заявка
№ US 20200055850
МПК C07D471/04

PESTICIDALLY ACTIVE TETRACYCLIC DERIVATIVES WITH SULPHUR CONTAINING SUBSTITUENTS

Авторы:
Andrew EDMUNDS Michel MUEHLEBACH Pierre Joseph Marcel JUNG
Все (15)
Правообладатель:
Номер заявки
16594743
Дата подачи заявки
07.10.2019
Опубликовано
20.02.2020
Страна
US
Дата приоритета
14.02.2026
Номер приоритета
Страна приоритета
Как управлять
интеллектуальной собственностью
Реферат

Compounds of formula (I) wherein the substituents are as defined in claim 1, and the agrochemically acceptable salts, stereoisomers, enantiomers, tautomers and N-oxides of the compounds, can be used as insecticides and can be prepared in a manner known per se.

Формула изобретения

1. A compound of formula (I),

wherein

R1and R2are, independently from each other, hydrogen, C1-C6alkyl, C1-C6haloalkyl, cyano, nitro, C(O)R8, C(O)OR9, CONR10R11, or S(O)m1R12;

R3is C1-C3alkyl, C1-C3haloalkyl, C3-C5halocyloalkyl, C3-C6cycloalkyl-C1-C4alkyl, C3-C5cycloalkyl or C3-C6halocycloalkyl-C1-C4alkyl;

R4and R6are hydrogen, halogen, or C1-C3alkyl;

R5is hydrogen, halogen, cyano, nitro, C1-C4alkoxy, C1-C4alkyl, or C1-C4alkyl mono- or polysubstituted by substituents selected from the group consisting of halogen, hydroxy, C1-C4haloalkoxy, C1-C4alkoxy and cyano; or is C3-C6cycloalkyl, or C3-C6cycloalkyl mono- or polysubstituted by substituents selected from the group consisting of C1-C4alkyl, and halogen; or

R5is C2-C6alkenyl, C2-C6haloalkenyl, C2-C6alkynyl, C2-C6haloalkynyl; or

R5is phenyl which can be mono- or polysubstituted by substituents selected from the group consisting of halogen, cyano, C1-C4alkyl, C1-C4haloalkyl, C1-C4haloalkoxy, C1-C4alkoxy, C1-C4haloalkylsulfanyl, C1-C4haloalkylsulfinyl, C1-C4haloalkylsulfonyl and —C(O)C1-C4haloalkyl; or

R5is C1-C4haloalkylsulfanyl, C1-C4haloalkylsulfinyl, C1-C4haloalkylsulfonyl, pentafluorosulfanyl, C1-C4haloalkoxy, —C(O)C1-C4alkyl, C1-C4alkylsulfanyl, C1-C4alkylsufinyl, or C1-C4alkylsulfonyl; or

R5is pyrimidine or pyridine which both can be mono- or polysubstituted by substituents selected from the group consisting of halogen, cyano, C1-C4alkyl, C1-C4haloalkyl, C1-C4haloalkoxy, C1-C4alkoxy, C1-C4alkylsulfanyl, C1-C4alkylsulfinyl, C1-C4alkylsufonyl, C1-C4haloalkylsulfanyl, C1-C4haloalkylsulfinyl, C1-C4haloalkylsulfonyl, and —C(O)C1-C4alkyl;

X is nitrogen or CR13;

Y is nitrogen or CR14;

G, is nitrogen or CR15;

V is nitrogen or CH;

Z is nitrogen and G2is nitrogen or CR16; or

Z is carbon and G2is N—R7, sulphur, oxygen or CR16;

R7is hydrogen, C1-C4alkyl, C2-C6alkenyl, C2-C6alkynyl, C1-C4alkoxy-C1-C4alkyl or C3-C6cycloalkyl;

R8, R9, R10, R11, and R12independently of one another are hydrogen, C1-C6alkyl, C1-C6haloalkyl, C3-C6cycloalkyl, C3-C6halocycloalkyl or C1-C6alkoxy-C1-C6alkyl, with the proviso that when m1is 2, R12is different from hydrogen;

R13, R14, R15and R16are, independently from each other, hydrogen, halogen, C1-C4alkyl, C1-C4haloalkyl, C1-C4haloalkyl substituted by one or more methoxy groups, or R13, R14, R15and R16are, independently from each other, C1-C4haloalkylsulfanyl, C1-C4haloalkylsulfinyl, C1-C4haloalkylsulfonyl, C1-C4haloalkoxy, phenylcarbonylsulfanyl, cyano, mercapto, or C1-C4alkoxycarbonyl;

n is 1 or 2;

m is 0, 1 or 2;

m1is 0, 1 or 2;

p is 1, 2, 3 or 4;

and agrochemically acceptable salts and N-oxides of those compounds.

2. A compound of formula (I) according to claim 1, represented by the compounds of formula (Ia)

wherein;

R1, R2, R3, R5, R13, V, n, and m are as defined under formula (I) in claim 1 and G2is oxygen, sulphur or is nitrogen substituted with hydrogen or with C1-C2alkyl.

3. A compound of formula (I) according to claim 1 represented by the compounds of formula (Ib)

wherein

R1, R2, R3, R5, V, n, and m are as defined under formula (I) in claim 1, and G2is oxygen, sulphur or nitrogen substituted with hydrogen or with C1-C2alkyl.

4. A compound of formula (I) according to claim 1, represented by the compounds of formula (Ic)

wherein

R1, R2, R3, R5, V, n, and m are as defined under formula (I) in claim 1, G2is nitrogen or G2is methine or CH—CH3.

5. A compound of formula (I) according to claim 1, is represented by the compounds of formula (Id)

wherein

R1, R2, R3, R5, R12, V, Y, n and m are as defined under formula (I) in claim 1, G2is nitrogen or G2is methine or CH—CH3.

6. A compound of formula (I) according to claim 1, wherein

R1is hydrogen or cyano;

R2is hydrogen;

R3is C1-C4alkyl;

R4is hydrogen;

R5is C1-C4haloalkyl;

R6is hydrogen;

p is 1;

n is 1 or 2;

m is 0 or 2;

X is CH;

Y is N;

Z is carbon;

G1is N;

G2is N—R7;

R7is C1-C4alkyl; and

V is N.

7. A compound of formula (IIb)

wherein G1, G2, R3, R4, R5, R6, m, V, X, Y and Z have the meanings described under formula (I) in claim 1 and X01is halogen or trifluoromethanesulfonate with the exception of the compounds]; 6-bromo-2-(3-ethylsulfanyl-2-pyridyl)-7-isopropyl-3-methyl-imidazo[4,5-b]pyrdine [1421956-60-6], 6-brom-7-(difluoromethyl)-2-(3-ethylsulfonyl-2-pyridyl)-3-methyl-imidazo[4,5-b]pyridine [1421956-59-3], 6-bromo-7-(difluoromethyl)-2-(3-ethylsulfinyl-2-pyridyl)-3-methyl-imidazo[4,5-b]pyridine [1421956-58-2], 6-bromo-7-(difluoromethyl)-2-(3-ethylsulfanyl-2-pyridyl)-3-methyl-imidazo[4,5-b]pyridine [1421956-57-1], 2-[3-ethylsulfonyl-5-(trifluoromethyl)-2-pyridyl]-6-iodo-3-methyl-imidazo[4,5-b]pyridine [1421956-26-4], 6-bromo-2-[3-ethylsulfonyl-5-(trifluoromethyl)-2-pyridyl]-3-methyl-imidazo[4,5-b]pyridine [1421956-07-1], 6-bromo-2-[3-ethylsulfanyl-5-(trifluoromethyl)-2-pyridyl]-3-methyl-imidazo[45-b]pyridine [1421956-06-0], 6-bromo-2-[3-ethylsulfanyl-5-(trifluoromethyl)-2-pyridyl]-3-methyl-imidazo[45-b]pyridine [1421956-04-8], 6-bromo-2-(3-ethylsulfanyl-2-pyridyl)-3-methyl-imidazo[4,5-b]pyridine-7-carbaldehyde [1421954-62-2], 6-bromo-2-(3-ethylsulfonyl-2-pyridyl)-3-methyl-imidazo[4,5-b]pyridine [1421954-25-7], 2-(3-ethylsulfonyl-2-pyridyl)-6-iodo-3-methyl-imidazo[4,5-b]pyridine [1421950-96-0], 2-[3-ethylsulfanyl-5-(trifluoromethyl)-2-pyridyl]-5-iodo-1-methyl-benzimidazole [1421950-48-2], 2-(3-ethylsulfanyl-2-pyridyl)-5-iodo-1-methyl-benzimidazole [1421950-16-4], 2-[3-ethylsulfanyl-5-(trifluoromethyl)-2-pyridyl]-5-iodo-1,3-benzoxazole [1616682-41-7], 2-[3-ethylsulfonyl-5-(trifluoromethyl)-2-pyridyl]-5-iodo-1,3-benzoxazole [1616682-43-9], 6-bromo-2-(5-bromo-3-ethylsulfonyl-2-pyridyl)oxazolo[5,4-b]pyridine [1616682-28-0], 6-bromo-2-[3-ethylsulfonyl-5-(trifluoromethyl)-2-pyridyl]oxazolo[5,4-b]pyridine [1616682-16-6], 5-bromo-2-[3-ethylsulfonyl-5-(trifluoromethyl)-2-pyridyl]-1,3-benzoxazole [1616682-19-9], 2-[3-ethylsulfanyl-5-(trifluoromethyl)-2-pyridyl]-6-iodo-thiazolo[5,4-b]pyridine [1421956-35-5], and 2-[2-ethylsulfanyl-4-(trifluoromethyl)phenyl]-6-iodo-thiazolo[5,4-b]pyridine [1383947-33-8].

8. A compound of formula (III),

wherein G1, G2, R3, R4, R5, R6, m, V, X, Z and Y have the definitions as described under formula (I) in claim 1.

9. A pesticidal composition, which comprises at least one compound of formula I according to claim 1 or, where appropriate, a tautomer thereof, in each case in free form or in agrochemically utilizable salt form, as active ingredient and at least one auxiliary.

10. A method for controlling pests, which comprises applying a composition according to claim 8 to the pests or their environment with the exception of a method for treatment of the human or animal body by surgery or therapy and diagnostic methods practiced on the human or animal body.

11. A method for the protection of plant propagation material from the attack by pests, which comprises treating the propagation material or the site, where the propagation material is planted, with a composition according to claim 9.

12. Plant propagation material treated in accordance with the method described in claim 11.

13. A substrate selected from nonwoven and fabric material comprising a composition according to claim 9.

Описание

[0001]

The present invention relates to insecticidally active tetracyclic derivatives containing sulphur substituents, to compositions comprising those compounds, and to their use for controlling animal pests (including arthropods and in particular insects or representatives of the order Acarina).

[0002]

Sulphur containing heterocyclic compounds with pesticidal action are known and described, for example, in WO 2013/018928, WO 2013/187423 and WO 20121086848.

[0003]

There have now been found novel sulphur containing heterocyclic derivatives with pesticidal properties.

[0004]

The present invention accordingly relates to compounds of formula (I),

[0000]

[0000]

wherein
R1and R2are, independently from each other, hydrogen, C1-C6alkyl, C1-C6haloalkyl, cyano, nitro, C(O)R8, C(O)OR9, CONR10R11, or S(O)m1R12;
R3is C1-C3alkyl, C1-C3haloalkyl, C3-C5halocycloalkyl, C3-C6cycloalkyl-C1-C4alkyl, C3-C5cycloalkyl or C3-C6halocycloalkyl-C1-C4alkyl;
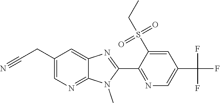
R4and R6are hydrogen, halogen, or C1-C3alkyl;
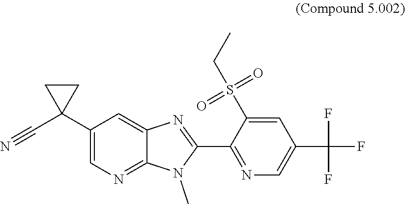
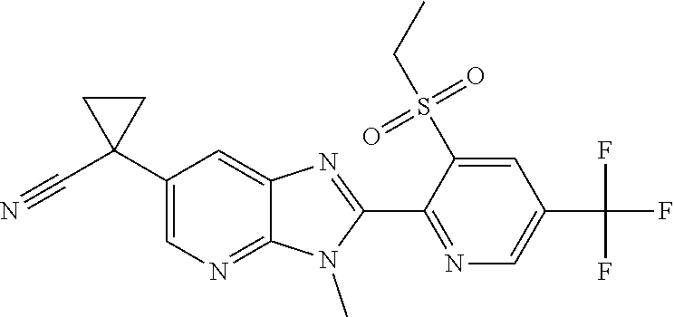
R5is hydrogen, halogen, cyano, nitro, C1-C4alkoxy, C1-C4alkyl, or C1-C4alkyl mono- or polysubstituted by substituents selected from the group consisting of halogen, hydroxy, C1-C4haloalkoxy, C1-C4alkoxy and cyano; or is C3-C6cycloalkyl, or C3-C6cycloalkyl mono- or polysubstituted by substituents selected from the group consisting of C1-C4alkyl, and halogen; or
R5is C2-C6alkenyl, C2-C6haloalkenyl, C2-C6alkynyl, C2-C6haloalkynyl; or
R5is phenyl which can be mono- or polysubstituted by substituents selected from the group consisting of halogen, cyano, C1-C4alkyl, C1-C6haloalkyl, C1-C4haloalkoxy, C1-C4alkoxy, C1-C4haloalkylsulfanyl, C1-C4haloalkylsulfinyl, C1-C4haloalkylsulfonyl and —C(O)C1-C4haloalkyl; or
R5is C1-C4haloalkylsulfanyl, C1-C4haloalkylsulfinyl, C1-C4haloalkylsulfonyl, pentafluorosulfanyl, C1-C4haloalkoxy, —C(O)C1-C4alkyl, C1-C4alkylsulfanyl, C1-C4alkylsufinyl, or C1-C4alkylsulfonyl; or
R5is pyrimidine or pyridine which both can be mono- or polysubstituted by substituents selected from the group consisting of halogen, cyano, C1-C4alkyl, C1-C4haloalkyl, C1-C4haloalkoxy, C1-C4alkoxy, C1-C4alkylsulfanyl, C1-C4alkylsulfinyl, C1-C4alkylsulfonyl, C1-C4haloalkylsulfanyl, C1-C4haloalkylsulfinyl. C1-C4haloalkylsulfonyl, and —C(O)C1-C4alkyl;
X is nitrogen or CR13;
Y is nitrogen or CR14;
G1is nitrogen or CR15;
V is nitrogen or CH;
Z is nitrogen and G2is nitrogen or CR16; or
Z is carbon and G2is N—R7, sulphur, oxygen or CR16;
R7is hydrogen, C1-C4alkyl, C2-C6alkenyl, C2-C6alkynyl, C1-C4alkoxy-C1-C4alkyl or C3-C6cycloalkyl;
R8, R9, R10, R11and R12independently of one another are hydrogen, C1-C6alkyl, C1-C6haloalkyl. C3-C6cycloalkyl, C3-C6halocycloalkyl or C1-C6alkoxy-C1-C6alkyl, with the proviso that when m1is 2, R12is different from hydrogen;
R13, R14, R15and R16are, independently from each other, hydrogen, halogen, C1-C4alkyl, C1-C4haloalkyl, C1-C4haloalkyl substituted by one or more methoxy groups, or R13, R14, R15and R16are, independently from each other, C1-C4haloalkylsulfanyl, C1-C4haloalkylsulfinyl, C1-C4haloalkylsulfonyl, C1-C4haloalkoxy, phenylcarbonylsulfanyl, cyano, mercapto, or C1-C4alkoxycarbonyl;
n is 1 or 2;
m is 0, 1 or 2;
m, is 0, 1 or 2:
p is 1, 2, 3 or 4;
and agrochemically acceptable salts and N-oxides of those compounds.

[0005]

The alkyl groups occurring in the definitions of the substituents can be straight-chain or branched and are, for example, methyl, ethyl, n-propyl, isopropyl, n-butyl, sec-butyl, iso-butyl, tert-butyl, pentyl and hexyl.

[0006]

Alkoxy, alkenyl and alkynyl radicals are derived from the alkyl radicals mentioned. The alkenyl and alkynyl groups can be mono- or polyunsaturated.

[0007]

Halogen is generally fluorine, chlorine, bromine or iodine. This also applies, correspondingly, to halogen in combination with other meanings, such as haloalkyl or halophenyl.

[0008]

Haloalkyl groups have a chain length of from 1 to 6 carbon atoms. Haloalkyl is, for example, fluoromethyl, difluoromethyl, trifluoromethyl, chloromethyl, dichloromethyl, trichloromethyl, 2,2,2-trifluoroethyl, 2-fluoroethyl, 2-chloroethyl, pentafluoroethyl, 1,1-difluoro-2,2,2-trichloroethyl, 2,2,3,3-tetrafluoroethyl and 2,2,2-trichloroethyl; preferably trichloromethyl, difluorochloromethyl, difluoromethyl, trifluoromethyl and dichlorofluoromethyl, in particular trifluoromethyl.

[0009]

Alkoxy groups preferably have a chain length of from 1 to 6 carbon atoms. Alkoxy is, for example, methoxy, ethoxy, propoxy, i-propoxy, n-butoxy, isobutoxy, sec-butoxy and tert-butoxy and also the isomeric pentyloxy and hexyloxy radicals; preferably methoxy and ethoxy. Alkoxyalkyl groups have a chain length of 1 to 6 carbon atoms. Alkoxyalkyl is, for example, methoxymethyl, methoxyethyl, ethoxymethyl, ethoxyethyl, n-propoxymethyl, n-propoxyethyl, isopropoxymethyl or isopropoxyethyl.

[0010]

The cycloalkyl groups preferably have from 3 to 6 ring carbon atoms, for example cyclopropyl, cyclobutyl, cyclopentyl and cyclohexyl. Phenyl, also as part of a substituent such as phenoxy, benzyl, benzyloxy, benzoyl, phenylsulfanyl, phenylalkyl, phenoxyalkyl, may be substituted. In this case, the substituents can be in ortho, meta and/or para position. The preferred substituent positions are the ortho and pare positions to the ring attachment point.

[0011]

In the context of this invention “mono- to polysubstituted” in the definition of the substituents, means typically, depending on the chemical structure of the substituents, monosubstituted to seven-times substituted, preferably monosubstituted to five-times substituted, more preferably mono-, di- or tri-substituted.

[0012]

The group (O)m—S can, depending on the meaning of m, represent a sulfanyl, sulfinyl or sulfonyl group.

[0013]

The substituent R2can be located at every chemically possible position of the cycloalkyl ring. Therefore, the group (CH2)ncan also represent —(CHR2)—, —(C(R2)R2)—, or —(CH2—C(R2)H)—.

[0014]

Compounds of formula (I) which have at least one basic centre can form, for example, acid addition salts, for example with strong inorganic acids such as mineral acids, for example perchloric acid, sulphuric acid, nitric acid, a phosphorus acid or a hydrohalic acid, with strong organic carboxylic acids, such as C1-C4alkanecarboxylic acids which are unsubstituted or substituted, for example by halogen, for example acetic acid, such as saturated or unsaturated dicarboxylic acids, for example oxalic acid, malonic acid, succinic acid, maleic acid, fumaric acid or phthalic acid, such as hydroxycarboxylic acids, for example ascorbic acid, lactic acid, malic acid, tartaric acid or citric acid, or such as benzoic acid, or with organic sulphonic acids, such as C1-C4alkane- or arylsulphonic acids which are unsubstituted or substituted, for example by halogen, for example methane- or p-toluenesulphonic acid. Compounds of formula (I) which have at least one acidic group can form, for example, salts with bases, for example mineral salts such as alkali metal or alkaline earth metal salts, for example sodium, potassium or magnesium salts, or salts with ammonia or an organic amine, such as morpholine, piperidine, pyrrolidine, a mono-, di- or tri-lower-alkylamine, for example ethyl-, diethyl-, triethyl- or dimethylpropylamine, or a mono-, di- or trihydroxy-lower-alkylamine, for example mono-, di- or triethanolamine.

[0015]

Salts of compounds of formula (I) can be prepared in a manner known per se. Thus, for example, acid addition salts of compounds of formula (I) are obtained by treatment with a suitable acid or a suitable ion exchanger reagent and salts with bases are obtained by treatment with a suitable base or with a suitable ion exchanger reagent.

[0016]

Salts of compounds of formula (I) can be converted in the customary manner into the free compounds (I), acid addition salts, for example, by treatment with a suitable basic compound or with a suitable ion exchanger reagent and salts with bases, for example, by treatment with a suitable acid or with a suitable ion exchanger reagent.

[0017]

Salts of compounds of formula (I) can be converted in a manner known per se into other salts of compounds of formula (I), acid addition salts, for example, into other acid addition salts, for example by treatment of a salt of inorganic acid such as hydrochloride with a suitable metal salt such as a sodium, barium or silver salt, of an acid, for example with silver acetate, in a suitable solvent in which an inorganic salt which forms, for example silver chloride, is insoluble and thus precipitates from the reaction mixture.

[0018]

Depending on the procedure or the reaction conditions, the compounds of formula (I), which have salt-forming properties can be obtained in free form or in the form of salts.

[0019]

The compounds of formula (I) and, where appropriate, the tautomers thereof, in each case in free form or in salt form, can, if appropriate, also be obtained in the form of hydrates and/or include other solvents, for example those which may have been used for the crystallization of compounds which are present in solid form.

[0020]

A preferred group of compounds of formula (I) is represented by the compounds of formula (Ia)

[0000]

[0000]

wherein;
R1, R2, R3, R5, R13, V, n, and m are as defined in formula (I) above, and G2is oxygen, sulphur or is nitrogen substituted with hydrogen or with C1-C2alkyl. Preferred compounds of formula (Ia) are those,
wherein
n is 1 or 2.

[0021]

Especially preferred compounds of formula (Ia) are those, in which

[0000]

R1is hydrogen, trifluoromethyl or cyano;
R2is hydrogen or cyano;
R3is C1-C3alkyl, C3-C4cycloalkyl or C3-C4cycloalkyl-C1-C4alkyl;
R5is hydrogen, C1-C6haloalkyl, halogen, phenyl which can be mono- or di-substituted by substituents selected from C1-C4haloalkyl or halogen, or is pyridyl which can be mono- or di-substituted by substituents selected from C1-C4haloalkyl or halogen; in particular
R5is hydrogen, trifluoromethyl, halogen, 4-(trifluoromethyl)-phenyl, 5-(trifluoromethyl)-2-pyridyl, 4-chlorophenyl, or 5-chloro-2-pyridyl.

[0022]

Preferably in formula (Ia) G2is nitrogen substituted with C1-C2alkyl.

[0023]

Preferred compounds are also those, in which R13is hydrogen, 4-(trifluoromethyl)-2-pyridyl, 5-(trifluoromethyl)-3-pyridyl, or 2-(trifluoromethyl)-4-pyridyl. Most preferred compounds are those, wherein R13is hydrogen.

[0024]

Preferably in formula (Ia), V is nitrogen and m is 2.

[0025]

Even more highly preferred compounds of formula (Ia) are those, in which n is 1 or 2, and R1is cyano;

[0026]

A further preferred group of compounds of formula (Ia) are those, in which n is 1 or 2, and R1is trifluoromethyl.

[0027]

Another set of preferred compounds of formula (Ia) are those, in which V is CH.

[0028]

A further preferred group of compounds of formula (Ia) are those, in which R1is hydrogen and R2is cyano.

[0029]

A further preferred group of compounds of formula (I) is represented by the compounds of formula (Ib)

[0000]

[0000]

wherein
R1, R2, R3, R5, V, n, and m are as defined in formula (I) above, and G2is oxygen, sulphur or nitrogen substituted with hydrogen or with C1-C2alkyl. Preferred compounds of formula (Ib) are those, wherein n is 1 or 2.

[0030]

Especially preferred compounds of formula (Ib) are those, in which

[0000]

R1is hydrogen, trifluoromethyl or cyano;
R2is hydrogen or cyano;
R3is C1-C3alkyl, C3-C4cycloalkyl or C3-C4cycloalkyl-C1-C4alkyl;
R5is hydrogen, C1-C6haloalkyl, halogen, phenyl which can be mono- or di-substituted by substituents selected from C1-C4haloalkyl or halogen, or is pyridyl which can be mono- or di-substituted by substituents selected from C1-C4haloalkyl or halogen; in particular
R5is hydrogen, trifluoromethyl, halogen, 4-(trifluoromethyl)-phenyl, 5-(trifluoromethyl)-2-pyridyl, 4-chlorophenyl, or 5-chloro-2-pyridyl.

[0031]

Preferably in formula (Ib) G2is nitrogen substituted with C1-C2alkyl.

[0032]

Preferably in formula (Ib), V is nitrogen and m is 2.

[0033]

Even more highly preferred compounds of formula (Ib) are those, in which n is 1 or 2, and R1is cyano;

[0034]

A further preferred group of compounds of formula (Ib) are those, in which n is 1 or 2, and R1is trifluoromethyl.

[0035]

Another set of preferred compounds of formula (Ib) are those, in which V is CH.

[0036]

A further preferred group of compounds of formula (Ib) are those, in which R1is hydrogen and R2is cyano.

[0037]

A further preferred group of compounds of formula (I) is represented by the compounds of formula (Ic)

[0000]

[0000]

wherein
R1, R2, R3, R5, V, n, and m are as defined in formula (I) above, G2is nitrogen or G2is methine or CH—CH3.

[0038]

Preferred compounds of formula (Ic) are those wherein

[0000]

n is 1, or 2;
R1hydrogen, cyano or trifluoromethyl;
R2is hydrogen or cyano;
R3is C1-C3alkyl, C3-C4cycloalkyl or C3-C4cycloalkyl-C1-C4alkyl;
R5is hydrogen, C1-C6haloalkyl, halogen, phenyl which can be mono- or di-substituted by substituents selected from C1-C4haloalkyl or halogen, or is pyridyl which can be mono- or di-substituted by substituents selected from C1-C4haloalkyl or halogen; in particular
R5is hydrogen, trifluoromethyl, halogen, 4-(trifluoromethyl)-phenyl, 5-(trifluoromethyl)-2-pyridyl, 4-chlorophenyl, or 5-chloro-2-pyridyl.

[0039]

Preferably in the compounds of formula (Ic), R2hydrogen and R1is cyano.

[0040]

In a further preferred group of compounds of formula (Ic) R1is trifluoromethyl.

[0041]

In another further preferred group of compounds of formula (Ic) G2is nitrogen.

[0042]

A further preferred group are those compounds of formula (Ic), wherein G2is methine.

[0043]

Preferred are also compounds of formula (Ic), V is nitrogen and m is 2.

[0044]

Further preferred compounds of formula (Ic) are those, in which V is CH.

[0045]

A further preferred group of compounds of formula I is represented by the compounds of formula (Id)

[0000]

[0000]

wherein
R1, R2, R3, R5, R12, V, Y, n and m are as defined in formula (I) above. G2is nitrogen or G2is methine or CH—CH3.

[0046]

Preferred compounds of formula (Id) are those wherein

[0000]

n is 1, or 2;
R1hydrogen, cyano or trifluoromethyl;
R2is hydrogen or cyano;
R3is C1-C3alkyl, C3-C4cycloalkyl or C3-C4cycloalkyl-C1-C4alkyl;
R5is hydrogen, C1-C6haloalkyl, halogen, phenyl which can be mono- or di-substituted by substituents selected from C1-C4haloalkyl or halogen, or is pyridyl which can be mono- or di-substituted by substituents selected from C1-C4haloalkyl or halogen; in particular
R5is hydrogen, trifluoromethyl, halogen, 4-(trifluoromethyl)-phenyl, 5-(trifluoromethyl)-2-pyridyl, 4-chlorophenyl, or 5-chloro-2-pyridyl.

[0047]

Preferred compounds of formula (Id) are those, in which R13is hydrogen, 4-(trifluoromethyl)-2-pyridyl, 5-(trifluoromethyl)-3-pyridyl, or 2-(trifluoromethyl)-4-pyridyl. Most preferred compounds of formula (Id) are those, wherein R13is hydrogen.

[0048]

Especially preferred compounds of formula (Id) are those, in which R2is hydrogen and R1, is cyano. In a further preferred group of compounds of formula (Id) R1, is trifluoromethyl.

[0049]

In a more preferred group of compounds of formula (Id), G2is nitrogen or methine and Y is nitrogen or methine. Especially preferred compounds of formula (Id) are those, wherein G2is methine.

[0050]

In a highly preferred group of compounds of formula (Id), V is nitrogen and m is 2.

[0051]

In another set of preferred compounds of formula (Id) V is CH.

[0052]

In an especially preferred embodiment of the compounds of formula I,

[0000]

R1is hydrogen or cyano;
R2is hydrogen;
R3is C1-C4alkyl;
R4is hydrogen;
R5is C1-C4haloalkyl;
R6is hydrogen;
p is 1;
n is 1 or 2;
m is 0 or 2; preferably 2;

X is CH;

Y is N;

[0053]

Z is carbon;

G1is N;

[0054]

G2is N—R7;
R7is C1-C4alkyl; and

V is N.

[0055]

The process according to the invention for preparing compounds of formula (I) is carried out in principle by methods known to those skilled in the art. More specifically, compounds of formula (I), wherein R1is cyano may be prepared by transition-metal-catalyzed coupling of a compound of formula (II)

[0000]

[0000]

wherein X, Y, Z, G1, G2, R3, R4R5, R6, m and V are described under formula (I) above, and X01is a halogen or a triflate group with an acetonitrile anion equivalent, to give compounds of formula (III).

[0000]

[0056]

A variety of acetonitrile anion equivalents can be used in such reactions. Examples of such are tri-n-butylstannylacetonitrile, which can be coupled to compounds of formula (II) under Stifle reaction conditions as described by Mitiga et. al. (Chem. Left. 1984, 1511), or trimethylsilylacetonitrile in the presence of a palladium catalyst, such as tris(dibenzylideneacetone)dipalladium(0), and a ligand, for example Xantphos or P(t-Bu)3, a fluoride source, for example ZnF2, in an dipolar aprotic solvent such as DMF, at temperatures between 80-120° C. Such reactions are well precedented in the literature, for example see Hartwig et al. (J. Am. Chem. Soc. 2002, 124, 9330, and J. Am. Chem. Soc. 2005, 127, 15824).

[0057]

Alternatively compounds of formula (III) can be prepared by a Suzuki reaction of a compound of formula (II) with a boronic acid of formula (IV):

[0000]

[0058]

In the presence of a base, such as potassium fluoride or cesium carbonate, a palladium catalysts, such as [1,1′-Bis (diphenylphosphino) ferrocene]dichloropalladium(II), and a polar aprotic solvent such as DMSO or DMF, at temperatures between 80-150° C. The reaction to compounds of formula (II) proceeds through an intermediate of formula (V)

[0000]

[0059]

The intermediate (V) can be converted directly to compounds of formula (III) in one pot, or isolated, and converted in a separate step to compounds of formula (III) by treatment with a suitable base, for example potassium fluoride or cesium carbonate. Such reactions are well known in the literature and have been described in J. Am. Chem. Soc. 2011, 133, 6948-6951.

[0060]

Treatment of compounds of formula (III) in the presence of a base, such as sodium hydride, in an inert solvent such as DMF, or cesium carbonate in an aprotic solvent such as acetone or acetonitrile, in the presence of a compound of formula (VI), wherein R2, p, and n are as defined previously and X02is leaving group such as halogen or triflate;

[0000]

[0061]

To give compounds of formula (Ia01)

[0000]

[0000]

wherein R2, p, n, m, R3, R4, R5, R6, X, Y, Z, V, G1, and G2are as described in formula (I). The chemistry is summarized in scheme 1.

[0000]

[0062]

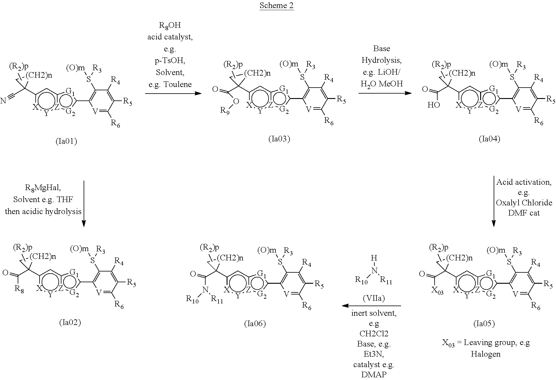
Compounds of formula (Ia01) can be converted to compounds of formula (I) wherein R1is C(O)R8, C(O)OR9, CONR10R11by methods known to those skilled in the art, and illustrated in scheme 2.

[0000]

[0063]

In scheme 2, compounds of formula (Ia01) wherein R2, p, m, R3, R4, R5, R6, X, Y, Z, V, G1, and G2are as described in formula (O) can be treated with a Grignard reagent of formula R8MgHal, followed by acidic hydrolysis (as described in C. Ferri, “Reaktionen der Organischen Synthese”, Georg Thieme Verlag, Stuttgart, 1978, page 324ff.) to give compounds of formula (Ia02), and wherein R8is as defined in formula (I). Compounds of formula (Ia03) can be readily hydrolysed to the corresponding acid of formula (Ia04) by methods to known to those skilled in the art, for example by treatment with an alkaline base, for example lithium hydroxide, in water and a water miscible solvent, for example methanol or acetone. Compounds of (Ia04) can be activated to compounds of formula (Ia05), wherein (X03) is a leaving group such as halogen, or a mixed anhydride by methods known to those skilled in the art and described for example in Chem. Soc. Rev., 2009, 38, 606-631. Susbesquent treatment of compounds of formula (Ia05) with compounds of formula (VIIa) in the presence of a base, for example triethyl amine, and a catalyst, for example DMAP in an inert solvent, for example methylene chloride, leads to compounds of formula (Ia06).

[0064]

Alternatively, compounds of formula (III) can be obtained from compounds of formula (II) by insertion of zinc into the C—X01bond, for example by treatment with activated zinc metal in an an inert solvent, such as THF or diethyl ether, or by transmetllation of the corresponding lithium or magnesium reagents. The preparation of organo zinc reagents from halogens is well known to those skilled in the art and has been described in for example by Knochel et. al. in Chem. Rev. 1993, 93, 2117. Subsequent reaction of the organozinc reagent with a compound of formula (VII)

[0000]

[0000]

wherein X02is halogen, preferably bromine, in the presence of a catalyst, for example Ni(acac)2, and a phosphine ligand, for example cyclohexyldiphenylphosphine, in an inert solvent such as tetrahydrofurane leads to compounds of formula (III). Such chemistry has been described in the literature (see Synthesis, 1987, 40-42). The compounds of formula (III) are converted to compounds of formula (I) as described in schemes 1 and 2.

[0065]

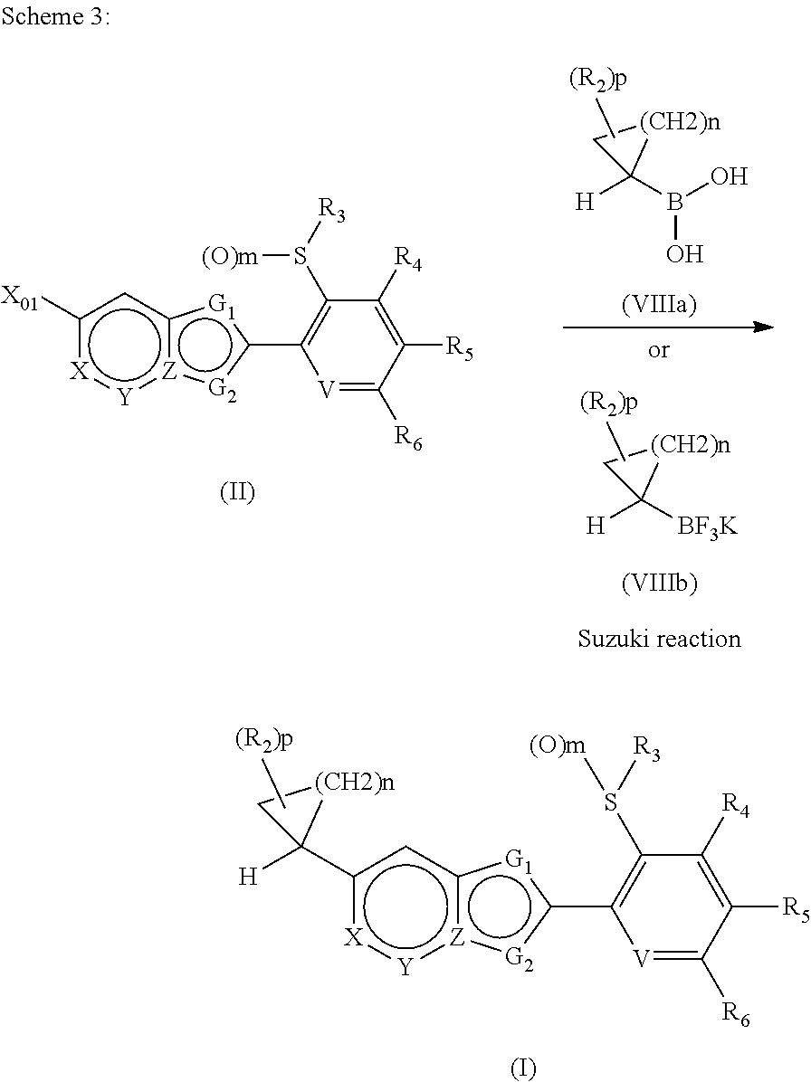
Compounds of formula (I) wherein R1is H can be prepared by direct Suzuki coupling of compounds of formula (II) with Boronic acids of formula (Villa) or Mollander salts of formula (VIIIb) by methods known to those skilled in the art, and described for example in Tetrahedron Letters, 43, 6987, 2002 or WO 2014/025736.

[0000]

[0066]

A further approach to compounds of formula (I) is illustrated in scheme 4.

[0000]

[0067]

As shown in scheme 4, compound of formula (II) is cross-coupled with a compound of formula (IX) in the presence of Ligand, e.g. Xant-Phos, a suitable palladium catalyst, e.g. Pd2(allyl)2Cl2, and a base e.g. DMAP inert solvent e.g. mesitylene as described in e.g. Y. S. Feng et al. Tetrahedron, 2012, 68, 2113, to give a compound of formula (X) wherein G1, G2, R3, R4, R5, R6, R9, m, V, X, Y and Z have the meanings described under formula I above. Compound (X) may be isolated or it can decarboxylate, spontaneously, or by heating in an inert solvent, such as DMSO to give a compound of formula (XI). Subsequent conversion to a compound of formula (Ia03) can be achieved as described previously and shown in scheme 4. Alternatively, compound of formula (II) can be decarboxylatively cross-coupled with a compound of formula (XII) under very similar conditions to give a compound of formula (III). Conversion of compounds of formula (III) to compounds of formula (Ia01) have been previously described (scheme 1).

[0068]

The Palladium catalysed decarboxylative cross coupling has been described in analogous cases, e.g. in R. Shang et al. Angew. Chem. Int. Ed., 2011, 50, 4470.

[0069]

Compounds of formula (Ia07), wherein, n is 1, p is 1, R1, is H, R2, R3, R4, R5, R6, X, Y, Z, G1, G2, V, and m are as described as in formula (I) can also be prepared as shown in scheme 5.

[0000]

[0070]

In scheme 6, compounds of formula (II) are reacted with compounds of formula (XV) under typical Heck conditions, for example those known to those skilled in the art and described for example in Chem. Rev. 2000, 100, 3009-3066. The compounds of formula (XIII) obtained can be treated with compounds of formula (XIVa) or (XIVb) and a base, for example an alkaline metal hydride, for example sodium hydride, or an alkali metal alkoxide, for example potassium hydroxide, in an inert solvent such as DMF or toluene, to give compounds of formula (Ia07) wherein R1, X, Y, Z, G1, G2, V, R2, R4, R5, R6, R3and m have the meanings as defined for formula (I). Similar chemistry has been described in the literature, for example in Tetrahedron, Volume 43, Issue 12, 1987, Pages 2609-2651.

[0071]

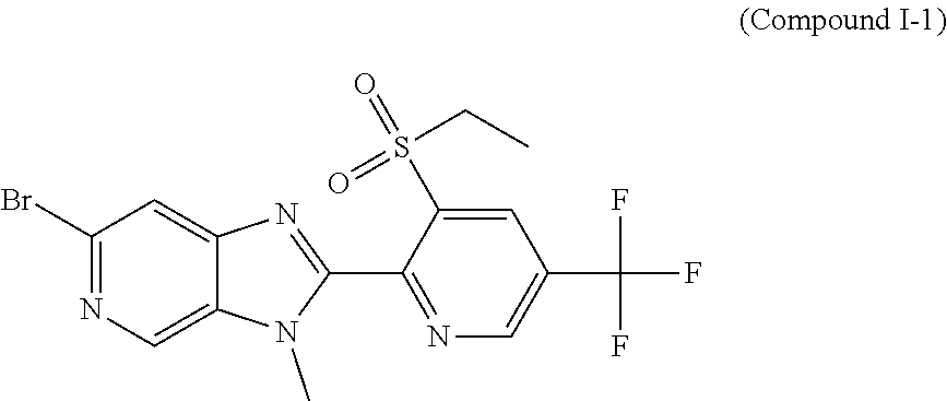
The required starting materials for preparation of compounds of formula (I), i.e compounds of formula (II) are in many cases known and described in the literature [Chemical abstract reference numbers]; 6-bromo-2-(3-ethylsulfanyl-2-pyridyl)-7-isopropyl-3-methy-imidazo[4,5-b]pyridine [1421956-60-6], 6-bromo-7-(difluoromethyl)-2-(3-ethylsulfonyl-2-pyridyl)-3-methyl-imidazo[4,5-b]pyridine [1421956-59-3], 6-bromo-7-(difluoromethyl)-2-(3-ethylsulfinyl-2-pyridyl)-3-methyl-imidazo[4,5-b]pyridine [1421956-58-2], 6-bromo-7-(difluoromethyl)-2-(3-ethylsulfanyl-2-pyridyl)-3-methyl-imidazo[4,5-b]pyridine [1421956-57-1], 2-[3-ethylsulfonyl-5-(trifluoromethyl)-2-pyridyl]-6-iodo-3-methyl-imidazo[4,5-b]pyridine [1421956-26-4], 6-bromo-2-[3-ethylsulfonyl-5-(trifluoromethyl)-2-pyridyl]-3-methyl-imidazo[4,5-b]pyridine [1421956-07-1], 6-bromo-2-[3-ethylsulfinyl-5-(trifluoromethyl)-2-pyridyl]-3-methyl-imidazo[4,5-b]pyridine [1421956-06-0], 6-bromo-2-[3-ethylsulfanyl-5-(trifluoromethyl)-2-pyridyl]-3-methyl-imidazo[4,5-b]pyridine [1421956-04-8], 6-bromo-2-(3-ethylsulfanyl-2-pyridyl)-3-methyl-imidazo[4,5-b]pyridine-7-carbaldehyde [1421954-62-2], 6-bromo-2-(3-ethylsulfonyl-2-pyridyl)-3-methyl-imidazo[4,5-b]pyridine [1421954-25-7], 2-(3-ethylsulfonyl-2-pyridyl)-6-iodo-3-methyl-imidazo[4,5-b]pyridine [1421950-96-0], 2-[3-ethylsulfanyl-5-(trifluoromethyl)-2-pyridyl]-5-iodo-1-methyl-benzimidazole [1421950-48-2], 2-(3-ethylsulfanyl-2-pyridyl)-5-iodo-1-methyl-benzimidazole [1421950-16-4]. 2-[3-ethylsulfanyl-5-(trifluoromethyl)-2-pyridyl]-5-iodo-1,3-benzoxazole [1616682-41-7], 2-[3-ethylsulfonyl-5-(trifluoromethyl)-2-pyridyl]-5-iodo-1,3-benzoxazole [1616682-43-9], 6-bromo-2-(5-bromo-3-ethylsulfonyl-2-pyridyl)oxazolo[5,4-b]pyridine [1616682-28-0], 6-bromo-2-[3-ethylsulfonyl-5-(trifluoromethyl)-2-pyridyl]oxazolo[5,4-b]pyridine [1616682-16-6], 5-bromo-2-[3-ethylsulfonyl-5-(trifluoromethyl)-2-pyridyl]-1,3-benzoxazole [1616682-19-9], 2-[3-ethylsulfanyl-5-(trifluoromethyl)-2-pyridyl]-6-iodo-thiazolo[5,4-b]pyridine [1421956-35-5], and 2-[2-ethylsulfanyl-4-(trifluoromethyl)phenyl]-6-iodo-thiazolo[5,4-b]pyridine [1383947-33-8].

[0072]

Other Intermediates of formula (IIb),

[0000]

[0000]

wherein G2, R3, R4, R5, R6, m, V, X, and Y have the definitions as described above under formula (I), and X01ais halogen are novel and were developed specifically for the preparation of the compounds of the formula (I). Accordingly, they also form part of the subject-matter of the present invention.

[0073]

The preferred substituent definitions for formula I, Ia, Ib, Ic and Id mentioned above are also valid for the preferred compounds of formula II.

[0074]

Synthesis of the novel compounds of formula (IIb) wherein G2, R3, R4, R5, R6, m, V, X, and Y, have the definitions as previously described, and X01a, is halogen can be prepared by treatment of a compound of formula (XVI)

[0000]

[0000]

wherein Y, X, are as described in and X01ais halogen, with a compound of formula (XVII)

[0000]

[0000]

wherein X04is halogen, and R4, R5, R6, R3and m have the definitions described for formula (I), and R16ais hydrogen or C1-C4alkyl, in an inert solvent optionally in the presence of a suitable base in an inert solvent, to give compounds of formula (IIba).

[0000]

[0000]

wherein Y, X, X01a, V, R3, R4, R5and R6are as described in formula (I) and R16ais hydrogen or C1-C4alkyl.

[0075]

Such reactions are well precedented in the literature (for example see WO 2013191113, or Archiv. Pharm. Res., 37(5), 588-599; 2014) and are usually carried out in an insert solvent such as ethanol or DMF at temperatures between 60-160° C., optionally in the presence of a base.

[0076]

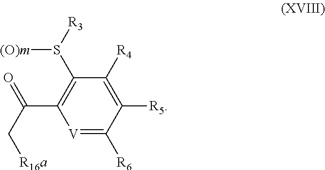
A further process to prepare compounds of formula (IIb), involves reacting a compound of formula (XIII) with a compound of (XVIII)

[0000]

[0077]

In the presence of a Lewis acid, such as Zinc(II)iodide or Indium(III) triflate, in an inert solvent such as chlorobenzene or 1,2,dichlorobenzene, with a catalytic copper(II) salt, such as Cu(II)acetate, under an oxygen or air atmosphere at temperatures between 100-180° C., preferably 110-140° C., to give compounds of formula (IIba) wherein R16ais hydrogen. Such reactions have previously been described in the literature (see Adv. Synth. Catal. 2013, 355, 1741-1747, and J. Org. Chem., 2013, 78, 12494-12504, when R16ais hydrogen). Compounds of formula (XVII) and (XVIII) can be prepared from compounds of formula (XIX) by, for example, the methods shown in scheme 6.

[0000]

[0078]

In scheme 6, an acyl halide of formula (XIXa) is converted to a Weinreb amide (XX) upon reaction with N,O-Dimethylhydroxylamine by methods known to those skilled in the art and described for example in C. Ferri, “Reaktionen der Organischen Synthese”, Georg Thieme Verlag, Stuttgart, 1978, page 223ff. the Weinreb amide of formula (XX) is then reacted with a Grignard reagent of formula R16aCH2MgHal (XXI) according to the method of Weinreb (Tetrahedron Letters 1981, 22, 3815-3818) to give compounds of formula XXVII and XXVIIa. Compounds of formula XXVII and XXVIIa can also be prepared by treatment of nitrile compounds of formula XXII, with a Grignard reagent of formula R16aCH2MgHal, followed by acidic hydrolysis (as described in C. Ferri, “Reaktionen der Organischen Synthese”, Georg Thieme Verlag, Stuttgart, 1978, page 223ff.).

[0079]

Compounds of formula XXVII and XXVIIl can be halogenated to compounds of formula XVII, with for example mixtures of bromine and hydrobromic acid in acetic acid (as described in Phosphorus, Sulfur and Silicon and the Related Elements, 2013, 188(12), 1835-1844) or with, for example, copper(II)bromide in an inert solvent, for example chloroform, ethyl acetate and the like, as described in J. Med. Chem., 2013, 56(1), 84-96. Alternatively compounds of formula XVII where R16ais hydrogen, can be prepared directly from compounds of formula XIXa by treatment with diazomethane or trimethyl silyl diazomethane and subsequent treatment with an halogen acid, for example, hydrobromic acid or hydrochloric acid in an inert solvent such as diethyl ether. Such procedures are well known in the literature, for example see Eu. J. Med. Chem., 1987, 22(5), 457-62 and WO 2009010455.

[0080]

Compounds of the formula XVI are generally known in the literature, for example (CAS index numbers in brackets); 4-bromopyridin-2-amine [84249-14-9], 5-bromopyridazin-3-amine [1187237-00-8] and 6-bromopyrimidin-4-amine [1159818-57-1]. Compounds of formula (XIX) used in this invention are generally known and have been described in WO12/086848, WO13/018928, WO12/086848, WO 2013/187422, WO 2013/191113, and WO 2013/191188.

[0081]

Compounds of formula (IIc)

[0000]

[0000]

can be prepared for example as shown in scheme 7 for the representative example compound of formula (IIca01):

[0000]

[0082]

Intermediates of formula (III),

[0000]

[0000]

wherein G1, G2, R3, R4, R5, R6, m, V, X, Z and Y have the definitions as described under formula (I) above are novel and were developed specifically for the preparation of the compounds of the formula (I). Accordingly, they also form part of the subject-matter of the present invention. The preferred substituent definitions for formula I, Ia, Ib, Ic and Id mentioned above are also valid for the preferred compounds of formula III.

[0083]

The reactants can be reacted in the presence of a base. Examples of suitable bases are alkali metal or alkaline earth metal hydroxides, alkali metal or alkaline earth metal hydrides, alkali metal or alkaline earth metal amides, alkali metal or alkaline earth metal alkoxides, alkali metal or alkaline earth metal acetates, alkali metal or alkaline earth metal carbonates, alkali metal or alkaline earth metal dialkylamides or alkali metal or alkaline earth metal alkylsilylamides, alkylamines, alkylenediamines, free or N-alkylated saturated or unsaturated cycloalkylamines, basic heterocycles, ammonium hydroxides and carbocyclic amines. Examples which may be mentioned are sodium hydroxide, sodium hydride, sodium amide, sodium methoxide, sodium acetate, sodium carbonate, potassium tert-butoxide, potassium hydroxide, potassium carbonate, potassium hydride, lithium diisopropylamide, potassium bis(trimethylsilyl)amide, calcium hydride, triethylamine, diisopropylethylamine, triethylenediamine, cyclohexylamine, N-cyclohexyl-N,N-dimethylamine, N,N-diethylaniline, pyridine, 4-(N,N-dimethylamino)pyridine, quinuclidine, N-methylmorpholine, benzyltrimethylammonium hydroxide and 1,8-diazabicyclo[5.4.0]undec-7-ene (DBU).

[0084]

The reactants can be reacted with each other as such, i.e. without adding a solvent or diluent In most cases, however, it is advantageous to add an inert solvent or diluent or a mixture of these. If the reaction is carried out in the presence of a base, bases which are employed in excess, such as triethylamine, pyridine, N-methylmorpholine or N,N-diethylaniline, may also act as solvents or diluents.

[0085]

The reaction is advantageously carried out in a temperature range from approximately −80° C. to approximately +140° C., preferably from approximately −30° C. to approximately +100° C., in many cases in the range between ambient temperature and approximately +80° C.

[0086]

A compound of formula (I) can be converted in a manner known per se into another compound of formula (I) by replacing one or more substituents of the starting compound of formula (I) in the customary manner by (an)other substituent(s) according to the invention.

[0087]

Depending on the choice of the reaction conditions and starting materials which are suitable in each case, it is possible, for example, in one reaction step only to replace one substituent by another substituent according to the invention, or a plurality of substituents can be replaced by other substituents according to the invention in the same reaction step.

[0088]

Salts of compounds of formula (I) can be prepared in a manner known per se. Thus, for example, acid addition salts of compounds of formula (I) are obtained by treatment with a suitable acid or a suitable ion exchanger reagent and salts with bases are obtained by treatment with a suitable base or with a suitable ion exchanger reagent.

[0089]

Salts of compounds of formula (I) can be converted in the customary manner into the free compounds (I), acid addition salts, for example, by treatment with a suitable basic compound or with a suitable ion exchanger reagent and salts with bases, for example, by treatment with a suitable acid or with a suitable ion exchanger reagent.

[0090]

Salts of compounds of formula (I) can be converted in a manner known per se into other salts of compounds of formula (I) I, acid addition salts, for example, into other acid addition salts, for example by treatment of a salt of inorganic acid such as hydrochloride with a suitable metal salt such as a sodium, barium or silver salt, of an acid, for example with silver acetate, in a suitable solvent in which an inorganic salt which forms, for example silver chloride, is insoluble and thus precipitates from the reaction mixture.

[0091]

Depending on the procedure or the reaction conditions, the compounds of formula (I), which have salt-forming properties can be obtained in free form or in the form of salts.

[0092]

The compounds of formula (I) and, where appropriate, the tautomers thereof, in each case in free form or in salt form, can be present in the form of one of the isomers which are possible or as a mixture of these, for example in the form of pure isomers, such as antipodes and/or diastereomers, or as isomer mixtures, such as enantiomer mixtures, for example racemates, diastereomer mixtures or racemate mixtures, depending on the number, absolute and relative configuration of asymmetric carbon atoms which occur in the molecule and/or depending on the configuration of non-aromatic double bonds which occur in the molecule; the invention relates to the pure isomers and also to all isomer mixtures which are possible and is to be understood in each case in this sense hereinabove and hereinbelow, even when stereochemical details are not mentioned specifically in each case.

[0093]

Diastereomer mixtures or racemate mixtures of compounds of formula (I), in free form or in salt form, which can be obtained depending on which starting materials and procedures have been chosen can be separated in a known manner into the pure diasteromers or racemates on the basis of the physicochemical differences of the components, for example by fractional crystallization, distillation and/or chromatography.

[0094]

Enantiomer mixtures, such as racemates, which can be obtained in a similar manner can be resolved into the optical antipodes by known methods, for example by recrystallization from an optically active solvent, by chromatography on chiral adsorbents, for example high-performance liquid chromatography (HPLC) on acetyl cellulose, with the aid of suitable microorganisms, by cleavage with specific, immobilized enzymes, via the formation of inclusion compounds, for example using chiral crown ethers, where only one enantiomer is complexed, or by conversion into diastereomeric salts, for example by reacting a basic end-product racemate with an optically active acid, such as a carboxylic acid, for example camphor, tartaric or malic acid, or sulphonic acid, for example camphorsulphonic acid, and separating the diastereomer mixture which can be obtained in this manner, for example by fractional crystallization based on their differing solubilities, to give the diastereomers, from which the desired enantiomer can be set free by the action of suitable agents, for example basic agents.

[0095]

Pure diastereomers or enantiomers can be obtained according to the invention not only by separating suitable isomer mixtures, but also by generally known methods of diastereoselective or enantioselective synthesis, for example by carrying out the process according to the invention with starting materials of a suitable stereochemistry.

[0096]

N-oxides can be prepared by reacting a compound of the formula (I) with a suitable oxidizing agent, for example the H2O2/urea adduct in the presence of an acid anhydride, e.g. trifluoroacetic anhydride. Such oxidations are known from the literature, for example from J. Med. Chem., 32 (12), 2561-73, 1989 or WO 00/15615.

[0097]

It is advantageous to isolate or synthesize in each case the biologically more effective isomer, for example enantiomer or diastereomer, or isomer mixture, for example enantiomer mixture or diastereomer mixture, if the individual components have a different biological activity.

[0098]

The compounds of formula (I) and, where appropriate, the tautomers thereof, in each case in free form or in salt form, can. If appropriate, also be obtained in the form of hydrates and/or include other solvents, for example those which may have been used for the crystallization of compounds which are present in solid form.

[0099]

The compounds according to the following Tables 1 to 11 below can be prepared according to the methods described above. The examples which follow are intended to illustrate the invention and show preferred compounds of formula (I).

[0100]

Table X: This table discloses the 27 substituent designations X.001 to X.027 for the formulae (Iaa), (Iab), (Iac), (Iad), (Iae) and (Iaf) which are disclosed after Table X. In table X, Et represents CH2CH3, CH2Cyp represents

[0000]

[0000]

where the arrow represents the point of attachment to the sulphur.

[0000]

X.001HHEtHCF3HH
X.002CNHEtHCF3HH
X.003HHEtHHHH
X.004CNHEtHHHH
X.005HHEtHOCHF2HH
X.006CNHEtHOCHF2HH
X.007HCNEtHCF3HH
X.008HCNEtHHHH
X.009HHCH2CypHCF3HH
X.010CNHCH2CypHCF3HH
X.011HHCH2CypHHHH
X.012CNHCH2CypHHHH
X.013HHCH2CypHOCHF2HH
X.014CNHCH2CypHOCHF2HH
X.015HCF3EtHOCHF2HH
X.016CF3HEtHOCHF2HH
X.017HCF3EtHCF3HH
X.018CF3HEtHCF3HH
X.019HCF3EtHHHH
X.020CF3HEtHHHH
X.021CNHEtH4-(trifluoromethyl)-phenylHH
X.022CNHEtH5-chloro 2-pyrimidylHH
X.023CNHEtH4-chloro-phenylHH
X.024CNHEtH2-pyrimidylHH
X.025CNHEtHCF3H4-(trifluoromethyl)-2-pyridyl
X.026CNHEtHCF3H5-(trifluoromethyl)-3-pyridyl
X.027CNHEtHCF3H2-(trifluoromethyl)-4-pyridyl

[0101]

Table 1: This table discloses the 27 compounds 1.001 to 1.027 of the formula (Iaa):

[0000]

[0000]

wherein n is 1, m is 2, and R1, R2, R4, R5, R6and R13are as defined in lines X.001-X.027 in table X.

[0102]

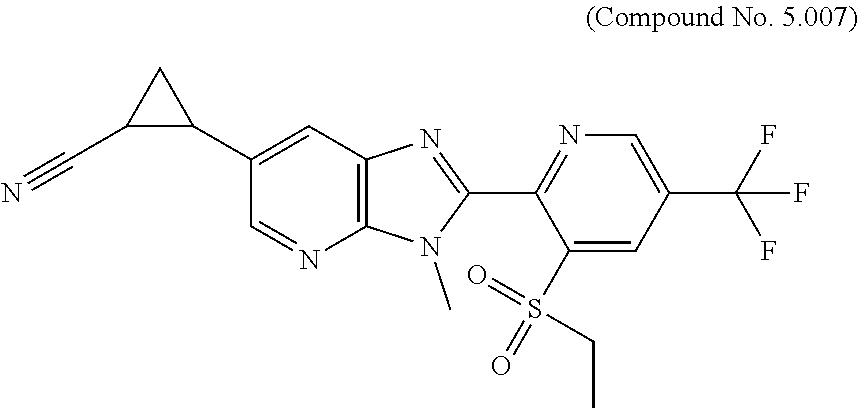
For example, compound 1.004 has the following structure:

[0000]

[0103]

Table 2: This table discloses the 27 compounds 2.001 to 2.027 of the formula (Iab), wherein n is 1, m is 2, and R1, R2, R3, R4, R5, R6, and R13are as defined lines X.001-X.027 of table X:

[0000]

[0104]

Table 3: This table discloses the 27 compounds 3.001 to 3.027 of the formula (Iac), wherein n is 1, m is 2, and R1, R2, R3, R4, R5, R6and R13are as defined in lines X.001-X.027 of table X.

[0000]

[0105]

Table 4: This table discloses the 27 compounds 4.001 to 4.027 of the formula (Iad), wherein n is 1, m is 2, and R1, R2, R3, R4, R5, R6and R13are as defined in lines X.001-X.027 of table X.

[0000]

[0106]

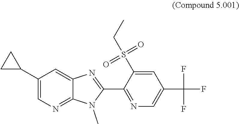
Table 5: This table discloses the 27 compounds 5.001 to 5.027 of the formula (Iae), wherein n is 1, m is 2, and R1, R2, R3, R4, R5, R6and R13are as defined in lines X.001-X.027 of table X.

[0000]

[0107]

Table 6: This table discloses the 27 compounds 6.001 to 6.027 of the formula (Iaf), wherein n is 1, m is 2, and R1, R2, R3, R4, R5, R6and R13are as defined in lines X.001-X.027 of table X.

[0000]

[0108]

Table 7: This table discloses the 27 compounds 7.001 to 7.027 of the formula (Iag), wherein n is 2, m is 2, and R1, R2, R3, R4, R5, R6and R13are as defined in lines X.001-X.027 of table X.

[0000]

[0109]

Table Y: This table discloses the 24 substituent designations Y.001 to Y.024 for the formulae (Iah), (Iai), (Iaj), and (Iak) which are disclosed after Table Y:

[0110]

In table Y, Et represents CH2CH3, CH2Cyp represents

[0000]

[0000]

where the arrow represents the point of attachment to the sulphur.

[0000]

Y.001HHEtHCF3H
Y.002CNHEtHCF3H
Y.003HHEtHHH
Y.004CNHEtHHH
Y.005HHEtHOCHF2H
Y.006CNHEtHOCHF2H
Y.007HCNEtHCF3H
Y.008HCNEtHHH
Y.009HHCH2CypHCF3H
Y.010CNHCH2CypHCF3H
Y.011HHCH2CypHHH
Y.012CNHCH2CypHHH
Y.013HHCH2CypHOCHF2H
Y.014CNHCH2CypHOCHF2H
Y.015HCF3EtHOCHF2H
Y.016CF3HEtHOCHF2H
Y.017HCF3EtHCF3H
Y.018CF3HEtHCF3H
Y.019HCF3EtHHH
Y.020CF3HEtHHH
Y.021CNHEtH4-(trifluoromethyl)-phenylH
Y.022CNHEtH5-chloro 2-pyrimidylH
Y.023CNHEtH4-chloro-phenylH
Y.024CNHEtH2-pyrimidylH

[0111]

Table 8: This table discloses the 24 compounds 8.001 to 8.024 of the formula (Iah), wherein n is 1, m is 2, and R1, R2, R3, R4, R5, and R6are as defined in lines Y.001-1.024 of table Y.

[0000]

[0112]

Table 9: This table discloses the 24 compounds 9.001 to 9.024 of the formula (Iai), wherein n is 1, m is 2, and R1, R2, R3, R4, R5, and R6are as defined in lines Y.001-Y.024 of table Y.

[0000]

[0113]

Table 10: This table discloses the 24 compounds 10.001 to 10.024 of the formula (Iaj), wherein n is 1, m is 2, and R1, R2, R3, R4, R5, and R6are as defined in lines Y.001-Y.024 of table Y.

[0000]

[0114]

Table 11: This table discloses the 24 compounds 1.001 to 11.024 of the formula (Iak), wherein n is 1, m is 2, and R1, R2, R3, R4, R5and R6are as defined in lines Y.001-Y.024 of table Y.

[0000]

[0000]

Physical Chemical Data of Prepared Compounds:
Ret. Time(M + H)
ExampleCompound(min)MeasuredMethodMpt. ° C.
P11.01411G 99-100
P20.94436G
P30.98450G
P40.89436G
P50.91436 (M + H − CH3)G224-225
P60.68411179-180° C.

[0000]

Physical chemical data of prepared Intermediate compounds of formula (II) and formula (III).
Ret. Time(M + H)
Entry No.Compound(min)MeasuredMethodMpt. ° C.
I-10.95449/451G188-190° C.
I-20.94435/437G
I-30.74366/368G189-190° C.
I-40.99402/404G
I-50.99434/436G187-188° C.
I-60.84395G229-230° C.
I-70.81410G169-170° C.

[0115]

The compounds of formula I according to the invention are preventively and/or curatively valuable active ingredients in the field of pest control, even at low rates of application, which have a very favorable biocidal spectrum and are well tolerated by warm-blooded species, fish and plants. The active ingredients according to the invention act against all or individual developmental stages of normally sensitive, but also resistant, animal pests, such as insects or representatives of the order Acarina. The insecticidal or acaricidal activity of the active Ingredients according to the invention can manifest itself directly, i. e. in destruction of the pests, which takes place either immediately or only after some time has elapsed, for example during ecdysis, or indirectly, for example in a reduced oviposition and/or hatching rate.

[0116]

Examples of the abovementioned animal pests are:

[0000]

from the order Acarina, for example,
Acalitus spp, Aculus spp, Acaricalus spp, Aceria spp, Acarus spp., Amblyomma spp., Argas spp., Boophilus spp., Brevipalpus spp., Bryobia spp, Calipitrimerus spp., Chorioptes spp., Dermanyssus gallinae, Dermatophagoides spp, Eotetranychus spp, Eriophyes spp., Hemitarsonemus spp, Hyalomma spp., Ixodes spp., Olygonychus spp, Ornithodoros spp., Polyphagotarsone latus, Panonychus spp., Phyllocoptruta oleivora, Phytonemus app, Polyphagotarsonemus spp, Psoroptes spp., Rhipicephalus spp., Rhizoglyphus spp., Sarcoptes spp., Steneotarsonemus spp, Tarsonemus spp. and Tetranychus spp.;
from the order Anoplura, for example,

Haematopinus spp., Linognathus spp., Pediculus spp., Pemphigus spp. and Phylloxera spp.;

[0117]

from the order Coleoptera, for example,
Agriotes spp., Amphimallon majale, Anomala orientalis, Anthonomus spp., Aphodius spp. Astylus atromaculatus, Ataenius spp, Atomaria linearis, Chaetocnema tibialis, Cerotoma spp, Conoderus spp, Cosmopolites spp., Cotinis nitida, Curculio spp., Cyclocephala spp, Dermestes spp., Diabrotica spp., Diloboderus abderus, Epilachna spp., Eremnus spp., Heteronychus arator, Hypothenemus hampei, Lagria vilosa, Leptinotarsa decemLineata, Lissorhoptrus spp., Liogenys spp, Maecolaspis spp. Maladera castanea, Megascelis spp, Melighetes aeneus, Melolontha spp., Myochrous armatus, Orycaephilus spp., Otiorhynchus spp., Phyllophaga spp, Phlyctinus spp., Popillia spp., Psylliodes spp., Rhyssomatus aubtilis, Rhizopertha spp., Scarabeidae, Sitophilus spp., Sitotroga spp., Somaticus spp, Sphenophorus spp, Sternechus subsignatus, Tenebrio spp., Tribolium spp. and Trogoderma spp.;
from the order Diptera, for example,
Aedes spp., Anopheles spp. Antherigona soccata, Bactrocea oleae, Bibio hortulanus, Bradysia spp. Calliphora erythrocephala, Ceratitis spp., Chrysomyia spp., Culex spp., Cuterebra spp., Dacus spp., Delia spp, Drosophila melanogaster, Fannia spp., Gastrophilus spp., Geomyza tripunctata, Glossina spp., Hypoderma spp., Hyppobosca spp., Liriomyza spp., Lucilia spp., Melanagromyza spp., Musca spp., Oestrus spp., Orseolia spp., Oscinella frit, Pegomyia hyoscyami, Phorbia spp., Rhagoletis spp. Rivelia quadrifasciata, Scatella spp, Sciara spp., Stomoxys spp., Tabanus spp., Tannia spp. and Tipula spp.;
from the order Hemiptera, for example,
Acanthocoris scabrator, Acrosternum spp, Adelphocoris lineolatus, Amblypelta nitida, Bathycoelia thalassina, Blissus spp, Cimex spp., Clavigralla tomentosicollis, Creontiades spp, Distantiella theobroma, Dichelops furcatus, Dysdercus spp., Edessa spp, Euchistus spp., Eurydema pulchrum, Eurygaster spp., Halyomorpha halys, Horcias nobilelus, Leptocorisa spp., Lygus spp, Margarodes spp, Murgantia histrionic, Neomegalotomus spp, Nesidiocoris tenuis, Nezara spp., Nysius simulans, Oebalus insularis, Piesma spp., Piezodorus spp, Rhodnius spp., Sahlbergella singularis, Scaptocoris castanea, Scotinophara spp., Thyanta spp, Triatoma spp., Vatiga illudens;
Acyrthosium pisum, Adalges spp, Agalliana ensigera, Agonoscena targionii, Aleurodicus spp, Aleurocanthus spp, Aleurolobus barodensis, Aleurothrixus floccosus, Aleyrodes brassicae, Amarasca biguttula, Amritodus atkinsoni, Aonidiella spp., Aphididae, Aphis spp., Aspidiotus spp., Aulacorthum solani, Bactericera cockerelli, Bemisia spp, Brachycaudus spp, Brevicoryne brassicae, Cacopsylla spp, Cavariella aegopodii Spp., Ceroplaster spp., Chrysomphalus aonidium, Chrysomphalus dictyospermi, Cicadella spp, Cofana spectra, Cryptomyzuas spp, Cicadulina spp, Coccus hesperidum, Dalbulus maidis, Dialeurodes spp, Diaphorina citri, Diuraphis noxia, Dysaphis app, Empoasca spp., Eriosoma larigerum, Erythroneura spp., Gascardia spp., Glycaspis brimblecombei, Hyadaphis pseudobrassicae, Hyalopterus spp, Hyperomyzus pallidus, Idioscopus clypealis, Jacobiasca lybica, Laodelphax spp., Lecanium corni, Lepidosaphes spp., Lopaphis erysimi, Lyogenys maidis, Macrosiphum spp., Mahanarva spp. Metcalfa pruinosa, Metopolophium dirhodum, Myndus crudus, Myzus spp., Neotoxoptera sp, Nephotettix spp., Nilaparvata spp., Nippolachnus piri Mats, Odonaspis ruthae, Oregma lanigera Zehnter, Parabemisia myricae, Paratrioza cockerelli, Parlatoria spp., Pemphigus spp., Peregrinus maidis, Perkinsiella spp, Phorodon humuli, Phylloxera spp, Planococcus spp., Pseudaulacaspis spp., Pseudococcus spp., Pseudatomoscelis seriatus, Psylla spp., Pulvinaria aethiopica, Quadraspidiotus spp., Quesada gigas, Recilia dorsalis, Rhopalosiphum spp., Saissetia spp., Scaphoideus spp., Schizaphis spp., Sitobion spp., Sogatella furcifera, Spissistilus festinus, Tarophagus Proserpina, Toxoptera spp, Trialeurodes spp, Tridiscus sporoboli, Trionymus spp, Trioza erytreae, Unaspis citri, Zygina flammigera, Zyginidia scutellaris;
from the order Hymenoptera, for example,
Acromyrmex, Arge spp, Atta spp., Cephus spp., Diprion spp., Diprionidae, Gilpinia polytoma, Hoplocampa spp., Lasius spp., Monomorium pharaonis, Neodiprion spp., Pogonomyrmex spp, Slenopsis invicta, Solenopsis spp. and Vespa spp.;
from the order Isoptera, for example,
Coptotermes spp, Corniternes cumulans, Incisitermes spp, Macrotermes spp, Mastotermes spp, Microtermes spp, Reticulitermes spp.; Solenopsis geminate
from the order Lepidoptera, for example,
Acleris spp., Adoxophyes spp., Aegeria spp., Agrotis spp., Alabama argillaceae, Amylois spp., Anticarsia gemmatalis, Archips spp., Argyresthia spp, Argyrotaenia spp., Autographa spp., Bucculatrix thurberiella, Busseola fusca, Cadra cautella, Carposina nipponensis, Chilo spp., Choristoneura spp., Chrysoteuchia topiaria, Clysia ambiguella, Cnaphalocrocis spp., Cnephasia spp., Cochylis spp., Coleophora spp., Colias lesbia, Cosmophila flava, Crambus spp, Crocidolomia binotalis, Cryptophlebia leucotreta, Cydalima perspectalis, Cydia spp., Diaphania perspectalis, Diatraea spp., Diparopsis castanea, Earias spp., Eldana saccharina, Ephestia spp., Epinotia spp, Estigmene acrea, Etiella zinckinella, Eucosma spp., Eupoecilia ambiguella, Euproctis spp., Euxoa spp., Feltia jaculiferia, Grapholita spp., Hedya nubiferana, Heliothis spp., Hellula undalis, Herpetogramma spp, Hyphantria cunea, Keiferia lycopersicella, Lasmopalpus lignosellus, Leucoptera scitella, Lithocollethis spp., Lobesia botrana, Loxostege bifidalis, Lymantria spp., Lyonetia spp., Malacosoma spp., Mamestra brassicae, Manduca sexta, Mythimna spp, Noctua spp, Operophtera spp., Omiodes indica, Ostrinia nubilalis, Pammene spp., Pandemis spp., Panolis flammea, Papaipema nebris, Pectinophora gossypiela, Perileucoptera coffeella, Pseudaletia unipuncta, Phthorimaea operculella, Pieris rapae, Pieris spp., Plutella xylostella, Prays spp., Pseudoplusia spp, Rachiplusia nu, Richia albicosta, Scirpophaga spp., Sesamia spp., Sparganothis spp., Spodoptera spp., Sylepta derogate, Synanthedon spp., Thaumetopoea spp., Tortrix spp., Trichoplusla ni, Tuta absoluta, and Yponomeuta spp.;
from the order Mallophaga, for example,

Damalinea spp. and Trichodectes spp.;

[0118]

from the order Orthoptera, for example,
Blatta spp., Blattella spp., Gryllotalpa spp., Leucophaea maderae, Locusta spp., Neocurtilla hexadactyla, Periplaneta spp., Scapteriscus spp, and Schistocerca spp.;
from the order Psocoptera, for example,

Liposcelis spp.;

[0119]

from the order Siphonaptera, for example,
Ceratophyllus spp., Ctenocephalides spp. and Xenopsylla cheopis;
from the order Thysanoptera, for example,
Calliothrips phaseoli, Frankliniella spp., Heliothrips app, Hercinothrips spp., Parthenothrips spp, Scirtothrips aurantii, Sericothrips variabilis, Taeniothrips spp., Thrips spp;
from the order Thysanura, for example, Lepisma saccharina.

[0120]

The active ingredients according to the invention can be used for controlling, i. e. containing or destroying, pests of the abovementioned type which occur in particular on plants, especially on useful plants and ornamentals in agriculture, in horticulture and in forests, or on organs, such as fruits, flowers, foliage, stalks, tubers or roots, of such plants, and in some cases even plant organs which are formed at a later point in time remain protected against these pests.

[0121]

Suitable target crops are, in particular, cereals, such as wheat, barley, rye, oats, rice, maize or sorghum; beet, such as sugar or fodder beet; fruit, for example pomaceous fruit, stone fruit or soft fruit, such as apples, pears, plums, peaches, almonds, cherries or berries, for example strawberries, raspberries or blackberries; leguminous crops, such as beans, lentils, peas or soya; oil crops, such as oilseed rape, mustard, poppies, olives, sunflowers, coconut, castor, cocoa or ground nuts; cucurbits, such as pumpkins, cucumbers or melons; fibre plants, such as cotton, flax, hemp or jute; citrus fruit, such as oranges, lemons, grapefruit or tangerines; vegetables, such as spinach, lettuce, asparagus, cabbages, carrots, onions, tomatoes, potatoes or bell peppers; Lauraceae, such as avocado, Cinnamonium or camphor; and also tobacco, nuts, coffee, eggplants, sugarcane, tea, pepper, grapevines, hops, the plantain family, latex plants and ornamentals.

[0122]

The active ingredients according to the invention are especially suitable for controlling Aphis craccivora, Diabrotica balteata, Heliothis virescens, Myzus persicae, Plutella xylostella and Spodoptera littoralis in cotton, vegetable, maize, rice and soya crops. The active ingredients according to the invention are further especially suitable for controlling Mamestra (preferably in vegetables). Cydia pomonella (preferably in apples), Empoasca (preferably in vegetables, vineyards), Leptinotarsa (preferably In potatos) and Chilo supressalis (preferably in rice).

[0123]

In a further aspect, the invention may also relate to a method of controlling damage to plant and parts thereof by plant parasitic nematodes (Endoparasitic-, Semiendoparasitic- and Ectoparasitic nematodes), especially plant parasitic nematodes such as root knot nematodes, Meloidogyne hapla, Meloidogyne incognita, Meloidogyne javanica, Meloidogyne arenaria and other Meloidogyne species; cyst-forming nematodes, Globodera rostochiensis and other Globodera species; Heterodera avenae, Heterodera glycines, Heterodera schachtii, Heterodera trifolii, and other Heterodera species; Seed gall nematodes. Anguina species; Stem and foliar nematodes, Aphelenchoides species; Sting nematodes, Belonolaimus longicaudatus and other Belonolaimus species; Pine nematodes, Bursaphelenchus xylophilus and other Bursaphelenchus species; Ring nematodes, Criconema species, Criconemella species, Criconemoldes species, Mesocriconema species; Stem and bulb nematodes, Ditylenchus destructor, Ditylenchus dipsaci and other Ditylenchus species; Awl nematodes, Dolichodorus species; Spiral nematodes, Heliocotylenchus multicinctus and other Helicotylenchus species; Sheath and sheathoid nematodes, Hemicydiophora species and Hemicriconemoides species; Hirshmanniella species; Lance nematodes, Hoploaimus species; false rootknot nematodes, Nacobbus species; Needle nematodes, Longidorus elongatus and other Longidorus species; Pin nematodes, Pratylenchus species; Lesion nematodes, Pratylenchus neglectus, Pratylenchus penetrans, Pratylenchus curvitatus, Pratylenchus goodeyi and other Pratylenchus species; Burrowing nematodes, Radopholus similis and other Radopholus species; Reniform nematodes, Rotylenchus robustus, Rotylenchus reniformis and other Rotylenchus species; Scutellonema species; Stubby root nematodes, Trichodorus primitivus and other Trichodorus species, Paratrichodorus species; Stunt nematodes, Tylenchorhynchus claytoni, Tylenchorhynchus dubius and other Tylenchorhtynchus species; Citrus nematodes, Tylenchulus species; Dagger nematodes, Xiphinema species; and other plant parasitic nematode species, such as Subanguina spp., Hypsoperine spp., Macroposthonia spp., Melinius spp., Punctodera spp., and Quinisulcius spp.,

[0124]

The compounds of the invention may also have activity against the molluscs. Examples of which include, for example, Ampullarlidae; Arion (A. ater, A. circumscriptus, A. hortensis, A. rufus); Bradybaenidae (Bradybaena fruticum); Cepaea (C. hortensis, C. Nemoralis); ochlodina; Deroceras (D. agrestis, D. empiricorum, D. laeve, D. reticulatum); Discus (D. rotundatus); Euomphalia; Galba (G. trunculata); Helicelia (H. itala, H. obvia); Helicidae Helicigona arbustorum); Helicodiscus; Helix (H. aperta); Limax (L. cinereoniger, L. flavus, L. marginatus, L. maximus, L. tenellus); Lymnaea; Milax (M. gagates, M. marginatus, M. sowerbyi); Opeas; Pomacea (P. canaticulata); Vallonia and Zanitoides.

[0125]

The term “crops” is to be understood as including also crop plants which have been so transformed by the use of recombinant DNA techniques that they are capable of synthesising one or more selectively acting toxins, such as are known, for example, from toxin-producing bacteria, especially those of the genus Bacillus.

[0126]

Toxins that can be expressed by such transgenic plants include, for example, insecticidal proteins, for example insecticidal proteins from Bacillus cereus or Bacillus poplliae; or insecticidal proteins from Bacillus thuringiensis, such as δ-endotoxins, e.g. Cry1Ab, Cry1Ac, Cry1F, Cry1Fa2, Cry2Ab. Cry3A, Cry3Bb1 or Cry9C, or vegetative insecticidal proteins (Vip), e.g. Vip1, Vip2, Vip3 or Vip3A; or insecticidal proteins of bacteria colonising nematodes, for example Photorhabdus spp. or Xenorhabdus spp., such as Photorhabdus luminescens, Xenorhabdus nematophilus; toxins produced by animals, such as scorpion toxins, arachnid toxins, wasp toxins and other insect-specific neurotoxins; toxins produced by fungi, such as Streptomycetes toxins, plant lectins. such as pea lectins, barley lectins or snowdrop lectins; agglutinins; proteinase inhibitors, such as trypsin inhibitors, serine protease inhibitors, patatin, cystatin, papain inhibitors; ribosome-inactivating proteins (RIP), such as ricin, maize-RIP, abrin, luffin, saporin or bryodin; steroid metabolism enzymes, such as 3-hydroxysteroidoxidase, ecdysteroid-UDP-glycosyl-transferase, cholesterol oxidases, ecdysone inhibitors, HMG-COA-reductase, ion channel blockers, such as blockers of sodium or calcium channels, juvenile hormone esterase, diuretic hormone receptors, stilbene synthase, bibenzyl synthase, chitinases and glucanases.

[0127]

In the context of the present invention there are to be understood by δ-endotoxins, for example Cry1Ab, Cry1Ac. Cry1F, Cry1 Fa2, Cry2Ab, Cry3A, Cry3Bb1 or Cry9C, or vegetative insecticidal proteins (Vip), for example Vip1, Vip2, Vip3 or Vip3A, expressly also hybrid toxins, truncated toxins and modified toxins.

[0128]

Hybrid toxins are produced recombinantly by a new combination of different domains of those proteins (see, for example, WO 02/15701). Truncated toxins, for example a truncated Cry1Ab, are known. In the case of modified toxins, one or more amino acids of the naturally occurring toxin are replaced. In such amino acid replacements, preferably non-naturally present protease recognition sequences are inserted into the toxin, such as, for example, in the case of Cry3A055, a cathepsin-G-recognition sequence is inserted into a Cry3A toxin (see WO 03/018810).

[0129]

Examples of such toxins or transgenic plants capable of synthesising such toxins are disclosed, for example, in EP-A-0 374 753. WO 93/07278, WO 95/34656, EP-A-0 427 529, EP-A-451 878 and WO 03/052073.

[0130]

The processes for the preparation of such transgenic plants are generally known to the person skilled in the art and are described, for example, in the publications mentioned above. CryI-type deoxyribonucleic acids and their preparation are known, for example, from WO 95/34656, EP-A-0 367 474, EP-A-0 401 979 and WO 90/13651.

[0131]

The toxin contained in the transgenic plants imparts to the plants tolerance to harmful insects. Such insects can occur in any taxonomic group of insects, but are especially commonly found in the beetles (Coleoptera), two-winged insects (Diptera) and moths (Lepidoptera).

[0132]

Transgenic plants containing one or more genes that code for an insecticidal resistance and express one or more toxins are known and some of them are commercially available. Examples of such plants are: YieldGard® (maize variety that expresses a Cry1Ab toxin); YieldGard Rootworm® (maize variety that expresses a Cry3Bb1 toxin); YieldGard Plus® (maize variety that expresses a Cry1 Ab and a Cry3Bb1 toxin); Starlink® (maize variety that expresses a Cry9C toxin); Herculex I® (maize variety that expresses a Cry1 Fa2 toxin and the enzyme phosphinothricine N-acetyltransferase (PAT) to achieve tolerance to the herbicide glufosinate ammonium); NuCOTN 33B® (cotton variety that expresses a Cry1Ac toxin); Bollgard I® (cotton variety that expresses a Cry1Ac toxin); Bollgard II® (cotton variety that expresses a Cry1Ac and a Cry2Ab toxin); VipCot® (cotton variety that expresses a Vi3A and a Cry1Ab toxin); NewLeaf® (potato variety that expresses a Cry3A toxin); NatureGard®, Agrisure® GT Advantage (GA21 glyphosate-tolerant trait). Agrisure® CB Advantage (Bt11 corn borer (CB) trait) and Protecta®.

[0133]

Further examples of such transgenic crops are:

[0134]

1. Bt11 Maize from Syngenta Seeds SAS. Chemin de l'Hobit 27, F-31 790 St. Sauveur, France. registration number C/FR/96/05/10. Genetically modified Zea mays which has been rendered resistant to attack by the European corn borer (Ostrinia nubilalis and Sesamia nonagrioides) by transgenic expression of a truncated Cry1Ab toxin. Bt176 maize also transgenically expresses the enzyme PAT to achieve tolerance to the herbicide glufosinate ammonium.

[0135]

2. Bt176 Maize from Syngenta Seeds SAS, Chemin de l'Hobit 27, F-31 790 St. Sauveur, France, registration number C/FR/96/05/10. Genetically modified Zea mays which has been rendered resistant to attack by the European corn borer (Ostrinia nubilalis and Sesamia nonagrioides) by transgenic expression of a Cry1Ab toxin. Bt176 maize also transgenically expresses the enzyme PAT to achieve tolerance to the herbicide glufosinate ammonium.

[0136]

3. MIR604 Maize from Syngenta Seeds SAS, Chemin de l'Hobit 27, F-31 790 St. Sauveur, France, registration number C/FR/96/05/10. Maize which has been rendered insect-resistant by transgenic expression of a modified Cry3A toxin. This toxin is Cry3A055 modified by insertion of a cathepsin-G-protease recognition sequence. The preparation of such transgenic maize plants is described in WO 03/018810.

[0137]

4. MON 8863 Maize from Monsanto Europe S.A. 270-272 Avenue de Tervuren, B-1150 Brussels, Belgium, registration number C/DE/02/9. MON 863 expresses a Cry3Bb1 toxin and has resistance to certain Coleoptera insects.

[0138]

5. IPC 531 Cotton from Monsanto Europe S.A. 270-272 Avenue de Tervuren, B-1150 Brussels, Belgium, registration number C/ES/96/02.

[0139]

6. 1507 Maize from Pioneer Overseas Corporation, Avenue Tedesco, 7 B-1160 Brussels, Belgium, registration number C/NL00/10. Genetically modified maize for the expression of the protein Cry1F for achieving resistance to certain Lepidoptera insects and of the PAT protein for achieving tolerance to the herbicide glufosinate ammonium.

[0140]

7. NK603×MON 810 Maize from Monsanto Europe S.A. 270-272 Avenue de Tervuren, B-1150 Brussels, Belgium, registration number C/GB/02/M3/03. Consists of conventionally bred hybrid maize varieties by crossing the genetically modified varieties NK603 and MON 810. NK603×MON 810 Maize transgenically expresses the protein CP4 EPSPS, obtained from Agrobacterium sp. strain CP4, which imparts tolerance to the herbicide Roundup® (contains glyphosate), and also a Cry1Ab toxin obtained from Bacillus thuringiensis subsp. kurstaki which brings about tolerance to certain Lepidoptera, include the European com borer.

[0141]

Transgenic crops of insect-resistant plants are also described in BATS (Zentrum für Biosicherheit und Nachhaltigkeit, Zentrum BATS, Clarastrasse 13, 4058 Basel, Switzerland) Report 2003, (http://bats.ch). The term “crops” is to be understood as including also crop plants which have been so transformed by the use of recombinant DNA techniques that they are capable of synthesising antipathogenic substances having a selective action, such as, for example, the so-called “pathogenesis-related proteins” (PRPs, see e.g. EP-A-0 392 225). Examples of such antipathogenic substances and transgenic plants capable of synthesising such antipathogenic substances are known, for example, from EP-A-0 392 225, WO 95/33818 and EP-A-0 353 191. The methods of producing such transgenic plants are generally known to the person skilled in the art and are described, for example, in the publications mentioned above.

[0142]

Crops may also be modified for enhanced resistance to fungal (for example Fusarium, Anthracnose, or Phytophthora), bacterial (for example Pseudomonas) or viral (for example potato leafroll virus, tomato spotted wilt virus, cucumber mosaic virus) pathogens.

[0143]

Crops also include those that have enhanced resistance to nematodes, such as the soybean cyst nematode.

[0144]

Crops that are tolerance to abiotic stress include those that have enhanced tolerance to drought, high salt, high temperature, chill, frost, or light radiation, for example through expression of NF—YB or other proteins known in the art.

[0145]

Antipathogenic substances which can be expressed by such transgenic plants include, for example, ion channel blockers, such as blockers for sodium and calcium channels, for example the viral KP1, KP4 or KP6 toxins; stilbene synthases; bibenzyl synthases; chitinases; glucanases: the so-called “pathogenesis-related proteins” (PRPs; see e.g. EP-A-0 392 225); antipathogenic substances produced by microorganisms, for example peptide antibiotics or heterocyclic antibiotics (see e.g. WO 95/33818) or protein or polypeptide factors involved in plant pathogen defence (so-called “plant disease resistance genes”, as described in WO 03/000906).

[0146]

Further areas of use of the compositions according to the invention are the protection of stored goods and store ambients and the protection of raw materials, such as wood, textiles, floor coverings or buildings, and also in the hygiene sector, especially the protection of humans, domestic animals and productive livestock against pests of the mentioned type.

[0147]

The present invention also provides a method for controlling pests (such as mosquitoes and other disease vectors; see also http://www.who.int/malaria/vector_control/irs/en/). In one embodiment, the method for controlling pests comprises applying the compositions of the invention to the target pests, to their locus or to a surface or substrate by brushing, rolling, spraying, spreading or dipping. By way of example, an IRS (indoor residual spraying) application of a surface such as a wall, ceiling or floor surface is contemplated by the method of the invention. In another embodiment, it is contemplated to apply such compositions to a substrate such as non-woven or a fabric material in the form of (or which can be used in the manufacture of) netting, clothing, bedding, curtains and tents. A further object of the invention is therefore a substrate selected from nonwoven and fabric material comprising a composition which contains am effective amount of a compound of formula I.

[0148]

In one embodiment, the method for controlling such pests comprises applying a pesticidally effective amount of the compositions of the invention to the target pests, to their locus, or to a surface or substrate so as to provide effective residual pesticidal activity on the surface or substrate. Such application may be made by brushing, rolling, spraying, spreading or dipping the pesticidal composition of the invention. By way of example, an IRS application of a surface such as a wall, ceiling or floor surface is contemplated by the method of the invention so as to provide effective residual pesticidal activity on the surface. In another embodiment, it is contemplated to apply such compositions for residual control of pests on a substrate such as a fabric material in the form of (or which can be used in the manufacture of) netting, clothing, bedding, curtains and tents.

[0149]

Substrates including non-woven, fabrics or netting to be treated may be made of natural fibres such as cotton, raffia, jute, flax, sisal, hessian, or wool, or synthetic fibres such as polyamide, polyester, polypropylene, polyacrylonitrile or the like. The polyesters are particularly suitable. The methods of textile treatment are known, e.g. WO 2008/151984, WO 2003/034823, U.S. Pat. No. 5,631,072, WO 2005/064072, WO 2006/128870, EP 1724392, WO 2005/113886 or WO 2007/090739.

[0150]

Further areas of use of the compositions according to the invention are the field of tree injection/trunk treatment for all ornamental trees as well all sort of fruit and nut trees.

[0151]

In the field of tree injection/trunk treatment, the compounds according to the present invention are especially suitable against wood-boring insects from the order Lepidoptera as mentioned above and from the order Coleoptera, especially against woodborers listed in the following tables A and B:

[0000]

Examples of exotic woodborers of economic importance.
FamilySpeciesHost or Crop infested
BuprestidaeAgrilus planipennisAsh
CerambycidaeAnoplura glabripennisHardwoods
ScolytidaeXylosandrus crassiusculusHardwoods
X. mutilatusHardwoods
Tomicus piniperdaConifers

[0000]

Examples of native woodborers of economic importance.
FamilySpeciesHost or Crop Infested
BuprestidaeAgrilus anxiusBirch
Agrilus politusWillow, Maple
Agrilus sayiBayberry, Sweetfern
Agrilus vittaticolllisApple, Pear, Cranberry,
Serviceberry, Hawthorn
Chrysobothris femorataApple, Apricot, Beech, Boxelder,
Cherry, Chestnut, Currant, Elm,
Hawthorn, Hackberry, Hickory,
Horsechestnut, Linden, Maple,
Mountain-ash, Oak, Pecan, Pear,
Peach, Persimmon, Plum, Poplar,
Quince, Redbud, Serviceberry,
Sycamore, Walnut, Willow
Texania campestrisBasswood, Beech, Maple, Oak,
Sycamore, Willow, Yellow-poplar
CerambycidaeGoes pulverulentusBeech, Elm, Nuttall, Willow, Black
oak, Cherrybark oak, Water oak,
Sycamore
Goes tigrinusOak
Neoclytus acuminatusAsh, Hickory, Oak, Walnut, Birch,
Beech, Maple, Eastern
hophornbeam, Dogwood,
Persimmon, Redbud, Holly,
Hackberry, Black locust,
Honeylocust, Yellow-poplar,
Chestnut, Osage-orange, Sassafras,
Lilac, Mountain-mahogany, Pear,
Cherry, Plum, Peach, Apple, Elm,
Basswood, Sweetgum
Neoptychodes trilineatusFig, Alder, Mulberry, Willow, Netleaf
hackberry
Oberea ocellataSumac, Apple, Peach, Plum, Pear,
Currant, Blackberry
Oberea tripunctataDogwood, Viburnum, Elm,
Sourwood, Blueberry,
Rhododendron, Azalea, Laurel,
Poplar, Willow, Mulberry
Oncideres cingulataHickory, Pecan, Persimmon, Elm,
Sourwood, Basswood, Honeylocust,
Dogwood, Eucalyptus, Oak,
Hackberry, Maple, Fruit trees
Saperda calcarataPoplar
Strophiona nitensChestnut, Oak, Hickory, Walnut,
Beech, Maple
ScolytidaeCorthylus columbianusMaple, Oak, Yellow-poplar, Beech,
Boxelder, Sycamore, Birch,
Basswood, Chestnut, Elm
Dendroctonus frontalisPine
Dryocoetes betulaeBirch, Sweetgum, Wild cherry,
Beech, Pear
Monarthrum fasciatumOak, Maple, Birch, Chestnut,
Sweetgum, Blackgum, Poplar,
Hickory, Mimosa, Apple, Peach, Pine
Phloeotribus liminansPeach, Cherry, Plum, Black cherry,
Elm, Mulberry, Mountain-ash
Pseudopityophthorus pruinosusOak, American beech, Black cherry,
Chickasaw plum, Chestnut, Maple,
Hickory, Hornbeam, Hophornbeam
SesiidaeParanthrene simulansOak, American chestnut
Sannina uroceriformisPersimmon
Synanthedon exitiosaPeach, Plum, Nectarine, Cherry,
Apricot, Almond, Black cherry
Synanthedon pictipesPeach, Plum, Cherry, Beach, Black
Cherry
Synanthedon rubrofasciaTupelo
Synanthedon scitulaDogwood, Pecan, Hickory, Oak,
Chestnut, Beech, Birch, Black cherry,
Elm, Mountain-ash, Viburnum,
Willow, Apple, Loquat, Ninebark,
Bayberry
Vitacea polistiformisGrape

[0152]

In the hygiene sector, the compositions according to the invention are active against ectoparasites such as hard ticks, soft ticks, mange mites, harvest mites, flies (biting and licking), parasitic fly larvae, lice, hair lice, bird lice and fleas.

[0153]

Examples of such parasites are:

[0154]

Of the order Anoplurida: Haematopinus spp., Linognathus spp., Pediculus spp. and Phtirus spp., Solenopotes spp.,

[0155]

Of the order Mallophagida: Trimenopon spp., Menopon spp., Trinoton spp., Bovicola spp., Werneckiella spp., Lepikentron spp., Damalina spp., Trichodectes spp. and Felicola spp.,

[0156]

Of the order Diptera and the suborders Nematocerina and Brachycerina, for example Aedes spp., Anopheles spp., Culex spp., Simulium spp., Eusimulium spp., Phlebotomus spp., Lutzomyia spp., Culicoides spp., Chrysops spp., Hybomitra spp., Atylotus spp., Tabanus spp., Haematopota spp., Philipomyia spp., Braula spp., Musca spp., Hydrotaea spp., Stomoxys spp., Haematobia spp., Morellia spp., Fannia spp., Glossina spp., Calliphora spp., Lucilia spp., Chrysomyia spp., Wohlfahrtia spp., Sarcophaga spp., Oestrus spp., Hypoderma spp., Gasterophilus spp., Hippobosca spp., Lipoptena spp. and Melophagus spp.,

[0157]

Of the order Siphonapterida, for example Pulex spp., Ctenocephalides spp., Xenopsylla spp., Ceratophyllus spp.,

[0158]

Of the order Heteropterida, for example Cimex spp., Triatoma spp., Rhodnius spp., Panstrongylus spp.,

[0159]

Of the order Blattarida, for example Blatta orientalis, Periplaneta americana, Blattelagermanica and Supella spp.,

[0160]

Of the subclass Acaria (Acarida) and the orders Meta- and Meso-stigmata, for example Argas spp., Omithodorus spp., Otobius spp., Ixodes spp., Amblyomma spp., Boophilus spp., Dermacentor spp., Haemophysalis spp., Hyalomma spp., Rhipicephalus spp., Dermanyssus spp., Raillietia spp., Pneumonyssus spp., Stemostoma spp. and Varroa spp.,

[0161]

Of the orders Actinedida (Prostigmata) and Acaridida (Astigmata), for example Acarapis spp., Cheyletiella spp., Omithocheyletia spp., Myobia spp., Psorergate spp., Demodex spp., Trombicula spp., Listrophorus spp., Acarus spp., Tyrophagus spp., Caloglyphus spp., Hypodectes spp., Pterolichus spp., Psoroptes spp., Chorioptes spp., Otodectes spp., Sarcoptes spp., Notoedres spp., Knemidocoptes spp., Cytodites spp. and Laminosioptes spp.,

[0162]

The compositions according to the invention are also suitable for protecting against insect infestation in the case of materials such as wood, textiles, plastics, adhesives, glues, paints, paper and card, leather, floor coverings and buildings.

[0163]

The compositions according to the invention can be used, for example, against the following pests: beetles such as Hylotrupes bajulus, Chlorophorus pilosis, Anobium punctatum, Xestobium rufovillosum, Ptilinuspecticornis, Dendrobium pertinex, Emoblus mollis, Priobium carpini, Lyctus brunneus, Lyctus africanus, Lyctus planicollis, Lyctus linearis, Lyctus pubescens, Trogoxylon aequale, Minthesrugicollis, Xyleborus spec., Tryptodendron spec., Apate monachus, Bostrychus capucins, Heterobostrychus brunneus, Sinoxylon spec. and Dinoderus minutus, and also hymenopterans such as Sirex juvencus, Urocerus gigas, Urocerus gigas taignus and Urocerus augur, and termites such as Kalotermes flavicollis. Cryptolermes brevis, Heterotermes indicola, Reticulitermes flavipes, Reticulitermes santonensis, Reticulitermes lucifugus, Mastotermes darwiniensis, Zootermopsis nevadensis and Coptotermes formosanus, and bristletals such as Lepisma saccharina.

[0164]

The invention therefore also relates to pesticidal compositions such as emulsifiable concentrates, suspension concentrates, microemulsions, oil dispersibles, directly sprayable or dilutable solutions, spreadable pastes, dilute emulsions, soluble powders, dispersible powders, wettable powders, dusts, granules or encapsulations in polymeric substances, which comprise—at least—one of the active ingredients according to the invention and which are to be selected to suit the intended aims and the prevailing circumstances.

[0165]

In these compositions, the active ingredient is employed in pure form, a solid active ingredient for example in a specific particle size, or, preferably, together with—at least—one of the auxiliaries conventionally used in the art of formulation, such as extenders, for example solvents or solid carriers, or such as surface-active compounds (surfactants).

[0166]

Examples of suitable solvents are: unhydrogenated or partially hydrogenated aromatic hydrocarbons, preferably the fractions C8to C12of alkylbenzenes, such as xylene mixtures, alkylated naphthalenes or tetrahydronaphthalene, aliphatic or cycloaliphatic hydrocarbons, such as paraffins or cyclohexane, alcohols such as ethanol, propanol or butanol, glycols and their ethers and esters such as propylene glycol, dipropylene glycol ether, ethylene glycol or ethylene glycol monomethyl ether or ethylene glycol monoethyl ether, ketones, such as cyclohexanone, isophorone or diacetone alcohol, strongly polar solvents, such as N-methylpyrrolid-2-one, dimethyl sulfoxide or N,N-dimethylformamide, water, unepoxidized or epoxidized vegetable oils, such as unexpodized or epoxidized rapeseed, castor, coconut or soya oil, and silicone oils.

[0167]

Solid carriers which are used for example for dusts and dispersible powders are, as a rule, ground natural minerals such as calcite, talc, kaolin, montmorillonite or attapulgite. To improve the physical properties, it is also possible to add highly disperse silicas or highly disperse absorbtive polymers. Suitable adsorptive carriers for granules are porous types, such as pumice, brick grit, sepiolite or bentonite, and suitable non-sorptive carrier materials are calcite or sand. In addition, a large number of granulated materials of inorganic or organic nature can be used, in particular dolomite or comminuted plant residues.

[0168]

Suitable surface-active compounds are, depending on the type of the active ingredient to be formulated, non-ionic, cationic and/or anionic surfactants or surfactant mixtures which have good emulsifying, dispersing and wetting properties. The surfactants mentioned below are only to be considered as examples; a large number of further surfactants which are conventionally used in the art of formulation and suitable according to the invention are described in the relevant literature.

[0169]

Suitable non-ionic surfactants are, especially, polyglycol ether derivatives of aliphatic or cycloaliphatic alcohols, of saturated or unsaturated fatty acids or of alkyl phenols which may contain approximately 3 to approximately 30 glycol ether groups and approximately 8 to approximately 20 carbon atoms in the (cyclo)aliphatic hydrocarbon radical or approximately 6 to approximately 18 carbon atoms in the alkyl moiety of the alkyl phenols. Also suitable are water-soluble polyethylene oxide adducts with polypropylene glycol, ethylenediaminopolypropylene glycol or alkyl polypropylene glycol having 1 to approximately 10 carbon atoms in the alkyl chain and approximately 20 to approximately 250 ethylene glycol ether groups and approximately 10 to approximately 100 propylene glycol ether groups. Normally, the abovementioned compounds contain 1 to approximately 5 ethylene glycol units per propylene glycol unit. Examples which may be mentioned are nonylphenoxypolyethoxyethanol, castor oil polyglycol ether, polypropylene glycol/polyethylene oxide adducts, tributylphenoxypolyethoxyethanol, polyethylene glycol or octylphenoxypolyethoxyethanol. Also suitable are fatty acid esters of polyoxyethylene sorbitan, such as polyoxyethylene sorbitan trioleate.

[0170]

The cationic surfactants are, especially, quarternary ammonium salts which generally have at least one alkyl radical of approximately 8 to approximately 22 C atoms as substituents and as further substituents (unhalogenated or halogenated) lower alkyl or hydroxyalkyl or benzyl radicals. The salts are preferably in the form of halides, methylsulfates or ethylsulfates. Examples are stearyltrimethylammonium chloride and benzylbis(2-chloroethyl)ethylammonium bromide.

[0171]

Examples of suitable anionic surfactants are water-soluble soaps or water-soluble synthetic surface-active compounds. Examples of suitable soaps are the alkali, alkaline earth or (unsubstituted or substituted) ammonium salts of fatty acids having approximately 10 to approximately 22 C atoms, such as the sodium or potassium salts of oleic or stearic acid, or of natural fatty acid mixtures which are obtainable for example from coconut or tall oil; mention must also be made of the fatty acid methyl taurates. However, synthetic surfactants are used more frequently, in particular fatty sulfonates, fatty sulfates, sulfonated benzimidazole derivatives or alkylaryl sulfonates. As a rule, the fatty sulfonates and fatty sulfates are present as alkali, alkaline earth or (substituted or unsubstituted) ammonium salts and they generally have an alkyl radical of approximately 8 to approximately 22 C atoms, alkyl also to be understood as including the alkyl moiety of acyl radicals; examples which may be mentioned are the sodium or calcium salts of lignosulfonic acid, of the dodecylsulfuric ester or of a fatty alcohol sulfate mixture prepared from natural fatty acids. This group also includes the salts of the sulfuric esters and sulfonic acids of fatty alcohol/ethylene oxide adducts. The sulfonated benzimidazole derivatives preferably contain 2 sulfonyl groups and a fatty acid radical of approximately 8 to approximately 22 C atoms. Examples of alkylarylsulfonates are the sodium, calcium or triethanolammonium salts of decylbenzenesulfonic acid, of dibutylnaphthalenesulfonic acid or of a naphthalenesulfonic acid/formaldehyde condensate. Also possible are, furthermore, suitable phosphates, such as salts of the phosphoric ester of a p-nonylphenol/(4-14)ethylene oxide adduct, or phospholipids.

[0172]

As a rule, the compositions comprise 0.1 to 99%, especially 0.1 to 95%, of active ingredient and 1 to 99.9%, especially 5 to 99.9%, of at least one solid or liquid adjuvant, it being possible as a rule for 0 to 25%, especially 0.1 to 20%, of the composition to be surfactants (% in each case meaning percent by weight). Whereas concentrated compositions tend to be preferred for commercial goods, the end consumer as a rule uses dilute compositions which have substantially lower concentrations of active ingredient.

[0173]

Typically, a pre-mix formulation for foliar application comprises 0.1 to 99.9%, especially 1 to 95%, of the desired ingredients, and 99.9 to 0.1%, especially 99 to 5%, of a solid or liquid adjuvant (including, for example, a solvent such as water), where the auxiliaries can be a surfactant in an amount of 0 to 50%, especially 0.5 to 40%, based on the pre-mix formulation.

[0174]

Normally, a tank-mix formulation for seed treatment application comprises 0.25 to 80%, especially 1 to 75%, of the desired ingredients, and 99.75 to 20%, especially 99 to 25%, of a solid or liquid auxiliaries (including, for example, a solvent such as water), where the auxiliaries can be a surfactant in an amount of 0 to 40%, especially 0.5 to 30%, based on the tank-mix formulation.

[0175]

Typically, a pre-mix formulation for seed treatment application comprises 0.5 to 99.9%, especially 1 to 95%, of the desired ingredients, and 99.5 to 0.1%, especially 99 to 5%, of a solid or liquid adjuvant (including, for example, a solvent such as water), where the auxiliaries can be a surfactant in an amount of 0 to 50%, especially 0.5 to 40%, based on the pre-mix formulation.

[0176]

Whereas commercial products will preferably be formulated as concentrates (e.g., pre-mix composition (formulation)), the end user will normally employ dilute formulations (e.g., tank mix composition).

[0177]

Preferred seed treatment pre-mix formulations are aqueous suspension concentrates. The formulation can be applied to the seeds using conventional treating techniques and machines, such as fluidized bed techniques, the roller mil method, rotostatic seed treaters, and drum coaters. Other methods, such as spouted beds may also be useful. The seeds may be presized before coating. After coating, the seeds are typically dried and then transferred to a sizing machine for sizing. Such procedures are known in the art.

[0178]

In general, the pre-mix compositions of the invention contain 0.5 to 99.9 especially 1 to 95, advantageously 1 to 50%, by mass of the desired ingredients, and 99.5 to 0.1, especially 99 to 5%, by mass of a solid or liquid adjuvant (including, for example, a solvent such as water), where the auxiliaries (or adjuvant) can be a surfactant in an amount of 0 to 50, especially 0.5 to 40%, by mass based on the mass of the pre-mix formulation.

[0179]

Examples of foliar formulation types for pre-mix compositions are:

GR: Granules

[0180]

WP: wettable powders
WG: water dispersable granules (powders)
SG: water soluble granules
SL: soluble concentrates
EC: emulsifiable concentrate
EW: emulsions, oil in water
ME: micro-emulsion
SC: aqueous suspension concentrate
CS: aqueous capsule suspension
OD: oil-based suspension concentrate, and
SE: aqueous suspo-emulsion.

[0181]

Whereas, examples of seed treatment formulation types for premix compositions are:

[0000]

WS: wettable powders for seed treatment slurry
LS: solution for seed treatment
ES: emulsions for seed treatment
FS: suspension concentrate for seed treatment
WG: water dispersible granules, and
CS: aqueous capsule suspension.

[0182]

Examples of formulation types suitable for tank-mix compositions are solutions, dilute emulsions, suspensions, or a mixture thereof, and dusts.

[0183]

Preferred compositions are composed in particular as follows (%=percent by weight):

Emulsifiable Concentrates:

[0184]

active ingredient: 1 to 95%, preferably 5 to 20%
surfactant: 1 to 30%, preferably 10 to 20%
solvent: 5 to 98%, preferably 70 to 85%

Dusts:

[0185]

active ingredient: 0.1 to 10%, preferably 0.1 to 1%
solid carrier: 99.9 to 90%, preferably 99.9 to 99%

Suspension Concentrates:

[0186]

active ingredient: 5 to 75%, preferably 10 to 50%
water: 94 to 24%, preferably 88 to 30%
surfactant: 1 to 40%, preferably 2 to 30%

Wettable Powders:

[0187]

active ingredient: 0.5 to 90%, preferably 1 to 80%
surfactant: 0.5 to 20%, preferably 1 to 15%
solid carrier: 5 to 99%, preferably 15 to 98%

Granulates:

[0188]

active ingredient: 0.5 to 30%, preferably 3 to 15%
solid carrier: 99.5 to 70%, preferably 97 to 85%

PREPARATORY EXAMPLES

[0189]

“M.p.” means melting point in ° C. Free radicals represent methyl groups.

LCMS Methods:

Method G—Standard:

[0190]

Spectra were recorded on a Mass Spectrometer from Waters (SQD or ZQ Single quadrupole mass spectrometer) equipped with an electrospray source (Polarity: positive or negative ions. Capillary: 3.00 kV, Cone range: 30-60 V, Extractor: 2.00 V, Source Temperature: 150° C., Desolvation Temperature: 350° C., Cone Gas Flow: 0 L/Hr, Desolvation Gas Flow: 650 L/Hr, Mass range: 100 to 900 Da) and an Acquity UPLC from Waters: Binary pump, heated column compartment and diode-array detector. Solvent degasser, binary pump, heated column compartment and diode-array detector. Column: Waters UPLC HSS T3, 1.8 μm, 30×2.1 mm, Temp: 60° C., DAD Wavelength range (nm): 210 to 500, Solvent Gradient: A=water+5% MeOH+0.05% HCOOH, B=acetonitrile+0.05% HCOOH: gradient: gradient: 0 min 0% B, 100% A; 1.2-1.5 min 100% B; flow (ml/min) 0.85

Method H—Standard Long:

[0191]

Spectra were recorded on a Mass Spectrometer from Waters (SQD or ZQ Single quadrupole mass spectrometer) equipped with an electrospray source (Polarity: positive or negative ions, Capillary: 3.00 kV, Cone range: 30-60 V. Extractor: 2.00 V, Source Temperature: 150° C., Desolvation Temperature: 350° C., Cone Gas Flow: 0 L/Hr, Desolvation Gas Flow: 650 L/Hr, Mass range: 100 to 900 Da) and an Acquity UPLC from Waters: Binary pump, heated column compartment and diode-array detector. Solvent degasser, binary pump, heated column compartment and diode-array detector. Column: Waters UPLC HSS T3, 1.8 μm, 30×2.1 mm, Temp: 60° C., DAD Wavelength range (nm): 210 to 500, Solvent Gradient: A=water+5% MeOH+0.05% HCOOH., B=acetonitrile+0.05% HCOOH: gradient: gradient: 0 min 0% B. 100% A; 2.7-3.0 min 100% B; flow (ml/min) 0.85

Method I—Unpolar:

[0192]

Spectra were recorded on a Mass Spectrometer from Waters (SQD or ZQ Single quadrupole mass spectrometer) equipped with an electrospray source (Polarity: positive or negative ions, Capillary: 3.00 kV, Cone range: 30-60 V, Extractor: 2.00 V, Source Temperature: 150C, Desolvation Temperature: 350° C., Cone Gas Flow: 0 L/Hr, Desolvation Gas Flow: 650 L/Hr, Mass range: 100 to 900 Da) and an Acquity UPLC from Waters: Binary pump, heated column compartment and diode-array detector. Solvent degasser, binary pump, heated column compartment and diode-array detector. Column: Waters UPLC HSS T3. 1.8 μm, 30×2.1 mm, Temp: 60° C., DAD Wavelength range (nm): 210 to 500, Solvent Gradient: A=water+5% MeOH+0.05% HCOOH, B=acetonitrile+0.05% HCOOH: gradient: gradient: 0 min 40% B. 60% A; 1.2-1.5 min 100% B; flow (ml/min) 0.85

Mass Spectroscopy Method MS

[0193]

LC-20AD Mass Spectrometer from Shimadzu (Single quadrupole mass spectrometer)

Instrument Parameters:

[0194]

Ionisation method: Electrospray
Polarity: positive and negative ions

Capillary (kV) 1.50

[0195]

Cone (V) unknown

Extractor (V) 5.00

Source Temperature (° C.) 200

Desolvation Temperature (° C.) 250

[0196]

Cone gas Flow (l/Hr) 90
Desolvation gas Flow (l/Hr) 90
Mass range: 50 to 1000 Da

Example P1: 1-[2-[3-ethylsulfonyl-5-(trifluoromethyl)-2-pyridyl]-3-methyl-imidazo[4,5-b]pyridin-6-yl]cyclopropanecarbonitrile (Compound 5.002)

[0197]

Step A: 2-[2-[3-ethylsulfonyl-5-(trifluoromethyl)-2-pyridyl]-3-methyl-imidazo[4,5-b]pyridin-6-yl]acetonitrile

[0198]

[0199]

To a 2-5 mL microwave vial containing 2.2 ml of DMF was added tris(dibenzylideneacetone)dipalladium(0) (11 mg, 0.11 mmol), Zinc(II)fluoride (69 mg, 0.67 mmol) 4,5-bis(diphenylphosphino)-9,9-dimethylxanthene (Xantphos, 13 mg, 0.022 mmol), 2-trimethylsilylacetonitrile (150 mg, 1.3 mmol)), and 6-bromo-2-[3-ethylsulfonyl-5-(trifluoromethyl)-2-pyridyl]-3-methyl-imidazo[4,5-b]pyridine (500 mg, 1.1 mmol, prepared as described in WO 2013018928). The cap was sealed and the mixture heated to 140° C. for 30 min n the microwave. LCMS analysis after this time showed reaction completion. The mixture was cooled and diluted with ter-butyl methyl ether, washed with water and then brine, and the organic layer dried over anhydrous Na2SO4, filtered and concentrated in vacuo. The crude brown residue was purified over a silica gel cartridge (Rf200) eluting with cyclohexane/ethyl acetate to give the title product as a beige powder.

[0200]

HPLC 0.87 (method G), 0.87 mins (MH+(410)).

[0201]

1H NMR (400 MHz, chloroform-d) δ ppm; 1.45 (t, J=7.34 Hz, 3H); 3.94 (s, 3H); 3.97-4.05 (m, 4H); 8.16 (d, J=220 Hz, 1H) 8.49 (d, J=2.20 Hz, 1H) 8.81 (d, J=1.83 Hz, 1H) 9.27 (d, J=2.20 Hz, 1H).

Step B: 1-[2-[3-ethylsulfonyl-5-(trifluoromethyl)-2-pyridyl]-3-methyl-imidazo[4,5-b]pyridin-6-yl]cyclopropanecarbonitrile (Compound 5.002)

[0202]

[0203]

To a solution 2-[2-[3-ethylsulfonyl-5-(trifluoromethyl)-2-pyridyl]-3-methyl-imidazo[4,5-b]pyridin-6-yl]acetonitrile (300 mg, 0.73 mmol) in acetonitrile (10 ml) was added cesium carbonate (720 mg, 2.20 mmol) and 1,2 dibromoethane (280 mg, 1.50 mmol). The brown solution was stirred at ambient temperature for 1 hour and then heated to 70° C. LC/MS showed formation of desired product after 1 hour. The reaction was cooled and allowed to stir at ambient temperature for a further 4 days, and then diluted with ethyl acetate and water, the organic layer separated, and washed successively with water and brine, dried over Na2SO4, filtered and concentrated in vacuo. The crude mixture was purified over a silica gel cartridge (Rf200) eluting with Cychexane/Ethyl acetate to give the title compound as a yellow resin.

[0204]

LCMS (Method G) Rt. 0.94 min, 436 (M+H).1H NMR (400 MHz, chloroform-d) δ ppm 1.44 (t, J=7.52 Hz, 3H): 1.52-1.57 (m, 2H); 1.70 (br. s., 1H); 1.83-1.89 (m, 2H); 4.01 (q, J=7.46 Hz, 2H); 8.08 (d, J=2.20 Hz, 1H); 8.56 (d, J=1.83 Hz, 1H); 8.80 (d, J=1.83 Hz, 1H); 9.26 (d, J=1.10 Hz, 1H).

Example P2: 1-[2-[3-ethylsulfonyl-5-(trifluoromethyl-2-pyridyl]-3-methyl-imidazo[4,5-b]pyridin-6-yl]cyclobutanecarbonitrile (Compound No. 7.002)

[0205]

[0206]

A solution of 2-[2-[3-ethylsulfonyl-5-(trifluoromethyl)-2-pyridyl]-3-methyl-imidazo[4,5-b]pyridin-6-yl]acetonitrile (prepared as in Step A example P1,200 mg, 0.49 mmol) were dissolved in dimethylformamide and cooled to 0° C., under argon. To this solution were added sodium hydride (47 mg, 55% in mineral oil therefore 25 mg, 1.1 mmol) and the reaction mixture was stirred at 0° C. for 30 min and then treated with 1,3-dibromopropane (200 mg, 0.98 mmol). The brown reaction mixture was stirred under ice-bath-cooling for 1 Hr and then allowed to warm to ambient temperature and stirred for 18 hours. The mixture was quenched with saturated aqueous NH4Cl (exothermic, temperature increase to 35° C.) and extracted with tert-butyl methyl ether (×3). The combined organic layers were washed successively with water and brine, dried over Na2SO4, filtered and concentrated in vacuo. The crude product was Purified over silica gel cartridge (Rf200) eluting with cyclohexane/ethyl acetate to give the title compound as a colourless resin.

[0207]

LCMS (Method G); Rt=0.98 min, (M+H) 450.1H NMR (400 MHz, Chloroform-d) δ ppm: 1.42 (t, J=7.34 Hz, 3H); 2.12-2.25 (m, 1H); 2.45-2.62 (m, 1H); 2.69-2.81 (m, 2H); 2.90-3.07 (m, 2H); 3.95 (s, 3H); 4.00 (q, J=7.34 Hz, 2H); 8.11 (d, J=2.20 Hz, 1H); 8.61 (d, J=2.20 Hz, 1H); 8.78 (d, J=2.20 Hz, 1H) 9.24 (dd, J=2.20, 0.73 Hz, 1H).

Example P3. 2-[2-[3-ethylsulfonyl-5-(trifluoromethyl)-2-pyridyl]-3-methyl-imidazo[4,5-b]pyridin-6-yl]cyclopropanecarbonitrile. (Compound No. 5.007)

[0208]

Step A: (E,Z) 3-[2-[3-ethylsulfonyl-5-(trifluoromethyl)-2-pyridyl]-3-methyl-imidazo[4,5-b]pyridin-6-yl]prop-2-enenitrile

[0209]

[0210]

(E)-3-[2-[3-ethylsulfonyl-5-(trifluoromethyl-2-pyridyl]-3-methyl-imidazo[4,5-b]pyridin-6-yl]prop-2-enenitrile (0.5 g, 1.1 mmol) was dissolved in DMF (1.5 ml) and treated with acrylonitrile (240 mg, 4.5 mmol). The reaction was flushed with argon and then N-ethyl-N-isopropyl-propan-2-amine, tri(o-tolyl)phosphine (62 mg, 0.2 mmol) and palladium(II)acetate (23 mg, 0.1 mmol) were added. The brown solution was stirred over night at 120° C.

[0211]

After 14 hours the same quantities of palladium(II)acetate and tri(o-tolyl)phosphine were added again and the mixture was stirred at 120° C. for a further 14 hr. After this time the reaction mixture was allowed to cool down to ambient temperature and diluted with ethyl acetate and water. The organic layer was separated, washed again with water and once with brine, dried over Na2SO4, filtered and concentrated in vacuo. The crude product was purified over a silica gel cartridge (Rf200). Eluting with cyclohexane:ethyl acetate, to give the title compound as a beige solid (3:1 E/Z isomer mixture).

[0212]

LCMS (Method G); Rt=0.93 min, (M+H) 422.

Step B: 2-[2-[3-ethylsulfonyl-5-(trifluoromethyl)-2-pyridyl]-3-methyl-imidazo[4,5-b]pyridin-6-yl]cyclopropanecarbonitrile. (Example 5.007)

[0213]

[0214]

Trimethylsulfoxonium iodide (760 mg, 3.3 mmol) was suspended in 4 ml DMSO and treated with sodium hydride (130 mg of a 55% suspension in mineral oil, therefore 71 mg, 3.0 mmol). The mixture was stirred was stirred for 45 min at rt, and then 2-[2-[3-ethylsulfonyl-5-(trifluoromethyl)-2-pyridyl]-3-methyl-imidazo[4,5-b]pyridin-6-yl]acetonitrile (280 mg, 0.66 mmol) in 3 ml DMSO and added slowly to the suspension. The resulting red solution was stirred at rt. LC/MS analysis after 2 hr detected desired mass at 0.69 min and starting material at 0.94 min. The reaction mixture was allowed to stir overnight and then quenched with aqueous saturated NH4Cl and extracted with EtOAc (×3). The combined organic layers were washed once with brine, dried over Na2SO4, filtered and concentrated in vacuo. The crude reaction mixture was purified over a silica gel cartridge (Rf200) eluting with Cyclohexane/EtOAc to give two products which were further purified by reverse phase chromatography. This gave as a the first eluting compound the title compound:

[0215]

LCMS (Method G); Rt=0.89 min, (M+H) 436, Rt=0.89.1H NMR (400 MHz, chloroform-d) δ ppm: 1.40 (t, J=7.34 Hz, 3H); 1.61-1.72 (m, 2H); 1.98 (td, J=8.44, 5.87 Hz, 1H); 2.69-2.78 (m, 1H); 3.92 (s, 3H); 3.93-4.10 (m, 2H); 7.97 (d, J=1.47 Hz, 1H); 8.54 (d, J=2.20 Hz, 1H); 8.77 (d, J=1.47 Hz, 1H); 9.22 (d, J=1.47 Hz, 1H);

[0216]

A second product was eluted which was identified as 2-[2-[3-ethylsulfonyl-5-(trifluoromethyl)-2-pyridyl]-3-methyl-imidazo[4,5-b]pyridin-6-yl]-1-methyl-cyclopropanecarbonitrile (Compound P5 table A1):

[0000]

[0217]

LCMS (Method G); R.t=0.91 min, (M+H)—CH3, 436.1H NMR (400 MHz, chloroform-d) δ ppm 1.40 (t, J=7.52 Hz, 3H) 1.53-1.61 (m, 3H) 1.63-1.70 (m, 1H) 1.76 (dt, J=9.35, 5.41 Hz, 1H) 3.89 (s, 3H) 3.97 (q, J=7.34 Hz, 2H) 7.75-7.80 (m, 1H) 8.42 (d, J=1.83 Hz, 1H) 8.77 (d, J=2.20 Hz, 1H) 9.19-9.26 (m, 1H).

Example P4: 6-cyclopropyl-2-[3-ethylsulfonyl-5-(trifluoromethyl)-2-pyridyl]-3-methyl-imidazo[4,5-b]pyridine (Compound 5.001)

[0218]

[0219]

6-bromo-2-[3-ethylsulfonyl-5-(trifluoromethyl-2-pyridyl]-3-methyl-imidazo[4,5-b]pyridine (500 mg, 1.1 mmol, prepared as described in WO 2013/018928), potassium cyclopropyltrifluoroborate (300 mg, 2.2 mmol), Bis(tri-t-butylphosphine)palladium(0) (23 mg, 0.045 mmol) and sodium carbonate (170 mg, 1.6 mmol)) were dissolved in dimethoxy ethane. The reaction mixture was transferred to a microwave vial and heated at 140° C. for 80 min.

[0220]

The reaction mixture was then allowed to cool and diluted with water and ethyl acetate. The organic layer was separated, washed with water and brine, dried over Na2SO4, filtered and concentrated in vacuo. The crude product was dissolved in dichloromethane and put on adsorbed on teflon bulk sorbents, which was then purified over silica gel cartridge (Rf200) eluting with cyclohexane/ethyl acetate, and then by preparative RP HPLC, to give the title compound as a white solid.

[0221]

LCMS (Method G); R.t=1.01 min, (M+H), 411; 1H NMR (400 MHz, chloroform-d) 5 ppm 0.67-0.73 (m, 2H) 0.96-1.02 (m, 2H) 1.32 (t, J=7.34 Hz, 3H) 2.01 (tt, J=8.48, 5.09 Hz, 1H) 3.81 (s, 3H) 3.93 (q, J=7.46 Hz, 2H) 7.61 (d, J=1.83 Hz., 1H) 8.32 (d, J=1.83 Hz, 1H) 8.67-8.69 (m, 1H) 9.13 (dd, J=2.20, 0.73 Hz, 1H).

Intermediate I-1: 6-bromo-2-[3-ethylsulfonyl-5-(trifluoromethyl)-2-pyridyl]-3-methyl-imidazo[4,5-c]pyridine

[0222]

Step A: 2-bromo-5-fluoro-1-oxido-pyridin-1-ium

[0223]

[0224]

To a stirred solution of 2-bromo-5-fluoropyridine (50.0 g, 0284 mol) in TFA (100.0 mL) was added H2O2(30%, 150 mL) dropwise at 0° C. and the mixture stirred at 60-70° C. overnight. After cooling, the reaction mixture was poured onto ice-water, extracted with dichloromethane/methanol (10:1, 500 mL×3), the organic layer was washed with saturated sodium bicarbonate solution and brine, and dried over anhydrous sodium sulfate. After filtration and concentration in vacuo, the crude product (off white solid) was used for the next step without further purification.

Step B: 2-bromo-5-fluoro-4-nitro-pyridine

[0225]

[0226]

To a solution of 2-bromo-5-fluoro-1-oxido-pyridin-1-ium (46 g, 0.239 mmol) in sulphuric acid (conc., 200 mL) was added fuming nitric acid (100 mL) slowly at 0° C. After the addition, the reaction temperature was raised to 120° C., and stirring continued at this temperature for 8 h. After cooling to ambient temperature, the reaction solution was poured onto ice-water. The pH value was adjusted to 1 with NH4OH, extracted with ethyl acetate (400 mL×3), the organic layer was washed with saturated sodium bicarbonate solution and brine, and dried over anhydrous sodium sulfate. After filtration and concentration in vacuo, the crude product was purified by column chromatography to afford the title compound as light yellow solid.

Step C: 6-bromo-N-methyl-4-nitro-pyridine-3-amine

[0227]

[0228]

To a solution of 2-bromo-5-fluoro-4-nitropyridine (15 g, 67.8 mmol) in ethanol (100 mL) was added 30% MeNH2/ethanol (60 mL). The reaction mixture was stirred at ambient temperature for 4 hr. The mixture was then concentrated in vacuo to give the title compound as a solid which was used for the next step without further purification.

Step D: 6-bromo-N3-methyl-pyridine-3,4-diamine: (Method A)

[0229]

[0230]

To a solution of 6-bromo-N-methyl-4-nitro-pyridin-3-amine (14.9 g, 64.2 mmol) in methanol (150 mL) was added Raney Ni (20% wt), and then hydrazine hydrate (25 mL) was added dropwise at 0° C. The reaction mixture was stirred at ambient temperature for 1 hr. The Raney Ni was filtered off through celite; the filtrate was concentrated in vacuo and purified by chromatography column on silica gel (eluting with dichloromethane: methanol, 10: 1) to afford the title compound as off-white solid.1H NMR (400 MHz, DMSO-d6): δ(ppm) 7.20 (s, 1H), 6.53 (s, 1H), 5.76 (brs, 2H), 4.81 (q, 1H), 2.70 (d, J=6.4 Hz, 3H), ESI-MS(+): 203 (M+H).

Method B

[0231]

To a solution of 6-bromo-N-methyl-4-nitro-pyridin-3-amine (20 g, 86 mmol) in acetic acid (400 mL) was added Fe powder (24 g, 428 mmol) at ambient temperature. The reaction mixture was stirred at 80° C. for 5 h. The solid was filtered off through celite; the filtrate was adjusted to pH=4˜5 by using aq. NaOH and then extracted with ethyl acetate. The organic layer was dried over anhydrous MgSO4, filtered, and concentrated in vacuo. The residue was recrystallized from ethyl acetate to afford the title compound as off-white solid.1H NMR (400 MHz, DMSO-de): δ(ppm) 7.20 (s, 1H), 6.53 (s, 1H), 5.76 (brs, 2H), 4.81 (q, 1H), 2.70 (d, J=6.4 Hz., 3H). ESI-MS(+): 203 (M+H).

Step F: N-(4-amino-6-bromo-3-pyridyl)-3-ethylsulfonyl-N-methyl-5-(trifluoromethyl)pyridine-2-carboxamide

[0232]

[0233]

To a stirred solution of 6-bromo-N3-methyl-pyridine-3,4-diamine (0.60 g, 2.96 mmol), 3-ethylsulfonyl-5-(trifluoromethyl)pyridine-2-carboxylic acid (0.92 g, 3.26 mmol, prepared as in WO 2013180194) and HATU (1.4 g, 3.68 mmol) in DMF (5.0 mL) was added DIPEA (1.2 ml, 7.26 mmol). The system was stirred at ambient temperature overnight. The reaction was diluted with EtOAc and H2O, the organic layer was washed with brine and water, dried over anhydrous sodium sulfate. After filtration and concentration in vacuo, the crude title product was used for the next step without further purification.

Step G: 6-bromo-2-[3-ethylsulfonyl-5-(trifluoromethyl)-2-pyridyl]-3-methy-imidazo[4,5-c]pyridine (Compound I-1)

[0234]

[0235]

A solution of N-(4-amino-6-brom-3-pyridyl)-3-ethylsulfonyl-N-methyl-5-(trifluoromethyl)pyridine-2-carboxamide (crude, 2.96 mmol) in acetic acid (5.0 mL) was stirred at 120° C. overnight. The mixture was evaporated to dryness. The residue was purified by chromatography on silica gel (Petroleum ether:EtOAc=4: 1) to afford the title compound as white solid.1H NMR (400 MHz, DMSO-de): δ (ppm) 9.53 (s, 1H), 8.94 (s, 1H), 8.74 (s, 1H), 8.01 (s, 1H), 3.83 (q. J=7.6 Hz, 2H), 3.79 (s, 3H), 1.19 (t, J=7.2 Hz, 3H).19F NMR (300 MHz, DMSO-d6): δ (ppm) −60.42 (s, 3 F). ESI-MS(+): 449 (M+H), 472 (M+Na); ESI-MS(−): 447 (M−H). Mpt. 188-190° C. LCMS (method SQD13): Rt. 0.95 min, 449/451 (M+H).

FORMULATION EXAMPLES (%=PERCENT BY WEIGHT)

[0236]

[0000]

Active ingredient25%40%50%
Calcium dodecylbenzenesulfonate 5% 8% 6%
Castor oil polyethylene 5%
glycol ether (36 mol of EO)
Tributylphenoxypolyethylene glycol12% 4%
ether (30 mol of EO)
Cyclohexanone15%20%
Xylene mixture65%25%20%

[0237]

Emulsions of any desired concentration can be prepared from such concentrates by dilution with water.

[0000]

Active ingredient80%10% 5%95%
Ethylene glycol monomethyl20%
ether
Polyethylene glycol70%
MW 400
N-Methylpyrrolid-2-one20%
Epoxidized coconut oil 1% 5%
Petroleum ether94%
(boiling range: 160-190°)

[0238]

The solutions are suitable for use in the form of microdrops.

[0000]

Active ingredient 5%10% 8%21%
Kaolin94%79%54%
Highly disperse silica 1%13% 7%
Attapulgite90%18%

[0239]

The active ingredient is dissolved in dichloromethane, the solution is sprayed onto the carrier(s), and the solvent is subsequently evaporated in vacuo.

[0000]

Active ingredient2%5%
Highly disperse silica1%5%
Talc97% 
Kaolin90% 

[0240]

Ready-to-use dusts are obtained by intimately mixing the carriers and the active ingredient.

[0000]

Active ingredient25%50%75%
Sodium lignosulfonate 5% 5%
Sodium lauryl sulfate 3% 5%
Sodium diisobutyl- 6%10%
naphthalenesulfonate
Octylphenoxypolyethylene glycol 2%
ether (7-8 mol of EO)
Highly disperse silica 5%10%10%
Kaolin62%27%

[0241]

The active ingredient is mixed with the additives and the mixture is ground thoroughly in a suitable mill. This gives wettable powders, which can be diluted with water to give suspensions of any desired concentration.

[0000]

Active ingredient10%
Sodium lignosulfonate2%
Carboxymethylcellulose1%
Kaolin87%

[0242]

The active ingredient is mixed with the additives, and the mixture is ground, moistened with water, extruded, granulated and dried in a stream of air.

[0000]

Active ingredient3%
Polyethylene glycol (MW 200)3%
Kaolin94%

[0243]

In a mixer, the finely ground active ingredient is applied uniformly to the kaolin, which has been moistened with the polyethylene glycol. This gives dust-free coated granules.

[0000]

Active ingredient40%
Ethylene glycol10%
Nonylphenoxypolyethylene glycol ether (15 mol of EO) 6%
Sodium lignosulfonate10%
Carboxymethylcellulose 1%
37% aqueous formaldehyde solution0.2% 
Silicone oil (75% aqueous emulsion)0.8% 
Water32%

[0244]

The finely ground active Ingredient is mixed intimately with the additives. Suspensions of any desired concentration can be prepared from the thus resulting suspension concentrate by dilution with water.

[0000]

active ingredient25%50%75%
light mineral oil 5% 5% 5%
highly dispersed silicic acid 5% 5%
Kaolin65%40%
Talcum20%

[0245]

The combination is thoroughly mixed with the adjuvants and the mixture is thoroughly ground in a suitable mil, affording powders that can be used directly for seed treatment.

[0000]

active ingredient10%
octylphenol polyethylene glycol ether3%
(4-5 mol of ethylene oxide)
calcium dodecylbenzenesulfonate3%
castor oil polyglycol ether (35 mol of ethylene oxide)4%
Cyclohexanone30%
xylene mixture50%

[0246]

Emulsions of any required dilution, which can be used in plant protection, can be obtained from this concentrate by dilution with water.

[0000]

active ingredients40% 
propylene glycol5%
copolymer butanol PO/EO2%
Tristyrenephenole with 10-20 moles EO2%
1,2-benzisothiazolin-3-one (in the form of a 20% solution in0.5%  
water)
monoazo-pigment calcium salt5%
Silicone oil (in the form of a 75% emulsion in water)0.2%  
Water45.3%  

[0247]

The finely ground combination is intimately mixed with the adjuvants, giving a suspension concentrate from which suspensions of any desired dilution can be obtained by dilution with water. Using such dilutions, living plants as well as plant propagation material can be treated and protected against infestation by microorganisms, by spraying, pouring or immersion.

[0248]

The activity of the compositions according to the invention can be broadened considerably, and adapted to prevailing circumstances, by adding other insecticidally, acaricidally and/or fungicidally active ingredients. The mixtures of the compounds of formula I with other insecticidally, acaricidally and/or fungicidally active ingredients may also have further surprising advantages which can also be described, in a wider sense, as synergistic activity. For example, better tolerance by plants, reduced phytotoxicity, insects can be controlled in their different development stages or better behaviour during their production, for example during grinding or mixing, during their storage or during their use.

[0249]

Suitable additions to active ingredients here are, for example, representatives of the following classes of active ingredients: organophosphorus compounds, nitrophenol derivatives, thioureas, juvenile hormones, formamidines, benzophenone derivatives, ureas, pyrrole derivatives, carbamates, pyrethroids, chlorinated hydrocarbons, acylureas, pyridylmethyleneamino derivatives, macrolides, neonicotinoids and Bacillus thuringiensis preparations.

[0250]

The following mixtures of the compounds of formula I with active ingredients are preferred (the abbreviation “TX” means “one compound selected from the group consisting of the compounds described in Table 1 to 11 and A of the present invention”):

[0000]

an adjuvant selected from the group of substances consisting of petroleum oils (alternative name) (628)+TX,
an acaricide selected from the group of substances consisting of 1,1-bis(4-chlorophenyl)-2-ethoxyethanol (IUPAC name) (910)+TX, 2,4-dichlorophenyl benzenesulfonate (IUPAC/Chemical Abstracts name) (1059)+TX, 2-fluoro-N-methyl-N-1-naphthylacetamide (IUPAC name) (1295)+TX, 4-chlorophenyl phenyl sulfone (IUPAC name) (981)+TX, abamectin (1)+TX, acequinocyl (3)+TX, acetoprole [CCN]+TX, acrinathrin (9)+TX, aldicarb (16)+TX, aldoxycarb (863)+TX, alpha-cypermethrin (202)+TX, amidithion (870)+TX, amidoflumet [CCN]+TX, amidothioate (872)+TX, amiton (875)+TX, amiton hydrogen oxalate (875)+TX, amitraz (24)+TX, aramite (881)+TX, arsenous oxide (882)+TX, AVI 382 (compound code)+TX, AZ 60541 (compound code)+TX, azinphos-ethyl (44)+TX, azinphos-methyl (45)+TX, azobenzene (IUPAC name) (888)+TX, azocyclotin (46)+TX, azothoate (889)+TX, benomyl (62)+TX, benoxafos (alternative name) [CCN]+TX, benzoximate (71)+TX, benzyl benzoate (IUPAC name) [CCN]+TX, bifenazate (74)+TX, bifenthrin (76)+TX, binapacryl (907)+TX, brofenvalerate (alternative name)+TX, bromocyclen (918)+TX, bromophos (920)+TX, bromophos-ethyl (921)+TX, bromopropylate (94)+TX, buprofezin (99)+TX, butocarboxim (103)+TX, butoxycarboxim (104)+TX, butylpyridaben (alternative name)+TX, calcium polysulfide (IUPAC name) (111)+TX, camphechlor (941)+TX, carbanolate (943)+TX, carbaryl (115)+TX, carbofuran (118)+TX, carbophenothion (947)+TX, CGA 50′439 (development code) (125)+TX, chinomethionat (126)+TX, chlorbenside (959)+TX, chlordimeform (964)+TX, chlordimeform hydrochloride (964)+TX, chlorfenapyr (130)+TX, chlorfenethol (968)+TX, chlorfenson (970)+TX, chlorfensulfide (971)+TX, chlorfenvinphos (131)+TX, chlorobenzilate (975)+TX, chloromebuform (977)+TX, chloromethiuron (978)+TX, chloropropylate (983)+TX, chlorpyrifos (145)+TX, chlorpyrifos-methyl (146)+TX, chlorthiophos (994)+TX, cinerin I (696)+TX, cinerin 11 (696)+TX, cinerins (696)+TX, clofentezine (158)+TX, closantel (alternative name) [CCN]+TX, coumaphos (174)+TX, crotamiton (alternative name) [CCN]+TX, crotoxyphos (1010)+TX, cufraneb (1013)+TX, cyanthoate (1020)+TX, cyflumetofen (CAS Reg. No.: 400882-07-7)+TX, cyhalothrin (196)+TX, cyhexatin (199)+TX, cypermethrin (201)+TX, DCPM (1032)+TX, DDT (219)+TX, demephion (1037)+TX, demephion-O (1037)+TX, demephion-S (1037)+TX, demeton (1038)+TX, demeton-methyl (224)+TX, demeton-O (1038)+TX, demeton-O-methyl (224)+TX, demeton-S (1038)+TX, demeton-S-methyl (224)+TX, demeton-S-methylsulfon (1039)+TX, diafenthiuron (226)+TX, dialifos (1042)+TX, diazinon (227)+TX, dichlofluanid (230)+TX, dichlorvos (236)+TX, dicliphos (alternative name)+TX, dicofol (242)+TX, dicrotophos (243)+TX, dienochlor (1071)+TX, dimefox (1081)+TX, dimethoate (262)+TX, dinactin (alternative name) (653)+TX, dinex (1089)+TX, dinex-diclexine (1089)+TX, dinobuton (269)+TX, dinocap (270)+TX, dinocap-4 [CCN]+TX, dinocap-6 [CCN]+TX, dinocton (1090)+TX, dino-penton (1092)+TX, dinosulfon (1097)+TX, dinoterbon (1098)+TX, dioxathion (1102)+TX, diphenyl sulfone (IUPAC name) (1103)+TX, disulfiram (alternative name) [CCN]+TX, disulfoton (278)+TX, DNOC (282)+TX, dofenapyn (1113)+TX, doramectin (alternative name) [CCN]+TX, endosulfan (294)+TX, endothion (1121)+TX, EPN (297)+TX, eprinomectin (alternative name) [CCN]+TX, ethion (309)+TX, ethoate-methyl (1134)+TX, etoxazole (320)+TX, etrimfos (1142)+TX, fenazaflor (1147)+TX, fenazaquin (328)+TX, fenbutatin oxide (330)+TX, fenothiocarb (337)+TX, fenpropathrin (342)+TX, fenpyrad (alternative name)+TX, fenpyroximate (345)+TX, fenson (1157)+TX, fentrifanil (1161)+TX, fenvalerate (349)+TX, fipronil (354)+TX, fluacrypyrim (360)+TX, fluazuron (1166)+TX, flubenzimine (1167)+TX, flucycloxuron (366)+TX, flucythrinate (367)+TX, fluenetil (1169)+TX, flufenoxuron (370)+TX, flumethrin (372)+TX, fluorbenside (1174)+TX, fluvalinate (1184)+TX, FMC 1137 (development code) (1185)+TX, formetanate (405)+TX, formetanate hydrochloride (405)+TX, formothion (1192)+TX, formparanate (1193)+TX, gamma-HCH (430)+TX, glyodin (1205)+TX, halfenprox (424)+TX, heptenophos (432)+TX, hexadecyl cyclopropanecarboxylate (IUPAC/Chemical Abstracts name) (1216)+TX, hexythiazox (441)+TX, iodomethane (IUPAC name) (542)+TX, isocarbophos (alternative name) (473)+TX, isopropyl O-(methoxyaminothiophosphoryl)salicylate (IUPAC name) (473)+TX, ivermectin (alternative name) [CCN]+TX, jasmolin I (696)+TX, jasmolin II (696)+TX, jodfenphos (1248)+TX, lindane (430)+TX, lufenuron (490)+TX, malathion (492)+TX, malonoben (1254)+TX, mecarbam (502)+TX, mephosfolan (1261)+TX, mesulfen (alternative name) [CCN]+TX, methacrifos (1266)+TX, methamidophos (527)+TX, methidathion (529)+TX, methiocarb (530)+TX, methomyl (531)+TX, methyl bromide (537)+TX, metolcarb (550)+TX, mevinphos (556)+TX, mexacarbate (1290)+TX, milbemectin (557)+TX, milbemycin oxime (alternative name) [CCN]+TX, mipafox (1293)+TX, monocrotophos (561)+TX, morphothion (1300)+TX, moxidectin (alternative name) [CCN]+TX, naled (567)+TX, NC-184 (compound code)+TX, NC-512 (compound code)+TX, nifluridide (1309)+TX, nikkomycins (alternative name) [CCN]+TX, nitrilacarb (1313)+TX, nitrilacarb 1:1 zinc chloride complex (1313)+TX, NNI-0101 (compound code)+TX, NNI-0250 (compound code)+TX, omethoate (594)+TX, oxamyl (602)+TX, oxydeprofos (1324)+TX, oxydisulfoton (1325)+TX, pp′-DDT (219)+TX, parathion (615)+TX, permethrin (626)+TX, petroleum oils (alternative name) (628)+TX, phenkapton (1330)+TX, phenthoate (631)+TX, phorate (636)+TX, phosalone (637)+TX, phosfolan (1338)+TX, phosmet (638)+TX, phosphamidon (639)+TX, phoxim (642)+TX, pirimiphos-methyl (652)+TX, polychloroterpenes (traditional name) (1347)+TX, polynactins (alternative name) (653)+TX, proclonol (1350)+TX, profenofos (662)+TX, promacyl (1354)+TX, propargite (671)+TX, propetamphos (673)+TX, propoxur (678)+TX, prothidathion (1360)+TX, prothoate (1362)+TX, pyrethrin 1 (696)+TX, pyrethrin 11 (696)+TX, pyrethrins (696)+TX, pyridaben (699)+TX, pyridaphenthion (701)+TX, pyrimidifen (706)+TX, pyrimitate (1370)+TX, quinalphos (711)+TX, quintiofos (1381)+TX, R-1492 (development code) (1382)+TX, RA-17 (development code) (1383)+TX, rotenone (722)+TX, schradan (1389)+TX, sebufos (alternative name)+TX, selamectin (alternative name) [CCN]+TX, SI-0009 (compound code)+TX, sophamide (1402)+TX, spirodiclofen (738)+TX, spiromesifen (739)+TX, SSI-121 (development code) (1404)+TX, sulfiram (alternative name) [CCN]+TX, sulfluramid (750)+TX, sulfotep (753)+TX, sulfur (754)+TX, SZI-121 (development code) (757)+TX, tau-fluvalinate (398)+TX, tebufenpyrad (763)+TX, TEPP (1417)+TX, terbam (alternative name)+TX, tetrachlorvinphos (777)+TX, tetradifon (786)+TX, tetranactin (alternative name) (653)+TX, tetrasul (1425)+TX, thiafenox (alternative name)+TX, thiocarboxime (1431)+TX, thiofanox (800)+TX, thiometon (801)+TX, thioquinox (1436)+TX, thuringiensin (alternative name) [CCN]+TX, triamiphos (1441)+TX, triarathene (1443)+TX, triazophos (820)+TX, triazuron (alternative name)+TX, trichlorfon (824)+TX, trifenofos (1455)+TX, trinactin (alternative name) (653)+TX, vamidothion (847)+TX, vaniliprole [CCN] and YI-5302 (compound code)+TX,
an algicide selected from the group of substances consisting of bethoxazin [CCN]+TX, copper dioctanoate (IUPAC name) (170)+TX, copper sulfate (172)+TX, cybutryne [CCN]+TX, dichlone (1052)+TX, dichlorophen (232)+TX, endothal (295)+TX, fentin (347)+TX, hydrated lime [CCN]+TX, nabam (566)+TX, quinoclamine (714)+TX, quinonamid (1379)+TX, simazine (730)+TX, triphenyltin acetate (IUPAC name) (347) and triphenyltin hydroxide (IUPAC name) (347)+TX, an anthelmintic selected from the group of substances consisting of abamectin (1)+TX, crufomate (1011)+TX, doramectin (alternative name) [CCN]+TX, emamectin (291)+TX, emamectin benzoate (291)+TX, eprinomectin (alternative name) [CCN]+TX, Ivermectin (alternative name) [CCN]+TX, milbemycin oxime (alternative name) [CCN]+TX, moxidectin (alternative name) [CCN]+TX, piperazine [CCN]+TX, selamectin (alternative name) [CCN]+TX, spinosad (737) and thiophanate (1435)+TX, an avicide selected from the group of substances consisting of chloralose (127)+TX, endrin (1122)+TX, fenthion (346)+TX, pyridin-4-amine (IUPAC name) (23) and strychnine (745)+TX, a bactericide selected from the group of substances consisting of 1-hydroxy-1H-pyridine-2-thione (IUPAC name) (1222)+TX, 4-(quinoxalin-2-ylamino)benzenesulfonamide (IUPAC name) (748)+TX, 8-hydroxyquinoline sulfate (446)+TX, bronopol (97)+TX, copper dioctanoate (IUPAC name) (170)+TX, copper hydroxide (IUPAC name) (169)+TX, cresol [CCN]+TX, dichlorophen (232)+TX, dipyrithione (1105)+TX, dodicin (1112)+TX, fenaminosulf (1144)+TX, formaldehyde (404)+TX, hydrargaphen (alternative name) [CCN]+TX, kasugamycin (483)+TX, kasugamycin hydrochloride hydrate (483)+TX, nickel bis(dimethyldithiocarbamate) (IUPAC name) (1308)+TX, nitrapyrin (580)+TX, octhilinone (590)+TX, oxolinic acid (606)+TX, oxytetracycline (611)+TX, potassium hydroxyquinoline sulfate (446)+TX, probenazole (658)+TX, streptomycin (744)+TX, streptomycin sesquisulfate (744)+TX, tecloftalam (766)+TX, and thiomersal (alternative name) [CCN]+TX,
a biological agent selected from the group of substances consisting of Adoxophyes orana GV (alternative name) (12)+TX, Agrobacterium radiobacter (alternative name) (13)+TX, Amblyseius spp. (alternative name) (19)+TX, Anagrapha falcifera NPV (alternative name) (28)+TX, Anagrus atomus (alternative name) (29)+TX, Aphelinus abdominalis (alternative name) (33)+TX, Aphidius colemani (alternative name) (34)+TX, Aphidoletes aphidimyza (alternative name) (35)+TX, Autographa californica NPV (alternative name) (38)+TX, Bacillus firmus (alternative name) (48)+TX, Bacillus sphaericus Neide (scientific name) (49)+TX, Bacillus thuringiensis Berliner (scientific name) (51)+TX, Bacillus thuringiensis subsp. aizawai (scientific name) (51)+TX, Bacillus thuringiensis subsp. israelensis (scientific name) (51)+TX, Bacillus thuringiensis subsp. japonensis (scientific name) (51)+TX, Bacillus thuringiensis subsp. kurstaki (scientific name) (51)+TX, Bacillus thuringiensis subsp. tenebrionis (scientific name) (51)+TX, Beauveria bassiana (alternative name) (53)+TX, Beauveria brongniartii (alternative name) (54)+TX, Chrysoperla carnea (alternative name) (151)+TX, Cryptolaemus montrouzieri (alternative name) (178)+TX, Cydia pomonella GV (alternative name) (191)+TX, Dacnusa sibirica (alternative name) (212)+TX, Diglyphus isaea (alternative name) (254)+TX, Encarsia formosa (scientific name) (293)+TX, Eretmocerus eremicus (alternative name) (300)+TX, Helicoverpa zea NPV (alternative name) (431)+TX, Heterorhabditis bacteriophora and H. megidis (alternative name) (433)+TX, Hippodamia convergens (alternative name) (442)+TX, Leptomastix dactylopii (alternative name) (488)+TX, Macrolophus caliginosus (alternative name) (491)+TX, Mamestra brassicae NPV (alternative name) (494)+TX, Metaphycus helvolus (alternative name) (522)+TX, Metarhizium anisopliae var. acridum (scientific name) (523)+TX, Metarhizium anisopliae var. anisopliae (scientific name) (523)+TX, Neodiprion sertifer NPV and N. lecontei NPV (alternative name) (575)+TX, Orius spp. (alternative name) (596)+TX, Paecilomyces fumosoroseus (alternative name) (613)+TX, Phytoseiulus persimilis (alternative name) (644)+TX, Spodoptera exigua multicapsid nuclear polyhedrosis virus (scientific name) (741)+TX, Steinemema bibionis (alternative name) (742)+TX, Steinemema carpocapsae (alternative name) (742)+TX, Steinemema feltiae (alternative name) (742)+TX, Steinemema glaseri (alternative name) (742)+TX, Steinemema riobrave (alternative name) (742)+TX, Steinemema riobravis (alternative name) (742)+TX, Steinemema scapterisci (alternative name) (742)+TX, Steinemema spp. (alternative name) (742)+TX, Trichogramma spp. (alternative name) (826)+TX, Typhlodromus occidentalis (alternative name) (844) and Verticillium lecanii (alternative name) (848)+TX,
a soil sterilant selected from the group of substances consisting of iodomethane (IUPAC name) (542) and methyl bromide (537)+TX,
a chemosterilant selected from the group of substances consisting of apholate [CCN]+TX, bisazir (alternative name) [CCN]+TX, busulfan (alternative name) [CCN]+TX, diflubenzuron (250)+TX, dimatif (alternative name) [CCN]+TX, hemel [CCN]+TX, hempa [CCN]+TX, metepa [CCN]+TX, methiotepa [CCN]+TX, methyl apholate [CCN]+TX, morzid [CCN]+TX, penfluron (alternative name) [CCN]+TX, tepa [CCN]+TX, thiohempa (alternative name) [CCN]+TX, thiotepa (alternative name) [CCN]+TX, tretamine (alternative name) [CCN] and uredepa (alternative name) [CCN]+TX, an insect pheromone selected from the group of substances consisting of (E)-dec-5-en-1-yl acetate with (E)-dec-5-en-1-ol (IUPAC name) (222)+TX, (E)-tridec-4-en-1-yl acetate (IUPAC name) (829)+TX, (E)-6-methylhept-2-en-4-ol (IUPAC name) (541)+TX, (E,Z)-tetradeca-4,10-dien-1-yl acetate (IUPAC name) (779)+TX, (Z)-dodec-7-en-1-yl acetate (IUPAC name) (285)+TX, (Z)-hexadec-11-enal (IUPAC name) (436)+TX, (Z)-hexadec-11-en-1-yl acetate (IUPAC name) (437)+TX, (Z)-hexadec-13-en-11-yn-1-yl acetate (IUPAC name) (438)+TX, (Z)-icos-13-en-10-one (IUPAC name) (448)+TX, (Z)-tetradec-7-en-1-al (IUPAC name) (782)+TX, (Z)-tetradec-9-en-1-ol (IUPAC name) (783)+TX, (Z)-tetradec-9-en-1-yl acetate (IUPAC name) (784)+TX, (7E,9Z)-dodeca-7,9-dien-1-yl acetate (IUPAC name) (283)+TX, (9Z,11E)-tetradeca-9,11-dien-1-yl acetate (IUPAC name) (780)+TX, (9Z,12E)-tetradeca-9,12-dien-1-yl acetate (IUPAC name) (781)+TX, 14-methyloctadec-1-ene (IUPAC name) (545)+TX, 4-methylnonan-5-ol with 4-methylnonan-5-one (IUPAC name) (544)+TX, alpha-multistriatin (alternative name) [CCN]+TX, brevicomin (alternative name) [CCN]+TX, codlelure (alternative name) [CCN]+TX, codlemone (alternative name) (167)+TX, cuelure (alternative name) (179)+TX, disparlure (277)+TX, dodec-8-en-1-yl acetate (IUPAC name) (286)+TX, dodec-9-en-1-yl acetate (IUPAC name) (287)+TX, dodeca-8+TX, 10-dien-1-yl acetate (IUPAC name) (284)+TX, dominicalure (alternative name) [CCN]+TX, ethyl 4-methyloctanoate (IUPAC name) (317)+TX, eugenol (alternative name) [CCN]+TX, frontalin (alternative name) [CCN]+TX, gossyplure (alternative name) (420)+TX, grandlure (421)+TX, grandlure I (alternative name) (421)+TX, grandlure II (alternative name) (421)+TX, grandlure III (alternative name) (421)+TX, grandlure IV (alternative name) (421)+TX, hexalure [CCN]+TX, ipsdienol (alternative name) [CCN]+TX, ipsenol (alternative name) [CCN]+TX, japonilure (alternative name) (481)+TX, lineatin (alternative name) [CCN]+TX, litlure (alternative name) [CCN]+TX, looplure (alternative name) [CCN]+TX, medlure [CCN]+TX, megatomoic acid (alternative name) [CCN]+TX, methyl eugenol (alternative name) (540)+TX, muscalure (563)+TX, octadeca-2,13-dien-1-yl acetate (IUPAC name) (588)+TX, octadeca-3,13-dien-1-yl acetate (IUPAC name) (589)+TX, orfralure (alternative name) [CCN]+TX, oryctalure (alternative name) (317)+TX, ostramone (alternative name) [CCN]+TX, siglure [CCN]+TX, sordidin (alternative name) (736)+TX, sulcatol (alternative name) [CCN]+TX, tetradec-11-en-1-yl acetate (IUPAC name) (785)+TX, trimedlure (839)+TX, trimedlure A (alternative name) (839)+TX, trimedlure B1(alternative name) (839)+TX, trimedlure B2(alternative name) (839)+TX, trimedlure C (alternative name) (839) and trunc-call (alternative name) [CCN]+TX,
an insect repellent selected from the group of substances consisting of 2-(octylthio)ethanol (IUPAC name) (591)+TX, butopyronoxyl (933)+TX, butoxy(polypropylene glycol) (936)+TX, dibutyl adipate (IUPAC name) (1046)+TX, dibutyl phthalate (1047)+TX, dibutyl succinate (IUPAC name) (1048)+TX, diethyltoluamide [CCN]+TX, dimethyl carbate [CCN]+TX, dimethyl phthalate [CCN]+TX, ethyl hexanediol (1137)+TX, hexamide [CCN]+TX, methoquin-butyl (1276)+TX, methylneodecanamide [CCN]+TX, oxamate [CCN] and picaridin [CCN]+TX,
an insecticide selected from the group of substances consisting of 1-dichloro-1-nitroethane (IUPAC/Chemical Abstracts name) (1058)+TX, 1,1-dichloro-2,2-bis(4-ethylphenyl)ethane (IUPAC name) (1056), +TX, 1,2-dichloropropane (IUPAC/Chemical Abstracts name) (1062)+TX, 1,2-dichloropropane with 1,3-dichloropropene (IUPAC name) (1063)+TX, 1-bromo-2-chloroethane (IUPAC/Chemical Abstracts name) (916)+TX, 2,2,2-trichloro-1-(3,4-dichlorophenyl)ethyl acetate (IUPAC name) (1451)+TX, 2,2-dichlorovinyl 2-ethylsulfinylethyl methyl phosphate (IUPAC name) (1066)+TX, 2-(1,3-dithiolan-2-yl)phenyl dimethylcarbamate (IUPAC/Chemical Abstracts name) (1109)+TX, 2-(2-butoxyethoxy)ethyl thiocyanate (IUPAC/Chemical Abstracts name) (935)+TX, 2-(4,5-dimethyl-1,3-dioxolan-2-yl)phenyl methylcarbamate (IUPAC/Chemical Abstracts name) (1084)+TX, 2-(4-chloro-3,5-xylyloxy)ethanol (IUPAC name) (986)+TX, 2-chlorovinyl diethyl phosphate (IUPAC name) (984)+TX, 2-imidazolidone (IUPAC name) (1225)+TX, 2-isovalerylindan-1,3-dione (IUPAC name) (1246)+TX, 2-methyl(prop-2-ynyl)aminophenyl methylcarbamate (IUPAC name) (1284)+TX, 2-thiocyanatoethyl laurate (IUPAC name) (1433)+TX, 3-bromo-1-chloroprop-1-ene (IUPAC name) (917)+TX, 3-methyl-1-phenylpyrazol-5-yl dimethylcarbamate (IUPAC name) (1283)+TX, 4-methyl(prop-2-ynyl)amino-3,5-xylyl methylcarbamate (IUPAC name) (1285)+TX, 5,5-dimethyl-3-oxocyclohex-1-enyl dimethylcarbamate (IUPAC name) (1085)+TX, abamectin (1)+TX, acephate (2)+TX, acetamiprid (4)+TX, acethion (alternative name) [CCN]+TX, acetoprole [CCN]+TX, acrinathrin (9)+TX, acrylonitrile (IUPAC name) (861)+TX, alanycarb (15)+TX, aldicarb (16)+TX, aldoxycarb (863)+TX, aldrin (864)+TX, allethrin (17)+TX, allosamidin (alternative name) [CCN]+TX, allyxycarb (866)+TX, alpha-cypermethrin (202)+TX, alpha-ecdysone (alternative name) [CCN]+TX, aluminium phosphide (640)+TX, amidithion (870)+TX, amidothioate (872)+TX, aminocarb (873)+TX, amiton (875)+TX, amiton hydrogen oxalate (875)+TX, amitraz (24)+TX, anabasine (877)+TX, athidathion (883)+TX, AVI 382 (compound code)+TX, AZ 60541 (compound code)+TX, azadirachtin (alternative name) (41)+TX, azamethiphos (42)+TX, azinphos-ethyl (44)+TX, azinphos-methyl (45)+TX, azothoate (889)+TX, Bacillus thuringiensis delta endotoxins (alternative name) (52)+TX, barium hexafluorosilicate (alternative name) [CCN]+TX, barium polysulfide (IUPAC/Chemical Abstracts name) (892)+TX, barthrin [CCN]+TX, Bayer 22/190 (development code) (893)+TX, Bayer 22408 (development code) (894)+TX, bendiocarb (58)+TX, benfuracarb (60)+TX, bensultap (66)+TX, beta-cyfluthrin (194)+TX, beta-cypermethrin (203)+TX, bifenthrin (76)+TX, bioallethrin (78)+TX, bioallethrin S-cyclopentenyl isomer (alternative name) (79)+TX, bioethanomethrin [CCN]+TX, biopermethrin (908)+TX, bioresmethrin (80)+TX, bis(2-chloroethyl) ether (IUPAC name) (909)+TX, bistrifluron (83)+TX, borax (86)+TX, brofenvalerate (alternative name)+TX, bromfenvinfos (914)+TX, bromocyclen (918)+TX, bromo-DDT (alternative name) [CCN]+TX, bromophos (920)+TX, bromophos-ethyl (921)+TX, bufencarb (924)+TX, buprofezin (99)+TX, butacarb (926)+TX, butathiofos (927)+TX, butocarboxim (103)+TX, butonate (932)+TX, butoxycarboxim (104)+TX, butylpyridaben (alternative name)+TX, cadusafos (109)+TX, calcium arsenate [CCN]+TX, calcium cyanide (444)+TX, calcium polysulfide (IUPAC name) (111)+TX, camphechlor (941)+TX, carbanolate (943)+TX, carbaryl (115)+TX, carbofuran (118)+TX, carbon disulfide (IUPAC/Chemical Abstracts name) (945)+TX, carbon tetrachloride (IUPAC name) (946)+TX, carbophenothion (947)+TX, carbosulfan (119)+TX, cartap (123)+TX, cartap hydrochloride (123)+TX, cevadine (alternative name) (725)+TX, chlorbicyclen (960)+TX, chlordane (128)+TX, chlordecone (963)+TX, chlordimeform (964)+TX, chlordimeform hydrochloride (964)+TX, chlorethoxyfos (129)+TX, chlorfenapyr (130)+TX, chlorfenvinphos (131)+TX, chlorfluazuron (132)+TX, chlormephos (136)+TX, chloroform [CCN]+TX, chloropicrin (141)+TX, chlorphoxim (989)+TX, chlorprazophos (990)+TX, chlorpyrifos (145)+TX, chlorpyrifos-methyl (146)+TX, chlorthiophos (994)+TX, chromafenozide (150)+TX, cinerin 1 (696)+TX, cinerin 11 (696)+TX, cinerins (696)+TX, cis-resmethrin (alternative name)+TX, cismethrin (80)+TX, clocythrin (alternative name)+TX, cloethocarb (999)+TX, closantel (alternative name) [CCN]+TX, clothianidin (165)+TX, copper acetoarsenite [CCN]+TX, copper arsenate [CCN]+TX, copper oleate [CCN]+TX, coumaphos (174)+TX, coumithoate (1006)+TX, crotamiton (alternative name) [CCN]+TX, crotoxyphos (1010)+TX, crufomate (1011)+TX, cryolite (alternative name) (177)+TX, CS 708 (development code) (1012)+TX, cyanofenphos (1019)+TX, cyanophos (184)+TX, cyanthoate (1020)+TX, cyclethrin [CCN]+TX, cycloprothrin (188)+TX, cyfluthrin (193)+TX, cyhalothrin (196)+TX, cypermethrin (201)+TX, cyphenothrin (206)+TX, cyromazine (209)+TX, cythioate (alternative name) [CCN]+TX, d-limonene (alternative name) [CCN]+TX, d-tetramethrin (alternative name) (788)+TX, DAEP (1031)+TX, dazomet (216)+TX, DDT (219)+TX, decarbofuran (1034)+TX, deltamethrin (223)+TX, demephion (1037)+TX, demephion-O (1037)+TX, demephion-S (1037)+TX, demeton (1038)+TX, demeton-methyl (224)+TX, demeton-O (1038)+TX, demeton-O-methyl (224)+TX, demeton-S (1038)+TX, demeton-S-methyl (224)+TX, demeton-S-methylsulphon (1039)+TX, diafenthiuron (226)+TX, dialifos (1042)+TX, diamidafos (1044)+TX, diazinon (227)+TX, dicapthon (1050)+TX, dichlofenthion (1051)+TX, dichlorvos (236)+TX, dicliphos (alternative name)+TX, dicresyl (alternative name) [CCN]+TX, dicrotophos (243)+TX, dicyclanil (244)+TX, dieldrin (1070)+TX, diethyl 5-methylpyrazol-3-yl phosphate (IUPAC name) (1076)+TX, diflubenzuron (250)+TX, dilor (alternative name) [CCN]+TX, dimefluthrin [CCN]+TX, dimefox (1081)+TX, dimetan (1085)+TX, dimethoate (262)+TX, dimethrin (1083)+TX, dimethylvinphos (265)+TX, dimetilan (1086)+TX, dinex (1089)+TX, dinex-diclexine (1089)+TX, dinoprop (1093)+TX, dinosam (1094)+TX, dinoseb (1095)+TX, dinotefuran (271)+TX, diofenolan (1099)+TX, dioxabenzofos (1100)+TX, dioxacarb (1101)+TX, dioxathion (1102)+TX, disulfoton (278)+TX, dithicrofos (1108)+TX, DNOC (282)+TX, doramectin (alternative name) [CCN]+TX, DSP (1115)+TX, ecdysterone (alternative name) [CCN]+TX, El 1642 (development code) (1118)+TX, emamectin (291)+TX, emamectin benzoate (291)+TX, EMPC (1120)+TX, empenthrin (292)+TX, endosulfan (294)+TX, endothion (1121)+TX, endrin (1122)+TX, EPBP (1123)+TX, EPN (297)+TX, epofenonane (1124)+TX, eprinomectin (alternative name) [CCN]+TX, esfenvalerate (302)+TX, etaphos (alternative name) [CCN]+TX, ethiofencarb (308)+TX, ethion (309)+TX, ethiprole (310)+TX, ethoate-methyl (1134)+TX, ethoprophos (312)+TX, ethyl formate (IUPAC name) [CCN]+TX, ethyl-DDD (alternative name) (1056)+TX, ethylene dibromide (316)+TX, ethylene dichloride (chemical name) (1136)+TX, ethylene oxide [CCN]+TX, etofenprox (319)+TX, etrimfos (1142)+TX, EXD (1143)+TX, famphur (323)+TX, fenamiphos (326)+TX, fenazaflor (1147)+TX, fenchlorphos (1148)+TX, fenethacarb (1149)+TX, fenfluthrin (1150)+TX, fenitrothion (335)+TX, fenobucarb (336)+TX, fenoxacrim (1153)+TX, fenoxycarb (340)+TX, fenpirithrin (1155)+TX, fenpropathrin (342)+TX, fenpyrad (alternative name)+TX, fensulfothion (1158)+TX, fenthion (346)+TX, fenthion-ethyl [CCN]+TX, fenvalerate (349)+TX, fipronil (354)+TX, flonicamid (358)+TX, flubendiamide (CAS. Reg. No.: 272451-65-7)+TX, flucofuron (1168)+TX, flucycloxuron (366)+TX, flucythrinate (367)+TX, fluenetil (1169)+TX, flufenerim [CCN]+TX, flufenoxuron (370)+TX, flufenprox (1171)+TX, flumethrin (372)+TX, fluvalinate (1184)+TX, FMC 1137 (development code) (1185)+TX, fonofos (1191)+TX, formetanate (405)+TX, formetanate hydrochloride (405)+TX, formothion (1192)+TX, formparanate (1193)+TX, fosmethilan (1194)+TX, fospirate (1195)+TX, fosthiazate (408)+TX, fosthietan (1196)+TX, furathiocarb (412)+TX, furethrin (1200)+TX, gamma-cyhalothrin (197)+TX, gamma-HCH (430)+TX, guazatine (422)+TX, guazatine acetates (422)+TX, GY-81 (development code) (423)+TX, halfenprox (424)+TX, halofenozide (425)+TX, HCH (430)+TX, HEOD (1070)+TX, heptachlor (1211)+TX, heptenophos (432)+TX, heterophos [CCN]+TX, hexaflumuron (439)+TX, HHDN (864)+TX, hydramethylnon (443)+TX, hydrogen cyanide (444)+TX, hydroprene (445)+TX, hyquincarb (1223)+TX, imidacloprid (458)+TX, imiprothrin (460)+TX, indoxacarb (465)+TX, iodomethane (IUPAC name) (542)+TX, IPSP (1229)+TX, isazofos (1231)+TX, isobenzan (1232)+TX, isocarbophos (alternative name) (473)+TX, isodrin (1235)+TX, isofenphos (1236)+TX, isolane (1237)+TX, isoprocarb (472)+TX, isopropyl O-(methoxyaminothiophosphoryl)salicylate (IUPAC name) (473)+TX, isoprothiolane (474)+TX, isothioate (1244)+TX, isoxathion (480)+TX, ivermectin (alternative name) [CCN]+TX, jasmolin 1 (696)+TX, jasmolin II (696)+TX, jodfenphos (1248)+TX, juvenile hormone I (alternative name) [CCN]+TX, juvenile hormone II (alternative name) [CCN]+TX, juvenile hormone III (alternative name) [CCN]+TX, kelevan (1249)+TX, kinnoprene (484)+TX, lambda-cyhalothrin (198)+TX, lead arsenate [CCN]+TX, lepimectin (CCN)+TX, leptophos (1250)+TX, lindane (430)+TX, lirimfos (1251)+TX, lufenuron (490)+TX, lythidathion (1253)+TX, m-cumenyl methylcarbamate (IUPAC name) (1014)+TX, magnesium phosphide (IUPAC name) (640)+TX, malathion (492)+TX, malonoben (1254)+TX, mazidox (1255)+TX, mecarbam (502)+TX, mecarphon (1258)+TX, menazon (1260)+TX, mephosfolan (1261)+TX, mercurous chloride (513)+TX, mesulfenfos (1263)+TX, metaflumizone (CCN)+TX, metam (519)+TX, metam-potassium (alternative name) (519)+TX, metam-sodium (519)+TX, methacrifos (1266)+TX, methamidophos (527)+TX, methanesulfonyl fluoride (IUPAC/Chemical Abstracts name) (1268)+TX, methidathion (529)+TX, methiocarb (530)+TX, methocrotophos (1273)+TX, methomyl (531)+TX, methoprene (532)+TX, methoquin-butyl (1276)+TX, methothrin (alternative name) (533)+TX, methoxychlor (534)+TX, methoxyfenozide (535)+TX, methyl bromide (537)+TX, methyl isothiocyanate (543)+TX, methylchloroform (alternative name) [CCN]+TX, methylene chloride [CCN]+TX, metofluthrin [CCN]+TX, metolcarb (550)+TX, metoxadiazone (1288)+TX, mevinphos (556)+TX, mexacarbate (1290)+TX, milbemectin (557)+TX, milbemycin oxime (alternative name) [CCN]+TX, mipafox (1293)+TX, mirex (1294)+TX, monocrotophos (561)+TX, morphothion (1300)+TX, moxidectin (alternative name) [CCN]+TX, naftalofos (alternative name) [CCN]+TX, naled (567)+TX, naphthalene (IUPAC/Chemical Abstracts name) (1303)+TX, NC-170 (development code) (1306)+TX, NC-184 (compound code)+TX, nicotine (578)+TX, nicotine sulfate (578)+TX, nifluridide (1309)+TX, nitenpyram (579)+TX, nithiazine (1311)+TX, nitrilacarb (1313)+TX, nitrilacarb 1:1 zinc chloride complex (1313)+TX, NNI-0101 (compound code)+TX, NNI-0250 (compound code)+TX, nomicotine (traditional name) (1319)+TX, novaluron (585)+TX, noviflumuron (586)+TX, O-5-dichloro-4-iodophenyl O-ethyl ethylphosphonothioate (IUPAC name) (1057)+TX, O,O-diethyl O-4-methyl-2-oxo-2H-chromen-7-yl phosphorothioate (IUPAC name) (1074)+TX, O,O-diethyl O-6-methyl-2-propylpyrimidin-4-yl phosphorothioate (IUPAC name) (1075)+TX, O,O,O′,O′-tetrapropyl dithiopyrophosphate (IUPAC name) (1424)+TX, oleic acid (IUPAC name) (593)+TX, omethoate (594)+TX, oxamyl (602)+TX, oxydemeton-methyl (609)+TX, oxydeprofos (1324)+TX, oxydisulfoton (1325)+TX, pp′-DDT (219)+TX, para-dichlorobenzene [CCN]+TX, parathion (615)+TX, parathion-methyl (616)+TX, penfluron (alternative name) [CCN]+TX, pentachlorophenol (623)+TX, pentachlorophenyl laurate (IUPAC name) (623)+TX, permethrin (626)+TX, petroleum oils (alternative name) (628)+TX, PH 60-38 (development code) (1328)+TX, phenkapton (1330)+TX, phenothrin (630)+TX, phenthoate (631)+TX, phorate (636)+TX, phosalone (637)+TX, phosfolan (1338)+TX, phosmet (638)+TX, phosnichlor (1339)+TX, phosphamidon (639)+TX, phosphine (IUPAC name) (640)+TX, phoxim (642)+TX, phoxim-methyl (1340)+TX, pirimetaphos (1344)+TX, pirimicarb (651)+TX, pirimiphos-ethyl (1345)+TX, pirimiphos-methyl (652)+TX, polychlorodicyclopentadiene isomers (IUPAC name) (1346)+TX, polychloroterpenes (traditional name) (1347)+TX, potassium arsenite [CCN]+TX, potassium thiocyanate [CCN]+TX, prallethrin (655)+TX, precocene I (alternative name) [CCN]+TX, precocene II (alternative name) [CCN]+TX, precocene III (alternative name) [CCN]+TX, primidophos (1349)+TX, profenofos (662)+TX, profluthrin [CCN]+TX, promacyl (1354)+TX, promecarb (1355)+TX, propaphos (1356)+TX, propetamphos (673)+TX, propoxur (678)+TX, prothidathion (1360)+TX, prothiofos (686)+TX, prothoate (1362)+TX, protrifenbute [CCN]+TX, pymetrozine (688)+TX, pyraclofos (689)+TX, pyrazophos (693)+TX, pyresmethrin (1367)+TX, pyrethrin I (696)+TX, pyrethrin 11 (696)+TX, pyrethrins (696)+TX, pyridaben (699)+TX, pyridalyl (700)+TX, pyridaphenthion (701)+TX, pyrimidifen (706)+TX, pyrimitate (1370)+TX, pyriproxyfen (708)+TX, quassia (alternative name) [CCN]+TX, quialphos (711)+TX, quinalphos-methyl (1376)+TX, quinothion (1380)+TX, quintiofos (1381)+TX, R-1492 (development code) (1382)+TX, rafoxanide (alternative name) [CCN]+TX, resmethrin (719)+TX, rotenone (722)+TX, RU 15525 (development code) (723)+TX, RU 25475 (development code) (1386)+TX, ryania (alternative name) (1387)+TX, ryanodine (traditional name) (1387)+TX, sabadilla (alternative name) (725)+TX, schradan (1389)+TX, sebufos (alternative name)+TX, selamectin (alternative name) [CCN]+TX, SI-0009 (compound code)+TX, SI-0205 (compound code)+TX, SI-0404 (compound code)+TX, SI-0405 (compound code)+TX, silafluofen (728)+TX, SN 72129 (development code) (1397)+TX, sodium arsenite [CCN]+TX, sodium cyanide (444)+TX, sodium fluoride (IUPAC/Chemical Abstracts name) (1399)+TX, sodium hexafluoroslicate (1400)+TX, sodium pentachlorophenoxide (623)+TX, sodium selenate (IUPAC name) (1401)+TX, sodium thiocyanate [CCN]+TX, sophamide (1402)+TX, spinosad (737)+TX, spiromesifen (739)+TX, spirotetrmat (CCN)+TX, sulcofuron (746)+TX, sulcofuron-sodium (746)+TX, sulfluramid (750)+TX, sulfotep (753)+TX, sulfuryl fluoride (756)+TX, sulprofos (1408)+TX, tar oils (alternative name) (758)+TX, tau-fluvalinate (398)+TX, tazimcarb (1412)+TX, TDE (1414)+TX, tebufenozide (762)+TX, tebufenpyrad (763)+TX, tebupirimfos (764)+TX, teflubenzuron (768)+TX, tefluthrin (769)+TX, temephos (770)+TX, TEPP (1417)+TX, terallethrin (1418)+TX, terbam (alternative name)+TX, terbufos (773)+TX, tetrachloroethane [CCN]+TX, tetrachlorvinphos (777)+TX, tetramethrin (787)+TX, theta-cypermethrin (204)+TX, thiacloprid (791)+TX, thiafenox (alternative name)+TX, thiamethoxam (792)+TX, thicrofos (1428)+TX, thiocarboxime (1431)+TX, thiocyclam (798)+TX, thiocylam hydrogen oxalate (798)+TX, thiodicarb (799)+TX, thiofanox (800)+TX, thiometon (801)+TX, thionazin (1434)+TX, thiosultap (803)+TX, thiosultap-sodium (803)+TX, thuringiensin (alternative name) [CCN]+TX, tolfenpyrad (809)+TX, tralomethrin (812)+TX, transfluthrin (813)+TX, transpermethrin (1440)+TX, triamiphos (1441)+TX, triazamate (818)+TX, triazophos (820)+TX, triazuron (alternative name)+TX, trichlorfon (824)+TX, trichlormetaphos-3 (alternative name) [CCN]+TX, trichloronat (1452)+TX, trifenofos (1455)+TX, triflumuron (835)+TX, trimethacarb (840)+TX, triprene (1459)+TX, vamidothion (847)+TX, vaniliprole [CCN]+TX, veratridine (alternative name) (725)+TX, veratrine (alternative name) (725)+TX, XMC (853)+TX, xylylcarb (854)+TX, YI-5302 (compound code)+TX, zeta-cypermethrin (205)+TX, zetamethrin (alternative name)+TX, zinc phosphide (640)+TX, zolaprofos (1469) and ZXI 8901 (development code) (858)+TX, cyantraniliprole [736994-63-19+TX, chlorantraniliprole [50000845-7]+TX, cyenopyrafen [560121-52-0]+TX, cyflumetofen [400882-07-7]+TX, pyrifluquinazon [337458-27-2]+TX, spinetoram [187166-40-1+187166-15-0]+TX, spirotetramat [203313-25-1]+TX, sulfoxaflor [946578-00-3]+TX, flufiprole [704886-18-0]+TX, meperfluthrin [915288-13-0]+TX, tetramethylfluthrin [84937-88-2]+TX, triflumezopyrim (disclosed in WO 2012/092115)+TX,
a molluscicide selected from the group of substances consisting of bis(tributyltin) oxide (IUPAC name) (913)+TX, bromoacetamide [CCN]+TX, calcium arsenate [CCN]+TX, cloethocarb (999)+TX, copper acetoarsenite [CCN]+TX, copper sulfate (172)+TX, fentin (347)+TX, ferric phosphate (IUPAC name) (352)+TX, metaldehyde (518)+TX, methiocarb (530)+TX, niclosamide (576)+TX, niclosamide-olamine (576)+TX, pentachlorophenol (623)+TX, sodium pentachlorophenoxide (623)+TX, tazimcarb (1412)+TX, thiodicarb (799)+TX, tributyltin oxide (913)+TX, trifenmorph (1454)+TX, trimethacarb (840)+TX, triphenyltin acetate (IUPAC name) (347) and triphenyltin hydroxide (IUPAC name) (347)+TX, pyriprole [394730-71-3]+TX,
a nematicide selected from the group of substances consisting of AKD-3088 (compound code)+TX, 1,2-dibromo-3-chloropropane (IUPAC/Chemical Abstracts name) (1045)+TX, 1,2-dichloropropane (IUPAC/Chemical Abstracts name) (1062)+TX, 1 2-dichloropropane with 1,3-dichloropropene (IUPAC name) (1063)+TX, 1,3-dichloropropene (233)+TX, 3,4-dichlorotetrahydrothiophene 1,1-dioxide (IUPAC/Chemical Abstracts name) (1065)+TX, 3-(4-chlorophenyl)-5-methylrhodanine (IUPAC name) (980)+TX, 5-methyl-6-thioxo-1,3,5-thiadiazinan-3-ylacetic acid (IUPAC name) (1286)+TX, 6-isopentenylaminopurine (alternative name) (210)+TX, abamectin (1)+TX, acetoprole [CCN]+TX, alanycarb (15)+TX, aldicarb (16)+TX, aldoxycarb (863)+TX, AZ 60541 (compound code)+TX, benclothiaz [CCN]+TX, benomyl (62)+TX, butylpyridaben (alternative name)+TX, cadusafos (109)+TX, carbofuran (118)+TX, carbon disulfide (945)+TX, carbosulfan (119)+TX, chloropicrin (141)+TX, chlorpyrifos (145)+TX, cloethocarb (999)+TX, cytokinins (alternative name) (210)+TX, dazomet (216)+TX, DBCP (1045)+TX, DCIP (218)+TX, diamidafos (1044)+TX, dichlofenthion (1051)+TX, dicliphos (alternative name)+TX, dimethoate (262)+TX, doramectin (alternative name) [CCN]+TX, emamectin (291)+TX, emamectin benzoate (291)+TX, eprinomectin (alternative name) [CCN]+TX, ethoprophos (312)+TX, ethylene dibromide (316)+TX, fenamiphos (326)+TX, fenpyrad (alternative name)+TX, fensulfothion (1158)+TX, fosthiazate (408)+TX, fosthietan (1196)+TX, furfural (alternative name) [CCN]+TX, GY-81 (development code) (423)+TX, heterophos [CCN]+TX, iodomethane (IUPAC name) (542)+TX, isamidofos (1230)+TX, isazofos (1231)+TX, ivermectin (alternative name) [CCN]+TX, kinetin (alternative name) (210)+TX, mecarphon (1258)+TX, metam (519)+TX, metam-potassium (alternative name) (519)+TX, metam-sodium (519)+TX, methyl bromide (537)+TX, methyl isothiocyanate (543)+TX, mibemycin oxime (alternative name) [CCN]+TX, moxidectin (alternative name) [CCN]+TX, Myrothecium verrucaria composition (alternative name) (565)+TX, NC-184 (compound code)+TX, oxamyl (602)+TX, phorate (636)+TX, phosphamidon (639)+TX, phosphocarb [CCN]+TX, sebufos (alternative name)+TX, selamectin (alternative name) [CCN]+TX, spinosad (737)+TX, terbam (alternative name)+TX, terbufos (773)+TX, tetrachlorothiophene (IUPAC/Chemical Abstracts name) (1422)+TX, thiafenox (alternative name)+TX, thionazin (1434)+TX, triazophos (820)+TX, triazuron (alternative name)+TX, xylenols [CCN]+TX, YI-5302 (compound code) and zeatin (alternative name) (210)+TX, fluensulfone [318290-98-1]+TX, a nitrification inhibitor selected from the group of substances consisting of potassium ethylxanthate [CCN] and nitrapyrin (580)+TX,
a plant activator selected from the group of substances consisting of acibenzolar (6)+TX, acibenzolar-S-methyl (6)+TX, probenazole (658) and Reynoutria sachalinensis extract (alternative name) (720)+TX, a rodenticide selected from the group of substances consisting of 2-isovalerylindan-1,3-dione (IUPAC name) (1246)+TX, 4-(quinoxalin-2-ylamino)benzenesulfonamide (IUPAC name) (748)+TX, alpha-chlorohydrin [CCN]+TX, aluminum phosphide (640)+TX, antu (880)+TX, arsenous oxide (882)+TX, barium carbonate (891)+TX, bisthiosemi (912)+TX, brodifacoum (89)+TX, bromadiolone (91)+TX, bromethalin (92)+TX, calcium cyanide (444)+TX, chloralose (127)+TX, chlorophacinone (140)+TX, cholecalciferol (alternative name) (850)+TX, coumachlor (1004)+TX, coumafuryl (1005)+TX, coumatetralyl (175)+TX, crimidine (1009)+TX, difenacoum (246)+TX, difethialone (249)+TX, diphacinone (273)+TX, ergocalciferol (301)+TX, flocoumafen (357)+TX, fluoroacetamide (379)+TX, flupropadine (1183)+TX, flupropadine hydrochloride (1183)+TX, gamma-HCH (430)+TX, HCH (430)+TX, hydrogen cyanide (444)+TX, iodomethane (IUPAC name) (542)+TX, lindane (430)+TX, magnesium phosphide (IUPAC name) (640)+TX, methyl bromide (537)+TX, norbormide (1318)+TX, phosacetim (1336)+TX, phosphine (IUPAC name) (640)+TX, phosphorus [CCN]+TX, pindone (1341)+TX, potassium arsenite [CCN]+TX, pyrinuron (1371)+TX, scilliroside (1390)+TX, sodium arsenite [CCN]+TX, sodium cyanide (444)+TX, sodium fluoroacetate (735)+TX, strychnine (745)+TX, thallium sulfate [CCN]+TX, warfarin (851) and zinc phosphide (640)+TX,
a synergist selected from the group of substances consisting of 2-(2-butoxyethoxy)ethyl piperonylate (IUPAC name) (934)+TX, 5-(1 3-benzodioxol-5-yl)-3-hexylcyclohex-2-enone (IUPAC name) (903)+TX, farnesol with nerolidol (alternative name) (324)+TX, MB-599 (development code) (498)+TX, MGK 264 (development code) (296)+TX, piperonyl butoxide (649)+TX, piprotal (1343)+TX, propyl isomer (1358)+TX, S421 (development code) (724)+TX, sesamex (1393)+TX, sesasmolin (1394) and sulfoxide (1406)+TX,
an animal repellent selected from the group of substances consisting of anthraquinone (32)+TX, chloralose (127)+TX, copper naphthenate [CCN]+TX, copper oxychloride (171)+TX, diazinon (227)+TX, dicyclopentadiene (chemical name) (1069)+TX, guazatine (422)+TX, guazatine acetates (422)+TX, methiocarb (530)+TX, pyridin-4-amine (IUPAC name) (23)+TX, thiram (804)+TX, trimethacarb (840)+TX, zinc naphthenate [CCN] and ziram (856)+TX,
a virucide selected from the group of substances consisting of imanin (alternative name) [CCN] and ribavirin (alternative name) [CCN]+TX,
a wound protectant selected from the group of substances consisting of mercuric oxide (512)+TX, octhilinone (590) and thiophanate-methyl (802)+TX,
and biologically active compounds selected from the group consisting of azaconazole (60207-31-0]+TX, bitertanol [70585-36-3]+TX, bromuconazole [116255-48-2]+TX, cyproconazole [94361-06-5]+TX, difenoconazole [119446-68-3]+TX, diniconazole [83657-24-3]+TX, epoxiconazole [106325-08-0]+TX, fenbuconazole [114369-43-6]+TX, fluquinconazole [136426-54-5]+TX, flusilazole [85509-19-9]+TX, flutriafol [76674-21-0]+TX, hexaconazole [79983-71-4]+TX, imazalil [35554-44-0]+TX, imibenconazole [86598-92-7]+TX, ipconazole [125225-28-7]+TX, metconazole [125116-23-6]+TX, myclobutanil [88671-89-0]+TX, pefurazoate [101903-30-4]+TX, penconazole [66246-88-6]+TX, prothioconazole [178928-70-6]+TX, pyrifenox [88283-41-4]+TX, prochloraz [67747-09-5]+TX, propiconazole [60207-90-1]+TX, simeconazole [149508-90-7]+TX, tebuconazole [107534-96-3]+TX, tetraconazole [112281-77-3]+TX, triadimefon [43121-43-3]+TX, triadimenol [55219-65-3]+TX, triflumizole [99387-89-0]+TX, triticonazole [131983-72-7]+TX, ancymidol [12771-68-5]+TX, fenarimol [60168-88-9]+TX, nuarimol [63284-71-9]+TX, bupirimate [41483-43-6]+TX, dimethirimol [5221-53-4]+TX, ethirimol [23947-60-6]+TX, dodemorph [1593-77-7]+TX, fenpropidine [67306-00-7]+TX, fenpropimorph [67564-91-4]+TX, spiroxamine [118134-30-8]+TX, tridemorph [81412-43-3]+TX, cyprodinil [12155261-2]+TX, mepanipyrim [110235-47-7]+TX, pyrimethanil [53112-28-0]+TX, fenpiclonil [74738-17-3]+TX, fludioxonil [131341-86-1]+TX, benalaxyl [71626-11-4]+TX, furalaxyl [57646-30-7]+TX, metalaxyl [57837-19-1]+TX, R-metalaxyl [70630-17-0]+TX, ofurace [58810-48-3]+TX, oxadixyl [77732-09-3]+TX, benomyl [17804-35-2]+TX, carbendazim [10605-21-7]+TX, debacarb [62732-91-6]+TX, fuberidazole [3878-19-1]+TX, thiabendazole [148-79-8]+TX, chlozolinate [84332-86-5]+TX, dichlozoline [24201-58-9]+TX, iprodione [36734-19-7]+TX, myclozoline [54864-61-8]+TX, procymidone [32809-16-8]+TX, vinclozoline [50471-44-8]+TX, boscalid [188425-85-6]+TX, carboxin [5234-68-4]+TX, fenfuram [24691-80-3]+TX, flutolanil [66332-96-5]+TX, mepronil [55814-41-0]+TX, oxycarboxin [5259-88-1]+TX, penthiopyrad [183675-82-3]+TX, thifluzamide [130000-40-7]+TX, guazatine [108173-90-6]+TX, dodine [2439-10-3] [112-65-2](free base)+TX, iminoctadine [13516-27-3]+TX, azoxystrobin [131860-33-8]+TX, dimoxystrobin [149961-52-4]+TX, enestroburin {Proc. BCPC, Int. Congr., Glasgow, 2003, 1, 93}+TX, fluoxastrobin [361377-29-9]+TX, kresoxim-methyl [143390-89-0]+TX, metominostrobin [133408-50-1]+TX, trifloxystrobin [141517-21-7]+TX, orysastrobin [248593-16-0]+TX, picoxystrobin [117428-22-5]+TX, pyraclostrobin [175013-18-0]+TX, ferbam [14484-64-1]+TX, mancozeb [8018-01-7]+TX, maneb [12427-38-2]+TX, metiram [9006-42-2]+TX, propineb [12071-83-9]+TX, thiram [137-26-8]+TX, zineb [12122-67-7]+TX, ziram [137-30-4]+TX, captafol [2425-06-1]+TX, captan [133-06-2]+TX, dichlofluanid [1085-98-9]+TX, fluoroimide [41205-21-4]+TX, folpet [133-07-3]+TX, tolylfluanid [731-27-1]+TX, bordeaux mixture [8011-63-0]+TX, copperhydroxid [20427-59-2]+TX, copperoxychlorid [1332-40-7]+TX, coppersulfat [7758-98-7]+TX, copperoxid [1317-39-1]+TX, mancopper [53988-93-5]+TX, oxine-copper [10380-28-6]+TX, dinocap [131-72-6]+TX, nitrothal-isopropyl [10552-74-6]+TX, edifenphos [1710949-8]+TX, iprobenphos [26087-47-8]+TX, isoprothiolane [50512-35-1]+TX, phosdiphen [36519-00-3]+TX, pyrazophos [13457-18-6]+TX, tolclofos-methyl [57018-04-9]+TX, acibenzolar-S-methyl [135158-54-2]+TX, anilazine [101-05-3]+TX, benthiavalicarb [413615-35-7]+TX, blasticidin-S [2079-00-7]+TX, chinomethionat [2439-01-2]+TX, chloroneb [2675-77-6]+TX, chlorothalonil [1897-45-6]+TX, cyflufenamid [180409-60-3]+TX, cymoxanil [57966-95-7+TX, dichlone [117-80-6]+TX, diclocymet [139920-32-4]+TX, diclomezine [62865-36-5]+TX, dicloran (99-30-9]+TX, diethofencarb (87130-20-9)+TX, dimethomorph [110488-70-5]+TX, SYP-LI90 (Flumorph) (211867-47-91+TX, dithianon [3347-22-6]+TX, ethaboxam [162650-77-3]+TX, etridiazole [2593-15-9]+TX, famoxadone (131807-57-3)+TX, fenamidone [161326-34-7)+TX, fenoxanil (115852-48-7]+TX, fentin [668-34-8]+TX, ferimzone [89269-64-7]+TX, fluazinam [79622-59-6]+TX, fluopicolide [239110-15-7]+TX, flusulfamide [106917-52-6]+TX, fenhexamid [126833-17-8]+TX, fosetyl-aluminium [39148-24-8]+TX, hymexazol [10004-44-1]+TX, iprovalicarb [140923-17-7]+TX, IKF-916 (Cyazofamid) [120116-88-3]+TX, kasugamycin [6980-18-3]+TX, methasulfocarb (66952-49-6)+TX, metrafenone [220899-03-6]+TX, pencycuron (66063-05-6)+TX, phthalide [27355-22-2]+TX, polyoxins [11113-80-7]+TX, probenazole [27605-76-1]+TX, propamocarb [25606-41-1]+TX, proquinazid [189278-12-4]+TX, pyroquilon [57369-32-1]+TX, quinoxyfen [124495-18-7]+TX, quintozene [82-68-8]+TX, sulfur [7704-34-9]+TX, tiadinil [223580-51-6]+TX, triazoxide [72459-58-6]+TX, tricyclazole [41814-78-2]+TX, triforine [26644-46-2]+TX, validamycin [37248-47-8]+TX, zoxamide (RH7281) [156052-68-5]+TX, mandipropamid [374726-62-2]+TX, isopyrazam [881685-58-1]+TX, sedaxane [874967-67-6]+TX, 3-difluoromethyl-1-methyl-1H-pyrazole-4-carboxylic acid (9-dichloromethylene-1,2,3,4-tetrahydro-1,4-methano-naphthalen-5-yl)-amide (disclosed in WO 2007/048556)+TX, 3-difluoromethyl-1-methyl-1H-pyrazole-4-carboxylic acid (3′,4′,5′-trifluoro-biphenyl-2-yl)-amide (disclosed in WO 2006/087343)+TX, [(3S,4R,4aR,6S,6aS,12R,12aS,12bS)-3-[(cyclopropylcarbonyl)oxy]-1,3,4,4a,5,6,6a,12,12a,12b-decahydro-6,12-dihydroxy-4,6a,12b-trimethyl-11-oxo-9-(3-pyridinyl)-2H,11H naphtho[2,1-b]pyrano[3,4-e]pyran-4-yl]methyl-cyclopropanecarboxylate [915972-17-7]+TX and 1,3,5-trimethyl-N-(2-methyl-1-oxopropyl)-N-[3-(2-methylpropyl)-4-[2,2,2-trifluoro-1-methoxy-1-(trifluoromethyl)ethyl]phenyl]-1H-pyrazole-4-carboxamide [926914-55-8]+TX, flufiprole [704886-18-0]+TX, cyclaniliprole [1031756-98-5]+TX, tetraniliprole [1229654-66-3]+TX, guadipyr (described in WO2010/060231)+TX and cycloxaprid (described in WO 2005/077934)+TX.

[0251]

The references in brackets behind the active ingredients, e.g. [3878-19-1] refer to the Chemical Abstracts Registry number. The above described mixing partners are known. Where the active ingredients are included in “The Pesticide Manual” [The Pesticide Manual—A World Compendium; Thirteenth Edition; Editor C. D. S. TomLin; The British Crop Protection Council], they are described therein under the entry number given in round brackets hereinabove for the particular compound; for example, the compound “abamectin” is described under entry number (1). Where “[CCN]” is added hereinabove to the particular compound, the compound in question is included in the “Compendium of Pesticide Common Names”, which is accessible on the internet [A. Wood; Compendium of Pesticide Common Names, Copyright © 1995-2004]; for example, the compound “acetoprole” is described under the internet address http://www.alanwood.net/pesticides/acetoprole.html.

[0252]

Most of the active ingredients described above are referred to hereinabove by a so-called “common name”, the relevant “ISO common name” or another “common name” being used in individual cases. If the designation is not a “common name”, the nature of the designation used instead is given in round brackets for the particular compound; in that case, the IUPAC name, the IUPAC/Chemical Abstracts name, a “chemical name”, a “traditional name”, a “compound name” or a “development code” is used or, if neither one of those designations nor a “common name” is used, an “alternative name” is employed. “CAS Reg. No” means the Chemical Abstracts Registry Number.

[0253]

The active ingredient mixture of the compounds of formula I selected from Table Table 1 to 11 and A with active ingredients described above comprises a compound selected from Table Table 1 to 11 and A and an active ingredient as described above preferably in a mixing ratio of from 100:1 to 1:6000, especially from 50:1 to 1:50, more especially in a ratio of from 20:1 to 1:20, even more especially from 10:1 to 1:10, very especially from 5:1 and 1:5, special preference being given to a ratio of from 2:1 to 1:2, and a ratio of from 4:1 to 2:1 being likewise preferred, above all in a ratio of 1:1, or 5:1, or 5:2, or 5:3, or 5:4, or 4:1, or 4:2, or 4:3, or 3:1, or 3:2, or 2:1, or 1:5, or 2:5, or 3:5, or 4:5, or 1:4, or 2:4, or 3:4, or 1:3, or 2:3, or 1:2, or 1:600, or 1:300, or 1:150, or 1:35, or 2:35, or 4:35, or 1:75, or 2:75, or 4:75, or 1:6000, or 1:3000, or 1:1500, or 1:350, or 2:350, or 4:350, or 1:750, or 2:750, or 4:750. Those mixing ratios are by weight.

[0254]

The mixtures as described above can be used in a method for controlling pests, which comprises applying a composition comprising a mixture as described above to the pests or their environment, with the exception of a method for treatment of the human or animal body by surgery or therapy and diagnostic methods practised on the human or animal body.

[0255]

The mixtures comprising a compound of formula I selected from Table Table 1 to 11 and A and one or more active ingredients as described above can be applied, for example, in a single “ready-mix” form, in a combined spray mixture composed from separate formulations of the single active ingredient components, such as a “tank-mix”, and in a combined use of the single active ingredients when applied in a sequential manner, i.e. one after the other with a reasonably short period, such as a few hours or days. The order of applying the compounds of formula I selected from Table Table 1 to 11 and A and the active ingredients as described above is not essential for working the present invention.

[0256]

The compositions according to the invention can also comprise further solid or liquid auxiliaries, such as stabilizers, for example unepoxidized or epoxidized vegetable oils (for example epoxidized coconut ol, rapeseed oil or soya oil), antifoams, for example silicone oil, preservatives, viscosity regulators, binders and/or tackifers, fertilizers or other active ingredients for achieving specific effects, for example bactericides, fungicides, nematocides, plant activators, molluscicides or herbicides.

[0257]

The compositions according to the invention are prepared in a manner known per se, in the absence of auxiliaries for example by grinding, screening and/or compressing a solid active ingredient and in the presence of at least one auxiliary for example by intimately mixing and/or grinding the active ingredient with the auxiliary (auxiliaries). These processes for the preparation of the compositions and the use of the compounds I for the preparation of these compositions are also a subject of the invention.

[0258]

The application methods for the compositions, that is the methods of controlling pests of the abovementioned type, such as spraying, atomizing, dusting, brushing on, dressing, scattering or pouring—which are to be selected to suit the intended aims of the prevailing circumstances—and the use of the compositions for controlling pests of the abovementioned type are other subjects of the invention. Typical rates of concentration are between 0.1 and 1000 ppm, preferably between 0.1 and 500 ppm, of active ingredient. The rate of application per hectare is generally 1 to 2000 g of active ingredient per hectare, in particular 10 to 1000 g/ha, preferably 10 to 600 g/ha.

[0259]

A preferred method of application in the field of crop protection is application to the foliage of the plants (foliar application), it being possible to select frequency and rate of application to match the danger of infestation with the pest in question. Alternatively, the active ingredient can reach the plants via the root system (systemic action), by drenching the locus of the plants with a liquid composition or by incorporating the active ingredient in solid form into the locus of the plants, for example into the soil, for example in the form of granules (sol application). In the case of paddy rice crops, such granules can be metered into the flooded paddy-field.

[0260]

The compounds of the invention and compositions thereof are also be suitable for the protection of plant propagation material, for example seeds, such as fruit, tubers or kernels, or nursery plants, against pests of the abovementioned type. The propagation material can be treated with the compound prior to planting, for example seed can be treated prior to sowing. Alternatively, the compound can be applied to seed kernels (coating), either by soaking the kernels in a liquid composition or by applying a layer of a solid composition. It is also possible to apply the compositions when the propagation material is planted to the site of application, for example into the seed furrow during drilling. These treatment methods for plant propagation material and the plant propagation material thus treated are further subjects of the invention. Typical treatment rates would depend on the plant and pest/fungi to be controlled and are generally between 1 to 200 grams per 100 kg of seeds, preferably between 5 to 150 grams per 100 kg of seeds, such as between 10 to 100 grams per 100 kg of seeds.

[0261]

The term seed embraces seeds and plant propagules of all kinds including but not limited to true seeds, seed pieces, suckers, cons, bulbs, fruit, tubers, grains, rhizomes, cuttings, cut shoots and the like and means in a preferred embodiment true seeds.

[0262]

The present invention also comprises seeds coated or treated with or containing a compound of formula I. The term “coated or treated with and/or containing” generally signifies that the active ingredient is for the most part on the surface of the seed at the time of application, although a greater or lesser part of the ingredient may penetrate into the seed material, depending on the method of application. When the said seed product is (re)planted, it may absorb the active ingredient. In an embodiment, the present invention makes available a plant propagation material adhered thereto with a compound of formula (I). Further, it is hereby made available, a composition comprising a plant propagation material treated with a compound of formula (I).

[0263]

Seed treatment comprises all suitable seed treatment techniques known in the art, such as seed dressing, seed coating, seed dusting, seed soaking and seed pelleting. The seed treatment application of the compound formula (I) can be carried out by any known methods, such as spraying or by dusting the seeds before sowing or during the sowing/planting of the seeds.

BIOLOGICAL EXAMPLES

[0264]

The compounds (P1-P6) are shown in table A1.

Example B1: Bemisia Tabaci (Cotton White Fly): Feeding/Contact Activity

[0265]

Cotton leaf discs were placed on agar in 24-well microtiter plates and sprayed with aqueous test solutions prepared from 10′000 ppm DMSO stock solutions. After drying the leaf discs were infested with adult white flies. The samples were checked for mortality 6 days after incubation.

[0266]

The following compound resulted in at least 80% mortality at an application rate of 200 ppm: P2.

Example B2: Diabrotica Balteata (Corn Root Worm): Feeding/Contact Activity

[0267]

Maize sprouts, placed on an agar layer in 24-well microtiter plates were treated with aqueous test solutions prepared from 10′000 ppm DMSO stock solutions by spraying. After drying, the plates were infested with 12 larvae (6 to 10 per well). The samples were assessed for mortality and growth inhibition in comparison to untreated samples 4 days after infestation.

[0268]

The following compounds resulted in at least 80% mortality at an application rate of 200 ppm: P6, P3, P1 and P2.

Example B3 Euschistus heros (Neotropical Brown Stink Bug): Feeding/Contact Activity

[0269]

Soybean leaf on agar in 24-well microtiter plates were sprayed with aqueous test solutions prepared from 10′000 ppm DMSO stock solutions. After drying the leaf were infested with N-2 nymphs. The samples were assessed for growth inhibition in comparison to untreated samples 5 days after infestation.

[0270]

The following compound gave an effect of at least 80% in at least one of the two categories (mortality or growth inhibition) at an application rate of 200 ppm: P6.

Example B4 Franklinella occidentalis (Western Flower Thrips): Feeding/Contact Activity

[0271]

Sunflower leaf discs were placed on agar in 24-well microtiter plates and sprayed with aqueous test solutions prepared from 10′000 DMSO stock solutions. After drying the leaf discs were infested with a Frankliniella population of mixed ages. The samples were assessed for mortality 7 days after infestation. The following compound resulted in at least 80% mortality at an application rate of 200 ppm: P2

Example B5 Myzus persicae (Green Peach Aphid): Feeding/Contact Activity

[0272]

Sunflower leaf discs were placed on agar in a 24-well microtiter plate and sprayed with aqueous test solutions prepared from 10′000 ppm DMSO stock solutions. After drying, the leaf discs were infested with an aphid population of mixed ages. The samples were assessed for mortality 6 days after infestation.

[0273]

The following compounds resulted in at least 80% mortality at an application rate of 200 ppm: P6, P1 and P2.

Example B6 Myzus persicae (Green Peach Aphid): Systemic Activity

[0274]

Roots of pea seedlings infested with an aphid population of mixed ages were placed directly in the aqueous test solutions prepared from 10′000 ppm DMSO stock solutions. The samples were assessed for mortality 6 days after placing seedlings in test solutions.

[0275]

The following compounds resulted in at least 80% mortality at a test rate of 24 ppm: P6 and P2.

Example B7 Myzus persicae (Green Peach Aphid): Intrinsic Activity

[0276]

Test compounds from 10′000 ppm DMSO stock solutions were applied by pipette into 24-well microtiter plates and mixed with sucrose solution. The plates were dosed with a stretched Parafilm. A plastic stencil with 24 holes was placed onto the plate and infested pea seedlings were placed directly on the Parafilm. The infested plate was closed with a gel blotting paper and another plastic stencil and then turned upside down. The samples were assessed for mortality 5 days after infestation.

[0277]

The following compounds resulted in at least 80% mortality at a test rate of 12 ppm: P1 and P2.

Example B8 Plutella xylostella (Diamond Back Moth): Feeding/Contact Activity

[0278]

24-well microtiter plates with artificial diet were treated with aqueous test solutions prepared from 10′000 ppm DMSO stock solutions by pipetting. After drying, the plates were infested with L2 larvae (10 to 15 per well). The samples were assessed for mortality and growth inhibition in comparison to untreated samples 5 days after infestation.

[0279]

The following compounds gave an effect of at least 80% in at least one of the two categories (mortality or growth inhibition) at an application rate of 200 ppm: P6, P1 and P2

Example B9 Spodoptera littoralis (Egyptian Cotton Leaf Worm): Feeding/Contact Activity

[0280]

Cotton leaf discs were placed on agar in 24-well microtiter plates and sprayed with aqueous test solutions prepared from 10′000 ppm DMSO stock solutions. After drying the leaf discs were infested with five L1 larvae. The samples were assessed for mortality, anti-feedant effect, and growth inhibition in comparison to untreated samples 3 days after infestation. Control of Spodoptera littoralis by a test sample is when at least one of mortality, anti-feedant effect, and growth inhibition is higher than the untreated sample.

[0281]

The following compounds resulted in at least 80% control at an application rate of 200 ppm: P6, P5, P1 and P2.

Example B10 Spodoptera littoralis (Egyptian Cotton Leaf Worm): Systemic Activity

[0282]

Test compounds were applied by pipette from 10′000 ppm DMSO stock solutions into 24-well plates and mixed with agar. Lettuce seeds were placed on the agar and the multi well plate was closed by another plate which contains also agar. After 7 days the roots have absorbed the compound and the lettuce has grown into the lid plate. The lettuce leafs were now cut off into the lid plate. Spodoptera eggs were pipetted through a plastic stencil on a humid gel blotting paper and the plate dosed with it. The samples were assessed for mortality, anti-feedant effect and growth inhibition in comparison to untreated samples 6 days after infestation.

[0283]

The following compounds gave an effect of at least 80% in at least one of the three categories (mortality, anti-feedancy, or growth inhibition) at a test rate of 12.5 ppm: P6 and P2.

Example B11 Tetranychus urticae (Two-Spotted Spider Mite): Feeding/Contact Activity

[0284]

Bean leaf discs on agar in 24-well microtiter plates were sprayed with aqueous test solutions prepared from 10′000 ppm DMSO stock solutions. After drying the leaf discs were infested with a mite population of mixed ages. The samples were assessed for mortality on mixed population (mobile stages) 8 days after infestation.

[0285]

The following compound resulted in at least 80% mortality at an application rate of 200 ppm: P4

Example B12 Aedes aegypti (Yellow Fever Mosquito): Feeding Contact Activity

[0286]

10 to 15 Aedes larvae (L2) together with a nutrition mixture were placed in 96-well microtiter plates. Test compounds were pipetted into the wells. After an incubation period of 2 days insects were assessed for mortality and growth inhibition.

[0287]

The following compound gave an effect of at least 80% in at least one of the two categories (mortality or growth inhibition) at a test rate of 5 ppm: P2.

Как компенсировать расходы
на инновационную разработку
Похожие патенты