заявка
№ US 20200239619
МПК C08G18/58

PROCESS OF MANUFACTURING POLYOLS

Авторы:
Arjun Raghuraman William H. Heath Sukrit Mukhopadhyay
Все (21)
Номер заявки
16640004
Дата подачи заявки
14.09.2018
Опубликовано
30.07.2020
Страна
US
Дата приоритета
14.12.2025
Номер приоритета
Страна приоритета
Как управлять
интеллектуальной собственностью
Реферат

A method of producing a polyether polyol includes reacting a low molecular weight initiator with one or more monomers in the presence of a polymerization catalyst, and the low molecular weight initiator has a nominal hydroxyl functionality of at least 2. The one or more monomers includes at least one selected from propylene oxide and butylene oxide. The polymerization catalyst is a Lewis acid catalyst having the general formula M(R1)1(R2)1(R3)1(R4)0 or 1, whereas M is boron, aluminum, indium, bismuth or erbium, R1, R2, R3, and R4 are each independent, R1 includes a fluoroalkyl-substituted phenyl group, R2 includes a fluoroalkyl-substituted phenyl group or a fluoro/chloro-substituted phenyl group, R3 includes a fluoroalkyl-substituted phenyl group or a fluoro/chloro-substituted phenyl group, and optional R4 includes a functional group or functional polymer group, R1 being different from at least one of R2 and R3.

Формула изобретения

1. A method of producing a polyether polyol, comprising:

reacting a low molecular weight initiator with one or more monomers in the presence of a polymerization catalyst, the low molecular weight initiator having a nominal hydroxyl functionality of at least 2, the one or more monomers being at least one selected from propylene oxide and butylene oxide, and the polymerization catalyst being a Lewis acid catalyst having the general formula M(R1)1(R2)1(R3)1(R4)0 or 1, whereas M is boron, aluminum, indium, bismuth or erbium, R1, R2, R3, and R4are each independent, R1includes a first fluoroalkyl-substituted phenyl group, R2includes a second fluoroalkyl-substituted phenyl group or a first fluoro/chloro-substituted phenyl group, R3includes a third fluoroalkyl-substituted phenyl group or a second fluoro/chloro-substituted phenyl group, and optional R4includes a functional group or functional polymer group, R1being different from at least one of R2and R3; and

forming a polyether polyol having a number average molecular weight of greater than the number average molecular weight of the low molecular weight initiator in the presence of the Lewis acid catalyst.

2. The method as claimed in claim 1, wherein the Lewis acid catalyst has the general formula M(R1)1(R2)1(R3)1(R4)0 or 1, whereas R2is the second fluoroalkyl-substituted phenyl group that is the same as first fluoroalkyl-substituted phenyl group, and R3is the second fluoro/chloro-substituted phenyl group.

3. The method as claimed in claim 1, wherein the Lewis acid catalyst has the general formula M(R1)1(R2)1(R3)1(R4)0 or 1, whereas R2is the second fluoroalkyl-substituted phenyl group that is the same as first fluoroalkyl-substituted phenyl group, and R3is the third fluoroalkyl-substituted phenyl group that is different from the first fluoroalkyl-substituted phenyl group.

4. The method as claimed in claim 1, wherein the Lewis acid catalyst has the general formula M(R1)1(R2)1(R3)1(R4)0 or 1, whereas R2is the second fluoroalkyl-substituted phenyl group that is different from the first fluoroalkyl-substituted phenyl group, and R3is the third fluoroalkyl-substituted phenyl group that is different from the first fluoroalkyl-substituted phenyl group and the second fluoroalkyl-substituted phenyl group.

5. The method as claimed in claim 1, wherein the Lewis acid catalyst has the general formula M(R1)1(R2)1(R3)1(R4)0 or 1, whereas R2is the first fluoro/chloro-substituted phenyl group and R3is the second fluoro/chloro-substituted phenyl group that is that same as the first fluoro/chloro-substituted phenyl group.

6. The method as claimed in claim 1, wherein the Lewis acid catalyst has the general formula M(R1)1(R2)1(R3)1(R4)0 or 1, whereas at least one of R2and R3is a fluoro/chloro-fluoroalkyl-substituted phenyl group, difluoro/chloro-fluoroalkyl-substituted phenyl group, trifluoro/chloro-fluoroalkyl-substituted phenyl group, or tetrafluoro/chloro-fluoroalkyl-substituted phenyl group.

7. The method as claimed in claim 1, wherein the Lewis acid catalyst has the general formula M(R1)1(R2)1(R3)1(R4)0 or 1, whereas at least one of R1, R2, and R3is a 3,4- or 3,5-bis(fluoroalkyl)-substituted phenyl group.

8. The method as claimed in claim 1, wherein the Lewis acid catalyst has the general formula M(R1)1(R2)1(R3)1(R4)1.

9. The method as claimed in claim 8, wherein R4is a cyclic ether having 3-10 carbon atoms.

10. The method as claimed in claim 8, wherein R4is a ketone having 3-10 carbon atoms.

11. The method as claimed in claim 1, wherein the polyether polyol has an acetal content of less than 0.5 mol % based on a total number of moles of the polyether polyol.

12. The method as claimed in claim 1, wherein the low molecular weight initiator is a polyether diol or triol derived from at least one selected from propylene oxide, ethylene oxide, and butylene oxide.

13. A method of producing a polyurethane product, the method comprising:

providing a polyether polyol produced according to the method as claimed in claim 1, and

providing an isocyanate.

14. A polyether polyol prepared using the method as claimed in claim 1.

15. A polyurethane product prepared using the polyether polyol as claimed in claim 14.

Описание

FIELD

[0001]

Embodiments relate to methods of manufacturing polyols using at least a Lewis acid catalyst, polyols prepared using at least the Lewis acid catalyst, and/or polyurethane products prepared using the polyols prepared using at least the Lewis acid catalyst.

INTRODUCTION

[0002]

Polyether polyols are produced by polymerizing an alkylene oxide in the presence of a starter compound and a catalyst. The starter compound has one or more functional groups the alkylene oxide can react with to begin forming polymer chains. The starter compound may influence the molecular weight and establish the number of hydroxyl groups that the resultant polyether polyol will have.

[0003]

With respect to the catalyst for forming polyether polyols, manufacturing is moving toward the use of a double-metal cyanide (DMC) catalyst in place of an alkali metal catalyst (such as a KOH-based catalyst). A disadvantage of DMC catalysts is that they may activate slowly, as is taught in U.S. Pat. No. 9,040,657. In particular, preparation of polyether polyols using the DMC catalyst may begin with a stage of the reaction known as the catalyst induction period. During this stage of the reaction, the DMC catalyst is believed to become converted in situ from an inactive form into a highly active form that rapidly polymerizes the alkylene oxide as long as the catalyst remains active. This catalyst induction period is typically an indeterminate period of time following the first introduction of alkylene oxide to the reactor. It is common to introduce a small amount of alkylene oxide at the start of the polymerization process and then wait until the catalyst has become activated (as indicated, e.g., by a drop in reactor pressure due to the consumption of the initial alkylene oxide that had been charged into the reactor) before continuing with the alkylene oxide feed. Very little or no polymerization occurs until the catalyst has become activated, such that long activation times have a direct negative impact on the productivity of the process. It is sometimes the case that the catalyst does not become activated at all. Such a failure of the catalyst to activate may result in the abandonment of the attempt, and the process is started over again from the beginning. As such, the activation process results in some loss of productivity under the best circumstances, and under the worst circumstances can cause a loss of the entire batch of starting mixture. Thus, the reduction or elimination of the induction period at the start of the alkoxylation reaction is seen to be highly desirable.

[0004]

The disadvantages of the use of conventional Lewis acids such as boron trifluoride to polymerize epoxides is well-known, e.g., as taught in U.S. Pat. No. 6,624,321. For example, use of such conventional Lewis acids as catalysts may lead to the formation of volatile low molecular weight cyclic ethers, may require high levels of catalyst loading (which ultimately require the need for a later process stage to remove catalyst from the resultant product), and may lead to catalyst decomposition during which release of a highly corrosive HF side-product and incorporation of fluorine atoms in the backbone of the polymerization product may occur. Further, boron trifluoride is regarded as hazardous material that is also moisture sensitive and difficult to handle.

[0005]

The use of tris(pentafluorophenyl)borane catalyst during ring-opening polymerization of an alkylene oxide is taught, e.g., in U.S. Pat. No. 6,531,566. The tris(pentafluorophenyl)borane catalyst provides several advantages over conventional Lewis acids such as boron trifluoride. For example, the tris(pentafluorophenyl)borane catalyst is not corrosive, easy to handle, and appreciably more active. However, use of tris(pentafluorophenyl)borane as an alkoxylation catalyst results in an undesirable side-reaction leading to formation of aldehydes and acetal linkages in the polyol backbone.

[0006]

The use of a dual catalyst package for producing a polyol having a high primary hydroxyl group content, which includes a DMC catalyst and a Lewis acid catalyst is disclosed, e.g., in International Publication No. WO 2016/064698. This method may minimize the residence time of the Lewis acid step and enable the production of high molecular weight polyether polyols. Nevertheless, there is a need to be able to change the selectivity of the Lewis acid catalyst itself, e.g., to select other specific properties for the resultant polyether polyols. Further, high loading of tris(pentafluorophenyl)borane catalyst could potentially require further finishing of the resultant polyether polyols.

[0007]

Therefore, improvements are sought with respect to minimizing side-reactions such as those that produce acetals and/or aldehydes, while still allowing for precise control of the polymerization reaction and optionally the production of non-finishing polyols (i.e., polyols that do not require further finishing).

SUMMARY

[0008]

Embodiments may be realized by providing a method of producing a polyether polyol that includes reacting a low molecular weight initiator with one or more monomers in the presence of a polymerization catalyst, and the low molecular weight initiator has a nominal hydroxyl functionality at least 2. The one or more monomers including at least one selected from propylene oxide and butylene oxide. The polymerization catalyst is a Lewis acid catalyst having the general formula M(R1)1(R2)1(R3)1(R4)0 or 1, whereas M is boron, aluminum, indium, bismuth or erbium, R1, R2, R3, and R4are each independent, R1includes a first fluoroalkyl-substituted phenyl group, R2includes a second fluoroalkyl-substituted phenyl group or a first fluoro/chloro-substituted phenyl group, R3includes a third fluoroalkyl-substituted phenyl group or a second fluoro/chloro-substituted phenyl group, and optional R4includes a functional group or functional polymer group, R1being different from at least one of R2and R3. The method further includes forming a polyether polyol having a number average molecular weight of greater than the number average molecular weight of the low molecular weight initiator in the presence of the Lewis acid catalyst.

DETAILED DESCRIPTION

[0009]

As discussed in International Publication No. WO 2012/091968, certain Lewis acids that may essentially require no activation time have been evaluated as polymerization catalysts. However, some Lewis acids may become deactivated rapidly and may not be capable of producing high molecular weight polymers or of obtaining high conversions of alkylene oxides to polymer. Further, high amounts of alkaline catalysts, such as sodium hydroxide may require treatment such as filtration and/or acid finishing/neutralization (e.g., as discussed in U.S. Pat. No. 5,468,839) to reduce the base content of the resultant product. The use of a sufficiently low amount of Lewis acid catalysts and optionally a DMC catalyst may eliminate the need for such treatment, while also providing for control and/or selectivity. However, certain Lewis acids may promote undesirable side reactions. The presence of certain side products in a polyol product may necessitate performing an additional finishing step on the resultant product.

[0010]

Embodiments relate to certain Lewis acid catalysts, and processes using such Lewis acid catalysts, that may provide advantages with respect to minimizing side reactions such as those that produce aldehydes and/or acetals, while still allowing for precise control of the polymerization reaction. Embodiments may relate to providing polyol polymers having a desirably low level of aldehydes and acetals. The polyols are derived from at least one alkylene oxide selected from propylene oxide and butylene oxide and may optionally essentially exclude intended addition of ethylene oxide. By Lewis acid it is meant a substance that can accept a pair of electrons. In other words, a Lewis acid is an electron-pair acceptor.

[0011]

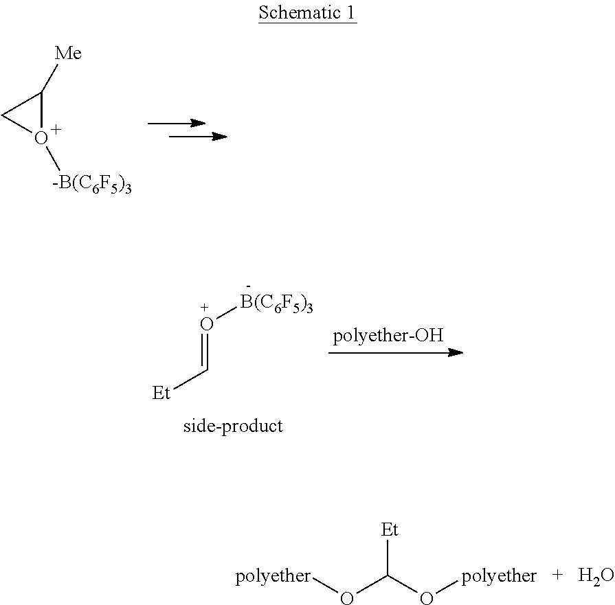
During the polymerization process to form a polyether polyol, some Lewis acid catalysts, such as the tris(pentafluorophenyl)borane catalyst, may have a disadvantage in that certain side reactions may occur at undesirable levels (depending on the outcome desired). An example of such side reactions is the tris(pentafluorophenyl)borane catalyst-assisted formation of propionaldehyde as shown below in Schematic 1, which may occur in the presence of alcohols and may lead to the lack of desired chemoselectivity for the resultant polyether polyol.

[0000]

[0012]

Further, the propionaldehyde-alcohol coupling, such as shown above, may result in higher molecular weight species as compared to when the coupling is not present and/or may make molecular weight control challenging especially at a commercial scale. Also, the water byproduct that results from the coupling reaction could potentially consume monomer and result in the formation of diols and/or alter the catalytic activity of the tris(pentafluorophenyl)borane catalyst. Further, when the resultant product is used to form a polyurethane polymer, acetal linkages may be found at undesirable levels, which could potentially degrade over the life of the polyurethane polymer-based product depending on the application.

[0013]

Accordingly, in exemplary embodiments, a reaction system for forming a polyether polyol (such as a propylene oxide-based polyol, a butylene oxide-based polyol, or a combination thereof) uses a Lewis acid catalyst (e.g., in a low amount such that filtration and acid finishing/neutralization are not required for the resultant polyether polyol) that minimizes side reactions and optionally may be combined with a DMC catalyst. For example, it is proposed to use arylborane catalysts that have at least one fluoroalkyl-substituted phenyl group, which may allow for improvements with respect to selectively minimizing side reactions such as those that produce acetals and/or aldehydes and/or for precise control of the polymerization reaction.

[0014]

In particular, it has been found that such arylborane catalysts containing fluoroalkyl substituents phenyl groups may significantly decrease the side-reactions, leading to lower acetal linkages in the backbone. It is believed that the fluoroalkyl groups may impart unique properties to the metal (such as boron) active center. For example, the Hammett constant (σ) for a fluorine group in the para-position σp=0.06 whereas that for a CF3group in the para-position is 0.54. As such, a CF3group may act as a unique electron-withdrawing group, which is in part related to the inability of its F atoms to donate electron density into the ring.

[0000]

[0015]

Embodiments relate to forming a polyether polyol (e.g., a propylene oxide- and/or butylene oxide-based polyol) with a low amount of acetal linkages. The polyether polyol may have a relatively high number average molecular weight (i.e., greater than 500 g/mol, greater than 1000 g/mol, greater than 2,500 g/mol such as from 2,600 g/mol to 12,000 g/mol, 3,000 g/mol to 6,000 g/mol, etc.)

[0016]

According to exemplary embodiments, a catalyst component for forming the polyether polyol may utilize at least one Lewis acid catalyst and optionally the DMC catalyst. For example, the at least one Lewis acid catalyst may be used without the DMC catalyst, or the DMC catalyst and the at least one Lewis acid catalyst may be simultaneously or sequentially added. For example, in a DMC-Lewis acid dual catalyst system, a polymerization method may include initially adding a DMC catalyst and later adding the at least one Lewis acid catalyst that is separately provided and allowing the catalysts to react at, e.g., at the same temperature or a different (e.g., lower) temperature than the temperature at which the DMC catalyst was added. Lewis acid catalyst may be active at a different temperature range (e.g., from 60° C. to 115° C.).

[0017]

Polyether polyols include polyols that have multiple ether bonds. Exemplary polyether polyols include polyether hybrid polyols (such as polyether carbonate polyols and polyether ester polyols). The polyether polyols are produced by polymerizing an alkylene oxide component that includes at least one alkylene oxide and an initiator component that includes at least one initiator compound. The initiator compound has one or more functional groups at which the alkylene oxide can react to begin forming the polymer chains. The main functions of the initiator compound are to provide molecular weight control and to establish the number of hydroxyl groups that the monol or polyol product will have. The polyether carbonate may be produced by polymerizing carbon dioxide, at least one alkylene oxide, and an initiator compound. The polyether ester may be produced by polymerizing at least one alkylene oxide with a carboxylic acid initiator.

Lewis Acid Catalyst

[0018]

According to exemplary embodiments, the Lewis acid catalyst has the general formula M(R1)1(R2)1(R3)1(R4)0 or 1, whereas M is boron, aluminum, indium, bismuth or erbium, R1includes a first fluoroalkyl-substituted phenyl group, R2includes a second fluoroalkyl-substituted phenyl group or a first fluoro substituted phenyl group or a chloro-substituted phenyl group (i.e., first fluoro/chloro-substituted phenyl group), R3includes a third fluoroalkyl-substituted phenyl group or a second fluoro-substituted phenyl group or a chloro-substituted phenyl group (i.e., second fluoro/chloro-substituted phenyl group), and optional R4is a functional group or functional polymer group. The M in the general formula may exist as a metal salt ion or as an integrally bonded part of the formula. R1, R2, R3and R4are each independent of each other, e.g., a fluoroalkyl-substituted phenyl group of R1may be the same as or different from a fluoroalkyl-substituted phenyl group of R2. Though, R1is different from at least one of R2and R3, such that each of R1, R2, and R3are not all the same (e.g., same fluoroalkyl-substituted phenyl group), but R1may or may not be the same as R2or R3.

[0019]

R1may include the first fluoroalkyl-substituted phenyl group or may consist essentially of the first fluoroalkyl-substituted phenyl group. Similarly, R2may include the second fluoroalkyl-substituted phenyl group or the first fluoro/chloro-substituted phenyl group, or consist essentially of the second fluoroalkyl-substituted phenyl group or the first fluoro/chloro-substituted phenyl group. Similarly, R3may include the third fluoroalkyl-substituted phenyl group or the second fluoro/chloro-substituted phenyl group, or consist essentially of the third fluoroalkyl-substituted phenyl group or the second fluoro/chloro-substituted phenyl group. Similarly, R4may include the functional group or functional polymer group, or consist essentially of the R4is the functional group or functional polymer group.

[0020]

With respect to R1, R2, and R3, by fluoroalkyl-substituted phenyl group it is meant a phenyl group that includes at least one hydrogen atom replaced with a fluoroalkyl group, which is an alkyl group with at least one hydrogen atom replaced with a fluorine atom. For example, the fluoroalkyl group may have the structure CnHmF2n+1−m, whereas n is greater than or equal to 1 and less than or equal to 5. Also, m is a number that reflects a balance of the electrical charges to provide an overall electrostatically neutral compound, e.g., can be zero, one or greater than one. The phenyl group of the fluoroalkyl-substituted phenyl may be substituted to include other groups in addition to the at least one fluoroalkyl group, e.g., a fluorine atom and/or chlorine atom that replaces at least one hydrogen of the phenyl group. For example, R1, R2, or R3may be a fluoro/chloro-fluoroalkyl-substituted phenyl group (meaning one fluoro or chloro group and at least one fluoroalkyl group are substituted on the phenyl group), difluoro/chloro-fluoroalkyl-substituted phenyl group (meaning two fluoro, two chloro, or a fluoro and chloro group and at least one fluoroalkyl group are substituted on the phenyl group), trifluoro/chloro-fluoroalkyl-substituted phenyl group (meaning three fluoro, three chloro, or a combination of fluoro and chloro groups totaling three and at least one fluoroalkyl group are substituted on the phenyl group), or tetrafluoro/chloro-fluoroalkyl-substituted phenyl group (meaning four fluoro, four chloro, or a combination of fluoro and chloro groups totaling four and one fluoroalkyl group are substituted on the phenyl group).

[0021]

With respect to R2and R3, by fluoro-substituted phenyl group it is meant a phenyl group that includes at least one hydrogen atom replaced with a fluorine atom. By chloro-substituted phenyl group it is meant a phenyl group that includes at least one hydrogen atom replaced with a chlorine atom. The phenyl group of the fluoro/chloro-substituted phenyl group may be substituted with other groups (such as may include a combination of fluoro, chloro, and/or hydrogens), but excludes any fluoroalkyl groups (e.g., excludes the group having the structure CnHmF2n+1−mdiscussed above). Accordingly, the fluoro/chloro-substituted phenyl group is differentiated from the fluoroalkyl-substituted phenyl group, by the exclusion of any fluoroalkyl groups substituted on the phenyl ring.

[0022]

With respect to optional R4, the functional group or functional polymer group may be a Lewis base that forms a complex with the Lewis acid catalyst (e.g., a boron based Lewis acid catalyst) and/or a molecule or moiety that contains at least one electron pair that is available to form a dative bond with a Lewis acid. The Lewis base may be a polymeric Lewis base. By functional group or functional polymer group it is meant a molecule that contains at least one of the following: water, an alcohol, an alkoxy (examples include a linear or branched ether and a cyclic ether), a ketone, an ester, an organosiloxane, an amine, a phosphine, an oxime, and substituted analogs thereof. Each of the alcohol, linear or branched ether, cyclic ether, ketone, ester, alkoxy, organosiloxane, and oxime may include from 2-20 carbon atoms, from 2-12 carbon atoms, from 2-8 carbon atoms, and/or from 3-6 carbon atoms.

[0023]

For example, the functional group or functional polymer group may have the formula (OYH)n, whereas O is O oxygen, H is hydrogen, Y is H or an alkyl group, and n is an integer (e.g., an integer from 1 to 100). However, other known functional polymer groups combinable with a Lewis acid catalyst such as a boron based Lewis acid catalyst may be used. Exemplary cyclic ethers include tetrahydrofuran and tetrahydropyran. Polymeric Lewis bases are moieties containing two or more Lewis base functional groups such as polyols and polyethers based on polymers of ethylene oxide, propylene oxide, and butylene oxide. Exemplary polymeric Lewis bases include ethylene glycol, ethylene glycol methyl ether, ethylene glycol dimethyl ether, diethylene glycol, diethylene glycol dimethyl ether, triethylene glycol, triethylene glycol dimethyl ether, polyethylene glycol, polypropylene glycol, and polybutylene glycol.

[0024]

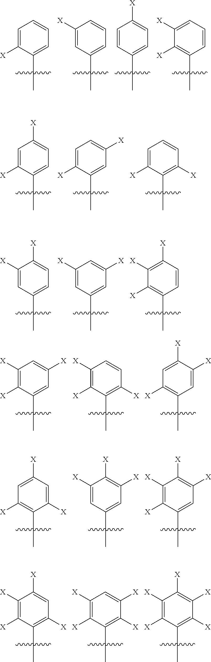
According to exemplary embodiments, the Lewis acid catalysts may have the following structure that includes at least one fluoroalkyl (Y) group substituted on a phenyl group, whereas that are at least two different substituted groups (i.e., Ar1and Ar2) and optionally at least one fluoro or chloro (X) substituted on another phenyl group:

[0025]

Further, the Lewis acid catalysts may have the following structures:

[0000]

[0026]

Further, the Lewis acid catalysts may have the following structures:

[0000]

[0027]

Whereas for exemplary structures, Ar1is chosen from the following, referred to as the Set 1 structures:

[0000]

[0028]

Whereas for exemplary structures, Ar2is chosen from the following, referred to as Set 2 structures:

[0000]

[0029]

According to exemplary embodiments, the Lewis acid catalyst is a boron based Lewis acid catalyst that has the general formula B(R1)1(R2)1(R3)1(R4)0 or 1, whereas R1is the first fluoroalkyl-substituted phenyl group (e.g., any structure from Set 1 structures), R2is the second fluoroalkyl-substituted phenyl group (e.g., any structure from Set 1 structures) or the first fluoro/chloro-substituted phenyl group (e.g., any structure from Set 2 structures), R3is the third fluoroalkyl-substituted phenyl group (e.g., any structure from Set 1 structures) or the second fluoro/chloro-substituted phenyl group (e.g., any structure from Set 2 structures), and optional R4is the functional group or functional polymer group. In exemplary embodiments, at least one of R1or R2or R3is a 3,4- or 3,5-bis(fluoroalkyl)-substituted phenyl group (e.g., a 3,4 or 3,5-bis(trifluoromethyl)-substituted phenyl group). For example, R4is a cyclic ether having 3-10 carbon atoms.

[0030]

Exemplary structures for the Lewis acid catalysts, where M is Boron are shown below:

[0000]

[0031]

While the above illustrates exemplary structures that include boron, similar structures may be used in which boron is replaced by metals such as aluminum, indium, bismuth, and/or erbium. Further, exemplary embodiments may utilize a blend or mixture of catalysts, e.g., using one or more of the catalyst structures above.

[0032]

Without intending to be bound by this theory, certain R4may help improve shelf life of the catalyst, e.g., without significantly compromising catalyst activity when utilized in a polymerization reaction. For example, the catalyst comprising M, R1, R2, and R3may be present in the form with the optional R4(form M(R1)1(R2)1(R3)1(R4)1) or without the optional R4(form M(R1)1(R2)1(R3)1). The optional R4may dissociate step-wise from M(R1)1(R2)1(R3)1(R4)1to give free M(R1)1(R2)1(R3)1, as shown below for M=B, which free M(R1)1(R2)1(R3)1may be a catalyst for an alkoxylation/polymerization process, and/or may dissociate from M(R1)1(R2)1(R3)1(R4)1in a concerted or other single-step process with the alkylene oxide to give a catalyst for an alkoxylation/polymerization process.

[0000]

[0033]

The ability of the optional R4group to protect the boron, aluminum, indium, bismuth and erbium center from inadvertent decomposition reactions may be related to a decrease in the accessible volume of the center. The accessible volume of the center is defined as the volume around the atom, such as the boron atom, that is available for interaction with other molecules.

[0000]

27
10

[0034]

Suitable R4groups that can help increase catalyst shelf stability, e.g., without compromising catalyst activity, include diethyl ether, cyclopentyl methyl ether, methyl tertiary-butyl ether, tetrahydrofuran, 2-methyltetrahydrofuran, tetrahydropyran, 1,4-dioxane, acetone, methyl isopropyl ketone, isopropyl acetate, and isobutyl acetate.

[0035]

The Lewis acid catalyst used in exemplary embodiments may be a blend catalyst that includes one or more Lewis acid catalysts (e.g., each having the general formula B(R1)1(R2)1(R3)1(R4)0 or 1) and optionally at least one other catalyst (e.g., such as catalysts known in the art for producing polyether polyols). The blend catalyst may optionally include other catalysts, in which the one or more Lewis acid catalysts having the general formula B(R1)1(R2)1(R3)1(R4)0 or 1account for at least 25 wt %, at least 50 wt %, at least 70 wt %, at least 75 wt %, at least 80 wt %, at least 85 wt %, at least 90 wt %, at least 95 wt %, at least 99 wt %, etc., of the total weight of the blend catalyst.

DMC Catalyst

[0036]

The catalyst component may optionally include DMC catalysts. Exemplary DMC catalysts and method of producing DMC catalyst are described, e.g., in U.S. Pat. Nos. 3,278,457, 3,278,458, 3,278,459, 3,404,109, 3,427,256, 3,427,334, 3,427,335, and 5,470,813. An exemplary type of DMC catalyst is a zinc hexacyanocobaltate catalyst complex. The mDMC catalyst complexes may be prepared using modified methods of forming the DMC catalysts. The DMC catalyst, e.g., ones that are known in the art, may be used in the catalyst system that includes the Lewis acid catalyst. The DMC catalyst may be the first or second catalyst that is provided.

[0037]

For example, the DMC catalysts may be represented by the Formula 1:

[0000]


Mb[M1(CN)r(X)t]c[M2(X)6]d.nM3xAy  (Formula 1)

[0038]

wherein M and M3are each metals; M1is a transition metal different from M. X1represents a group other than cyanide that coordinates with the M1ion. M2is a transition metal. X2represents a group other than cyanide that coordinates with the M2ion. X1or X2may each independently be a halogen, sulfate, nitrate, phosphate, carbonate, or chlorate. In exemplary embodiments, X1and X2are the same and are chloride. Al represents an anion; b, c and d are numbers that reflect an electrostatically neutral complex; r is from 4 to 6; t is from 0 to 2; x and y are integers that balance the charges in the metal salt M3xAy, and n is zero or a positive integer. For example, n is from 0.01 to 20. The foregoing formula does not reflect the presence of neutral complexing agents such as t-butanol which are often present in the DMC catalyst complex.

[0039]

Referring to Formula (I), M and M3each are a metal ion independently selected from (e.g., from the group consisting of): Zn2+, Fe2+, Co+2+, Ni2+, Mo4+, Mo6+, Al+3+, V4+, V5+, Sr2+, W4+, W6+, Mn2+, Sn2+, Sn4+, Pb2+, Cu2+, La3+ and Cr3+. Exemplary embodiments include at least Zn2+. Further, M1and M2each are a metal ion independently selected from (e.g., from the group consisting of): Fe3+, Fe2+, Co3+, Co2+, Cr2+, Cr3+, Mn2+, Mn3+, Ir3+, Ni2+, Rh3+, Ru2+, V4+, V5+, Ni2+, Pd2+, and Pt2+. Among the foregoing, those in the plus-three oxidation state may be used for the M1 and M2 metal. Exemplary embodiments include Co3+ and/or Fe3+.

[0040]

Suitable anions A include, but are not limited to, halides such as chloride, bromide and iodide, nitrate, sulfate, carbonate, cyanide, oxalate, thiocyanate, isocyanate, perchlorate, isothiocyanate, an alkanesulfonate such as methanesulfonate, an arylenesulfonate such as p-toluenesulfonate, trifluoromethanesulfonate (triflate), and a C1-4carboxylate. Exemplary embodiments include the chloride ion.

[0041]

Referring to Formula (I), r is an integer that is 4, 5 or 6. In exemplary embodiments, r is 4 or 6. Further, t is an integer from 0 to 2, and in exemplary embodiments t is 0. The sum of r+t may equal six.

[0042]

In exemplary embodiments, the DMC catalyst is a zinc hexacyanocobaltate catalyst complex. The DMC catalyst may be complexed with t-butanol. The DMC catalyst used in exemplary embodiments may be a blend catalyst that includes of one or more DMC catalysts. The blend catalyst may optionally include a non-DMC catalyst, in which the DMC catalysts account for at least 75 wt % of the total weight of the blend catalyst. The blend catalyst may exclude any of Lewis acid catalyst that is added at a later time in the dual catalyst system.

Monomers

[0043]

The monomers used to provide the polyether polyol include at least one selected from propylene oxide (1,2-propene oxide) and butylene oxide (1,2-butene oxide). The monomers may additionally include other monomers, such as the alkylene oxide monomers having at least three carbon atoms are selected from 1,2-alkene oxide monomers having from three to ten carbon atoms (linear or branched) and/or arylalkylene oxide monomers. Exemplary other monomers include pentylene oxide (also known as 1,2-epoxypentane), hexylene oxide (also known as 1,2-epoxyhexane), octylene oxide (also known as 1,2-epoxyoctane), nonylene oxide (also known as 1,2-epoxynonane), decylene oxide (also known as 1,2-epoxydecane), isobutylene oxide, 4-methyl-1-pentylene oxide, and styrene oxide.

Use of the Catalyst Component

[0044]

In embodiments where the one or more Lewis acid catalysts are used in the alkoxylation process of low hydroxyl equivalent weight starter compounds, also referred to as initiators, the process may proceed directly from the starter compound to a finished polyether polyol by the polymerization of one or more alkylene oxides. Further, the use of the Lewis acid catalyst during the polymerization reaction may reduce certain side reactions that lead to increased polydispersity and/or to increased acetal content in a final product.

[0045]

The starter compound, also referred to as an initiator, has a low molecular weight and a nominal hydroxyl functionality of at least 2. The initiator is any organic compound that is to be alkoxylated in the polymerization reaction. The initiator may contain as many as 12 or more hydroxyl groups. For example, the initiator may be a diol, triol or hexol. Mixtures of starter compounds/initiators may be used. The initiator will have a hydroxyl equivalent weight less than that of the polyether product, e.g., may have a hydroxyl equivalent weight of less than 3500 g/mol equivalence, less than 333 g/mol equivalence, less than 300 g/mol equivalence, greater than 30 g/mol equivalence, from 30 to 300 g/mol equivalence, from 30 to 250 g/mol equivalence, from 50 to 250 g/mol equivalence, etc. Exemplary, initiator compounds include, but are not limited to, ethylene glycol, diethylene glycol, triethylene glycol, propylene glycol, dipropylene glycol, tripropylene glycol, 1,4-butanediol, 1,6-hexanediol, 1,8-octanediol, cyclohexane dimethanol, glycerin, trimethylolpropane, trimethylolethane, pentaerythritol, sorbitol, sucrose, and/or alkoxylates (especially ethoxylates and/or propoxylates) any of these that have a number average molecular weight less than that of the product of the polymerization (e.g., less than 5000 g/mol, less than 4000 g/mol, less than 3000 g/mol, less than 2000 g/mol, and/or less than 1000 g/mol).

[0046]

The starter compound/initiator may be a low molecular weight polyether polyol that has been formed using an alkylene oxide such as propylene oxide, ethylene oxide, and/or butylene oxide (e.g., which is polymerized with another starter compound/initiator). The starter compound may be a diol or triol. For example, the starter compound is an all-propylene oxide-based diol or triol. The starter compound may have a hydroxyl functional based equivalent weight of may have a hydroxyl equivalent weight of less than 3500 g/mol equivalence, less than 333 g/mol equivalence, less than 300 g/mol equivalence, greater than 30 g/mol equivalence, from 30 to 300 g/mol equivalence, from 30 to 250 g/mol equivalence, from 50 to 250 g/mol equivalence, etc.

[0047]

When the Lewis acid catalyst is used, the temperature of the reactor may be reduced at least 20° C. as compared to when the DMC catalyst is used. For example, the temperature for use of a DMC catalyst may be from 125° C. to 160° C. (e.g., during a time at which a propylene oxide feed is gradually/slowly added to the reactor and after the time at which the starter compound is mixed with the DMC catalyst). The temperature for use of the Lewis acid catalyst may be from 25° C. to 115° C. and/or from 60° C. to 115° C. In exemplary embodiments, the control of the relative contribution of a mixture containing an active DMC catalyst and an active Lewis acid may enable the Lewis acid to dominate the addition of oxirane onto chain ends.

[0048]

In an exemplary embodiment, when the polyether polyol is derived from propylene oxide-based initiator (e.g., a polyoxypropylene starter compound), during the polymerization process propylene oxide and/or butylene oxide may be added to the reaction mixture to form the polyether polyol having a number average molecular weight greater than the number average molecular weight of the initiator. For example, the polyether polyol may have a molecular weight of at least 250 g/mol, at least 1000 g/mol, at least 2000 g/mol, at least 3000 g/mol, at least 5000 g/mol, at least 6000 g/mol, and/or at least greater than 100 g/mol.

[0049]

The polymerization reaction can be performed in any type of vessel that is suitable for the pressures and temperatures encountered. In a continuous or semi-continuous process the vessel may have one or more inlets through which the alkylene oxide and additional initiator compound may be introduced during the reaction. In a continuous process, the reactor vessel should contain at least one outlet through which a portion of the partially polymerized reaction mixture may be withdrawn. A tubular reactor that has single or multiple points for injecting the starting materials, a loop reactor, and a continuous stirred tank reactor (CSTR) are all suitable types of vessels for continuous or semi-continuous operations. An exemplary process is discussed in U.S. Patent Publication No. 2011/0105802.

[0050]

The resultant polyether polyol product may be further treated, e.g., in a flashing process and/or stripping process. For example, the polyether polyol may be treated to reduce catalyst residues even though some catalyst residue may be retained in the product. Moisture may be removed by stripping the polyol. The polyether polyol derived from propylene oxide, according to embodiments, may have a Lewis acid catalyst concentration (in ppm in the final polyoxypropylene polyol) of from 50 ppm to 1000 ppm (e.g., 100 ppm to 500 ppm and/or 100 ppm to 250 ppm).

[0051]

The polymerization reaction may be characterized by the “build ratio”, which is defined as the ratio of the number average molecular weight of the polyether product to that of the initiator compound. This build ratio may be as high as 160, but is more commonly in the range of from 2.5 to about 65 and still more commonly in the range of from 2.5 to about 50. The build ratio is typically in the range of from about 2.5 to about 15, or from about 7 to about 11 when the polyether product has a hydroxyl equivalent weight of from 85 to 400.

[0052]

Exemplary embodiments relate to preparing the polyether polyols using one or more of certain Lewis acid catalysts as polymerization catalysts that may achieve low acetal content in the resultant polyether polyols (e.g., less than 2.0 mol %, less than 1.5 mol %, less than 1.0 mol %, less than 0.8 mol %, less than 0.5 mol %, less than 0.4 mol %, less than 0.3 mol %, less than 0.2 mol %, less than 0.1 mol %, etc.), based on the total moles of carbon in the resultant polyol chains, while still receiving high molecular weight polyols (e.g., polypropylene oxide polyols, poly-propylene oxide/butylene oxide polyols, polybutylene oxide polyols, etc.)

[0053]

Exemplary embodiments relate to using one or more of certain Lewis acid catalyst as polymerization catalyst, such that use of the Lewis acid catalyst may result in higher activation barriers to aldehyde formation, which is an undesired product, as compared to the activation barrier for forming the desired polyether polyol product or intermediate. As such the formation of the desired product or intermediate product may be favored during the polymerization process compared to the undesired products. For example, the activation barrier to aldehyde formation may be greater than 3.5 kcal/mol, greater than 5.0 kcal/mol, greater than 6.0 kcal/mol, and/or greater than 8.0 kcal/mol. The activation barrier to aldehyde formation may be less than 30 kcal/mol and/or less than 20 kcal/mol.

[0054]

Polyether polyols produced in accordance with embodiments may be useful for making polyurethanes. The polyurethane polymers may be prepared as the reaction product of the polyether polyol and an isocyanate (such as a polyisocyanate, of which examples include methylenediphenyl diisocyanate also known as MDI and toluene diisocyanate also known as TDI). For example, higher equivalent weight polyether polyol products may be useful in making elastomeric or semi-elastomeric polyurethane products, including noncellular or microcellular elastomers, coatings, adhesives, sealants, composites, and flexible, rigid, and viscoelastic polyurethane foams. The polyurethane foams may be made in a slabstock or molding process.

[0055]

All parts and percentages are by weight unless otherwise indicated. All molecular weight values are based on number average molecular weight unless otherwise indicated.

Examples

[0056]

Approximate properties, characters, parameters, etc., are provided below with respect to various working examples, comparative examples, and the materials used in the working and comparative examples.

Catalyst Synthesis

[0057]

The general production for catalyst synthesis is as follows. Unless otherwise noted, all experimental procedures and manipulations of chemical substances are performed in a nitrogen-purged glove box or on a Schlenk line. All bulk reaction solvents (toluene, diethyl ether, hexane, tetrahydrofuran (THF)) are dried by passage through columns of alumina and Q5 reactive scavenger. All other solvents are purchased from Aldrich anhydrous grade and stored over activated 3 Å molecular sieves prior to use. NMR solvents (CDCl3and C6D6), obtained from Cambridge Isotope Laboratories, Inc., are dried over molecular sieves or, in the case of C6D6, dried using Na/K alloy. Further, 1-bromo-2,3,4,5,6-pentafluorobenzene, 1-bromo-3,5-bis(trifluoromethyl)benzene, 1-bromo-3,4,5-trifluorobenzene, 1-bromo-2,6-difluorobenzene, 1-bromo-2-chloro-4,6-difluorobenzene, 1-bromo-2,4,6-trifluorobenzene, 1-bromo-2-fluoro-3-trifluoromethylbenzene, 1-bromo-2-fluoro-4-trifluoromethylbenzene, 1-bromo-2,5-bis(trifluoromethyl)benzene, and 1-bromo-2,4-difluoro-3-trifluoromethylbenzene are purchased from Oakwood Chemical and used as received. 1-Bromo-2,3,5,6-tetrafluoro-4-trifluoromethylbenzene is purchased from Alfa Aesar and used as received. Also, n-butyllithium (nominal 1.6 or 2.5 M solution in hexane), triisopropylborate, boron trichloride (1.0 M solution in toluene), chlorotrimethylsilane, hexachlorobenzene, and anhydrous HCl (2.0 M solution in diethyl ether) are obtained from Sigma-Aldrich and used as received. Further, n-butyllithium (1.6 or 2.5 M solution in hexane) is titrated before use using 1.00 M decanol in toluene with 1,10-phenanthroline as an indicator. Bis(trifluoromethyl)phenyl)chloroborane (Samigullin et al., Organometallics, 2014, 33, 3564-3569) is prepared according to literature procedures.

[0058]

Multinuclear NMR spectra (1H,11B,13C,19F) are collected on one of the following instruments: Varian MR-400 or Varian VNMRS-500. The1H and13C NMR chemical shifts are referenced in parts per million relative to residual solvent peaks:1H—7.15 ppm for C6D6, 7.25 ppm for CDCl3;13C—128.00 ppm for C6D6, and 77.00 ppm for CDCl3. Boron-11 NMR chemical shifts are referenced externally to BF3(Et2O) (0 ppm), and19F NMR chemical shifts are referenced externally to CFCl3(0 ppm). Sub-ambient reaction temperatures, except when dry ice or ice were the sole means of cooling, are measured using an Extech Instruments EasyView TM10 Dual K model EA 10 thermometer with a fine JKEM sensor PTFE wire K 36INJ.

Starting Materials for the Catalyst are Prepared as Follows:

[0059]

Starting material, (3,5-bis(trifluoromethyl)phenyl)diisopropoxyborane, is prepared according to Schematic 2:

[0000]

[0060]

In particular, in a first stage, n-butyllithium (23.0 mL, 2.61 M in hexanes, 60.0 mmol) is added with stirring to a cold (−78° C., CO2(s) bath) solution of 1-bromo-3,5-bis(trifluoromethyl)benzene (18.5 g, 63.2 mmol) in diethyl ether (200 mL). The reaction mixture is stirred for 3 hours at −78° C., during which time precipitate is formed. Triisopropylborate (11.9 g, 63.1 mmol) in ether (20 mL) is added slowly to the reaction mixture. The reaction mixture is stirred for 1 hour at −78° C., and then is allowed to warm to ambient temperature. The reaction mixture is further stirred for 1 hour to give a slightly cloudy solution. The reaction mixture is filtered and the volatiles are removed under reduced pressure to give a solid. The solid is triturated with hexane, filtered, and the volatiles are again removed under reduced pressure to give lithium(diethyletherate) (3,5-bis(trifluoromethyl)phenyl)triisopropoxyborate as a colorless powder. Yield: 23.2 g (95%).

[0061]

In a second stage, hydrogen chloride solution (12.3 mL, 2 M in ether, 24.6 mmol) is added at ambient temperature to a solution of lithium(diethyletherate) (3,5-bis(trifluoromethyl)phenyl)triisopropoxyborate (prepared in first stage, 8.00 g, 19.6 mmol) in diethyl ether (100 mL). Precipitate may form immediately upon addition. The reaction mixture is stirred for two hours, and then filtered. The volatiles are removed under reduced pressure. The resultant residue is extracted with hexane, filtered, and the volatiles are again removed under reduced pressure to give the (3,5-bis(trifluoromethyl)phenyl)diisopropoxyborane as an oil. Yield: 5.10 g (76%).

[0062]

Starting material, bis(3,5-bis(trifluoromethyl)phenyl)isopropoxyborane, is prepared according to Schematic 3:

[0000]

[0063]

In particular, in a first stage, n-butyllithium (5.3 mL, 2.6 M in hexanes, 60 mmol) is added with stirring to a cold (−78° C., CO2(s) bath) solution of 1-bromo-3,5-bis(trifluoromethyl)benzene (4.26 g, 14.5 mmol) in diethyl ether (200 mL). The reaction mixture is stirred for 1 hour at −78° C.; precipitate forms during this time. (3,5-Bis(trifluoromethyl)phenyl)diisopropoxyborane (4.82 g, 14.1 mmol) in ether (15 mL) is added slowly to the cold reaction mixture. The reaction mixture is stirred for 1 hour at −78° C. (precipitate still present) and then allowed to warm to ambient temperature. The reaction mixture is stirred overnight to give a clear solution. The volatiles are removed under reduced pressure to give a crystalline-appearing solid. The solid is dissolved in hexane, and the resultant solution is filtered and placed in the freezer (−33° C.) over the weekend. A large amount of crystalline material is formed during this time. The supernatant is decanted and the volatiles are removed under reduced pressure to give a colorless crystalline material. Yield of lithium(diethyletherate) bis(3,5-bis(trifluoromethylphenyl)diisopropoxyborate: 8.23 g, (94%).

[0064]

In a second stage, hydrogen chloride solution (5.5 mL, 2 M in ether, 11 mmol) is added at ambient temperature to a solution of lithium(diethyletherate) bis(3,5-bis(trifluoromethyl)phenyl)diisopropoxyborate (prepared in first stage, 5.00 g, 7.86 mmol) in diethyl ether (100 mL). Precipitate may form immediately upon addition. The reaction mixture is stirred for one hour and the volatiles are removed under reduced pressure. The resultant residue is extracted with hexane, filtered, and the volatiles are again removed under reduced pressure to give bis(3,5-bis(trifluoromethyl)phenyl)isopropoxyborane as a colorless powder. Yield: 3.98 g, (102%; product contains residual solvent).

[0065]

Starting material, (2,3,4,5,6-pentafluorophenyl)(3,5-bis(trifluoromethyl)phenyl)-(isopropoxy)borane, is prepared according to Schematic 4:

[0000]

[0066]

In particular, in a first stage, n-butyllithium (6.0 mL, 2.6 M in hexanes, 16 mmol) is added with stirring to a cold (between −95° C. and −93° C., CO2(s), then N2(l), methanol bath) solution of 1-bromo-2,3,4,5,6-pentafluorobenzene (4.47 g, 16.5 mmol) in diethyl ether (200 mL). The reaction mixture is stirred for 1 hour at −90° C.; a small amount of precipitate is formed during this time. (3,5-Bis(trifluoromethyl)phenyediisoproxyborane (5.00 g, 14.6 mmol) in ether (15 mL) is added slowly. The reaction mixture is stirred for 2 hours at −90° C. and then allowed to warm to −78° C. and stir for 2-3 more hours. The reaction mixture is allowed to warm to ambient temperature and is stirred overnight to give a clear solution. The volatiles are removed under reduced pressure to give a brownish yellow oil. The oily residue is extracted with hexane and filtered. The volatiles are removed from the hexane solution under reduced pressure to give a brownish yellow oil. Hexane (50 mL) is added to dissolve the oil. THF (5 mL) is added to the solution and the volatiles are removed under reduced pressure to give a solid. The solid is dissolved in hexane and the solution is placed in the freezer (−33° C.) overnight; solid crystalline material forms during this time. The supernatant is drained from the crystalline material and the material is washed with hexane. After drying under vacuum, lithium bis(tetrahydrofuranate) (2,3,4,5,6-pentafluorophenyl)(3,5-bis(trifluoromethyl)phenyl)diisopropoxyborate is isolated as an off-white brownish microcrystalline solid. Yield: 5.24 g (61%).

[0067]

In a second stage, hydrogen chloride solution (6.0 mL, 2 M in ether, 12 mmol) is added at ambient temperature to a solution of lithium bis(tetrahydrofuranate) (2,3,4,5,6-pentafluorophenyl)(3,5-bis(trifluoromethyl)phenyl)diisopropoxyborate (prepared in first stage, 5.11 g, 7.73 mmol) in diethyl ether (75 mL). Precipitate may be formed immediately upon addition. The reaction mixture is stirred for about 30 minutes. The reaction mixture is then stirred overnight under very slightly reduced pressure in order to remove volatiles. A white solid is formed. The white solid is extracted with hexane, filtered, and the volatiles are removed to give (2,3,4,5,6-pentafluorophenyl)(3,5-bis(trifluoromethyl)phenyl)isopropoxyborane as a white solid. Yield: 3.46 g (100%).

[0068]

Starting material, (3,5-bis(trifluoromethyl)phenyl)(3,4,5-trifluorophenyl)isopropoxyborane, is prepared according to Schematic 5:

[0000]

[0069]

In particular, in a first stage, n-butyllithium (37.2 mL, 2.53 M in hexanes, 94.1 mmol) is added with stirring to a cold (−78° C., CO2(s) bath) solution of 1-bromo-3,4,5-trifluorobenzene (27.6 g, 131 mmol) in diethyl ether (300 mL). The addition is done at a rate such that the temperature of the reaction mixture is maintained in a range between −73° C. to −70° C. The reaction mixture is stirred for 1 hour at −78° C. and formation of precipitate is noted. (3,5-Bis(trifluoromethyl)phenyl)diisopropoxyborane (32.2 g, 94.1 mmol) in ether (15 mL) is added slowly to the reaction mixture. The reaction mixture is allowed to warm to ambient temperature while stirring over the weekend to give a slightly cloudy solution. The solution is filtered and the volatiles are removed under reduced pressure to give a pasty crystalline-appearing solid, characterized by multinuclear NMR spectroscopy as lithium(diethyletherate) (3,5-bis(trifluoromethyl)phenyl)(3,4,5-trifluorophenyl)diisopropoxyborate. This solid is used in the next stage without any further purification.

[0070]

In a second stage, the product from the first stage is dissolved in diethyl ether (150 mL) and hydrogen chloride solution (50 mL, 2 M in diethyl ether, 100 mmol) is added with formation of copious precipitate. The reaction mixture is allowed to stir over the weekend. The reaction mixture is filtered. The volatiles are removed from the filtrate under reduced pressure. The resultant residue is extracted with hexane, filtered, and the volatiles are removed under reduced pressure to yield a thick, light orange oil, characterized as (3,5-bis(trifluoromethyl)phenyl)(3,4,5-trifluorophenyl)isopropoxyborane. Yield: 32.6 g, (84%).

[0071]

Starting material, (3,5-bis(trifluoromethyl)phenyl)(2,5-bis(trifluoromethyl)phenyl)isopropoxyborane, is prepared according to Schematic 6:

[0000]

[0072]

In particular, in a first stage, n-butyllithium (4.0 mL, 2.5 M in hexanes, 10 mmol) is added to a cold (between −101° C. and −99° C., CO2(s), then N2(1), methanol bath) solution of 1-bromo-2,5-bis(trifluoromethyl)benzene (3.00 g, 10.2 mmol) in diethyl ether (150 mL) with stirring. The reaction mixture is stirred for 2 hours at around −100° C. and then is allowed to warm up to −78° C. (3,5-Bis(trifluoromethyl)phenyl)diisopropoxyborane (3.51 g, 10.3 mmol) in ether (10 mL) is added slowly to the reaction mixture and the reaction mixture is allowed to warm to ambient temperature overnight while stirring. The volatiles are removed from the pale yellow, nearly clear, solution under reduced pressure to give a crystalline-appearing yellow solid. The yellow solid is dissolved in hexane, filtered, and concentrated under a nitrogen stream. Colorless crystals precipitate from the solution and these are isolated by filtration. NMR analysis of the crystals show pure desired compound. Yield of colorless crystals from the first crop: 3.32 g. The supernatant solution from the crystals is placed in the freezer overnight. Crystalline matter forms. The supernatant is pipetted out and discarded. The crystalline residue is dried under reduced pressure: 2.02 g. The total yield of the product, lithium(diethyletherate) (3,5-bis(trifluoromethyl)phenyl)(2,5-bis(trifluoromethyl)phenyl)diisopropoxyborate, is 5.34 g, (83%).

[0073]

In a second stage, chlorotrimethylsilane (2.0 mL, 16 mmol) is added to a solution of lithium(diethyletherate) (3,5-bis(trifluoromethyl)phenyl)(2,5-bis(trifluoromethyl)phenyl)diisopropoxyborate (3.32 g, 5.21 mmol) in ether (10 mL) with rapid formation of precipitate. The reaction mixture is allowed to stir overnight. The reaction mixture is filtered and the volatiles are removed under reduced pressure. NMR analysis shows the reaction is complete. A second batch of lithium(diethyletherate) (3,5-bis(trifluoromethyl)phenyl)(2,5-bis(trifluoromethyl)phenyl)diisopropoxy borate (2.02 g, 3.18 mmol) is treated similarly with 2.0 mL of chlorotrimethylsilane and stirred for 3 hours. The second reaction mixture in this second stage is filtered and combined with the first reaction product. The volatiles are removed from the mixture under reduced pressure. The residue is extracted with hexane, filtered, and the volatiles are removed overnight at 40° C. under reduced pressure to give the product, (3,5-bis(trifluoromethyl)phenyl)(2,5-bis(trifluoromethyl)phenyl)isopropoxyborane, as a yellow oil, 3.47 g, 83.4%.

The Catalyst Samples are Prepared as Follows:

[0074]

Catalyst 1 is the THF adduct of bis(3,5-bis(trifluoromethyl)phenyl)-(2,3,4,5,6-pentafluorophenyl)borane, which is prepared according to the following Schematic 7:

[0000]

[0075]

In particular, in a first stage, in an N2-purged glove box, bis(3,5-bis(trifluoromethyl)phenyl)chloroborane (0.80 g, 1.7 mmol) is dissolved in 20 mL of toluene in a 110-mL glass jar. A Teflon-coated stir bar is added. In a 20-mL glass vial, Zn(C6F5)2(0.34 g, 0.85 mmol) is dissolved in 10 mL of toluene. The solution containing the zinc compound is added to the borane solution with stirring. A white solid precipitates upon completion of the addition. The reaction mixture is stirred at room temperature for 1 hour. An aliquot of the reaction mixture is removed, filtered, and analyzed by19F NMR spectroscopy. The spectrum confirms that the reaction to form the desired product is present. The reaction mixture is filtered through a disposable PTFE frit to remove solids. The filtrate is then pumped down to dryness to yield a white solid. The solid is dissolved in the minimum amount of toluene required to get the material into solution and the solution is filtered again through a disposable PTFE frit. The toluene solution is placed in the glove box freezer (−40° C.) overnight, during which time fine, needle-like crystals precipitate. The crystals are collected by filtration, washed with cold pentane (−40° C.), and dried under vacuum for 1 hour. Total yield of bis(3,5-bis(trifluoromethyl)phenyl(2,3,4,5,6-pentafluorophenyl)borane: 0.74 g (72%).

[0076]

In a second stage, in an N2-purged glove box, 0.61 g (1.0 mmol) of bis(3,5-bis(trifluoromethyl)phenyl)(2,3,4,5,6-pentafluorophenyl)borane (prepared in stage 1) is weighed into a 110-mL glass jar and dissolved in 50 mL of THF. The THF is removed under vacuum with stirring to yield an oily white solid. The solid is triturated with 40 mL of pentane to yield a white solid. The white solid is characterized as the THF adduct of bis(3,5-bis(trifluoromethyl)phenyl)(2,3,4,5,6-pentafluorophenyl)borane. Yield: 0.51 g (75%).

[0077]

Catalyst 2 is the THF adduct of bis(2,3,4,5,6-pentafluorophenyl)(3,5-bis(trifluoromethyl)phenyl)borane, which is prepared according to the following Schematic 8:

[0000]

[0078]

In particular, in a first stage, n-butyllithium (2.5 mL, 2.6 M in hexanes, 6.5 mmol) is added with stirring to a cold (between −101° C. and −99° C., CO2(s), then N2(l), methanol bath) solution of 1-bromo-2,3,4,5,6-pentafluorobenzene (1.68 g, 6.80 mmol) in diethyl ether (200 mL). The reaction mixture is stirred for 1 hour at −90° C.; a small amount of precipitate forms during this time. Then, (pentafluorophenyl)(3,5-bis(trifluoromethyl)phenyl)isopropoxyborane (3.00 g, 6.67 mmol) in ether (15 mL) is added slowly to the reaction mixture. The reaction mixture is stirred for 2 hours at −90° C., and then is allowed to warm to −78° C. and stirred for 2-3 more hours. The reaction mixture is allowed to warm to ambient temperature. The reaction mixture is filtered and the volatiles are removed under reduced pressure to give an oily precipitate containing a large amount of tiny crystals. The crystals are dissolved in THF (10 mL) and the volatiles are removed under reduced pressure to give a yellow oil. The oil is triturated with hexanes, but not all of the oil dissolves. The hexane solution is decanted off of the oil fraction. The volatiles are removed from the hexane solution and the oil fraction to give a white crystalline solid from the oil fraction (2.23 g) and a brownish solid from the hexane-soluble fraction (2.42 g). By multinuclear NMR spectroscopy, the white solid from the oil fraction is the desired product in pure form, lithium bis(tetrahydrofuranate) bis(2,3,4,5,6-pentafluorophenyl)-(3,5-bis(trifluoromethyl)phenyl)isopropoxyborate. By multinuclear NMR spectroscopy, the brownish solid is the desired product with some contaminants present. The brownish solid is washed twice with hexane to give a nearly white solid (2.35 g), which by NMR spectroscopy is characterized as the desired product, lithium bis(tetrahydrofuranate) bis(2,3,4,5,6-pentafluorophenyl)(3,5-bis(trifluoromethyl)phenyl)isopropoxyborate. Total yield: 4.58 g (91%).

[0079]

In a second stage, to a solution of lithium bis(tetrahydrofuranate) bis(2,3,4,5,6-pentafluorophenyl)(3,5-bis(trifluoromethyl)phenyl)isopropoxyborate (4.40 g, 5.73 mmol) in diethyl ether (75 mL) is added hydrogen chloride solution in ether (4.0 mL, 2.0 M, 8.0 mmol) with gradual formation of precipitate observed. The reaction mixture is stirred for about 30 minutes, then the reaction mixture is stirred overnight under very slightly reduced pressure to remove volatiles to give a white solid. By1H NMR spectroscopy, it can be shown that isopropoxy groups are still present in the material isolated (starting material is still present). The white residue is dissolved in ether and additional hydrogen chloride solution (2.0 mL, 4.0 mmol) is added; only a trace of solid formation is observed. The reaction is stirred for 30 minutes and all volatiles are then removed under reduced pressure. By1H NMR spectroscopy, it can be shown that there is much less starting material contaminating the desired product. Next, the residue from the reaction mixture is dissolved in THF (10 mL) and the volatiles are again removed under reduced pressure. Toluene (50 mL) is added, the solution is filtered to remove LiCl, and the volatiles are removed overnight from the solution at a slow rate. By morning, the volatiles are not observed, leaving a white powder which by1H and19F NMR spectroscopy is determined to be the desired product, the THF adduct of bis(2,3,4,5,6-pentafluorophenyl)(3,5-bis(trifluoromethyl)phenyl)borane. Yield of white powder: 3.09 g (86%).

[0080]

Catalyst 3 is bis(3,5-bis(trifluoromethyl)phenyl)(3,4,5-trifluorophenyl)borane, which is prepared according to the following Schematic 9:

[0000]

[0081]

In a first stage, n-butyllithium (3.5 mL, 2.5 M in hexanes, 8.7 mmol) is added slowly dropwise with stirring to a cold (−75° C., CO2(s) bath) solution of 1-bromo-3,5-bis(trifluoromethyl)benzene (2.77 g, 9.45 mmol) in diethyl ether (150 mL). The reaction mixture is stirred for 2 hours at −78° C. with formation of precipitate observed. A solution of (3,5-bis(trifluoromethyl)phenyl)(3,4,5-trifluorophenyl)isopropoxyborane (3.27 g, 7.89 mmol) in ether (15 mL) is added slowly. The reaction mixture is stirred for 1 hour, then the cold bath is removed from the now-clear solution to allow the mixture to warm to ambient temperature and stand overnight. Next, HCl solution (5.0 mL, 2 M in diethyl ether, 10 mmol) is added at ambient temperature and the reaction mixture is stirred overnight, filtered, and volatiles are removed under reduced pressure. The resultant solid is analyzed by1H NMR spectroscopy and can be found to still contain some isopropoxyborane starting material. The solid is dissolved in diethyl ether and additional HCl solution (2.0 mL, 4.0 mmol) is added. Next, the reaction mixture is filtered and the volatiles are removed under reduced pressure to give an oily solid. The residue is extracted with hot hexane, filtered, and the yellow solution is placed in the freezer (−35° C.) overnight and formation of solids is observed. The supernatant is drained off and the solid is dried under reduced pressure. Yield of beige solid (bis(3,5-bis(trifluoromethyl)phenyl)(3,4,5-trifluorophenyl)borane): 1.44 g (32%).

[0082]

Catalyst 4 is the THF adduct of bis(3,5-bis(trifluoromethyl)phenyl)(2,6-difluorophenyl)borane, which is prepared according to Schematic 10.

[0000]

[0083]

In particular, in a first stage n-butyllithium (3.0 mL, 2.5 M in hexanes, 7.4 mmol) is added slowly dropwise to a cold (−78° C., CO2(s) bath) solution of 1-bromo-2,6-difluorobenzene (1.46 g, 7.56 mmol) in diethyl ether (100 mL). The reaction mixture is stirred for 1 hour at −78° C. Then, bis(3,5-bis(trifluoromethyl)phenyl)isopropoxyborane (3.69 g, 7.44 mmol) in ether (10 mL) is added slowly. Precipitate forms while the reaction mixture is allowed to warm to ambient temperature. By the time the reaction mixture has reached room temperature, the precipitate is dissolved to give a clear solution that is stirred for several hours. The solution is filtered and the volatiles are removed under reduced pressure to give a crystalline-appearing solid. The solid is dissolved in a minimum of boiling ether and the solution is placed in the freezer. After cooling overnight, the supernatant is decanted from the crystals that have formed. The crystals are dried under reduced pressure. Yield of crystals of lithium bis(diethyletherate) bis(3,5-bis(trifluoromethyl)phenyl)(2,6-difluorophenyl)isopropoxyborate: 6.9 g (88%).

[0084]

In a second stage, lithium bis(diethyletherate) bis(3,5-bis(trifluoromethyl)phenyl)(2,6-difluorophenyl)isopropoxyborate (5.85 g, 10.6 mmol) is dissolved in ether (150 mL). Then, chlorotrimethylsilane (3.0 mL, 24 mmol) is added at ambient temperature. Precipitate begins to form within 15 minutes. The reaction mixture is allowed to stir over the weekend. By Monday, the volatiles evaporate away (non-sealed container). The colorless solid is extracted with ether and filtered. The volatiles are removed under reduced pressure to give the diethyl ether adduct of bis(3,5-bis(trifluoromethyl)phenyl)(2,6-difluorophenyl)borane as a colorless solid, 4.9 grams (74%). NMR spectra shows clean product, but with only about 86% of the required ether for a monoetherate complex. The product is dissolved in ether to give a hazy solution. Then, THF (6 mL) is added and the solution becomes crystal clear. The volatiles are removed under reduced pressure to give a glassy solid. The solid is extracted with benzene, filtered, and the volatiles are removed under reduced pressure to give a white solid. The yield of the THF adduct of bis(3,5-bis(trifluoromethyl)phenyl)(2,6-difluorophenyl)borane is 4.6 g (94%).

[0085]

Catalyst 5 is the THF adduct of bis(3,5-bis(trifluoromethyl)phenyl)(2-chloro-4,6-difluorophenyl)borane, which is prepared according to the following Schematic 11:

[0000]

[0086]

In particular, in a first stage, n-butyllithium (5.2 mL, 2.5 M in hexanes, 13 mmol) is added slowly dropwise to a cold (−78° C., CO2(s) bath) solution of 1-bromo-2-chloro-4,6-difluorobenzene (3.03 g, 13.3 mmol) in diethyl ether (150 mL). The reaction mixture is stirred for 1 hour at −78° C. Then, bis(3,5-bis(trifluoromethyl)phenyl)isopropoxyborane (6.50 g, 13.1 mmol) in ether (15 mL) is added slowly. The reaction mixture is stirred for several hours, then is allowed to warm to ambient temperature while stirring overnight. The volatiles are removed under reduced pressure to give a solid. The solid is triturated with hexane and filtered. The solid is washed with hexane and dried under reduced pressure to give a yield of lithium(diethyletherate)1.5bis(3,5-bis(trifluoromethyl)phenyl)(2-chloro-4,6-difluorophenyl)isopropoxyborate of 9.2 g (92%).

[0087]

In a second stage, chlorotrimethylsilane (1.1 mL, 0.94 grams, 8.7 mmol) is added slowly dropwise to a solution of lithium(diethyletherate)1.5bis(3,5-bis(trifluoromethyl)phenyl)(2-chloro-4,6-difluorophenyl)isopropoxyborate (prepared in stage 1, 4.73 g, 6.21 mmol) in diethyl ether (100 mL). Precipitate begins to form within an hour. The reaction mixture is allowed to stir overnight. The reaction mixture is filtered and the volatiles are removed under reduced pressure to give a pasty solid-containing residue, 4.0 g. The residue is extracted with benzene, the solution is filtered, and the volatiles are removed under reduced pressure to give a colorless solid, 3.60 g (99.1%). The solid is divided into two portions: about 1.5 g and 2.0 g. Then, THF (8 mL) is added to a solution of the 2.0 g portion in ether. The volatiles are removed under reduced pressure and the resulting solid is dissolved in ether (25 mL). The volatiles are again removed under reduced pressure to give the THF adduct of bis(3,5-bis(trifluoromethyl)phenyl)(2-chloro-4,6-difluorophenyl)borane as a crystalline solid (2.2 g, yield is quantitative).

[0088]

Catalyst 6, is the THF adduct of bis(3,5-bis(trifluoromethyl)phenyl)(2,4,6-trifluorophenyl)borane, which is prepared according to the following Schematic 12:

[0000]

[0089]

In particular, in a first stage, in a N2-purged glove box, 3.00 grams (14.2 mmol) of 1-bromo-2,4,6-trifluorobenzene is combined with 200 mL of diethyl ether in a 500-mL Schlenk flask. A Teflon-coated stir bar is added to the colorless solution and the flask is sealed with a rubber septum before being removed from the glove box. In a fume-hood, the flask is connected to a nitrogen line and placed in a dry ice/acetone bath (−78° C.) for 20 minutes to chill. A 2.5 M solution of n-butyllithium in hexane (5.8 mL, 14 mmol) is added via syringe to the cold solution. The reaction mixture is stirred at −78° C. for 1 hour. A solution of 7.05 g (14.2 mmol) of bis(3,5-bis(trifluoromethyl)phenyl)isopropoxyborane in 25 mL of diethyl ether is prepared in the glove box and drawn up into a syringe. The solution is injected slowly into the flask containing the cold aryllithium solution at −78° C. The reaction mixture is then allowed to slowly warm to room temperature while stirring overnight. The next morning, the solution is filtered from a small amount of precipitate that forms. The volatiles are removed under reduced pressure to give a pale yellow solid. The solid is extracted with hexane (2×100 mL), the resulting mixture is filtered, and the volatiles are removed under reduced pressure to give an off-white solid. The solid is triturated with hexane, the solids are filtered out, and the volatiles are removed under reduced pressure from the filtrate to give a white solid, lithium bis(diethyletherate) bis(3,5-bis(trifluoromethyl)phenyl)(2,4,6-trifluorophenyl)isopropoxyborate Yield: 10.6 g, (96%).

[0090]

In a second stage, in a N2purged glove box, 8.00 g (10.2 mmol) of lithium bis(diethyletherate) bis(3,5-bis(trifluoromethyl)phenyl)(2,4,6-trifluorophenyl)isopropoxyborate from stage 1 is dissolved in 100 mL of diethyl ether to form a colorless solution. Chlorotrimethylsilane (3.2 mL, 2.7 g, 25 mmol) is added with stirring to the solution at room temperature. The mixture is allowed to stir overnight at room temperature with formation of copious precipitate. An aliquot of the reaction mixture is removed and analyzed by19F NMR spectroscopy to confirm that the reaction has gone to completion. The reaction mixture is filtered through Celite to remove LiCl and the volatiles are removed under reduced pressure. The residue is extracted into benzene, the solution is filtered, and the volatiles are removed under reduced pressure to give a white powder. Multinuclear NMR spectroscopy confirms formation of bis(3,5-bis(trifluoromethyl)phenyl)(2,4,6-trifluorophenyl)borane in pure form. Yield: 4.99 g (86%).

[0091]

In a third stage, in a N2-purged glove box, 4.45 g (7.82 mmol) of bis(3,5-bis(trifluoromethyl)phenyl)(2,4,6-trifluorophenyl)borane from stage 2 is dissolved in ether (20 mL) and THF (2 mL) is added. The volatiles are removed under reduced pressure to give the product as a white solid. The white solid is characterized by multinuclear NMR spectroscopy as the mono-THF adduct of bis(3,5-bis(trifluoromethyl)phenyl)(2,4,6-trifluorophenyl)borane. Yield: 4.81 g (96%).

[0092]

Catalyst 7 is the THF adduct of bis(3,5-bis(trifluoromethyl)phenyl)(2-fluoro-3-(trifluoromethyl)phenyl)borane, which is prepared according to the following Schematic 13:

[0000]

[0093]

In particular, in a first stage, n-butyllithium (5.0 mL, 2.5 M in hexanes, 13 mmol) is added slowly to a cold (−78° C., CO2(s) bath) solution of 1-bromo-2-fluoro-3-(trifluoromethyl)benzene (3.11 g, 12.8 mmol) in diethyl ether (200 mL). The reaction mixture is stirred for 1 hour at −78° C. Then, bis(3,5-bis(trifluoromethyl)phenyl)isopropoxyborane (6.34 g, 12.8 mmol) in ether (15 mL) is added slowly. The reaction mixture is stirred for several hours at −78° C. The solution is allowed to warm to ambient temperature while stirring overnight to give a slightly cloudy yellow solution. The reaction mixture is filtered and the volatiles are removed to give a white solid. The solid is extracted with hexane, the solution is filtered, and the volatiles are removed slowly from the filtrate under reduced pressure to give large crystals. The supernatant is drained off, the crystals are washed with a small amount of hexane (5 mL), and the volatiles are removed under reduced pressure to give the product, lithium(diethyletherate) bis(3,5-bis(trifluoromethyl)phenyl)(2-fluoro-3-(trifluoromethyl)phenyl)isopropoxyborate, as large colorless crystals, with a yield of 8.67 g (92%).

[0094]

In a second stage, to a solution of lithium(diethyletherate) bis(3,5-bis(trifluoromethyl)phenyl)(2-fluoro-3-(trifluoromethyl)phenyl)isopropoxyborate (from stage 1, 8.67 grams, 11.6 mmol) in ether (100 mL) is added chlorotrimethylsilane (2.0 mL, 1.7 g, 15.8 mmol) and the mixture is allowed to stir overnight. NMR analysis of an aliquot shows incomplete reaction; additional chlorotrimethylsilane (1.0 mL, 7.9 mmol) is added and the mixture is allowed to stir overnight. NMR analysis of an aliquot shows incomplete reaction; HCl solution (2.0 mL, 2 M in ether, 4.0 mmol) is added and the mixture is allowed to stir overnight. NMR analysis shows the reaction has gone to completion. The reaction mixture is filtered and the volatiles are removed under reduced pressure. The residue is extracted with benzene, the solution is filtered, and the volatiles are removed under reduced pressure to give a thick, yellow oil. The oil is extracted with hexane, the solution is filtered, and the volatiles are slowly removed under reduced pressure to give the free borane, bis(3,5-bis(trifluoromethyl)phenyl)(2-fluoro-3-(trifluoromethyl)phenyl)borane (6.0 g, 86%). The borane is dissolved in diethyl ether (10 mL), and tetrahydrofuran (10 mL) is added and the volatiles are removed to obtain the THF-adduct of bis(3,5-bis(trifluoromethyl)phenyl)(2-fluoro-3-(trifluoromethyl)phenyl)borane with a yield of 6.5 g (97%).

[0095]

Catalyst 8 is the THF adduct of bis(3,5-bis(trifluoromethyl)phenyl)(2-fluoro-4-(trifluoromethyl)phenyl)borane, which is prepared according to the following Schematic 14:

[0000]

[0096]

In particular, in a first stage, n-butyllithium (5.0 mL, 2.54 M in hexanes, 12.7 mmol) is added quickly to a cold (−78° C., CO2(s) bath) solution of 1-bromo-2-fluoro-4-(trifluoromethyl)benzene (3.08 g, 12.7 mmol) in diethyl ether (200 mL). The reaction mixture is stirred for 1 hour at −78° C. Bis(3,5-bis(trifluoromethyl)phenyl)isopropoxyborane (6.29 g, 12.7 mmol) in ether (15 mL) is added slowly to give a colorless solution. The reaction mixture is stirred for several hours, and then is allowed to warm to ambient temperature. By the time the temperature reaches about −50° C. the solution turns light yellow. The solution is stirred overnight to give a slightly cloudy yellow solution. The reaction mixture is filtered and the volatiles are removed to give a cloudy pale yellow oil. The oil is extracted with hexane, filtered, and the volatiles are removed to give a cloudy pale yellow oil. Yield of lithium bis(diethyletherate) bis(3,5-bis(trifluoromethyl)phenyl)(2-fluoro-4-(trifluoromethyl)phenyl)isopropoxyborate is 9.13 grams (88%). THF (10 mL) is added to dissolve the oil and to form the lithium bis(tetrahydrofuranate) borate salt. The volatiles are removed under reduced pressure overnight to yield lithium bis(tetrahydrofuranate) bis(3,5-bis(trifluoromethyl)phenyl)(2-fluoro-4-(trifluoromethyl)phenyl)isopropoxyborate (9.1 g, 88%).

[0097]

In a second stage, to a solution of lithium bis(tetrahydrofuranate) bis(3,5-bis(trifluoromethyl)phenyl)(2-fluoro-4-(trifluoromethyl)phenyl)isopropoxyborate (9.1 g, 11 mmol) in ether (100 mL) is added chlorotrimethylsilane (2.0 mL, 1.7 grams, 15.8 mmol) and the mixture is allowed to stir overnight. The NMR analysis of an aliquot shows incomplete reaction; additional chlorotrimethylsilane (1.0 mL, 7.9 mmol) is added and the mixture is allowed to stir overnight. The NMR analysis of an aliquot shows incomplete reaction; HCl solution (2.0 mL, 2 M in ether, 4.0 mmol) is added and the mixture is allowed to stir overnight. Volatiles are removed from the reaction mixture and the resultant residue is extracted with benzene, the solution is filtered, and the volatiles are removed from the filtrate under reduced pressure to give a light yellow solid. The yellow solid is extracted with hexane, the solution is filtered, and the volatiles are slowly removed under reduced pressure to give large crystalline masses. The crystals are heated to 65° C. with hexane (20 mL). The mixture is allowed to cool. The yellow supernatant is discarded and the solids are dried under reduced pressure to yield bis(3,5-bis(trifluoromethyl)phenyl)(2-fluoro-4-(trifluoromethyl)phenyl)borane (6.22 g, 92%). The borane (6.22 g) is dissolved in diethyl ether (10 mL), tetrahydrofuran (10 mL) is added, and the volatiles are removed to obtain the THF-adduct of bis(3,5-bis(trifluoromethyl)phenyl)(2-fluoro-4-(trifluoromethyl)phenyl)borane as a light beige crystalline product. Yield: 6.76 g (96%).

[0098]

Catalyst 9 is bis(3,5-bis(trifluoromethyl)phenyl)(2,3,4,5,6-pentachlorophenyl)borane, which is prepared according to the following Schematic 15:

[0000]

[0000]

In particular, in a first stage, n-butyllithium (5.0 mL, 2.5 M, 13 mmol) is added quickly dropwise to a cold (−78° C., CO2(s) bath) solution of hexachlorobenzene (3.61 g, 12.7 mmol) in diethyl ether (150 mL). The reaction mixture is stirred for 30 minutes at −78° C. and then allowed to warm to −40° C. A bright yellow solution is obtained. The reaction mixture is cooled again to −78° C. and a solution of bis(3,5-bis(trifluoromethyl)phenyl)isopropoxyborane (6.29 g, 12.7 mmol) in diethyl ether (15 mL) is added slowly. The reaction mixture is stirred for 2-3 hours at −78° C., and then allowed to warm to ambient temperature and stir for another 2-3 hours. The reaction mixture is filtered through a disposable PTFE frit and volatiles are removed from the filtrate under reduced pressure. The resultant yellow residue is extracted with hot hexane and filtered to give a yellow solution. The yellow solution is allowed to cool to ambient temperature and a small amount of orange oil precipitates. The solution is decanted off the oil and placed in the freezer overnight (−33° C.) to yield more orange oil and pale yellow crystals. The supernatant solution is decanted from the oil and the crystals, and the oil/solid mixture is dried under reduced pressure. The crystals are physically separated from the dried oil and characterized as the desired product, lithium bis(diethyletherate) bis(3,5-bis(trifluoromethyl)phenyl)(2,3,4,5,6-pentachlorophenyl)isopropoxyborate. Yield: 2.34 g (21%).

[0099]

In a second stage, a HCl solution (1.3 mL, 2.0 M in diethyl ether, 2.6 mmol) is added at ambient temperature to a solution of lithium bis(diethyletherate) bis(3,5-bis(trifluoromethyl)phenyl)(2,3,4,5,6-pentachlorophenyl)isopropoxyborate (1.3 g, 1.4 mmol) in diethyl ether (20 mL). A white precipitate forms immediately upon completion of the addition. The reaction mixture is stirred over the weekend at ambient temperature. The volatiles are removed from the reaction mixture under reduced pressure and the resultant pale yellow residue is washed with hexane (30 mL), and the mixture is filtered through a disposable PTFE frit. The residue remaining on the frit is extracted with ether, the solution is filtered, and the volatiles are removed from the filtrate to yield a very pale yellow solid. The solid is extracted with warm (45° C.) hexane (100 mL) and the mixture is filtered to give a yellow solution. The yellow solution is cooled overnight in the freezer (−33° C.) to yield small, colorless, block-shaped crystals. The supernatant solution is decanted from the crystals and the crystals are dried under reduced pressure to yield 0.79 g of bis(3,5-bis(trifluoromethyl)phenyl)(2,3,4,5,6-pentachlorophenyl)borane. The supernatant solution is concentrated and cooled overnight in the freezer to yield 0.082 grams of additional product. Total yield: 0.87 g (91%).

[0100]

Catalyst 10 is the THF adduct of bis(3,5-bis(trifluoromethyl)phenyl)(2,5-bis(trifluoromethyl)phenyl)borane, which is prepared according to the following Schematic 16:

[0000]

[0101]

In particular, in a first stage, n-butyllithium (4.0 mL, 2.5 M in hexanes, 10 mmol) is added slowly to a cold (−78° C., CO2(s) bath) solution of 1-bromo-2,5-bis(trifluoromethyl)benzene (3.00 g, 10.2 mmol) in diethyl ether (200 mL). The reaction mixture is stirred for 1 hour at −78° C. Bis(3,5-bis(trifluoromethyl)phenyl)isopropoxyborane (5.04 g, 10.2 mmol) in ether (18 mL) is added slowly to the reaction mixture and the solution is stirred for several hours at −78° C. The reaction mixture is allowed to warm to ambient temperature while stirring overnight to give a slightly yellow clear solution. The volatiles are removed from the reaction mixture to give a yellow oil. The oil is extracted with benzene. There is nothing insoluble. The volatiles are removed from the benzene solution to give the product, lithium(diethyletherate) bis(3,5-bis(trifluoromethyl)phenyl)(2,5-bis(trifluoromethyl)phenyl)isopropoxyborate, as a yellow oil. Yield: 7.88 g (98%).

[0102]

In a second stage, lithium(diethyletherate) bis(3,5-bis(trifluoromethyl)phenyl)(2,5-bis(trifluoromethyl)phenyl)isopropoxyborate (7.88 g, 9.97 mmol) is dissolved in ether (150 mL). Chlorotrimethylsilane (2.6 mL, 20 mmol) is added. The reaction mixture is allowed to stir overnight to give a yellow solution with colorless precipitate. The volatiles are removed under reduced pressure. The residue is extracted with hexane (100 ml). The mixture is filtered and the volatiles are concentrated under reduced pressure. The solution is cooled in the freezer (−33° C.) overnight. The precipitate is filtered out and dried under reduced pressure to give the product, bis(3,5-bis(trifluoromethyl)phenyl)(2,5-bis(trifluoromethyl)phenyl)borane, as a white powder. Yield: 6.02 g (93%).

[0103]

In a third stage, bis(3,5-bis(trifluoromethyl)phenyl)(2,5-bis(trifluoromethyl)phenyl)borane (4.83 g) is dissolved in ether (50 mL) and THF (6 mL) is added. The volatiles are removed slowly from the solution under reduced pressure to give the product, the THF adduct of bis(3,5-bis(trifluoromethyl)phenyl)(2,5-bis(trifluoromethyl)phenyl)borane, as a white solid: 5.0 g, 93%. Subjecting the THF complex to full vacuum easily removes the coordinated THF molecule.

[0104]

Catalyst 11 is (3,5-bis(trifluoromethyl)phenyl)bis(2,5-bis(trifluoromethyl)phenyl)borane, which is prepared according to the following Schematic 17:

[0000]

[0105]

In particular, in a first stage, n-butyllithium (2.4 mL, 2.5 M in hexanes, 6.1 mmol) is added slowly to a cold (−78° C., CO2(s) bath) solution of 1-bromo-2,5-bis(trifluoromethyl)benzene (1.80 g, 6.14 mmol) in diethyl ether (150 mL). The reaction mixture is stirred for 1 hour at −78° C. (2,5-Bis(trifluoromethyl)phenyl)(3,5-bis(trifluoromethyl)phenyl)isopropoxyborane (3.02 g, 6.09 mmol) in ether (18 mL) is added slowly. The reaction mixture is stirred for several hours at −78° C. The solution is allowed to warm to ambient temperature while stirring overnight to give a slightly yellow clear solution. The volatiles are removed from the reaction mixture to give a yellow oil. The oil is extracted with benzene. There is nothing insoluble to filter out. The volatiles are removed from the benzene solution to give the product, lithium(diethyletherate) bis(2,5-bis(trifluoromethyl)phenyl)(3,5-bis(trifluoromethyl)phenyl)isopropoxyborate, as a yellow oil. The yield is 4.21 g (87.6%).

[0106]

In a second stage, chlorotrimethylsilane (1.1 mL, 10 mmol) is added to a solution of lithium(diethyletherate) bis(2,5-bis(trifluoromethyl)phenyl)(3,5-bis(trifluoromethyl)phenyl)isopropoxyborate (3.92 g, 4.95 mmol) in diethyl ether (150 mL) with stirring. Within 15 minutes precipitate is observed in solution. The reaction mixture is stirred overnight. The mixture is filtered and the volatiles are removed under reduced pressure to give a colorless solid, 3.26 g. The product is extracted with hexane, the solution is filtered, and the volatiles are removed from the filtrate under reduced pressure to give the product, (3,5-bis(trifluoromethyl)phenyl)bis(2,5-bis(trifluoromethyl)phenyl)borane, as a pale solid. Yield: 3.11 g (97%).

[0107]

Catalyst 12 is the THF adduct of bis(3,5-bis(trifluoromethyl)phenyl)(2,3,5,6-tetrafluoro-4-(trifluoromethyl)phenyl)borane, which is prepared according to the following Schematic 18:

[0000]

[0108]

In particular, in a first stage, n-butyllithium (3.0 mL, 2.5 M, 7.6 mmol) is added to a cold (between −101° C. and −99° C., CO2(s), then N2(l), methanol bath) solution of 1-bromo-2,3,5,6-tetrafluoro-4-(trifluoromethyl)benzene (2.26 g, 7.61 mmol) in diethyl ether (100 mL) with stirring. The reaction mixture is stirred for 2 hour at around −100° C. then is allowed to warm up to −78° C. Bis(3,5-bis(trifluoromethyl)phenyl)isopropoxyborane (3.78 g, 7.61 mmol) in ether (10 mL) is added slowly. The reaction mixture is allowed to warm to ambient temperature while stirring overnight. The pale yellow (nearly clear) solution is filtered and the volatiles are removed from the filtrate under reduced pressure to give a crystalline-appearing solid. The solid is washed with hexane, the mixture is filtered, and the solid is dried under reduced pressure. The yield of the colorless solid product, lithium(diethyletherate) bis(3,5-bis(trifluoromethyl)phenyl)(2,3,5,6-tetrafluoro-4-(trifluoromethyl)phenyl)isopropoxyborate, is 6.16 g (93%).

[0109]

In a second stage, chlorotrimethylsilane (2.0 mL, 18 mmol) is added to lithium(diethyletherate) bis(3,5-bis(trifluoromethyl)phenyl)(2,3,5,6-tetrafluoro-4-(trifluoromethyl)phenyl)isopropoxyborate (6.16 g, 7.10 mmol) in diethyl ether (100 mL) with stirring. The reaction mixture is stirred overnight. NMR analysis shows that no reaction has occurred. Hydrogen chloride solution in ether (7.0 mL, 14 mmol) is added and the reaction mixture is stirred overnight. The mixture is filtered and the volatiles are removed from the filtrate under reduced pressure. The resultant residue is dissolved in toluene, the solution is filtered, and the volatiles are removed from the filtrate under reduced pressure to give 4.50 g of crude product. The colorless, pasty solid is suspended in hexane, the mixture is filtered, and the solid is dried under reduced pressure to give the product, the isopropanol adduct of bis(3,5-bis(trifluoromethyl)phenyl)(2,3,5,6-tetrafluoro-4-(trifluoromethyl)phenyl)borane, as a colorless powder. Yield: 2.45 g (53%).

[0110]

In a third stage, the isopropanol adduct of bis(3,5-bis(trifluoromethyl)phenyl)(2,3,5,6-tetrafluoro-4-(trifluoromethyl)phenyl)borane (1.81 g, 2.54 mmol) is dissolved in ether (40 mL). THF (10 mL) is added to the solution. The solution is allowed to evaporate slowly to give large crystals. The supernatant is removed, the very pale yellow crystals are washed with hexane, and the crystals are dried under reduced pressure (1.08 g). The crystals are analyzed by x-ray crystallography to be the isopropanol adduct of bis(3,5-bis(trifluoromethyl)phenyl)(2,3,5,6-tetrafluoro-4-(trifluoromethyl)phenyl)borane. The supernatant and hexane washings are concentrated to give a second crop of crystals (0.42 g). The second crop of crystals is washed and dried in the same manner as the first crop. NMR analysis shows the presence of coordinated isopropanol and very little THF. THF is added to the second crop of crystals and the volatiles are removed under reduced pressure. NMR analysis shows the THF/isopropanol mole ratio to be 6.4:1. The solid is dissolved a second time in THF and the volatiles are removed under reduced pressure. NMR analysis shows the THF/isopropanol mole ratio to be 14:1. The solid is dissolved a third time in THF and the volatiles are removed under reduced pressure. NMR analysis shows the THF/isopropanol mole ratio to be 23:1. The solid is dissolved a fourth time in THF and the volatiles are removed under reduced pressure. The solid is dissolved a fifth time in THF and the volatiles are removed under reduced pressure to give the product, THF adduct of bis(3,5-bis(trifluoromethyl)phenyl)(2,3,5,6-tetrafluoro-4-(trifluoromethyl)phenyl)borane, as a colorless powder, 0.41 g (21% yield). NMR analysis shows the THF/isopropanol mole ratio to be 41:1, which is deemed sufficiently pure.

[0111]

Catalyst 13 is the THF adduct of bis(3,5-bis(trifluoromethyl)phenyl)(2,4-difluoro-3-(trifluoromethyl)phenyl)borane, which is prepared according to the following Schematic 19:

[0000]

[0112]

In particular, in a first stage, n-butyllithium (4.5 mL, 2.5 M in hexanes, 11 mmol) is added slowly to a cold (−78° C., CO2(s) bath) solution of 1-bromo-2,4-difluoro-3-(trifluoromethyl)benzene (2.98 g, 11.4 mmol) in diethyl ether (200 mL). The reaction mixture is stirred for 1.5 hours at −78° C. Bis(3,5-bis(trifluoromethyl)phenyl)isopropoxyborane (5.66 g, 11.4 mmol) in diethy. ether (15 mL) is added slowly. The reaction mixture is stirred for several hours at −78° C. The solution is allowed to warm to ambient temperature while stirring over the weekend to give a slightly cloudy yellow solution. The reaction mixture is filtered and the volatiles are removed to give a white solid. The solid is suspended in hexane, the mixture is filtered, and the solids on the frit are washed with hexane. The volatiles are removed under reduced pressure from the white solid collected on the frit (5.97 g) and from the washings. Large crystals form as the volatiles are removed from the washings. By NMR analysis the white solid collected on the frit is very pure desired product, lithium(diethyletherate) bis(3,5-bis(trifluoromethyl)phenyl)(2,4-difluoro-3-(trifluoromethyl)phenyl)isopropoxyborate, while the crystals obtained from the washings are nearly pure product. The crystals from the washings are heated with hexane to 60° C. (about half of the crystals dissolve) and placed in the freezer overnight. The supernatant is drained off and the solids are dried under reduced pressure to give a second crop: 1.66 g. Total yield of colorless product, lithium(diethyletherate) bis(3,5-bis(trifluoromethyl)phenyl)(2,4-difluoro-3-(trifluoromethyl)phenyl)isopropoxyborate, is 7.63 g (88%).

[0113]

In a second stage, chlorotrimethylsilane (2.0 mL, 16 mmol) is added to a solution of lithium(diethyletherate) bis(3,5-bis(trifluoromethyl)phenyl)(2,4-difluoro-3-(trifluoromethyl)phenyl)isopropoxyborate (5.80 g, 7.65 mmol) in ether (150 mL). The reaction mixture is allowed to stir overnight. The volatiles are removed under reduced pressure. The residue is extracted with a mixture (1:1) of benzene/ether. The slurry is filtered and the volatiles are removed from the filtrate under reduced pressure to give the product, bis(3,5-bis(trifluoromethyl)phenyl)(2,4-difluoro-3-(trifluoromethyl)phenyl)borane, as a colorless powder. Yield: 4.67 g (99%).

[0114]

In a third stage, bis(3,5-bis(trifluoromethyl)phenyl)(2,4-difluoro-3-(trifluoromethyl)phenyl)borane (3.84 g, 6.21 mmol) is dissolved in ether (50 mL) and THF (8 mL) is added. The volatiles are removed from the solution under reduced pressure. The residue is triturated with hexane, the mixture is filtered, and the volatiles are removed from the solid on the frit under reduced pressure to give the product as a white solid: 3.034 g. Additional product (0.65 g) is obtained from the hexane washings. Total: 3.68 g (86%).

[0115]

Catalyst A is tris(pentafluorophenyl)borane, referred to as FAB, available from (available from Boulder Scientific).

[0116]

Catalyst B is tris(bis(3,5-trifluoromethyl)phenyl)borane

[0117]

Catalyst C is A zinc hexacyanocobaltate catalyst complex (available from Covestro under the name Arcol 3® Catalyst).

Preparation of Polyols

[0118]

For preparing the polyols, the following materials are principally used:

    • P390 A starter compound that is a polyoxypropylene diol having a number average molecular weight of approximately 390 g/mol (available from The Dow Chemical Company as VORANOL™ P 390).
    • V2070 A polyoxypropylene triol having a number average molecular weight of approximately 700 g/mol, i.e., a low molecular weight PO triol (available from The Dow Chemical Company as VORANOL™ 2070).
    • Solvent A glycol diether that has no hydroxyl functionality (available from The Dow Chemical Company as PROGLYDE™ DMM).
    • Additive An acidifying agent that includes phosphoric acid.

[0123]

In particular, the following reaction is carried out in a continuous flow reactor using the Catalysts 1 to 13 as discussed above and in an manner shown below in exemplary Schematic 20, and in view of the conditions provided in Table 1:

[0000]

[0124]

The polyols of Working Examples 1 to 20 and Comparative Examples B and C are prepared using P390 as the initiator, propylene oxide (PO) as the monomer, and the Solvent according to the conditions outlined in Table 1, below. Referring to Table 1, the number average molecular weight (Mn), polydispersity index (PDI), PO binding enthalpy, and activation barrier to aldehyde are determined according to the analytical and computational methods discussed below.

[0000]

Ex. A10904561.06n/an/a
Ex. BA10001090955 ± 581.13 ± 0.01−14.01.4
Ex. C209711.14
Ex. 11100010908061.08−14.34.1
Ex. 2208661.08
Ex. 32100010909511.13−14.83.1
Ex. 4209141.13
Ex. 53100010907791.08−13.57.6
Ex. 6209321.09
Ex. 74100010907151.08−12.95.3
Ex. 8208581.07
Ex. 95100010907461.09−12.96.0
Ex. 10208081.08
Ex. 116100010907621.09−13.15.3
Ex. 12207761.08
Ex. 137100010907901.08−15.36.2
Ex. 14208241.09
Ex. 158100010907591.09−16.05.3
Ex. 16208201.08
Ex. 1710100010908971.09−11.78.9
Ex. 18208961.08
Ex. 1913100010908431.08−14.65.3
Ex. 20208551.09

[0125]

Comparative example A is a negative control run without catalyst. This example is carried out by mixing the initiator and propylene oxide in the tubular reactor at 90° C. for 10 min The products are stripped of volatile products using a nitrogen sparge followed by vacuum (42 mbar for 15 min) and analyzed by MALDI spectrometry. The measured Mn was similar to the Mn of the initiator indicating that any background, uncatalyzed reaction under these conditions is negligible.

[0126]

The polyol samples for Working Examples 1 to 20 and Comparative Examples B and C, are prepared in a continuous flow reactor that is a microreactor available from Vapourtec Inc. For the examples, neat PO monomer is fed to a pump via a pressure cylinder at 50 psig. A solvent reservoir containing the Solvent is connected to another pump. A 2-mL injection loop is utilized to introduce a solution of the specified catalyst and initiator (as 60 wt % of P390 in dipropylene glycol dimethyl ether) into the system. By controlling the flow rate, the catalyst and starter are introduced into the flow system at a defined rate. The PO monomer and initiator-catalyst-Solvent solution are combined at a mixing unit and fed into a 2-mL stainless steel coiled reactor. A back-pressure regulator set at 250 psig is used to control the system pressure and assist the PO to remain in a liquid phase. The continuous pressure reactor is charged with 0.1 mL/min of the initiator-catalyst-Solvent mixture. The propylene oxide is fed to the reactor at a constant feed rate of 0.1 mL/min. Once the initiator-catalyst-Solvent mixture is introduced into the sample loop, the first 5.13 mL of the product mixture is diverted to a scrubber consisting of 3 wt % aqueous potassium hydroxide. The next 3.04 mL of product mixture is collected and analyzed by MALDI spectrometry.

[0127]

The Temperature in Table 1 is the temperature in the reactor. The Time is residence time, which is defined as follows:

[0000]

residencetime=reactorvolume(flowrateofpumpA+flowrateofpumpB)

[0000]

When the flow rates of pumps A and B are each 0.1 mL/min,

[0000]

residencetime=2mL(0.1+0.1)mL/min=10min

[0000]

When the flow rates of pumps A and B are each 0.05 mL/min,

[0000]

residencetime=2mL(0.05+0.05)mL/min=20min

[0128]

The PDI is defined as the ratio of the weight-average molecular weight (Mw) to the number-average molecular weight (Mn). The PDI may represent a measure of the extent of acetal coupling, as this reaction may effectively double the molecular weight. Accordingly, a comparison of the PDI at similar Mn values may provide a measure of the selectivity of a catalyst for alkoxylation (intended reaction) versus isomerization of propylene oxide to propionaldehyde and subsequent acetalization. Lower PDI may be preferable for higher chemoselectivity.

[0129]

The PO binding enthalpy is calculated relative to a resting state consisting of the free catalyst (where R4is not present) and PO. Favorable binding (higher negative values, for example greater than −9.0 kcal/mol, greater than −10 kcal/mol, etc) is preferable for higher activity. Referring to Table 1, it is seen that the calculations on Catalysts 1 to 8, 10 and 13 provide a favorable PO binding enthalpy such that favorable activity is realized. Another measure of activity is the ring-opening barrier shown below. Lower ring-opening barriers are preferable for higher activity.

[0130]

The activation barrier to aldehydes determines the amount of aldehyde and acetal formed, as shown below. Higher activation barriers are preferable for lower aldehyde and subsequent acetal formation.

[0131]

Referring to Working Examples 1 to 20 and Comparative Examples B and C, it is found that the activation barrier to aldehydes and acetals may be significantly higher for Catalysts 1 to 8, 10 and 13 compared to Catalyst A. As such, it is unexpectedly found that the structures of Catalysts 1 to 8, 10 and 13 allow for strongly disfavoring aldehyde and acetal formation, as compared to Catalyst A.

[0132]

It may be desirable to strongly disfavor aldehyde and acetal formation and have a high primary hydroxyl content in the polyol. For e.g., it may be desirable to have a primary hydroxyl content of >50%, >55% etc in the final polyol.

[0133]

Additional Working Examples 21 and 22, and Comparative Example D are carried out in a continuous flow reactor that is a microreactor available from Vapourtec Inc. using the Catalysts specified in Table 2.

[0134]

The polyols of Working Examples 21 and 22, and Comparative Example D are prepared using P390 as the initiator, propylene oxide (PO) as the monomer, and the Solvent according to the conditions outlined in Table 2, below. Referring to Table 2, the primary hydroxyl content of the polyols are determined according to the analytical methods discussed below.

[0000]

Ex. DB1000109050
Ex. 21 91000109057
Ex. 22101000109054

[0135]

Referring to Working Examples 21 and 22 and Comparative Examples D, it is found that the primary hydroxyl content is higher for Catalysts 9 and 10, as compared to Catalyst B. As such, it is unexpectedly found that the structures of Catalyst 9 and 10, for example, allow for higher primary hydroxyl content as compared to Catalyst B. As compared to Catalyst B, it is believed that the addition of a different fluoroalkyl-substituted phenyl group and/or a different fluoro/chloro-substituted phenyl group serves to improve the primary hydroxyl content in the final polyol.

[0136]

Additional Working Examples 23 to 31 and Comparative Examples E, F and G are carried out in a semi-batch process using varying initiators and monomers, using the Catalysts specified below, in view of conditions provided in Tables 3 to 6 and according to Schematic 21:

[0000]

[0137]

Referring to Tables 3 to 6, Init refers to the initiator used, Mon refers to the monomer used, and M/I refers to the ratio of the monomer to initiator used. The monomer used may be propylene oxide (PO) and/or butylene oxide (BO).

[0000]

Ex. EP390PO27.5A2505522461.161.52
Ex. 23P390PO27.5102505521571.050.64
Ex. 24P390PO27.5112505521021.060.90
Ex. 25P390PO27.5122505522321.101.22
Ex. 26P390PO27.592505521541.061.18
Ex. 27P390PO27.565005519371.050.54

[0000]

Ex. FP390PO10A2509010271.140.83
Ex. 28P390PO1022509010191.090.6
Ex. 29P390PO1010250909281.05Not
detected

[0000]

Ex. GV2070PO73A2505546251.682.4
Ex. 30V2070PO73102505546741.121.9

[0000]

Ex. 31P390BO20102505520511.060.4

[0138]

For the semi-batch alkoxylation reactions, the initiator is dried and charged into the pressure reactor using one of three procedures.

[0139]

Procedure A: A stainless steel cylinder is dried in the oven at 125° C. for 6 hours. The cylinder is cooled under a stream of nitrogen. The empty Parr reactor is dried at 140° C. jacket temperature under a nitrogen purge for 1 hours. The initiator is dried in glassware at 110° C. for 2 hours under a vacuum of 65 mbar and then transferred to the stainless steel cylinder under vacuum. The cylinder is weighed and its contents are transferred to the Parr reactor using nitrogen pressure. The cylinder is weighed after transfer to determine the amount charged to the Parr reactor.

[0140]

Procedure B: The initiator is charged directly to the Parr reactor via a funnel. Drying is performed in the reactor for 120 min at 120° C. under a nitrogen purge.

[0141]

Procedure C: The initiator is charged directly to the Parr reactor via a funnel. Drying is performed in the reactor for 180 min at 140° C. under a nitrogen purge.

[0142]

Comparative Example E (Table 3): A 600 mL pressure reactor is charged with 59.3 grams of VORANOL™ P390, a poly(propylene oxide) diol of number-average molecular weight 400, using Procedure A. A solution of catalyst A (74 mg) in anhydrous tetrahydrofuran (2 mL) is added in one portion through a sample addition port under a nitrogen purge. After purging for 5 min, the nitrogen purge is stopped and the reactor vent is closed. Propylene oxide (237.3 g) is added to the reactor at a reaction temperature of 55° C. and a constant feed rate of 1.25 g/min Upon completion of propylene oxide feed, the reaction is allowed to digest for 20 min at 55° C. The reaction mixture is vented and heated to 90° C. under a nitrogen purge. The reaction mixture is purged at 90° C. for 30 minutes, cooled to 60° C., and the product is collected (265.2 g, 89%). Number-average molecular weight=2246 (by gel permeation chromatography); Polydispersity index (PDI)=1.16 (by gel permeation chromatography); acetals=1.52 mol % (by inverse-gated13C NMR spectroscopy).

[0143]

Working Example 23 (Table 3): A 600 mL pressure reactor is charged with 67.3 grams of VORANOL™ P390, a poly(propylene oxide) diol of number-average molecular weight 400, using Procedure A. A solution of Catalyst 10 (84 mg) in anhydrous tetrahydrofuran (2 mL) is added in one portion through a sample addition port under a nitrogen purge. After purging for 5 min, the nitrogen purge is stopped and the reactor vent is closed. Propylene oxide (269.5 g) is added to the reactor at a reaction temperature of 55° C. and a constant feed rate of 1.25 g/min Upon completion of propylene oxide feed, the reaction is allowed to digest for 20 min at 55° C. The reaction mixture is vented and heated to 90° C. under a nitrogen purge. The reaction mixture is purged at 90° C. for 30 minutes, cooled to 60° C., and the product is collected (315 g, 94%). Number-average molecular weight=2157 (by gel permeation chromatography); Polydispersity index (PDI)=1.05 (by gel permeation chromatography); acetals=0.64 mol % (by inverse-gated13C NMR spectroscopy).

[0144]

Working Example 24 (Table 3): A 600 mL pressure reactor is charged with 67.5 grams of VORANOL™ P390, a poly(propylene oxide) diol of number-average molecular weight 400, using Procedure A. A solution of Catalyst 11 (84 mg) in anhydrous tetrahydrofuran (2 mL) is added in one portion through a sample addition port under a nitrogen purge. After purging for 5 min, the nitrogen purge is stopped and the reactor vent is closed. Propylene oxide (269.9 g) is added to the reactor at a reaction temperature of 55° C. and a constant feed rate of 1.25 g/min Upon completion of propylene oxide feed, the reaction is allowed to digest for 20 min at 55° C. The reaction mixture is vented and heated to 90° C. under a nitrogen purge. The reaction mixture is purged at 90° C. for 30 minutes, cooled to 60° C., and the product is collected (313.4 g, 93%). Number-average molecular weight=2102 (by gel permeation chromatography); Polydispersity index (PDI)=1.06 (by gel permeation chromatography); acetals=0.90 mol % (by inverse-gated13C NMR spectroscopy).

[0145]

Working Example 25 (Table 3): A 500 mL pressure reactor was charged with 60.7 grams of VORANOL™ P390, a poly(propylene oxide) diol of number-average molecular weight 400, using Procedure C. A solution of Catalyst 12 (76 mg) in anhydrous tetrahydrofuran (2 mL) is added in one portion through a sample addition port under a nitrogen purge. After purging for 5 min, the nitrogen purge is stopped and the reactor vent is closed. Propylene oxide (295.2 mL) is added to the reactor at a reaction temperature of 55° C. and a constant feed rate of 1.5 mL/min. Upon completion of propylene oxide feed, the reaction is allowed to digest for 20 min at 55° C. The reaction mixture is vented and heated to 90° C. under a nitrogen purge. The reaction mixture is purged at 90° C. for 30 minutes, cooled to 60° C., and the product is collected (294.6 g, 97%). Number-average molecular weight=2232 (by gel permeation chromatography); Polydispersity index (PDI)=1.10 (by gel permeation chromatography); acetals=1.22 mol % (by inverse-gated13C NMR spectroscopy).

[0146]

Working Example 26 (Table 3): A 500 mL pressure reactor is charged with 60.2 grams of VORANOL™ P390, a poly(propylene oxide) diol of number-average molecular weight 400, using Procedure C. A solution of Catalyst 9 (76 mg) in anhydrous tetrahydrofuran (2 mL) is added in one portion through a sample addition port under a nitrogen purge. After purging for 5 min, the nitrogen purge is stopped and the reactor vent is closed. Propylene oxide (298.5 mL) is added to the reactor at a reaction temperature of 55° C. and a constant feed rate of 1.5 mL/min. Upon completion of propylene oxide feed, the reaction is allowed to digest for 20 min at 55° C. The reaction mixture is vented and heated to 90° C. under a nitrogen purge. The reaction mixture is purged at 90° C. for 30 minutes, cooled to 60° C., and the product is collected (289.7 g, 95%). Number-average molecular weight=2154 (by gel permeation chromatography); Polydispersity index (PDI)=1.06 (by gel permeation chromatography); acetals=1.18 mol % (by inverse-gated13C NMR spectroscopy).

[0147]

Working Example 27 (Table 3): A 500 mL pressure reactor is charged with 60.0 grams of VORANOL™ P390, a poly(propylene oxide) diol of number-average molecular weight 400, using Procedure C. A solution of Catalyst 6 (150 mg) in anhydrous tetrahydrofuran (2 mL) is added in one portion through a sample addition port under a nitrogen purge. After purging for 5 min, the nitrogen purge is stopped and the reactor vent is closed. Propylene oxide (291.1 mL) is added to the reactor at a reaction temperature of 55° C. and a constant feed rate of 0.9 mL/min. Upon completion of propylene oxide feed, the reaction is allowed to digest for 20 min at 55° C. The reaction mixture is vented and heated to 90° C. under a nitrogen purge. The reaction mixture is purged at 90° C. for 30 minutes, cooled to 60° C., and the product is collected (272.9. g, 91%). Number-average molecular weight=1937 (by gel permeation chromatography); Polydispersity index (PDI)=1.05 (by gel permeation chromatography); acetals=0.54 mol % (by inverse-gated13C NMR spectroscopy).

[0148]

Comparative Example F (Table 4): A 600 mL pressure reactor is charged with 61.2 grams of VORANOL™ P390, a poly(propylene oxide) diol of number-average molecular weight 400, using Procedure B. A solution of Catalyst A (38 mg) in anhydrous tetrahydrofuran (2 mL) is added in one portion through a sample addition port under a nitrogen purge. After purging for 5 min, the nitrogen purge is stopped and the reactor vent is closed. Propylene oxide (89.1 g) is added to the reactor at a reaction temperature of 90° C. and a constant feed rate of 0.75 g/min Upon completion of propylene oxide feed, the reaction is allowed to digest for 20 min. The reaction mixture is vented and purged with nitrogen at 90° C. for 30 minutes, cooled to 60° C., and the product is collected (141.7 g, 95%). Number-average molecular weight=1027 (by gel permeation chromatography); Polydispersity index (PDI)=1.14 (by gel permeation chromatography); acetals=0.83 mol % (by inverse-gated13C NMR spectroscopy).

[0149]

Working Example 28 (Table 4): A 600 mL pressure reactor is charged with 58.2 grams of VORANOL™ P390, a poly(propylene oxide) diol of number-average molecular weight 400, using Procedure B. A solution of Catalyst 2 (36 mg) in anhydrous tetrahydrofuran (2 mL) is added in one portion through a sample addition port under a nitrogen purge. After purging for 5 min, the nitrogen purge is stopped and the reactor vent is closed. Propylene oxide (84.3 g) is added to the reactor at a reaction temperature of 90° C. and a constant feed rate of 0.75 g/min Upon completion of propylene oxide feed, the reaction is allowed to digest for 20 min. The reaction mixture is vented and purged with nitrogen at 90° C. for 30 minutes, cooled to 60° C., and the product is collected (133.3 g, 93%). Number-average molecular weight=1019 (by gel permeation chromatography); Polydispersity index (PDI)=1.09 (by gel permeation chromatography); acetals=0.6 mol % (by inverse-gated13C NMR spectroscopy).

[0150]

Working Example 29 (Table 4): A 600 mL pressure reactor is charged with 65.1 grams of VORANOL™ P390, a poly(propylene oxide) diol of number-average molecular weight 400, using Procedure B. A solution of catalyst 10 (40 mg) in anhydrous tetrahydrofuran (2 mL) is added in one portion through a sample addition port under a nitrogen purge. After purging for 5 min, the nitrogen purge is stopped and the reactor vent is closed. Propylene oxide (94 g) is added to the reactor at a reaction temperature of 90° C. and a constant feed rate of 0.75 g/min Upon completion of propylene oxide feed, the reaction is allowed to digest for 20 min. The reaction mixture is vented and purged with nitrogen at 90° C. for 30 minutes, cooled to 60° C., and the product is collected (150 g, 94%). Number-average molecular weight=928 (by gel permeation chromatography); Polydispersity index (PDI)=1.05 (by gel permeation chromatography); acetals=not detected (by inverse-gated13C NMR spectroscopy).

[0151]

Comparative Example G (Table 5): A 600 mL pressure reactor is charged with 56.8 grams of VORANOL™ 2070, a poly(propylene oxide) triol of number-average molecular weight 700, using Procedure C. A solution of catalyst A (100 mg) in anhydrous tetrahydrofuran (2 mL) is added in one portion through a sample addition port under a nitrogen purge. After purging for 5 min, the nitrogen purge was stopped and the reactor vent was closed. Propylene oxide (345.1 g) was added to the reactor at a reaction temperature of 55° C. and a constant feed rate of 2.0 g/min. Upon completion of propylene oxide feed, the reaction was allowed to digest for 20 min at 55° C. The reaction mixture was vented and heated to 90° C. under a nitrogen purge. The reaction mixture was purged at 90° C. for 30 minutes, cooled to 60° C. and the product was collected (343.4 g, 85%). Number-average molecular weight=4625 (by gel permeation chromatography); Polydispersity index (PDI)=1.68 (by gel permeation chromatography); acetals=2.4 mol % (by inverse-gated13C NMR spectroscopy)

[0152]

Working Example 30 (Table 5): A 600 mL pressure reactor is charged with 56.5 grams of VORANOL™ 2070, a poly(propylene oxide) triol of number-average molecular weight 700, using Procedure C. A solution of Catalyst 10 (101 mg) in anhydrous tetrahydrofuran (2 mL) is added in one portion through a sample addition port under a nitrogen purge. After purging for 5 min, the nitrogen purge is stopped and the reactor vent is closed. Propylene oxide (343.1 g) is added to the reactor at a reaction temperature of 55° C. and a constant feed rate of 2.0 g/min. Upon completion of propylene oxide feed, the reaction is allowed to digest for 20 min at 55° C. The reaction mixture is vented and heated to 90° C. under a nitrogen purge. The reaction mixture is purged at 90° C. for 30 minutes, cooled to 60° C., and the product is collected (362.4 g, 91%). Number-average molecular weight=4674 (by gel permeation chromatography); Polydispersity index (PDI)=1.12 (by gel permeation chromatography); acetals=1.9 mol (by inverse-gated13C NMR spectroscopy).

[0153]

Working Example 31 (Table 6): A 500 mL pressure reactor is charged with 60.0 grams of VORANOL™ P390, a poly(propylene oxide) diol of number-average molecular weight 400, using Procedure C. A solution of Catalyst 10 (75 mg) in anhydrous tetrahydrofuran (2 mL) is added in one portion through a sample addition port under a nitrogen purge. After purging for 5 min, the nitrogen purge is stopped and the reactor vent is closed. Butylene oxide (239.9 g) is added to the reactor at a reaction temperature of 55° C. and a constant feed rate of 1.25 g/min Upon completion of propylene oxide feed, the reaction is allowed to digest for 20 min at 55° C. The reaction mixture is vented and heated to 90° C. under a nitrogen purge. The reaction mixture is purged at 90° C. for 30 minutes, cooled to 60° C., and the product is collected (308.3 g, 103%). Number-average molecular weight=2051 (by gel permeation chromatography); Polydispersity index (PDI)=1.06 (by gel permeation chromatography); acetals=0.4 mol (by inverse-gated13C NMR spectroscopy).

[0154]

For Working Examples 23 to 31 and Comparative Examples E, F and G the mol % of acetal in the resultant polyol samples is measured (based on the total moles of carbon in the resultant polyol chains). Referring to Tables 3 to 6, it is seen that the number of moles of acetal in the polyols is significantly lower when using catalysts according to exemplary embodiments, as compared to Catalyst A.

[0155]

A process for the preparation of a polyether polyol may be carried out in a continuous or semi-batch process using a sequential dual catalyst process, similar to International Publication No. WO 2016/064698, which is incorporated by reference. Working Example 32 is prepared referring to the conditions in Table 7, below.

[0156]

Referring to Table 7, Mon refers to the monomer used, and M/I refers to the ratio of the monomer to initiator used. The first catalyst is the DMC Catalyst C, which is provided in the concentration noted in Table 7. The first temperature refers to the temperature of the reactor when Catalyst C is added. The second catalyst is Catalyst 10, which is provided in the concentration noted in Table 7. The second temperature refers to the temperature of the reactor when Catalyst 10 is added.

[0000]

Ex. 32V2070PO75130250906045

[0157]

For Working Example 32, a polyoxypropylene triol is prepared using V2070 as the initiator in the sequential dual catalyst process, in which the second temperature for the addition of the second catalyst is 25 degrees less than the first temperature for the addition of the first catalyst. In particular, Working Example 30 is prepared using a 8 L pressure reactor that is charged with the Initiator (551 g), the Additive (2.0 μL of a 0.15 M solution), and Catalyst C (0.309 g). The mixture is dried by heating to 130° C. for 2 hours under a nitrogen sparge. Upon blocking nitrogen flow and closing the vent, propylene oxide is slowly added to the reactor as a PO feed. The Catalyst C is activated in approximately 20-30 minutes, during which the PO feed is gradually increased to 12.0 mL/min Upon addition of approximately 4328.5 mL of PO using the PO feed, the feed is blocked and the reaction is allowed to continue for 72 min and cooled to 50° C. and the product was collected.

[0158]

Thereafter, 389.9 g of the above product was transferred to a 600 mL Parr reactor and dried using procedure B. The reaction mixture was cooled to 90° C. and a solution of catalyst 10 (114 mg) in anhydrous tetrahydrofuran (2 mL) was added in one portion through a sample addition port under a nitrogen purge. Propylene oxide (66 g) was added to the reactor at a reaction temperature of 90° C. and a constant feed rate of 0.75 g/min. Upon completion of propylene oxide feed, the reaction was allowed to digest for 20 min at 90° C. The reaction mixture was vented and purged at 90° C. for 30 minutes, cooled to 60° C. and the product was collected (434.4 g, 95%). Number-average molecular weight=6045 (by gel permeation chromatography); Polydispersity index (PDI)=1.37 (by gel permeation chromatography); acetals=not detected (by inverse-gated13C NMR spectroscopy).

[0159]

The analytical methods used with respect to the examples are described below:

[0160]

Determination of Mnfor Semibatch Products:

[0161]

Gel Permeation Chromatography (GPC) analysis is used for determination of number average molecular weight (Mn), which is carried out at a flow rate of 1.0 mL/min using four PLgel organic GPC columns connected in series (3 μm, Agilent Inc.) and tetrahydrofuran as eluent. The column temperature is 40° C. VORANOL™ CP 6001, VORANOL™ 210, 230-660, and 230-056N are used as standards.

[0162]

Determination of Mnand PDI for Continuous Products:

[0163]

Samples are analyzed using a Bruker UltrafleXtreme MALDI-TOF/TOF MS (Bruker Daltronics Inc., Billerica, Mass.) equipped with a 355-nm Nd:YAG laser. Spectra are obtained in the positive ion reflection mode with a mass resolution greater than 20,000 full-width at half-maximum height (fwhm); isotopic resolution was observed throughout the entire mass range detected; and the laser intensity was set approximately 10% greater than threshold. Instrument voltages are optimized for each spectrum to achieve the best signal-to-noise ratio. External mass calibration is performed using protein standards (Peptide Mix II) from a Peptide Mass Standard Kit (Bruker Daltronics) and a seven-point calibration method using Bradykinin (clip 1-7) (m=757.40 Da), Angiotensin II (m=1046.54 Da), Angiotensin I (m=1296.68 Da), Substance P (m=1347.74 Da), ACTH (clip 1-17) (m=2093.09 Da), ACTH (clip 18-39) (m=2465.20 Da), and Somatostatin 28 (m=3147.47 Da) to yield monoisotopic mass accuracy better than Δm=±0.05 Da. The m+1 peaks are used for positive ion mode and the m−1 peaks for negative ion mode. The instrument is calibrated before each measurement to ensure constant experimental conditions.

[0164]

For CID fragmentation experiments, argon is used as a collision gas at pressures of 1.5×10−6Torr and the collision energy amounts to 20 keV. All spectra are acquired in the reflection mode with a mass resolution greater than 20,000 full-width at half-maximum height (fwhm); isotopic resolution is observed throughout the entire mass range detected. MALDI spectra are run in dithranol (Aldrich) matrix, optionally doped with sodium trifluoroacetate (NaTFA; Aldrich). Samples are prepared using the dried-droplet method. 5,6 Dithranol (20 mg/mL in THF), sodium trifluoroacetate (when used) (15 mg/mL in THF), and polymer (in THF) were mixed using the following ratios: 50 μL of Dithranol solution, 10 μL of polymer solution, 1.5 μL of NaTFA solution. After vortexing the mixture for 30 sec, 1 μL of the mixture is pipetted on the MALDI sample plate and allowed to air dry at room temperature. Spotting is performed using four replicates to ensure a good sampling of the mixture, and to account for variation in the MALDI sample deposition process. MALDI data is collected by slowly rastering the laser along the sample spot, with an average of 10,000 shots per spectrum. MS and MS/MS data are processed using Polymerix 3.0 software supplied by Sierra Analytics (Modesto, Calif.).

[0165]

MALDI Data Analysis Using Polymerix software (Sierra Analytics): MALDI data is imported into Polymerix software for data analysis (Mn and PDI determination). The Polymerix software is used to calculate the relative percentages and Mn of each species series of interest. The first step is the construction of a template that identifies each species series of interest. This template should include the end groups of the PO repeat unit (58.04186 Da) and the cationization agent for each structure. For the sake of simplicity, when calculating the end groups for Polymerix, a hydrogen atom (1.0078 Da) is designated as the first terminal group and the remaining portion of the structure (minus the repeat unit) is designated at the second terminal group. With the template in place, the MALDI data can be imported, in the form of an ASCII file, and the Polymerix software will calculate the relative percentage for each species series along with the overall Mn and Mw of the sample. Note that due to the possibility of preferential desorption of low mass species, along with mass discrimination effects of the detector and the TOF-MS reflectron, the Mn calculation is generally more accurate than Mw.

[0166]

Determination of Acetal Content by Inverse-Gated13C NMR Spectroscopy:

[0167]

Samples are prepared in 10-mm NMR tubes as ˜90% solutions in DMSO-d6for13C-NMR analysis to measure the level of acetal species.13C NMR data is acquired using a Bruker Avance 400-MHz spectrometer equipped with a cryoprobe using at least 64 transient scans and a 30-second relaxation delay (optimized for quantitative measurements). The acquisition is carried out using spectral width of 25000 Hz for13C and a file size of 65K data points. Relative moles of acetal species are measured by integrating the area under resonances from acetal carbons.

[0000]

mole%acetal=100×relativemolesofacetalcarbonsumofrelativemolesofallcarbonspeciesinthespectrum

[0000]

The percentage coefficient of variation (100*standard deviation/mean) for the method is measured by preparing and analyzing one sample in triplicate and was found to be 10%.

[0168]

Computational Methodology for Determination of Binding Enthalpy and Activation Barrier to Aldehyde:

[0169]

The structures of all the species in ground and transition states are optimized using Density Functional Theory (DFT) at B3LYP/6-31+g** level (e.g., see Becke, A. D., J. Chem. Phys. 1993, 98, 5648; Lee, C. et al., Phys. Rev B 1988, 37, 785; and Miehlich, B. et al. Chem. Phys. Lett. 1989, 157, 200; Ditchfield, R. et al., J. Chem. Phys. 1971, 54, 724; Hehre, W. J. et al., J. Chem. Phys. 1972, 56, 2257; and Gordon, M. S. Chem. Phys. Lett. 1980, 76, 163). The effect of dielectric medium was included by using conductor like polarizable continuum model (CPCM), where diethylether (c=4.2) was used as the medium of choice. The dispersion interactions are included by using D3 version of Grimmae along with Becke-Johnson damping. The vibrational analysis on the ground state geometries was performed and the lack of imaginary frequencies was used to ascertain the minima in the potential energy surface (PES). The same analysis on the transition state geometries indicated one imaginary frequency. In the latter case, the GaussView program was used to visualize the vibrational mode with imaginary frequency in order to ensure that the atoms moved along the desired reaction coordinate. For both ground state and transition state geometries, the vibrational analysis was used to compute the enthalpy (H298) at 298 K by augmenting zero point energy to the electronic energy. All calculations were performed using G09 suit of programs. Computed enthalpies of binding (BH) with propylene oxide (PO) and hydride shift to form aldehyde (ΔH3) in the ring opened conformation are listed in Table 1. It is hypothesized that strong binding enthalpy (large −ve number) is required for high activity of the borane catalyst. In addition, high ΔH3 is desirable to avoid acetal formation, leading to high chemoselectivity.

[0170]

Computational Determination of Free (or Accessible) Volume:

[0171]

Once the optimized geometry of free catalysts (where the catalyst is not bound to the optional R4Lewis base) or coordinated complexes (where a catalyst is bound to the optional R4Lewis base) are obtained using the above method, a sphere of radius 3.0 Å is placed around the B atom (the volume of this sphere is denoted as V1). This is followed by placing spheres on other atoms; the radii of these spheres are chosen to be the van der Waals radii of respective atoms. The volume of the sphere centered on B which is occluded by spheres on other atoms is computed using a Monte Carlo integration technique. The occluded volume is represented as V2. The free volume (FV) is calculated using the following equation:

[0000]


Fv=1−(V2/V1)

[0000]

The FV descriptor varies between 0 and 1. This technique is implemented using Pipeline Pilot tool kit. This procedure is used in literature to understand bond dissociation trends.

Как компенсировать расходы
на инновационную разработку
Похожие патенты