unsaturated; substituted or unsubstituted aryl or heteroaryl ; and optionally two or more of the groups R3, R4 and R5 are fused to form a ring;

the group A is selected from the group consisting of a nucleophilic carbene, and a phosphorus ligand independently selected from the list of groups as defined for group Z; and wherein Y' and Y2" are non-coordinating ionic ligands that may be the same or different for each occurrence.

24. The cationic ruthenium complex of claim 23, according to formula VIII, wherein non- coordinating anionic ligands Y" are selected from the group consisting of SbF6", BF4", PF6-, CI04", [B[3,5-(CF3)2C6H3]4]" and BPh4\

25. The cationic ruthenium complex of claim 23, according to formula IX, wherein non-coordinating anionic ligands Y' , when present, are selected from the group consisting of SbF6", BF4", PF6', CI04", [Br3,5-(CF3)2C6H3]4]~ and BPh and the non- coordinating anionic ligands Y2" , when present, are selected from the group consisting of Oxide (O2 ) , Hydrogen phosphate (HPO42'), Sulfide (S2"), Chromate (Cr042"), Sulfate (SO42 ), Dichromate (Cr2072 ), Thiosulfate (S2032 ), Carbonate (CO32"), Sulfite (S032 ), Oxalate (C2042 ) and Peroxide (022 ).

26. The cationic rut of any one of claims 23 to 25 wherein the group Z is a phosphite:

27. The cationic ruthenium complex of any one of claims 23 to 26 wherein the group A is a nucleophilic carbene having a four, five, six or seven membered ring containing the carbene carbon.

28. The cationic ruthenium complex of claim 27 wherein the group A is an N- heterocyclic carbene.

29. The cationic ruthenium complex of claim 28 wherein the the N-heterocyclic carbene ligand contains more than one nitrogen atom in the ring and/or contains at least one of O or S in the ring.

30. The cationic ruthenium complex of any one of claims 23 to 29 wherein at least one vacant position about the Ru metal centre is occupied by a neutral ligand.

31. The cationic ruthenium complex of claim 23 selected from the group consisting of :

32. Use of a complex according to formula VIII or formula IX, according to any one of claims 23 to 31 , as a catalyst.

33. The use according to claim 32 wherein the complex is used for carrying out an olefin metathesis reaction.

34. The use according to claim 32 wherein the complex is used to catalyse a reaction selected from the group consisting of ring closing metathesis, enyne ring closing metathesis and cross metathesis.

35. A trans ruthenium complex according to general formula II:

II

wherein for each occurrence the groups X are the same or different and are anionic ligands or are fused to form a bidentate ligand;

the groups R and R2 are the same or different and are selected from the group consisting of hydrogen, C1-C20 alkyl, C2-C20 alkenyl, C2-C20 alkynyl, C2-C20 alkoxycarbonyl, aryl, C1-C20 carboxylate, C1-C20 alkoxy, C2-C20 alkenyloxy, C2-C20 alkynyloxy, aryloxy, C1-C20 alkylthio, C1-C20 alkylsulfonyl, and C1-C20 alkylsulfinyl; and when not hydrogen are optionally substituted; or the groups R and R2 are fused together to form a ring that may be substituted or unsubstituted, saturated or unsaturated and may be fused to a further ring; and the group Z is selected from the group consisting of :

wherein the groups R3, R4 and R5 are each independently for each occurrence selected from the group consisting of substituted or unsubstituted primary , secondary or tertiary alkyl, that may be cyclic and may be unsaturated; substituted or unsubstituted aryl or heteroaryl ; and optionally two or more of the groups R3, R4 and R5 are fused to form a ring; the group A is selected from the group consisting of a nucleophilic carbene, and a phosphorus ligand independently selected from the list of groups as defined for group Z; and

with the provisos that both groups Z and A are not phosphine; and where A is a nucleophilic carbene, Z is not phosphine.

36. The trans ruthenium complex according to claim 35 wherein the group Z is a phosphite

37. The trans ruthenium complex according to claim 35 or claim 36 wherein the group A is a nucleophilic carbene having a four, five, six or seven membered ring containing the carbene carbon.

38. The trans ruthenium complex according to claim 37 wherein the group A is an N-heterocyclic carbene.

39. The trans ruthenium complex according to claim 38 wherein the N-heterocyclic carbene ligand contains more than one nitrogen atom in the ring and/or contains at least one of O or S in the ring.

40. Use of the trans ruthenium complex according to any one of claims 35 to 39 as a catalyst.

41. The use according to claim 40 wherein the complex is used for carrying out an olefin metathesis reaction.

42. The use according to claim 40 wherein the complex is used to catalyse a reaction selected from the group consisting of ring closing metathesis, enyne ring closing metathesis and cross metathesis.

Описание

[0001]

Ruthenium Complexes for use in Olefin Metathesis

[0002]

The work leading to this invention has received funding from the European Research Council under the European Community's Seventh Framework Programme (FP7-NMP- 2007-SMALL-1 ) "EUMET" / ERC grant agreement no. NMP2-SL-2009-211468.

[0003]

Field of the Invention

[0004]

The present invention relates to the provision of ruthenium complexes, their manufacture and uses for example in catalysis, in particular in olefin metathesis reactions.

[0005]

Background to the Invention

[0006]

Olefin metathesis is considered as one of the most useful tools in organic chemistry. Since Grubbs reported the first generation ruthenium-catalyst (ref 1), numerous studies have been aimed at developing long life and more active catalysts and precatalysts. A breakthrough was the replacement of a phosphine ligand by a /V-heterocyclic carbene (NHC), increasing the reactivity and stability of the corresponding complex (ref 2). See G-ll in Scheme 1 below where PCy3 is tricyclohexylphosphine. Additional modifications afforded so-called boomerang-type catalysts, the most well-known being Hoveyda's catalyst (Hov-ll in scheme 1 below) (refs 3,4). In such catalysts the benzylidene bears a donor atom that binds to Ru and decoordinates during catalysis to recoordinate after. More recently, replacing the benzylidene group of Grubbs original catalysts by an indenylidene moiety resulted in highly stable catalysts (for example M2 in scheme 1 where PCy3 is tricyclohexylphosphine) (ref 5).

[0007]

[0008]

Scheme 1 This family of catalysts has proved its efficiency in various metathesis transformations, and studies on the variation of the NHC group have already been reported (ref 6).

[0009]

Other examples of Ruthenium catalysts for use in metathesis transformations are described in US 7,622,590.

[0010]

Some cationic ruthenium complexes are known for use as catalysts and are shown in Scheme 1 a below. For example Fiirstner and Dixneuf (ref 7) have described 18- electron cationic allenylidene Ru complexes such as (a) below that were found to be catalyst precursors for ring closing metathesis (RCM). Hofmann (ref 8) describes dinuclear 16-electron cationic ruthenium complexes with chelating bisphosphane ligands (b), displaying activity in ring opening metathesis polymerization (ROMP). Kurosawa et al (ref 9) describe 18-electron cationic ruthenium complexes (c) made by chloride abstraction using silver salts. A latent cationic ruthenium NHC-based pre- catalyst (d) with excellent ROMP properties activated by UV irradiation has also been re orted (ref 10) . Complexes (e) are described by Romero et al (ref 11 ).

[0011]

[0012]

a d

[0013]

18-electron cationic Ru catalysts

[0014]

[0015]

b L = P'Pr3, PCy3, SIMes (structure

[0016]

16-electron cationic Ru catalystshown on page 12)

[0017]

Pr = propyl, Cy = cyclohexyl

[0018]

X = C6F6) F

[0019]

e

[0020]

Scheme 1a

[0021]

In view of the importance of olefin metathesis chemistry there remains the need to provide yet further metathesis catalysts. Description of the invention

[0022]

According to a first aspect the present invention provides a cis ruthenium complex according to general formula I: wherein for each occurrence the groups X are the same or different and are anionic ligands or are fused to form a bidentate ligand;

[0023]

the groups R1 and R2 are the same or different and are selected from the group consisting of hydrogen, C1 -C20 alkyl, C2-C20 alkenyl, C2-C20 alkynyl, C2-C20 alkoxycarbonyl, aryl, C1 -C20 carboxylate, C1 -C20 alkoxy, C2-C20 alkenyloxy, C2-C20 alkynyloxy, aryloxy, C1 -C20 alkylthio, C1 -C20 alkylsulfonyl, and C1 -C20 alkylsulfinyl, each R1 and R2 optionally being substituted (for example with C1 -C5 alkyl, halogen, C1 -C10 alkoxy, or with a phenyl group that may itself be substituted, for example with halogen, C1 -C5 alkyl or C1 -C5 alkoxy); or the groups R1 and R2 are fused together to form a ring (for example C4 -C10, or even C5 - C6) that may be substituted or unsubstituted, saturated or unsaturated and may be fused to a further ring (for example C4 -C10 or even C5 - C6); and the group Z is selected from the group consisting of :

[0024]

[0025]

wherein the groups R3, R4 and R5 are each independently for each occurrence selected from the group consisting of substituted or unsubstituted primary , secondary or tertiary alkyl, that may be cyclic and may be unsaturated (for example C1 -C10 or even C1-C4); substituted or unsubstituted aryl or heteroaryl ; optionally two or more of the groups R3, R4 and R5 are fused to form a ring; and

[0026]

the group A is selected from the group consisting of a nucleophilic carbene, and a phosphorus ligand independently selected from the list of groups as defined for group Z; and with the proviso that when A is a nucleophilic carbene, Z is not Groups R3,R ,R5 may be substituted, for example once, twice, or three times, e.g. once, i.e. formally replacing one or more hydrogen atoms of the alkyl, aryl or heteroaryl group. Examples of such substituents when are halo (e.g. fluoro, chloro, bromo and iodo),SF5, CF3 ,aryl, aryl hydroxy, nitro, amino, alkoxy, alkylthio, carboxy, cyano, thio, formyl, ester, acyl, thioacyl, amido, sulfonamido, carbamate and the like. Where the substituent is amino it may be NH2, NHR or NR2, where the substituents R on the nitrogen may be alkyl, aryl or heteroaryl (for example substituted or unsubstituted C1- C20 or even C1-C10). Where the groups R3,R ,R5 are cycloalkyi they may be for example cyclohexyl or cyclopentyl. The cyclohexyl or cyclopentyl groups if present may be saturated or unsaturated and may be substituted as described above. By aryl is meant herein a radical formed formally by abstraction of a hydrogen atom from an aromatic compound. As known to those skilled in the art, heteroaryl moieties are a subset of aryl moieties that comprise one or more heteroatoms, typically O, N or S, in place of one or more carbon atoms and any hydrogen atoms attached thereto. Exemplary R3,R4,R5 aryl substituents, for example, include phenyl or naphthyl that may be substituted. Exemplary R3,R ,R5 heteroaryl substituents, for example, include pyridinyl, furanyl, pyrrolyl and pyrimidinyl. Further examples of heteroaromatic rings include pyridazinyl (in which 2 nitrogen atoms are adjacent in an aromatic 6-membered ring); pyrazinyl (in which 2 nitrogens are 1,4-disposed in a 6-membered aromatic ring); pyrimidinyl (in which 2 nitrogen atoms are ί ,3-disposed in a 6-membered aromatic ring); or 1 ,3,5- triazinyl (in which 3 nitrogen atoms are 1,3,5-disposed in a 6-membered aromatic ring). The complexes of formula I are of a generally square pyramidal structure and are cis in the sense that the groups A and Z are adjacent to each other, whilst the two groups X are adjacent to each other.

[0027]

In the complexes of the invention the groups Z (and A when A is a phosphorus ligand) bond to Ru by the phosphorus atom. An example of a cis complex where A is a nucleophilic carbene and Z is a phosphine (tricylohexylphosphine - PCy3) is known (ref 12) as shown below.

[0028]

A small number of related cis Ru complexes have previously been described (refs 12, 13), but all have a chelating ligand present in the structure. For example the group Z is replaced with a moiety that coordinates to Ru via a heteroatom (e.g. O.N.S ) that is covalently joined to the alkylidene (carbene) moiety double bonded to the Ru to form an alkylidene chelating ligand. Alternatively a bidendate diphosphine ligand may be used. Examples of prior art cis dichloride structures are shown below.

[0029]

[0030]

(Mes = Mesityl)

[0031]

In contrast the cis complexes of the present invention have monodentate groups Z. The complexes of the invention are useful catalysts as described below. By providing complexes without bidentate A-Z ligands (for example alkylidene) or bidentate diphosphine ligands, greater opportunity is afforded to tune the behaviour of the catalyst as the groups A and Z can each be changed independently.

[0032]

The trans complexes of formula II shown below where A,Z, R and R2 have the same meaning as in formula I constitute a second aspect of the present invention, with the provisos that both groups Z and A are not phosphine;

[0033]

and where A is a nucleophilic carbene, Z is not a phosphine :

[0034]

[0035]

A number of trans complexes such as complex M1 below where both A and Z are phosphine are already known, as are trans complexes Gil and M2 where Z is a phosphine and A is an NHC.

[0036]

[0037]

The trans complexes have groups X opposite each other and groups A and Z opposite each other.

[0038]

It will be appreciated that further isomerism is possible for both the cis and trans forms (formulas I and II). For example enantiomeric pairs may be produced as a consequence of the square pyramidal geometry. For example the enantiomeric pair of cis isomers I and la below.

[0039]

la

[0040]

In this description of the invention it is to be understood that structures drawn define the cis or trans positioning of the groups A, Z and X but otherwise a given structure includes all possible isomers. Thus cis structure I is to be understood to include structure la. Further isomerism is possible, for example where R1 and R2 are different or are fused to form a ring that is not symmetrical then geometric isomerism about the carbon to ruthenium double bond may occur.

[0041]

In the cis and trans complexes of the invention the anionic Iigands X may be, for example, independently selected from the group consisting of halogen (I, Br, CI, F), benzoate, Ci-C5 carboxylates (for example CF3C02, CH3C02, CFH2COz) , C,-C5 alkoxy (for example, MeO, EtO, (CH3)3CO, (CF3)3CO , (CF3)2(CH3)CO, (CF3)(CH3)2CO) phenoxy, C1-C5 alkyl thio groups, tosylate, mesylate, brosylate, trifluoromethane sulfonate, and pseudo-halogens (for example cyanide, thiocyanate, isothiocyanate, selenocyanate).

[0042]

In particular embodiments, both anions X are chloride. Alternatively ligands X can be fused to each other, forming a bidendate anionic ligand. For instance, acac (acetylacetonate).

[0043]

As an alternative one or both of the groups X in formulas I or II above may be replaced by a non-co-ordinating anionic ligand to provide cationic ruthenium complexes of formula VIII or IX:

[0044]

VIII IX

[0045]

wherein groups R1 , R2, A and Z have the same meaning as described above in respect of Formulas I and II but without the provisos attached to the definitions.

[0046]

A cationic complex making use of phosphite and NHC ligands has been described (ref

[0047]

14) but only when making use of a bidentate ligand (the group includes an ester). The structure is given below.

[0048]

[0049]

(Mes = mesityl)

[0050]

As described above with respect to complexes of formula I, the use of monodentate Z,

[0051]

A and H ligands affords the opportunity to tune each of the substituents on the complex for its intended uses e.g. as a catalyst. Y" or Y2" are non-coordinating ionic ligands that may be the same or different for each occurrence. The non-coordinating anionic ligands Y" may be selected from the group consisting of SbF6", BF4", PFS", CIO , [B[3,5-(CF3)2C6H3]4r and BPh4\ The non- coordinating anionic ligands Y2' may be selected from the group consisting of Oxide (O2 ), Hydrogen phosphate (HP042 ), Sulfide (S2 ), Chromate (Cr042 ), Sulfate (S042 ), Dichromate (Cr2072 ), Thiosulfate (S2032"), Carbonate (C032~), Sulfite (S032 ), Oxalate (C2042") and Peroxide (022~).

[0052]

In some instances complexes of formulas VIII or IX may have vacant positions about the Ru metal centre occupied by a neutral ligand such as a solvent molecule. For example pyridine or acetonitrile as shown hereafter with reference to a specific complex. Thus, for example, complexes of the forms shown below, where W is a neutral ligand can be formed.

[0053]

As for formulas I and II (discussed above) isomerism is possible with some of these complexes and the formulas VIII and IX (including those with neutral ligands - W) as shown should be understood to include all possible isomers. For example the complex VIII may exist in two optical isomeric forms VIII and Villa below and the structure VIII should be understood to include either or both these possibilities as well as geometric isomers such as Vlllb.

[0054]

VIII Villa Vlllb

[0055]

For any of formulas I, II, VIII and IX the groups R and R2 may be H and aryl (for example phenyl or substituted phenyl)

[0056]

Where the groups R1 and R2 are fused to form a ring, the ring may have another ring fused to it, for example to form an indenylidene moiety. The indenylidene moiety may be substituted, for example a 3-phenylindenylidene moiety such as employed in M2 of Scheme 1 (above).

[0057]

Advan ageously in the complexes described herein the group Z is phosphite i.e.

[0058]

Wh ere the group Z is a phosphite group: , examples include P(OMe)3 P(OEt) 3, P(OPr) 3 and P(OPh)3. Examples of combinations of A and Z for the complexes described herein, where Z is phosphite, include nucleophilic carbene (in particular N-heterocyclic carbene)/phosphite, phosphine/phosphite and phosphite/phosphite.

[0059]

Examples of group A as a phosphine include PCy3 and PPh3 - where Cy is cyclohexyl and Ph is phenyl. Examples of group A as a phosphite include P(OMe)3 P(OEt)3, P(0'Pr)3 and P(OPh)3.

[0060]

Where the group A is an nucleophilic carbene, the carbene may have a four, five , six or seven membered ring containing the carbene carbon. Typically a five-membered ring. The nucleophilic carbene may be an N-heterocyclic carbene (NHC).

[0061]

The NHC employed may be saturated or unsaturated and may contain one or more nitrogen atoms and optionally may contain other heteroatoms (such as O and S) in the ring.

[0062]

For example the ligand may have the form above wherein the groups R may be the same or different, the groups R7 where present may be the same or different and the dashed line in the ring represents optional unsaturation. One or more of the carbon atoms in the ring (apart from the carbene carbon) may be substituted with O or S. Each R6 and R7 may be, independently for each occurrence, selected from: H, a primary or secondary alkyl group (for example C1-C10 or even C1-C4) that may be substituted or unsubstituted, substituted or unsubstituted phenyl, substituted or unsubstituted naphthyl, or substituted or unsubstituted anthracenyl, or a functional group selected from the group consisting of halo, hydroxyl, sulfhydryl, cyano, cyanato, thiocyanato, amino, nitro, nitroso, sulfo, sulfonato, boryl, borono, phosphono, phosphonato, phosphinato, phospho, phosphino, and silyloxy.

[0063]

Advantageously NHC ligands bearing two nitrogen atoms in the ring, each adjacent the carbene carbon may be employed. The NHC carbene ligands of this type may have the form:

[0064]

wherein each of the groups R6, R7 and R8 may be the same or different for each occurence and the dashed line in the ring represents optional unsaturation, wherein R7 is absent. Each R6, R7 and R8 may be, independently for each occurrence, selected from: H, a primary or secondary alkyl group (for example C1-C10 or even C1-C4) that may be substituted or unsubstituted, substituted or unsubstituted phenyl, substituted or unsubstituted naphthyl, or substituted or unsubstituted anthracenyl, or a functional group selected from the group consisting of halo, hydroxyl, sulfhydryl, cyano, cyanato, thiocyanato, amino, nitro, nitroso, sulfo, sulfonato, boryl, borono, phosphono, phosphonato, phosphinato, phospho, phosphino, and silyloxy. Advantageously the groups R may be substituted or unsubstituted aromatic rings that may be heterocyclic aromatic rings. Substituents R6, R7 and R8 in the structures above may include alkyl and unsaturated alkyl groups, aryl groups that may be substituted and may contain heteroatoms.

[0065]

Suitable examples of NHC carbene ligands include those according to formulas III to VI below:

[0066]

[0067]

wherein each group R9, R10 and R11, is independently for each occurrence selected from: H, a primary or secondary alkyl group (for example C1-C10 or even C1 -C4) that may be substituted or unsubstituted, substituted or unsubstituted phenyl, substituted or unsubstituted naphtyl, or substituted or unsubstituted anthracenyl, or a functional group selected from the group consisting of halo, hydroxyl, sulfhydryl, cyano, cyanato, thiocyanato, amino, nitro, nitroso, sulfo, sulfonato, boryl, borono, phosphono, phosphonato, phosphinato, phospho, phosphino, and silyloxy; R2, R13, R14 and R5 are each independently for each occurence H, a substituted or unsubstituted alkyl group (for example C1-C10 or even C1-C4), substituted or unsubstituted aryl, or in formulas (IV) and (VI) together with the carbons carrying them form a substituted or unsubstituted, fused 4-8 membered carbocylic ring or a substituted or unsubstituted, fused aromatic ring, preferably a fused phenyl ring; and R16 is alkyl (for example C1-C10 or even C1-C4) or a cycloalkyl (for example C3 -C8).

[0068]

For example these NHC carbenes :

[0069]

[0070]

IPr SIPr

[0071]

are suitable examples of the NHC carbene family for the formation of the ruthenium complexes, the alkyl substituted aromatic rings providing additional stabilisation to the carbene lone pair of electrons. The desired ruthenium phosphite complexes may be made by substitution of a suitable leaving group from a precursor ruthenium complex. For example from 1 in Scheme 2 below, (wherein SIMes is the NHC :

[0072]

by a route analogous to that used for the production of ruthenium phosphine complexes.

[0073]

For example, complex 1 was reacted with different phosphites (1 equiv) in dichloromethane and stirred for 1h at room temperature. This procedure can produce a mixture of two complexes, each presenting31P NMR shifts corresponding to chelated phosphites - between 110 and 135 ppm (free phosphites have signals around 128-145 ppm). The two complexes have been shown to be cis and trans forms as shown for the example using P(0'Pr)3 (complexes 2) of Scheme 2 and discussed hereafter with referen

[0074]

[0075]

R = 2,4,6-Me3C6H2 kinetic thermodynamic

[0076]

Scheme 2

[0077]

The trans form (phosphite opposite to NHC) is kinetically favoured compared to the cis form (phosphite adjacent the NHC) which is the thermodynamic product. Thus the trans form is produced in higher yield than the thermodynamically more stable cis at lower temperatures. The trans form is readily converted to the cis by heat as indicated in Scheme 2. X-ray studies of cis-2 have shown that it was actually produced as a mixture of two enantiomers as indicated below.

[0078]

enantiomer 1 enantiomer 2

[0079]

R = 2A6-Me3C6H2

[0080]

According to a third aspect the present invention provides a method of preparing a ruthenium complex according to general formula I:

[0081]

I

[0082]

wherein the groups Α,Χ,Ζ, R1 and R2 have the same meaning as before, the method comprising:

[0083]

providing a complex according to general formula VII: VII

[0084]

where L is a leaving group and A,X, R1 and R2 have the same meaning as before; and reacting the complex of formula VII with a compound comprising or consisting of a group Z wherein Z has the same meaning as before.

[0085]

The leaving group L may be for example a substituted or unsubstituted pyridine, phosphine, phosphite, phosphinite, phosphonite, phosphoramidate, thiophene, tetrahydrofuran, N heterocyclic carbene, acetonitrile or benzonitri In some examples the leaving group L may be linked covalently to the group to form a bidentate ligand. An example is given in the synthesis of a cis complex 65 described hereafter.

[0086]

The method may further comprise heating to convert trans complex (formula II) to cis complex (formula I). Thus the method can make complexes of formula II as well as those of formula I. Generally the method to prepare the complexes of the invention from the complex according to general formula VII from is carried out in a suitable solvent, typically a chlorinated solvent such as dichloromethane. Thermal conversion of a trans complex to a cis complex may be accomplished by heating in a suitable solvent such as, for example chloroform, toluene or nitromethane.

[0087]

Complexes of formulas VIII and IX may be made, for example by starting with a complex of formula I or formula II and displacing one of the coordinating ligands X. For example where X is halogen reaction with a silver salt of the anion Y" (e.g. AgSbFe) can produce the products of formula VIII or IX. The method is illustrated in Scheme 3 below, where X is chloride in this example. The method is another aspect of the present invention.

[0088]

[0089]

2 equivalents

[0090]

AgSbF6

[0091]

IX

[0092]

Scheme 3

[0093]

The complexes described herein can be used as catalysts.

[0094]

Thus according to a fourth aspect the present invention provides use of a complex according to general formula I:

[0095]

I

[0096]

as a catalyst, wherein the groups Α,Χ,Ζ, R1 and R2 have the same meaning as before. Complexes where Z is phosphite and A is an NHC have been shown to perform well in a range of catalytic duties as discussed hereafter and with reference to specific examples. Thus according to a fifth aspect the present invention provides use of a complex according to general formula II:

[0097]

II

[0098]

as a catalyst, wherein the groups Α,Χ,Ζ, R1 and R2 have the same meaning as before. Thus according to a yet further aspect the present invention provides use of a complex according to general formula VIII or IX:

[0099]

or a complex according to these formulas, wherein at least one vacant position about the metal centre is occupied by a neutral ligand, as a catalyst.

[0100]

Notably the trans complexes of formula II can show good catalytic activity at room temperature but the cis form (formula I) generally requires higher temperatures, suggesting that the cis form is a latent catalyst. Thus the trans form may be preferred in low temperature situations but as shown below at even moderate temperatures high conversion rates can be obtained when using the cis form. Furthermore the cis forms of the complexes are robust at elevated temperature, showing reduced tendency to loss of activity with time.

[0101]

The complexes may be used to catalyse a reaction selected from the group consisting of, for example, ring closing metathesis (RCM), enyne ring closing metathesis (enyne RCM), cross metathesis (CM) and ring opening polymerisation metathesis (ROMP). Results obtained are discussed hereafter and with reference to specific examples. Brief Description of the Drawings

[0102]

Further features and advantages of the present invention will appear from the following detailed description of some embodiments illustrated with reference to the accompanying drawings in which:

[0103]

Figures 1a to 1d show X-ray structures of complexes of the invention;

[0104]

Figure 2 shows graphically trans to cis isomerisation of complexes of the invention; Figure 3 shows graphically trans to cis isomerisation of complexes of the invention; and Figure 4 shows graphically results of ring closure metathesis experiments using various catalysts.

[0105]

Description of Some Preferred Embodiments and Experimental Results

[0106]

Preparation of complexes of formulas I and II including an NHC

[0107]

[0108]

1 trans-2 cis-2

[0109]

R = 2,4,6- e3C6H2 kinetic thermodynamic

[0110]

Scheme 2

[0111]

A general procedure is to react complex 1 of scheme 2 above with different groups Z, phosphites in these examples. Phosphites (1 -4 equiv) in dichloromethane were reacted with 1 and stirred for 3-15h at 60°C. This procedure led, whatever the phosphite employed was, to a mixture of two new complexes, presenting31 P NMR shifts corresponding to coordinated phosphites - between 110 and 135 ppm whereas free phosphites are around 128-145 ppm. Where the phosphite ligand was P(OiPr)3> as shown in Scheme 2 the conditions described above allow a 90% pure complex (31P NMR in CDCI3, major: 5 = 1 13 ppm, minor: δ = 123 ppm), to be isolated as a red powder. NMR experiments in d8-toluene showed that, after 1 h at 80°C, the complex presenting a chemical shift at 113 ppm was highly converted into the one at 123 ppm. The latter complex was thus isolated and characterized.1H N R of the two complexes showed interesting differences on the phosphite alkoxy groups. Indeed, nicely resolved doublets corresponding to the six equivalent terminal methyl groups of the isopropyl groups in the first complex were found inequivalent in the latter complex, indicating that the free rotation of the phosphite was no longer possible. In addition,13C NMR experiments were conducted to observe, in both complexes, the J coupling between the NHC carbenic carbon and the phosphite phosphorus. While the firstly generated complex (31P , 5 = 113 ppm) displayed a carbenic carbon at 208.9 ppm with a classical coupling constant JC-P = 124 Hz, the second complex (31P, δ = 127 ppm) displayed an unusual small coupling of 13 Hz. These observations led to the conclusion that complex trans-2, featuring a trans configuration between the NHC and the phosphite, was obtained kinetically while c/s-2 was thermodynamically favored (scheme 2). Complex c/s-2 could also be isolated on a larger scale in a good yield of 86% by heating trans-2 in chloroform at 60°C for 5h. Interestingly, aspect and solubility were completely different for trans-2 and c/s-2. Indeed, while trans-2 was isolated as a red powder that is soluble in polar and apolar solvents, c/s-2 is a black solid completely insoluble in pentane, indicating a dependence of physical properties to spatial arrangement. The structure of c/s-2 has been confirmed by X-ray crystallography, following growth of a suitable crystal from CH2Cl2/n-dodecane. (See Figure 1 b). The X-ray data also show that the complex c/s-2 is present as a pair of enantiomers as discussed above.

[0112]

In order to obtain c/s-complexes directly, with different phosphite ligands, 1 and a selected phosphite were stirred at 40°C in dichloromethane for the appropriate time (Table 1 , below). Following the reaction by1H and31P NMR furnished showed different conversion rates. As a general trend, reactivity was dependent on the cone angle of the phosphite. Indeed, the reaction was found to be slower with bulky phosphites such as P(OiPr)3 and P(OPh)3, (15h), while smaller phosphites such as P(OMe)3 required only 3h at 40°C. For P(OPh)3, 4 equiv of P(OPh)3 were necessary to obtain relatively fast conversion to the desired complex. With these conditions, complexes c/s-2-5 (Table 1 ) were isolated in yields up to 88%, For c/s-3 the lower yield was due to purification difficulties. X ray structures of c/s-4, c/s-2, c/s-3 and cis-5 are shown in figures 1 a to 1 d respectively. Table 1. Synthesis of c/s-Ru-Phosphite complexes3

[0113]

P(OR)3 Θ [Ru] Yield

[0114]

Entry Time

[0115]

(equiv) n" complex (%)

[0116]

1 P(O e)3 (1 ) 107 c/s-3 3h 57

[0117]

2 P(OEt)3 (1 ) 109 c/s-4 5h 88

[0118]

3 P(OiPr)3 (1 ) 128 c/s-2 15h 84

[0119]

4 P(OPh)3 (4) 130 cis-5 15h 76

[0120]

Reaction conditions: 1 (1 equiv), phosphite, CH2CI2, 40°C. "Tolman cone angle.

[0121]

NMR studies in CD3N02 and toluene-d8 (Figures 2 and 3 respectively) show the thermal conversion from trans to cis of a sample that contained 90% trans :10% cis complex 2.

[0122]

[0123]

trans-2 cis-2

[0124]

All the experiments shown were followed by NMR starting from the trans-2 complex complex (pure at 90%, with 10% of cis isomer), except in toluene one experiment at 50°C started from the pure c/s-2. As we can see, polar solvents (nitromethane) favored the formation of the cis isomer whereas apolar solvent (toluene) reached an equilibrium cis/trans 80:20. It seems that a temperature of 30°C is too low to allow fast conversion. Starting from the cis isomer and heating in toluene led also to a mixture cis/trans 80:20. The first set of curves allowed the calculation of ΔΗ = 22.6 kcal/mol and AS = -4.2 cal/mol.

[0125]

A further example of a synthesis producing an NHC containing cis complex is shown below.

[0126]

[0127]

HII 65 HII (200mg) and P(0'Pr)3 (5eq) were stirred in for 72h. The crude 65 was recrystallised from DCM/pentane.

[0128]

Ή (400MHz, 298K): 16.05 (d, 1 H, J = 35.3 Hz, C=CH), 10.24 (d, 1 H, J = 9.7 Hz, Ph-H), 6.87-6.83 (m, 2H, Ph-H), 6.78 (s, 1 H, Ph-H), 6.61 (s, 1 H, Ph-H), 6.19-6.16 (m, 2H, Ph- H), 4.67 (brs, 2H, PO-CH-CH3), 4.09-4.06 (m, 1 H, Ph-0-CH-CH3), 4.04 (brs, 1 H, PO- CH-CH3), 3.43-3.40 (m, 1 H), 3.16-3.02 (m, 3H), 2.89 (s, 3H, Mes-CH3), 2.58 (s, 3H, CH3), 2.46 (s, 3H, CH3), 2.42 (s, 3H, CH3), 2.18 (s, 3H, CH3), 1.92 (s, 3H, CH3), 1.48- 0.80 (m, 24H, PO-CH-CH3).

[0129]

31P{1H} (121.49MHz, 298K): 128.7 (s)

[0130]

Catalytic Activity of complexes of formulas I and II

[0131]

Catalytic activity of complexes was evaluated in ring closing metathesis (RCM), enyne ring closing metathesis (enyne RCM) and cross metathesis (CM). The difference of behavior between trans-2 and c/s-2 was studied. The main difference appeared when reactions were run at room temperature. Indeed, whereas trans-2 was able to achieve RCM of diallyltosylamine 6, albeit with lower activities compared to previously reported indenylidene ruthenium complexes, c/s-2 was found to be totally inactive at room temperature, even after 24 hours of reaction (Table 2, below, entry 1 ). Nevertheless, with the same substrate, thermal activation at 80°C in toluene allowed fast conversion in the presence of c/s-2. The same trend was observed in RCM with diallyllic malonate 8, in enyne RCM with 10 and CM with alkene 12 (Table 2, entries 2-4), trans-2 being active at rt while c/s-2 needed thermal activation. Such behavior corresponds to a latent catalyst. In order to evaluate the thermal stimulation needed to activate c/s-2, RCM of 6 was monitored at different temperatures (25, 40, 60 and 80°C), the temperature being changed every 30 minutes. No conversion was observed at room temperature and 40°C, 4% conversion at 60°C, and full conversion at 80°C. As a consequence, the comparative study of complexes c/s-2 to 5 was conducted at 80°C. In Table 2 below results for known complexes M2 (scheme 1 ) and 1 (pyridine containing complex of scheme 2) are also shown for comparison purposes. Table 2. Behaviour of trans-2 vs c/s-2.8

[0132]

[0133]

3 Reaction conditions: substrate (0.25 mmol), catalyst (1 -2 mol%), solvent (0.1 M, CH2CI2 and toluene for reactions respectively at room temperature and 80°C).b Average of 2 runs ; conversions were determined by1H NMR.

[0134]

Complexes were studied as catalysts in RCM of diene, enyne and in CM (Table 3 below). Known complexes 1 (pyridine containing complex of scheme 2, known as M31 ), M1 and M2 (scheme 1 ) were also included in some experiments for comparison purposes.

[0135]

[0136]

These complexes are available from Umicore N.V. ; Broekstraat 31 rue du arais B- 1000 Brussels, Belgium.

[0137]

A general trend was found between reactivity and the phosphite substituent for the new complexes. Tri/sopropyl phosphite and triphenyl phosphite-containing complexes c/s-2 and 5 were found to have comparable efficiency, the former one being slightly more active. Indeed, after 30 minutes, RCM of 8 was achieved with c/s-2 while traces of 8 could still be detected with c/s-5. Even clearer evidences were provided with reactions of 10 and 12, c/s-2 being faster than c/s-5. Finally, c/s-3 and 4, featuring respectively trimethyl and triethylphosphite were similar but far less reactive than c/s-2 and 5. Very slow reactivity was observed in the reactions tested, even if a longer reaction time could probably reach full conversion. In order to explore the applicability of such catalysts in metathesis transformations, we chose to run reactions with catalyst c/s-2 and at elevated temperature.

[0138]

Table 3. Behaviour of c/'s-2-5.a

[0139]

[0140]

a Re .1 M), 80°C.b Conversions were determined by1H NMR. A study of the RC of several substrates has also been carried out. Reactions were run in toluene at 80°C in the presence of 1 to 5 mol% of cis-2, the higher catalyst loading being only necessary for the formation 17 featuring a tetra-substituted double bond (Table 4 below, entry 3). The RCM of unhindered malonate derivatives was achieved in short reaction times (less than 1 hour) and in good yields. Indeed, di- and tri-substituted cyclopentenes 15 and 9 were obtained in quantitative yields (entries 1 & 2). Nevertheless, highly constrained substrate 16 could not be cyclized with full conversion, even after 24h at 80°C, and was isolated in 70% yield (entry 3). Finally, 6- and 7-membered rings 19 and 21 were obtained in respectively 96 and 87% yield, and no increase in reaction time compared to 5-membered ring 15 (entries 4 & 5). Of note, a dilution to 0.05M was necessary to obtain 21 without observing parallel formation of polymers. We next attempted the RCM of cyano analogues 24 and 26 (entries 6 & 7). Non-hindered cyclopentene 23 was isolated in good yield (88%), indicating that the presence of potentially chelating cyano groups was not detrimental to catalysis. Nevertheless, cis-2 was unable to promote the formation of 25, the starting material remaining unreacted. Tosylamine-based olefins were next investigated. The cyclization of these compounds was found very efficient regardless of hindrance and ring size. Indeed, 5-, 6- and 7-membered compounds 7, 27 and 29 were isolated in excellent yields (entries 8-10), albeit a slight increase in reaction time was needed for larger rings. Catalyst loading of only 2 mol% was necessary to achieve the cyclizations of 30 and 32 to obtain tetrasubstituted 5- and 6-membered rings 31 and 33 in good yields (entries 11 & 12), even so 5 hours of reaction were needed for dihydropyrrole 31. Amide and ether-based substrates were also efficiently cyclized, with yields spanning from 80% to 99% (entries 13-17). Increasing the ring size to 6 or 7 members was not detrimental, as products 39, 41 and 43 were obtained excellent yields in less than 1 hour (entries 15-17). From this study, catalyst c/s-2 seemed to be highly tolerant to functionalities and able to effect RCM easily.

[0141]

This utility of the complexes of the invention is illustrated further in figure 4 which shows RCM of compound 30 (table 4 entry 11 ) in toluene at 80°C carried out with a range of Ru complexes. Trans or cis-2 both rapidly produce a high conversion whereas prior art complexes Hov-ll, G-ll, M2 (structures shown in Scheme 1 ) and M31 (which is the pyridine complex 1 in scheme 2) did not produce any better than about 60% conversion (complex M2) under these conditions. Table 4. Ring closing metathesis behavior of c/s-2a

[0142]

Table 4 continued

[0143]

[0144]

a Reaction conditions: substrate (0.25 mmol), cis-2 (1 mol%), toluene (0.1 M), 80°C.b Average of 2 runs ; conversions were determined by NMR ; isolated yields are in brackets.c 5 mol% of catalyst were used.d 0.05M concentration was used.9 2 mol% of catalyst were used.

[0145]

Enyne ring closing metathesis is a powerful tool to synthesize dienes that can undergo further Diels-Alder reaction and thus furnish bicyclic compounds readily. Easy substrates 10 and 44 were fully converted after 30 minutes, albeit 11 was only isolated in 75% yield (Table 5 below, entries 1 & 2). A longer reaction time was necessary to convert hindered compound 46 (entry 3). Once again, a relatively low isolated yield of 71 % (compared to 99% conversion) was obtained; such behaviour could result from parallel polymerization reactions that can easily occur at elevated temperature. While substrate 48 remained unchanged after 24h of reaction, the more hindered enyne 50 was efficiently cyclized in 3h (entries 4 & 5). Addition of ethylene is known to be necessary to allow reaction in the case of terminal alkynes such as 48. In conclusion, catalyst cis-2 allowed the formation of dienes from enynes in a short reaction time and acceptable yields.

[0146]

Table 5. Enyne ring closing metathesis behaviour of c/s-2'

[0147]

[0148]

a Reaction conditions: substrate (0.25 mmol), c/s-2 (1 mol%), toluene (0.1 ), 80°C.6 Average of 2 runs ; conversions were determined by NMR ; isolated yields are in brackets.0 5 mol% of catalyst were used.

[0149]

The ability of catalyst c/s-2 to promote intermolecular cross metathesis has also been investigated (Table 6 below). CM reactions are more difficult than their RCM counterparts as side-formation of self-metathesis products may happen. Several substrates were put in presence of 2 mol% of c/s-2, together with 2 equivalents of alkene partners in toluene at 80°C. Silylated compound 12 was efficiently coupled with various olefins (entries 1-4). Indeed, the use of methyl acrylate, acrolein and diallylic acetate as alkene partners allowed the isolation of the desired products, respectively 13, 52 and 54, in good yields compared to previously reported results, thus proving that c/s-2 has a good tolerance toward functional groups (entries 1 , 2 and 4). However, allyltosylamine was found incompatible with our catalytic system as no conversion to 53 was observed (entry 3). Ester-containing substrates 55 and 57 bearing different chain lengths were also coupled with methylacrylate in good yields (entries 5 & 6). Both products were isolated as E isomers, the Z ones not being detected by1H NMR. Reaction of eugenol 59 (essential oil of clove) with acrolein was found efficient and did not need protection of its phenolic moiety (entry 7). Finally, p-chlorostyrene 61 reacted well with methyl acrylate and gave 62 in 81 % yield with an EIZ ratio of 20:1 . No formation of self-metathesis compounds was observed during the testing of these substrates.

[0150]

Table 6. Cross metathesis behaviour of cis-2a

[0151]

[0152]

a (2 mol%), toluene (0.1 M), 80°C.6 Average of 2 runs; isolated yields; EIZ ratios were determined by H NMR.c Only 1 equiv of alkene partner was used. Preparation of complexes of formulas VIII and IX

[0153]

Formula VIII example

[0154]

[0155]

The complex c/s-2 was reacted at room temperature with one equivalent of silver hexafluoroantimonate, yielding the pure complex 63, after simple removal of salts by filtration on celite.

[0156]

13C{ H} NMR spectrum of 63 displayed a coupling constant between the carbene carbon atom and the phosphite ligand2JC P of 15.1 Hz, consistent with a c/s- configuration between the NHC and the phosphite ligands. This value is very similar to the one found for c/s-2 (13.4 Hz) and very far from the one found for trans-2 (127.8 Hz). Similarly, the2Jc-p between the indenylidene carbon atom C1and the phosphorus atom of 63 (23.2 Hz) was also found very similar with the 24.7 Hz obtained with c/s-2 (trans-2 31.0 Hz).

[0157]

The structure of 63 was confirmed by X-ray crystallography.

[0158]

Complex 63 may be converted into an acetonitrile containing species 63a as below:

[0159]

[0160]

In a glove box, 63 (77.0 mg, 0.071 mmol) was dissolved in 1 mL of acetonitrile and the mixture was stirred for fifteen minutes. Solvent was removed in vacuo .The black solid was washed with hexane yielding 63a (99%).1H NMR (CD2CI2, 400 MHz): δ (ppm) = 1.13 (d,3JHH = 5.6 Hz, 9H, CH-CH3), 1.17 (d,3JHH = 5.6 Hz, 9H, CH-CH3), 2.02 (s, 6H, mesityl CH3), 2.06 (s, 3H, CH3), 2.16 (s, 6H, mesityl CH3), 2.34 (s, 6H, mesityl CH3), 4.01 (s, 4H, carbene CH2), 4.31 (s br, 3H, CH- CH3), 6.32 (s, 1 H, indenylidene H), 6.74 (s, 2H, mesityl CH), 6.87 (s, 2H, mesityl CH), 7.32 (d,3JHH = 8.0 Hz, 1 H, indenylidene H), 7.41-7.50 (m, 4H, indenylidene), 7.59 (t br,3JHH = 7.3 Hz, 1 H, indenylidene H), 7.63 (d br,3JHH = 7.3 Hz, 2H, indenylidene H), 7.83 (s, 1 H, indenylidene H).

[0161]

3 P{ H} NMR (CD2CI2, 162 MHz) δ (ppm) = 115.5 The catalytic potential of 63 was first assessed for the RCM (ring closing metathesis) of the challenging tosylamine derivative 30 (Table 7) at a low catalyst loading (0.1 mol% Ru).

[0162]

At 80°C, all solvents gave no or very poor conversions (Table 7, entries 1-3).

[0163]

Reactions carried out in xylene or mesitylene at temperatures above 110°C (120-

[0164]

140°C) gave product 31 with good conversions (76-79%) (Table 7, entries 4, 5, 9, 10). Increasing the temperature to 160°C lead to a lower conversion to product (Table 7, entry 11 ). When neat conditions were used, conversion fell to 60% (Table 7 below, entry 7). Dimethyl sulfoxide or 1 ,2-dichlorobenzene were also found to be highly prejudicial to the reaction with a dramatic decrease of the conversion rate (Table 7, entries 6, 8).

[0165]

Table 7.0ptimization of reaction conditions.

[0166]

[0167]

[a] Reaction conditions: 30 (0.25 mmol), 63 (0.1 mol% Ru), solvent (1 ml_), 3 h. [b] Average of 2 runs; conversions determined by GC.

[0168]

Under the optimized reaction conditions (entry 10 of Table 7), the kinetic profile of 63 was recorded and compared to that of its parent neutral complex c/s-2 (Fig 5). At 140°C, c/s-2 exhibits a very fast initiation and a high activity for only 3 minutes.

[0169]

Decomposition of the c/s-2 occurred rapidly and the catalyst could not achieve more than 60% of conversion. Better results were obtained in table 4 (entry 11 above) where more catalyst and a longer reaction time was employed. In contrast, a thermal treatment of 3 minutes at 140°C was found necessary to activate 63 indicating it can be considered a latent catalyst, which then achieved 80% conversion within 10 minutes. This shows that 63 is more thermally stable than c/s-2.

[0170]

The catalytic potential of 63 was than investigated for a range of dienes and enynes, under these harsh reaction conditions: 140°C, 15 min (Table 8). Table 8 Metathesis reactions behavior of 63.

[0171]

Table 8 continued

[0172]

[0173]

[a] Reaction conditions: 63 (0.1 -2 mol%), substrate (0.25 mmol), xylene (1 mL), 15 min 140°C. [b] Average of 2 runs; conversions were determined by GC; selected isolated yields in brackets.

[0174]

Formula IX Example

[0175]

[0176]

c/s-2 67

[0177]

R = 2,4,6-Me3C6H2

[0178]

In a glove box, Ru complex cis-2 (0.150 g, 0.171 mmol) and silver hexafluoroantimonate (0.130 g, 0.366 mmol) and dichloromethane (5 mL) were charged in a dry flask. The reaction mixture was stirred for fifteen minutes and the solution was filtered through a plug of celite. After evaporation of solvent, pentane was added and the precipitate was collected by filtration and washed with pentane. 67 was obtained as a black greenish solid in 95% (0.1990 mg).

[0179]

Other Examples of Complexes of Formulas I and II

[0180]

A cis complex 68 comprising a phosphine and a phosphite as ligands A and Z can be made as follows:

[0181]

[0182]

1 68 Under an inert atmosphere, tnisopropylphosphite (364 μΙ_, 1.53 mmol) was added to a solution of M1 (1.4145 g, 1.53 mmol), in dichloromethane (20 mL). The mixture was stirred for 24h at room temperature, then the solvent was removed in vacuo. The crude was recrystallised from CH2CI2/pentane. The solid was collected by filtration and washed with pentane (3 x 10, 2 x 15 mL). The product 68 was obtained as a brownish red solid (1.116 g, 85% yield).

[0183]

1H-NMR (400 MHz, 298K): 5 (ppm) = 1.10-1.35 (m, 27 H), 1.40-1.55 (m, 6 H), 1.60- 1.85 (m, 14H), 6.79 (s, 1 H, indenylidene H), 7.27 (d, J = 7.1 Hz, 1 H, indenylidene H), 7.43 (dd, J = 6.7 Hz, J = 6.3 Hz, 1 H, indenylidene), 7.44 (dd, J = 7.4 Hz, J = 6.3 Hz, 2H, indenylidene), 7.50 (dd, J = 7.4 Hz, J = 7.7 Hz, 1 H, indenylidene), 7.53 (dd, J = 7.4 Hz, J = 7.4 Hz, 1 H, indenylidene), 7.76 (d,3JHH = 7.3 Hz, 2H, indenylidene), 8.80 (d, J = 7.3 Hz, 1 H, indenylidene).

[0184]

^P- - MR (162 MHz, 298K): δ (ppm) 120.1 (d, J= 37.0 Hz), 47.4 (d, J= 37.0 Hz).

[0185]

Following a similar procedure, with more phosphite reagent, the cis bis-phosphite complex 69 can be obtained.

[0186]

M1 69

[0187]

31P-{ H}-NMR (CD2CI2, 162 MHz): δ (ppm) = 122.9.

[0188]

References

[0189]

1. a) Nguyen, S. T.; Johnson, L. K.; Grubbs, R. H.; Ziller, J. W. J. Am. Chem. Soc. 1992, 114, 3974-3975. (b) Schwab, P; France, M. B.; Ziller, J. W.; Grubbs, R. H. Angew. Chem. 1995, 107, 2179-2181 ; Angew. Chem., Int. Ed. Engl. 1995, 34, 2039- 2041.

[0190]

2. Scholl, .; Ding, S.; Lee, C. W.; Grubbs, R. H. Org. Lett. 1999, 1, 953-956.

[0191]

3. (a) Kingsbury, J. S.; Harrity, J. P. A.; Bonitatebus, P. J.; Hoveyda, A. H. J. Am. Chem. Soc. 1999, 121, 791-799. (b) Garber, S. B.; Kingsbury, J. S.; Gray, B. L;

[0192]

Hoveyda, A. H. J. Am. Chem. Soc. 2000, 122, 8168-8179.

[0193]

4. (a) Grela, K.; Harutyunyan, S.; Michrowska, A. Angew. Chem. 2002, 114, 4210- 4212; Angew. Chem., Int. Ed. 2002, 41, 4038-4040. (b) Wakamatsu, H.; Blechert, S. Angew. Chem. 2002, 114, 2509-251 1 ; /Angew. Chem., Int. Ed. 2002, 41, 2403-2405. (c) Zaja, M.; Connon, J.; Dunne, A. M. ; Rivard, M.; Buschmann, N.; Jiricek, J. ; Blechert, S. Tetrahedron 2003, 59, 6545-6558. (d) Michrowska, A.; Bujok, R.; Harutyunyan, S.; Sashuk, V.; Dolgonos, G.; Grela, K. J. Am. Chem. Soc. 2004, 126, 9318-9324.

[0194]

5. For a review on ruthenium indenylidene complexes, see: Dragutan, V.; Dragutan, i.; Verpoort, F. Platinum Met. Rev. 2005, 49, 33-40. See also for increased stability of such complexes: Clavier, H.; Petersen, J. L; Nolan, S. P. J. Organomet. Chem. 2006, 691, 5444-5477, and references therein.

[0195]

6. (a) Jafarpour, L; Schanz, H.-J. ; Stevens, E. D.; Nolan, S. P. Organometallics 1999, 18, 5416-5419. (b) Clavier, H.; Nolan, S. P. Chem. Eur. J. 2007, 13, 8029-8036. (c) Boeda, F.; Bantreil, X.; Clavier, H.; Nolan, S. P. Adv. Synth. Catal. 2008, 350, 2959- 2966. (d) Clavier, H.; Urbina-Blanco, C. A.; Nolan, S. P. Organometallics 2009, 28, 2848-2854.

[0196]

7. a) A. Fiirstner, M. Picquet, C. Bruneau, P. H. Dixneuf, Chem. Commun. 1998, 2249-2250; b) M. Picquet, C. Bruneau, P. H. Dixneuf, Chem. Commun. 1998, 1315- 1316; c) A. Fiirstner, M. Liebl, C. W. Lehmann, M. Picquet, R. Kunz, C. Bruneau, D. Touchard, P. H. Dixneuf, Chem. Eur. J. 2000, 6, 1847-1857. 8. a) S. M. Hansen, M. A. O. Volland, F. Rominger, F. Eisentrager, P. Hofmann, Angew. Chem., Int. Ed. 1999, 38, 1273-1276; b) P. Hofmann, . A. O. Volland, S. M. Hansen, F. Eisentrager, J. H. Gross, K. Stengel, J. Organomet. Chem. 2000, 606, 88- 92; c) M. A. O. Volland, S. M. Hansen, F. Rominger, P. Hofmann, Organomet. 2004, 23, 800-816.

[0197]

9. a) Y. Miyaki, T. Onishi, H. Kurosawa, Inorg. Chim. Acta 2000, 369-377; b) Y. Miyaki, T. Onishi, S. Ogoshi, H. Kurosawa, J. Organomet. Chem. 2000, 616, 135-139. 10. D. Wang, K. Wurst, W. Knolle, U. Decker, L. Prager, S. Naumov, M. R. Buchmeiser, Angew. Chem., Int. Ed. 2008, 47, 3267-3270.

[0198]

11. P. E. Romero, W. E. Piers, J. Am. Chem. Soc., 2005, 127, 5032-5033; P. E. Romero, W. E. Piers, R. McDonald, Angew. Chem. Int. Ed., 2004, 43, 6161-6165.

[0199]

12. C. Slugovc, B. Perner, F.Stelzer, K Mereiter, Organometallics, 2004, 23, 3622- 3626.

[0200]

13. a) T. Ung, A. Heijl, R.H. Grubbs, Y. Schrodi, Organometallics, 2004, 23, 5399- 5401 ; b) M. Barbasiewicz, A. Szadkowska, R. Bujok, K. Grela, Organometallics, 2006,

[0201]

25, 3599-3604; c) X. Gstrein, D. Burtscher, A. Szadkowska, M. Barbasiewicz, F. Steltzer, K. Grela, C. Slugovc, J. Polym. Sci., Part A: Polym. Chem., 2007, 45, 3494- 3500; d) A. Ben-Asuly, E. Tzur, C. E. Diesendruck, M. Sigalov, I. Goldberg, N.G. Lemcoff, Organometallics, 2008, 27, 811-813; e) C. E. Diesendruck, V. Vidavsky, A. Ben-Asuly, N.G. Lemcoff, J. Polym. Sci., Part A: Polym. Chem., 2009, 47, 4209-4213; f) C. E. Diesendruck , E. Tzur, A. Ben-Asuly, I. Goldberg, B. F. Straub, N.G. Lemcoff, Inorg. Chem., 2009, 48, 10819-10825; g) A. Ben-Asuly, A. Aharoni, C. E. Diesendruck, Y. Vidavsky, I. Goldberg, B. F. Straub, N.G. Lemcoff, Organometallics, 2009, 28, 4652- 4655; h) E. Tzur, A. Szadkowska, A. Ben-Asuly, A. akal, I. Goldberg, K. Wozniak, K Grela, N.G. Lemcoff, Chem. Eur. J., 2010, 16, 8726-8737.

[0202]

14. M. Zirngast, E. Pump, A. Leitgeb, J. H. Albering, C. Slugovc, Chem. Commun., 2011 , 47, 2261-2263.

Как компенсировать расходы
на инновационную разработку
Похожие патенты