заявка
№ US 20240180023
МПК H10K85/30

LIGHT-EMITTING DEVICE INCLUDING ORGANOMETALLIC COMPOUND, ELECTRONIC APPARATUS INCLUDING THE LIGHT-EMITTING DEVICE, AND THE ORGANOMETALLIC COMPOUND

Авторы:
Sohae Kim Sooryun Cho Gyeongheon Kim
Все (7)
Номер заявки
18359008
Дата подачи заявки
26.07.2023
Опубликовано
30.05.2024
Страна
US
Дата приоритета
15.12.2025
Номер приоритета
Страна приоритета
Как управлять
интеллектуальной собственностью
Чертежи 
8
Реферат

[0000]

Provided are a light-emitting device including an organometallic compound represented by Formula 1, an electronic apparatus including the light-emitting device, and the organometallic compound represented by Formula 1 below. The detailed description of Formula 1 is as described herein.

[0000]

[00000]

Формула изобретения

1. A light-emitting device, comprising:

a first electrode;

a second electrode facing the first electrode;

an interlayer between the first electrode and the second electrode and comprising an emission layer; and

an organometallic compound represented by Formula 1:

wherein, in Formula 1,

M is platinum (Pt), palladium (Pd), gold (Au), nickel (Ni), silver (Ag), or copper (Cu),

Y1is O or S,

a bond between N and M is a coordinate bond,

ring CY2is a) an imidazole group or b) an imidazole group in which one or more 6-membered rings are condensed together,

X11is C(R11) or N, X12is C(R12) or N, X13is C(R13) or N, and X14is C(R14) or N,

X31is C(R31) or N and X32is C(R32) or N,

X41is C(R41) or N, X42is C(R42) or N, and X43is C(R43) or N,

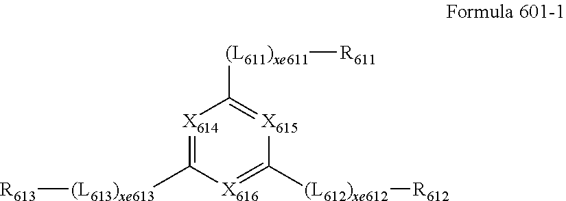
X5is a single bond, *—N(R51)—*′, *—B(R51)—*′, *—P(R51)—*′, *—C(R51)(R52)—*′, *—Si(R51)(R52)—*′, *—Ge(R51)(R52)—*′, *—S—*′, *—Se—*′, *—O—*′, *—C(═O)—*′, *—S(═O)—*′, *—S(═O)2—*′, or *—C(S)—*′,

X6is *—N(R61)—*′, *—B(R61)—*′, *—P(R61)—*′, *—C(R61)(R62)—*′, *—Si(R61)(R62)—*′, *—Ge(R61)(R62)—*′, *—S—*′, *—Se—*′, *—O—*′, *—C(═O)—*′, *—S(═O)—*′, *—S(═O)2—*′, *—C(═S)—*′, *—N═*′, *═N—*′, *—C(R61)═*′, *═C(R61)—*′, *—Si(R61)═*′, *═Si(R61)—*′, *—Ge(R61)═*′, or *═Ge(R61)—*′,

b6 is 2, 3, or 4, and two or more of X6are identical to or different from each other,

a cyclometallated group formed by M, ring CY2, X5, and ring CY3is a 5-membered ring or a 6-membered ring,

R11to R14, R2, R31, R32, R41to R43, R51, R52, R61, and R62are each independently hydrogen, deuterium, —F, —Cl, —Br, —I, a hydroxyl group, a cyano group, a nitro group, a C1-C60alkyl group unsubstituted or substituted with at least one R10a, a C2-C60alkenyl group unsubstituted or substituted with at least one R10a, a C2-C60alkynyl group unsubstituted or substituted with at least one R10a, a C1-C60alkoxy group unsubstituted or substituted with at least one R10a, a C3-C60carbocyclic group unsubstituted or substituted with at least one R10a, a C1-C60heterocyclic group unsubstituted or substituted with at least one R10a, a C6-C60aryloxy group unsubstituted or substituted with at least one R10a, a C6-C60arylthio group unsubstituted or substituted with at least one R10a, a C7-C60arylalkyl group unsubstituted or substituted with at least one R10a, a C2-C60heteroarylalkyl group unsubstituted or substituted with at least one R10a, —C(Q1)(Q2)(Q3), —Si(Q1)(Q2)(Q3), —N(Q1)(Q2), —B(Q1)(Q2), —C(═O)(Q1), —S(═O)2(Q1), or —P(═O)(Q1)(Q2),

a2 is an integer from 0 to 10,

two or more selected from among R11to R14, R2in the number of a2, R31, R32, R41to R43, R51, R52, R61, and R62are each optionally bonded together to form a C3-C60carbocyclic group unsubstituted or substituted with at least one R10aor a C1-C60heterocyclic group unsubstituted or substituted with at least one R10a,

R10ais:

deuterium, —F, —Cl, —Br, —I, a hydroxyl group, a cyano group, or a nitro group;

a C1-C60alkyl group, a C2-C60alkenyl group, a C2-C60alkynyl group, or a C1-C60alkoxy group, each unsubstituted or substituted with deuterium, —F, —Cl, —Br, —I, a hydroxyl group, a cyano group, a nitro group, a C3-C60carbocyclic group, a C1-C60heterocyclic group, a C6-C60aryloxy group, a C6-C60arylthio group, a C7-C60arylalkyl group, a C2-C60heteroarylalkyl group, —Si(Q11)(Q12)(Q13), —N(Q11)(Q12), —B(Q11)(Q12), —C(═O)(Q11), —S(═O)2(Q11), —P(═O)(Q11)(Q12), or a combination thereof;

a C3-C60carbocyclic group, a C1-C60heterocyclic group, a C6-C60aryloxy group, a C6-C60arylthio group, a C7-C60arylalkyl group, or a C2-C60heteroarylalkyl group, each unsubstituted or substituted with deuterium, —F, —Cl, —Br, —I, a hydroxyl group, a cyano group, a nitro group, a C1-C60alkyl group, a C2-C60alkenyl group, a C2-C60alkynyl group, a C1-C60alkoxy group, a C3-C60carbocyclic group, a C1-C60heterocyclic group, a C6-C60aryloxy group, a C6-C60arylthio group, a C7-C60arylalkyl group, a C2-C60heteroarylalkyl group, —Si(Q21)(Q22)(Q23), —N(Q21)(Q22), —B(Q21)(Q22), —C(═O)(Q21), —S(═O)2(Q21), —P(═O)(Q21)(Q22), or a combination thereof; or

—Si(Q31)(Q32)(Q33), —N(Q31)(Q32), —B(Q31)(Q32), —C(═O)(Q31), —S(═O)2(Q31), or —P(═O)(Q31)(Q32), wherein

Q1to Q3, Q11to Q13, Q21to Q23, and Q31to Q33are each independently: hydrogen; deuterium; —F; —Cl; —Br; —I; a hydroxyl group; a cyano group; a nitro group; or a C1-C60alkyl group, a C2-C60alkenyl group, a C2-C60alkynyl group, a C1-C60alkoxy group, a C3-C60carbocyclic group, or a C1-C60heterocyclic group, each unsubstituted or substituted with deuterium, —F, a cyano group, a C1-C60alkyl group, a C1-C60alkoxy group, a phenyl group, a biphenyl group, or a combination thereof.

2. The light-emitting device of claim 1, wherein:

the first electrode is an anode,

the second electrode is a cathode,

the interlayer further comprises a hole transport region between the first electrode and the emission layer and an electron transport region between the emission layer and the second electrode,

the hole transport region comprises a hole injection layer, a hole transport layer, an emission auxiliary layer, an electron blocking layer, or a combination thereof, and

the electron transport region comprises a hole blocking layer, an electron transport layer, an electron injection layer, an electron control layer, or a combination thereof.

3. The light-emitting device of claim 1, wherein the emission layer comprises the organometallic compound represented by Formula 1.

4. The light-emitting device of claim 1, wherein the emission layer emits light having a maximum emission wavelength of 550 nm to 600 nm.

5. The light-emitting device of claim 1, wherein the organometallic compound represented by Formula 1 has a3MLCT value of 16% or more.

6. An electronic apparatus comprising the light-emitting device of claim 1.

7. The light-emitting device of claim 6, further comprising a color filter, a color conversion layer, a touch screen layer, a polarizing layer, or a combination thereof.

8. An electronic apparatus comprising the light-emitting device of claim 1.

9. The electronic apparatus of claim 8, the electronic apparatus being one selected from a flat panel display, a curved display, a computer monitor, a medical monitor, a television, a billboard, an indoor or outdoor light and/or light for signal, a head-up display, a fully or partially transparent display, a flexible display, a rollable display, a foldable display, a stretchable display, a laser printer, a telephone, a portable phone, a tablet personal computer, a phablet, a personal digital assistant (PDA), a wearable device, a laptop computer, a digital camera, a camcorder, a viewfinder, a micro display, a three-dimensional (3D) display, a virtual reality or augmented reality display, a vehicle, a video wall with multiple displays tiled together, a theater or stadium screen, a phototherapy device, and a signboard.

10. An organometallic compound represented by Formula 1:

wherein, in Formula 1,

M is platinum (Pt), palladium (Pd), gold (Au), nickel (Ni), silver (Ag), or copper (Cu),

Y1is O or S,

a bond between N and M is a coordinate bond,

ring CY2is a) an imidazole group or b) an imidazole group in which one or more 6-membered rings are condensed together,

X11is C(R11) or N, X12is C(R12) or N, X13is C(R13) or N, and X14is C(R14) or N,

X31is C(R31) or N and X32is C(R32) or N,

X41is C(R41) or N, X42is C(R42) or N, and X43is C(R43) or N,

X5is a single bond, *—N(R51)—*′, *—B(R51)—*′, *—P(R51)—*′, *—C(R51)(R52)—*′, *—Si(R51)(R52)—*′, *—Ge(R51)(R52)—*′, *—S—*′, *—Se—*′, *—O—*′, *—C(═O)—*′, *—S(═O)—*′, *—S(═O)2—*′, or *—C(═S)—*′,

X6is *—N(R61)—*′, *—B(R61)—*′, *—P(R61)—*′, *—C(R61)(R62)—*′, *—Si(R61)(R62)—*′, *—Ge(R61)(R62)—*′, *—S—*′, *—Se—*′, *—O—*′, *—C(═O)—*′, *—S(═O)—*′, *—S(═O)2—*′, *—C(═S)—*′, *—N═*′, *═N—*′, *—C(R61)═*′, *═C(R61)—*′, *—Si(R61)═*′, *═Si(R61)—*′, *—Ge(R61)═*′, or *═Ge(R61)—*′,

b6 is 2, 3, or 4, and two or more of X6are identical to or different from each other,

a cyclometallated group formed by M, ring CY2, X5, and ring CY3is a 5-membered ring or a 6-membered ring,

R11to R14, R2, R31, R32, R41to R43, R51, R52, R61, and R62are each independently hydrogen, deuterium, —F, —Cl, —Br, —I, a hydroxyl group, a cyano group, a nitro group, a C1-C60alkyl group unsubstituted or substituted with at least one R10a, a C2-C60alkenyl group unsubstituted or substituted with at least one R10a, a C2-C60alkynyl group unsubstituted or substituted with at least one R10a, a C1-C60alkoxy group unsubstituted or substituted with at least one R10a, a C3-C60carbocyclic group unsubstituted or substituted with at least one R10a, a C1-C60heterocyclic group unsubstituted or substituted with at least one R10a, a C6-C60aryloxy group unsubstituted or substituted with at least one R10a, a C6-C60arylthio group unsubstituted or substituted with at least one R10a, a C7-C60arylalkyl group unsubstituted or substituted with at least one R10a, a C2-C60heteroarylalkyl group unsubstituted or substituted with at least one R10a, —C(Q1)(Q2)(Q3), —Si(Q1)(Q2)(Q3), —N(Q1)(Q2), —B(Q1)(Q2), —C(═O)(Q1), —S(═O)2(Q1), or —P(═O)(Q1)(Q2),

a2 is an integer from 0 to 10,

two or more selected from among R11to R14, R2in the number of a2, R31, R32, R41to R43, R51, R52, R61, and R62are each optionally bonded together to form a C3-C60carbocyclic group unsubstituted or substituted with at least one R10aor a C1-C60heterocyclic group unsubstituted or substituted with at least one R10a,

R10ais:

deuterium, —F, —Cl, —Br, —I, a hydroxyl group, a cyano group, or a nitro group;

a C1-C60alkyl group, a C2-C60alkenyl group, a C2-C60alkynyl group, or a C1-C60alkoxy group, each unsubstituted or substituted with deuterium, —F, —Cl, —Br, —I, a hydroxyl group, a cyano group, a nitro group, a C3-C60carbocyclic group, a C1-C60heterocyclic group, a C6-C60aryloxy group, a C6-C60arylthio group, a C7-C60arylalkyl group, a C2-C60heteroarylalkyl group, —Si(Q11)(Q12)(Q13), —N(Q11)(Q12), —B(Q11)(Q12), —C(═O)(Q11), —S(═O)2(Q11), —P(═O)(Q11)(Q12), or a combination thereof;

a C3-C60carbocyclic group, a C1-C60heterocyclic group, a C6-C60aryloxy group, a C6-C60arylthio group, a C7-C60arylalkyl group, or a C2-C60heteroarylalkyl group, each unsubstituted or substituted with deuterium, —F, —Cl, —Br, —I, a hydroxyl group, a cyano group, a nitro group, a C1-C60alkyl group, a C2-C60alkenyl group, a C2-C60alkynyl group, a C1-C60alkoxy group, a C3-C60carbocyclic group, a C1-C60heterocyclic group, a C6-C60aryloxy group, a C6-C60arylthio group, a C7-C60arylalkyl group, a C2-C60heteroarylalkyl group, —Si(Q21)(Q22)(Q23), —N(Q21)(Q22), —B(Q21)(Q22), —C(═O)(Q21), —S(═O)2(Q21), —P(═O)(Q21)(Q22), or a combination thereof; or

—Si(Q31)(Q32)(Q33), —N(Q31)(Q32), —B(Q31)(Q32), —C(═O)(Q31), —S(═O)2(Q31), or —P(═O)(Q31)(Q32),

wherein Q1to Q3, Q11to Q13, Q21to Q23, and Q31to Q33are each independently: hydrogen; deuterium; —F; —Cl; —Br; —I; a hydroxyl group; a cyano group;

a nitro group; or a C1-C60alkyl group, a C2-C60alkenyl group, a C2-C60alkynyl group, a C1-C60alkoxy group, a C3-C60carbocyclic group, or a C1-C60heterocyclic group, each unsubstituted or substituted with deuterium, —F, a cyano group, a C1-C60alkyl group, a C1-C60alkoxy group, a phenyl group, a biphenyl group, or a combination thereof.

11. The organometallic compound of claim 10, wherein:

ring CY2is an imidazole group in which one or more 6-membered rings are condensed together, and

the 6-membered ring is a cyclohexane group, a cyclohexene group, a benzene group, pyridine group, a pyrimidine group, pyrazine group, a pyridazine group, or a triazine group.

12. The organometallic compound of claim 10, wherein X5is a single bond.

13. The organometallic compound of claim 10, wherein:

X6is *—N(R61)—*′, *—B(R61)—*′, *—P(R61)—*′, *—C(R61)(R62)—*′, *—Si(R61)(R62)—*′, *—Ge(R61)(R62)—*′, *—S—*, *—Se—*, *—O—*, *—C(═O)—*′, *—S(═O)—*′, *—S(═O)2—*, *—C(═S)—*′, *—N═*′, or *═N—*′, and

b6 is 2, 3, or 4, and two or more of X6are identical to or different from each other.

14. The organometallic compound of claim 10, wherein R11to R14, R2, R31, R32, R41to R43, R51, R52, R61, and R62are each independently:

hydrogen, deuterium, —F, or a cyano group;

a C1-C20alkyl group unsubstituted or substituted with deuterium, —F, a cyano group, a phenyl group, deuterated phenyl group, fluorinated phenyl group, a (C1-C20alkyl)phenyl group, a biphenyl group, a deuterated biphenyl group, a fluorinated biphenyl group, a (C1-C20alkyl)biphenyl group, or a combination thereof; or

a C3-C10cycloalkyl group, a phenyl group, a naphthyl group, a dibenzofuranyl group, or a dibenzothiophenyl group, each unsubstituted or substituted with deuterium, —F, a cyano group, a C1-C20alkyl group, a deuterated C1-C20alkyl group, a fluorinated C1-C20alkyl group, a phenyl group, a deuterated phenyl group, a fluorinated phenyl group, a (C1-C20alkyl)phenyl group, a biphenyl group, a deuterated biphenyl group, a fluorinated biphenyl group, a (C1-C20alkyl)biphenyl group, or a combination thereof.

15. The organometallic compound of claim 10, wherein the organometallic compound is represented by Formula 1A:

wherein, in Formula 1A ,

M, Y1, ring CY2, X11to X14, X31, X32, X41to X43, X5, R2, R61, R62, and a2 are each as defined in claim 10, and

R63and R64are each defined as for R61in claim 10.

16. The organometallic compound of claim 10, wherein a group represented by

is represented by one selected from Formulae CY1-1 to CY1-9:

wherein, in Formulae CY1-1 to CY1-9,

X11to X14are each as defined in claim 10,

X15is C(R15) or N, X16is C(R16) or N, X17is C(R17) or N, and X18is C(R18) or N,

X19is O, S, N(R19), C(R19a)(R19b), or Si(R19a)(R19b),

R15to R19, R19a, and R19bare each defined as for R11in claim 10,

*′ indicates a binding site to ring CY2, and

* indicates a binding site to M.

17. The organometallic compound of claim 10, wherein a group represented by

is a dibenzofuran group.

18. The organometallic compound of claim 10, wherein a group represented by

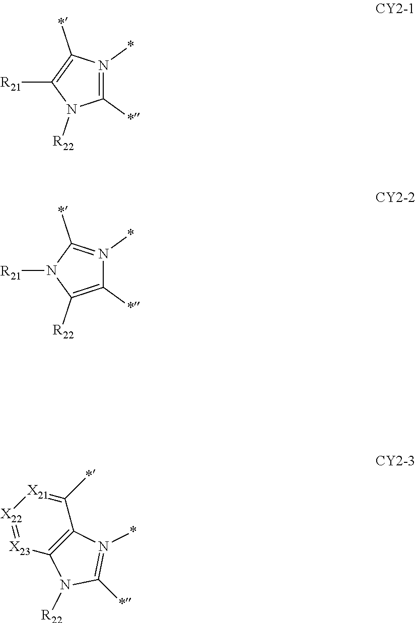
in Formula 1 is a group represented by one selected from Formulae CY2-1 to CY2-3:

wherein, in Formulae CY2-1 to CY2-3,

X21is C(R21) or N, X22is C(R22) or N, and X23is C(R23) or N,

R21to R23are each defined as for R2in claim 10,

*′ indicates a binding site to a carbon atom,

* indicates a binding site to M, and

*″ indicates a binding site to X5.

19. The organometallic compound of claim 10, wherein the organometallic compound has a3MLCT value of 16% or more.

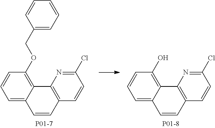
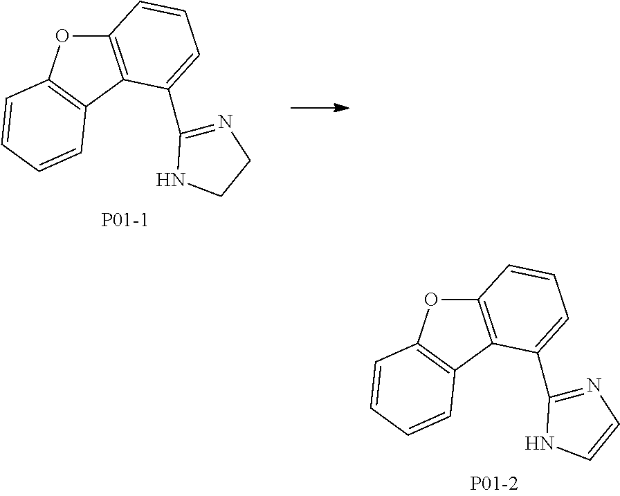
20. The organometallic compound of claim 10, wherein the organometallic compound represented by Formula 1 is one selected from Compounds P01 to P52:

Описание

CROSS-REFERENCE TO RELATED APPLICATION

[0001]

This application claims priority to and the benefit of Korean Patent Application No. 10-2022-0141609, filed on Oct. 28, 2022, in the Korean Intellectual Property Office, the entire content of which is incorporated by reference herein in its entirety.

BACKGROUND

1. Field

[0002]

One or more embodiments of the present disclosure relate to a light-emitting device including an organometallic compound, an electronic apparatus including the light-emitting device, and the organometallic compound.

2. Description of the Related Art

[0003]

From among light-emitting devices, self-emissive devices have wide viewing angles, high contrast ratios, short response times, and excellent characteristics in terms of luminance, driving voltage, and response speed.

[0004]

In a light-emitting device, a first electrode is located on a substrate, and a hole transport region, an emission layer, an electron transport region, and a second electrode are sequentially arranged on the first electrode. Holes provided from the first electrode move toward the emission layer through the hole transport region, and electrons provided from the second electrode move toward the emission layer through the electron transport region. Carriers, such as holes and electrons, recombine in the emission layer to produce excitons. These excitons transition from an excited state to a ground state to thereby generate light.

SUMMARY

[0005]

One or more embodiments of the present disclosure include a light-emitting device including an organometallic compound, an electronic apparatus including the light-emitting device, and the organometallic compound.

[0006]

Additional aspects of embodiments will be set forth in part in the description which follows and, in part, will be apparent from the description, or may be learned by practice of the presented embodiments of the disclosure.

[0007]

According to one or more embodiments, a light-emitting device includes:

    • a first electrode,
    • a second electrode facing the first electrode,
    • an interlayer between the first electrode and the second electrode and including an emission layer, and
    • an organometallic compound represented by Formula 1.

[0000]

[0012]

In Formula 1,

    • M may be platinum (Pt), palladium (Pd), gold (Au), nickel (Ni), silver (Ag), or copper (Cu),
    • Y1may be O or S,
    • a bond between N and M may be a coordinate bond (which may also be referred to as a coordinate covalent bond or a dative bond),
    • ring CY2may be a) an imidazole group or b) an imidazole group in which one or more 6-membered rings are condensed together,
    • X11may be C(R11) or N, X12may be C(R12) or N, X13may be C(R13) or N, and X14may be C(R14) or N,
    • X31may be C(R31) or N and X32may be C(R32) or N,
    • X41is C(R41) or N, X42is C(R42) or N, and X43is C(R43) or N,
    • X5may be a single bond, *—N(R51)—*′, *—B(R51)—*′, *—P(R51)—*′, *—C(R51)(R52)—*′, *—Si(R51)(R52)—*′, *—Ge(R51)(R52)—*′, *—S—*′, *—Se—*′, *—O—*′, *—C(═O)—*′, *—S(═O)—*′, *—S(═O)2—*′, or *—C(═S)—*′,
    • X6may be *—N(R61)—*′, *—B(R61)—*′, *—P(R61)—*′, *—C(R61)(R62)—*′, *—Si(R61)(R62)—*′, *—Ge(R61)(R62)—*′, *—S—*′, *—Se—*′, *—O—*′, *—C(═O)—*′, *—S(═O)—*′, *—S(═O)2—*′, *—C(═S)—*′, *—N=*′, *═N—*′, *—C(R61)=*′, *═C(R61)—*′, *—Si(R61)=*′, *═Si(R61)—*′, *—Ge(R61)=*′, or *═Ge(R61)—*′,
    • b6 may be 2, 3, or 4, and two or more of X6may be identical to or different from each other,
    • a cyclometalated group formed by M, ring CY2, X5, and ring CY3may be a 5-membered ring or a 6-membered ring,
    • R11to R14, R2, R31, R32, R41to R43, R51, R52, R61, and R62may each independently be hydrogen, deuterium, —F, —Cl, —Br, —I, a hydroxyl group, a cyano group, a nitro group, a C1-C60alkyl group unsubstituted or substituted with at least one R10a, a C2-C60alkenyl group unsubstituted or substituted with at least one R10a, a C2-C60alkynyl group unsubstituted or substituted with at least one R10a, a C1-C60alkoxy group unsubstituted or substituted with at least one R10a, a C3-C60carbocyclic group unsubstituted or substituted with at least one R10a, a C1-C60heterocyclic group unsubstituted or substituted with at least one R10a, a C6-C60aryloxy group unsubstituted or substituted with at least one R10a, a C6-C60arylthio group unsubstituted or substituted with at least one R10a, a C7-C60arylalkyl group unsubstituted or substituted with at least one R10a, a C2-C60heteroarylalkyl group unsubstituted or substituted with at least one R10a, —C(Q1)(Q2)(Q3), —Si(Q1)(Q2)(Q3), —N(Q1)(Q2), —B(Q1)(Q2), —C(═O)(Q1), —S(═O)2(Q1), or —P(═O)(Q1)(Q2),
    • a2 may be an integer from 0 to 10,
    • two or more selected from among R11to R14, R2in the number of a2, R31, R32, R41to R43, R51, R52, R61, and R62may each optionally be bonded together to form a C3-C60carbocyclic group unsubstituted or substituted with at least one R10aor a C1-C60heterocyclic group unsubstituted or substituted with at least one R10a,
    • R10amay be:
    • deuterium, —F, —Cl, —Br, —I, a hydroxyl group, a cyano group, or a nitro group,
    • a C1-C60alkyl group, a C2-C60alkenyl group, a C2-C60alkynyl group, or a C1-C60alkoxy group, each unsubstituted or substituted with deuterium, —F, —Cl, —Br, —I, a hydroxyl group, a cyano group, a nitro group, a C3-C60carbocyclic group, a C1-C60heterocyclic group, a C6-C60aryloxy group, a C6-C60arylthio group, a C7-C60arylalkyl group, a C2-C60heteroarylalkyl group, —Si(Q11)(Q12)(Q13), —N(Q11)(Q12), —B(Q11)(Q12), —C(═O)(Q11), —S(═O)2(Q11), —P(═O)(Q11)(Q12), or a combination thereof,
    • a C3-C60carbocyclic group, a C1-C60heterocyclic group, a C6-C60aryloxy group, a C6-C60arylthio group, a C7-C60arylalkyl group, or a C2-C60heteroarylalkyl group, each unsubstituted or substituted with deuterium, —F, —Cl, —Br, —I, a hydroxyl group, a cyano group, a nitro group, a C1-C60alkyl group, a C2-C60alkenyl group, a C2-C60alkynyl group, a C1-C60alkoxy group, a C3-C60carbocyclic group, a C1-C60heterocyclic group, a C6-C60aryloxy group, a C6-C60arylthio group, a C7-C60arylalkyl group, a C2-C60heteroarylalkyl group, —Si(Q21)(Q22)(Q23), —N(Q21)(Q22), —B(Q21)(Q22), —C(═O)(Q21), —S(═O)2(Q21), —P(═O)(Q21)(Q22), or a combination thereof, or
    • —Si(Q31)(Q32)(Q33), —N(Q31)(Q32), —B(Q31)(Q32), —C(═O)(Q31), —S(═O)2(Q31), or —P(═O)(Q31)(Q32),
    • wherein Q1to Q3, Q11to Q13, Q21to Q23, and Q31to Q33may each independently be hydrogen, deuterium, —F, —Cl, —Br, —I, a hydroxyl group, a cyano group, a nitro group, or a C1-C60alkyl group, a C2-C60alkenyl group, a C2-C60alkynyl group, a C1-C60alkoxy group, a C3-C60carbocyclic group, or a C1-C60heterocyclic group, each unsubstituted or substituted with deuterium, —F, a cyano group, a C1-C60alkyl group, a C1-C60alkoxy group, a phenyl group, a biphenyl group, or a combination thereof.

[0033]

According to one or more embodiments, an electronic apparatus and an electronic device include the light-emitting device.

[0034]

According to one or more embodiments, an organometallic compound is represented by Formula 1.

BRIEF DESCRIPTION OF THE DRAWINGS

[0035]

The above and other aspects and features of certain embodiments of the disclosure will be more apparent from the following description taken in conjunction with the accompanying drawings, in which:

[0036]

FIG. 1 is a schematic view of a structure of a light-emitting device according to some embodiments;

[0037]

FIG. 2 is a schematic view of a structure of an electronic apparatus according to some embodiments;

[0038]

FIG. 3 is a schematic view of a structure of an electronic apparatus according to another embodiment;

[0039]

FIG. 4 is a schematic view of an electronic apparatus according to some embodiments;

[0040]

FIG. 5 is a schematic view of the exterior of a vehicle as an electronic apparatus, according to one or more embodiments; and

[0041]

FIGS. 6A-6C are each a schematic view of an interior of a vehicle as an electronic apparatus, according to some embodiments.

DETAILED DESCRIPTION

[0042]

Reference will now be made in more detail to embodiments, examples of which are illustrated in the accompanying drawings, wherein like reference numerals refer to like elements throughout. In this regard, the present embodiments may have different forms and should not be construed as being limited to the descriptions set forth herein. Accordingly, example embodiments are merely described below, by referring to the figures, to explain aspects of embodiments of the present description. As used herein, the term “and/or” includes any and all combinations of one or more of the associated listed items. Throughout the disclosure, the expression “at least one of a, b or c” indicates only a, only b, only c, both a and b, both a and c, both b and c, all of a, b, and c, or variations thereof.

[0043]

According to one or more embodiments, a light-emitting device may include: a first electrode; a second electrode facing the first electrode; an interlayer between the first electrode and the second electrode and including an emission layer; and an organometallic compound represented by Formula 1:

[0000]

[0044]

In Formula 1, M may be platinum (Pt), palladium (Pd), gold (Au), nickel (Ni), silver (Ag), or copper (Cu).

[0045]

In some embodiments, M may be platinum (Pt).

[0046]

In Formula 1, Y1may be O or S, and, in some embodiments, Y1may be O.

[0047]

A bond between N and M in Formula 1 may be a coordinate bond (which may also be referred to as a coordinate covalent bond or a dative bond).

[0048]

Ring CY2in Formula 1 may be a) an imidazole group or b) an imidazole group in which one or more 6-membered rings are condensed together.

[0049]

For example, ring CY2may be an imidazole group in which one or more 6-membered rings are condensed together, and the 6-membered ring may be a cyclohexane group, a cyclohexene group, a benzene group, pyridine group, a pyrimidine group, pyrazine group, a pyridazine group, or a triazine group.

[0050]

In some embodiments, ring CY2may be imidazole or benzimidazolyl.

[0051]

In Formula 1, X11may be C(R11) or N, X12may be C(R12) or N, X13may be C(R13) or N, X14may be C(R14) or N, and, in some embodiments, X11may be C(R11), X12may be C(R12), X13may be C(R13), and X14may be C(R14).

[0052]

In some embodiments, the organometallic compound may satisfy at least one selected from Conditions 1 to 3.

    • Condition 1
    • X11may be C(R11), X12may be C(R12), and R11and R12may be linked to each other to form a C5-C30carbocyclic group or a C1-C30heterocyclic group, each unsubstituted or substituted with at least one R10a.
    • Condition 2
    • X12may be C(R12), X13may be C(R13), and R12and R13may be linked to each other to form a C5-C30carbocyclic group or a C1-C30heterocyclic group, each unsubstituted or substituted with at least one R10a.
    • Condition 3
    • X13may be C(R13), X14may be C(R14), and R13and R14may be linked to each other to form a C5-C30carbocyclic group or a C1-C30heterocyclic group, each unsubstituted or substituted with at least one R10a.

[0059]

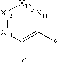
In Formula 1, a group represented by

[0000]

[0000]

may be an indolyl group, a benzoindolyl group, a naphthoindolyl group, an isoindolyl group, a benzoisoindolyl group, a naphthoisoindolyl group, a benzosilolyl group, a benzothiophenyl group, a benzofuranyl group, a carbazolyl group, a dibenzosilolyl group, a dibenzothiophenyl group, a dibenzofuranyl group, an azacarbazolyl group, an azafluorenyl group, an azadibenzosilolyl group, an azadibenzothiophenyl group, an azadibenzofuranyl group, a pyrazolyl group, an imidazolyl group, a triazolyl group, a tetrazolyl group, an oxazolyl group, an isoxazolyl group, a thiazolyl group, an isothiazolyl group, an oxadiazolyl group, a thiadiazolyl group, a benzopyrazolyl group, a benzoimidazolyl group, a benzoxazolyl group, a benzothiazolyl group, a benzoxadiazolyl group, a benzothiadiazolyl group, an imidazopyridinyl group, an imidazopyrimidinyl group, an imidazotriazinyl group, an imidazopyrazinyl group, an imidazopyridazinyl group, an indenocarbazolyl group, an indolocarbazolyl group, a benzofurocarbazolyl group, a benzothienocarbazolyl group, a benzosilolocarbazolyl group, a benzoindolocarbazolyl group, a benzocarbazolyl group, a benzonaphthofuranyl group, a benzonaphthothiophenyl group, a benzonaphthosilolyl group, a benzofurodibenzofuranyl group, a benzofurodibenzothiophenyl group, or a benzothienodibenzothiophenyl group.

[0060]

In Formula 1, X31may be C(R31) or N, X32may be C(R32) or N, and, in some embodiments, X31may be C(R31), and X32may be C(R32).

[0061]

In Formula 1, X41may be C(R41) or N, X42may be C(R42) or N, X43may be C(R43) or N, and, in some embodiments, X41may be C(R41), X42may be C(R42), X43may be C(R43), and X44may be C(R44).

[0062]

In Formula 1, X5may be a single bond, *—N(R51)—*′, *—B(R51)—*′, *—P(R51)—*′, *—C(R51)(R52)—*′, *—Si(R51)(R52)—*′, *—Ge(R51)(R52)—*′, *—S—*′, *—Se—*′, *—O—*′, *—C(═O)*′, *—S(═O)—*′, *—S(═O)2—*′, or *—C(═S)—*′, and, in some embodiments, X5may be a single bond, *—N(R51)—*′, *—B(R51)—*′, *—P(R51)—*′, *—C(R51)(R52)—*′, *—Si(R51)(R52)—*′, *—Ge(R51)(R52)—*′, *—S—*′, *—Se—*′, or —O—*′. In some embodiments, X5may be a single bond.

[0063]

X6in Formula 1 may be *—N(R61)—*′, *—B(R61)—*′, *—P(R61)—*′, *—C(R61)(R62)—*′, *—Si(R61)(R62)—*′, *—Ge(R61)(R62)—*′, *—S—*′, *—Se—*′, *—O—*′, *—C(═O)—*′, *—S(═O)—*′, *—S(═O)2—*′, *—C(═S)—*′, *—N═*′, *═N—*′, *—C(R61)=*′, *═C(R61)—*′, *—Si(R61)=*′, *═Si(R61)—*′, *—Ge(R61)=*′, or *═Ge(R61)—*′, b6 may be 2, 3, or 4, and two or more of X6may be identical to or different from each other.

[0064]

In some embodiments, X6may be *—N(R61)—*′, *—B(R61)—*′, *—P(R61)—*′, *—C(R61)(R62)—*′, *—Si(R61)(R62)—*′, *—Ge(R61)(R62)—*′, *—S—*′, *—Se—*′, *—O—*′, *—C(═O)—*′, *—S(═O)—*′, *—S(═O)2—*′, *—C(═S)—*′, *—N═*′, or *═N—*′, b6 may be 2, 3, or 4, and two or more of X6may be identical to or different from each other. In some embodiments, X6may be *—C(R61)(R62)—*′, and b6 may be 2.

[0065]

A cyclometallated group formed by M, ring CY2, X5, and ring CY3in Formula 1 may be a 5-membered ring or a 6-membered ring.

    • R11to R14, R2, R31, R32, R41to R43, R51, R52, R61, and R62in Formula 1 may each independently be hydrogen, deuterium, —F, —Cl, —Br, —I, a hydroxyl group, a cyano group, a nitro group, a C1-C60alkyl group unsubstituted or substituted with at least one R10a, a C2-C60alkenyl group unsubstituted or substituted with at least one R10a, a C2-C60alkynyl group unsubstituted or substituted with at least one R10a, a C1-C60alkoxy group unsubstituted or substituted with at least one R10a, a C3-C60carbocyclic group unsubstituted or substituted with at least one R10a, a C1-C60heterocyclic group unsubstituted or substituted with at least one R10a, a C6-C60aryloxy group unsubstituted or substituted with at least one R10a, a C6-C60arylthio group unsubstituted or substituted with at least one R10a, a C7-C60arylalkyl group unsubstituted or substituted with at least one R10a, a C2-C60heteroarylalkyl group unsubstituted or substituted with at least one R10a, —C(Q1)(Q2)(Q3), —Si(Q1)(Q2)(Q3), —N(Q1)(Q2), —B(Q1)(Q2), —C(═O)(Q1), —S(═O)2(Q1), or —P(═O)(Q1)(Q2), wherein:
    • Q1to Q3, Q11to Q13, Q21to Q23, and Q31to Q33may each independently be: hydrogen; deuterium; —F; —Cl; —Br; —I; a hydroxyl group; a cyano group; a nitro group; or a C1-C60alkyl group, a C2-C60alkenyl group, a C2-C60alkynyl group, a C1-C60alkoxy group, a C3-C60carbocyclic group, or a C1-C60heterocyclic group, each unsubstituted or substituted with deuterium, —F, a cyano group, a C1-C60alkyl group, a C1-C60alkoxy group, a phenyl group, a biphenyl group, or a combination thereof.

[0068]

In some embodiments, R11to R14, R2, R31, R32, R41to R43, R51, R52, R61, and R62may each independently be:

    • hydrogen, deuterium, —F, —Cl, —Br, —I, a hydroxyl group, a cyano group, a nitro group, an amidino group, a hydrazine group, a hydrazone group, a C1-C20alkyl group, or a C1-C20alkoxy group;
    • a C1-C20alkyl group or a C1-C20alkoxy group, each substituted with at least one selected from deuterium, —F, —Cl, —Br, —I, —CD3, —CD2H, —CDH2, —CF3, —CF2H, —CFH2, a hydroxyl group, a cyano group, a nitro group, an amidino group, a hydrazine group, a hydrazone group, a C1-C10alkyl group, a cyclopentyl group, a cyclohexyl group, a cycloheptyl group, a cyclooctyl group, an adamantanyl group, a norbornanyl group, a norbornenyl group, a cyclopentenyl group, a cyclohexenyl group, a cycloheptenyl group, a phenyl group, a biphenyl group, a naphthyl group, a pyridinyl group, and a pyrimidinyl group;
    • a cyclopentyl group, a cyclohexyl group, a cycloheptyl group, a cyclooctyl group, an adamantanyl group, a norbornanyl group, a norbornenyl group, a cyclopentenyl group, a cyclohexenyl group, a cycloheptenyl group, a phenyl group, a biphenyl group, a C1-C10alkylphenyl group, a naphthyl group, a fluorenyl group, a phenanthrenyl group, an anthracenyl group, a fluoranthenyl group, a triphenylenyl group, a pyrenyl group, a chrysenyl group, a pyrrolyl group, a thiophenyl group, a furanyl group, an imidazolyl group, a pyrazolyl group, a thiazolyl group, an isothiazolyl group, an oxazolyl group, an isoxazolyl group, a pyridinyl group, a pyrazinyl group, a pyrimidinyl group, a pyridazinyl group, an isoindolyl group, an indolyl group, an indazolyl group, a purinyl group, a quinolinyl group, an isoquinolinyl group, a benzoquinolinyl group, a quinoxalinyl group, a quinazolinyl group, a cinnolinyl group, a carbazolyl group, a phenanthrolinyl group, a benzimidazolyl group, a benzofuranyl group, a benzothiophenyl group, an isobenzothiazolyl group, a benzoxazolyl group, an isobenzoxazolyl group, a triazolyl group, a tetrazolyl group, an oxadiazolyl group, a triazinyl group, a dibenzofuranyl group, a dibenzothiophenyl group, a benzocarbazolyl group, a dibenzocarbazolyl group, an imidazopyridinyl group, an imidazopyrimidinyl group, an azacarbazolyl group, an azadibenzofuranyl group, an azadibenzothiophenyl group, an azafluorenyl group, or an azadibenzosilolyl group, each unsubstituted or substituted with at least one selected from deuterium, —F, —Cl, —Br, —I, —CD3, —CD2H, —CDH2, —CF3, —CF2H, —CFH2, a hydroxyl group, a cyano group, a nitro group, an amidino group, a hydrazine group, a hydrazone group, a C1-C20alkyl group, a C1-C20alkoxy group, a cyclopentyl group, a cyclohexyl group, a cycloheptyl group, a cyclooctyl group, an adamantanyl group, a norbornanyl group, a norbornenyl group, a cyclopentenyl group, a cyclohexenyl group, a cycloheptenyl group, a phenyl group, a biphenyl group, a C1-C10alkylphenyl group, a naphthyl group, a fluorenyl group, a phenanthrenyl group, an anthracenyl group, a fluoranthenyl group, a triphenylenyl group, a pyrenyl group, a chrysenyl group, a pyrrolyl group, a thiophenyl group, a furanyl group, an imidazolyl group, a pyrazolyl group, a thiazolyl group, an isothiazolyl group, an oxazolyl group, an isoxazolyl group, a pyridinyl group, a pyrazinyl group, a pyrimidinyl group, a pyridazinyl group, an isoindolyl group, an indolyl group, an indazolyl group, a purinyl group, a quinolinyl group, an isoquinolinyl group, a benzoquinolinyl group, a quinoxalinyl group, a quinazolinyl group, a cinnolinyl group, a carbazolyl group, a phenanthrolinyl group, a benzimidazolyl group, a benzofuranyl group, a benzothiophenyl group, an isobenzothiazolyl group, a benzoxazolyl group, an isobenzoxazolyl group, a triazolyl group, a tetrazolyl group, an oxadiazolyl group, a triazinyl group, a dibenzofuranyl group, a dibenzothiophenyl group, a benzocarbazolyl group, a dibenzocarbazolyl group, an imidazopyridinyl group, an imidazopyrimidinyl group, —Si(Q31)(Q32)(Q33), —N(Q31)(Q32), —B(Q31)(Q32), —P(Q31)(Q32), —C(═O)(Q31), —S(═O)2(Q31), and —P(═O)(Q31)(Q32); or
    • —Si(Q1)(Q2)(Q3), —N(Q1)(Q2), —B(Q1)(Q2), —C(═O)(Q1), —S(═O)2(Q1), or —P(═O)(Q1)(Q2), and
    • Q1to Q3and Q31to Q33may each independently be:
    • —CH3, —CD3, —CD2H, —CDH2, —CH2CH3, —CH2CD3, —CH2CD2H, —CH2CDH2, —CHDCH3, —CHDCD2H, —CHDCDH2, —CHDCD3, —CD2CD3, —CD2CD2H, or —CD2CDH2; and
    • an n-propyl group, an iso-propyl group, an n-butyl group, an isobutyl group, a sec-butyl group, a tert-butyl group, an n-pentyl group, an isopentyl group, a sec-pentyl group, a tert-pentyl group, a phenyl group, a naphthyl group, a pyridinyl group, a pyrimidinyl group, a pyridazinyl group, a pyrazinyl group, or a triazinyl group, each unsubstituted or substituted with at least one selected from deuterium, a C1-C10alkyl group, a phenyl group, a biphenyl group, a pyridinyl group, a pyrimidinyl group, a pyridazinyl group, a pyrazinyl group, and a triazinyl group.

[0076]

In some embodiments, R11to R14, R2, R31, R32, R41to R43, R51, R52, R61and R62may each independently be hydrogen, deuterium, —F, —Cl, —Br, —I, a cyano group, a C1-C60alkyl group unsubstituted or substituted with at least one R10a, a C2-C60alkenyl group unsubstituted or substituted with at least one R10a, a C2-C60alkynyl group unsubstituted or substituted with at least one R10a, a C3-C60carbocyclic group unsubstituted or substituted with at least one R10a, or a C1-C60heterocyclic group unsubstituted or substituted with at least one R10a.

[0077]

In some embodiments, R11to R14, R2, R31, R32, R41to R43, R51, R52, R61, and R62may each independently be:

    • hydrogen, deuterium, —F, —Cl, —Br, —I, a cyano group, a C1-C20alkyl group;
    • a C1-C20alkyl group substituted with at least one selected from deuterium, —F, —Cl, —Br, —I, —CD3, —CD2H, —CDH2, —CF3, —CF2H, —CFH2, a cyano group, a nitro group, a C1-C10alkyl group, a cyclopentyl group, a cyclohexyl group, a cycloheptyl group, a cyclooctyl group, an adamantanyl group, a norbornanyl group, a norbornenyl group, a cyclopentenyl group, a cyclohexenyl group, a cycloheptenyl group, a phenyl group, a biphenyl group, a naphthyl group, a pyridinyl group, and a pyrimidinyl group; or
    • a phenyl group, a biphenyl group, a C1-C10alkylphenyl group, a naphthyl group, a fluorenyl group, a phenanthrenyl group, an anthracenyl group, a fluoranthenyl group, a triphenylenyl group, a pyrenyl group, a chrysenyl group, a pyrrolyl group, a thiophenyl group, a furanyl group, an imidazolyl group, a pyrazolyl group, a thiazolyl group, an isothiazolyl group, an oxazolyl group, an isoxazolyl group, a pyridinyl group, a pyrazinyl group, a pyrimidinyl group, a pyridazinyl group, an isoindolyl group, an indolyl group, an indazolyl group, a purinyl group, a quinolinyl group, an isoquinolinyl group, a benzoquinolinyl group, a quinoxalinyl group, a quinazolinyl group, a cinnolinyl group, a carbazolyl group, a phenanthrolinyl group, a benzoimidazolyl group, a benzofuranyl group, a benzothiophenyl group, a benzoisothiazolyl group, a benzoxazolyl group, an isobenzoxazolyl group, a triazolyl group, a tetrazolyl group, an oxadiazolyl group, a triazinyl group, a dibenzofuranyl group, a dibenzothiophenyl group, a benzocarbazolyl group, a dibenzocarbazolyl group, an imidazopyridinyl group, an imidazopyrimidinyl group, an azacarbazolyl group, an azadibenzofuranyl group, an azadibenzothiophenyl group, an azafluorenyl group, or azadibenzosilolyl group, each unsubstituted or substituted with deuterium, —F, —Cl, —Br, —I, —CD3, —CD2H, —CDH2, —CF3, —CF2H, —CFH2, a cyano group, a C1-C20alkyl group, a phenyl group, a biphenyl group, a C1-C10alkylphenyl group, a naphthyl group, a fluorenyl group, a phenanthrenyl group, an anthracenyl group, a fluoranthenyl group, a triphenylenyl group, a pyrenyl group, a chrysenyl group, a pyrrolyl group, a thiophenyl group, a furanyl group, an imidazolyl group, a pyrazolyl group, a thiazolyl group, an isothiazolyl group, an oxazolyl group, an isoxazolyl group, a pyridinyl group, a pyrazinyl group, a pyrimidinyl group, a pyridazinyl group, an isoindolyl group, an indolyl group, an indazolyl group, a purinyl group, a quinolinyl group, an isoquinolinyl group, a benzoquinolinyl group, a quinoxalinyl group, a quinazolinyl group, a cinnolinyl group, a carbazolyl group, a phenanthrolinyl group, a benzoimidazolyl group, a benzofuranyl group, a benzothiophenyl group, a benzoisothiazolyl group, a benzoxazolyl group, an isobenzoxazolyl group, a triazolyl group, a tetrazolyl group, an oxadiazolyl group, a triazinyl group, a dibenzofuranyl group, a dibenzothiophenyl group, a dibenzocarbazolyl group, an imidazopyridinyl group, an imidazopyrimidinyl group, —Si(Q31)(Q32)(Q33), —N(Q31)(Q32), or —B(Q31)(Q32); or
    • —Si(Q1)(Q2)(Q3), —N(Q1)(Q2), or —B(Q1)(Q2), wherein:
    • Q1to Q3and Q31to Q33may each independently be:
    • —CH3, —CD3, —CD2H, —CDH2, —CH2CH3, —CH2CD3, —CH2CD2H, —CH2CDH2, —CHDCH3, —CHDCD2H, —CHDCDH2, —CHDCD3, —CD2CD3, —CD2CD2H, or —CD2CDH2; or
    • an n-propyl group, an iso-propyl group, an n-butyl group, an isobutyl group, a sec-butyl group, a tert-butyl group, an n-pentyl group, an isopentyl group, a sec-pentyl group, a tert-pentyl group, a phenyl group, a naphthyl group, a pyridinyl group, a pyrimidinyl group, a pyridazinyl group, a pyrazinyl group, or a triazinyl group, each unsubstituted or substituted with at least one selected from deuterium, a C1-C10alkyl group, a phenyl group, a biphenyl group, a pyridinyl group, a pyrimidinyl group, a pyridazinyl group, a pyrazinyl group, and a triazinyl group.

[0085]

In some embodiments, R11to R14, R2, R31, R32, R41to R43, R51, R52, R61, and R62may each independently be:

    • a methyl group, an ethyl group, an n-propyl group, an iso-propyl group, an n-butyl group, an isobutyl group, a sec-butyl group, a tert-butyl group, an n-pentyl group, an isopentyl group, a sec-pentyl group, a tert-pentyl group, a 2-methylbutyl group, a 2-2dimethylpropyl group, a 1-ethylpropyl group, or a 1,2-dimethylpropyl group, each unsubstituted or substituted with deuterium, —F, —Cl, —Br, —I, a hydroxyl group, a cyano group, or a nitro group; or
    • a phenyl group, a biphenyl group, a naphthyl group, a phenanthrenyl group, an anthracenyl group, or a carbazolyl group, each unsubstituted or substituted with a methyl group, an ethyl group, an n-propyl group, an iso-propyl group, an n-butyl group, an isobutyl group, a sec-butyl group, a tert-butyl group, an n-pentyl group, an isopentyl group, a sec-pentyl group, a tert-pentyl group, a 2-methylbutyl group, a 2-2-dimethylpropyl group, a 1-ethylpropyl group, a 1,2-dimethylpropyl group, or a phenyl group, each unsubstituted or substituted with deuterium, —F, —Cl, —Br, —I, a hydroxyl group, a cyano group, or a nitro group.

[0088]

In some embodiments, R11to R14, R2, R31, R32, R41to R43, R51, R52, R61, and R62may each independently be:

    • hydrogen, deuterium, —F, or a cyano group;
    • a C1-C20alkyl group unsubstituted or substituted with deuterium, —F, a cyano group, a phenyl group, deuterated phenyl group, fluorinated phenyl group, a (C1-C20alkyl)phenyl group, a biphenyl group, a deuterated biphenyl group, a fluorinated biphenyl group, a (C1-C20alkyl)biphenyl group, or a combination thereof; or
    • a C3-C10cycloalkyl group, a phenyl group, a naphthyl group, a dibenzofuranyl group, or a dibenzothiophenyl group, each unsubstituted or substituted with deuterium, —F, a cyano group, a C1-C20alkyl group, a deuterated C1—C20alkyl group, a fluorinated C1-C20alkyl group, a phenyl group, a deuterated phenyl group, a fluorinated phenyl group, a (C1-C20alkyl)phenyl group, a biphenyl group, a deuterated biphenyl group, a fluorinated biphenyl group, a (C1-C20alkyl)biphenyl group, or a combination thereof.
    • a2 in Formula 1 may be an integer from 0 to 10.

[0093]

Two or more selected from among R11to R14, R2in the number of a2, R31, R32, R41to R43, R51, R52, R61, and R62in Formula 1 may each optionally be bonded together to form a C3-C60carbocyclic group unsubstituted or substituted with at least one R10aor a C1-C60heterocyclic group unsubstituted or substituted with at least one R10a,

    • R10amay be:
    • deuterium, —F, —Cl, —Br, —I, a hydroxyl group, a cyano group, or a nitro group;
    • a C1-C60alkyl group, a C2-C60alkenyl group, a C2-C60alkynyl group, or a C1-C60alkoxy group, each unsubstituted or substituted with deuterium, —F, —Cl, —Br, —I, a hydroxyl group, a cyano group, a nitro group, a C3-C60carbocyclic group, a C1-C60heterocyclic group, a C6-C60aryloxy group, a C6-C60arylthio group, a C7-C60arylalkyl group, a C2-C60heteroarylalkyl group, —Si(Q11)(Q12)(Q13), —N(Q11)(Q12), —B(Q11)(Q12), —C(═O)(Q11), —S(═O)2(Q11), —P(═O)(Q11)(Q12), or a combination thereof;
    • a C3-C60carbocyclic group, a C1-C60heterocyclic group, a C6-C60aryloxy group, a C6-C60arylthio group, a C7-C60arylalkyl group, or a C2-C60heteroarylalkyl group, each unsubstituted or substituted with deuterium, —F, —Cl, —Br, —I, a hydroxyl group, a cyano group, a nitro group, a C1-C60alkyl group, a C2-C60alkenyl group, a C2-C60alkynyl group, a C1-C60alkoxy group, a C3-C60carbocyclic group, a C1-C60heterocyclic group, a C6-C60aryloxy group, a C6-C60arylthio group, a C7-C60arylalkyl group, a C2-C60heteroarylalkyl group, —Si(Q21)(Q22)(Q23), —N(Q21)(Q22), —B(Q21)(Q22), —C(═O)(Q21), —S(═O)2(Q21), —P(═O)(Q21)(Q22), or a combination thereof; or
    • —Si(Q31)(Q32)(Q33), —N(Q31)(Q32), —B(Q31)(Q32), —C(═O)(Q31), —S(═O)2(Q31), or —P(═O)(Q31)(Q32),
    • wherein Q11to Q13, Q21to Q23, and Q31to Q33may each independently be: hydrogen; deuterium; —F; —Cl; —Br; —I; a hydroxyl group; a cyano group; a nitro group; or a C1-C60alkyl group, a C2-C60alkenyl group, a C2-C60alkynyl group, a C1-C60alkoxy group, a C3-C60carbocyclic group, or a C1-C60heterocyclic group, each unsubstituted or substituted with deuterium, —F, a cyano group, a C1-C60alkyl group, a C1-C60alkoxy group, a phenyl group, a biphenyl group, or a combination thereof.

[0100]

The organometallic compound may be represented by Formula 1A:

[0000]

    • wherein, in Formula 1A,
    • M, Y1, ring CY2, X11to X14, X31, X32, X41to X43, X5, R2, R61, R62, and a2 are each as described herein, and
    • R63and R64are each as described for R61.

[0104]

The organometallic compound may be represented by Formula 1B:

[0000]

    • wherein, in Formula 1B,
    • M, Y1, ring CY2, X11to X14, X31, X32, X41to X43, X5, R2, R61, R62, and a2 are as described herein.

[0107]

In some embodiments, a group represented by

[0000]

[0000]

in Formula 1 may be a group represented by one selected from Formulae CY1-1 to CY1-9:

[0000]

    • wherein, in Formulae CY1-1 to CY1-9,
    • X11to X14are each as described herein,
    • X15may be C(R15) or N, X16may be C(R16) or N, X17may be C(R17) or N, and X18may be C(R18) or N,
    • X19may be O, S, N(R19), C(R19a)(R19b), or Si(R19a)(R19b),
    • R15to R19, R19a, and R19bmay each be as described for R11,
    • *′ indicates a binding site to ring CY2, and
    • * indicates a binding site to M.

[0115]

In some embodiments, a group represented by

[0000]

[0000]

in Formula 1 may be a dibenzofuran group.

[0116]

In some embodiments, a group represented by

[0000]

[0000]

in Formula 1 may be a group represented by one selected from Formulae CY2-1 to CY2-3:

[0000]

    • wherein, in Formulae CY2-1 to CY2-3,
    • X21may be C(R21) or N, X22may be C(R22) or N, and X23may be C(R23) or N,
    • R21to R23may each be as described for R2,
    • *′ indicates a binding site to a carbon atom,
    • * indicates a binding site to M, and
    • *″ indicates a binding site to X5.

[0123]

In some embodiments, a group represented by

[0000]

[0000]

in Formula 1 may be a group represented by one selected from Formulae CY4-1 to CY4-6:

[0000]

    • wherein, in Formulae CY4-1 to CY4-6,
    • X41to X43are as described herein,
    • X44may be C(R44) or N, X45may be C(R45) or N, X46may be C(R46) or N, and X47may be C(R47) or N,
    • X48may be O, S, N(R48), C(R48a)(R48b), or Si(R48a)(R48b),
    • R44to R48, R48a, and R48bmay each be as described for R41,
    • *′ indicates a binding site to ring CY3,
    • * indicates a binding site to M, and
    • *″ indicates a binding site to X6.

[0132]

The organometallic compound represented by Formula 1 may be one selected from Compounds P01 to P52:

[0000]

[0133]

The ring CY2in the organometallic compound represented by Formula 1 may include an imidazole group or an imidazole group in which one or more 6-membered rings are condensed together.

[0134]

In addition, a cyclometallated group formed by M, ring CY2, X5, and ring CY3may be a 5-membered ring or a 6-membered ring.

[0135]

In addition, X6may be *—N(R61)—*′, *—B(R61)—*′, *—P(R61)—*′, *—C(R61)(R62)—*′, *—Si(R61)(R62)—*′, *—Ge(R61)(R62)—*′, *—S—*′, *—Se—*′, *—O—*′, *—C(═O)—*′, *—S(═O)—*′, *—S(═O)2—*′, *—C(═S)—*′, *—N═*′, *═N—*′, *—C(R61)=*′, *═C(R61)—*′, *—Si(R61)=*′, *═Si(R61)—*′, *—Ge(R61)=*′, or *═Ge(R61)—*′.

[0136]

As a result, the rigidity of the organometallic compound represented by Formula 1 ligand is improved, and thus, relatively excellent3MLCT characteristics may be obtained. Therefore, an electronic device (for example, an organic light-emitting device) with high efficiency and long lifespan may be implemented by using the organometallic compound.

[0137]

In some embodiments, an3MLCT value of the organometallic compound represented by Formula 1 may be equal to or greater than 16%.

[0138]

Methods of synthesizing the organometallic compound represented by Formula 1 may be easily understood to those of ordinary skill in the art by referring to Synthesis Examples and/or Examples described herein.

[0139]

At least one organometallic compound represented by Formula 1 may be utilized in a light-emitting device (for example, an organic light-emitting device). Accordingly, provided is a light-emitting device including: a first electrode; a second electrode facing the first electrode; and an interlayer arranged between the first electrode and the second electrode and including an emission layer, wherein the interlayer includes the organometallic compound represented by Formula 1.

[0140]

In some embodiments,

    • the first electrode of the light-emitting device may be an anode,
    • the second electrode of the light-emitting device may be a cathode,
    • the interlayer may further include a hole transport region between the first electrode and the emission layer and an electron transport region between the emission layer and the second electrode,
    • the hole transport region may include a hole injection layer, a hole transport layer, an emission auxiliary layer, an electron blocking layer, or a combination thereof, and
    • the electron transport region may include a hole blocking layer, an electron transport layer, an electron injection layer, an electron control layer, or a combination thereof.

[0146]

In some embodiments, the interlayer of the light-emitting device may include the organometallic compound represented by Formula 1.

[0147]

In some embodiments, the emission layer of the light-emitting device may include the organometallic compound represented by Formula 1.

[0148]

In some embodiments, the emission layer may emit red light. For example, the emission layer may emit red light having a maximum emission wavelength (e.g., a peak emission wavelength) of about 630 nm to about 700 nm, about 640 nm to about 690 nm, about 650 nm to about 680 nm, or about 660 nm to about 670 nm.

[0149]

In some embodiments, the emission layer of the light-emitting device may include a dopant and a host, and the organometallic compound represented by Formula 1 may be included in the dopant. In one or more embodiments, the organometallic compound may act as a dopant. For example, the emission layer may emit red light. The red light may have a maximum emission wavelength in a range of, for example, about 630 nm to about 700 nm.

[0150]

In some embodiments, the electron transport region of the light-emitting device may include a hole blocking layer, and the hole blocking layer may include a phosphine oxide-containing compound, a silicon-containing compound, or a combination thereof. In some embodiments, the hole blocking layer may directly contact the emission layer.

[0151]

In some embodiments, the light-emitting device may include a capping layer located outside the first electrode and/or outside the second electrode.

[0152]

In some embodiments, the light-emitting device may further include at least one selected from a first capping layer located outside the first electrode and a second capping layer located outside the second electrode, and the organometallic compound represented by Formula 1 may be included in at least one selected from the first capping layer and the second capping layer. More details for the first capping layer and/or second capping layer are as described herein.

[0153]

In some embodiments, the light-emitting device may further include:

    • a first capping layer located outside the first electrode and including the organometallic compound represented by Formula 1;
    • a second capping layer located outside the second electrode and including the organometallic compound represented by Formula 1; or
    • the first capping layer and the second capping layer.

[0157]

The wording “(interlayer and/or capping layer) includes an organometallic compound” as used herein may be understood as “(interlayer and/or capping layer) may include one kind of organometallic compound represented by Formula 1 or two different kinds of organometallic compounds, each represented by Formula 1.”

[0158]

For example, the interlayer and/or capping layer may include Compound 1 only as the organometallic compound. In this regard, Compound 1 may be present in the emission layer of the light-emitting device. In some embodiments, the interlayer may include, as the organometallic compound, Compound 1 and Compound 2. In this regard, Compound 1 and Compound 2 may be present in the same layer (for example, all of Compound 1 and Compound 2 may be present in the emission layer), or may be present in different layers (for example, Compound 1 may be present in the emission layer, and Compound 2 may be present in the electron transport region).

[0159]

The term “interlayer” as used herein refers to a single layer and/or all layers between a first electrode and a second electrode of a light-emitting device.

[0160]

Another aspect of embodiments provides an electronic apparatus including the light-emitting device. The electronic apparatus may further include a thin-film transistor. For example, the electronic apparatus may further include a thin-film transistor including a source electrode and a drain electrode, wherein the first electrode of the light-emitting device may be electrically connected to the source electrode or the drain electrode. In some embodiments, the electronic apparatus may further include a color filter, a color conversion layer, a touch screen layer, a polarizing layer, or a combination thereof. For more details of the electronic apparatus, related descriptions provided herein may be referred to.

Description of FIG. 1

[0161]

FIG. 1 is a schematic cross-sectional view of a light-emitting device 10 according to some embodiments. The light-emitting device 10 includes a first electrode 110, an interlayer 130, and a second electrode 150.

[0162]

Hereinafter, the structure of the light-emitting device 10 according to some embodiments and a method of manufacturing the light-emitting device 10 will be described with reference to FIG. 1.

First Electrode 110

[0163]

In FIG. 1, a substrate may be additionally located under the first electrode 110 and/or on the second electrode 150. As the substrate, a glass substrate and/or a plastic substrate may be used. In some embodiments, the substrate may be a flexible substrate, and may include plastics having excellent heat resistance and durability, such as polyimide, polyethylene terephthalate (PET), polycarbonate, polyethylene naphthalate, polyarylate (PAR), polyetherimide, or a combination thereof.

[0164]

The first electrode 110 may be formed by, for example, depositing and/or sputtering a material for forming the first electrode 110 on the substrate. When the first electrode 110 is an anode, a material for forming the first electrode 110 may be a high-work function material that facilitates injection of holes.

[0165]

The first electrode 110 may be a reflective electrode, a semi-transmissive electrode, or a transmissive electrode. When the first electrode 110 is a transmissive electrode, a material for forming the first electrode 110 may include indium tin oxide (ITO), indium zinc oxide (IZO), tin oxide (SnO2), zinc oxide (ZnO), or a combination thereof. In some embodiments, when the first electrode 110 is a semi-transmissive electrode or a reflective electrode, a material for forming the first electrode 110 may include magnesium (Mg), silver (Ag), aluminum (AI), aluminum-lithium (Al—Li), calcium (Ca), magnesium-indium (Mg—In), magnesium-silver (Mg—Ag), or a combination thereof.

[0166]

The first electrode 110 may have a single-layered structure consisting of a single layer or a multi-layered structure including a plurality of layers. For example, the first electrode 110 may have a three-layered structure of ITO/Ag/ITO.

Interlayer 130

[0167]

The interlayer 130 may be located on the first electrode 110. The interlayer 130 may include an emission layer.

[0168]

The interlayer 130 may further include a hole transport region located between the first electrode 110 and the emission layer, and an electron transport region located between the emission layer and the second electrode 150.

[0169]

The interlayer 130 may further include, in addition to various suitable organic materials, a metal-containing compound such as an organometallic compound, an inorganic material such as quantum dots, and/or the like.

[0170]

In some embodiments, the interlayer 130 may include, i) two or more emitting units sequentially stacked between the first electrode 110 and the second electrode 150, and ii) a charge generation layer located between the two or more emitting units. When the interlayer 130 includes emitting units and a charge generation layer as described above, the light-emitting device 10 may be a tandem light-emitting device.

Hole Transport Region in Interlayer 130

[0171]

The hole transport region may have: i) a single-layered structure consisting of a single layer consisting of a single material, ii) a single-layered structure consisting of a single layer consisting of a plurality of different materials, or iii) a multi-layered structure including a plurality of layers including different materials.

[0172]

The hole transport region may include a hole injection layer, a hole transport layer, an emission auxiliary layer, an electron blocking layer, or a combination thereof.

[0173]

For example, the hole transport region may have a multi-layered structure including a hole injection layer/hole transport layer structure, a hole injection layer/hole transport layer/emission auxiliary layer structure, a hole injection layer/emission auxiliary layer structure, a hole transport layer/emission auxiliary layer structure, or a hole injection layer/hole transport layer/electron blocking layer structure, the layers of each structure being stacked sequentially from the first electrode 110.

[0174]

The hole transport region may include a compound represented by Formula 201, a compound represented by Formula 202, or a combination thereof:

[0000]

    • wherein, in Formulae 201 and 202,
    • L201to L204may each independently be a C3-C60carbocyclic group unsubstituted or substituted with at least one R10aor a C1-C60heterocyclic group unsubstituted or substituted with at least one R10a,

[0177]

L205may be *—O—*′, *—S—*′, *—N(Q201)-*′, a C1-C20alkylene group unsubstituted or substituted with at least one R10a, a C2-C20alkenylene group unsubstituted or substituted with at least one R10a, a C3-C60carbocyclic group unsubstituted or substituted with at least one R10a, or a C1-C60heterocyclic group unsubstituted or substituted with at least one R10a,

    • xa1 to xa4 may each independently be an integer from 0 to 5,
    • xa5 may be an integer from 1 to 10,
    • R201to R204and Q201may each independently be a C3-C60carbocyclic group unsubstituted or substituted with at least one R10a, or a C1-C60heterocyclic group unsubstituted or substituted with at least one R10a,
    • R201and R202may optionally be linked to each other via a single bond, a C1-C5alkylene group unsubstituted or substituted with at least one R10a, or a C2-C5alkenylene group unsubstituted or substituted with at least one R10a, to form a C8-C60polycyclic group (for example, a carbazole group or the like) unsubstituted or substituted with at least one R10a(for example, Compound HT16),
    • R203and R204may optionally be linked to each other via a single bond, a C1-C5alkylene group unsubstituted or substituted with at least one R10a, or a C2-C5alkenylene group unsubstituted or substituted with at least one R10a, to form a C8-C60polycyclic group unsubstituted or substituted with at least one R10a, and
    • na1 may be an integer from 1 to 4.

[0184]

For example, each of Formulae 201 and 202 may include at least one selected from groups represented by Formulae CY201 to CY217:

[0000]

[0185]

In Formulae CY201 to CY217, R10band R10cmay each be as described with for R10a, ring CY201to ring CY204may each independently be a C3-C20carbocyclic group or a C1-C20heterocyclic group, and at least one hydrogen in Formulae CY201 to CY217 may be unsubstituted or substituted with R10aas described above.

[0186]

In some embodiments, ring CY201to ring CY204in Formulae CY201 to CY217 may each independently be a benzene group, a naphthalene group, a phenanthrene group, or an anthracene group.

[0187]

In some embodiments, each of Formulae 201 and 202 may include at least one selected from groups represented by Formulae CY201 to CY203.

[0188]

In some embodiments, Formula 201 may include at least one selected from the groups represented by Formulae CY201 to CY203 and at least one selected from the groups represented by Formulae CY204 to CY217.

[0189]

In some embodiments, in Formula 201, xa1 may be 1, R201may be a group represented by one selected from Formulae CY201 to CY203, xa2 may be 0, and R202may be a group represented by one selected from Formulae CY204 to CY207.

[0190]

In some embodiments, each of Formulae 201 and 202 may not include a group represented by one selected from Formulae CY201 to CY203.

[0191]

In some embodiments, each of Formulae 201 and 202 may not include a group represented by one selected from Formulae CY201 to CY203, and may include at least one selected from the groups represented by Formulae CY204 to CY217.

[0192]

In some embodiments, each of Formulae 201 and 202 may not include a group represented by one selected from Formulae CY201 to CY217.

[0193]

In some embodiments, the hole transport region may include one selected from Compounds HT1 to HT46, m-MTDATA, TDATA, 2-TNATA, NPB(NPD), β-NPB, TPD, Spiro-TPD, Spiro-NPB, methylated NPB, TAPC, HMTPD, 4,4′,4″-tris(N-carbazolyl)triphenylamine (TCTA), polyaniline/dodecylbenzenesulfonic acid (PANI/DBSA), poly(3,4-ethylenedioxythiophene)/poly(4-styrenesulfonate) (PEDOT/PSS), polyaniline/camphor sulfonic acid (PANI/CSA), polyaniline/poly(4-styrenesulfonate) (PANI/PSS), or a combination thereof:

[0000]

[0194]

A thickness of the hole transport region may be in a range of about 50 Å to about 10,000 Å, for example, about 100 Å to about 4,000 Å. When the hole transport region includes a hole injection layer, a hole transport layer, or a combination thereof, a thickness of the hole injection layer may be in a range of about 100 Å to about 9,000 Å, for example, about 100 Å to about 1,000 Å, and a thickness of the hole transport layer may be in a range of about 50 Å to about 2,000 Å, for example, about 100 Å to about 1,500 Å. When the thicknesses of the hole transport region, the hole injection layer, and the hole transport layer are within these ranges, suitable or satisfactory hole transporting characteristics may be obtained without a substantial increase in driving voltage.

[0195]

The emission auxiliary layer may increase light-emission efficiency by compensating for an optical resonance distance according to the wavelength of light emitted by an emission layer, and the electron blocking layer may block or reduce the leakage of electrons from an emission layer to a hole transport region. Materials that may be included in the hole transport region may be included in the emission auxiliary layer and the electron blocking layer.

P-Dopant

[0196]

The hole transport region may further include, in addition to these materials, a charge-generation material for the improvement of conductive properties (e.g., electrically conductive properties). The charge-generation material may be uniformly or non-uniformly dispersed in the hole transport region (for example, in the form of a single layer consisting of a charge-generation material).

[0197]

The charge-generation material may be, for example, a p-dopant.

[0198]

For example, the lowest unoccupied molecular orbital (LUMO) energy level of the p-dopant may be −3.5 eV or less.

[0199]

In some embodiments, the p-dopant may include a quinone derivative, a cyano group-containing compound, a compound including element EL1 and element EL2, or a combination thereof.

[0200]

Examples of the quinone derivative are TCNQ, F4-TCNQ, etc.

[0201]

Examples of the cyano group-containing compound are HAT-CN and a compound represented by Formula 221 below:

[0000]

In Formula 221,

[0000]

    • R221to R223may each independently be a C3-C60carbocyclic group unsubstituted or substituted with at least one R10aor a C1-C60heterocyclic group unsubstituted or substituted with at least one R10a, and
    • at least one selected from R221to R223may each independently be a C3-C60carbocyclic group or a C1-C60heterocyclic group, each substituted with a cyano group; —F; —Cl; —Br; —I; a C1-C20alkyl group substituted with a cyano group, —F, —Cl, —Br, —I, or a combination thereof; or a combination thereof.

[0204]

In the compound including element EL1 and element EL2, element EL1 may be metal, metalloid, or a combination thereof, and element EL2 may be non-metal, metalloid, or a combination thereof.

[0205]

Examples of the metal are an alkali metal (for example, lithium (Li), sodium (Na), potassium (K), rubidium (Rb), cesium (Cs), etc.); alkaline earth metal (for example, beryllium (Be), magnesium (Mg), calcium (Ca), strontium (Sr), barium (Ba), etc.); transition metal (for example, titanium (Ti), zirconium (Zr), hafnium (Hf), vanadium (V), niobium (Nb), tantalum (Ta), chromium (Cr), molybdenum (Mo), tungsten (W), manganese (Mn), technetium (Tc), rhenium (Re), iron (Fe), ruthenium (Ru), osmium (Os), cobalt (Co), rhodium (Rh), iridium (Ir), nickel (Ni), palladium (Pd), platinum (Pt), copper (Cu), silver (Ag), gold (Au), etc.); post-transition metal (for example, zinc (Zn), indium (In), tin (Sn), etc.); and lanthanide metal (for example, lanthanum (La), cerium (Ce), praseodymium (Pr), neodymium (Nd), promethium (Pm), samarium (Sm), europium (Eu), gadolinium (Gd), terbium (Tb), dysprosium (Dy), holmium (Ho), erbium (Er), thulium (Tm), ytterbium (Yb), lutetium (Lu), etc.).

[0206]

Examples of the metalloid are silicon (Si), antimony (Sb), and tellurium (Te).

[0207]

Examples of the non-metal are oxygen (O) and halogen (for example, F, Cl, Br, I, etc.).

[0208]

Examples of the compound including element EL1 and element EL2 are metal oxide, metal halide (for example, metal fluoride, metal chloride, metal bromide, and/or metal iodide), metalloid halide (for example, metalloid fluoride, metalloid chloride, metalloid bromide, and/or metalloid iodide), metal telluride, or a combination thereof.

[0209]

Examples of the metal oxide are tungsten oxide (for example, WO, W2O3, WO2, WO3, W2O5, etc.), vanadium oxide (for example, VO, V2O3, VO2, V2O5, etc.), molybdenum oxide (MoO, Mo2O3, MoO2, MoO3, Mo2O5, etc.), and rhenium oxide (for example, ReO3, etc.).

[0210]

Examples of the metal halide are alkali metal halide, alkaline earth metal halide, transition metal halide, post-transition metal halide, and lanthanide metal halide.

[0211]

Examples of the alkali metal halogen may include LiF, NaF, KF, RbF, CsF, LiCl, NaCl, KCl, RbCl, CsCl, LiBr, NaBr, KBr, RbBr, CsBr, LiI, NaI, KI, RbI, and CsI.

[0212]

Examples of the alkaline earth metal halide are BeF2, MgF2, CaF2, SrF2, BaF2, BeCl2, MgCl2, CaCl2), SrCl2, BaCl2, BeBr2, MgBr2, CaBr2, SrBr2, BaBr2, BeI2, MgI2, CaI2, SrI2, and BaI2.

[0213]

Examples of the transition metal halide are titanium halide (for example, TiF4, TiCl4, TiBr4, TiI4, etc.), zirconium halide (for example, ZrF4, ZrCl4, ZrBr4, ZrI4, etc.), hafnium halide (for example, HfF4, HfCl4, HfBr4, HfI4, etc.), vanadium halide (for example, VF3, VCl3, VBr3, VI3, etc.), niobium halide (for example, NbF3, NbCls, NbBrs, NbI3, etc.), tantalum halide (for example, TaF3, TaCl3, TaBr3, TaI3, etc.), chromium halide (for example, CrF3, CrCl3, CrBr3, CrI3, etc.), molybdenum halide (for example, MoF3, MoCl3, MoBr3, MoI3, etc.), tungsten halide (for example, WF3, WCl3, WBr3, WI3, etc.), manganese halide (for example, MnF2, MnCl2, MnBr2, MnI2, etc.), technetium halide (for example, TcF2, TcCl2, TcBr2, TcI2, etc.), rhenium halide (for example, ReF2, ReCl2, ReBr2, ReI2, etc.), iron halide (for example, FeF2, FeCl2, FeBr2, FeI2, etc.), ruthenium halide (for example, RuF2, RuCl2, RuBr2, RuI2, etc.), osmium halide (for example, OsF2, OsCl2, OsBr2, OsI2, etc.), cobalt halide (for example, CoF2, COCl2, CoBr2, CoI2, etc.), rhodium halide (for example, RhF2, RhCl2, RhBr2, RhI2, etc.), iridium halide (for example, IrF2, IrCl2, IrBr2, IrI2, etc.), nickel halide (for example, NiF2, NiCl2, NiBr2, NiI2, etc.), palladium halide (for example, PdF2, PdCl2, PdBr2, PdI2, etc.), platinum halide (for example, PtF2, PtCl2, PtBr2, PtI2, etc.), copper halide (for example, CuF, CuCl, CuBr, CuI, etc.), silver halide (for example, AgF, AgCl, AgBr, AgI, etc.), and gold halide (for example, AuF, AuCl, AuBr, AuI, etc.).

[0214]

Examples of the post-transition metal halide are zinc halide (for example, ZnF2, ZnCl2, ZnBr2, ZnI2, etc.), indium halide (for example, InI3, etc.), and tin halide (for example, SnI2, etc.).

[0215]

Examples of the lanthanide metal halide are YbF, YbF2, YbF3, SmF3, YbCl, YbCl2, YbCl3SmCl3, YbBr, YbBr2, YbBr3SmBrs, YbI, YbI2, YbI3, and SmI3.

[0216]

An example of the metalloid halide is antimony halide (for example, SbCl5, etc.).

[0217]

Examples of the metal telluride are alkali metal telluride (for example, Li2Te, Na2Te, K2Te, Rb2Te, Cs2Te, etc.), alkaline earth metal telluride (for example, BeTe, MgTe, CaTe, SrTe, BaTe, etc.), transition metal telluride (for example, TiTe2, ZrTe2, HfTe2, V2Te3, Nb2Te3, Ta2Te3, Cr2Te3, Mo2Te3, W2Te3, MnTe, TcTe, ReTe, FeTe, RuTe, OsTe, CoTe, RhTe, IrTe, NiTe, PdTe, PtTe, Cu2Te, CuTe, Ag2Te, AgTe, Au2Te, etc.), post-transition metal telluride (for example, ZnTe, etc.), and lanthanide metal telluride (for example, LaTe, CeTe, PrTe, NdTe, PmTe, EuTe, GdTe, TbTe, DyTe, HoTe, ErTe, TmTe, YbTe, LuTe, etc.).

Emission Layer in Interlayer 130

[0218]

When the light-emitting device 10 is a full-color light-emitting device, the emission layer may be patterned into a red emission layer, a green emission layer, and/or a blue emission layer, according to a sub-pixel. In some embodiments, the emission layer may have a stacked structure of two or more layers of a red emission layer, a green emission layer, and a blue emission layer, in which the two or more layers contact each other or are separated from each other to emit white light. In some embodiments, the emission layer may include two or more materials of a red light-emitting material, a green light-emitting material, and a blue light-emitting material, in which the two or more materials are mixed together with each other in a single layer to emit white light.

[0219]

The emission layer may include a host and a dopant. The dopant may include a phosphorescent dopant, a fluorescent dopant, or a combination thereof.

[0220]

The amount of the dopant in the emission layer may be from about 0.01 part by weight to about 15 parts by weight based on 100 parts by weight of the host.

[0221]

In some embodiments, the emission layer may include a quantum dot.

[0222]

In some embodiments, the emission layer may include a delayed fluorescence material. The delayed fluorescence material may act as a host or a dopant in the emission layer.

[0223]

A thickness of the emission layer may be in a range of about 100 Å to about 1,000 Å, for example, about 200 Å to about 600 Å. When the thickness of the emission layer is within these ranges, excellent light-emission characteristics may be obtained without a substantial increase in driving voltage.

Host

[0224]

In some embodiments, the host may include a compound represented by Formula 301 below:

[0000]


[Ar301]xb11-[(L301)xb1-R301]xb21  Formula 301

[0225]

In Formula 301,

    • Ar301and L301may each independently be a C3-C60carbocyclic group unsubstituted or substituted with at least one R10aor a C1-C60heterocyclic group unsubstituted or substituted with at least one R10a,
    • xb11 may be 1, 2, or 3,
    • xb1 may be an integer from 0 to 5,
    • R301may be hydrogen, deuterium, —F, —Cl, —Br, —I, a hydroxyl group, a cyano group, a nitro group, a C1-C60alkyl group unsubstituted or substituted with at least one R10a, a C2-C60alkenyl group unsubstituted or substituted with at least one R10a, a C2-C60alkynyl group unsubstituted or substituted with at least one R10a, a C1-C60alkoxy group unsubstituted or substituted with at least one R10a, a C3-C60carbocyclic group unsubstituted or substituted with at least one R10a, a C1-C60heterocyclic group unsubstituted or substituted with at least one R10a, —Si(Q301)(Q302)(Q303), —N(Q301)(Q302), —B(Q301)(Q302), —C(═O)(Q301), —S(═O)2(Q301), or —P(═O)(Q301)(Q302),
    • xb21 may be an integer from 1 to 5, and
    • Q301to Q303may each be as described for Q1.

[0232]

For example, when xb11 in Formula 301 is 2 or more, two or more of Ar301(s) may be linked to each other via a single bond.

[0233]

In some embodiments, the host may include a compound represented by Formula 301-1, a compound represented by Formula 301-2, or a combination thereof:

[0000]

[0234]

In Formulae 301-1 and 301-2,

    • ring A301to ring A304may each independently be a C3-C60carbocyclic group unsubstituted or substituted with at least one R10aor a C1-C60heterocyclic group unsubstituted or substituted with at least one R10a,
    • X301may be O, S, N-[(L304)xb4-R304], C(R304)(R305), or Si(R304)(R305),
    • xb22 and xb23 may each independently be 0, 1, or 2,
    • L301, xb1, and R301may each be as described herein,
    • L302to L304may each independently be as described for L301,
    • xb2 to xb4 may each independently be as described for xb1, and
    • R302to R305and R311to R314may each be as described for R301.

[0242]

In some embodiments, the host may include an alkali earth metal complex, a post-transition metal complex, or a combination thereof. For example, the host may include a Be complex (for example, Compound H55), an Mg complex, a Zn complex, or a combination thereof.

[0243]

In some embodiments, the host may include one selected from Compounds H1 to H128, 9,10-di(2-naphthyl)anthracene (ADN), 2-methyl-9,10-bis(naphthalen-2-yl)anthracene (MADN), 9,10-di-(2-naphthyl)-2-t-butyl-anthracene (TBADN), 4,4′-bis(N-carbazolyl)-1,1′-biphenyl (CBP), 1,3-di-9-carbazolylbenzene (mCP), 1,3,5-tri(carbazol-9-yl)benzene (TCP), or a combination thereof:

[0000]

Phosphorescent Dopant

[0244]

In some embodiments, the phosphorescent dopant may include at least one transition metal as a central metal.

[0245]

The phosphorescent dopant may include a monodentate ligand, a bidentate ligand, a tridentate ligand, a tetradentate ligand, a pentadentate ligand, a hexadentate ligand, or a combination thereof.

[0246]

The phosphorescent dopant may be electrically neutral.

[0247]

For example, the phosphorescent dopant may include an organometallic compound represented by Formula 401:

[0000]

    • wherein, in Formulae 401 and 402,
    • M may be a transition metal (for example, iridium (Ir), platinum (Pt), palladium (Pd), osmium (Os), titanium (Ti), gold (Au), hafnium (Hf), europium (Eu), terbium (Tb), rhodium (Rh), rhenium (Re), or thulium (Tm)),
    • L401may be a ligand represented by Formula 402, and xc1 may be 1, 2, or 3, wherein when xc1 is two or more, two or more of L401(s) may be identical to or different from each other,
    • L402may be an organic ligand, and xc2 may be 0, 1, 2, 3, or 4, and when xc2 is 2 or more, two or more of L402(s) may be identical to or different from each other,
    • X401and X402may each independently be nitrogen or carbon,
    • ring A401and ring A402may each independently be a C3-C60carbocyclic group or a C1-C60heterocyclic group,
    • T401may be a single bond, *—O—*′, *—S—*′, *—C(═O)—*′, *—N(Q411)-*′, *—C(Q411)(Q412)-*′, *—C(Q411)=C(Q412)-*′, *—C(Q411)=*′, or *═C(Q411)=*′,
    • X403and X404may each independently be a chemical bond (for example, a covalent bond or a coordination bond (which may also be referred to as a coordinate covalent bond or a dative bond)), O, S, N(Q413), B(Q413), P(Q413), C(Q413)(Q414), or Si(Q413)(Q414),
    • Q411to Q414may each be as described for Q1,
    • R401and R402may each independently be hydrogen, deuterium, —F, —Cl, —Br, —I, a hydroxyl group, a cyano group, a nitro group, a C1-C20alkyl group unsubstituted or substituted with at least one R10a, a C1-C20alkoxy group unsubstituted or substituted with at least one R10a, a C3-C60carbocyclic group unsubstituted or substituted with at least one R10a, a C1-C60heterocyclic group unsubstituted or substituted with at least one R10a, —Si(Q401)(Q402)(Q403), —N(Q401)(Q402), —B(Q401)(Q402), —C(═O)(Q401), —S(═O)2(Q401), or —P(═O)(Q401)(Q402),
    • Q401to Q403may each be as described for Q1,
    • xc11 and xc12 may each independently be an integer from 0 to 10, and
    • * and *′ in Formula 402 each indicates a binding site to M in Formula 401.

[0261]

For example, in Formula 402, i) X401may be nitrogen, and X402may be carbon, or ii) each of X401and X402may be nitrogen.

[0262]

In some embodiments, when xc1 in Formula 402 is 2 or more, two ring A401(s) in two or more of L401(s) may be optionally linked to each other via T402, which is a linking group, or two ring A402(s) may be optionally linked to each other via T403, which is a linking group (see Compounds PD1 to PD4 and PD7). T402and T403may each be as described for T401.

[0263]

L402in Formula 401 may be an organic ligand. For example, L402may include a halogen group, a diketone group (for example, an acetylacetonate group), a carboxylic acid group (for example, a picolinate group), —C(═O), an isonitrile group, —CN group, a phosphorus group (for example, a phosphine group, a phosphite group, etc.), or a combination thereof.

[0264]

The phosphorescent dopant may include, for example, one selected from compounds PD1 to PD39, or a combination thereof:

[0000]

Fluorescent Dopant

[0265]

The fluorescent dopant may include an amine group-containing compound, a styryl group-containing compound, or a combination thereof.

[0000]

[0266]

wherein, in Formula 501,

[0267]

Ar501, L501to L503, R501, and R502may each independently be a C3-C60carbocyclic group unsubstituted or substituted with at least one R10aor a C1-C60heterocyclic group unsubstituted or substituted with at least one R10a,

    • xd1 to xd3 may each independently be 0, 1, 2, or 3, and
    • xd4 may be 1, 2, 3, 4, 5, or 6.

[0270]

For example, Ar501in Formula 501 may be a condensed cyclic group (for example, an anthracene group, a chrysene group, or a pyrene group) in which three or more monocyclic groups are condensed together.

[0271]

In some embodiments, xd4 in Formula 501 may be 2.

[0272]

In some embodiments, the fluorescent dopant may include: one selected from Compounds FD1 to FD37; DPVBi; DPAVBi; or a combination thereof:

[0000]

Delayed Fluorescence Material

[0273]

The emission layer may include a delayed florescence material.

[0274]

In the present specification, the delayed fluorescence material may be selected from compounds capable of emitting delayed fluorescent light based on a delayed fluorescence emission mechanism.

[0275]

The delayed fluorescence material included in the emission layer may act as a host or a dopant depending on the type (or kind) of other materials included in the emission layer.

[0276]

In some embodiments, the difference between the triplet energy level (eV) of the delayed fluorescence material and the singlet energy level (eV) of the delayed fluorescence material may be greater than or equal to 0 eV and less than or equal to 0.5 eV. When the difference between the triplet energy level (eV) of the delayed fluorescence material and the singlet energy level (eV) of the delayed fluorescence material satisfies the above-described range, up-conversion from the triplet state to the singlet state of the delayed fluorescence materials may effectively occur, and thus, the luminescence efficiency of the light-emitting device 10 may be improved.

[0277]

For example, the delayed fluorescence material may include i) a material including at least one electron donor (for example, a π electron-rich C3-C60cyclic group, such as a carbazole group) and at least one electron acceptor (for example, a sulfoxide group, a cyano group, or a π electron-deficient nitrogen-containing C1-C60cyclic group), and ii) a material including a C8-C60polycyclic group in which two or more cyclic groups are condensed together while sharing boron (B).

[0278]

Examples of the delayed fluorescence material may include at least one selected from Compounds DF1 to DF14:

[0000]

Quantum Dot

[0279]

The emission layer may include a quantum dot.

[0280]

The term “quantum dots” as used herein refers to crystals of a semiconductor compound, and may include any suitable material capable of emitting light of various suitable emission wavelengths according to the size of the crystals.

[0281]

A diameter of the quantum dot may be, for example, in a range of about 1 nm to about 10 nm.

[0282]

The quantum dot may be synthesized by a wet chemical process, a metal organic chemical vapor deposition process, a molecular beam epitaxy process, and/or any suitable process similar thereto.

[0283]

The wet chemical process is a method including mixing a precursor material together with an organic solvent and then growing a quantum dot particle crystal. When the crystal grows, the organic solvent naturally acts as a dispersant coordinated on the surface of the quantum dot crystal and controls the growth of the crystal so that the growth of quantum dot particles can be controlled through a process which costs lower, and is easier than vapor deposition methods, such as metal organic chemical vapor deposition (MOCVD) or molecular beam epitaxy (MBE),

[0284]

The quantum dot may include Group II-VI semiconductor compounds, Group III-V semiconductor compounds, Group III-VI semiconductor compounds, Group I-III-VI semiconductor compounds, Group IV-VI semiconductor compounds, a Group IV element or compound, or a combination thereof.

[0285]

Examples of the Group II-VI semiconductor compound are a binary compound, such as CdS, CdSe, CdTe, ZnS, ZnSe, ZnTe, ZnO, HgS, HgSe, HgTe, MgSe, and/or MgS; a ternary compound, such as CdSeS, CdSeTe, CdSTe, ZnSeS, ZnSeTe, ZnSTe, HgSeS, HgSeTe, HgSTe, CdZnS, CdZnSe, CdZnTe, CdHgS, CdHgSe, CdHgTe, HgZnS, HgZnSe, HgZnTe, MgZnSe, and/or MgZnS; a quaternary compound, such as CdZnSeS, CdZnSeTe, CdZnSTe, CdHgSeS, CdHgSeTe, CdHgSTe, HgZnSeS, HgZnSeTe, and/or HgZnSTe; or a combination thereof.

[0286]

Examples of the Group III-V semiconductor compound may include: a binary compound, such as GaN, GaP, GaAs, GaSb, AlN, AlP, AlAs, AlSb, InN, InP, InAs, and/or InSb; a ternary compound, such as GaNP, GaNAs, GaNSb, GaPAs, GaPSb, AlNP, AlNAs, AlNSb, AlPAs, AlPSb, InGaP, InNP, InAlP, InNAs, InNSb, InPAs, and/or InPSb; a quaternary compound, such as GaAlNP, GaAlNAs, GaAlNSb, GaAlPAs, GaAlPSb, GaInNP, GaInNAs, GaInNSb, GaInPAs, GaInPSb, InAlNP, InAlNAs, InAlNSb, InAlPAs, and/or InAlPSb; or a combination thereof. In some embodiments, the Group III-V semiconductor compound may further include a Group II element. Examples of the Group III-V semiconductor compound further including a Group II element are InZnP, InGaZnP, InAlZnP, etc.

[0287]

Examples of the Group III-VI semiconductor compound are: a binary compound, such as GaS, GaSe, Ga2Se3, GaTe, InS, InSe, In2S3, In2Se3, and/or InTe; a ternary compound, such as InGaS3, and/or InGaSe3; and a combination thereof.

[0288]

Examples of the Group I-III-VI semiconductor compound are: a ternary compound, such as AgInS, AgInS2, CuInS, CulnS2, CuGaO2, AgGaO2, and/or AgAlO2; or a combination thereof.

[0289]

Examples of the Group IV-VI semiconductor compound are: a binary compound, such as SnS, SnSe, SnTe, PbS, PbSe, and/or PbTe; a ternary compound, such as SnSeS, SnSeTe, SnSTe, PbSeS, PbSeTe, PbSTe, SnPbS, SnPbSe, and/or SnPbTe; a quaternary compound, such as SnPbSSe, SnPbSeTe, and/or SnPbSTe; or a combination thereof.

[0290]

The Group IV element or compound may include: a single element compound, such as Si or Ge; a binary compound, such as SiC and/or SiGe; or a combination thereof.

[0291]

Each element included in a multi-element compound such as the binary compound, the ternary compound, and the quaternary compound may be present at a uniform concentration or non-uniform concentration in a particle.

[0292]

In some embodiments, the quantum dot may have a single structure in which the concentration of each element in the quantum dot is uniform (e.g., substantially uniform), or a core-shell dual structure. For example, the material included in the core and the material included in the shell may be different from each other.

[0293]

The shell of the quantum dot may act as a protective layer that prevents or reduces chemical degeneration of the core to maintain semiconductor characteristics, and/or as a charging layer that imparts electrophoretic characteristics to the quantum dot. The shell may be a single layer or a multi-layer. The interface between the core and the shell may have a concentration gradient in which the concentration of an element existing in the shell decreases along a direction toward the center of the core.

[0294]

Examples of the shell of the quantum dot may be an oxide of metal, metalloid, and/or non-metal, a semiconductor compound, and a combination thereof. Examples of the oxide of metal, metalloid, and/or non-metal are a binary compound, such as SiO2, Al2O3, TiO2, ZnO, MnO, Mn2O3, Mn3O4, CuO, FeO, Fe2O3, Fe3O4, CoO, Co3O4, and/or NiO; a ternary compound, such as MgAl2O4, CoFe2O4, NiFe2O4, and/or CoMn2O4; and a combination thereof. Examples of the semiconductor compound are, as described herein, a Group II-VI semiconductor compound; a Group III-V semiconductor compound; a Group III-VI semiconductor compound; a Group I-III-VI semiconductor compound; a Group IV-VI semiconductor compound; and a combination thereof. For example, the semiconductor compound may include CdS, CdSe, CdTe, ZnS, ZnSe, ZnTe, ZnSeS, ZnTeS, GaAs, GaP, GaSb, HgS, HgSe, HgTe, InAs, InP, InGaP, InSb, AlAs, AlP, AlSb, or a combination thereof.

[0295]

A full width at half maximum (FWHM) of the emission wavelength spectrum of the quantum dot may be about 45 nm or less, for example, about 40 nm or less, for example, about 30 nm or less, and within these ranges, color purity and/or color reproducibility may be increased. In addition, because the light emitted through the quantum dot is emitted in all (e.g., substantially all) directions, the wide viewing angle may be improved.

[0296]

In addition, the quantum dot may be in the form of a spherical particle, a pyramidal particle, a multi-arm particle, a cubic nanoparticle, a nanotube particle, a nanowire particle, a nanofiber particle, and/or a nanoplate particle.

[0297]

Because the energy band gap may be adjusted by controlling the size of the quantum dot, light having various suitable wavelength bands may be obtained from the quantum dot emission layer. Accordingly, by using quantum dots of different sizes, a light-emitting device that emits light of various suitable wavelengths may be implemented. In some embodiments, the size of the quantum dot may be selected to emit red, green and/or blue light. In addition, the size of the quantum dot may be configured to emit white light by combination of light of various suitable colors.

Electron Transport Region in Interlayer 130

[0298]

The electron transport region may have: i) a single-layered structure consisting of a single layer consisting of a single material, ii) a single-layered structure consisting of a single layer consisting of a plurality of different materials, or iii) a multi-layered structure including a plurality of layers including different materials.

[0299]

The electron transporting region may include a buffer layer, a hole blocking layer, an electron control layer, an electron transporting layer, an electron injection layer, or a combination thereof.

[0300]

For example, the electron transport region may have an electron transport layer/electron injection layer structure, a hole blocking layer/electron transport layer/electron injection layer structure, an electron control layer/electron transport layer/electron injection layer structure, or a buffer layer/electron transport layer/electron injection layer structure, the constituting layers of each structure being sequentially stacked from an emission layer.

[0301]

In some embodiments, the electron transport region (for example, the buffer layer, the hole blocking layer, the electron control layer, or the electron transport layer in the electron transport region) may include a metal-free compound including at least one π electron-deficient nitrogen-containing C1-C60cyclic group.

[0302]

For example, the electron transport region may include a compound represented by Formula 601 below:

[0000]


[Ar601]xe11-[(L601)xe1-R601]xe21  Formula 601

    • wherein, in Formula 601,
    • Ar601and L601may each independently be a C3-C60carbocyclic group unsubstituted or substituted with at least one R10aor a C1-C60heterocyclic group unsubstituted or substituted with at least one R10a,
    • xe11 may be 1, 2, or 3,
    • xe1 may be 0, 1, 2, 3, 4, or 5,
    • R601may be a C3-C60carbocyclic group unsubstituted or substituted with at least one R10a, a C1-C60heterocyclic group unsubstituted or substituted with at least one R10a, —Si(Q601)(Q602)(Q603), —C(═O)(Q601), —S(═O)2(Q601), or —P(═O)(Q601)(Q602),
    • Q601to Q603may each be as described for Q1,
    • xe21 may be 1, 2, 3, 4, or 5,
    • at least one selected from Ar601, L601, and R601may each independently be a π electron-deficient nitrogen-containing C1-C60cyclic group unsubstituted or substituted with at least one R10a.

[0311]

For example, when xe11 in Formula 601 is 2 or more, two or more of Ar601(s) may be linked to each other via a single bond.

[0312]

In some embodiments, Ar601in Formula 601 may be a substituted or unsubstituted anthracene group.

[0313]

In some embodiments, the electron transport region may include a compound represented by Formula 601-1:

[0000]

    • wherein, in Formula 601-1,
    • X614may be N or C(R614), X615may be N or C(R615), X616may be N or C(R616), and at least one selected from X614to X616may be N,
    • L611to L613may each be as described for L601,
    • xe611 to xe613 may each be as described for xe1,
    • R611to R613may each be as described for R601, and
    • R614to R616may each independently be hydrogen, deuterium, —F, —Cl, —Br, —I, a hydroxyl group, a cyano group, a nitro group, a C1-C20alkyl group, a C1-C20alkoxy group, a C3-C60carbocyclic group unsubstituted or substituted with at least one R10a, or a C1-C60heterocyclic group unsubstituted or substituted with at least one R10a.

[0320]

For example, xe1 and xe611 to xe613 in Formulae 601 and 601-1 may each independently be 0, 1, or 2.

[0321]

The electron transport region may include one selected from Compounds ET1 to ET45, 2,9-dimethyl-4,7-diphenyl-1,10-phenanthroline (BCP), 4,7-diphenyl-1,10-phenanthroline (Bphen), Alq3, Balq, TAZ, NTAZ, or a combination thereof:

[0000]

[0322]

A thickness of the electron transport region may be from about 100 Å to about 5,000 Å, for example, about 160 Å to about 4,000 Å. When the electron transport region includes a buffer layer, a hole blocking layer, an electron control layer, an electron transport layer, or a combination thereof, the thickness of the buffer layer, the hole blocking layer, or the electron control layer may each independently be from about 20 Å to about 1,000 Å, for example, about 30 Å to about 300 Å, and the thickness of the electron transport layer may be from about 100 Å to about 1,000 Å, for example, about 150 Å to about 500 Å. When the thickness of the buffer layer, the hole blocking layer, the electron control layer, the electron transport layer, and/or the electron transport region are within these ranges, suitable or satisfactory electron transporting characteristics may be obtained without a substantial increase in driving voltage.

[0323]

The electron transport region (for example, the electron transport layer in the electron transport region) may further include, in addition to the materials described above, a metal-containing material.

[0324]

The metal-containing material may include an alkali metal complex, an alkaline earth metal complex, or a combination thereof. The metal ion of an alkali metal complex may be a Li ion, a Na ion, a K ion, a Rb ion, and/or a Cs ion, and the metal ion of an alkaline earth metal complex may be a Be ion, a Mg ion, a Ca ion, a Sr ion, and/or a Ba ion. A ligand coordinated with the metal ion of the alkali metal complex or the alkaline earth-metal complex may include a hydroxyquinoline, a hydroxyisoquinoline, a hydroxybenzoquinoline, a hydroxyacridine, a hydroxyphenanthridine, a hydroxyphenyloxazole, a hydroxyphenylthiazole, a hydroxyphenyloxadiazole, a hydroxyphenylthiadiazole, a hydroxyphenylpyridine, a hydroxyphenylbenzimidazole, a hydroxyphenylbenzothiazole, a bipyridine, a phenanthroline, a cyclopentadiene, or a combination thereof.

[0325]

For example, the metal-containing material may include a Li complex. The Li complex may include, for example, Compound ET-D1 (LiQ) and/or ET-D2:

[0000]

[0326]

The electron transport region may include an electron injection layer that facilitates the injection of electrons from the second electrode 150. The electron injection layer may directly contact the second electrode 150.

[0327]

The electron injection layer may have: i) a single-layered structure consisting of a single layer consisting of a single material, ii) a single-layered structure consisting of a single layer consisting of a plurality of different materials, or iii) a multi-layered structure including a plurality of layers including different materials.

[0328]

The electron injection layer may include an alkali metal, alkaline earth metal, a rare earth metal, an alkali metal-containing compound, alkaline earth metal-containing compound, a rare earth metal-containing compound, an alkali metal complex, an alkaline earth metal complex, a rare earth metal complex, or a combination thereof.

[0329]

The alkali metal may include Li, Na, K, Rb, Cs, or a combination thereof. The alkaline earth metal may include Mg, Ca, Sr, Ba, or a combination thereof. The rare earth metal may include Sc, Y, Ce, Tb, Yb, Gd, or a combination thereof.

[0330]

The alkali metal-containing compound, the alkaline earth metal-containing compound, and the rare earth metal-containing compound may be oxides, halides (for example, fluorides, chlorides, bromides, and/or iodides), and/or tellurides of the alkali metal, the alkaline earth metal, and the rare earth metal, or a combination thereof.

[0331]

The alkali metal-containing compound may include: alkali metal oxides, such as Li2O, Cs2, and/or K2O; alkali metal halides, such as LiF, NaF, CsF, KF, LiI, NaI, CsI, and/or KI; or a combination thereof. The alkaline earth metal-containing compound may include an alkaline earth metal compound, such as BaO, SrO, CaO, BaxSr1-xO (wherein x is a real number satisfying the condition of 0<x<1), BaxCa1-xO (wherein x is a real number satisfying the condition of 0<x<1), and/or the like. The rare earth metal-containing compound may include YbF3, ScF3, Sc2O3, Y2O3, Ce2O3, GdF3, TbF3, YbI3, ScI3, TbI3, or a combination thereof. In some embodiments, the rare earth metal-containing compound may include lanthanide metal telluride. Examples of the lanthanide metal telluride are LaTe, CeTe, PrTe, NdTe, PmTe, SmTe, EuTe, GdTe, TbTe, DyTe, HoTe, ErTe, TmTe, YbTe, LuTe, La2Te3, Ce2Te3, Pr2Te3, Nd2Te3, Pm2Te3, Sm2Te3, Eu2Te3, Gd2Te3, Tb2Te3, Dy2Te3, Ho2Te3, Er2Te3, Tm2Te3, Yb2Te3, and Lu2Te3.

[0332]

The alkali metal complex, the alkaline earth-metal complex, and the rare earth metal complex may include i) one selected from ions of the alkali metal, the alkaline earth metal, and the rare earth metal and ii), as a ligand bonded to the metal ion, for example, a hydroxyquinoline, a hydroxyisoquinoline, a hydroxybenzoquinoline, a hydroxyacridine, a hydroxyphenanthridine, a hydroxyphenyloxazole, a hydroxyphenylthiazole, a hydroxyphenyloxadiazole, a hydroxyphenylthiadiazole, a hydroxyphenylpyridine, a hydroxyphenyl benzimidazole, a hydroxyphenylbenzothiazole, bipyridine, a phenanthroline, a cyclopentadiene, or a combination thereof.

[0333]

The electron injection layer may consist of an alkali metal, an alkaline earth metal, a rare earth metal, an alkali metal-containing compound, an alkaline earth metal-containing compound, a rare earth metal-containing compound, an alkali metal complex, an alkaline earth metal complex, a rare earth metal complex, or a combination thereof, as described above. In some embodiments, the electron injection layer may further include an organic material (for example, a compound represented by Formula 601).

[0334]

In some embodiments, the electron injection layer may consist of: i) an alkali metal-containing compound (for example, an alkali metal halide); or ii) a) an alkali metal-containing compound (for example, an alkali metal halide), and b) an alkali metal, an alkaline earth metal, a rare earth metal, or a combination thereof. For example, the electron injection layer may be a KI:Yb co-deposited layer, an RbI:Yb co-deposited layer, a LiF:Yb co-deposited layer, and/or the like.

[0335]

When the electron injection layer further includes an organic material, an alkali metal, an alkaline earth metal, a rare earth metal, an alkali metal-containing compound, an alkaline earth metal-containing compound, a rare earth metal-containing compound, an alkali metal complex, an alkaline earth-metal complex, a rare earth metal complex, or a combination thereof may be uniformly or non-uniformly dispersed in a matrix including the organic material.

[0336]

A thickness of the electron injection layer may be in a range of about 1 Å to about 100 Å, and, for example, about 3 Å to about 90 Å. When the thickness of the electron injection layer is within the ranges described above, suitable or satisfactory electron injection characteristics may be obtained without a substantial increase in driving voltage.

Second Electrode 150

[0337]

The second electrode 150 may be located on the interlayer 130 having a structure as described above. The second electrode 150 may be a cathode, which is an electron injection electrode, and as the material for the second electrode 150, a metal, an alloy, an electrically conductive compound, or a combination thereof, each having a low-work function, may be used.

[0338]

The second electrode 150 may include lithium (Li), silver (Ag), magnesium (Mg), aluminum (Al), aluminum-lithium (Al—Li), calcium (Ca), magnesium-indium (Mg—In), magnesium-silver (Mg—Ag), ytterbium (Yb), silver-ytterbium (Ag—Yb), ITO, IZO, or a combination thereof. The second electrode 150 may be a transmissive electrode, a semi-transmissive electrode, or a reflective electrode.

[0339]

The second electrode 150 may have a single-layered structure or a multi-layered structure including a plurality of layers.

Capping Layer

[0340]

A first capping layer may be located outside the first electrode 110, and/or a second capping layer may be located outside the second electrode 150. In some embodiments, the light-emitting device 10 may have a structure in which the first capping layer, the first electrode 110, the interlayer 130, and the second electrode 150 are sequentially stacked in the stated order, a structure in which the first electrode 110, the interlayer 130, the second electrode 150, and the second capping layer are sequentially stacked in the stated order, or a structure in which the first capping layer, the first electrode 110, the interlayer 130, the second electrode 150, and the second capping layer are sequentially stacked in the stated order.

[0341]

Light generated in an emission layer of the interlayer 130 of the light-emitting device 10 may be extracted toward the outside through the first electrode 110 which is a semi-transmissive electrode or a transmissive electrode, and the first capping layer. Light generated in an emission layer of the interlayer 130 of the light-emitting device 10 may be extracted toward the outside through the second electrode 150 which is a semi-transmissive electrode or a transmissive electrode, and the second capping layer.

[0342]

The first capping layer and the second capping layer may increase external emission efficiency according to the principle of constructive interference. Accordingly, the light extraction efficiency of the light-emitting device 10 is increased, so that the luminescence efficiency of the light-emitting device 10 may be improved.

[0343]

Each of the first capping layer and the second capping layer may include a material having a refractive index of 1.6 or more (at a wavelength of 589 nm).

[0344]

The first capping layer and the second capping layer may each independently be an organic capping layer including an organic material, an inorganic capping layer including an inorganic material, or an organic-inorganic composite capping layer including an organic material and an inorganic material.

[0345]

At least one selected from the first capping layer and the second capping layer may each independently include carbocyclic compounds, heterocyclic compounds, amine group-containing compounds, porphine derivatives, phthalocyanine derivatives, naphthalocyanine derivatives, alkali metal complexes, alkaline earth metal complexes, or a combination thereof. Optionally, the carbocyclic compound, the heterocyclic compound, and the amine group-containing compound may be substituted with a substituent including O, N, S, Se, Si, F, Cl, Br, I, or a combination thereof. In some embodiments, at least one selected from the first capping layer and the second capping layer may each independently include an amine group-containing compound.

[0346]

For example, at least one selected from the first capping layer and the second capping layer may each independently include a compound represented by Formula 201, a compound represented by Formula 202, or a combination thereof.

[0347]

In some embodiments, at least one selected from the first capping layer and the second capping layer may each independently include one selected from Compounds HT28 to HT33, one selected from Compounds CP1 to CP6, β-NPB, or a combination thereof:

[0000]

Film

[0348]

The condensed cyclic compound represented by Formula 1 may be included in various suitable films. Accordingly, another aspect of embodiments provides a film including the condensed cyclic compound represented by Formula 1. The film may be, for example, an optical member (and/or a light control means) (for example, a color filter, a color conversion member, a capping layer, a light extraction efficiency enhancement layer, a selective light absorbing layer, a polarizing layer, a quantum dot-containing layer, and/or the like), a light-blocking member (for example, a light reflective layer, a light absorbing layer, and/or the like), and/or a protective member (for example, an insulating layer, a dielectric layer, and/or the like).

Electronic Apparatus

[0349]

The light-emitting device may be included in various suitable electronic apparatuses. For example, the electronic apparatus including the light-emitting device may be a light-emitting apparatus, an authentication apparatus, and/or the like.

[0350]

The electronic apparatus (for example, a light-emitting apparatus) may further include, in addition to the light-emitting device, i) a color filter, ii) a color conversion layer, or iii) a color filter and a color conversion layer. The color filter and/or the color conversion layer may be located in at least one direction in which light emitted from the light-emitting device travels. For example, the light emitted from the light-emitting device may be blue light or white light. For more details of the light-emitting device, related description provided above may be referred to. In some embodiments, the color conversion layer may include a quantum dot. The quantum dot may be, for example, a quantum dot as described herein.

[0351]

The electronic apparatus may include a first substrate. The first substrate may include a plurality of subpixel areas, the color filter may include a plurality of color filter areas respectively corresponding to the subpixel areas, and the color conversion layer may include a plurality of color conversion areas respectively corresponding to the subpixel areas.

[0352]

A pixel defining film may be located among the subpixel areas to define each of the subpixel areas.

[0353]

The color filter may further include a plurality of color filter areas and light-shielding patterns located among the color filter areas, and the color conversion layer may further include a plurality of color conversion areas and light-shielding patterns located among the color conversion areas.

[0354]

The plurality of color filter areas (or the plurality of color conversion areas) may include a first area that emits a first color light, a second area that emits a second color light, and/or a third area that emits a third color light, wherein the first color light, the second color light, and/or the third color light may have different maximum emission wavelengths from one another. For example, the first color light may be red light, the second color light may be green light, and the third color light may be blue light. For example, the plurality of color filter areas (or the plurality of color conversion areas) may include quantum dots. In some embodiments, the first area may include a red quantum dot, the second area may include a green quantum dot, and the third area may not include a quantum dot. For more details of the quantum dot, related descriptions provided herein may be referred to. The first area, the second area, and/or the third area may each include a scatterer (e.g., a light scatterer).

[0355]

For example, the light-emitting device may emit a first light, the first area may absorb the first light to emit a first-first color light, the second area may absorb the first light to emit a second-first color light, and the third area may absorb the first light to emit a third-first color light. In this regard, the first-first color light, the second-first color light, and the third-first color light may have different maximum emission wavelengths. In some embodiments, the first light may be blue light, the first-first color light may be red light, the second-first color light may be green light, and the third-first color light may be blue light.

[0356]

The electronic apparatus may further include a thin-film transistor, in addition to the light-emitting device as described above. The thin-film transistor may include a source electrode, a drain electrode, and an activation layer, wherein any one selected from the source electrode and the drain electrode may be electrically connected to any one suitable the first electrode and the second electrode of the light-emitting device.

[0357]

The thin-film transistor may further include a gate electrode, a gate insulating film, and/or the like.

[0358]

The activation layer may include crystalline silicon, amorphous silicon, an organic semiconductor, an oxide semiconductor, or the like.

[0359]

The electronic apparatus may further include a sealing portion for sealing the light-emitting device. The sealing portion may be located between the color filter and/or the color conversion layer and the light-emitting device. The sealing portion allows light from the light-emitting device to be extracted to the outside, and concurrently (e.g., simultaneously) prevents or reduces ambient air and moisture from penetrating into the light-emitting device. The sealing portion may be a sealing substrate including a transparent glass substrate and/or a plastic substrate. The sealing portion may be a thin-film encapsulation layer including at least one layer of an organic layer and/or an inorganic layer. When the sealing portion is a thin film encapsulation layer, the electronic apparatus may be flexible.

[0360]

Various suitable functional layers may be additionally located on the sealing portion, in addition to the color filter and/or the color conversion layer, according to the use of the electronic apparatus. Examples of the functional layers may include a touch screen layer, a polarizing layer, and the like. The touch screen layer may be a pressure-sensitive touch screen layer, a capacitive touch screen layer, and/or an infrared touch screen layer. The authentication apparatus may be, for example, a biometric authentication apparatus that authenticates an individual by using biometric information of a living body (for example, fingertips, pupils, etc.).

[0361]

The authentication apparatus may further include, in addition to the light-emitting device as described above, a biometric information collector.

[0362]

The electronic apparatus may be applied to various suitable displays, light sources, lighting, personal computers (for example, a mobile personal computer), mobile phones, digital cameras, electronic organizers, electronic dictionaries, electronic game machines, medical instruments (for example, electronic thermometers, sphygmomanometers, blood glucose meters, pulse measurement devices, pulse wave measurement devices, electrocardiogram displays, ultrasonic diagnostic devices, and/or endoscope displays), fish finders, various suitable measuring instruments, meters (for example, meters for a vehicle, an aircraft, and a vessel), projectors, and/or the like.

Description of FIGS. 2 and 3

[0363]

FIG. 2 is a cross-sectional view showing a light-emitting apparatus according to some embodiments.

[0364]

The light-emitting apparatus of FIG. 2 includes a substrate 100, a thin-film transistor (TFT), a light-emitting device, and an encapsulation portion 300 that seals the light-emitting device.

[0365]

The substrate 100 may be a flexible substrate, a glass substrate, and/or a metal substrate. A buffer layer 210 may be located on the substrate 100. The buffer layer 210 may prevent or reduce penetration of impurities through the substrate 100 and may provide a flat surface on the substrate 100.

[0366]

A TFT may be located on the buffer layer 210. The TFT may include an activation layer 220, a gate electrode 240, a source electrode 260, and a drain electrode 270.

[0367]

The activation layer 220 may include an inorganic semiconductor such as silicon or polysilicon, an organic semiconductor, or an oxide semiconductor, and may include a source region, a drain region, and a channel region.

[0368]

A gate insulating film 230 for insulating the activation layer 220 from the gate electrode 240 may be located on the activation layer 220, and the gate electrode 240 may be located on the gate insulating film 230.

[0369]

An interlayer insulating film 250 may be located on the gate electrode 240. The interlayer insulating film 250 may be located between the gate electrode 240 and the source electrode 260 and between the gate electrode 240 and the drain electrode 270, to insulate from one another.

[0370]

The source electrode 260 and the drain electrode 270 may be located on the interlayer insulating film 250. The interlayer insulating film 250 and the gate insulating film 230 may expose the source region and the drain region of the activation layer 220, and the source electrode 260 and the drain electrode 270 may be located in contact with the exposed portions of the source region and the drain region of the activation layer 220.

[0371]

The TFT is electrically connected to a light-emitting device to drive the light-emitting device, and is covered and protected by a passivation layer 280. The passivation layer 280 may include an inorganic insulating film, an organic insulating film, or a combination thereof. A light-emitting device is provided on the passivation layer 280. The light-emitting device may include a first electrode 110, an interlayer 130, and a second electrode 150.

[0372]

The first electrode 110 may be located on the passivation layer 280. The passivation layer 280 may expose a portion of the drain electrode 270, not fully covering the drain electrode 270, and the first electrode 110 may be connected to the exposed portion of the drain electrode 270.

[0373]

A pixel defining layer 290 including an insulating material may be located on the first electrode 110. The pixel defining layer 290 may expose a certain region of the first electrode 110, and an interlayer 130 may be formed in the exposed region of the first electrode 110. The pixel defining layer 290 may be a polyimide and/or polyacrylic organic film. In some embodiments, at least some layers of the interlayer 130 may extend beyond the upper portion of the pixel defining layer 290 to be located in the form of a common layer.

[0374]

The second electrode 150 may be located on the interlayer 130, and a capping layer 170 may be additionally formed on the second electrode 150. The capping layer 170 may cover the second electrode 150.

[0375]

The encapsulation portion 300 may be located on the capping layer 170. The encapsulation portion 300 may be located on a light-emitting device to protect the light-emitting device from moisture and/or oxygen. The encapsulation portion 300 may include: an inorganic film including silicon nitride (SiNx), silicon oxide (SiOx), ITO, IZO, or a combination thereof; an organic film including polyethylene terephthalate, polyethylene naphthalate, polycarbonate, polyimide, polyethylene sulfonate, polyoxymethylene, polyarylate, hexamethyldisiloxane, an acrylic resin (for example, polymethyl methacrylate, polyacrylic acid, and/or the like), an epoxy-based resin (for example, aliphatic glycidyl ether (AGE), and/or the like), or a combination thereof; or any combination of the inorganic films and the organic films.

[0376]

FIG. 3 shows a cross-sectional view showing a light-emitting apparatus according to some embodiments.

[0377]

The light-emitting apparatus of FIG. 3 is the same as the light-emitting apparatus of FIG. 2, except that a light-shielding pattern 500 and a functional region 400 are additionally located on the encapsulation portion 300. The functional region 400 may be i) a color filter area, ii) a color conversion area, or iii) a combination of the color filter area and the color conversion area. In some embodiments, the light-emitting device included in the light-emitting apparatus of FIG. 3 may be a tandem light-emitting device.

Description of FIG. 4

[0378]

FIG. 4 is a schematic perspective view of electronic device 1 including a light-emitting device according to some embodiments. The electronic equipment 1 may be, as a device apparatus, that displays a moving image and/or still image, a portable electronic equipment, such as a mobile phone, a smart phone, a tablet personal computer (PC), a mobile communication terminal, an electronic notebook, an electronic book, a portable multimedia player (PMP), a navigation, and/or an ultra-mobile PC (UMPC) as well as various suitable products, such as a television, a laptop, a monitor, a billboards and/or an Internet of things (IOT) device. The electronic equipment 1 may be such a product above or a part thereof. In addition, the electronic equipment 1 may be a wearable device, such as a smart watch, a watch phone, a glasses-type display, and/or a head mounted display (HMD), or a part of the wearable device. However, embodiments are not limited thereto. For example, the electronic apparatus 1 may be a center information display (CID) on an instrument panel and/or a center fascia and/or dashboard of a vehicle, a room mirror display instead of a side mirror of a vehicle, an entertainment display for the rear seat of a car or a display placed on the back of the front seat, head up display (HUD) installed in front of a vehicle and/or projected on a front window glass, and/or a computer generated hologram augmented reality head up display (CGH AR HUD). FIG. 4 illustrates a case in which the electronic equipment 1 is a smartphone for convenience of explanation.

[0379]

The electronic equipment 1 may include a display area DA and a non-display area NDA outside the display area DA. A display device may implement an image through an array of a plurality of pixels that are two-dimensionally arranged in the display area DA.

[0380]

The non-display area NDA is an area that does not display an image, and may entirely surround the display area DA. On the non-display area NDA, a driver for providing electrical signals and/or power to display devices arranged on the display area DA may be arranged. On the non-display area NDA, a pad, which is an area to which an electronic element or a printing circuit board may be electrically connected, may be arranged.

[0381]

In the electronic equipment 1, a length in the x-axis direction and a length in the y-axis direction may be different from each other. For example, as shown in FIG. 4, the length in the x-axis direction may be shorter than the length in the y-axis direction. In some embodiments, the length in the x-axis direction may be the same as the length in the y-axis direction. In some embodiments, the length in the x-axis direction may be longer than the length in the y-axis direction.

Description of FIGS. 5 and 6A to 6C

[0382]

FIG. 5 is a schematic view of the exterior of a vehicle 1000 as an electronic device including the light-emitting device according to some embodiments. FIGS. 6A to 6C are each a schematic view illustrating the interior of the vehicle 1000 according to various embodiments.

[0383]

Referring to FIGS. 5, 6A, 6B, and 6C, the vehicle 1000 may refer to various suitable apparatuses for moving a subject object to be transported, such as a human, an object, and/or an animal, from a departure point to a destination. The vehicle 1000 may include a vehicle traveling on a road and/or track, a vessel moving over a sea and/or river, an airplane flying in the sky using the action of air, and/or the like.

[0384]

The vehicle 1000 may travel on a road and/or a track. The vehicle 1000 may move in a set or predetermined direction according to the rotation of at least one wheel. For example, the vehicle 1000 may include a three-wheeled or four-wheeled vehicle, a construction machine, a two-wheeled vehicle, a prime mover device, a bicycle, and/or a train running on a track.

[0385]

The vehicle 1000 may include a body having an interior and an exterior, and a chassis in which mechanical apparatuses necessary for driving are installed as other parts except for the body. The exterior of the vehicle body may include a front panel, a bonnet, a roof panel, a rear panel, a trunk, a filler provided at a boundary between doors, and/or the like. The chassis of the vehicle 1000 may include a power generating device, a power transmitting device, a driving device, a steering device, a braking device, a suspension device, a transmission device, a fuel device, front and rear wheels, left and right wheels, and/or the like.

[0386]

The vehicle 1000 may include a side window glass 1100, a front window glass 1200, a side mirror 1300, a cluster 1400, a center fascia 1500, a passenger seat dashboard 1600, and a display device 2.

[0387]

The side window glass 1100 and the front window glass 1200 may be partitioned by a pillar arranged between the side window glass 1100 and the front window glass 1200.

[0388]

The side window glass 1100 may be installed on the side of the vehicle 1000. In some embodiments, the side window glass 1100 may be installed on a door of the vehicle 1000. A plurality of side window glasses 1100 may be provided and may face each other. In some embodiments, the side window glass 1100 may include a first side window glass 1110 and a second side window glass 1120. In some embodiments, the first side window glass 1110 may be arranged adjacent to the cluster 1400. The second side window glass 1120 may be arranged adjacent to the passenger seat dashboard 1600.

[0389]

In some embodiments, the side window glasses 1100 may be spaced apart from each other in the x-direction or the −x-direction. For example, the first side window glass 1110 and the second side window glass 1120 may be spaced apart from each other in the x direction or the −x direction. In other words, an imaginary straight line L connecting the side window glasses 1100 may extend in the x-direction or the −x-direction. For example, an imaginary straight line L connecting the first side window glass 1110 and the second side window glass 1120 to each other may extend in the x direction or the −x direction.

[0390]

The front window glass 1200 may be installed in the front of the vehicle 1000. The front window glass 1200 may be arranged between the side window glasses 1100 facing each other.

[0391]

The side mirror 1300 may provide a rear view of the vehicle 1000. The side mirror 1300 may be installed on the exterior of the vehicle body. In one embodiment, a plurality of side mirrors 1300 may be provided. Any one of the plurality of side mirrors 1300 may be arranged outside the first side window glass 1110. The other one of the plurality of side mirrors 1300 may be arranged outside the second side window glass 1120.

[0392]

The cluster 1400 may be arranged in front of the steering wheel. The cluster 1400 may include a tachometer, a speedometer, a coolant thermometer, a fuel gauge turn indicator, a high beam indicator, a warning lamp, a seat belt warning lamp, an odometer, a hodometer, an automatic shift selector indicator lamp, a door open warning lamp, an engine oil warning lamp, and/or a low fuel warning light.

[0393]

The center fascia 1500 may include a control panel including a plurality of buttons for adjusting an audio device, an air conditioning device, and a heater of a seat. The center fascia 1500 may be arranged on one side of the cluster 1400.

[0394]

A passenger seat dashboard 1600 may be spaced apart from the cluster 1400 with the center fascia 1500 arranged therebetween. In some embodiments, the cluster 1400 may be arranged to correspond to a driver seat, and the passenger seat dashboard 1600 may correspond to a passenger seat. In some embodiments, the cluster 1400 may be adjacent to the first side window glass 1110, and the passenger seat dashboard 1600 may be adjacent to the second side window glass 1120.

[0395]

In some embodiments, the display device 2 may include a display panel 3, and the display panel 3 may display an image. The display device 2 may be arranged inside the vehicle 1000. In some embodiments, the display device 2 may be arranged between the side window glasses 1100 facing each other. The display device 2 may be arranged on at least one selected from the cluster 1400, the center fascia 1500, and the passenger seat dashboard 1600.

[0396]

The display device 2 may include an organic light-emitting display device, an inorganic electroluminescent (EL) display device, a quantum dot display device, and the like. Hereinafter, as the display device 2 according to some embodiments, an organic light-emitting display device display including the light-emitting device according to the disclosure will be described as an example, but various suitable types (or kinds) of display devices as described above may be used in embodiments of the disclosure.

[0397]

Referring to FIG. 6A, the display device 2 may be arranged on the center fascia 1500. In some embodiments, the display device 2 may display navigation information. In some embodiments, the display device 2 may display audio, video, and/or information regarding vehicle settings.

[0398]

Referring to FIG. 6B, the display device 2 may be arranged on the cluster 1400. When the display device 2 is arranged on the cluster 1400, the cluster 1400 may display driving information and the like through the display device 2. In some embodiments, the cluster 1400 may be implemented digitally. The digital cluster 1400 may display vehicle information and driving information as images. For example, a needle and/or a gauge of a tachometer and/or various suitable warning light icons may be displayed by a digital signal.

[0399]

Referring to FIG. 6C, the display device 2 may be arranged on the dashboard 1600 of the passenger seat. The display device 2 may be embedded in the passenger seat dashboard 1600 or arranged on the passenger seat dashboard 1600. In some embodiments, the display device 2 arranged on the dashboard 1600 for the passenger seat may display an image related to information displayed on the cluster 1400 and/or information displayed on the center fascia 1500. In some embodiments, the display device 2 arranged on the passenger seat dashboard 1600 may display information different from information displayed on the cluster 1400 and/or information displayed on the center fascia 1500.

Manufacturing Method

[0400]

Respective layers included in the hole transport region, the emission layer, and respective layers included in the electron transport region may be formed in a certain region by using one or more suitable methods selected from vacuum deposition, spin coating, casting, Langmuir-Blodgett (LB) deposition, ink-jet printing, laser-printing, and laser-induced thermal imaging.

[0401]

When layers constituting the hole transport region, an emission layer, and layers constituting the electron transport region are formed by vacuum deposition, the deposition may be performed at a deposition temperature of about 100° C. to about 500° C., a vacuum degree of about 10−8torr to about 10−3torr, and a deposition speed of about 0.01 Å/sec to about 100 Å/sec, depending on a material to be included in a layer to be formed and the structure of a layer to be formed.

Definition of Terms

[0402]

The term “C3-C60carbocyclic group” as used herein refers to a cyclic group consisting of carbon only as a ring-forming atom and having three to sixty carbon atoms, and the term “C1-C60heterocyclic group” as used herein refers to a cyclic group that has one to sixty carbon atoms and further has, in addition to carbon, a heteroatom as a ring-forming atom. The C3-C60carbocyclic group and the C1-C60heterocyclic group may each be a monocyclic group consisting of one ring or a polycyclic group in which two or more rings are condensed together with each other. For example, the C1-C60heterocyclic group has 3 to 61 ring-forming atoms.

[0403]

The “cyclic group” as used herein may include the C3-C60carbocyclic group, and the C1-C60heterocyclic group.

[0404]

The term “π electron-rich C3-C60cyclic group” as used herein refers to a cyclic group that has three to sixty carbon atoms and does not include *—N═*′ as a ring-forming moiety, and the term “π electron-deficient nitrogen-containing C1-C60cyclic group” as used herein refers to a heterocyclic group that has one to sixty carbon atoms and includes *—N═*′ as a ring-forming moiety.

[0405]

For example,

    • the C3-C60carbocyclic group may be i) a group T1 or ii) a condensed cyclic group in which two or more groups T1 are condensed together with each other (for example, a cyclopentadiene group, an adamantane group, a norbornane group, a benzene group, a pentalene group, a naphthalene group, an azulene group, an indacene group, an acenaphthylene group, a phenalene group, a phenanthrene group, an anthracene group, a fluoranthene group, a triphenylene group, a pyrene group, a chrysene group, a perylene group, a pentaphene group, a heptalene group, a naphthacene group, a picene group, a hexacene group, a pentacene group, a rubicene group, a coronene group, an ovalene group, an indene group, a fluorene group, a spiro-bifluorene group, a benzofluorene group, an indenophenanthrene group, or an indenoanthracene group),
    • the C1-C60heterocyclic group may be i) a group T2, ii) a condensed cyclic group in which two or more groups T2 are condensed together with each other, or iii) a condensed cyclic group in which at least one group T2 and at least one group T1 are condensed together with each other (for example, a pyrrole group, a thiophene group, a furan group, an indole group, a benzoindole group, a naphthoindole group, an isoindole group, a benzoisoindole group, a naphthoisoindole group, a benzosilole group, a benzothiophene group, a benzofuran group, a carbazole group, a dibenzosilole group, a dibenzothiophene group, a dibenzofuran group, an indenocarbazole group, an indolocarbazole group, a benzofurocarbazole group, a benzothienocarbazole group, a benzosilolocarbazole group, a benzoindolocarbazole group, a benzocarbazole group, a benzonaphthofuran group, a benzonaphthothiophene group, a benzonaphthosilole group, a benzofurodibenzofuran group, a benzofurodibenzothiophene group, a benzothienodibenzothiophene group, a pyrazole group, an imidazole group, a triazole group, an oxazole group, an isoxazole group, an oxadiazole group, a thiazole group, an isothiazole group, a thiadiazole group, a benzopyrazole group, a benzimidazole group, a benzoxazole group, a benzoisoxazole group, a benzothiazole group, a benzoisothiazole group, a pyridine group, a pyrimidine group, a pyrazine group, a pyridazine group, a triazine group, a quinoline group, an isoquinoline group, a benzoquinoline group, a benzoisoquinoline group, a quinoxaline group, a benzoquinoxaline group, a quinazoline group, a benzoquinazoline group, a phenanthroline group, a cinnoline group, a phthalazine group, a naphthyridine group, an imidazopyridine group, an imidazopyrimidine group, an imidazotriazine group, an imidazopyrazine group, an imidazopyridazine group, an azacarbazole group, an azafluorene group, an azadibenzosilole group, an azadibenzothiophene group, an azadibenzofuran group, etc.),
    • the π electron-rich C3-C60cyclic group may be i) a group T1, ii) a condensed cyclic group in which two or more groups T1 are condensed together with each other, iii) a group T3, iv) a condensed cyclic group in which two or more groups T3 are condensed together with each other, or v) a condensed cyclic group in which at least one group T3 and at least one group T1 are condensed together with each other (for example, the C3-C60carbocyclic group, a 1H-pyrrole group, a silole group, a borole group, a 2H-pyrrole group, a 3H-pyrrole group, a thiophene group, a furan group, an indole group, a benzoindole group, a naphthoindole group, an isoindole group, a benzoisoindole group, a naphthoisoindole group, a benzosilole group, a benzothiophene group, a benzofuran group, a carbazole group, a dibenzosilole group, a dibenzothiophene group, a dibenzofuran group, an indenocarbazole group, an indolocarbazole group, a benzofurocarbazole group, a benzothienocarbazole group, a benzosilolocarbazole group, a benzoindolocarbazole group, a benzocarbazole group, a benzonaphthofuran group, a benzonaphthothiophene group, a benzonaphthosilole group, a benzofurodibenzofuran group, a benzofurodibenzothiophene group, a benzothienodibenzothiophene group, etc.),
    • the π electron-deficient nitrogen-containing C1-C60cyclic group may be i) a group T4, ii) a condensed cyclic group in which two or more groups T4 are condensed together with each other, iii) a condensed cyclic group in which at least one group T4 and at least one group T1 are condensed together with each other, iv) a condensed cyclic group in which at least one group T4 and at least one group T3 are condensed together with each other, or v) a condensed cyclic group in which at least one group T4, at least one group T1, and at least one group T3 are condensed together with one another (for example, a pyrazole group, an imidazole group, a triazole group, an oxazole group, an isoxazole group, an oxadiazole group, a thiazole group, an isothiazole group, a thiadiazole group, a benzopyrazole group, a benzimidazole group, a benzoxazole group, a benzoisoxazole group, a benzothiazole group, a benzoisothiazole group, a pyridine group, a pyrimidine group, a pyrazine group, a pyridazine group, a triazine group, a quinoline group, an isoquinoline group, a benzoquinoline group, a benzoisoquinoline group, a quinoxaline group, a benzoquinoxaline group, a quinazoline group, a benzoquinazoline group, a phenanthroline group, a cinnoline group, a phthalazine group, a naphthyridine group, an imidazopyridine group, an imidazopyrimidine group, an imidazotriazine group, an imidazopyrazine group, an imidazopyridazine group, an azacarbazole group, an azafluorene group, an azadibenzosilole group, an azadibenzothiophene group, an azadibenzofuran group, etc.),
    • the group T1 may be a cyclopropane group, a cyclobutane group, a cyclopentane group, a cyclohexane group, a cycloheptane group, a cyclooctane group, a cyclobutene group, a cyclopentene group, a cyclopentadiene group, a cyclohexene group, a cyclohexadiene group, a cycloheptene group, an adamantane group, a norbornane (or a bicyclo[2.2.1]heptane) group, a norbornene group, a bicyclo[1.1.1]pentane group, a bicyclo[2.1.1]hexane group, a bicyclo[2.2.2]octane group, or a benzene group,
    • the group T2 may be a furan group, a thiophene group, a 1H-pyrrole group, a silole group, a borole group, a 2H-pyrrole group, a 3H-pyrrole group, an imidazole group, a pyrazole group, a triazole group, a tetrazole group, an oxazole group, an isoxazole group, an oxadiazole group, a thiazole group, an isothiazole group, a thiadiazole group, an azasilole group, an azaborole group, a pyridine group, a pyrimidine group, a pyrazine group, a pyridazine group, a triazine group, a tetrazine group, a pyrrolidine group, an imidazolidine group, a dihydropyrrole group, a piperidine group, a tetrahydropyridine group, a dihydropyridine group, a hexahydropyrimidine group, a tetrahydropyrimidine group, a dihydropyrimidine group, a piperazine group, a tetrahydropyrazine group, a dihydropyrazine group, a tetrahydropyridazine group, or a dihydropyridazine group,
    • the group T3 may be a furan group, a thiophene group, a 1H-pyrrole group, a silole group, or a borole group, and
    • the group T4 may be a 2H-pyrrole group, a 3H-pyrrole group, an imidazole group, a pyrazole group, a triazole group, a tetrazole group, an oxazole group, an isoxazole group, an oxadiazole group, a thiazole group, an isothiazole group, a thiadiazole group, an azasilole group, an azaborole group, a pyridine group, a pyrimidine group, a pyrazine group, a pyridazine group, a triazine group, or a tetrazine group.

[0414]

The terms “the cyclic group, the C3-C60carbocyclic group, the C1-C60heterocyclic group, the π electron-rich C3-C60cyclic group, or the π electron-deficient nitrogen-containing C1-C60cyclic group” as used herein refer to a group condensed to any cyclic group, a monovalent group, or a polyvalent group (for example, a divalent group, a trivalent group, a tetravalent group, etc.) according to the structure of a formula for which the corresponding term is used. In some embodiments, “a benzene group” may be a benzo group, a phenyl group, a phenylene group, or the like, which may be easily understand by one of ordinary skill in the art according to the structure of a formula including the “benzene group.”

[0415]

Examples of the monovalent C3-C60carbocyclic group and the monovalent C1-C60heterocyclic group are a C3-C1cycloalkyl group, a C1-C10heterocycloalkyl group, a C3-C1cycloalkenyl group, a C1-C10heterocycloalkenyl group, a C6-C60aryl group, a C1-C60heteroaryl group, a monovalent non-aromatic condensed polycyclic group, and a monovalent non-aromatic condensed heteropolycyclic group. Examples of the divalent C3-C60carbocyclic group and the monovalent C1-C60heterocyclic group are a C3-C1cycloalkylene group, a C1-C10heterocycloalkylene group, a C3-C10cycloalkenylene group, a C1-C10heterocycloalkenylene group, a C6-C60arylene group, a C1-C60heteroarylene group, a divalent non-aromatic condensed polycyclic group, and a substituted or unsubstituted divalent non-aromatic condensed heteropolycyclic group.

[0416]

The term “C1-C60alkyl group” as used herein refers to a linear or branched aliphatic hydrocarbon monovalent group that has one to sixty carbon atoms, and examples thereof are a methyl group, an ethyl group, an n-propyl group, an isopropyl group, an n-butyl group, a sec-butyl group, an isobutyl group, a tert-butyl group, an n-pentyl group, a tert-pentyl group, a neopentyl group, an isopentyl group, a sec-pentyl group, a 3-pentyl group, a sec-isopentyl group, an n-hexyl group, an isohexyl group, a sec-hexyl group, a tert-hexyl group, an n-heptyl group, an isoheptyl group, a sec-heptyl group, a tert-heptyl group, an n-octyl group, an isooctyl group, a sec-octyl group, a tert-octyl group, an n-nonyl group, an isononyl group, a sec-nonyl group, a tert-nonyl group, an n-decyl group, an isodecyl group, a sec-decyl group, and a tert-decyl group. The term “C1-C60alkylene group” as used herein refers to a divalent group having substantially the same structure as the C1-C60alkyl group.

[0417]

The term “C2-C60alkenyl group” as used herein refers to a monovalent hydrocarbon group having at least one carbon-carbon double bond in the middle or at the terminus of the C2-C60alkyl group, and examples thereof are an ethenyl group, a propenyl group, and a butenyl group. The term “C2-C60alkenylene group” as used herein refers to a divalent group having substantially the same structure as the C2-C60alkenyl group.

[0418]

The term “C2-C60alkynyl group” as used herein refers to a monovalent hydrocarbon group having at least one carbon-carbon triple bond in the middle or at the terminus of the C2-C60alkyl group, and examples thereof include an ethynyl group and a propynyl group. The term “C2-C60alkynylene group” as used herein refers to a divalent group having substantially the same structure as the C2-C60alkynyl group.

[0419]

The term “C1-C60alkoxy group” as used herein refers to a monovalent group represented by —OA101(wherein A101is the C1-C60alkyl group), and examples thereof include a methoxy group, an ethoxy group, and an isopropyloxy group.

[0420]

The term “C3-C10cycloalkyl group” as used herein refers to a monovalent saturated hydrocarbon cyclic group having 3 to 10 carbon atoms, and examples thereof are a cyclopropyl group, a cyclobutyl group, a cyclopentyl group, a cyclohexyl group, a cycloheptyl group, a cyclooctyl group, an adamantanyl group, a norbornanyl group (or bicyclo[2.2.1]heptyl group), a bicyclo[1.1.1]pentyl group, a bicyclo[2.1.1]hexyl group, and a bicyclo[2.2.2]octyl group. The term “C3-C10cycloalkylene group” as used herein refers to a divalent group having substantially the same structure as the C3-C10cycloalkyl group.

[0421]

The term “C1-C10heterocycloalkyl group” as used herein refers to a monovalent cyclic group of 1 to 10 carbon atoms, further including, in addition to carbon atoms, at least one heteroatom, as ring-forming atoms, and examples are a 1,2,3,4-oxatriazolidinyl group, a tetrahydrofuranyl group, and a tetrahydrothiophenyl group. The term “C1-C10heterocycloalkylene group” as used herein refers to a divalent group having substantially the same structure as the C1-C10heterocycloalkyl group.

[0422]

The term C3-C10cycloalkenyl group used herein refers to a monovalent cyclic group that has three to ten carbon atoms and at least one carbon-carbon double bond in the ring thereof and no aromaticity (e.g., is not aromatic), and examples thereof are a cyclopentenyl group, a cyclohexenyl group, and a cycloheptenyl group. The term “C3-C10cycloalkenylene group” as used herein refers to a divalent group having substantially the same structure as the C3-C10cycloalkenyl group.

[0423]

The term “C1-C10heterocycloalkenyl group” as used herein refers to a monovalent cyclic group of 1 to 10 carbon atoms, further including, in addition to carbon atoms, at least one heteroatom, as ring-forming atoms, and having at least one carbon-carbon double bond in the cyclic structure thereof. Examples of the C1-C10heterocycloalkenyl group include a 4,5-dihydro-1,2,3,4-oxatriazolyl group, a 2,3-dihydrofuranyl group, and a 2,3-dihydrothiophenyl group. The term “C1-C10heterocycloalkenylene group” as used herein refers to a divalent group having substantially the same structure as the C1-C10heterocycloalkenyl group.

[0424]

The term “C6-C60aryl group” as used herein refers to a monovalent group having a carbocyclic aromatic system of 6 to 60 carbon atoms, and the term “C6-C6a arylene group” as used herein refers to a divalent group having a carbocyclic aromatic system of 6 to 60 carbon atoms. Examples of the C6-C60aryl group are a phenyl group, a pentalenyl group, a naphthyl group, an azulenyl group, an indacenyl group, an acenaphthyl group, a phenalenyl group, a phenanthrenyl group, an anthracenyl group, a fluoranthenyl group, a triphenylenyl group, a pyrenyl group, a chrysenyl group, a perylenyl group, a pentaphenyl group, a heptalenyl group, a naphthacenyl group, a picenyl group, a hexacenyl group, a pentacenyl group, a rubicenyl group, a coronenyl group, and an ovalenyl group. When the C6-C60aryl group and the C6-C60arylene group each include two or more rings, the rings may be condensed together with each other.

[0425]

The term “C1-C60heteroaryl group” as used herein refers to a monovalent group having a heterocyclic aromatic system of 1 to 60 carbon atoms, further including, in addition to carbon atoms, at least one heteroatom, as ring-forming atoms. The term “C1-C60heteroarylene group” as used herein refers to a divalent group having a heterocyclic aromatic system of 1 to 60 carbon atoms, further including, in addition to carbon atoms, at least one heteroatom, as ring-forming atoms. Examples of the C1-C60heteroaryl group are a pyridinyl group, a pyrimidinyl group, a pyrazinyl group, a pyridazinyl group, a triazinyl group, a quinolinyl group, a benzoquinolinyl group, an isoquinolinyl group, a benzoisoquinolinyl group, a quinoxalinyl group, a benzoquinoxalinyl group, a quinazolinyl group, a benzoquinazolinyl group, a cinnolinyl group, a phenanthrolinyl group, a phthalazinyl group, and a naphthyridinyl group. When the C1-C60heteroaryl group and the C1-C60heteroarylene group each include two or more rings, the rings may be condensed together with each other.

[0426]

The term “monovalent non-aromatic condensed polycyclic group” as used herein refers to a monovalent group (for example, having 8 to 60 carbon atoms) having two or more rings condensed to each other, only carbon atoms as ring-forming atoms, and no aromaticity in its entire molecular structure (e.g., is not aromatic when considered as a whole). Examples of the monovalent non-aromatic condensed polycyclic group are an indenyl group, a fluorenyl group, a spiro-bifluorenyl group, a benzofluorenyl group, an indenophenanthrenyl group, and an indeno anthracenyl group. The term “divalent non-aromatic condensed polycyclic group” as used herein refers to a divalent group having substantially the same structure as the monovalent non-aromatic condensed polycyclic group described above.

[0427]

The term “monovalent non-aromatic condensed heteropolycyclic group” as used herein refers to a monovalent group (for example, having 1 to 60 carbon atoms) having two or more rings condensed to each other, further including, in addition to carbon atoms, at least one heteroatom, as ring-forming atoms, and having non-aromaticity in its entire molecular structure (e.g., is not aromatic when considered as a whole). Examples of the monovalent non-aromatic condensed heteropolycyclic group are a pyrrolyl group, a thiophenyl group, a furanyl group, an indolyl group, a benzoindolyl group, a naphthoindolyl group, an isoindolyl group, a benzoisoindolyl group, a naphthoisoindolyl group, a benzosilolyl group, a benzothiophenyl group, a benzofuranyl group, a carbazolyl group, a dibenzosilolyl group, a dibenzothiophenyl group, a dibenzofuranyl group, an azacarbazolyl group, an azafluorenyl group, an azadibenzosilolyl group, an azadibenzothiophenyl group, an azadibenzofuranyl group, a pyrazolyl group, an imidazolyl group, a triazolyl group, a tetrazolyl group, an oxazolyl group, an isoxazolyl group, a thiazolyl group, an isothiazolyl group, an oxadiazolyl group, a thiadiazolyl group, a benzopyrazolyl group, a benzimidazolyl group, a benzoxazolyl group, a benzothiazolyl group, a benzoxadiazolyl group, a benzothiadiazolyl group, an imidazopyridinyl group, an imidazopyrimidinyl group, an imidazotriazinyl group, an imidazopyrazinyl group, an imidazopyridazinyl group, an indeno carbazolyl group, an indolocarbazolyl group, a benzofurocarbazolyl group, a benzothienocarbazolyl group, a benzosilolocarbazolyl group, a benzoindolocarbazolyl group, a benzocarbazolyl group, a benzonaphthofuranyl group, a benzonaphthothiophenyl group, a benzonaphtho silolyl group, a benzofurodibenzofuranyl group, a benzofurodibenzothiophenyl group, and a benzothienodibenzothiophenyl group. The term “divalent non-aromatic condensed heteropolycyclic group” as used herein refers to a divalent group having substantially the same structure as the monovalent non-aromatic condensed heteropolycyclic group described above.

[0428]

The term “C6-C60aryloxy group” as used herein indicates —OA102(wherein A102is a C6-C60aryl group), and the term “C6-C60arylthio group” as used herein indicates —SA103(wherein A103is a C6-C60aryl group).

[0429]

The term “C7-C60arylalkyl group” used herein refers to -A104A105(where A104may be a C1-C54alkylene group, and A105may be a C6-C59aryl group), and the term C2-C60heteroarylalkyl group” used herein refers to -A106A107(where A106may be a C1-C59alkylene group, and A107may be a C1-C59heteroaryl group).

[0430]

The term “R10a” as used herein refers to:

    • deuterium, —F, —Cl, —Br, —I, a hydroxyl group, a cyano group, or a nitro group,
    • a C1-C60alkyl group, a C2-C60alkenyl group, a C2-C60alkynyl group, or a C1-C60alkoxy group, each unsubstituted or substituted with deuterium, —F, —Cl, —Br, —I, a hydroxyl group, a cyano group, a nitro group, a C3-C60carbocyclic group, a C1-C60heterocyclic group, a C6-C60aryloxy group, a C6-C60arylthio group, a C7-C60arylalkyl group, a C2-C60heteroarylalkyl group, —Si(Q11)(Q12)(Q13), —N(Q11)(Q12), —B(Q11)(Q12), —C(═O)(Q11), —S(═O)2(Q11), —P(═O)(Q11)(Q12), or a combination thereof,
    • a C3-C60carbocyclic group, a C1-C60heterocyclic group, a C6-C60aryloxy group, a C6-C60arylthio group, a C7-C60arylalkyl group, or a C2-C60heteroarylalkyl group, each unsubstituted or substituted with deuterium, —F, —Cl, —Br, —I, a hydroxyl group, a cyano group, a nitro group, a C1-C60alkyl group, a C2-C60alkenyl group, a C2-C60alkynyl group, a C1-C60alkoxy group, a C3-C60carbocyclic group, a C1-C60heterocyclic group, a C6-C60aryloxy group, a C6-C60arylthio group, a C7-C60arylalkyl group, a C2-C60heteroarylalkyl group, —Si(Q21)(Q22)(Q23), —N(Q21)(Q22), —B(Q21)(Q22), —C(═O)(Q21), —S(═O)2(Q21), —P(═O)(Q21)(Q22), or a combination thereof; or
    • —Si(Q31)(Q32)(Q33), —N(Q31)(Q32), —B(Q31)(Q32), —C(═O)(Q31), —S(═O)2(Q31), or —P(═O)(Q31)(Q32),
    • Q1to Q3, Q11to Q13, Q21to Q23and Q31to Q33used herein may each independently be: hydrogen; deuterium; —F; —Cl; —Br; —I; a hydroxyl group; a cyano group; a nitro group; a C1-C60alkyl group; a C2-C60alkenyl group; a C2-C60alkynyl group; a C1-C60alkoxy group; a C3-C60carbocyclic group or a C1-C60heterocyclic group, each unsubstituted or substituted with deuterium, —F, a cyano group, a C1-C60alkyl group, a C1-C60alkoxy group, a phenyl group, a biphenyl group, or a combination thereof; a C7-C60arylalkyl group; or a C2-C60heteroarylalkyl group.

[0436]

The term “heteroatom” as used herein refers to any atom other than a carbon atom. Examples of the heteroatom are O, S, N, P, Si, B, Ge, Se, and a combination thereof.

[0437]

The term “third-row transition metal” used herein includes hafnium (Hf), tantalum (Ta), tungsten (W), rhenium (Re), osmium (Os), iridium (Ir), platinum (Pt), gold (Au), and/or the like.

[0438]

The term “Ph” as used herein refers to a phenyl group, the term “Me” as used herein refers to a methyl group, the term “Et” as used herein refers to an ethyl group, the term “tert-Bu” or “But” as used herein refers to a tert-butyl group, and the term “OMe” as used herein refers to a methoxy group.

[0439]

The term “biphenyl group” as used herein refers to “a phenyl group substituted with a phenyl group.” In other words, the “biphenyl group” is a substituted phenyl group having a C6-C60aryl group as a substituent.

[0440]

The term “terphenyl group” as used herein refers to “a phenyl group substituted with a biphenyl group”. In other words, the “terphenyl group” is a substituted phenyl group having, as a substituent, a C6-C60aryl group substituted with a C6-C60aryl group.

[0441]

* and *′ as used herein, unless defined otherwise, each refer to a binding site to a neighboring atom in a corresponding formula or moiety.

[0442]

In the present specification, the x-axis, y-axis, and z-axis are not limited to three axes in an orthogonal coordinate system, and may be interpreted in a broad sense including these axes. For example, the x-axis, y-axis, and z-axis may refer to those orthogonal to each other, or may refer to those in different directions that are not orthogonal to each other.

[0443]

Hereinafter, compounds according to embodiments and light-emitting devices according to embodiments will be described in more detail with reference to the following synthesis examples and examples. The wording “B was used instead of A” used in describing Synthesis Examples refers to that an identical molar equivalent of B was used in place of A.

EXAMPLES

Synthesis Example 1: Synthesis of Compound P01

(1) Synthesis of Intermediate P01-1

[0444]

[0445]

At a 0° C. temperature condition, 15.55 g (0.259 mol) of ethylenediamine was put in 10 g (0.052 mol) of dibenzo[b,d]furan-1-carbonitrile. Then, 0.23 g (0.001 mol) of phosphorous pentasulfate was added thereto and reacted at a temperature of 100° C. for 8 hours. Subsequently, the temperature of the resultant reaction product was lowered to 0° C. and water was added thereto, and then the resultant precipitate was filtered through a filter, washed with water and diethyl ether, and dried to obtain 10.35 g of P01-1. (yield: 84.2%)

(2) Synthesis of Intermediate P01-2

[0446]

[0447]

70 ml of N,N′-dimethylpropyleneurea was added to 10 g (0.042 mol) of P01-1 and 30.8 g (0.42 mol) of manganese dioxide and was reacted at a temperature of 150° C. After 1 hour, the temperature was cooled to room temperature, aqueous hydroxylamine hydrochloride solution was added to the resultant reaction product and was extracted using ethylacetate. Then, the extracted solution was washed with brine, water was removed therefrom using MgSO4, and the solvent was evaporated therefrom. Subsequently, isopropylether was added thereto to purify the reaction product while performing trituration thereon, and the resultant precipitate was filtered to be removed. Finally, the filtrate was concentrated under reduced pressure and purified by column chromatography to obtain 8.5 g of P01-2. (yield: 86.4%)

(3) Synthesis of Intermediate P01-3

[0448]

[0449]

8 g (0.034 mol) of P01-2 was added to 100 ml of DMF having a temperature of 0° C. and 0.98 g (0.041 mol) of NaH was added slowly thereto. After 15 minutes, 9.05 g (0.051 mol) of benzosulfonyl chloride dissolved in 100 ml of DMF was slowly added to the resultant reaction product and then reacted at room temperature for 24 hours. After the reaction was completed, a filtrate that was concentrated after being extracted using dichloromethane and water and then dried using MgSO4was purified by column chromatography to obtain 10.12 g of P01-3. (yield: 79%)

(4) Synthesis of Intermediate P01-4

[0450]

[0451]

10 g (0.027 mol) of P01-3 was added to 100 ml of anhydrous hexane at a temperature of −5° C., and 3.42 g (0.053 mol) of n-BuLi was slowly added in a N2atmosphere. After 30 minutes, a solution in which 1.09 g (0.009 mol) of dimethyl-pyridin-2-yl-amine is added to 20 ml of hexane was added thereto and reacted for 1 hour, and then the temperature was lowered to −78° C. 10.43 g (0.032 mol) of tributylchlorostannane was put into the resultant reaction product and was reacted at a temperature of −78° C. for 1 hour, and then was further reacted at a temperature of 0° C. for 1 hour. Then, at a room temperature condition, the reaction product was further reacted for 16 hours and water was slowly added thereto to terminate the reaction, and diethyl ether was added thereto for extraction. Water was removed from the extracted solution by using Na2SO4and the solution was concentrated to obtain 11.7 g of P01-4. (yield: 64.7%)

(5) Synthesis of Intermediate P01-5

[0452]

[0453]

10 g (0.051 mol) of benzo[h]quinolin-10-ol and 10.51 g (0.061 mol) of K2CO3were added to 100 ml of DMF and then reacted at a temperature of 50° C. for 1 hour after adding 21.24 g (0.15 mol) of benzyl bromide thereto. The resultant reaction product was washed with ethyl acetate and water, and then was dried using MgSO4. Then, the reaction product was separated by column chromatography to obtain 11.5 g of P01-5. (yield: 78.7%)

(6) Synthesis of Intermediate P01-6

[0454]

[0455]

50 ml of dehydrated CH2Cl2was added to 10 g (0.035 mol) of P01-5 and 9.07 g (0.053 mol) of 3-chlorobenzoperoxoic acid, and was reacted in a nitrogen atmosphere at a temperature of 4° C. for 48 hours. The resultant reaction product was washed with NaHCO3and the solvent was removed therefrom under reduced pressure. Then, the reaction product was purified by column chromatography with CH2Cl2/EtOH to obtain 11.5 g of P01-6. (yield: 78.7%)

(7) Synthesis of Intermediate P01-7

[0456]

[0457]

A nitrogen atmosphere and a temperature condition of −78° C. were made by using excess POCl3, 7 g (0.023 mol) of P01-7 was added thereto, the temperature was adjusted to room temperature, and then the resultant mixture was stirred while refluxing. After the mixture was reacted for 1 hour, the temperature was lowered and the pressure was reduced to remove POCl3therefrom. The resultant reaction product may be washed with ethyl acetate and Na2SO4, and the solvent was removed therefrom under reduced pressure. The reaction product was triturated in ether, washed with ethanol and ether, and then filtered to obtain 7.02 g of P01-7. (yield: 94.5%)

(8) Synthesis of Intermediate P01-8

[0458]

[0459]

After 7 g (0.022 mol) of P01-7 was dissolved in 300 ml of ethanol, 1 g of 5 wt % Pd/carbon catalyst was added thereto, and the resultant mixture was reacted in a H2 atmosphere at a temperature condition of 60° C. for 4 hours. The catalyst was filtered through a filter and the solvent was removed from the filtrate under reduced pressure, and then a purification process was performed with hexane and ethyl acetate by column chromatography to obtain 4.5 g of P01-8. (yield: 88.7%)

(9) Synthesis of Intermediate P01-9

[0460]

[0461]

10 g (0.015 mol) of P01-4, 4.1 g (0.018 mol) of P01-8, and 1.71 g (0.001 mol) of Pd(PPh)4were added to 50 ml of toluene and reacted at a temperature condition of 100° C. for 18 hours. The resultant reaction product was extracted with hexane and concentrated to obtain 6.2 g of P01-9. (yield: 74%)

(10) Synthesis of Intermediate P01-10

[0462]

[0463]

6 g (0.011 mol) of P01-9 was dissolved in 50 ml of methanol and 40 ml (0.007 mol) of 1 M NaOH was added thereto. Then the resultant mixture was reacted at a temperature of 80° C. for 1 hour. The resultant reaction product was extracted with CH2Cl2and water, and then an organic layer was dried with MgSO4. Then, the solvent was removed from the organic layer and the organic layer was concentrated and purified by column chromatography to obtain 3.55 g of P01-10. (yield: 78.5%)

(11) Synthesis of Intermediate P01-11

[0464]

[0465]

3.5 g (0.008 mol) of P01-10 was added to 150 ml of THF at a temperature of 0° C., and 0.23 g (0.01 mol) of NaH was slowly added thereto and reacted for 30 minutes. 1.38 g (0.01 mol) of CH3I was added to the resultant reaction product, and was reacted at a temperature of 0° C. for 3 hours. After NaHCO3was added thereto to terminate the reaction, the reaction product was extracted with ethyl acetate and washed again with NaHCO3, water, and brine. The organic layer was concentrated and recrystallized to obtain 2.84 g of P01-11. (yield: 78.6%)

(12) Synthesis of Compound P01

[0466]

[0467]

50 ml of CH3COOH and 15 ml of H2O were added to 2.5 g (0.006 mol) of P01-11 and 2.8 g (0.007 mol) of K2PtCl4and were reacted for 16 hours. The resultant reaction product was extracted with CH2Cl2and H2O and then purified by column chromatography to obtain 2.46 g of P01 (yield: 68.6%).

[0468]

ESI-MS: m/z=636.1[M]+

[0469]

1H-NMR (500 MHz, CDCl3): δ ppm, 2.72 (m, 4H), 3.53 (s, 3H), 6.56 (d, J=7.4 Hz, 1H), 6.88 (d, J=7.2 Hz, 1H), 7.05 (dd, J=7.6, 2.8 Hz, 1H), 7.38˜7.67 (m, 8H), 7.89 (d, J=7.6 Hz, 1H)

[0470]

Synthesis methods of other compounds in addition to the compound synthesized in Synthesis Example may be easily recognized by those skilled in the art by referring to the synthesis paths and source materials described herein.

Evaluation Example 1

[0471]

The lowest unoccupied molecular orbital (LUMO) energy, highest-occupied molecular orbital (HOMO) energy, bandgap, maximum emission wavelength (λmax), and MLCT value of Compounds P03 to P05, P07 to P10, P12, P15 to P19, P21, P23, and P51 and Compounds R01 to R08 of the Comparative Examples were measured by using the method described in Table 1, and results thereof are shown in Table 2.

[0000]

HOMO energy levelA potential (V)-current (A) graph of each compound was
evaluation methodobtained by using cyclic voltammetry (CV) (electrolyte: 0.1M
BBu4NPF6/solvent: dimethyl formamide (DMF)/
electrode: 3 electrode system (working electrode: GC,
reference electrode: Ag/AgCl, auxiliary electrode: Pt)), and
then, from oxidation onset of the graph, a HOMO energy
level of the compound was calculated.
LUMO energy levelA potential (V)-current (A) graph of each compound was
evaluation methodobtained by using cyclic voltammetry (CV) (electrolyte: 0.1M
BBu4NPF6/solvent: dimethyl formamide (DMF)/
electrode: 3 electrode system (working electrode: GC,
reference electrode: Ag/AgCl, auxiliary electrode: Pt)), and
then, from reduction onset of the graph, a LUMO energy
level of the compound was calculated.
Maximum emissionThe compound was dissolved in a 2-methyl tetrahydrofuran
wavelength (λmax)(THF) solvent at a concentration of 10−3M and put in a
quartz cell, and then, an emission spectrum in a visible light
region was measured using a spectrofluorometer at a
temperature condition of 77 K. Afterwards, a maximum
emission wavelength was extracted.
MLCTThe ratio (%) of a triplet metal-to-ligand charge transfer
(3MLCT) was calculated by using a density functional
theory (DFT) method of Gaussian program structurally
optimized at a level of B3LYP/6-311G (d, p).

[0000]

P03−4.99−1.823.1756418.2
P04−4.98−1.823.1757817.4
P05−5.00−1.983.0358421.5
P07−5.01−1.963.0557620.4
P08−4.99−1.963.0358519.8
P09−5.01−1.873.1558018.2
P10−4.98−1.863.1257118.8
P12−4.97−1.843.1258317.2
P15−4.99−1.773.2156617.5
P16−4.97−1.783.1957817.4
P17−5.00−1.993.0258420.6
P18−5.03−1.923.1159319.3
P19−5.00−1.933.0758421.3
P21−5.00−1.833.1857818.2
P23−4.98−1.833.1557219.2
P51−4.94−1.803.1456418.0
R01−5.01−1.883.135255.8
R02−4.87−1.763.114971.1
R03−4.86−2.292.576629.2
R04−5.62−2.093.5346310.4
R05−4.83−2.282.557176.0
R06−4.77−1.363.414285.6
R07−4.77−2.172.6081110.2
R08−5.32−2.442.8866512.4

Example 1

[0472]

A glass substrate (available from Corning Co., Ltd) on which an ITO anode (15 Ohms per square centimeter (0/cm2)) having a thickness of 1,200 Å was formed was cut to a size of 50 millimeters (mm)×50 mm×0.7 mm, sonicated in isopropyl alcohol and pure water for 5 minutes in each solvent, cleaned with ultraviolet rays for 30 minutes, and then ozone, and was mounted on a vacuum deposition apparatus.

[0473]

HT3 was vacuum-deposited on the ITO anode to form a hole transport layer having a thickness of 600 Å, and HT40 was vacuum-deposited on the hole transport layer to form an emission auxiliary layer having a thickness of 250 Å.

[0474]

Compound H125, Compound H126, and Compound P03 (emitter) were vacuum-deposited on the emission auxiliary layer at a weight ratio of 45:45:10 to form an emission layer having a thickness of 300 Å.

[0475]

Compound ET37 was vacuum-deposited on the emission layer to form a buffer layer having a thickness of 50 Å, and ET46 and LiQ were vacuum-deposited on the buffer layer at the weight ratio of 5:5 to form an electron transport layer having a thickness of 310 Å. Subsequently, Yb was vacuum-deposited on the electron transport layer to form an electron injection layer having a thickness of 15 Å, and then, Ag and Mg were vacuum-deposited thereon at a weight ratio of 5:5 to form a cathode having a thickness of 1,000 Å.

[0000]

Examples 2 to 7 and Comparative Examples 1 to 4

[0476]

The organic light-emitting devices of Examples 2 to 7 and Comparative Examples 1 to 4 were manufactured in substantially the same manner as in Example 1 except that Compounds P05, P07, P10, P17, P23, P51, R01, R03, R06, and R08 were used, respectively, instead of Compound P03 used in Example 1.

Evaluation Example 2

[0477]

The driving voltage (V) at 1,000 cd/m2, luminescence efficiency (cd/A), and emission wavelength (nm) of the organic light-emitting devices manufactured in Examples 1 to 7 and Comparative Examples 1 to 4 were each measured using a Keithley SMU 236 and luminance meter CS-1000, and results thereof are shown in Table 3.

[0000]

Example 1P033.136.533.9589
Example 2P053.137.436.2620
Example 3P073.137.235.6605
Example 4P103.136.734.5596
Example 5P173.137.235.7599
Example 6P233.136.834.8623
Example 7P513.136.433.8580
ComparativeR013.614.813.5541
Example 1
ComparativeR033.522.014.6644
Example 2
ComparativeR063.614.410.6454
Example 3
ComparativeR083.321.517.5630
Example 4

[0478]

According to the one or more embodiments, the use of the organometallic compound may enable the manufacture of a light-emitting device having high efficiency and a long lifespan and a high-quality electronic apparatus including the light-emitting device.

[0479]

It should be understood that embodiments described herein should be considered in a descriptive sense only and not for purposes of limitation. Descriptions of features or aspects within each embodiment should typically be considered as available for other similar features or aspects in some embodiments. While one or more embodiments have been described with reference to the figures, it will be understood by those of ordinary skill in the art that various changes in form and details may be made therein without departing from the spirit and scope as defined by the following claims, and equivalents thereof.

Как компенсировать расходы
на инновационную разработку
Похожие патенты