заявка
№ US 20210402466
МПК B22F1/00

COMPOSITIONS, COMPRISING SILVER NANOPLATELETS

Авторы:
Nikolay A. GRIGORENKO
Номер заявки
17288207
Дата подачи заявки
21.10.2019
Опубликовано
30.12.2021
Страна
US
Дата приоритета
14.12.2025
Номер приоритета
Страна приоритета
Как управлять
интеллектуальной собственностью
Чертежи 
4
Реферат

[0000]

The present invention relates to compositions, comprising silver nanoplatelets, wherein the mean diameter of the silver nanoplatelets, present in the composition, is in the range of 20 to 70 nm with standard deviation being less than 50% and the mean thickness of the silver nanoplatelets, present in the composition, is in the range of 5 to 30 nm with standard deviation being less than 50%, wherein the mean aspect ratio of the silver nanoplatelets is higher than 1.5, a process for its production, printing inks containing the compositions and their use in security products. The highest wavelength absorption maximum of the population of all silver nanoplatelets in the composition being within the range of 450 to 550 nm. A coating, comprising the composition, shows a red, or magenta color in transmission and a greenish-metallic color in reflection.

[00000]

Формула изобретения

1.-16. (canceled)

17. A composition, comprising silver nanoplatelets, wherein the mean diameter of the silver nanoplatelets, present in the composition, is in the range of 20 to 70 nm with standard deviation being less than 50% and the mean thickness of the silver nanoplatelets, present in the composition, is in the range of 5 to 30 nm with standard deviation being less than 50%, wherein the mean aspect ratio of the silver nanoplatelets is higher than 1.5.

18. The composition according to claim 17, wherein the highest wavelength absorption maximum of the population of all silver nanoplatelets in the composition being within the range of 450 to 550 nm.

19. The composition according to claim 18, wherein the absorption maximum have a full width at half maximum (FWHM) value in the range of 20 to 180 nm.

20. The composition according to claim 17, wherein the silver nanoplatelets bear a surface stabilizing agent of formula (I) on their surface,

wherein

R1 is H, C1-C18 alkyl, phenyl, C1-C8 alkylphenyl, or CH2COOH;

R2, R3, R4, R5, R6 and R7 are independently of each other H, C1-C8 alkyl, or phenyl;

Y is O, or NR8;

R8 is H, or C1-C8alkyl;

k1 is an integer in the range of from 1 to 500,

k2 and k3 are independently of each other 0, or integers in the range of from 1 to 250;

k4 is 0, or 1, and

k5 is an integer in the range of from 1 to 5.

21. The composition according to claim 20, wherein R1 is H, or C1-C4 alkyl;

R2, R3, R4, R5, R6 and R7 are independently of each other H, or CH3; Y is O, or NR8;

R8 is H, or C1-C8 alkyl;

k1 is 22 to 450;

k2 and k3 are independently of each other 0, or integers in the range of from 8 to 200;

k4 is 0; and

k5 is an integer in the range of from 1 to 4.

22. The composition according to claim 21, wherein the surface stabilizing agent is of formula (Ia)

wherein

R1 is H, or a C1-C8 alkyl group, and

k1 is 22 to 450.

23. The composition according to claim 22, wherein k1 is 22 to 150.

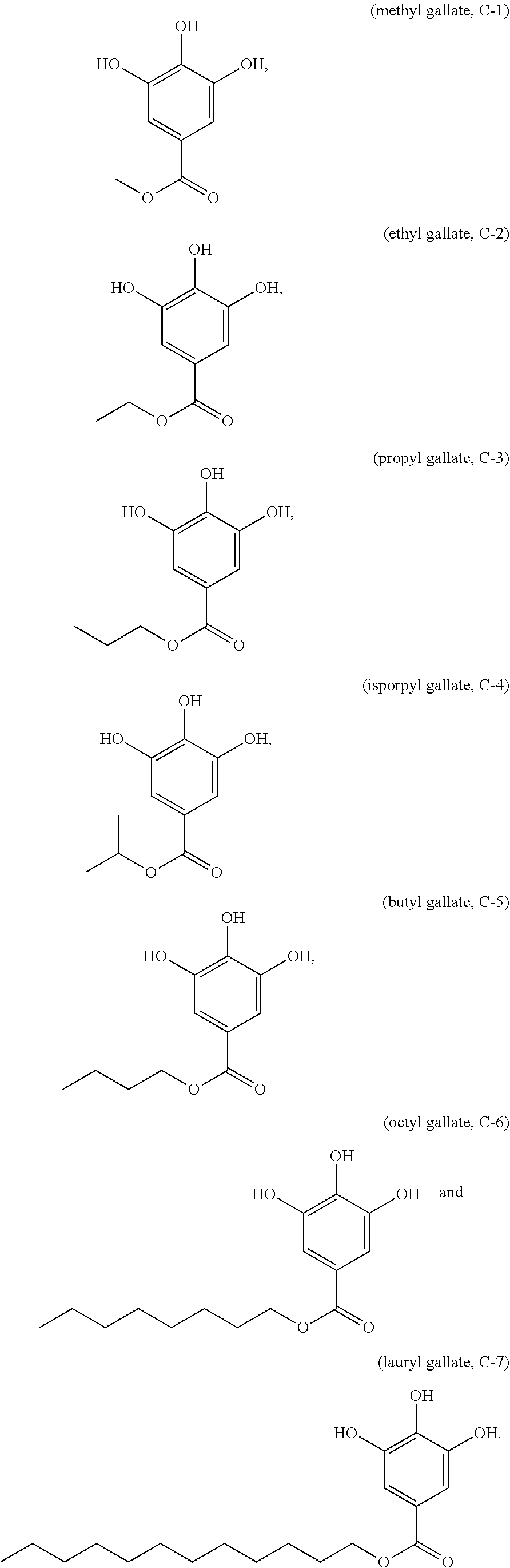
24. The composition according to claim 17, which comprises one, or more stabilizing agents selected from the group consisting of compounds of formula

wherein

R21a is a hydrogen atom, a halogen atom, a C1-C8 alkoxy group, or a C1-C8 alkyl group,

R21b is a hydrogen atom, or a group of formula —CR24—N(R22)(R23) R22 and R23 are independently of each other a C1-C8 alkyl, a hydroxyC1-C8 alkyl group, or a group of formula —[(CH2CH2)—O]n1—CH2CH2—OH, wherein n1 is 1 to 5,

R24 is H or C1-C8 alkyl, and

compounds of formula (IIc)

wherein

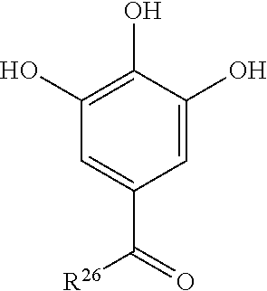
R25 can be the same, or different in each occurrence and is a hydrogen atom, a halogen atom, a C1-C18 alkyl group, a C1-C18 alkoxy group, or a group —C(═O)—R26,

R26 is a hydrogen atom, a hydroxy group, a C1-C15 alkyl group, unsubstituted or substituted aminogroup, unsubstituted or substituted phenyl group, or a C1-C18 alkoxy group, and

n3 is a number of 1 to 4,

m3 is a number of 2 to 4, and

the sum of m3 and n3 is 6.

25. A coating, or printing ink composition, comprising the composition according to claim 17.

26. A coating, or printing ink composition which comprises

(i) the composition according to claim 17,

(ii) a binder, and

(iii) optionally a solvent.

27. A security, or decorative element comprising a substrate, which may contain indicia or other visible features in or on its surface, and on at least part of the said substrate surface, a coating, comprising the composition according to claim 17.

28. The security, or decorative element according to claim 27, wherein the coating, shows a red, or magenta color in transmission and a greenish-metallic color in reflection.

29. A security element comprises a substrate, a coating on at least a portion of the substrate comprising at least one liquid crystal compound, the coating being applied on the reverse side of the substrate if the substrate is transparent or translucent or on the surface side if the substrate is transparent, translucent, reflective or opaque and a further coating on at least a portion of the coating containing the liquid crystal compound or direct on the substrate if the coating containing the liquid crystal compound is placed on the reverse side of the substrate, the further coating comprising the composition according to claim 17; or

the security element consists of a mutlilayer structure capable of interference, wherein the multilayer structure capable of interference has a reflection layer, a dielectric layer, and a partially transparent layer, wherein the dielectric layer is arranged between the reflection layer and the partially transparent layer, wherein the reflection layer is formed by a colored layer, comprising the composition according to claim 17; or

the security element comprises a transparent carrier substrate, a layer containing a diffractive optical element (DOE) and a semi-transparent functional layer, comprising the composition according to claim 17; or

the security, or decorative element is a blister for tablets, comprising a transparent carrier substrate that includes a semi-transparent functional layer, comprising the composition according to claim 17; or

the security, or decorative element is a packaging comprising a plastic film shaped part and a cover film, wherein said plastic film shaped part defines the front side of the packaging and the cover film defines the rear side of the packaging, and the cover film is based on a carrier substrate provided with a semi-transparent functional layer, comprising the composition according to claim 17; or

a security, or decorative element, comprising a substrate, a component with refractive index modulation, in particular a volume hologram, which is obtainable by exposing a recording material to actinic radiation and thereon a coating on at least a portion of the refractive index modulated layer, comprising the composition according to claim 17; or

a security, or decorative element, comprising a substrate, an UV lacquer layer on at least part of the substrate having on at least part of its surface a nano- or microstructure, and on at least part of the UV lacquer layer and/or on at least part of the nano- or microstructure layer, comprising the composition according to claim 17.

30. A product, comprising the security or decorative element according to claim 27.

31. A process for the prevention of counterfeit or reproduction, on a document of value, right, identity, a security label or a branded good which comprises utilizing the security or decorative element according to claim 26.

32. A process for producing the composition according to claim 17, comprising the silver nanoplatelets, which comprises:

(a) preparing a first solution comprising a silver precursor, at least one complexing agent, optionally a base, a compound of formula

and water,

(b) preparing a reducing agent mixture comprising at least two reducing agents, optionally a base and water,

(c) combining the first solution with the reducing agent mixture so as to allow the silver precursor to react with the reducing agents, thereby synthesizing the composition, comprising the silver nanoplatelets, wherein

R1 is H, C1-C18 alkyl, phenyl, C1-C8 alkylphenyl, or CH2COOH;

R2, R3, R4, R5, R6 and R7 are independently of each other H, C1-C8 alkyl, or phenyl;

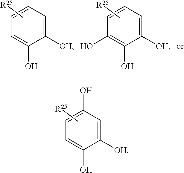
Y is O, or NR8;

R8 is H, or C1-C8alkyl;

k1 is an integer in the range of from 1 to 500,

k2 and k3 are independently of each other 0, or integers in the range of from 1 to 250;

k4 is 0, or 1,

k5 is an integer in the range of from 1 to 5.

33. A process for producing the composition according to claim 17, comprising the silver nanoplatelets, which comprises:

(a) preparing a solution comprising a silver precursor, a compound of formula

and water,

(b) adding a hydrogen peroxide solution in water and shortly thereafter a solution, comprising a first reducing agent, which comprises at least one boron atom in the molecule, and water and allowing the obtained solution to stir until gas evolution is complete, and adding hydrazine or its solution in water,

(c) adding a solution comprising a silver precursor, a complexing agent, a base and water, thereby synthesizing the composition, comprising the silver nanoplatelets, wherein

R1 is H, C1-C18 alkyl, phenyl, C1-C8 alkylphenyl, or CH2COOH;

R2, R3, R4, R5, R6 and R7 are independently of each other H, C1-C8alkyl, or phenyl;

Y is O, or NR8;

R8 is H, or C1-C8 alkyl;

k1 is an integer in the range of from 1 to 500,

k2 and k3 are independently of each other 0, or integers in the range of from 1 to 250;

k4 is 0, or 1,

k5 is an integer in the range of from 1 to 5.

Описание

[0001]

The present invention relates to compositions, comprising silver nanoplatelets, wherein the mean diameter of the silver nanoplatelets, present in the composition, is in the range of 20 to 70 nm with standard deviation being less than 50% and the mean thickness of the silver nanoplatelets, present in the composition, is in the range of 5 to 30 nm with standard deviation being less than 50%, wherein the mean aspect ratio of the silver nanoplatelets is higher than 1.5, a process for its production, printing inks containing the compositions and their use in security products. The highest wavelength absorption maximum of the population of all silver nanoplatelets in the composition being within the range of 450 to 550 nm. A coating, comprising the composition, shows a red, or magenta color in transmission and a greenish-metallic color in reflection.

[0002]

US2017246690 (EP3157697) discloses a method for synthesizing metal nanoparticles, the method comprising:

[0003]

(a) preparing a metal precursor mixture comprising a metal precursor compound and a first aqueous liquid medium,

[0004]

(b) preparing a reducing agent mixture comprising a reducing agent and a second aqueous liquid medium,

[0005]

(c) optionally adding an acid or a base to the mixture prepared in step (a) or to the mixture prepared in step (b), wherein the metal precursor mixture and the reducing agent mixture are both free of stabilizing agent and free of seed particles,

[0006]

(d) combining the metal precursor mixture with the reducing agent mixture so as to allow the metal precursor compound to react with the reducing agent, thereby synthesizing the metal nanoparticles.

[0007]

EP3156156 relates to a fine silver particle dispersion, which comprises fine silver particles, a short chain amine having 5 or less carbon atoms and a highly polar solvent, and a partition coefficient log P of the short chain amine is −1.0 to 1.4. The method for producing the fine silver particles of EP3156156 comprises a first step for preparing a mixed liquid of a silver compound which is decomposed by reduction to produce a metal silver, and a short chain amine having a partition coefficient log P of −1.0 to 1.4, and a second step for reducing the silver compound in the mixed liquid to produce a fine silver particle where a short chain amine having 5 or less carbon atoms which is adhered to at least a part of the surface of the particle.

[0008]

EP2559786 discloses a method comprising:

[0009]

a) providing a substrate;

[0010]

b) applying an aqueous catalyst solution to the substrate, the aqueous catalyst solution comprises nanoparticles of one or more metal chosen from silver, gold, platinum, palladium, iridium, copper, aluminum, cobalt, nickel and iron, and one or more stabilizing compounds chosen from gallic acid, gallic acid derivatives and salts thereof, the aqueous catalyst solution is free of tin; and

[0011]

c) electrolessly depositing metal onto the substrate using an electroless metal plating bath.

[0012]

U.S. Pat. No. 9,028,724 discloses a method for preparing a dispersion of nanoparticles, comprising: dispersing nanoparticles having hydrophobic ligands on the surface in a hydrophobic solvent to form a first dispersion; mixing the first dispersion with a surface modification solution comprising (a) at least one wetting-dispersing agent selected from polydimethylsilane, alkylol ammonium salt of an acidic polyester and alkylol ammonium salt of a polyacrylic acid, (b) a surfactant, and (c) an aqueous-based solvent to form a first mixture solution; mixing the first mixture solution with a ligand removal agent to form a second mixture solution containing hydrophilic nanoparticles and separating the hydrophilic nanoparticles from the second mixture solution; and dispersing the hydrophilic nanoparticles in an aqueous-based solvent, wherein the nanoparticles comprise one of a metal and a metal oxide.

[0013]

EP2667990B1 relates to a process comprising:

[0014]

forming an insoluble complex of a metal salt from a reaction mixture comprising a solvent, a first surfactant, a second surfactant, and a third surfactant, each surfactant being present in the insoluble complex of the metal salt, and

[0015]

reacting the insoluble complex of the metal salt with a reducing agent in the reaction mixture to form metal nanoparticles;

[0016]

wherein the first surfactant comprises a primary amine, the second surfactant comprises a secondary amine, and the third surfactant comprises a chelating agent comprising N,N′-dialkylethylenediamine.

[0017]

EP1791702B9 relates to an ink for ink-jet printing or digital printing comprising a vehicle and metallic particles having a weight average particle size of from 40 nm to 1 micrometres, preferably from 50 nm to 500 nm, wherein the loading of metallic nanoparticles in the ink is comprised between 2 percent by weight and 75 percent by weight, preferably from 2 percent to 40 percent by weight, and the viscosity of the ink is comprised between 10 and 40 cP.

[0018]

WO09/056401 relates to a method for the synthesis, isolation and re-dispersion in organic matrixes of nano-shaped transition metal particles, selected from the group consisting of Zn, Ag, Cu, Au, Ta, Ni, Pd, Pt, Co, Rh, Ir, Fe, Ru, and Ti, comprising

[0019]

a) adding to an aqueous solution of the transition metal salt an acrylate or methacrylate monomer or oligomer, or a polyacrylate or polymethacrylate and a reducing agent;

[0020]

b1) treating the colloidal solution with a peroxide; or

[0021]

b2) exposing the colloidal solution to UV- or visible light;

[0022]

c) adding a water soluble amine; and

[0023]

d) isolating the nano-shaped transition metal particles or re-disperse the nano shaped transition metal particles together with a dispersing agent in a liquid acrylate or methacrylate monomer.

[0024]

WO2010108837 relates to a method of manufacturing shaped transition metal particles in the form of nanoplatelets, which metal is selected from the group consisting of Cu, Ag, Au, Zn, Cd, Ti, Cr, Mn, Fe, Co, Ni, Ru, Rh, Pd, Os, Ir and Pt, which method comprises the steps of first a) adding a reducing agent to an aqueous mixture comprising a transition metal salt and a polymeric dispersant, and subsequently b) treating the obtained colloidal dispersion with a peroxide, wherein the aqueous mixture in step a) comprises the transition metal salt in a concentration of higher than 2 mmol per liter.

[0025]

WO11064162 relates to security, or decorative element, comprising a substrate, which may contain indicia or other visible features in or on its surface, and on at least part of the said substrate surface, a coating comprising platelet shaped transition metal particles having a longest dimension of edge length of from 15 nm to 1000 nm, preferably from 15 nm to 600 nm and particularly from 20 nm to 500 nm, and a thickness of from 2 nm to 100 nm, preferably from 2 to 40 nm and particularly from 4 to 30 nm and a method for forming for forming an optically variable image (an optically variable device) on a substrate comprising the steps of: forming an optically variable image (OVI) on a discrete portion of the substrate; and depositing a coating composition comprising platelet shaped transition metal particles having a longest dimension of edge length of from 15 nm to 1000 nm, preferably from 15 nm to 600 nm and particularly from 20 nm to 500 nm, and a thickness of from 2 nm to 100 nm, preferably from 2 to 40 nm and particularly from 4 to 30 nm and a binder on at least a portion of the OVI.

[0026]

WO2013/186167 discloses a method for forming a surface relief microstructure, especially an optically variable image (an optically variable device, OVD) on a substrate comprising the steps of:

[0027]

A) applying a curable composition to at least a portion of the substrate wherein the curable composition comprises

[0028]

a1) at least one ethylenically unsaturated resin, a monomer or a mixture thereof;

[0029]

a2) at least one photoinitiator; and

[0030]

a3) a metal pigment which is in the form of platelet shaped transition metal particles having a longest dimension of edge length of from 5 nm to 1000 nm, preferably from 7 nm to 600 nm and particularly from 10 nm to 500 nm, and a thickness of from 1 nm to 100 nm, preferably from 2 to 40 nm and particularly from 3 to 30 nm;

[0031]

B) contacting at least a portion of the curable composition with a surface relief microstructure, especially optically variable image forming means;

[0032]

C) curing the composition by using at least one UV lamp.

[0033]

WO2014/041121 and WO2014/187750 relates to a security elements, comprising a coating comprising platelet shaped transition metal particles having a longest dimension of edge length of from 15 nm to 1000 nm, preferably from 15 nm to 600 nm and particularly from 20 nm to 500 nm, and a thickness of from 2 nm to 100 nm, preferably from 2 to 40 nm and particularly from 4 to 30 nm.

[0034]

It has now been found, surprisingly, that silver nanoplatelets with particular surface stabilizing agents can be synthesized in an economically efficient and reproducible way at a high concentration of silver (>1% by weight silver) in the reaction mixture. These surface stabilizing agents provide high colloidal stability to the silver particles, which prevents agglomeration and sedimentation upon storage. Furthermore, additional stabilization agents can be used to improve the stability of optical properties of the silver nanoplatelets upon storage or heat exposure. Silver nanoplatelets prepared in this way possess rather uniform diameter and thickness and can be formulated in solvent based inks with different solvents and binders, which upon printing exhibit red or magenta color in transmission and greenish-metallic color in reflection.

[0035]

Accordingly, the present application relates to compositions, comprising silver nanoplatelets, wherein the mean diameter of the silver nanoplatelets, present in the composition, is in the range of 20 to 70 nm with standard deviation being less than 50% and the mean thickness of the silver nanoplatelets, present in the composition, is in the range of 5 to 30 nm with standard deviation being less than 50%.

[0036]

The mean aspect ratio of the silver nanoplatelets is higher than 1.5.

[0037]

FIG. 1 shows the UV-Vis spectrum of the composition, comprising the silver nanoplatelets, obtained in Example 1.

[0038]

FIG. 2 is a Transmission Electron Micrograph (TEM) of the composition, comprising silver nanoplatelets, obtained in Example 1.

[0039]

FIG. 3 shows the UV-Vis spectrum of the composition, comprising the silver nanoplatelets, obtained in Example 2.

[0040]

FIG. 4 is a Transmission Electron Micrograph (TEM) of the composition, comprising silver nanoplatelets, obtained in Example 2.

[0041]

The silver nanoplatelets may be in the form of disks, regular hexagons, triangles, especially equilateral triangles, and truncated triangles, especially truncated equilateral triangles, or mixtures thereof. They are preferably in the form of disks, truncated triangles, hexagons, or mixtures thereof.

[0042]

The term “silver nanoplatelets” is a term used in the art and as such is understood by the skilled person. In the context of the present invention, silver nanoplatelets are preferably any silver nanoplatelets having a mean diameter in the range of 20 to 70 nm and a mean thickness in the range of 5 to 30 nm, the mean aspect ratio being higher than 1.5.

[0043]

In the context of the present invention, a “surface modified silver nanoplatelet (nanoparticle)” is a silver nanoplatelet (nanoparticle) having attached to its surface one or more (surface) stabilizing agents.

[0044]

Accordingly, the present invention relates to surface modified silver nanoplatelets which bear a surface stabilizing agent of formula (I) and optionally further stabilizing agents described below on their surface.

[0045]

The mean diameter of the silver nanoplatelets is the number mean diameter of the silver nanoplatelets and is in the range of 20 to 70 nm, preferably 25 to 65 nm, more preferably 35 to 55 nm. The standard deviation being less than 50%, preferably less than 40%.

[0046]

The mean thickness of the silver nanoplatelets is the number mean thickness of the silver nanoplatelets and is in the range of 5 to 30 nm, preferably 7-25 nm, more preferably 8 to 25 nm. The standard deviation being less than 50%, preferably less than 40%.

[0047]

The diameter is the longer side of the nanoplatelet (width). The thickness is the shorter side of the nanoplatelet (height).

[0048]

The mean aspect ratio (defined as the ratio of mean diameter to mean thickness) being larger than 1.5, preferably larger than 1.6 and more preferably larger than 1.7.

[0049]

The aspect ratio of the nanoplatelets is the ratio of its longest dimension, such as, for example, its diameter to its shortest dimension, such as, for example, its thickness. For example, the aspect ratio of a disk is the ratio of its diameter to its thickness.

[0050]

In an even more preferred embodiment the mean diameter of the silver nanoplatelets is in the range of 35 to 55 nm with standard deviation being less than 40% and the mean thickness of the silver nanoplatelets is in the range of 8 to 25 nm with standard deviation being less than 40%. The mean aspect ratio of the silver nanoplatelets is higher than 1.7.

[0051]

The highest wavelength absorption maximum of the population of all silver nanoplatelets in the composition being within the range of 450 to 550 nm, preferably 460 to 540 nm, most preferably 465 to 535 nm (measured in water at ca. 5*10-5 M (mol/1) concentration of silver).

[0052]

The absorption maximum has a full width at half maximum (FWHM) value in the range of 20 to 180 nm, preferably 30 to 150 nm, more preferably 35 to 130 nm.

[0053]

In a particularly preferred embodiment the mean diameter of the silver nanoplatelets is in the range of 40 to 50 nm with standard deviation being less than 30% and the mean thickness of the silver nanoplatelets is in the range of 15 to 22 nm with standard deviation being less than 30%. The mean aspect ratio of the silver nanoplatelets is higher than 1.7.

[0054]

In said embodiment the highest wavelength absorption maximum of the population of all silver nanoplatelets in the composition being within the range of 480 to 500 nm (measured in water at ca. 5*10-5 M (mol/l) concentration of silver). The absorption maximum has a full width at half maximum (FWHM) value in the range of 70 to 95 nm.

[0055]

The molar extinction coefficient of silver nanoplatelets, measured at the highest wavelength absorption maximum of the population of all silver nanoplatelets in the composition, is higher than 4000 L/(cm*molAg), especially higher than 5000 L/(cm*molAg), very especially higher than 6000 L/(cm*molAg).

[0056]

In a preferred embodiment of the present invention the silver nanoplatelets bear a surface stabilizing agent of formula

[0000]

[0000]

on their surface, wherein indicates the bond to the silver,

[0057]

R1 is H, C1-C18alkyl, phenyl, C1-C8alkylphenyl, or CH2OOH;

[0058]

R2, R3, R4, R5, R6 and R7 are independently of each other H, C1-C8alkyl, or phenyl;

[0059]

Y is O, or NR8;

[0060]

R8 is H, or C1-C8alkyl;

[0061]

k1 is an integer in the range of from 1 to 500,

[0062]

k2 and k3 are independently of each other 0, or integers in the range of from 1 to 250;

[0063]

k4 is 0, or 1,

[0064]

k5 is an integer in the range of from 1 to 5.

[0065]

Y is preferably O. k4 is preferably 0.

[0066]

The surface stabilizing agent of formula (I) has preferably a number average molecular weight of from 1000 to 20000, and more preferably from 1000 to 10000, most preferred from 1000 to 6000. All molecular weights specified in this text have the unit of [g/mol] and refer, unless indicated otherwise, to the number average molecular weight (Mn).

[0067]

If the compounds comprise, for example, ethylene oxide units (EO) and propylene oxide units (PO), the order of (EO) and (PO) may not be fixed (random copolymers).

[0068]

Preferably, R1 is H, or C1-C18alkyl; R2, R3, R4, R5, R6 and R7 are independently of each other H, CH3, or C2H5; k1 is 22 to 450, k2 and k3 are independently of each other 0, or integers in the range of from 1 to 250; k4 is 0, or 1; and k5 is an integer in the range of from 1 to 5.

[0069]

More preferred, R1 is H, or C1-C4alkyl; R2, R3, R4, R5, R6 and R7 are independently of each other H, or CH3; k1 is 22 to 450; k2 and k3 are independently of each other 0, or integers in the range of from 8 to 200; k4 is 0; k5 is an integer in the range of from 1 to 4.

[0070]

The most preferred surface stabilizing agent has the formula

[0000]

[0000]

wherein R1 is H, or a C1-C8alkyl group, and

[0071]

k1 is 22 to 450, especially 22 to 150.

[0072]

R1 is preferably H, or CH3.

[0073]

The most preferred surface stabilizing agents are derived from MPEG thiols (poly(ethylene glycol) methyl ether thiols) having an average Mn of 2000 to 6000, such as, for example, MPEG 2000 thiol (A-1, average Mn 2,000), MPEG 3000 thiol (A-2), MPEG 4000 thiol (A-3) MPEG 5000 thiol (A-4), MPEG 6000 thiol (A-5), PEG thiols (0-(2-mercaptoethyl)-poly(ethylene glycol)) having an average Mn of 2000 to 6000, such as, for example, PEG 2000 thiol (A-6, average Mn 2,000), PEG 3000 thiol (A-7), PEG 4000 thiol (A-8), PEG 5000 thiol (A-9), PEG 6000 thiol (A-10).

[0074]

In addition to the surface stabilizing agents the composition may comprise further stabilization agents. Stabilizing agents may include, for example, phosphines; phosphine oxides; alkyl phosphonic acids; oligoamines, such as ethylenediamine, diethylene triamine, triethylene tetramine, spermidine, spermine; compounds of formula (IIa), (IIb) and (IIc) described below; surfactants; dendrimers, and salts and combinations thereof.

[0075]

Surfactants include, for example, anionic surfactants, cationic surfactants, nonionic surfactants, amphoteric or zwitterionic surfactants.

[0076]

Anionic surfactants include, for example, alkyl sulfates (eg., dodecylsulfate), alkylamide sulfates, fatty alcohol sulfates, secondary alkyl sulfates, paraffin sulfonates, alkyl ether sulfates, alkylpolyglycol ether sulfates, fatty alcohol ether sulfates, alkylbenzenesulfonates, alkylphenol ether sulfates, alkyl phosphates; alkyl or alkylaryl monoesters, diesters, and triesters of phosphoric acid; alkyl ether phosphates, alkoxylated fatty alcohol esters of phosphoric acid, alkylpolyglycol ether phosphates (for example, polyoxyethylene octadecenyl ether phosphates marketed as LUBRHOPHOS® LB-400 by Rhodia), phosphonic esters, sulfosuccinic diesters, sulfosuccinic monoesters, alkoxylated sulfosuccinic monoesters, sulfosuccinimides, a-olefinsulfonates, alkyl carboxylates, alkyl ether carboxylates, alkyl-polyglycol carboxylates, fatty acid isethionate, fatty acid methyltauride, fatty acid sarcoside, alkyl sulfonates (eg., 2-(methyloleoylamino)ethane-1-sulfonate, marketed as GEROPON® T77 by Solvay) alkyl ester sulfonates, arylsulfonates (eg., diphenyl oxide sulfonate, marketed as RHODACAL® DSB by Rhodia), naphthalenesulfonates, alkyl glyceryl ether sulfonates, polyacrylates, a-sulfo-fatty acid esters, and salts and mixtures thereof.

[0077]

Cationic surfactants include, for example, aliphatic, cycloaliphatic or aromatic primary, secondary and tertiary ammonium salts or alkanolammonium salts; quaternary ammonium salts, such as tetraoctylammonium halides and cetyltrimethylammonium halides (eg., cetyltrimethylammonium bromide (CTAB)); pyridinium salts, oxazolium salts, thiazolium salts, salts of amine oxides, sulfonium salts, quinolinium salts, isoquinolinium salts, tropylium salts.

[0078]

Other cationic surfactants suitable for use according to the present disclosure include cationic ethoxylated fatty amines. Examples of cationic ethoxylated fatty amines include, but are not limited to, ethoxylated oleyl amine (marketed as RHODAMEEN® PN-430 by Solvay), hydrogenated tallow amine ethoxylate, and tallow amine ethoxylate.

[0079]

Nonionic surfactants include, for example, alcohol alkoxylates (for example, ethoxylated propoxylated C8-C10 alcohols marketed as ANTAROX® BL-225 and ethoxylated propoxylated C10-C16 alcohols marketed as ANTAROX® RA-40 by Rhodia), fatty alcohol polyglycol ethers, fatty acid alkoxylates, fatty acid polyglycol esters, glyceride monoalkoxylates, alkanolamides, fatty acid alkylolamides, alkoxylated alkanol-amides, fatty acid alkylolamido alkoxylates, imidazolines, ethylene oxide-propylene oxide block copolymers (for example, EO/PO block copolymer marketed as ANTAROX® L-64 by Rhodia), alkylphenol alkoxylates (for example, ethoxylated nonylphenol marketed as IGEPAL® CO-630 and ethoxylated dinonylphenol/nonylphenol marketed as IGEPAL® DM-530 by Rhodia), alkyl glucosides, alkoxylated sorbitan esters (for example, ethoxylated sobitan monooleate marketed as ALKAMULS® PSMO by Rhodia), alkyl thio alkoxylates (for example, alkyl thio ethoxylates marketed as ALCODET® by Rhodia), amine alkoxylates, and mixtures thereof.

[0080]

Typically, nonionic surfactants include addition products of ethylene oxide, propylene oxide, styrene oxide, and/or butylene oxide onto compounds having an acidic hydrogen atom, such as, for example, fatty alcohols, alkylphenols or alcohols. Examples are addition products of ethylene oxide and/or propylene oxide onto linear or branched fatty alcohols having from 1 to 35 carbon atoms, onto fatty acids having from 6 to 30 carbon atoms and onto alkylphenols having from 4 to 35 carbon atoms in the alkyl group; (C6-C30)-fatty acid monoesters and diesters of addition products of ethylene oxide and/or propylene oxide onto glycerol; glycerol monoesters and diesters and sorbitan monoesters, diesters and triesters of saturated and unsaturated fatty acids having from 6 to 22 carbon atoms and their ethylene oxide and/or propylene oxide addition products, and the corresponding polyglycerol-based compounds; and alkyl monoglycosides and oligoglycosides having from 8 to 22 carbon atoms in the alkyl radical and their ethoxylated or propoxylated analogues. Amphoteric or zwitterionic surfactants include, but are not limited to, aliphatic quaternary ammonium, phosphonium, and sulfonium compounds, wherein the aliphatic radicals can be straight chain or branched, and wherein the aliphatic substituents contain about 6 to about 30 carbon atoms and at least one aliphatic substituent contains an anionic functional group, such as carboxy, sulfonate, sulfate, phosphate, phosphonate, and salts and mixtures thereof. Examples of zwitterionic surfactants include, but are not limited to, alkyl betaines, alkyl amidopropyl betaines, alkyl sulphobetaines, alkyl glycinates, alkyl carboxyglycinates;

[0081]

alkyl amphopropionates, such as cocoamphopropionate and caprylamphodipropionate (marketed as MIRANOL® JBS by Rhodia); alkyl amidopropyl hydroxysultaines, acyl taurates, and acyl glutamates, wherein the alkyl and acyl groups have from 6 to 18 carbon atoms, and salts and mixtures thereof.

[0082]

The stabilizing agent may be a compound of formula R20—X (IIa), wherein R20 a linear or branched C1-C25alkyl group, or C1-C25alkenyl group, which may be substituted by one, or more groups selected from —OH, —SH, —NH2, or —COOR19, wherein R19 is a hydrogen atom, or a C1-C25alkyl group, and X is —OH, —SH, —NH2, or —COOR19′, wherein R19′ is a hydrogen atom, a C1-C25alkyl group, or a C2-C25alkenyl group, which may be substituted by one, or more groups selected from —OH, —SH, —NH2, or —COOR19″, wherein R19″ is a hydrogen atom, or a C1-C25alkyl group.

[0083]

Examples of compounds of formula (IIa) are 1-methylamine, 1-dodecylamine, 1-hexadecylamine, citric acid, oleic acid, D-cysteine, 1-dodecanethiol, 9-mercapto-1-nonanol, 1-thioglycerol, 11-amino-1-undecanethiol, cysteamine, 3-mercaptopropanoic acid, 8-mercaptooctanoic acid and 1,2-ethanedithiol.

[0084]

The stabilizing agent may be a compound of formula

[0000]

[0000]

wherein

[0085]

R21a is a hydrogen atom, a halogen atom, a C1-C8alkoxy group, or a C1-C8alkyl group,

[0086]

R21b is a hydrogen atom, or a group of formula —CHR24—N(R22)(R23),

[0087]

R22 and R23 are independently of each other a C1-C8alkyl, a hydroxyC1-C8alkyl group, or a group of formula —[(CH2CH2)—O]n1—CH2CH2—OH, wherein n1 is 1 to 5, R24 is H or C1-C8alkyl. Examples of compounds of formula (IIb) are

[0000]

[0088]

In another preferred embodiment the stabilizing agent is a “polyhydric phenol”, which is a compound, containing an optionally substituted benzene ring and at least 2 hydroxy groups attached to it. The term “polyhydric phenol” comprises polyphenols, such as, for example, tannic acid and polycyclic aromatic hydrocarbons which consist of fused benzene rings, wherein at least one benzene ring has at least 2 hydroxy groups attached to it, such as, for example, 1,2-dihydroxynaphthalene. The “polyhydric phenol” may be substituted. Suitable substituents are described below.

[0089]

The polyhydric phenol is preferably a compound of formula

[0000]

[0000]

wherein R25 can be the same, or different in each occurrence and is a hydrogen atom, a halogen atom, a C1-C18alkyl group, a C1-C18alkoxy group, or a group —C(═O)—R26,

[0090]

R26 is a hydrogen atom, a hydroxy group, a C1-C18alkyl group, unsubstituted or substituted amino group, unsubstituted or substituted phenyl group, or a C1-C18alkoxy group, and

[0091]

n3 is a number of 1 to 4,

[0092]

m3 is a number of 2 to 4, and

[0093]

the sum of m3 and n3 is 6.

[0094]

The polyhydric phenol is more preferably a compound of formula

[0000]

[0000]

wherein

[0095]

R25a and R25b are independently of each other a hydrogen atom, a C1-C18alkyl group, a C1-C18alkoxy group, or a group of formula —C(═O)—R26,

[0096]

R26 is a hydrogen atom, a hydroxy group, a C1-C18alkyl group, an unsubstituted or substituted amino group, unsubstituted or substituted phenyl group, or a C1-C18alkoxy group, and

[0097]

m3 is a number of 2 to 4, especially 2 to 3. Polyhydric phenols are preferred, which have two hydroxy groups in ortho-position.

[0098]

Even more preferably, the polyhydric phenol is a compound of formula

[0000]

[0000]

wherein R25 is a hydrogen atom, or a group of formula —C(═O)—R26, wherein R26 is a hydrogen atom, a C1-C18alkyl group, or a C1-C18alkoxy group, an unsubstituted or substituted amino group, especially a C1-C18alkyl group or C1-C8alkoxy group.

[0099]

Most preferred, the polyhydric phenol is a compound of formula

[0000]

[0000]

wherein R26 is a hydrogen atom, a C1-C18alkyl group, or a C1-C18alkoxy group, especially a C1-C8alkoxy group, such as, for example,

[0000]

[0100]

In another preferred embodiment of the present invention the polyhydric phenols are compounds of formula

[0000]

[0000]

wherein R25 is a hydrogen atom, a C1-C18alkyl group, or a group of formula —C(═O)—R26, wherein R26 is a hydrogen atom, a hydroxy group, a C1-C18alkyl group, or a C1-C18alkoxy group, an unsubstituted or substituted amino group, an unsubstituted or substituted phenyl group, especially a C1-C18alkyl group or C1-C8alkoxy group, such as, for example,

[0000]

[0101]

An unsubstituted or substituted amino group is, for example, a group of formula —NR27R28, wherein R27 and R28 are independently of each other a hydrogen atom, a C1-C18alkyl group, a phenyl group, preferably a hydrogen atom, or a C1-C18alkyl group.

[0102]

In a particularly preferred embodiment the stabilizing agent is selected from compounds of formula (IIb), (IIc), or mixtures thereof.

[0103]

In another preferred embodiment the stabilizing agent is a dithiocarbamate salt, especially a dithiocarbamate salt of formula

[0000]

[0000]

wherein

[0104]

R112 and R113 are independently of each other a C1-C18alkyl group, a C1-C18alkyl group substituted with a hydroxy group; a C3-C18alkenyl group, a C3-C12cycloalkyl group, a C6-C12aryl group, which may be substituted by one, or more C1-C4alkyl groups, or C1-C4alkoxy groups; C2-C12heteroaryl group, which may be substituted by one, or more C1-C4alkyl groups, or C1-C4alkoxy groups; or a C7-C18aralkyl group; or R112 and R113 together with the nitrogen atom, to which they are bound, form a heterocycle, such as, for example, a piperidine ring; and Catp+ is selected from the group of H+, an alkali metal cation (e.g. sodium, or potassium), an alkaline earth metal cation (e.g. magnesium, or calcium), or a group+NR114R115R116R117, wherein R114, R115, R116 and R117 are independently of each other H, a C1-C18alkyl group, or a C7-C18aralkyl group and at least two of the substituents R114, R115, R116 and R117 are different from H (e.g. dimethylammonium, diethylammonium, triethylammonium, tetrabutylammonium, tributylmethylammonium, trioctylmethylammonium, or dibenzylammonium cation), or two or more of substituents R114, R115, R116 and R117 together with the nitrogen atom, to which they are bound, form a heterocycle, such as for example piperidine ring or morpholine ring; or Catn+ is a protonated form of an alkylated guanidine compound, such as 1,1,3,3-tetramethylguanidine and 2-tert-butyl-1,1,3,3-tetramethylguanidine; or a protonated form of an amidine-type base, such as 1,8-diazabicyclo[5.4.0]undec-7-en (DBU) and 1,5-diazabicyclo[4.3.0]non-5-en (DBN); or a protonated form of 1,4-diazabicyclo[2.2.2]octan (DABCO).

[0105]

R112 and R113 are preferably independently of each other a C2-C18alkyl group, or a C7-C12aralkyl group or R112 and R113 together with the nitrogen atom, to which they are bound, form a 4-8 membered heterocycle ring.

[0106]

Catp+ is preferably Na+, K+, diethylammonium, diisopropylammonium, dibenzylammonium, triethylammonium, diisopropylethyl ammonium, tri-n-butylammonium, tri-n-octyl ammonium, tetramethylammonium, tetraethylammonium, tetra-n-butylammonium or triethylbenzylammonium.

[0107]

C1-C18alkyl (C1-C18alkyl) is typically linear or branched, where possible. Examples are methyl, ethyl, n-propyl, isopropyl, n-butyl, sec.-butyl, isobutyl, tert.-butyl, n-pentyl, 2-pentyl, 3-pentyl, 2,2-dimethylpropyl, 1,1,3,3-tetramethylpentyl, n-hexyl, 1-methylhexyl, 1,1,3,3,5,5-hexamethylhexyl, n-heptyl, isoheptyl, 1,1,3,3-tetramethylbutyl, 1-methylheptyl, 3-methylheptyl, n-octyl, 1,1,3,3-tetramethylbutyl and 2-ethylhexyl, n-nonyl, decyl, undecyl, dodecyl, tridecyl, tetradecyl, pentadecyl, hexadecyl, heptadecyl and octadecyl.

[0108]

Examples of a C3-C12cycloalkyl are cyclopentyl, cyclohexyl, cycloheptyl, or cyclooctyl.

[0109]

Examples of C6-C12aryl are phenyl, 1-naphthyl, 2-naphthyl, 3- or 4-biphenyl, which may be unsubstituted, or substituted by one, or more C1-C4alkyl groups, or C1-C4alkoxy groups.

[0110]

C1-C4alkyl is typically methyl, ethyl, n-propyl, isopropyl, n-butyl, sec.-butyl, isobutyl, or tert.-butyl.

[0111]

C1-C4alkoxy is typically methoxy, ethoxy, n-propoxy, isopropoxy, n-butoxy, sec.-butoxy, isobutoxy, or tert.-butoxy.

[0112]

Examples of C7-C18aralkyl are benzyl, 2-benzyl-2-propyl, β-phenyl-ethyl, α,α-dimethylbenzyl, ω-phenyl-butyl, or ω,ω-dimethyl-ω-phenyl-butyl, in which both the aliphatic hydrocarbon group and aromatic hydrocarbon group may be unsubstituted or substituted. Preferred examples are benzyl, 2-phenylethyl and 3-phenylpropyl.

[0113]

Examples of dithiocarbamate salts are sodium diethyldithiocarbamate, diethylammonium diethyldithiocarbamate, ammonium triethylammonium diethyldithiocarbamate, sodium di-n-butyldithiocarbamate, sodium diisobutyldithiocarbamate, and sodium dibenzyldithiocarbamate, sodium di-n-octyldithiocarbamate, potassium methyl-n-octadecyldithiocarbamate, tributylammonium methyl-n-octadecyldithiocarbamate, dibenzylammonium dibenzyl dithiocarbamate, ethyldiisopropylammonium dibenzyldithiocarbamate, tri-n-butylammonium di-n-butyldithiocarbamate, diisopropylethylammonium methyl-n-octadecyldithiocarbamate, di-n-octylammonium di-n-octyldithiocarbamate and tributylammonium piperidinedithiocarbamate.

[0114]

The most preferred (surface) stabilizing agents (surface stabilizing agents and stabilizing agents), or mixtures thereof are shown in the below table.

[0000]

SA-1A-1
SA-2A-1B-1
SA-3A-1B-1C-2
SA-4A-1B-1C-3
SA-5A-1B-1C-6
SA-6A-1B-1C-7
SA-7A-1B-1C-8
SA-8A-1B-1C-9
SA-9A-1B-2
SA-10A-1B-2C-2
SA-11A-1B-2C-3
SA-12A-1B-2C-6
SA-13A-1B-2C-7
SA-14A-1B-2C-8
SA-15A-1B-2C-9
SA-16A-1B-3
SA-17A-1B-3C-2
SA-18A-1B-3C-3
SA-19A-1B-3C-6
SA-20A-1B-3C-7
SA-21A-1B-3C-8
SA-22A-1B-3C-9
SA-23A-1B-7
SA-24A-1B-7C-2
SA-25A-1B-7C-3
SA-26A-1B-7C-6
SA-27A-1B-7C-7
SA-28A-1B-7C-8
SA-29A-1B-7C-9
SA-30A-1C-2
SA-31A-1C-3
SA-32A-1C-6
SA-33A-1C-7
SA-34A-1C-8
SA-35A-1C-9
SA-36A-2
SA-37A-2B-1
SA-38A-2B-1C-2
SA-39A-2B-1C-3
SA-40A-2B-1C-6
SA-41A-2B-1C-7
SA-42A-2B-1C-8
SA-43A-2B-1C-9
SA-44A-2B-2
SA-45A-2B-2C-2
SA-46A-2B-2C-3
SA-47A-2B-2C-6
SA-48A-2B-2C-7
SA-49A-2B-2C-8
SA-50A-2B-2C-9
SA-51A-2B-3
SA-52A-2B-3C-2
SA-53A-2B-3C-3
SA-54A-2B-3C-6
SA-55A-2B-3C-7
SA-56A-2B-3C-8
SA-57A-2B-3C-9
SA-58A-2B-7
SA-59A-2B-7C-2
SA-60A-2B-7C-3
SA-61A-2B-7C-6
SA-62A-2B-7C-7
SA-63A-2B-7C-8
SA-64A-2B-7C-9
SA-65A-2C-2
SA-66A-2C-3
SA-67A-2C-6
SA-68A-2C-7
SA-69A-2C-8
SA-70A-2C-9
SA-71A-3
SA-72A-3B-1
SA-73A-3B-1C-2
SA-74A-3B-1C-3
SA-75A-3B-1C-6
SA-76A-3B-1C-7
SA-77A-3B-1C-8
SA-78A-3B-1C-9
SA-79A-3B-2
SA-80A-3B-2C-2
SA-81A-3B-2C-3
SA-82A-3B-2C-6
SA-83A-3B-2C-7
SA-84A-3B-2C-8
SA-85A-3B-2C-9
SA-86A-3B-3
SA-87A-3B-3C-2
SA-88A-3B-3C-3
SA-89A-3B-3C-6
SA-90A-3B-3C-7
SA-91A-3B-3C-8
SA-92A-3B-3C-9
SA-93A-3B-7
SA-94A-3B-7C-2
SA-95A-3B-7C-3
SA-96A-3B-7C-6
SA-97A-3B-7C-7
SA-98A-3B-7C-8
SA-99A-3B-7C-9
SA-100A-3C-2
SA-101A-3C-3
SA-102A-3C-6
SA-103A-3C-7
SA-104A-3C-8
SA-105A-3C-9
SA-106A-4
SA-107A-4B-1
SA-108A-4B-1C-2
SA-109A-4B-1C-3
SA-110A-4B-1C-6
SA-111A-4B-1C-7
SA-112A-4B-1C-8
SA-113A-4B-1C-9
SA-114A-4B-2
SA-115A-4B-2C-2
SA-116A-4B-2C-3
SA-117A-4B-2C-6
SA-118A-4B-2C-7
SA-119A-4B-2C-8
SA-120A-4B-2C-9
SA-121A-4B-3
SA-122A-4B-3C-2
SA-123A-4B-3C-3
SA-124A-4B-3C-6
SA-125A-4B-3C-7
SA-126A-4B-3C-8
SA-127A-4B-3C-9
SA-128A-4B-7
SA-129A-4B-7C-2
SA-130A-4B-7C-3
SA-131A-4B-7C-6
SA-132A-4B-7C-7
SA-133A-4B-7C-8
SA-134A-4B-7C-9
SA-135A-4C-2
SA-136A-4C-3
SA-137A-4C-6
SA-138A-4C-7
SA-139A-4C-8
SA-140A-4C-9
SA-141A-5
SA-142A-5B-1
SA-143A-5B-1C-2
SA-144A-5B-1C-3
SA-145A-5B-1C-6
SA-146A-5B-1C-7
SA-147A-5B-1C-8
SA-148A-5B-1C-9
SA-149A-5B-2
SA-150A-5B-2C-2
SA-151A-5B-2C-3
SA-152A-5B-2C-6
SA-153A-5B-2C-7
SA-154A-5B-2C-8
SA-155A-5B-2C-9
SA-156A-5B-3
SA-157A-5B-3C-2
SA-158A-5B-3C-3
SA-159A-5B-3C-6
SA-160A-5B-3C-7
SA-161A-5B-3C-8
SA-162A-5B-3C-9
SA-163A-5B-7
SA-164A-5B-7C-2
SA-165A-5B-7C-3
SA-166A-5B-7C-6
SA-167A-5B-7C-7
SA-168A-5B-7C-8
SA-169A-5B-7C-9
SA-170A-5C-2
SA-171A-5C-3
SA-172A-5C-6
SA-173A-5C-7
SA-174A-5C-8
SA-175A-5C-9
SA-176A-6
SA-177A-6B-1
SA-178A-6B-1C-2
SA-179A-6B-1C-3
SA-180A-6B-1C-6
SA-181A-6B-1C-7
SA-182A-6B-1C-8
SA-183A-6B-1C-9
SA-184A-6B-2
SA-185A-6B-2C-2
SA-186A-6B-2C-3
SA-187A-6B-2C-6
SA-188A-6B-2C-7
SA-189A-6B-2C-8
SA-190A-6B-2C-9
SA-191A-6B-3
SA-192A-6B-3C-2
SA-193A-6B-3C-3
SA-194A-6B-3C-6
SA-195A-6B-3C-7
SA-196A-6B-3C-8
SA-197A-6B-3C-9
SA-198A-6B-7
SA-199A-6B-7C-2
SA-200A-6B-7C-3
SA-201A-6B-7C-6
SA-202A-6B-7C-7
SA-203A-6B-7C-8
SA-204A-6B-7C-9
SA-205A-6C-2
SA-206A-6C-3
SA-207A-6C-6
SA-208A-6C-7
SA-209A-6C-8
SA-210A-6C-9
SA-211A-7
SA-212A-7B-1
SA-213A-7B-1C-2
SA-214A-7B-1C-3
SA-215A-7B-1C-6
SA-216A-7B-1C-7
SA-217A-7B-1C-8
SA-218A-7B-1C-9
SA-219A-7B-2
SA-220A-7B-2C-2
SA-221A-7B-2C-3
SA-222A-7B-2C-6
SA-223A-7B-2C-7
SA-224A-7B-2C-8
SA-225A-7B-2C-9
SA-226A-7B-3
SA-227A-7B-3C-2
SA-228A-7B-3C-3
SA-229A-7B-3C-6
SA-230A-7B-3C-7
SA-231A-7B-3C-8
SA-232A-7B-3C-9
SA-233A-7B-7
SA-234A-7B-7C-2
SA-235A-7B-7C-3
SA-236A-7B-7C-6
SA-237A-7B-7C-7
SA-238A-7B-7C-8
SA-239A-7B-7C-9
SA-240A-7C-2
SA-241A-7C-3
SA-242A-7C-6
SA-243A-7C-7
SA-244A-7C-8
SA-245A-7C-9
SA-246A-8
SA-247A-8B-1
SA-248A-8B-1C-2
SA-249A-8B-1C-3
SA-250A-8B-1C-6
SA-251A-8B-1C-7
SA-252A-8B-1C-8
SA-253A-8B-1C-9
SA-254A-8B-2
SA-255A-8B-2C-2
SA-256A-8B-2C-3
SA-257A-8B-2C-6
SA-258A-8B-2C-7
SA-259A-8B-2C-8
SA-260A-8B-2C-9
SA-261A-8B-3
SA-262A-8B-3C-2
SA-263A-8B-3C-3
SA-264A-8B-3C-6
SA-265A-8B-3C-7
SA-266A-8B-3C-8
SA-267A-8B-3C-9
SA-268A-8B-7
SA-269A-8B-7C-2
SA-270A-8B-7C-3
SA-271A-8B-7C-6
SA-272A-8B-7C-7
SA-273A-8B-7C-8
SA-274A-8B-7C-9
SA-275A-8C-2
SA-276A-8C-3
SA-277A-8C-6
SA-278A-8C-7
SA-279A-8C-8
SA-280A-8C-9
SA-281A-9
SA-282A-9B-1
SA-283A-9B-1C-2
SA-284A-9B-1C-3
SA-285A-9B-1C-6
SA-286A-9B-1C-7
SA-287A-9B-1C-8
SA-288A-9B-1C-9
SA-289A-9B-2
SA-290A-9B-2C-2
SA-291A-9B-2C-3
SA-292A-9B-2C-6
SA-293A-9B-2C-7
SA-294A-9B-2C-8
SA-295A-9B-2C-9
SA-296A-9B-3
SA-297A-9B-3C-2
SA-298A-9B-3C-3
SA-299A-9B-3C-6
SA-300A-9B-3C-7
SA-301A-9B-3C-8
SA-302A-9B-3C-9
SA-303A-9B-7
SA-304A-9B-7C-2
SA-305A-9B-7C-3
SA-306A-9B-7C-6
SA-307A-9B-7C-7
SA-308A-9B-7C-8
SA-309A-9B-7C-9
SA-310A-9C-2
SA-311A-9C-3
SA-312A-9C-6
SA-313A-9C-7
SA-314A-9C-8
SA-315A-9C-9
SA-316A-10
SA-317A-10B-1
SA-318A-10B-1C-2
SA-319A-10B-1C-3
SA-320A-10B-1C-6
SA-321A-10B-1C-7
SA-322A-10B-1C-8
SA-323A-10B-1C-9
SA-324A-10B-2
SA-325A-10B-2C-2
SA-326A-10B-2C-3
SA-327A-10B-2C-6
SA-328A-10B-2C-7
SA-329A-10B-2C-8
SA-330A-10B-2C-9
SA-331A-10B-3
SA-332A-10B-3C-2
SA-333A-10B-3C-3
SA-334A-10B-3C-6
SA-335A-10B-3C-7
SA-336A-10B-3C-8
SA-337A-10B-3C-9
SA-338A-10B-7
SA-339A-10B-7C-2
SA-340A-10B-7C-3
SA-341A-10B-7C-6
SA-342A-10B-7C-7
SA-343A-10B-7C-8
SA-344A-10B-7C-9
SA-345A-10C-2
SA-346A-10C-3
SA-347A-10C-6
SA-348A-10C-7
SA-349A-10C-8
SA-350A-10C-9

[0115]

In a particularly preferred embodiment the mean diameter of the silver nanoplatelets is in the range of 40 to 50 nm with standard deviation being less than 30% and the mean thickness of the silver nanoplatelets is in the range of 15 to 22 nm with standard deviation being less than 30%. The mean aspect ratio of the silver nanoplatelets is higher than 1.7.

[0116]

In said embodiment the highest wavelength absorption maximum of the population of all silver nanoplatelets in the composition being within the range of 480 to 500 nm (measured in water at ca. 5*10-5 M (mol/l) concentration of silver). The absorption maximum has a full width at half maximum (FWHM) value in the range of 70 to 95 nm.

[0117]

In said embodiment the silver nanoplatelets preferably bear a surface stabilizing agent of formula

[0000]

[0000]

wherein R1 is H, or a C1-C8alkyl group, especially H, or CH3, and

[0118]

k1 is 22 to 450, especially 22 to 150; especially a compound (A-1), (A-2), (A-3), (A-4), (A-5), (A-6), (A-7), (A-8), (A-9), (A-10), or mixtures thereof, very especially a compound (A-4).

[0119]

In said embodiment the silver nanoplatelets preferably bear a stabilizing agent of formula (IIb) and optionally a stabilizing agent of formula (IIc). The stabilizing agent of formula (IIb) is especially a compound (B-1), (B-2), (B-3), (B-4), (B-5), (B-6), or (B-7), very especially a compound (B-3). The stabilizing agent of formula (IIc) is especially a compound (C-1), (C-2), (C-3), (C-4), (C-5), (C-6), (C-7), (C-8), or (C-9), very especially a compound (C-2).

[0120]

In another particularly preferred embodiment the mean diameter of the silver nanoplatelets is in the range of 37 to 47 nm with standard deviation being less than 30% and the mean thickness of the silver nanoplatelets is in the range of 9 to 15 nm with standard deviation being less than 30%. The mean aspect ratio of the silver nanoplatelets is higher than 1.7.

[0121]

In said embodiment the highest wavelength absorption maximum of the population of all silver nanoplatelets in the composition being within the range of 510 to 530 nm (measured in water at ca. 5*10-5 M (mol/l) concentration of silver). The absorption maximum has a full width at half maximum (FWHM) value in the range of 70 to 90 nm.

[0122]

In said embodiment the silver nanoplatelets preferably bear a surface stabilizing agent of formula

[0000]

[0000]

wherein R1 is H, or a C1-C8alkyl group, especially H, or CH3, and

[0123]

k1 is 22 to 450, especially 22 to 150; especially a compound (A-1), (A-2), (A-3), (A-4), (A-5), (A-6), (A-7), (A-8), (A-9), (A-10), or mixtures thereof.

[0124]

In said embodiment the silver nanoplatelets preferably bear a stabilizing agent of formula (IIb) and optionally a stabilizing agent of formula (IIc). The stabilizing agent of formula (IIb) is especially a compound (B-1), (B-2), (B-3), (B-4), (B-5), (B-6), or (B-7), very especially a compound (B-3). The stabilizing agent of formula (IIc) is especially a compound (C-1), (C-2), (C-3), (C-4), (C-5), (C-6), (C-7), (C-8), or (C-9), very especially a compound (C-2).

[0125]

A process for producing the composition according to the present invention, comprising the silver nanoplatelets, comprises the following steps:

[0126]

(a) preparing a first solution comprising a silver precursor, at least one complexing agent, optionally a base, a compound of formula

[0000]

[0000]

and water,

[0127]

(b) preparing a reducing agent mixture comprising at least two reducing agents, optionally a base and water,

[0128]

(c) combining the first solution with the reducing agent mixture so as to allow the silver precursor to react with the reducing agents, thereby synthesizing the composition, comprising the silver nanoplatelets.

[0129]

R1 is H, C1-C18alkyl, phenyl, C1-C8alkylphenyl, or CH2COOH;

[0130]

R2, R3, R4, R5, R6 and R7 are independently of each other H, C1-C8alkyl, or phenyl;

[0131]

Y is O, or NR8;

[0132]

R8 is H, or C1-C8alkyl;

[0133]

k1 is an integer in the range of from 1 to 500,

[0134]

k2 and k3 are independently of each other 0, or integers in the range of from 1 to 250;

[0135]

k4 is 0, or 1,

[0136]

k5 is an integer in the range of from 1 to 5.

[0137]

One compound, such as, for example, ammonia, an organoamine, methylglycine diacetic acid trisodium salt, or ethylenediaminetetraacetic acid tetrasodium salt, may simultaneously serve as complexing agent and base.

[0138]

Preferably, the reaction of silver nanoplatelets formation is carried out at a total silver concentration of >1% w/w, especially >2% w/w, after combining the first solution with the reducing agent mixture solution.

[0139]

Preferably, the reaction of silver nanoplatelets formation is carried out by gradually adding the silver precursor solution into reducing agent mixture solution, whereas the temperature of reducing agent mixture solution is in the range of 0-60° C. and the gradual addition is completed within 15 minutes to 10 h.

[0140]

The silver precursor is preferably a silver(I) compound, selected from the group consisting of AgNO3; AgClO4; Ag2SO4; AgCl; AgF; AgOH; Ag2O; AgBF4; AgIO3; AgPF6; R200CO2Ag, R200SO3Ag, wherein R200 is unsubstituted or substituted C1-C18alkyl, unsubstituted or substituted C5-C8cycloalkyl, unsubstituted or substituted C7-C18aralkyl, unsubstituted or substituted C6-C18aryl or unsubstituted or substituted C2-C1heteroaryl; Ag salts of dicarboxylic, tricarboxylic, polycarboxylic acids, polysulfonic acids, P-containing acids and mixtures thereof.

[0141]

AgNO3, Ag2O, AgClO4, Ag2SO4, AgF, CH3CO2Ag, mono-, di- or trisilver citrate, CH3SO3Ag, CF3SO3Ag are more preferred, wherein AgNO3 is most preferred.

[0142]

Nonlimiting examples of complexing agents include ammonia, methylamine, dimethylamine, ethylamine, ethylenediamine, diethylenetriamine, ethylene-diamine-tetraacetic acid (EDTA); ethylenediamine N,N′-disuccinic acid (EDDS); methyl glycine diacetic acid (MGDA); diethylene triamine penta acetic acid (DTPA); propylene diamine tetracetic acid (PDT A); 2-hydroxypyridine-N-oxide (HPNO); glutamic acid N,N-diacetic acid (N,N-dicarboxymethyl glutamic acid tetrasodium salt (GLDA); nitrilotriacetic acid (NTA); 4,5-dihydroxy-m-benzenedisulfonic acid; citric acid and any salts thereof; N-hydroxyethylethylenediaminetri-acetic acid (HEDTA), triethylenetetraaminehexaacetic acid (TTHA), N-hydroxyethyliminodiacetic acid (HEIDA), dihydroxyethylglycine (DHEG), ethylenediaminetetrapropionic acid (EDTP) and derivatives thereof, such as, for example, trisodium salt of methylglycinediacetic acid (Na3MGDA) and tetrasodium salt of EDTA.

[0143]

The reducing agent mixture comprises at least two reducing agents. One reducing agent is selected from the group consisting of alkali, or alkaline earth metal borohydrides, such as sodium borohydride, alkali, or alkaline earth metal acyloxyborohydrides, such as sodium triacetoxyborohydride, alkali, or alkaline earth metal alkoxy- or aryloxyborohydrides, such as sodium trimethoxyborohydride, aryloxyboranes, such as catecholborane, dialkylsulfide-borane complexes, such as dimethylsulfide borane, and amine-borane complexes, such as diethylaniline borane, tert-butylamine borane, morpholine borane, dimethylamine borane, triethylamine borane, pyridine borane, ammonia borane and mixtures thereof. The other reducing agent is selected from NH2NH2, mono- or dialkylhydrazines and mixtures thereof. In a particularly preferred embodiment the reducing agent mixture comprises morpholine borane complex and NH2NH2.

[0144]

Preferably, the molar ratio of boron-containing reducing agent to hydrazine-type reducing agent is below 1 to 10, especially below 1 to 20.

[0145]

Nonlimiting examples of base are alkali metal hydroxides, alkali earth metal hydroxides, alkali metal carboxylate salts, amines and combinations thereof. The most preferred base is NH3.

[0146]

Preferably, the process comprises the following steps.

[0147]

(a) preparing a first solution comprising AgNO3, diethylenetriamine and methylglycine diacetic acid trisodium salt, NH3, a compound of formula

[0000]

[0000]

and water,

[0148]

(b) preparing a reducing agent mixture comprising NH3, hydrazine monohydrate and borane-morpholine complex,

[0149]

(c) dosing the first solution into the reducing agent mixture to form the composition, comprising the silver nanoplatelets.

[0150]

R1 is H, or a C1-C8alkyl group and k1 is 22 to 450, especially 22 to 150.

[0151]

The process is preferably carried out under inert atmosphere. Dosing the first solution into the reducing agent mixture solution within 15 minutes to 10 h.

[0152]

The silver nanoplatelets can be isolated by known methods such as decantation, filtration, centrifugation, reversible or irreversible agglomeration, phase transfer with organic solvent and combinations thereof. The silver nanoplatelets may be obtained after isolation as a wet paste or dispersion in water. The silver nanoplatelets content in the final preparation of said particles may be up to about 99% by weight, based on the total weight of the preparation, preferably between 5 to 99% by weight, more preferably 10-95% by weight.

[0153]

A preferred aspect of the present invention relates to a method which comprises further a step d), wherein the dispersion of the silver nanoplatelets is concentrated and/or water is replaced at least partially with an organic solvent. Examples of suitable organic solvents are ethanol, isopropanol, ethyl acetate, ethyl-3-ethoxypropionate and 1-methoxy-2-propanol, or mixtures thereof, optionally with water.

[0154]

Optionally, further stabilizing agents may be added in step c) before water is removed.

[0155]

Another process for producing the composition according to the present invention, comprising the silver nanoplatelets, comprises:

[0156]

(a) preparing a first solution comprising a silver precursor, a compound of formula

[0000]

[0000]

and water,

[0157]

(b) adding a hydrogen peroxide solution in water and shortly thereafter a solution, comprising a first reducing agent, which comprises at least one boron atom in the molecule, and water and allowing the obtained solution to stir until gas evolution is complete, and adding hydrazine or its solution in water,

[0158]

(c) adding a second solution comprising a silver precursor, a complexing agent, a base and water, thereby synthesizing the composition, comprising the silver nanoplatelets.

[0159]

Preferably, the silver salt is selected from the group consisting of silver nitrate, silver acetate, silver perchlorate, silver fluoride, silver methanesulfonate, silver trifluoromethanesulfonate, silver sulfate, and mixtures thereof. Silver nitrate is most preferred.

[0160]

The first reducing agent is selected from the group consisting of alkali, or alkaline earth metal borohydrides, such as sodium borohydride, alkali, or alkaline earth metal acyloxyborohydrides, such as sodium triacetoxyborohydride, alkali, or alkaline earth metal alkoxy- or aryloxyborohydrides, such as sodium trimethoxyborohydride, aryloxyboranes, such as catecholborane, dialkylsulfide-borane complexes, such as dimethylsulfide borane, and amine-borane complexes, such as diethylaniline borane, tert-butylamine borane, morpholine borane, dimethylamine borane, triethylamine borane, pyridine borane, ammonia borane and mixtures thereof.

[0161]

Nonlimiting examples of base are alkali metal hydroxides, alkali earth metal hydroxides, alkali metal carboxylates, amines and combinations thereof. The at present most preferred base is NH3.

[0162]

One compound, such as, for example, ammonia, an organoamine, methylglycine diacetic acid trisodium salt, or ethylenediaminetetraacetic acid tetrasodium salt, may simultaneously serve as complexing agent and base.

[0163]

Preferably, the reaction of silver nanoplatelets formation is carried out at a total silver concentration of >1% w/w after combining the first solution with the second solution.

[0164]

Preferably, the reaction of silver nanoplatelets formation is carried out by gradually adding the silver precursor solution into reducing agent solution, whereas the temperature of reducing agent mixture solution is in the range of 0-60° C. and the gradual addition is completed within 15 minutes to 10 h time.

[0165]

In a further embodiment the present invention is directed to coating, or printing ink compositions, comprising the composition according to the present invention, comprising the silver nanoplatelets.

[0166]

The coating, or printing ink composition comprises

[0167]

(i) the composition according to the present invention, comprising the silver nanoplatelets,

[0168]

(ii) a binder, and

    • (iii) optionally a solvent.

[0170]

The weight ratio of silver nanoplatelets to binder is in the range from 20:1 to 1:2 in case the binder is a polymeric binder, or is in the range from 5:1 to 1:15 in case the binder is an UV curable binder (UV curable composition).

[0171]

In case of a polymeric binder the coating, or printing ink composition normally comprises:

[0172]

(i) the silver nanoplatelets in an amount of 0.5 to 40% by weight, preferably 1 to 30% by weight,

[0173]

(ii) a polymeric binder in an amount of from 0.05 to 40% by weight, preferably 0.1 to 30% by weight, and

[0174]

(iii) a solvent in an amount of 10 to 99% by weight, preferably 20 to 99% by weight, wherein the amounts of components (i), (ii) and (iii) are based on the total weight of the components (i), (ii) and (iii).

[0175]

The solvent is preferably selected from alcohols (such as methanol, ethanol, 1-propanol, 2-propanol, 1-butanol, 2-butanol, isobutanol, tert-butanol, tert-pentanol), cyclic or acyclic ethers (such as diethyl ether, tetrahydrofuran and 2-methyltetrahydrofurane), ketones (such as acetone, 2-butanone, 3-pentanone), ether-alcohols (such as 2-methoxyethanol, 1-methoxy-2-propanol, ethylene glycol monobutyl ether, diethylene glycol monoethyl ether, diethylene glycol monopropyl ether, and diethylene glycol monobutyl ether), esters (such as ethyl acetate, ethyl propionate, and ethyl 3-ethoxypropionate), polar aprotic solvents (such as acetonitrile, dimethyl formamide, and dimethyl sulfoxide), mixtures thereof and mixtures with water. The preferred solvents include C2-C6alcohols, ethers, ether-alcohols, mixtures thereof and mixtures with water.

[0176]

The binder can be of organic or hybrid nature. Hybrid materials contain inorganic and organic components.

[0177]

Preferably, the binder is a high-molecular-weight organic compound (polymeric binder) conventionally used in coating compositions. High molecular weight organic materials usually have molecular weights of about from 103 to 108 g/mol or even more. They may be, for example, natural resins, drying oils, rubber or casein, or natural substances derived therefrom, such as chlorinated rubber, oil-modified alkyd resins, viscose, cellulose ethers or esters, such as ethylcellulose, cellulose acetate, cellulose propionate, cellulose acetobutyrate or nitrocellulose, but especially totally synthetic organic polymers (thermosetting plastics and thermoplastics), as are obtained by polymerisation, polycondensation or polyaddition. From the class of the polymerisation resins there may be mentioned, especially, polyolefins, such as polyethylene, polypropylene or polyisobutylene, and also substituted polyolefins, such as polymerisation products of vinyl chloride, vinyl acetate, styrene, acrylonitrile, acrylic acid esters, methacrylic acid esters or butadiene, and also copolymerisation products of the said monomers, such as especially ABS or EVA.

[0178]

With respect to the polymeric binder, a thermoplastic resin may be used, examples of which include, polyethylene based polymers [polyethylene (PE), ethylene-vinyl acetate copolymer (EVA), vinyl chloride-vinyl acetate copolymer, vinyl alcohol-vinyl acetate copolymer, polypropylene (PP), vinyl based polymers [poly(vinyl chloride) (PVC), poly(vinyl butyral) (PVB), poly(vinyl alcohol) (PVA), poly(vinylidene chloride) (PVdC), poly(vinyl acetate) (PVAc), poly(vinyl formal) (PVF)], polystyrene based polymers [polystyrene (PS), styrene-acrylonitrile copolymer (AS), acrylonitrile-butadiene-styrene copolymer (ABS)], acrylic based polymers [poly(methyl methacrylate) (PMMA), MMA-styrene copolymer], polycarbonate (PC), celluloses [ethyl cellulose (EC), cellulose acetate (CA), propyl cellulose (CP), cellulose acetate butyrate (CAB), cellulose nitrate (CN), also known as nitrocellulose], fluorin based polymers [polychlorofluoroethylene (PCTFE), polytetrafluoroethylene (PTFE), tetrafluoroethylene-hexafluoroethylene copolymer (FEP), poly(vinylidene fluoride) (PVdF)], urethane based polymers (PU), nylons [type 6, type 66, type 610, type 11], polyesters (alkyl) [polyethylene terephthalate (PET), polybutylene terephthalate (PBT), polycyclohexane terephthalate (PCT)], novolac type phenolic resins, or the like. In addition, thermosetting resins such as resol type phenolic resin, a urea resin, a melamine resin, a polyurethane resin, an epoxy resin, an unsaturated polyester and the like, and natural resins such as protein, gum, shellac, copal, starch and rosin may also be used.

[0179]

The polymeric binder preferably comprises nitrocellulose, ethyl cellulose, cellulose acetate, cellulose acetate propionate (CAP), cellulose acetate butyrate (CAB), hydroxyethyl cellulose (HEC), hydroxypropyl cellulose (HPC), alcohol soluble propionate (ASP), vinyl chloride, vinyl acetate copolymers, vinyl acetate, vinyl, acrylic, polyurethane, polyamide, rosin ester, hydrocarbon, aldehyde, ketone, urethane, polythyleneterephthalate, terpene phenol, polyolefin, silicone, cellulose, polyamide, polyester, rosin ester resins, shellac and mixtures thereof, most preferred are soluble cellulose derivatives such as hydroxylethyl cellulose, hydroxypropyl cellulose, nitrocellulose, carboxymethylcellulose as well as chitosan and agarose, in particular hydroxyethyl cellulose and hydroxypropyl cellulose.

[0180]

Most preferred, the polymeric binder is selected from the group consisting of nitro cellulose, vinyl chloride, vinyl acetate copolymers, vinyl, acrylic, urethane, polythyleneterephthalate, terpene phenol, polyolefin, silicone, cellulose, polyamide, polyester and rosin ester resins or mixtures thereof.

[0181]

In case of an UV curable binder the composition the coating, or printing ink composition normally comprises:

[0182]

(i) the silver nanoplatelets, in an amount of 0.5 to 40% by weight, preferably 1 to 30% by weight,

[0183]

(ii) an UV curable binder in an amount of from 0.1 to 90% by weight, preferably 0.2 to 80% by weight, and

[0184]

(iii) optionally a solvent in an amount of 0 to 99% by weight, preferably 5 to 95% by weight, wherein the amounts of components (i), (ii) and (iii) are based on the total amount of components (i), (ii) and (iii).

[0185]

The UV curable composition is preferably deposited by means of gravure, offset flexographic, ink jet, offset and screen printing process.

[0186]

The UV curable composition comprises photoinitiator(s) and unsaturated compound(s) including one or more olefinic double bonds (binder).

[0187]

Examples of photoinitiators are known to the person skilled in the art and for example published by Kurt Dietliker in “A compilation of photoinitiators commercially available for UV today”, Sita Technology Textbook, Edinburgh, London, 2002.

[0188]

Examples of suitable acylphosphine oxide compounds are of the formula XII

[0000]

[0000]

wherein

[0189]

R50 is unsubstituted cyclohexyl, cyclopentyl, phenyl, naphthyl or biphenylyl; or is cyclohexyl, cyclopentyl, phenyl, naphthyl or biphenylyl substituted by one or more halogen, C1-C12alkyl, C1-C12alkoxy, C1-C12alkylthio or by NR53R54;

[0190]

or R50 is unsubstituted C1-C20alkyl or is C1-C20alkyl which is substituted by one or more halogen, C1-C12alkoxy, C1-C12alkylthio, NR53R54 or by —(CO)—O—C1-C24alkyl;

[0191]

R51 is unsubstituted cyclohexyl, cyclopentyl, phenyl, naphthyl or biphenylyl; or is cyclohexyl, cyclopentyl, phenyl, naphthyl or biphenylyl substituted by one or more halogen, C1-C12alkyl, C1-C12alkoxy, C1-C12alkylthio or by NR53R54; or R51 is —(CO)R′52; or R51 is C1-C12alkyl which is unsubstituted or substituted by one or more halogen, C1-C12alkoxy, C1-C12alkylthio, or by NR53R54;

[0192]

R52 and R′52 independently of each other are unsubstituted cyclohexyl, cyclopentyl, phenyl, naphthyl or biphenylyl, or are cyclohexyl, cyclopentyl, phenyl, naphthyl or biphenylyl substituted by one or more halogen, C1-C4alkyl or C1-C4alkoxy; or R52 is a 5- or 6-membered heterocyclic ring comprising an S atom or N atom;

[0193]

R53 and R54 independently of one another are hydrogen, unsubstituted C1-C12alkyl or C1-C12alkyl substituted by one or more OH or SH wherein the alkyl chain optionally is interrupted by one to four oxygen atoms; or R53 and R54 independently of one another are C2-C12-alkenyl, cyclopentyl, cyclohexyl, benzyl or phenyl;

[0194]

Specific examples are bis(2,4,6-trimethylbenzoyl)-phenylphosphine oxide; 2,4,6-trimethylbenzoyl-diphenyl-phosphine oxide; ethyl (2,4,6 trimethylbenzoyl phenyl) phosphinic acid ester; (2,4,6-trimethylbenzoyl)-2,4-dipentoxyphenylphosphine oxide, bis(2,6-dimethoxybenzoyl)-2,4,4-trimethylpentylphosphine oxide.

[0195]

Interesting further are mixtures of the compounds of the formula XII with compounds of the formula XI as well as mixtures of different compounds of the formula XII.

[0196]

Examples are mixtures of bis(2,6-dimethoxybenzoyl)-2,4,4-trimethylpentylphosphine oxide with 1-hydroxy-cyclohexyl-phenyl-ketone, of bis(2,4,6-trimethylbenzoyl)-phenylphosphine oxide with 2-hydroxy-2-methyl-1-phenyl-propan-1-one, of bis(2,4,6-trimethylbenzoyl)-phenylphosphine oxide with ethyl (2,4,6 trimethylbenzoyl phenyl) phosphinic acid ester, etc.

[0197]

Examples of suitable benzophenone compounds are compounds of the formula X:

[0000]

[0000]

wherein

[0198]

R65, R66 and R67 independently of one another are hydrogen, C1-C4alkyl, C1-C4-halogenalkyl, C1-C4alkoxy, Cl or N(C1-C4alkyl)2;

[0199]

R68 is hydrogen, C1-C4alkyl, C1-C4halogenalkyl, phenyl, N(C1-C4alkyl)2, COOCH3,

[0000]

[0200]

Q is a residue of a polyhydroxy compound having 2 to 6 hydroxy groups;

[0201]

x is a number greater than 1 but no greater than the number of available hydroxyl groups in Q;

[0202]

A is —[O(CH2)bCO]y— or —[O(CH2)bCO](y-1>—[O(CHR71CHR70)a]y—;

[0203]

R69 is hydrogen, methyl or ethyl; and if N is greater than 1 the radicals R69 may be the same as or different from each other;

[0204]

a is a number from 1 to 2;

[0205]

b is a number from 4 to 5;

[0206]

y is a number from 1 to 10;

[0207]

n is; and

[0208]

m is an integer 2-10.

[0209]

Specific examples are benzophenone, a mixture of 2,4,6-trimethylbenzophenone and 4-methylbenzophenone, 4-phenylbenzophenone, 4-methoxybenzophenone, 4,4′-dimethoxybenzophenone, 4,4′-dimethylbenzophenone, 4,4′-dichlorobenzophenone, 4,4′-dimethylaminobenzophenone, 4,4′-diethylaminobenzophenone, 4-methylbenzophenone, 2,4,6-trimethylbenzophenone, 4-(4-methylthiophenyl)benzophenone, 3,3′-dimethyl-4-methoxybenzophenone, methyl-2-benzoylbenzoate, 4-(2-hydroxyethylthio)benzophenone, 4-(4-tolylthio)benzophenone, 4-benzoyl-N,N,N-trimethylbenzenemethanaminium chloride, 2-hydroxy-3-(4-benzoylphenoxy)-N,N,N-trimethyl-1-propanaminium chloride monohydrate, 4-(13-acryloyl-1,4,7,10,13-pentaoxatridecyl)benzophenone, 4-benzoyl-N,N-dimethyl-N-[2-(1-oxo-2-propenyl)oxy]ethylbenzenemethanaminium chloride; [4-(2-hydroxy-ethylsulfanyl)-phenyl]-(4-isopropylphenyl)-methanone; biphenyl-[4-(2-hydroxy-ethylsulfanyl)-phenyl]-methanone; biphenyl-4-yl-phenyl-methanone; biphenyl-4-yl-p-tolyl-methanone; biphenyl-4-yl-m-tolyl-methanone; [4-(2-hydroxy-ethylsulfanyl)-phenyl]-p-tolyl-methanone; [4-(2-hydroxy-ethylsulfanyl)-phenyl]-(4-isopropyl-phenyl)-methanone; [4-(2-hydroxy-ethylsulfanyl)-phenyl]-(4-methoxy-phenyl)-methanone; 1-(4-benzoyl-phenoxy)-propan-2-one; [4-(2-hydroxy-ethylsulfanyl)-phenyl]-(4-phenoxy-phenyl)-methanone; 3-(4-benzoyl-phenyl)-2-dimethylamino-2-methyl-1-phenyl-propan-1-one; (4-chloro-phenyl)-(4-octylsulfanyl-phenyl)-methanone; (4-chloro-phenyl)-(4-dodecylsulfanyl-phenyl)-methanone; (4-bromo-phenyl)-(4-octylsulfanyl-phenyl)-methanone; (4-dodecylsulfanyl-phenyl)-(4-methoxy-phenyl)-methanone; (4-benzoyl-phenoxy)-acetic acid methyl ester; biphenyl-[4-(2-hydroxy-ethylsulfanyl)-phenyl]-methanone; 1-[4-(4-benzoylphenylsulfanyl)phenyl]-2-methyl-2-(4-methylphenylsulfonyl)propan-1-one.

[0210]

Examples of suitable alpha-hydroxy ketone, alpha-alkoxyketone or alpha-aminoketone compounds are of the formula (XI)

[0000]

[0000]

wherein

[0211]

R29 is hydrogen or C1-C18alkoxy;

[0212]

R30 is hydrogen, C1-C18alkyl, C1-C12hydroxyalkyl, C1-C18alkoxy, OCH2CH2—OR34, morpholino, S—C1-C18alkyl, a group —HC═CH2, —C(CH3)═CH2,

[0000]

[0213]

d, e and f are 1-3;

[0214]

c is 2-10;

[0215]

G1 and G2 independently of one another are end groups of the polymeric structure, preferably hydrogen or methyl;

[0216]

R34 is hydrogen,

[0000]

[0217]

R31 is hydroxy, C1-C18alkoxy, morpholino, dimethylamino or —O(CH2CH2O)g—C1-C16alkyl;

[0218]

g is 1-20;

[0219]

R32 and R33 independently of one another are hydrogen, C1-C6alkyl, C1-C18alkoxy or —O(CH2CH2O)g—C1-C16alkyl; or are unsubstituted phenyl or benzyl; or phenyl or benzyl substituted by C1-C12-alkyl; or R32 and R33 together with the carbon atom to which they are attached form a cyclohexyl ring;

[0220]

R35 is hydrogen, OR36 or NR37R38;

[0221]

R36 is hydrogen, C1-C12alkyl which optionally is interrupted by one or more non-consecutive O-atoms and which uninterrupted or interrupted C1-C12alkyl optionally is substituted by one or more OH,

[0222]

or R36 is

[0000]

[0223]

R37 and R38 independently of each other are hydrogen or C1-C12alkyl which is unsubstituted or is substituted by one or more OH;

[0224]

R39 is C1-C12alkylene which optionally is interrupted by one or more non-consecutive O, —(CO)—NH—C1-C12alkylene-NH—(CO)— or

[0000]

[0225]

with the proviso that R31, R32 and R33 not all together are C1-C18alkoxy or —O(CH2CH2O)g—C1-C16alkyl.

[0226]

Specific examples are 1-hydroxy-cyclohexyl-phenyl-ketone (optionally in admixture with benzophenone), 2-methyl-1 [4-(methylthio)phenyl]-2-morpholinopropan-1-one, 2-benzyl-2-dimethylamino-1-(4-morpholinophenyl)-butan-1-one, 2-dimethylamino-2-(4-methyl-benzyl)-1-(4-morpholin-4-yl-phenyl)-butan-1-one, (3,4-dimethoxy-benzoyl)-1-benzyl-1-dimethylamino propane, 1-[4-(2-hydroxyethoxy)-phenyl]-2-hydroxy-2-methyl-1-propan-1-one, 2,2-dimethoxy-1,2-diphenylethan-1-one, 2-hydroxy-2-methyl-1-phenyl-propan-1-one, 2-hydroxy-1-{4-[4-(2-hydroxy-2-methyl-propionyl)-benzyl]-phenyl}-2-methyl-propan-1-one, 2-hydroxy-1-{4-[4-(2-hydroxy-2-methyl-propionyl)-phenoxy]-phenyl}-2-methyl-propan-1-one, 2-hydroxy-1-{1-[4-(2-hydroxy-2-methyl-propionyl)-phenyl]-1,3,3-trimethyl-indan-5-yl}-2-methyl-propan-1-one.

[0227]

Examples of suitable phenylglyoxylate compounds are of the formula XIII

[0000]

[0000]

wherein

[0228]

R60 is hydrogen, C1-C12alkyl or

[0000]

[0229]

R55, R56, R57, R58 and R59 independently of one another are hydrogen, unsubstituted C1-C12alkyl or C1-C12alkyl substituted by one or more OH, C1-C4alkoxy, phenyl, naphthyl, halogen or by CN; wherein the alkyl chain optionally is interrupted by one or more oxygen atoms; or R55, R56, R57, R58 and R59 independently of one another are C1-C4alkoxy, C1-C4alkythio or NR52R53;

[0230]

R52 and R53 independently of one another are hydrogen, unsubstituted C1-C12alkyl or C1-C12alkyl substituted by one or more OH or SH wherein the alkyl chain optionally is interrupted by one to four oxygen atoms; or R52 and R53 independently of one another are C2-C12-alkenyl, cyclopentyl, cyclohexyl, benzyl or phenyl; and

[0231]

Y1 is C1-C12alkylene optionally interrupted by one or more oxygen atoms.

[0232]

Specific examples of the compounds of the formula XIII are oxo-phenyl-acetic acid 2-[2-(2-oxo-2-phenyl-acetoxy)-ethoxy]-ethyl ester, methyl α-oxo benzeneacetate. Examples of suitable oxime ester compounds are of the formula XIV

[0000]

[0233]

wherein z is 0 or 1;

[0234]

R70 is hydrogen, C3-C8cycloalkyl; C1-C12alkyl which is unsubstituted or substituted by one or more halogen, phenyl or by CN; or R70 is C2-C5alkenyl; phenyl which is unsubstituted or substituted by one or more C1-C6alkyl, halogen, CN, OR73, SR74 or by NR75R76; or R70 is C1-C8alkoxy, benzyloxy; or phenoxy which is unsubstituted or substituted by one or more C1-C6alkyl or by halogen;

[0235]

R71 is phenyl, naphthyl, benzoyl or naphthoyl, each of which is substituted by one or more halogen, C1-C12alkyl, C3-C8cycloalkyl, benzyl, phenoxycarbonyl, C2-C12alkoxycarbonyl, OR73, SR74, SOR74, SO2R74 or by NR75R76, wherein the substituents OR73, SR74 and NR75R76 optionally form 5- or 6-membered rings via the radicals R73, R74, R75 and/or R76 with further substituents on the phenyl or naphthyl ring; or each of which is substituted by phenyl or by phenyl which is substituted by one or more OR73, SR74 or by NR75R66;

[0236]

or R71 is thioxanthyl, or

[0000]

[0237]

R72 is hydrogen; unsubstituted C1-C20alkyl or C1-C20alkyl which is substituted by one or more halogen, OR73, SR74, C3-C8cycloalkyl or by phenyl; or is C3-C8cycloalkyl; or is phenyl which is unsubstituted or substituted by one or more C1-C6alkyl, phenyl, halogen, OR73, SR74 or by NR75R76; or is C2-C20alkanoyl or benzoyl which is unsubstituted or substituted by one or more C1-C6alkyl, phenyl, OR73, SR74 or by NR75R76; or is C2-C12alkoxycarbonyl, phenoxycarbonyl, CN, CONR75R76, NO2, C1-C4haloalkyl, S(O)y—C1-C6alkyl, or S(O)y-phenyl,

[0238]

y is 1 or 2;

[0239]

Y2 is a direct bond or no bond;

[0240]

Y3 is NO2 or

[0000]

[0241]

R73 and R74 independently of one another are hydrogen, C1-C20alkyl, C2-C12alkenyl, C3-C8cycloalkyl, C3-C8cycloalkyl which is interrupted by one or more, preferably 2, O, phenyl-C1-C3alkyl; or are C1-C8alkyl which is substituted by OH, SH, CN, C1-C8alkoxy, C1-C8alkanoyl, C3-C8cycloalkyl, by C3-C8cycloalkyl which is interrupted by one or more O, or which C1-C8alkyl is substituted by benzoyl which is unsubstituted or substituted by one or more C1-C6alkyl, halogen, OH, C1-C4alkoxy or by C1-C4alkylsulfanyl; or are phenyl or naphthyl, each of which is unsubstituted or substituted by halogen, C1-C12alkyl, C1-C12alkoxy, phenyl-C1-C3alkyloxy, phenoxy, C1-C12alkylsulfanyl, phenylsulfanyl, N(C1-C12alkyl)2, diphenylamino or by

[0000]

[0242]

R75 and R76 independently of each other are hydrogen, C1-C20alkyl, C2-C4hydroxyalkyl, C2-C10alkoxyalkyl, C2-C5alkenyl, C3-C8cycloalkyl, phenyl-C1-C3alkyl, C1-C8alkanoyl, C3-C12alkenoyl, benzoyl; or are phenyl or naphthyl, each of which is unsubstituted or substituted by C1-C12alkyl, benzoyl or by C1-C12alkoxy; or R75 and R76 together are C2-C6alkylene optionally interrupted by 0 or NR73 and optionally are substituted by hydroxyl, C1-C4alkoxy, C2-C4alkanoyloxy or by benzoyloxy;

[0243]

R77 is C1-C12alkyl, thienyl or phenyl which is unsubstituted or substituted by C1-C12alkyl, OR73, morpholino or by N-carbazolyl.

[0244]

Specific examples are 1,2-octanedione 1-[4-(phenylthio)phenyl]-2-(O-benzoyloxime), ethanone 1-[9-ethyl-6-(2-methylbenzoyl)-9H-carbazol-3-yl]-1-(O-acetyloxime), 9H-thioxanthene-2-carboxaldehyde 9-oxo-2-(O-acetyloxime), ethanone 1-[9-ethyl-6-(4morpholinobenzoyl)-9H-carbazol-3-yl]-1-(0-acetyloxime), ethanone 1-[9-ethyl-6-(2-methyl-4-(2-(1,3-dioxo-2-dimethyl-cyclopent-5-yl)ethoxy)-benzoyl)-9H-carbazol-3-yl]-1-(0-acetyloxime) (Adeka N-1919), ethanone 1-[9-ethyl-6-nitro-9H-carbazol-3-yl]-1-[2-methyl-4-(1-methyl-2-methoxy)ethoxy)phenyl]-1-(0-acetyloxime) (Adeka NC1831), etc.

[0245]

It is also possible to add cationic photoinitiators, such as benzoyl peroxide (other suitable peroxides are described in U.S. Pat. No. 4,950,581, column 19, lines 17-25), or aromatic sulfonium, phosphonium or iodonium salts, such as are described, for example, in U.S. Pat. No. 4,950,581, column 18, line 60 to column 19, line 10.

[0246]

Suitable sulfonium salt compounds are of formula XVa, XVb, XVc, XVd or XVe

[0000]

[0247]

wherein

[0248]

R80, R81 and R82 are each independently of the others unsubstituted phenyl, or phenyl substituted by —S-phenyl,

[0000]

[0000]

or by

[0000]

[0249]

R83 is a direct bond, S, O, CH2, (CH2)2, CO or NR89;

[0250]

R84, R85, R86 and R87 independently of one another are hydrogen, C1-C20alkyl, C3-C8cycloalkyl, C1-C20alkoxy, C2-C20alkenyl, CN, OH, halogen, C1-C6alkylthio, phenyl, naphthyl, phenyl-C1-C7alkyl, naphtyl-C1-C3alkyl, phenoxy, naphthyloxy, phenyl-C1-C7alkyloxy, naphtyl-C1-C3alkyloxy, phenyl-C2-C6alkenyl, naphthyl-C2-C4alkenyl, S-phenyl, (CO)R89, O(CO)R89, (CO)OR89, SO2R89 or OSO2R89;

[0251]

R88 is C1-C20alkyl, C1-C20hydroxyalkyl,

[0000]

[0252]

R89 is hydrogen, C1-C12alkyl, C1-C12hydroxyalkyl, phenyl, naphthyl or biphenylyl;

[0253]

R90, R91, R92 and R93 independently of one another have one of the meanings as given for R84; or R90 and R91 are joined to form a fused ring system with the benzene rings to which they are attached;

[0254]

R95 is a direct bond, S, O or CH2;

[0255]

R96 is hydrogen, C1-C20alkyl; C2-C20alkyl interrupted by one or more 0; or is -L-M-R98 or -L-R98;

[0256]

R97 has one of the meanings as given for R96 or is

[0000]

[0257]

R98 is a monovalent sensitizer or photoinitiator moiety;

[0258]

Ar1 and Ar2 independently of one another are phenyl unsubstituted or substituted by C1-C20alkyl, halogen or OR99;

[0259]

or are unsubstituted naphthyl, anthryl, phenanthryl or biphenylyl;

[0260]

or are naphthyl, anthryl, phenanthryl or biphenylyl substituted by C1-C20alkyl, OH or OR99;

[0261]

or are —Ar4-A1-Ar3 or

[0000]

[0262]

Ar3 is unsubstituted phenyl, naphthyl, anthryl, phenanthryl or biphenylyl;

[0263]

or is phenyl, naphthyl, anthryl, phenanthryl or biphenylyl substituted by C1-C20alkyl, OR99 or benzoyl;

[0264]

Ar4 is phenylene, naphthylene, anthrylene or phenanthrylene;

[0265]

A1 is a direct bond, S, O or C1-C20alkylene;

[0266]

X is CO, C(O)O, OC(O), O, S or NR99;

[0267]

L is a direct bond, S, O, C1-C20alkylene or C2-C20alkylene interrupted by one or more non-consecutive 0;

[0268]

R99 is C1-C20alkyl or C1-C20hydroxyalkyl; or is C1-C20alkyl substituted by O(CO)R102;

[0269]

M1 is S, CO or NR100;

[0270]

M2 is a direct bond, CH2, O or S;

[0271]

R100 and R101 independently of one another are hydrogen, halogen, C1-C8alkyl, C1-C8alkoxy or phenyl;

[0272]

R102 is C1-C20alkyl;

[0273]

R103 is

[0000]

[0000]

and

[0274]

E is an anion, especially PF6, SbF6, AsF6, BF4, (C6F5)4B, Cl, Br, HSO4, CF3—SO3, F—SO3,

[0000]

[0000]

CH3—SO3, ClO4, PO4, NO3, SO4, CH3—SO4, or

[0000]

[0275]

Specific examples of sulfonium salt compounds are for example Irgacure®270 (BASF SE); Cyracure® UVI-6990, Cyracure®UVI-6974 (DOW), Degacure®KI 85 (Degussa), SP-55, SP-150, SP-170 (Asahi Denka), GE UVE 1014 (General Electric), SarCat®KI-85 (=triarylsulfonium hexafluorophosphate; Sartomer), SarCat® CD 1010 (=mixed triarylsulfonium hexafluoroantimonate; Sartomer); SarCat® CD 1011(=mixed triarylsulfonium hexafluorophosphate; Sartomer).

[0276]

Suitable iodonium salt compounds are of formula XVI

[0000]

[0000]

wherein

[0277]

R110 and R111 are each independently of the other hydrogen, C1-C20alkyl, C1-C20alkoxy, OH-substituted C1-C20alkoxy, halogen, C2-C12alkenyl, C3-C8cycloalkyl, especially methyl, isopropyl or isobutyl; and

[0278]

E is an anion, especially PF6, SbF6, AsF6, BF4, (C6F5)4B, Cl, Br, HSO4, CF3—SO3, F—SO3,

[0000]

[0000]

CH3—SO3, C104, PO4, NO3, SO4, CH3—SO4 or

[0000]

[0279]

Specific examples of iodonium salt compounds are e.g. tolylcumyliodonium tetrakis(pentafluorophenyl)borate, 4-[(2-hydroxy-tetradecyloxy)phenyl]phenyliodonium hexafluoroantimonate or hexafluorophosphate, tolylcumyliodonium hexafluorophosphate, 4-isopropylphenyl-4′-methylphenyliodonium hexafluorophosphate, 4-isobutylphenyl-4′-methylphenyliodonium hexafluorophosphate, 4-octyloxyphenyl-phenyliodonium hexafluorophosphate or hexafluoroantimonate, bis(dodecylphenyl)iodonium hexafluoroantimonate or hexafluorophosphate, bis(4-methylphenyl)iodonium hexafluorophosphate, bis(4-methoxyphenyl)iodonium hexafluorophosphate, 4-methylphenyl-4′-ethoxyphenyliodonium hexafluorophosphate, 4-methylphenyl-4′-dodecylphenyliodonium hexafluorophosphate, 4-methylphenyl-4′-phenoxyphenyliodonium hexafluorophosphate. Of all the iodonium salts mentioned, compounds with other anions are, of course, also suitable. The preparation of iodonium salts is known to the person skilled in the art and described in the literature, for example U.S. Pat. Nos. 4,151,175, 3,862,333, 4,694,029, EP 562897, U.S. Pat. Nos. 4,399,071, 6,306,555, WO 98/46647 J. V. Crivello, “Photoinitiated Cationic Polymerization” in: UV Curing: Science and Technology, Editor S. P. Pappas, pages 24-77, Technology Marketing Corporation, Norwalk, Conn. 1980, ISBN No. 0-686-23773-0; J. V. Crivello, J. H. W. Lam, Macromolecules, 10, 1307 (1977) and J. V. Crivello, Ann. Rev. Mater. Sci. 1983, 13, pages 173-190 and J. V. Crivello, Journal of Polymer Science, Part A: Polymer Chemistry, Vol. 37, 4241-4254 (1999).

[0280]

In certain cases it may be of advantage to use mixtures of two or more photoinitiators.

[0281]

Halogen is fluorine, chlorine, bromine and iodine.

[0282]

C1-C24alkyl (C1-C20alkyl, especially C1-C12alkyl) is typically linear or branched, where possible. Examples are methyl, ethyl, n-propyl, isopropyl, n-butyl, sec.-butyl, isobutyl, tert.-butyl, n-pentyl, 2-pentyl, 3-pentyl, 2,2-dimethylpropyl, 1,1,3,3-tetramethylpentyl, n-hexyl, 1-methylhexyl, 1,1,3,3,5,5-hexamethylhexyl, n-heptyl, isoheptyl, 1,1,3,3-tetramethylbutyl, 1-methylheptyl, 3-methylheptyl, n-octyl, 1,1,3,3-tetramethylbutyl and 2-ethylhexyl, n-nonyl, decyl, undecyl, dodecyl, tridecyl, tetradecyl, pentadecyl, hexadecyl, heptadecyl, or octadecyl. C1-C8alkyl is typically methyl, ethyl, n-propyl, isopropyl, n-butyl, sec.-butyl, isobutyl, tert.-butyl, n-pentyl, 2-pentyl, 3-pentyl, 2,2-dimethyl-propyl, n-hexyl, n-heptyl, n-octyl, 1,1,3,3-tetramethylbutyl and 2-ethylhexyl. C1-C4alkyl is typically methyl, ethyl, n-propyl, isopropyl, n-butyl, sec.-butyl, isobutyl, tert.-butyl.

[0283]

C2-C12alkenyl (C2-C5alkenyl) groups are straight-chain or branched alkenyl groups, such as e.g. vinyl, allyl, methallyl, isopropenyl, 2-butenyl, 3-butenyl, isobutenyl, n-penta-2,4-dienyl, 3-methyl-but-2-enyl, n-oct-2-enyl, or n-dodec-2-enyl.

[0284]

C1-C12alkoxy groups (C1-C8alkoxy groups) are straight-chain or branched alkoxy groups, e.g. methoxy, ethoxy, n-propoxy, isopropoxy, n-butoxy, sec-butoxy, tert-butoxy, amyloxy, isoamyloxy or tert-amyloxy, heptyloxy, octyloxy, isooctyloxy, nonyloxy, decyloxy, undecyloxy and dodecyloxy.

[0285]

C1-C12alkylthio groups (C1-C8 alkylthio groups) are straight-chain or branched alkylthio groups and have the same preferences as the akoxy groups, except that oxygen is exchanged against sulfur.

[0286]

C1-C12alkylene is bivalent C1-C12alkyl, i.e. alkyl having two (instead of one) free valencies, e.g. trimethylene or tetramethylene.

[0287]

A cycloalkyl group is typically C3-C8cycloalkyl, such as, for example, cyclopentyl, cyclohexyl, cycloheptyl, or cyclooctyl, which may be unsubstituted or substituted.

[0288]

In several cases it is advantageous to in addition to the photoinitiator employ a sensitizer compound. Examples of suitable sensitizer compounds are disclosed in WO 06/008251, page 36, line 30 to page 38, line 8, the disclosure of which is hereby incorporated by reference. As sensitizer inter alia benzophenone compounds as described above can be employed.

[0289]

The unsaturated compounds may include one or more olefinic double bonds. They may be of low (monomeric) or high (oligomeric) molecular mass. Examples of monomers containing a double bond are alkyl, hydroxyalkyl or amino acrylates, or alkyl, hydroxyalkyl or amino methacrylates, for example methyl, ethyl, butyl, 2-ethylhexyl or 2-hydroxyethyl acrylate, isobornyl acrylate, methyl methacrylate or ethyl methacrylate. Silicone acrylates are also advantageous. Other examples are acrylonitrile, acrylamide, methacrylamide, N-substituted (meth)acrylamides, vinyl esters such as vinyl acetate, vinyl ethers such as isobutyl vinyl ether, styrene, alkyl- and halostyrenes, N-vinylpyrrolidone, vinyl chloride or vinylidene chloride.

[0290]

Examples of monomers containing two or more double bonds are the diacrylates of ethylene glycol, propylene glycol, neopentyl glycol, hexamethylene glycol or of bisphenol A, and 4,4′-bis(2-acryl-oyloxyethoxy)diphenylpropane, trimethylolpropane triacrylate, pentaerythritol triacrylate or tetraacrylate, vinyl acrylate, divinylbenzene, divinyl succinate, diallyl phthalate, triallyl phosphate, triallyl isocyanurate or tris(2-acryloylethyl) isocyanurate.

[0291]

Examples of polyunsaturated compounds of relatively high molecular mass (oligomers) are acrylated epoxy resins, polyesters containing acrylate-, vinyl ether- or epoxy-groups, and also polyurethanes and polyethers. Further examples of unsaturated oligomers are unsaturated polyester resins, which are usually prepared from maleic acid, phthalic acid and one or more diols and have molecular weights of from about 500 to 3000. In addition it is also possible to employ vinyl ether monomers and oligomers, and also maleate-terminated oligomers with polyester, polyurethane, polyether, polyvinyl ether and epoxy main chains. Of particular suitability are combinations of oligomers which carry vinyl ether groups and of polymers as described in WO90/01512. However, copolymers of vinyl ether and maleic acid-functionalized monomers are also suitable. Unsaturated oligomers of this kind can also be referred to as prepolymers.

[0292]

Particularly suitable examples are esters of ethylenically unsaturated carboxylic acids and polyols or polyepoxides, and polymers having ethylenically unsaturated groups in the chain or in side groups, for example unsaturated polyesters, polyamides and polyurethanes and copolymers thereof, polymers and copolymers containing (meth)acrylic groups in side chains, and also mixtures of one or more such polymers.

[0293]

Examples of unsaturated carboxylic acids are acrylic acid, methacrylic acid, crotonic acid, itaconic acid, cinnamic acid, and unsaturated fatty acids such as linolenic acid or oleic acid. Acrylic and methacrylic acid are preferred.

[0294]

Suitable polyols are aromatic and, in particular, aliphatic and cycloaliphatic polyols. Examples of aromatic polyols are hydroquinone, 4,4′-dihydroxydiphenyl, 2,2-di(4-hydroxyphenyl)propane, and also novolaks and resols. Examples of polyepoxides are those based on the abovementioned polyols, especially the aromatic polyols, and epichlorohydrin. Other suitable polyols are polymers and copolymers containing hydroxyl groups in the polymer chain or in side groups, examples being polyvinyl alcohol and copolymers thereof or polyhydroxyalkyl methacrylates or copolymers thereof. Further polyols which are suitable are oligoesters having hydroxyl end groups.

[0295]

Examples of aliphatic and cycloaliphatic polyols are alkylenediols having preferably 2 to 12 C atoms, such as ethylene glycol, 1,2- or 1,3-propanediol, 1,2-, 1,3- or 1,4-butanediol, pentanediol, hexanediol, octanediol, dodecanediol, diethylene glycol, triethylene glycol, polyethylene glycols having molecular weights of preferably from 200 to 1500, 1,3-cyclopentanediol, 1,2-, 1,3- or 1,4-cyclohexanediol, 1,4-dihydroxymethylcyclohexane, glycerol, tris(p-hydroxyethyl)amine, trimethylolethane, trimethylolpropane, pentaerythritol, dipentaerythritol and sorbitol.

[0296]

The polyols may be partially or completely esterified with one carboxylic acid or with different unsaturated carboxylic acids, and in partial esters the free hydroxyl groups may be modified, for example etherified or esterified with other carboxylic acids.

[0297]

Examples of esters are: trimethylolpropane triacrylate, trimethylolethane triacrylate, trimethylolpropane trimethacrylate, trimethylolethane trimethacrylate, tetramethylene glycol dimethacrylate, triethylene glycol dimethacrylate, tetraethylene glycol diacrylate, tripropylene glycol diacrylate (TPGDA), dipropylene glycol diacrylate (DPGDA), pentaerythritol diacrylate, pentaerythritol triacrylate, pentaerythritol tetraacrylate, dipentaerythritol diacrylate, dipentaerythritol triacrylate, dipentaerythritol tetraacrylate, dipentaerythritol pentaacrylate, dipentaerythritol hexaacrylate, tripentaerythritol octaacrylate, pentaerythritol dimethacrylate, pentaerythritol trimethacrylate, dipentaerythritol dimethacrylate, dipentaerythritol tetramethacrylate, tripentaerythritol octamethacrylate, pentaerythritol diitaconate, dipentaerythritol tris-itaconate, dipentaerythritol pentaitaconate, dipentaerythritol hexaitaconate, ethylene glycol diacrylate, 1,3-butanediol diacrylate, 1,3-butanediol dimethacrylate, 1,4-butanediol diitaconate, sorbitol triacrylate, sorbitol tetraacrylate, pentaerythritol-modified triacrylate, sorbitol tetra methacrylate, sorbitol pentaacrylate, sorbitol hexaacrylate, oligoester acrylates and methacrylates, glycerol diacrylate and triacrylate, 1,4-cyclohexane diacrylate, bisacrylates and bismethacrylates of polyethylene glycol with a molecular weight of from 200 to 1500, or mixtures thereof. Also suitable as polymerizable components are triacrylate of singly to vigintuply alkoxylated, more preferably singly to vigintuply ethoxylated trimethylolpropane, singly to vigintuply propoxylated glycerol or singly to vigintuply ethoxylated and/or propoxylated pentaerythritol, such as, for example, ethoxylated trimethylol propane triacrylate (TMEOPTA).

[0298]

Also suitable as polymerizable components are the amides of identical or different, unsaturated carboxylic acids with aromatic, cycloaliphatic and aliphatic polyamines having preferably 2 to 6, especially 2 to 4, amino groups. Examples of such polyamines are ethylenediamine, 1,2- or 1,3-propylenediamine, 1,2-, 1,3- or 1,4-butylenediamine, 1,5-pentylenediamine, 1,6-hexylenediamine, octylenediamine, dodecylenediamine, 1,4-diaminocyclohexane, isophoronediamine, phenylenediamine, bisphenylenediamine, di-β-aminoethyl ether, diethylenetriamine, triethylenetetramine, di(β-aminoethoxy)- or di(β-aminopropoxy)ethane. Other suitable polyamines are polymers and copolymers, preferably with additional amino groups in the side chain, and oligoamides having amino end groups. Examples of such unsaturated amides are methylenebisacrylamide, 1,6-hexamethylenebisacrylamide, diethylenetriaminetrismethacrylamide, bis(methacrylamido-propoxy)ethane, β-methacrylamidoethyl methacrylate and N[(β-hydroxy-ethoxy)ethyl]acrylamide.

[0299]

Suitable unsaturated polyesters and polyamides are derived, for example, from maleic acid and from diols or diamines. Some of the maleic acid can be replaced by other dicarboxylic acids. They can be used together with ethylenically unsaturated comonomers, for example styrene. The polyesters and polyamides may also be derived from dicarboxylic acids and from ethylenically unsaturated diols or diamines, especially from those with relatively long chains of, for example 6 to 20 C atoms. Examples of polyurethanes are those composed of saturated or unsaturated diisocyanates and of unsaturated or, respectively, saturated diols.

[0300]

Polymers with (meth)acrylate groups in the side chain are likewise known. They may, for example, be reaction products of epoxy resins based on novolaks with (meth)acrylic acid, or may be homo- or copolymers of vinyl alcohol or hydroxyalkyl derivatives thereof which are esterified with (meth)acrylic acid, or may be homo- and copolymers of (meth)acrylates which are esterified with hydroxyalkyl (meth)acrylates.

[0301]

Other suitable polymers with acrylate or methacrylate groups in the side chains are, for example, solvent soluble or alkaline soluble polyimide precursors, for example poly(amic acid ester) compounds, having the photopolymerizable side groups either attached to the backbone or to the ester groups in the molecule, i.e. according to EP624826. Such oligomers or polymers can be formulated with optionally reactive diluents, like polyfunctional (meth)acrylates in order to prepare highly sensitive polyimide precursor resists.

[0302]

Examples of polymerizable components are also polymers or oligomers having at least two ethylenically unsaturated groups and at least one carboxyl function within the molecule structure, such as a resin obtained by the reaction of a saturated or unsaturated polybasic acid anhy-dride with a product of the reaction of an epoxy compound and an unsaturated monocarboxylic acid, for example, photosensitive compounds as described in JP 10-301276 and commercial products such as for example EB9696, UCB Chemicals; KAYARAD TCR1025, Nippon Kayaku Co., LTD., NK OLIGO EA-6340, EA-7440 from Shin-Nakamura Chemical Co., Ltd., or an addition product formed between a carboxyl group-containing resin and an unsaturated compound having an α,β-unsaturated double bond and an epoxy group (for example, ACA200M, Daicel Industries, Ltd.). Additional commercial products as examples of polymerizable component are ACA200, ACA210P, ACA230AA, ACA250, ACA300, ACA320 from Daicel Chemical Industries, Ltd.

[0303]

The polymerizable compound, may also comprise urethane (meth)acrylates, epoxy (meth)acrylates or carbonate (meth)acrylates.

[0304]

Urethane (meth)acrylates are obtainable for example by reacting polyisocyanates with hydroxyalkyl (meth)acrylates and optionally chain extenders such as diols, polyols, diamines, polyamines, dithiols or polythiols.

[0305]

The urethane (meth)acrylates preferably have a number-average molar weight Mn of 500 to 20 000, in particular of 500 to 10 000 and more preferably 600 to 3000 g/mol (determined by gel permeation chromatography using tetrahydrofuran and polystyrene as standard).

[0306]

The urethane (meth)acrylates preferably have a (meth)acrylic group content of 1 to 5, more preferably of 2 to 4, mol per 1000 g of urethane (meth)acrylate.

[0307]

Epoxy (meth)acrylates are obtainable by reacting epoxides with (meth)acrylic acid. Examples of suitable epoxides include epoxidized olefins, aromatic glycidyl ethers or aliphatic glycidyl ethers, preferably those of aromatic or aliphatic glycidyl ethers.

[0308]

Examples of possible epoxidized olefins include ethylene oxide, propylene oxide, isobutylene oxide, 1-butene oxide, 2-butene oxide, vinyloxirane, styrene oxide or epichlorohydrin, preference being given to ethylene oxide, propylene oxide, isobutylene oxide, vinyloxirane, styrene oxide or epichlorohydrin, particular preference to ethylene oxide, propylene oxide or epichlorohydrin, and very particular preference to ethylene oxide and epichlorohydrin.

[0309]

Aromatic glycidyl ethers are, for example, bisphenol A diglycidyl ether, bisphenol F diglycidyl ether, bisphenol B diglycidyl ether, bisphenol S diglycidyl ether, hydroquinone diglycidyl ether, alkylation products of phenol/dicyclopentadiene, e.g., 2,5-bis[(2,3-epoxypropoxy)phenyl]octahydro-4,7-methano-5H-indene (CAS No. [13446-85-0]), tris[4-(2,3-epoxypropoxy)phenyl]methane isomers (CAS No. [66072-39-7]), phenol-based epoxy novolaks (CAS No. [9003-35-4]), and cresol-based epoxy novolaks (CAS No. [37382-79-9]).

[0310]

Examples of aliphatic glycidyl ethers include 1,4-butanediol diglycidyl ether, 1,6-hexanediol diglycidyl ether, trimethylolpropane triglycidyl ether, pentaerythritol tetraglycidyl ether, 1,1,2,2-tetrakis[4-(2,3-epoxypropoxy)phenyl]ethane (CAS No. [27043-37-4]), diglycidyl ether of polypropylene glycol (α,ω-bis(2,3-epoxypropoxy)poly(oxypropylene), CAS No. [16096-30-3]) and of hydrogenated bisphenol A (2,2-bis[4-(2,3-epoxypropoxy)cyclohexyl]propane, CAS No. [13410-58-7]).

[0311]

The epoxy (meth)acrylates preferably have a number-average molar weight Mn of 200 to 20 000, more preferably of 200 to 10 000 g/mol, and very preferably of 250 to 3000 g/mol; the amount of (meth)acrylic groups is preferably 1 to 5, more preferably 2 to 4, per 1000 g of epoxy (meth)acrylate (determined by gel permeation chromatography using polystyrene as standard and tetrahydrofuran as eluent).

[0312]

Carbonate (meth)acrylates comprise on average preferably 1 to 5, especially 2 to 4, more preferably 2 to 3 (meth)acrylic groups, and very preferably 2 (meth)acrylic groups.

[0313]

The number-average molecular weight Mn of the carbonate (meth)acrylates is preferably less than 3000 g/mol, more preferably less than 1500 g/mol, very preferably less than 800 g/mol (determined by gel permeation chromatography using polystyrene as standard, tetrahydrofuran as solvent).

[0314]

The carbonate (meth)acrylates are obtainable in a simple manner by transesterifying carbonic esters with polyhydric, preferably dihydric, alcohols (diols, hexanediol for example) and subsequently esterifying the free OH groups with (meth)acrylic acid, or else by transesterification with (meth)acrylic esters, as described for example in EP-A 92 269. They are also obtainable by reacting phosgene, urea derivatives with polyhydric, e.g., dihydric, alcohols.

[0315]

Also conceivable are (meth)acrylates of polycarbonate polyols, such as the reaction product of one of the aforementioned diols or polyols and a carbonic ester and also a hydroxyl-containing (meth)acrylate.

[0316]

Examples of suitable carbonic esters include ethylene carbonate, 1,2- or 1,3-propylene carbonate, dimethyl carbonate, diethyl carbonate or dibutyl carbonate.

[0317]

Examples of suitable hydroxyl-containing (meth)acrylates are 2-hydroxyethyl (meth)acrylate, 2- or 3-hydroxypropyl (meth)acrylate, 1,4-butanediol mono(meth)acrylate, neopentyl glycol mono(meth)acrylate, glyceryl mono- and di(meth)acrylate, trimethylolpropane mono- and di(meth)acrylate, and pentaerythritol mono-, di-, and tri(meth)acrylate.

[0318]

Particularly preferred carbonate (meth)acrylates are those of the formula:

[0000]

[0319]

in which R is H or CH3, X is a C2-C18 alkylene group, and n is an integer from 1 to 5, preferably 1 to 3.

[0320]

R is preferably H and X is preferably C2 to C10 alkylene, examples being 1,2-ethylene, 1,2-propylene, 1,3-propylene, 1,4-butylene, and 1,6-hexylene, more preferably C4 to C8 alkylene. With very particular preference X is C6 alkylene.

[0321]

The carbonate (meth)acrylates are preferably aliphatic carbonate (meth)acrylates.

[0322]

As diluent, a mono- or multi-functional ethylenically unsaturated compound, or mixtures of several of said compounds, can be included in the above composition up to 70% by weight based on the solid portion of the composition.

[0323]

The invention also provides compositions comprising as polymerizable component at least one ethylenically unsaturated photopolymerizable compound which is emulsified or dissolved in water, or organic solvents.

[0324]

The printing, or coating composition may comprise various additives. Examples thereof include thermal inhibitors, coinitiators and/or sensitizers, light stabilisers, optical brighteners, fillers and pigments, as well as white and coloured pigments, dyes, antistatics, wetting agents, flow auxiliaries, lubricants, waxes, anti-adhesive agents, dispersants, emulsifiers, anti-oxidants; fillers, e.g. talcum, gypsum, silicic acid, rutile, carbon black, zinc oxide, iron oxides; reaction accelerators, thickeners, matting agents, antifoams, leveling agents and other adjuvants customary, for example, in lacquer, ink and coating technology.

[0325]

Examples of coinitiators/sensitisers are especially aromatic carbonyl compounds, for example benzophenone, thioxanthone, especially isopropyl thioxanthone, anthraquinone and 3-acylcoumarin derivatives, terphenyls, styryl ketones, and also 3-(aroylmethylene)-thiazolines, camphor quinone, and also eosine, rhodamine and erythrosine dyes. Amines, for example, can also be regarded as photosensitisers when the photoinitiator consists of a benzophenone or benzophenone derivative.

[0326]

Examples of light stabilizers are:

[0327]

Phosphites and phosphonites (processing stabilizer), for example triphenyl phosphite, diphenylalkyl phosphites, phenyldialkyl phosphites, tris(nonylphenyl) phosphite, trilauryl phosphite, trioctadecyl phosphite, distearylpentaerythritol diphosphite, tris(2,4-di-tert-butylphenyl) phosphite, diisodecyl pentaerythritol diphosphite, bis(2,4-di-tert-butylphenyl)pentaerythritol diphosphite, bis(2,4-di-cumylphenyl)pentaerythritol diphosphite, bis(2,6-di-tert-butyl-4-methylphenyl)pentaerythritol diphosphite, diisodecyloxypentaerythritol diphosphite, bis(2,4-di-tert-butyl-6-methylphenyl)pentaerythritol diphosphite, bis(2,4,6-tris(tert-butylphenyl)pentaerythritol diphosphite, tristearyl sorbitol triphosphite, tetrakis(2,4-di-tert-butylphenyl) 4,4′-biphenylene diphosphonite, 6-isooctyloxy-2,4,8,10-tetra-tert-butyl-12H-dibenz[d,g]-1,3,2-dioxaphosphocin, bis(2,4-di-tert-butyl-6-methylphenyl)methyl phosphite, bis(2,4-di-tert-butyl-6-methylphenyl)ethyl phosphite, 6-fluoro-2,4,8,10-tetra-tert-butyl-12-methyl-dibenz[d,g]-1,3,2-dioxaphosphocin, 2,2′,2″-nitrilo[triethyltris(3,3′,5,5′-tetra-tert-butyl-1,1′-biphenyl-2,2′-diyl)phosphite], 2-ethylhexyl(3,3′,5,5′-tetra-tert-butyl-1,1′-biphenyl-2,2′-diyl)phosphite, 5-butyl-5-ethyl-2-(2,4,6-tri-tert-butylphenoxy)-1,3,2-dioxaphosphirane, phosphorous acid, mixed 2,4-bis(1,1-dimethylpropyl)phenyl and 4-(1,1-dimethylpropyl)phenyl triesters (CAS No. 939402-02-5), Phosphorous acid, triphenyl ester, polymer with alpha-hydro-omega-hydroxypoly[oxy(methyl-1,2-ethanediyl)], C10-16 alkyl esters (CAS No. 1227937-46-3). The following phosphites are especially preferred: Tris(2,4-di-tert-butylphenyl) phosphite, tris(nonylphenyl) phosphite,

[0000]

[0328]

Quinone Methides of the Formula

[0000]

[0000]

(providing long term shelf life stability), wherein

[0329]

R21 and R22 independently of each other are C1-C18alkyl, C5-C12cycloalkyl, C7-C15-phenylalkyl, optionally substituted C6-C10aryl;

[0330]

R23 and R24 independently of each other are H, optionally substituted C6-C10-aryl, 2-,3-,4-pyridyl, 2-,3-furyl or thienyl, COOH, COOR25, CONH2, CONHR25, CONR25R26, —CN, —COR25, —OCOR25, —OPO(OR25)2, wherein R25 and R26 are independently of each other C1-C8alkyl, or phenyl. Quinone methides are preferred, wherein R21 and R22 are tert-butyl; R23 is H, and R24 is optionally substituted phenyl, COOH, COOR25, CONH2, CONHR25, CONR25R26, —CN, —COR25, —OCOR25, —OPO(OR25)2, wherein R25 and R26 are C1-C8alkyl, or phenyl. Examples of quinone methides are

[0000]

[0331]

The quinone methides may be used in combination with highly sterically hindered nitroxyl radicals as described, for example, in US20110319535.

[0332]

The quinone methides are used typically in a proportion of from about 0.01 to 0.3% by weight, preferably from about 0.04 to 0.15% by weight, based on the total weight of the UV curable composition.

[0333]

Leveling agents used, which additionally also serve to improve scratch resistance, can be the products TEGO® Rad 2100, TEGO® Rad 2200, TEGO® Rad 2300, TEGO® Rad 2500, TEGO® Rad 2600, TEGO® Rad 2700 and TEGO® Twin 4000, likewise obtainable from Tego. Such auxiliaries are obtainable from BYK, for example as BYK®-300, BYK®-306, BYK®-307, BYK®-310, BYK®-320, BYK®-322, BYK®-331, BYK®-333, BYK®-337, BYK®-341, Byk® 354, Byk® 361 N, BYK®-378 and BYK®-388.

[0334]

Leveling agents are typically used in a proportion of from about 0.005 to 1.0% by weight, preferably from about 0.01 to 0.2% by weight, based on the total weight of the UV curable composition.

[0335]

The coating, or printing ink compositions of the present invention may be used for the production of decorative, or security elements.

[0336]

Accordingly, the present application relates to security, or decorative elements, comprising a substrate, which may contain indicia or other visible features in or on its surface, and and on at least part of the said substrate surface, a coating, comprising the composition according to the present invention.

[0337]

The coating, comprising the composition according to the present invention, shows a red, or magenta color in transmission and a greenish-metallic color in reflection.

[0338]

Due to the simple buildup of the security element and the specific highest maximum absorption wavelength of the silver nanoplatelets a high protection against counterfeit is possible, making the element ideally suitable for banknotes, credit cards and the like.

[0339]

As substrate the usual substrates can be used. The substrate may comprise paper, leather, fabric such as silk, cotton, tyvac, filmic material or metal, such as aluminium. The substrate may be in the form of one or more sheets or a web. The substrate may be mould made, woven, non-woven, cast, calendared, blown, extruded and/or biaxially extruded. The substrate may comprise paper, fabric, man made fibres and polymeric compounds. The substrate may comprise any one or more selected from the group comprising paper, papers made from wood pulp or cotton or synthetic wood free fibres and board. The paper/board may be coated, calendared or machine glazed; coated, uncoated, mould made with cotton or denim content, Tyvac, linen, cotton, silk, leather, polythyleneterephthalate, Propafilm® polypropylene, polyvinylchloride, rigid PVC, cellulose, tri-acetate, acetate polystyrene, polyethylene, nylon, acrylic and polyetherimide board. The polyethyleneterephthalate substrate may be Melinex type film (obtainable from DuPont Films Willimington Del., such as, for example, product ID Melinex HS-2), or oriented polypropylene.

[0340]

The substrates being transparent films or non-transparent substrates like opaque plastic, paper including but not limited to banknote, voucher, passport, and any other security or fiduciary documents, self-adhesive stamp and excise seals, card, tobacco, pharmaceutical, computer software packaging and certificates of authentication, aluminium, and the like.

[0341]

The substrates can be plain such as in metallic (e.g. Al foil) or plastic foils (e.g. PET foil), but paper is regarded also as a plain substrate in this sense.

[0342]

Non-plain substrates or structured substrates comprise a structure, which was intentionally created, such as a hologram, or any other structure, created, for example, by embossing.

[0343]

In a particularly preferred embodiment, the composition, comprising silver nanoplatelets with the highest wavelength absorption maximum being within the range of 450 to 550 nm, when measured in water dispersion, may be used in combination with compositions, comprising silver nanoplatelets with different highest wavelength absorption maximums to print dichromic, or trichromic patterns. Compositions, comprising silver nanoplatelets with different highest wavelength absorption maximum, i.e. having a highest wavelength absorption maximum being within the range of 580 to 1200 nm and showing a blue color in transmission and a gold color in reflection were described, for example, in WO11064162. In a particularly preferred embodiment a coating comprises areas with different silver nanoparticle compositions. The different areas may have a defined shape, such as, for example, a symbol, a stripe, a geometrical shape, a design, lettering, an alphanumeric character, the representation of an object or parts thereof.

[0344]

The coating (or layer), comprising the composition according to the present invention, which shows a red, or magenta color in transmission and a greenish-metallic color in reflection, can be used as functional semitransparent and/or metallic layer in known decorative, or security elements, which are, for example, described in WO2011/064162, WO2014/041121, WO2014/187750, WO15120975A1, WO16091381A1, WO16173696, WO2017114590, WO2017092865, WO2017080641, WO2017028950, WO2017008897, WO2016173695 WO17054922A1 and WO17008905A3.

[0345]

Accordingly, the present invention relates to

    • a security, or decorative element (the structure of which is described in more detail in WO2014/041121), comprising a) a substrate, b) a component with refractive index modulation, in particular a volume hologram, which is obtainable by exposing a recording material to actinic radiation and thereon c) a coating on at least a portion of the refractive index modulated layer, comprising the composition according to the present invention, which shows a red, or magenta color in transmission and a greenish-metallic color in reflection;
    • a security element (the structure of which is described in more detail in WO2014/187750), comprising

[0348]

a) a substrate

[0349]

b) a coating on at least a portion of the substrate comprising at least one liquid crystal compound, the coating being applied on the reverse side of the substrate if the substrate is transparent or translucent or on the surface side if the substrate is transparent, translucent, reflective or opaque and

[0350]

c) a further coating on at least a portion of the coating containing the liquid crystal compound or direct on the substrate if the coating containing the liquid crystal compound is placed on the reverse side of the substrate, the further coating comprising the composition according to the present invention, which shows a red, or magenta color in transmission and a greenish-metallic color in reflection;

    • a security element (the structure of which is described in more detail in WO16173696) for security papers, value documents, or the like, which consists of a mutlilayer structure capable of interference, wherein the multilayer structure capable of interference has a reflection layer, a dielectric layer, and a partially transparent layer, wherein the dielectric layer is arranged between the reflection layer and the partially transparent layer, wherein the reflection layer is formed by a colored layer, comprising the composition according to the present invention, which shows a red, or magenta color in transmission and a greenish-metallic color in reflection;
    • a security element (the structure of which is described in more detail in WO2017092865) for protecting documents of value, comprising a transparent carrier substrate, a layer containing a diffractive optical element (DOE) and a semi-transparent functional layer, comprising the composition according to the present invention, which shows a red, or magenta color in transmission and a greenish-metallic color in reflection;
    • a molded plastic film article (the structure of which is described in more detail in WO2017114590) for a blister, in particular a blister for tablets, comprising a transparent carrier substrate that includes a semi-transparent functional layer, comprising the composition according to the present invention, which shows a red, or magenta color in transmission and a greenish-metallic color in reflection;
    • a packaging (the structure of which is described in more detail in WO17054922A1) comprising a plastic film shaped part and a cover film, wherein said plastic film shaped part defines the front side of the packaging and the cover film defines the rear side of the packaging, and the cover film is based on a carrier substrate provided with a semi-transparent functional layer, comprising the composition according to the present invention, which shows a red, or magenta color in transmission and a greenish-metallic color in reflection;

[0355]

a security, or decorative element, comprising a substrate, an UV lacquer layer on at least part of the substrate having on at least part of its surface a nano- or microstructure, such as, for example an OVD, and on at least part of the UV lacquer layer and/or on at least part of the nano- or microstructure layer, comprising the composition according to the present invention.

[0356]

The method of producing the security element of the present invention comprises preferably the steps of

[0357]

a) providing a substrate having a surface, which surface may contain indicia or other visible features, such as for example polyethylene terephthalate (PET) film, or a biaxially oriented polypropylene (BOPP) film;

[0358]

b) applying on top of at least part of the said substrate surface a composition according to the present invention, comprising the silver nanoplatelets, and

[0359]

c) optionally applying a protective layer on top of layer (b).

[0360]

The application of layer c) is preferably done by gravure, flexographic, ink jet, offset, or screen printing process.

[0361]

The protective layer (c) is applied on top of layer (b). The protective layer is preferably transparent or translucent. Examples for coatings are known to the skilled person. For example, water borne coatings, UV-cured coatings or laminated coatings may be used.

[0362]

UV-cured coatings are preferably derived from UV curable compositions which are preferably deposited by means of gravure, offset flexographic, ink jet, offset and screen printing process.

[0363]

The UV curable composition comprises

[0364]

(a) 1.0 to 20.0, especially 1.0 to 15.0, very especially 3.0 to 10.0% by weight of photoinitiator,

[0365]

(b) 99.0 to 80.0, especially 99.0 to 85.0, very especially 97.0 to 90.0% by weight of a binder (unsaturated compound(s) including one or more olefinic double bonds), wherein the amounts of components a) and b) adds up to 100%.

[0366]

In a preferred embodiment the UV curable composition comprises (b1) an epoxy-acrylate (10 to 60%) and (b2) one or several (monofunctional and multifunctional) acrylates (20 to 90%) and (a) one, or several photoinitiators (1 to 15%). wherein the amounts of components a), b1) and b2) add up to 100%.

[0367]

The epoxy-acrylate is selected from aromatic glycidyl ethers aliphatic glycidyl ethers. Aromatic glycidyl ethers are, for example, bisphenol A diglycidyl ether, bisphenol F diglycidyl ether, bisphenol B diglycidyl ether, bisphenol S diglycidyl ether, hydroquinone diglycidyl ether, alkylation products of phenol/dicyclopentadiene, e.g., 2,5-bis[(2,3-epoxypropoxy)phenyl]octahydro-4,7-methano-5H-indene (CAS No. [13446-85-0]), tris[4-(2,3-epoxypropoxy)phenyl]methane isomers (CAS No. [66072-39-7]), phenol-based epoxy novolaks (CAS No. [9003-35-4]), and cresol-based epoxy novolaks (CAS No. [37382-79-9]). Examples of aliphatic glycidyl ethers include 1,4-butanediol diglycidyl ether, 1,6-hexanediol diglycidyl ether, trimethylolpropane triglycidyl ether, pentaerythritol tetraglycidyl ether, 1,1,2,2-tetrakis[4-(2,3-epoxypropoxy)phenyl]ethane (CAS No. [27043-37-4]), diglycidyl ether of polypropylene glycol (α,ω-bis(2,3-epoxypropoxy)poly(oxypropylene), CAS No. [16096-30-3]) and of hydrogenated bisphenol A (2,2-bis[4-(2,3-epoxypropoxy)cyclohexyl]propane, CAS No. [13410-58-7]).

[0368]

The one or several acrylates are preferably multifunctional monomers which are selected from trimethylolpropane triacrylate, trimethylolethane triacrylate, trimethylolpropane trimethacrylate, trimethylolethane trimethacrylate, tetramethylene glycol dimethacrylate, triethylene glycol dimethacrylate, tetraethylene glycol diacrylate, tripropylene glycol diacrylate (TPGDA), dipropylene glycol diacrylate (DPGDA), pentaerythritol diacrylate, pentaerythritol triacrylate, pentaerythritol tetraacrylate, dipentaerythritol diacrylate, dipentaerythritol triacry¬late, dipentaerythritol tetraacrylate, dipentaerythritol pentaacrylate, dipentaerythritol hexa¬acrylate, tripentaerythritol octaacrylate, pentaerythritol dimethacrylate, pentaerythritol trimethacrylate, dipentaerythritol dimethacrylate, dipentaerythritol tetramethacrylate, tripentaerythritol octamethacrylate, pentaerythritol diitaconate, dipentaerythritol tris-itaconate, dipentaerythritol pentaitaconate, dipentaerythritol hexaitaconate, ethylene glycol diacrylate, 1,3-butanediol diacrylate, 1,3-butanediol dimethacrylate, 1,4-butanediol diitaconate, sorbitol triacrylate, sorbitol tetraacrylate, pentaerythritol-modified triacrylate, sorbitol tetra methacrylate, sorbitol pentaacrylate, sorbitol hexaacrylate, oligoester acrylates and methacrylates, glycerol diacrylate and triacrylate, 1,4-cyclohexane diacrylate, bisacrylates and bismethacrylates of polyethylene glycol with a molecular weight of from 200 to 1500, triacrylate of singly to vigintuply alkoxylated, more preferably singly to vigintuply ethoxylated trimethylolpropane, singly to vigintuply propoxylated glycerol or singly to vigintuply ethoxylated and/or propoxylated pentaerythritol, such as, for example, ethoxylated trimethylol propane triacrylate (TMEOPTA) and or mixtures thereof.

[0369]

In another preferred embodiment the UV curable composition comprises:

[0000]

Bisphenol A epoxyacrylate with 25% TPGDA1-35%by weight
Dipropylene glycol diacrylate (DPGDA)30-45%by weight
Ethoxylated trimethylol propane triacrylate10-50%by weight
(TMEOPTA)
Reactive tertiary amine1-15%by weight
Photoinitiator:5-10%by weight

[0370]

The amounts of the components-the of UV curable composition add up to 100% by weight.

[0371]

In another preferred embodiment the UV curable composition comprises:

[0000]

Tripropylene glycol diacrylate (TPGDA)1-25%by weight
Dipropylene glycol diacrylate (DPGDA)30-45%by weight
Ethoxylated trimethylol propane triacrylate10-50%by weight
(TMEOPTA)
Reactive tertiary amine1-15%by weight
Photoinitiator:5-9%by weight

[0372]

The amounts of the components-the of UV curable composition add up to 100% by weight.

[0373]

The photoinitiator is preferably a blend of an alpha-hydroxy ketone, alpha-alkoxyketone or alpha-aminoketone compound of the formula (XI) and a benzophenone compound of the formula (X); or a blend of an alpha-hydroxy ketone, alpha-alkoxyketone or alpha-aminoketone compound of the formula (XI), a benzophenone compound of the formula (X) and an acylphosphine oxide compound of the formula (XII).

[0374]

The UV curable composition may comprise various additives. Examples thereof include thermal inhibitors, coinitiators and/or sensitizers, light stabilisers, optical brighteners, fillers and pigments, as well as white and coloured pigments, dyes, antistatics, wetting agents, flow auxiliaries, lubricants, waxes, anti-adhesive agents, dispersants, emulsifiers, anti-oxidants; fillers, e.g. talcum, gypsum, silicic acid, rutile, carbon black, zinc oxide, iron oxides; reaction accelerators, thickeners, matting agents, antifoams, leveling agents and other adjuvants customary, for example, in lacquer, ink and coating technology.

[0375]

Examples of coinitiators/sensitisers are especially aromatic carbonyl compounds, for example benzophenone, thioxanthone, especially isopropyl thioxanthone, anthraquinone and 3-acylcoumarin derivatives, terphenyls, styryl ketones, and also 3-(aroylmethylene)-thiazolines, camphor quinone, and also eosine, rhodamine and erythrosine dyes. Amines, for example, can also be regarded as photosensitisers when the photoinitiator consists of a benzophenone or benzophenone derivative.

[0376]

The security element of the invention can be affixed to a variety of objects through various attachment mechanisms, such as pressure sensitive adhesives or hot stamping processes, to provide for enhanced security measures such as anticounterfeiting. The security article can be utilized in the form of a label, a tag, a ribbon, a security thread, and the like, for application to a variety of objects such as security documents, monetary currency, credit cards, merchandise, etc.

[0377]

Accordingly, the present invention is also directed to a product, comprising the security element according to the present invention, and to the use of the security element according to the present invention for the prevention of counterfeit or reproduction, on a document of value, right, identity, a security label or a branded good.

[0378]

A method of detecting the authenticity of the security element according to the present invention may comprise the steps of:

[0379]

a) measuring an absorbance, reflectance or transmittance spectrum of the security document in the VIS/NIR range of the electromagnetic spectrum; and

[0380]

b) comparing the spectrum measured under a) and/or information derived therefrom with a corresponding spectrum and/or information of an authentic security element.

[0381]

The composition of the present invention can used in methods for forming an optically variable image (an optically variable device), which are, for example, described in EP2886343A1, EP2886343A1, EP2886356B1, WO11064162, WO2013/186167 and WO14118567A1.

[0382]

Accordingly, the present invention relates to

    • a method for forming an optically variable image (an optically variable device) on a substrate comprising the steps of: forming an optically variable image (OVI) on a discrete portion of the substrate; and depositing a coating, printing composition, comprising the composition according to the present invention on at least a portion of the OVI;
    • a method for forming a surface relief microstructure, especially an optically variable image (an optically variable device, OVD) on a substrate described in WO2013/186167 comprises the steps of:

[0385]

A) applying a curable composition to at least a portion of the substrate wherein the curable composition comprises

[0386]

a1) at least one ethylenically unsaturated resin, a monomer or a mixture thereof;

[0387]

a2) at least one photoinitiator; and

[0388]

a3) the composition according to the present invention;

[0389]

B) contacting at least a portion of the curable composition with a surface relief microstructure, especially optically variable image forming means;

[0390]

C) curing the composition by using at least one UV lamp.

[0391]

The compositions, comprising silver nanoplatelets, which bear on their surface stabilizing agents and stabilizing agents may be used in the production of security elements, comprising prisms (US2014232100, WO18045429), lenses (US2014247499), and/or micromirrors (US2016170219).

[0392]

The compositions, comprising silver nanoplatelets, which bear on their surface stabilizing agents and stabilizing agents may show surface enhanced Raman scattering (SERS).

[0393]

Various aspects and features of the present invention will be further discussed in terms of the examples. The following examples are intended to illustrate various aspects and features of the present invention.

EXAMPLES

[0394]

UV-Vis spectra of dispersions were recorded on Varian Cary 50 UV-Visible spectrophotometer at such concentration of dispersions as to achieve the optical density of 0.3 to 1.5 at 1 cm optical path.

[0395]

TEM analysis of dispersions and coatings was performed on EM 910 instrument from ZEISS in bright field mode at an e-beam acceleration voltage of 100 kV. At least 2 representative images with scale in different magnification were recorded in order to characterize the dominant particle morphology for each sample.

[0396]

The number mean diameter of the particles was determined from TEM images as maximum dimension of nanoplatelets, oriented parallel to the plane of the image, using Fiji image analysis software, based on the measurement of at least 100 randomly selected particles.

[0397]

The number mean thickness of the particles was measured manually as the maximum dimension of nanoplatelets, oriented perpendicular to the plane of the image, from a TEM image, based on the measurement of at least 20 randomly selected particles.

Synthesis Example 1—Preparation of S-Vinylmercaptoethanol (VME) Ethoxylate

[0398]

VME-ethoxylate is synthesized essentially according to Example 1h, described in EP3063188B1, with the reactant ratios described in Table 1.

[0000]

S-vinylmercaptoethanol (VME)25g
Potassium methylate0.25g
Toluene75g
Ethylene oxide1160g

[0399]

The product had hydroxyl value of 25.5 mg KOH/g.

Synthesis Example 2—Hydrolysis of VME-Ethoxylate

[0400]

844 g of VME-ethoxylate are dissolved in 770 g of de-ionized water and the temperature is brought to 50° C. 26.85 g of silver nitrate are dissolved in 50.7 g water and the resulting solution is added to the solution of VME-ethoxylate in one portion. The mixture is stirred at 50° C. for 5 min, followed by addition of 37.5 g of methanesulfonic acid. The resulting mixture is stirred for 8 h at 50° C. and then pH was brought to ca. 5 by dropwise addition of 47.5 g of 50% w/w solution of NaOH in de-ionized water. The resulting solution, containing silver complex of O-(2-mercaptoethyl)-poly(ethylene glycol), is stored at room temperature and used for the synthesis of silver nanoplatelets without further purification.

Example 1

[0401]

a) Synthesis of Silver Nanoplatelets

[0402]

Preparation of Solution A: 925 g of the solution, obtained in Synthesis Example 2, are mixed with 250 g of de-ionized water. Separately, 720.5 g of silver nitrate are dissolved in 450 g of deionized water and both solutions are mixed at room temperature. 485.6 g of diethylenetriamine are added dropwise, while maintaining the temperature between 25 at 30° C. After the addition is complete, 211 g of 25% w/w ammonia solution in water and 114 g of methylglycine diacetic acid trisodium salt, 40% w/w solution in water, are added and the resulting solution is cooled to ca. +3° C.

[0403]

Preparation of Solution B: 1170 g of de-ionized water are placed in a reactor and stirred at room temperature under vacuum (100 mbar) for 10 min. Vacuum is released with nitrogen gas, and the procedure is repeated another 2 times for removing the dissolved oxygen. Then 53 g of hydrazine monohydrate is added, followed by addition of 42.4 g of 25% w/w ammonia solution in water and the solution temperature is brought to 45° C. After that, 2 g of 1-octanol and 0.5 g of borane-morpholine complex are added and the mixture is stirred for 5 min at 45° C.

[0404]

The whole amount of Solution A is dosed into Solution B with a constant rate over 75 min under the surface, while maintaining the temperature of Solution B at 45° C., resulting in a dispersion of silver nanoplatelets (total silver concentration 10.4% w/w).

[0405]

b) Isolation and Purification

[0406]

The dispersion is cooled to 25° C., then 24 g of cpd. (B-3) are added to the dispersion and the stirring is continued for 1 h. The stirrer is stopped and the dispersion is allowed to sediment for 24 h at room temperature. Then 2300 g of supernatant are pumped out with a peristaltic pump, 2200 g of de-ionized water are added and the mixture is stirred for 1 h at room temperature. After that, 230 g of anhydrous sodium sulfate are added in portions with stirring. Stirring is continued for 20 min after addition of last portion of sodium sulfate, the stirrer is stopped and the dispersion is allowed to sediment for 24 h at room temperature. Then 2900 g of supernatant are pumped out with a peristaltic pump, 1000 g of de-ionized water are added and the mixture is stirred for 1 h at RT. The dispersion is subjected to ultrafiltration with an Al2O3 membrane (50 nm pore size) until the conductivity of the permeate dropped below 10 μS/cm.

[0407]

Yield: 2360 g of silver nanoplatelets dispersion in water. Dry content of silver nanoplatelets in the resulting dispersion is 19.4% w/w, yield of silver nanoplatelets (based on total silver, introduced in reaction) is 90%.

[0408]

Highest wavelength absorption maximum of the obtained silver nanoplatelets is located at 490 nm, when measured in water at ca. 5*10−5 M concentration of silver). FWHM of this maximum is 85 nm. Reference is made to FIG. 1, which shows the UV-Vis spectrum of composition, comprising silver nanoplatelets, obtained in Example 1b.

[0409]

Mean diameter of the particles is 45±10 nm. Mean thickness of the particles is 18±2.4 nm (standard deviation is indicated after ±sign). Reference is made to FIG. 2, which is a TEM of the composition, comprising silver nanoplatelets, obtained in Example 1b.

[0410]

c) Solvent Switch

[0411]

100 g of dispersion of silver nanoplatelets in water, obtained in step b) were placed in a round-bottom flask and the solution of 0.7 g of ethyl gallate in 200 g of 1-methoxy-2-propanol is added. The mixture is concentrated on rotary evaporator to ca 40% w/w of dry content, then 100 g of 1-methoxy-2-propanol are added and the mixture is concentrated again to ca. 40% w/w of dry content. 100 g of 1-methoxy-2-propanol are added and the mixture is concentrated to ca. 45% w/w of dry content and filtered through Whatman Grande GF/B=1 u filter. The dry content in filtrate is adjusted to 40% w/w by addition of 1-methoxy-2-propanol.

Example 2—Synthesis of Silver Nanoplatelets

[0412]

Preparation of Solution A: 8.49 g of silver nitrate were dissolved in 50 g of de-ionized water and 13.62 g of 25% w/w ammonia solution in water were added. 2.5 g of 40% w/w solution of methylglycine diacetic acid trisodium salt in water were added and the volume of resulting solution was adjusted to 100 mL with de-ionized water (0.5 M final Ag concentration).

[0413]

Preparation of Solution B: 10 g of de-ionized water were placed in a three-neck round-bottom flask and flushed with nitrogen. 20 μL of 1M AgNO3 solution in water were added, followed by addition of 40 mg of solution, obtained in Example 2. The mixture was stirred at RT for 1 min, then 20 μL of 50% w/w hydrogen peroxide solution in water were added. After stirring for 10 s, a solution of 4.0 mg of borane-morpholine complex in 1 mL water was added and the mixture was stirred at RT for 15 min.

[0414]

The temperature of Solution B was brought to 45° C., 25 μL of hydrazine monohydrate were added and 4 mL of Solution A (held at RT) were dosed under the surface via a syringe pump in 1 h, resulting in a dispersion of silver nanoplatelets (total concentration of silver ca. 1.3% w/w). During the dosing, the temperature was maintained at 45° C.

[0415]

An aliquote of dispersion was diluted with de-ionized water and UV-Vis-NIR spectrum was recorded. Reference is made to FIG. 3.

[0416]

Highest wavelength absorption maximum of thus obtained silver nanoplatelets is located at 522 nm, when measured in water. FWHM of this maximum is 79 nm.

[0417]

Another aliquote was centrifuged 2 times at 16100 G for 90 min in de-ionized water, the pellet was re-dispersed in ethanol with shaking and TEM images were taken. Reference is made to FIG. 4.

[0418]

Mean diameter of the particles is 42±10 nm. Mean thickness of the particles is 12±2 nm.

Как компенсировать расходы
на инновационную разработку
Похожие патенты