заявка
№ US 20190315684
МПК C07C381/12

SALT, ACID GENERATOR, RESIST COMPOSITION AND METHOD FOR PRODUCING RESIST PATTERN

Авторы:
Yukako ANRYU Koji ICHIKAWA ANRYU YUKAKO
Все (6)
Правообладатель:
Номер заявки
16377887
Дата подачи заявки
08.04.2019
Опубликовано
17.10.2019
Страна
US
Дата приоритета
16.12.2025
Номер приоритета
Страна приоритета
Как управлять
интеллектуальной собственностью
Реферат

In formula (I), R1, R2, R3, R4 and R5 each independently represent a halogen atom or a perfluoroalkyl group having 1 to 6 carbon atoms, R6, R7 and R8 each independently represent a halogen atom, a hydroxy group, a fluorinated alkyl group having 1 to 6 carbon atoms or an alkyl group having 1 to 12 carbon atoms, and —CH2— included in the alkyl group may be replaced by —O— or —CO—, m5 represents an integer of 1 to 5, m6 represents an integer of 0 to 3, m7 represents an integer of 0 to 3, m8 represents an integer of 0 to 4, and AI− represents an organic anion.

Формула изобретения

1. A salt represented by formula (I):

wherein, in formula (I),

R1, R2, R3, R4and R5each independently represent a halogen atom or a perfluoroalkyl group having 1 to 6 carbon atoms,

R6, R7and R8each independently represent a halogen atom, a hydroxy group, a fluorinated alkyl group having 1 to 6 carbon atoms or an alkyl group having 1 to 12 carbon atoms, and —CH2— included in the alkyl group may be replaced by —O— or —CO—,

m5 represents an integer of 1 to 5, and when m5 is 2 or more, a plurality of R5may be the same or different,

m6 represents an integer of 0 to 3, and when m6 is 2 or more, a plurality of R6may be the same or different,

m7 represents an integer of 0 to 3, and when m7 is 2 or more, a plurality of R7may be the same or different,

m8 represents an integer of 0 to 4, and when m8 is 2 or more, a plurality of R8may be the same or different, in which 1≤m5+m8≤5, and

AI represents an organic anion.

2. The salt according to claim 1, wherein AI is a sulfonic acid anion, a sulfonylimide anion, a sulfonylmethide anion or a carboxylic acid anion.

3. The salt according to claim 2, wherein AI is a sulfonic acid anion and the sulfonic acid anion is an anion represented by formula (I-A):

wherein, in formula (I-A),

Q1and Q2each independently represent a fluorine atom or a perfluoroalkyl group having 1 to 6 carbon atoms,

L1represents a saturated hydrocarbon group having 1 to 24 carbon atoms, and —CH2— included in the saturated hydrocarbon group may be replaced by —O— or —CO—, and the hydrogen atom included in the saturated hydrocarbon group may be substituted with a fluorine atom or a hydroxy group, and

Y1represents a methyl group which may have a substituent or an alicyclic hydrocarbon group having 3 to 18 carbon atoms which may have a substituent, and —CH2— included in the alicyclic hydrocarbon group may be replaced by —O—, —SO2— or —CO—.

4. An acid generator comprising the salt according to claim 1.

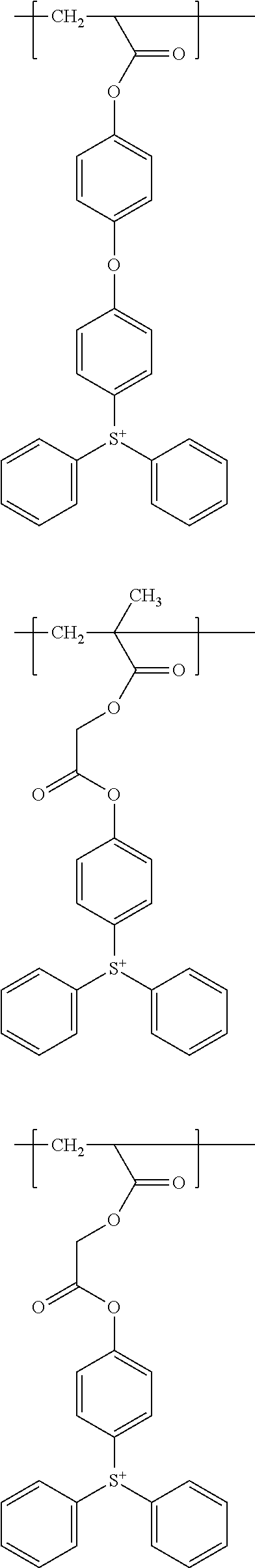
5. A resist composition comprising the acid generator according to claim 4 and a resin having an acid-labile group.

6. The resist composition according to claim 5, wherein a structural unit having an acid-labile group includes at least two of a structural unit represented by formula (a1-1) and a structural unit represented by formula (a1-2):

wherein, in formula (a1-1) and formula (a1-2),

La1and La2each independently represent —O— or *—O—(CH2)k1—CO—O—, k1 represents an integer of 1 to 7, and * represents a bonding site to —CO—,

Ra4and Ra5each independently represent a hydrogen atom or a methyl group,

Ra6and Ra7each independently represent an alkyl group having 1 to 8 carbon atoms, an alicyclic hydrocarbon group having 3 to 18 carbon atoms, or a group obtained by combining these groups,

m1 represents an integer of 0 to 14,

n1 represents an integer of 0 to 10, and

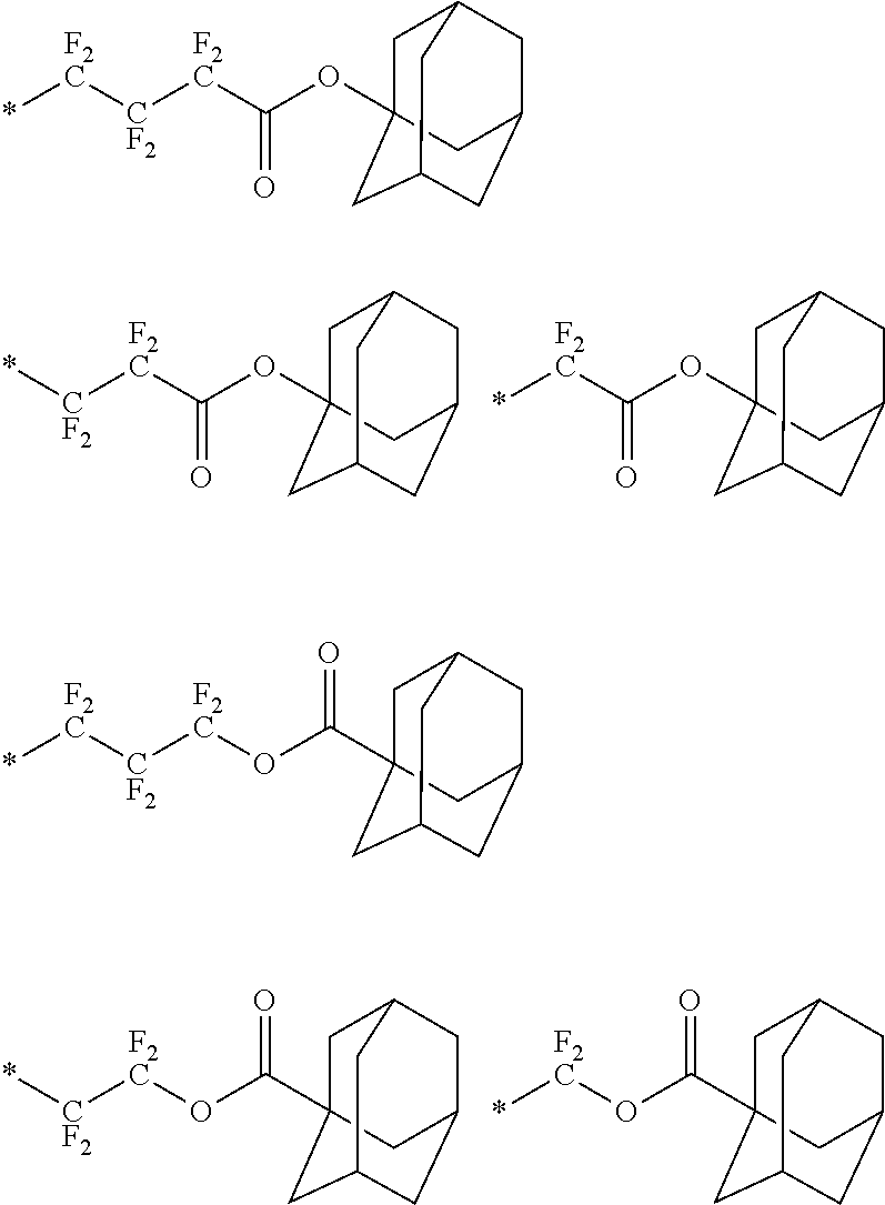
n1′ represents an integer of 0 to 3.

7. The resist composition according to claim 5, further comprising a salt generating an acid having an acidity lower than that of an acid generated from the acid generator.

8. A method for producing a resist pattern, wherein the method comprises:

(1) a step of applying the resist composition according to claim 5 on a substrate,

(2) a step of drying the applied composition to form a composition layer,

(3) a step of exposing the composition layer,

(4) a step of heating the exposed composition layer, and

(5) a step of developing the heated composition layer.

Описание

TECHNICAL FIELD

[0001]

The present invention relates to a salt for acid generator which is used for fine processing of a semiconductor, an acid generator containing the salt, a resist composition and a method for producing a resist pattern.

BACKGROUND ART

[0002]

Patent Document 1 mentions a salt represented by the following formula, and a resist composition containing the salt as an acid generator.

[0000]

PRIOR ART DOCUMENT

Patent Document

[0000]

  • Patent Document 1: JP 2017-015777 A

SUMMARY OF THE INVENTION

Problems to be Solved by the Invention

[0004]

An object of the present invention is to provide a salt capable of producing a resist pattern with line edge roughness (LER) which is better than that of a resist pattern formed from the above-mentioned resist composition containing the salt.

Means for Solving the Problems

[0005]

The present invention includes the following inventions.

[0000]

[1] A salt represented by formula (I):

[0000]

[0000]

wherein, in formula (I),

[0006]

R1, R2, R3, R4and R5each independently represent a halogen atom or a perfluoroalkyl group having 1 to 6 carbon atoms,

[0007]

R6, R7and R8each independently represent a halogen atom, a hydroxy group, a fluorinated alkyl group having 1 to 6 carbon atoms or an alkyl group having 1 to 12 carbon atoms, and —CH2— included in the alkyl group may be replaced by —O— or —CO—,

[0008]

m5 represents an integer of 1 to 5, and when m5 is 2 or more, a plurality of R8may be the same or different,

[0009]

m6 represents an integer of 0 to 3, and when m6 is 2 or more, a plurality of REmay be the same or different,

[0010]

m7 represents an integer of 0 to 3, and when m7 is 2 or more, a plurality of Rfmay be the same or different,

[0011]

m8 represents an integer of 0 to 4, and when m8 is 2 or more, a plurality of R8may be the same or different, in which 1≤m5+m8≤5, and

[0012]

AIrepresents an organic anion.

[0000]

[2] The salt according to [1], wherein AI is a sulfonic acid anion, a sulfonylimide anion, a sulfonylmethide anion and a carboxylic acid anion.
[3] The salt according to [1] or [2], wherein AI is a sulfonic acid anion and the sulfonic acid anion is an anion represented by formula (I-A):

[0000]

[0000]

wherein, in formula (I-A),

[0013]

Q1and Q2each independently represent a fluorine atom or a perfluoroalkyl group having 1 to 6 carbon atoms,

[0014]

L1represents a saturated hydrocarbon group having 1 to 24 carbon atoms, and —CH2— included in the saturated hydrocarbon group may be replaced by —O— or —CO—, and the hydrogen atom included in the saturated hydrocarbon group may be substituted with a fluorine atom or a hydroxy group, and

[0015]

Y1represents a methyl group which may have a substituent or an alicyclic hydrocarbon group having 3 to 18 carbon atoms which may have a substituent, and —CH2— included in the alicyclic hydrocarbon group may be replaced by —O—, —SO— or —CO—.

[0000]

[4] An acid generator comprising the salt according to any one of [1] to [3].
[5] A resist composition comprising the acid generator according to [4] and a resin having an acid-labile group.
[6] The resist composition according to [5], wherein a structural unit having an acid-labile group includes at least two of a structural unit represented by formula (a1-1) and a structural unit represented by formula (a1-2):

[0000]

[0000]

wherein, in formula (a1-1) and formula (a1-2),

[0016]

La1and La2each independently represent —O— or *—O—(CH2)k1-CO—O—, k1 represents an integer of 1 to 7, and * represents a bonding site to —CO—,

[0017]

Ra4and Ra5each independently represent a hydrogen atom or a methyl group,

[0018]

Ra6and Ra7each independently represent an alkyl group having 1 to 8 carbon atoms, an alicyclic hydrocarbon group having 3 to 18 carbon atoms, or a group obtained by combining these groups,

[0019]

m1 represents an integer of 0 to 14, n1 represents an integer of 0 to 10, and

[0020]

n1′ represents an integer of 0 to 3.

[0000]

[7] The resist composition according to [5] or [6], further comprising a salt generating an acid having an acidity lower than that of an acid generated from the acid generator.
[8] A method for producing a resist pattern, which comprises:
(1) a step of applying the resist composition according to any one of [5] to [7] on a substrate,
(2) a step of drying the applied composition to form a composition layer,
(3) a step of exposing the composition layer,
(4) a step of heating the exposed composition layer, and
(5) a step of developing the heated composition layer.

Effects of the Invention

[0021]

It is possible to produce a resist pattern with satisfactory line edge roughness (LER) by using a resist composition using a salt of the present invention.

MODE FOR CARRYING OUT THE INVENTION

[0022]

In the present specification, “(meth)acrylic monomer” means at least one selected from the group consisting of a monomer having a structure of “CH2═CH—CO—” and a monomer having a structure of “CH2═C(CH3)—CO—”. Similarly, “(meth)acrylate” and “(meth)acrylic acid” each mean “at least one selected from the group consisting of acrylate and methacrylate” and “at least one selected from the group consisting of acrylic acid and methacrylic acid”. When a structural unit having “CH2═C(CH3)—CO—” or “CH═CH—CO—” is exemplified, it is a structural unit having both groups shall be similarly exemplified. In groups mentioned in the present specification, regarding groups capable of having both a linear structure and a branched structure, they may have either the linear or branched structure. When stereoisomers exist, all stereoisomers are included.

[0023]

In the present specification, “solid component of resist composition” means the total of components excluding the below-mentioned solvent (E) from the total amount of the resist composition.

<Salt Represented by Formula (I)>

[0024]

The present invention relates to a salt represented by formula (I) (hereinafter sometimes referred to as “salt (I)”).

[0025]

Among the salt (I), the side having negative charge is sometimes referred to as “anion (I)”, and the side having positive charge is sometimes referred to as “cation (I)”.

[0026]

Examples of the halogen atom of R1, R2, R3, R4and R5include a fluorine atom, a chlorine atom, a bromine atom and an iodine atom.

[0027]

Examples of the perfluoroalkyl group having 1 to 6 carbon atoms of R1, R2, R3, R4and R5include a trifluoromethyl group, a perfluoroethyl group, a perfluoropropyl group, a perfluoroisopropyl group, a perfluorobutyl group, a perfluorosec-butyl group, a perfluorotert-butyl group, a perfluoropentyl group, a perfluorohexyl group and the like.

[0028]

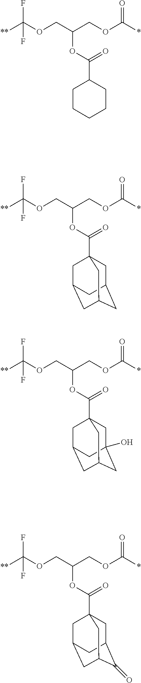
R1, R2, R3, R4and R5each independently is preferably a perfluoroalkyl group having 1 to 3 carbon atoms or a fluorine atom, more preferably a trifluoromethyl group or a fluorine atom, and still more preferably a fluorine atom.

[0029]

Examples of the fluorinated alkyl group having 1 to 6 carbon atoms of R6, R7and R8include fluorinated alkyl groups such as a trifluoromethyl group, a difluoromethyl group, a perfluoroethyl group, a2,2,2-trifluoroethyl group, a 1,1,2,2-tetrafluoroethyl group, a perfluoropropyl group, a 2,2,3,3,3-pentafluoropropyl group, a perfluorobutyl group, a 1,1,2,2,3,3,4,4-octafluorobutyl group, a perfluoropentyl group, a 2,2,3,3,4,4,5,5,5-nonafluoropentyl group and a perfluorohexyl group.

[0030]

Examples of the alkyl group having 1 to 12 carbon atoms of R6, R7and R8include alkyl groups such as a methyl group, an ethyl group, a propyl group, an isopropyl group, a butyl group, an isobutyl group, a tert-butyl group, a pentyl group, a hexyl group, an octyl group and a nonyl group. The number of carbon atoms of the alkyl group is preferably 1 to 9, and more preferably 1 to 4.

[0031]

When —CH2— included in the alkyl group represented by R6, R7and R8is replaced by —O— or —CO—, the number of carbon atoms before replacement is taken as the total number of carbon atoms of the alkyl group. The alkyl group represented by R6, R7and R8may have a hydroxy group (group in which —CH2— included in a methyl group is replaced by —O—), a carboxyl group (group in which —CH2—CH2— included in an ethyl group is replaced by —O—CO—), an alkoxy group having 1 to 6 carbon atoms (group in which —CH2— included in an alkyl group having 2 to 7 carbon atoms is replaced by —O—), an alkoxycarbonyl group having 2 to 7 carbon atoms (group in which —CH2—CH2— included in an alkyl group having 4 to 9 carbon atoms is replaced by —O—CO—), an alkylcarbonyl group having 2 to 7 carbon atoms (group in which —CH1— included in an alkyl group having 3 to 8 carbon atoms is replaced by —CO—), or an alkylcarbonyloxy group having 2 to 7 carbon atoms (group in which —CH2—CH2— included in an alkyl group having 4 to 9 carbon atoms is replaced by —CO—O—).

[0032]

Examples of the alkoxy group include a methoxy group, an ethoxy group, a propoxy group, a butoxy group, a pentyloxy group and a hexyloxy group.

[0033]

The alkoxycarbonyl group having 2 to 7 carbon atoms, the alkylcarbonyl group having 2 to 7 carbon atoms and the alkylcarbonyloxy group having 2 to 7 carbon atoms represent groups in which a carbonyl group or a carbonyloxy group is bonded to the above-mentioned alkyl group or alkoxy group.

[0034]

Examples of the alkoxycarbonyl group having 2 to 7 carbon atoms include a methoxycarbonyl group, an ethoxycarbonyl group and a butoxycarbonyl group. Examples of the alkylcarbonyl group having 2 to 7 carbon atoms include an acetyl group, a propionyl group and a butyryl group. Examples of the alkylcarbonyloxy group having 2 to 7 carbon atoms include an acetyloxy group, a propionyloxy group, a butyryloxy group and the like.

[0035]

R6and R7each independently is preferably a fluorine atom, a hydroxy group, a fluorinated alkyl group having 1 to 3 carbon atoms or an alkyl group having 1 to 3 carbon atoms (—CH2— included in the alkyl group may be replaced by —O— or —CO—), more preferably a fluorine atom or a trifluoromethyl group, and still more preferably a fluorine atom.

[0036]

R8is preferably a fluorine atom, a hydroxy group, a fluorinated alkyl group having 1 to 3 carbon atoms or an alkyl group having 1 to 3 carbon atoms (—CH2— included in the alkyl group may be replaced by —O— or —CO—), more preferably a fluorine atom, a trifluoromethyl group, a hydroxy group, a methyl group, a methoxy group or a methylcarbonyloxy group, and still more preferably a fluorine atom.

[0037]

m6 and m7 each independently is preferably an integer of 0 to 2, more preferably 0 or 1, and still more preferably 0.

[0038]

m5 is preferably an integer of 1 to 3, and more preferably 1 or 2.

[0039]

m8 is preferably an integer of 0 to 2, and more preferably 0 or 1.

[0040]

As to m5 and m8, 1≤m5+m8≤4 is preferred, and 1≤m5+m8≤3 is more preferred.

[0041]

Examples of the cation (I) include the following cations.

[0000]

[0042]

Examples of the organic anion represented by AI include a sulfonic acid anion, a sulfonylimide anion, a sulfonylmethide anion and a carboxylic acid anion. The organic anion represented by AI is preferably a sulfonic acid anion, and more preferably an anion represented by formula (I-A).

[0000]

[0000]

wherein, in formula (I-A),

[0043]

Q1and Q2each independently represent a fluorine atom or a perfluoroalkyl group having 1 to 6 carbon atoms,

[0044]

L1represents a saturated hydrocarbon group having 1 to 24 carbon atoms, —CH2— included in the saturated hydrocarbon group may be replaced by —O— or —CO—, and a hydrogen atom included in the saturated hydrocarbon group may be substituted with a fluorine atom or a hydroxy group, and

[0045]

Y1represents a methyl group which may have a substituent or an alicyclic hydrocarbon group having 3 to 18 carbon atoms which may have a substituent, and —CH2— included in the alicyclic hydrocarbon group may be replaced by —O—, —SO2— or —CO—.

[0046]

In formula (I-A), when —CH2— included in a saturated hydrocarbon group is replaced by —O— or —C(═O)—, the number of carbon atoms before replacement is taken as the number of carbon atoms of the saturated hydrocarbon group. When —CH2-included in an alicyclic hydrocarbon group is replaced by —O—, —SO2— or —C(═O)—, the number of carbon atoms before replacement is taken as the number of carbon atoms of the alicyclic hydrocarbon group.

[0047]

Examples of the perfluoroalkyl group having 1 to 6 carbon atoms of Q1and Q2include a trifluoromethyl group, a perfluoroethyl group, a perfluoropropyl group, a perfluoroisopropyl group, a perfluorobutyl group, a perfluorosec-butyl group, a perfluorotert-butyl group, a perfluoropentyl group and a perfluorohexyl group.

[0048]

Preferably, Q1and Q2are each independently a fluorine atom or trifluoromethyl group, and more preferably, both are fluorine atoms.

[0049]

Examples of the divalent saturated hydrocarbon group in L1include a linear alkanediyl group, a branched alkanediyl group, and a monocyclic or polycyclic divalent alicyclic saturated hydrocarbon group, or the divalent saturated hydrocarbon group may be a group formed by combining two or more of these groups.

[0050]

Specific examples thereof include linear alkanediyl groups such as a methylene group, an ethylene group, a propane-1,3-diyl group, a butane-1,4-diyl group, a pentane-1,5-diyl group, a hexane-1,6-diyl group, a heptane-1,7-diyl group, an octane-1,8-diyl group, a nonane-1,9-diyl group, a decane-1,10-diyl group, an undecane-1,11-diyl group, a dodecane-1,12-diyl group, a tridecane-1,13-diyl group, a tetradecane-1,14-diyl group, a pentadecane-1,15-diyl group, a hexadecane-1,16-diyl group and a heptadecane-1,17-diyl group;

[0051]

branched alkanediyl groups such as an ethane-1,1-diyl group, a propane-1,1-diyl group, a propane-1,2-diyl group, a propane-2,2-diyl group, a pentane-2,4-diyl group, a 2-methylpropane-1,3-diyl group, a 2-methylpropane-1,2-diyl group, a pentane-1,4-diyl group and a 2-methylbutane-1,4-diyl group;

[0052]

monocyclic divalent alicyclic saturated hydrocarbon groups which are cycloalkanediyl groups such as a cyclobutane-1,3-diyl group, a cyclopentane-1,3-diyl group, a cyclohexane-1,4-diyl group and a cyclooctane-1,5-diyl group; and

[0053]

polycyclic divalent alicyclic saturated hydrocarbon groups such as a norbornane-1,4-diyl group, a norbornane-2,5-diyl group, an adamantane-1,5-diyl group and an adamantane-2,6-diyl group.

[0054]

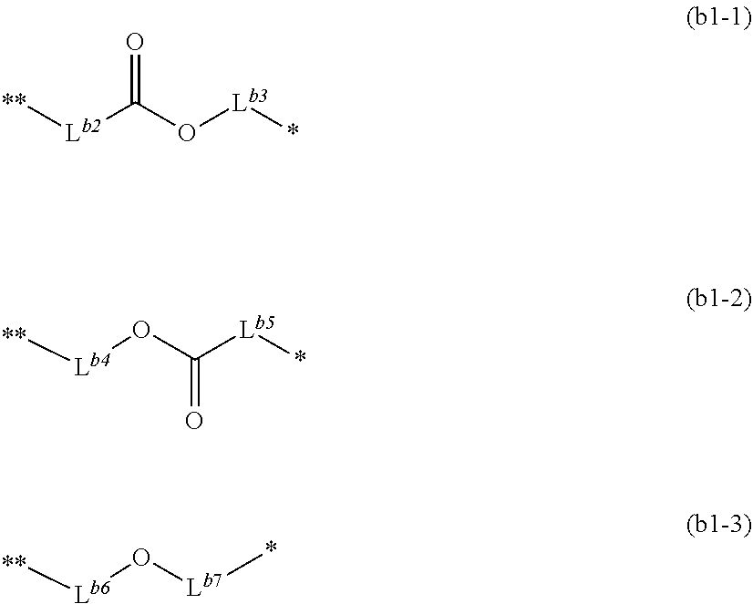
The group in which —CH— included in the divalent saturated hydrocarbon group represented by L3is replaced by —O— or —CO— includes, for example, a group represented by any one of formula (b1-1) to formula (b1-3). In groups represented by formula (b1-1) to formula (b1-3) and groups represented by formula (b1-4) to formula (b1-11) which are specific examples thereof, * and ** represent a bonding site, and * represents a bonding site to —Y1.

[0000]

[0055]

In formula (b1-1),

[0056]

Lb2represents a single bond or a divalent saturated hydrocarbon group having 1 to 22 carbon atoms, and a hydrogen atom included in the saturated hydrocarbon group may be substituted with a fluorine atom,

[0057]

Lb3represents a single bond or a divalent saturated hydrocarbon group having 1 to 22 carbon atoms, a hydrogen atom included in the saturated hydrocarbon group may be substituted with a fluorine atom or a hydroxy group, and —CH2— included in the saturated hydrocarbon group may be replaced by —O— or —CO—, and

[0058]

the total number of carbon atoms of Lb2and Lb3is 22 or less.

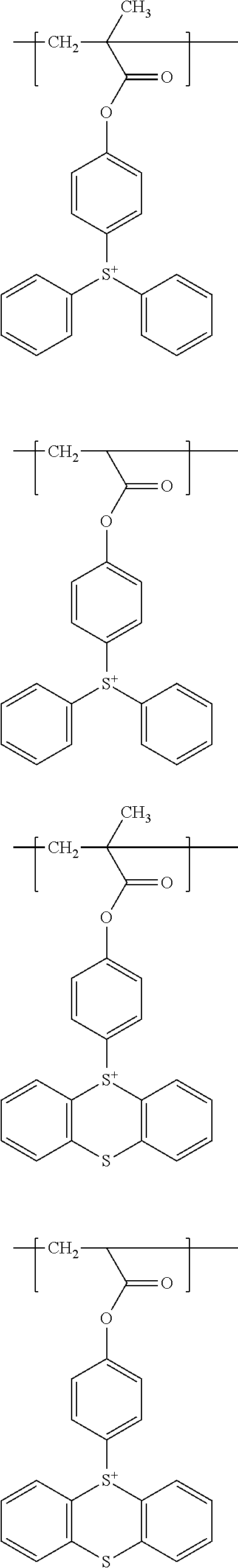
[0059]

In formula (b1-2),

[0060]

Lb4represents a single bond or a divalent saturated hydrocarbon group having 1 to 22 carbon atoms, and a hydrogen atom included in the saturated hydrocarbon group may be substituted with a fluorine atom,

[0061]

Lb5represents a single bond or a divalent saturated hydrocarbon group having 1 to 22 carbon atoms, a hydrogen atom included in the saturated hydrocarbon group may be substituted with a fluorine atom or a hydroxy group, and —CH2— included in the saturated hydrocarbon group may be replaced by —O— or —CO—, and

[0062]

the total number of carbon atoms of Lb4and Lb5is 22 or less.

[0063]

In formula (b1-3),

[0064]

Lb6represents a single bond or a divalent saturated hydrocarbon group having 1 to 23 carbon atoms, a hydrogen atom included in the saturated hydrocarbon group may be substituted with a fluorine atom or a hydroxy group,

[0065]

Lb7represents a single bond or a divalent saturated hydrocarbon group having 1 to 23 carbon atoms, a hydrogen atom included in the saturated hydrocarbon group may be substituted with a fluorine atom or a hydroxy group, and —CH2— included in the saturated hydrocarbon group may be replaced by —O— or —CO—, and

[0066]

the total number of carbon atoms of Lb6and Lb7is 23 or less.

[0067]

In groups represented by formula (b1-1) to formula (b1-3), when —CH2— included in the saturated hydrocarbon group is replaced by —O— or —CO—, the number of carbon atoms before replacement is taken as the number of carbon atoms of the saturated hydrocarbon group.

[0068]

Examples of the divalent saturated hydrocarbon group include those which are the same as the divalent saturated hydrocarbon group of Lb1.

[0069]

Lb2is preferably a single bond.

[0070]

Lb3is preferably a divalent saturated hydrocarbon group having 1 to 4 carbon atoms.

[0071]

Lb4is preferably a divalent saturated hydrocarbon group having 1 to 8 carbon atoms, and a hydrogen atom included in the divalent saturated hydrocarbon group may be substituted with a fluorine atom.

[0072]

Lb5is preferably a single bond or a divalent saturated hydrocarbon group having 1 to 8 carbon atoms.

[0073]

Lb6is preferably a single bond or a divalent saturated hydrocarbon group having 1 to 4 carbon atoms, and a hydrogen atom included in the saturated hydrocarbon group may be substituted with a fluorine atom.

[0074]

Lb7is preferably a single bond or a divalent saturated hydrocarbon group having 1 to 18 carbon atoms, a hydrogen atom included in the saturated hydrocarbon group may be substituted with a fluorine atom or a hydroxy group, and —CH2— included in the divalent saturated hydrocarbon group may be replaced by —O— or —CO—.

[0075]

The group in which —CH2— included in the divalent saturated hydrocarbon group represented by L1is replaced by —O— or —CO— is preferably a group represented by formula (b1-1) or formula (b1-3).

[0076]

Examples of the group represented by formula (b1-1) include groups represented by formula (b1-4) to formula (b1-8).

[0000]

[0077]

In formula (b1-4),

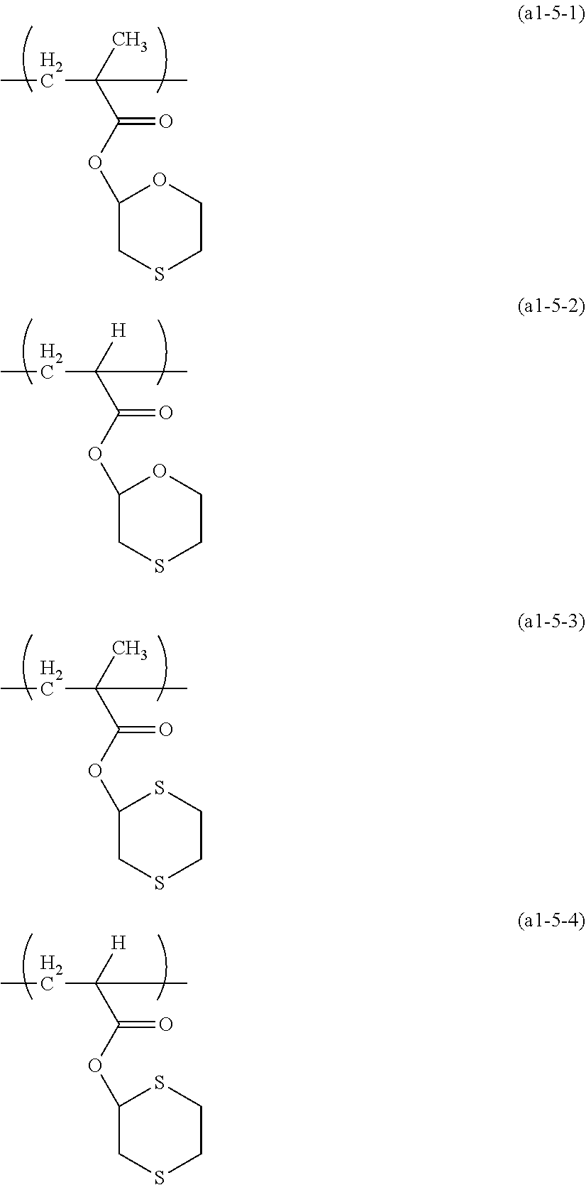
[0078]

Lb8represents a single bond or a divalent saturated hydrocarbon group having 1 to 22 carbon atoms, and a hydrogen atom included in the saturated hydrocarbon group may be substituted with a fluorine atom or a hydroxy group.

[0079]

In formula (b1-5),

[0080]

Lb9represents a divalent saturated hydrocarbon group having 1 to 20 carbon atoms, and —CH2— included in the divalent saturated hydrocarbon group may be replaced by —O— or —CO—.

[0081]

Lb10represents a single bond or a divalent saturated hydrocarbon group having 1 to 19 carbon atoms, and a hydrogen atom included in the divalent saturated hydrocarbon group may be substituted with a fluorine atom or a hydroxy group, and

[0082]

the total number of carbon atoms of Lb9and Lb10is 20 or less.

[0083]

In formula (b1-6),

[0084]

Lb11represents a divalent saturated hydrocarbon group having 1 to 21 carbon atoms,

[0085]

Lb12represents a single bond or a divalent saturated hydrocarbon group having 1 to 20 carbon atoms, and a hydrogen atom included in the divalent saturated hydrocarbon group may be substituted with a fluorine atom or a hydroxy group, and

[0086]

the total number of carbon atoms of Lb11and Lb12is 21 or less.

[0087]

In formula (b1-7),

[0088]

Lb13represents a divalent saturated hydrocarbon group having 1 to 19 carbon atoms,

[0089]

Lb14represents a single bond or a divalent saturated hydrocarbon group having 1 to 18 carbon atoms, and —CH2— included in the divalent saturated hydrocarbon group may be replaced by —O— or —CO—,

[0090]

Lb15represents a single bond or a divalent saturated hydrocarbon group having 1 to 18 carbon atoms, and a hydrogen atom included in the divalent saturated hydrocarbon group may be substituted with a fluorine atom or a hydroxy group, and

[0091]

the total number of carbon atoms of Lb13to Lb15is 19 or less.

[0092]

In formula (b1-8),

[0093]

Lb16represents a divalent saturated hydrocarbon group having 1 to 18 carbon atoms, and —CH2— included in the divalent saturated hydrocarbon group may be replaced by —O— or —CO—,

[0094]

Lb17represents a divalent saturated hydrocarbon group having 1 to 18 carbon atoms,

[0095]

Lb18represents a single bond or a divalent saturated hydrocarbon group having 1 to 17 carbon atoms, and a hydrogen atom included in the divalent saturated hydrocarbon group may be substituted with a fluorine atom or a hydroxy group, and

[0096]

the total number of carbon atoms of Lb16to Lb18is 19 or less.

[0097]

Lb3is preferably a divalent saturated hydrocarbon group having 1 to 4 carbon atoms.

[0098]

Lb9is preferably a divalent saturated hydrocarbon group having 1 to 8 carbon atoms.

[0099]

Lb10is preferably a single bond or a divalent saturated hydrocarbon group having 1 to 19 carbon atoms, and more preferably a single bond or a divalent saturated hydrocarbon group having 1 to 8 carbon atoms.

[0100]

Lb11is preferably a divalent saturated hydrocarbon group having 1 to 8 carbon atoms.

[0101]

Lb12is preferably a single bond or a divalent saturated hydrocarbon group having 1 to 8 carbon atoms.

[0102]

Lb13is preferably a divalent saturated hydrocarbon group having 1 to 12 carbon atoms.

[0103]

Lb14is preferably a single bond or a divalent saturated hydrocarbon group having 1 to 6 carbon atoms.

[0104]

Lb15is preferably a single bond or a divalent saturated hydrocarbon group having 1 to 18 carbon atoms, and more preferably a single bond or a divalent saturated hydrocarbon group having 1 to 8 carbon atoms.

[0105]

Lb16is preferably a divalent saturated hydrocarbon group having 1 to 12 carbon atoms.

[0106]

Lb17is preferably a divalent saturated hydrocarbon group having 1 to 6 carbon atoms.

[0107]

Lb18is preferably a single bond or a divalent saturated hydrocarbon group having 1 to 17 carbon atoms, and more preferably a single bond or a divalent saturated hydrocarbon group having 1 to 4 carbon atoms.

[0108]

Examples of the group represented by formula (b1-3) include groups represented by formula (b1-9) to formula (b1-11).

[0000]

[0109]

In formula (b1-9),

[0110]

Lb13represents a single bond or a divalent saturated hydrocarbon group having 1 to 23 carbon atoms, and a hydrogen atom included in the saturated hydrocarbon group may be substituted with a fluorine atom,

[0111]

Lb20represents a single bond or a divalent saturated hydrocarbon group having 1 to 23 carbon atoms, and a hydrogen atom included in the saturated hydrocarbon group may be substituted with a fluorine atom, a hydroxy group or an alkylcarbonyloxy group, —CH2— included in the alkylcarbonyloxy group may be replaced by —O— or —CO—, and a hydrogen atom included in the alkylcarbonyloxy group may be substituted with a hydroxy group, and

[0112]

the total number of carbon atoms of Lb15and Lb20is 23 or less.

[0113]

In formula (b1-10),

[0114]

Lb21represents a single bond or a divalent saturated hydrocarbon group having 1 to 21 carbon atoms, and a hydrogen atom included in the saturated hydrocarbon group may be substituted with a fluorine atom,

[0115]

Lb22represents a single bond or a divalent saturated hydrocarbon group having 1 to 21 carbon atoms,

[0116]

Lb23represents a single bond or a divalent saturated hydrocarbon group having 1 to 21 carbon atoms, and a hydrogen atom included in the saturated hydrocarbon group may be substituted with a fluorine atom, a hydroxy group or an alkylcarbonyloxy group, —CH2— included in the alkylcarbonyloxy group may be replaced by —O— or —CO—, and a hydrogen atom included in the alkylcarbonyloxy group may be substituted with a hydroxy group, and

[0117]

the total number of carbon atoms of Lb21, Lb22and Lb23is 21 or less.

[0118]

In formula (b1-11),

[0119]

Lb24represents a single bond or a divalent saturated hydrocarbon group having 1 to 20 carbon atoms, and a hydrogen atom included in the saturated hydrocarbon group may be substituted with a fluorine atom,

[0120]

Lb25represents a divalent saturated hydrocarbon group having 1 to 21 carbon atoms,

[0121]

Lb26represents a single bond or a divalent saturated hydrocarbon group having 1 to 20 carbon atoms, a hydrogen atom included in the saturated hydrocarbon group may be substituted with a fluorine atom, a hydroxy group or an alkylcarbonyloxy group, —CH2— included in the alkylcarbonyloxy group may be replaced by —O— or —CO—, and a hydrogen atom included in the alkylcarbonyloxy group may be substituted with a hydroxy group, and

[0122]

the total number of carbon atoms of Lb24, Lb25and Lb26is 21 or less.

[0123]

In groups represented by formula (b1-9) to formula (b1-11), when a hydrogen atom included in the saturated hydrocarbon group is substituted with an alkylcarbonyloxy group, the number of carbon atoms before substitution is taken as the number of carbon atoms of the saturated hydrocarbon group.

[0124]

Examples of the alkylcarbonyloxy group include an acetyloxy group, a propionyloxy group, a butyryloxy group, a cyclohexylcarbonyloxy group, an adamantylcarbonyloxy group and the like.

[0125]

Examples of the group represented by formula (b1-4) include the followings:

[0000]

[0126]

Examples of the group represented by formula (b1-5) include the followings:

[0000]

[0127]

Examples of the group represented by formula (b1-6) include the followings:

[0000]

[0128]

Examples of the group represented by formula (b1-7) include the followings:

[0000]

[0129]

Examples of the group represented by formula (b1-8) include the followings:

[0000]

[0130]

Examples of the group represented by formula (b1-2) include the followings:

[0000]

[0131]

Examples of the group represented by formula (b1-9) include the followings:

[0000]

[0132]

Examples of the group represented by formula (b1-10) include the followings:

[0000]

[0133]

Examples of the group represented by formula (b1-11) include the followings:

[0000]

[0134]

Examples of the alicyclic hydrocarbon group represented by Y1include groups represented by formula (Y1) to formula (Y11) and formula (Y36) to formula (Y38).

[0135]

When —CH2— included in the alicyclic hydrocarbon group represented by Y1is replaced by —O—, —S(O)2— or —CO—, the number may be 1, or 2 or more. Examples of such group include groups represented by formula (Y12) to formula (Y35) and formula (Y39) to formula (Y41). * represents a bonding site to L1.

[0000]

[0136]

An alicyclic hydrocarbon group represented by Y1is preferably a group represented by any one of formula (Y1) to formula (Y20), formula (Y26), formula (Y27), formula (Y30), formula (Y31) and formula (Y39) to formula (Y41), more preferably a group represented by formula (Y11), formula (Y15), formula (Y16), formula (Y20), formula (Y26), formula (Y27), formula (Y30), formula (Y31), formula (Y39) or formula (Y40), and still more preferably a group represented by formula (Y11), formula (Y15), formula (Y20), formula (Y30), formula (Y39) or formula (Y40).

[0137]

When an alicyclic hydrocarbon group represented by Y1is a spiro ring such as formula (Y28) to formula (Y35), the alkanediyl group between two oxygen atoms preferably includes one or more fluorine atoms. Among alkanediyl groups included in a ketal structure, it is preferred that a methylene group adjacent to the oxygen atom is not substituted with a fluorine atom.

[0138]

Examples of the substituent of the methyl group represented by Y1include a halogen atom, a hydroxy group, an alicyclic hydrocarbon group having 3 to 16 carbon atoms, an aromatic hydrocarbon group having 6 to 18 carbon atoms, a glycidyloxy group, a —(CH2)ja—CO—O—Rb1group or a —(CH2)ja—O—CO—Rb1group (wherein Rb1represents an alkyl group having 1 to 16 carbon atoms, an alicyclic hydrocarbon group having 3 to 16 carbon atoms, an aromatic hydrocarbon group having 6 to 18 carbon atoms, or groups obtained by combining these groups, ja represents an integer of 0 to 4, and —CH2-included in an alkyl group having 1 to 16 carbon atoms and an alicyclic hydrocarbon group having 3 to 16 carbon atoms may be replaced by —O—, —S(O)2— or —CO—) and the like.

[0139]

Examples of the substituent of the alicyclic hydrocarbon group represented by Y1include a halogen atom, a hydroxy group, an alkyl group having 1 to 12 carbon atoms which may be substituted with a hydroxy group, an alicyclic hydrocarbon group having 3 to 16 carbon atoms, an alkoxy group having 1 to 12 carbon atoms, an aromatic hydrocarbon group having 6 to 18 carbon atoms, an aralkyl group having 7 to 21 carbon atoms, an alkylcarbonyl group having 2 to 4 carbon atoms, a glycidyloxy group, a —(CH2)ja—CO—O—Rb1group or —(CH2)ja—O—CO—Rb1group (wherein Rb1represents an alkyl group having 1 to 16 carbon atoms, an alicyclic hydrocarbon group having 3 to 16 carbon atoms or an aromatic hydrocarbon group having 6 to 18 carbon atoms, or groups obtained by combining these groups, ja represents an integer of 0 to 4, and —CH2— included in the alkyl group having 1 to 16 carbon atoms and the alicyclic hydrocarbon group having 3 to 16 carbon atoms may be replaced by —O—, —S(O)2— or —CO—) and the like.

[0140]

Examples of the halogen atom include a fluorine atom, a chlorine atom, a bromine atom and an iodine atom.

[0141]

The alicyclic hydrocarbon group includes, for example, a cyclopentyl group, a cyclohexyl group, a cycloheptyl group, a cyclooctyl group, a norbornyl group, an adamantyl group and the like. The alicyclic hydrocarbon group may have a chain hydrocarbon group, and examples thereof include a methylcyclohexyl group, a dimethylcyclohexyl group and the like.

[0142]

The aromatic hydrocarbon group includes, for example, aryl groups such as a phenyl group, a naphthyl group, an anthryl group, a biphenyl group, and a phenanthryl group. The aromatic hydrocarbon group may have a chain hydrocarbon group or an alicyclic hydrocarbon group and examples thereof include an aromatic hydrocarbon group having a chain hydrocarbon group having 1 to 18 carbon atoms (a tolyl group, a xylyl group, a cumenyl group, a mesityl group, a p-methylphenyl group, a p-ethylphenyl group, a p-tert-butylphenyl group, a 2,6-diethylphenyl group, a 2-methyl-6-ethylphenyl group, etc.) and an aromatic hydrocarbon group having alicyclic hydrocarbon group having 3 to 18 carbon atoms (a p-cyclohexylphenyl group, a p-adamantylphenyl group, etc.).

[0143]

The alkyl group includes, for example, a methyl group, an ethyl group, a propyl group, an isopropyl group, a butyl group, a sec-butyl group, a tert-butyl group, a pentyl group, a hexyl group, a heptyl group, a 2-ethylhexyl group, an octyl group, a nonyl group, a decyl group, an undecyl group, a dodecyl group and the like.

[0144]

Examples of the alkyl group substituted with a hydroxy group include hydroxyalkyl groups such as a hydroxymethyl group and a hydroxyethyl group.

[0145]

Examples of the alkoxy group include a methoxy group, an ethoxy group, a propoxy group, a butoxy group, a pentyloxy group, a hexyloxy group, a heptyloxy group, an octyloxy group, a decyloxy group and a dodecyloxy group.

[0146]

Examples of the aralkyl group include a benzyl group, a phenethyl group, a phenylpropyl group, a naphthylmethyl group and a naphthylethyl group.

[0147]

The alkylcarbonyl group includes, for example, an acetyl group, a propionyl group and a butyryl group.

[0148]

Examples of Y1include the followings.

[0000]

[0149]

Y1is preferably an alicyclic hydrocarbon group having 3 to 18 carbon atoms which may have a substituent, more preferably an alicyclic hydrocarbon group substituted with a hydroxy group, and still more preferably an adamantyl group which may have a substituent, and —CH2— constituting the alicyclic hydrocarbon group or the adamantyl group may be replaced by —CO—, —S(O)2— or —CO—. Y1is still more preferably an adamantyl group, a hydroxyadamantyl group, an oxoadamantyl group, or groups represented by the followings, and particularly preferably a hydroxyadamantyl group or an oxoadamantyl group, or groups including these groups.

[0000]

[0150]

The anion represented by formula (I-A) is preferably anions represented by formula (I-A-1) to formula (I-A-55) [hereinafter sometimes referred to as “anion (I-A-1)” according to the number of formula], and more preferably an anion represented by any one of formula (I-A-1) to formula (I-A-4), formula (I-A-9), formula (I-A-10), formula (I-A-24) to formula (I-A-33), formula (I-A-36) to formula (I-A-40) and formula (I-A-47) to formula (I-A-55).

[0000]

[0151]

Ri2to Ri7each independently represent, for example, an alkyl group having 1 to 4 carbon atoms, and preferably a methyl group or an ethyl group. Ri8is, for example, a chain hydrocarbon group having 1 to 12 carbon atoms, preferably an alkyl group having 1 to 4 carbon atoms, an alicyclic hydrocarbon group having 5 to 12 carbon atoms or groups formed by combining these groups, and more preferably a methyl group, an ethyl group, a cyclohexyl group or an adamantyl group. LA41is a single bond or an alkanediyl group having 1 to 4 carbon atoms. Q1and Q2are the same as defined above.

[0152]

Specific examples of the anion represented by formula (I-A) include anions mentioned in JP 2010-204646 A.

[0153]

Examples of the anion represented by formula (I-A) are preferably anions represented by formula (I-a-1) to formula (I-a34).

[0000]

[0154]

Among these, an anion represented by any one of formula (I-a-1) to formula (I-a-3) and formula (I-a-7) to formula (I-a-19) and formula (I-a-22) to formula (I-a-34) is preferable.

[0155]

Examples of the sulfonylimide anion represented by AI include the followings.

[0000]

[0156]

Examples of the sulfonylmethide anion include the followings.

[0000]

[0157]

Examples of the carboxylic acid anion include the followings.

[0000]

[0158]

Specific examples of the salt (I) include salts obtained by optionally combining the above-mentioned cations and anions. Specific examples of the salt (I) are shown in the following Table.

[0159]

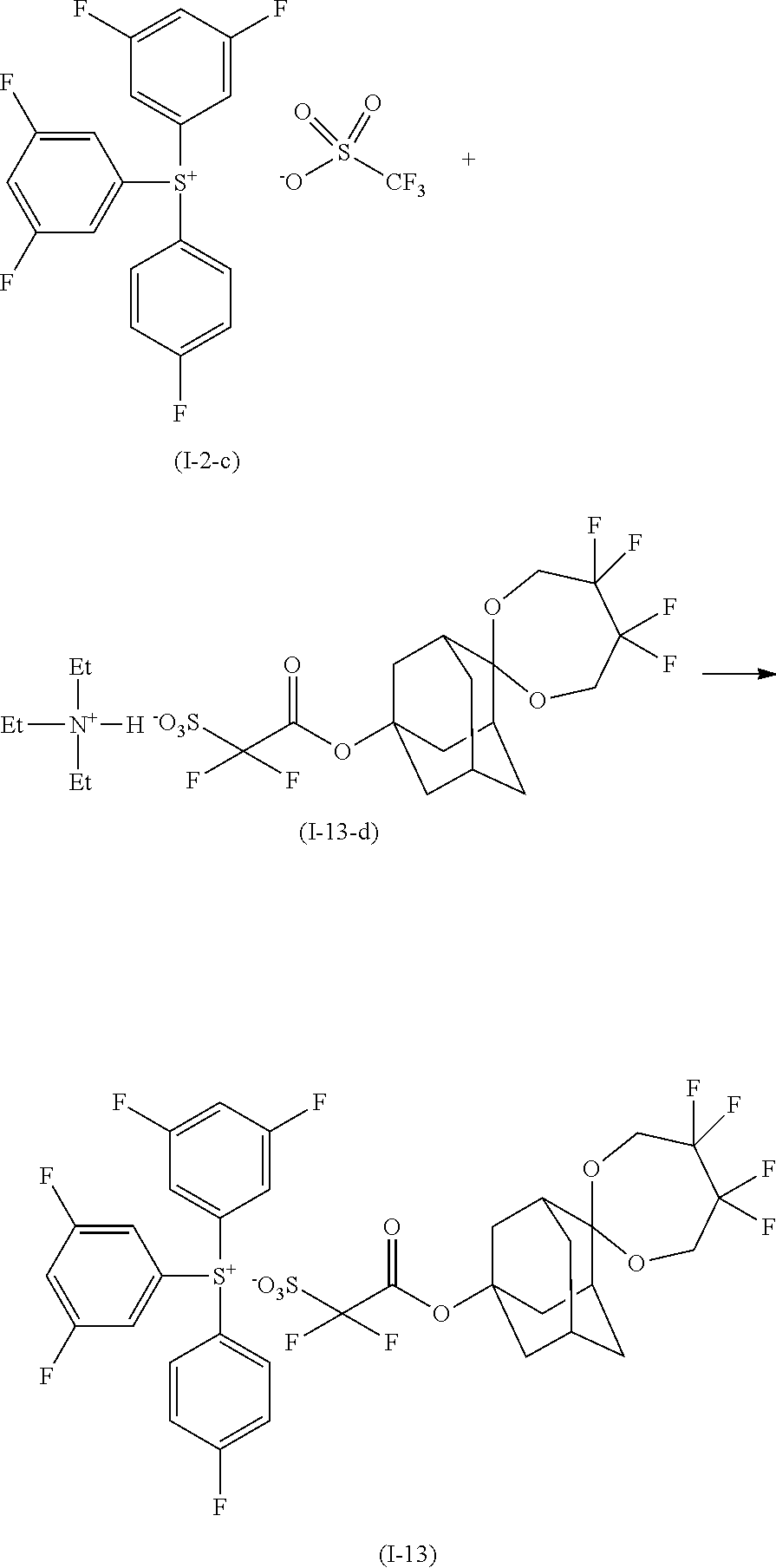
In the following Table, each symbol represents a symbol attached to a structure which represents the above-mentioned anion and cation. For example, the salt (I-1) is a salt composed of an anion represented by formula (I-a-1) and a cation represented by formula (I-c-1) and is the following salt.

[0000]

[0000]

(I-1)(I-a-1)(I-c-1)
(I-2)(I-a-2)(I-c-1)
(I-3)(I-a-3)(I-c-1)
(I-4)(I-a-7)(I-c-1)
(I-5)(I-a-8)(I-c-1)
(I-6)(I-a-9)(I-c-1)
(I-7)(I-a-10)(I-c-1)
(I-8)(I-a-11)(I-c-1)
(I-9)(I-a-12)(I-c-1)
(I-10)(I-a-13)(I-c-1)
(I-11)(I-a-14)(I-c-1)
(I-12)(I-a-15)(I-c-1)
(I-13)(I-a-16)(I-c-1)
(I-14)(I-a-17)(I-c-1)
(I-15)(I-a-18)(I-c-1)
(I-16)(I-a-19)(I-c-1)
(I-17)(I-a-22)(I-c-1)
(I-18)(I-a-23)(I-c-1)
(I-19)(I-a-24)(I-c-1)
(I-20)(I-a-25)(I-c-1)
(I-21)(I-a-26)(I-c-1)
(I-22)(I-a-27)(I-c-1)
(I-23)(I-a-28)(I-c-1)
(I-24)(I-a-29)(I-c-1)
(I-25)(I-a-30)(I-c-1)
(I-26)(I-a-31)(I-c-1)
(I-27)(I-a-32)(I-c-1)
(I-28)(I-a-33)(I-c-1)
(I-29)(I-a-34)(I-c-1)
(I-30)(I-a-1)(I-c-2)
(I-31)(I-a-2)(I-c-2)
(I-32)(I-a-3)(I-c-2)
(I-33)(I-a-7)(I-c-2)
(I-34)(I-a-8)(I-c-2)
(I-35)(I-a-9)(I-c-2)
(I-36)(I-a-10)(I-c-2)
(I-37)(I-a-11)(I-c-2)
(I-38)(I-a-12)(I-c-2)
(I-39)(I-a-13)(I-c-2)
(I-40)(I-a-14)(I-c-2)
(I-41)(I-a-15)(I-c-2)
(I-42)(I-a-16)(I-c-2)
(I-43)(I-a-17)(I-c-2)
(I-44)(I-a-18)(I-c-2)
(I-45)(I-a-19)(I-c-2)
(I-46)(I-a-22)(I-c-2)
(I-47)(I-a-23)(I-c-2)
(I-48)(I-a-24)(I-c-2)
(I-49)(I-a-25)(I-c-2)
(I-50)(I-a-26)(I-c-2)
(I-51)(I-a-27)(I-c-2)
(I-52)(I-a-28)(I-c-2)
(I-53)(I-a-29)(I-c-2)
(I-54)(I-a-30)(I-c-2)
(I-55)(I-a-31)(I-c-2)
(I-56)(I-a-32)(I-c-2)
(I-57)(I-a-33)(I-c-2)
(I-58)(I-a-34)(I-c-2)
(I-59)(I-a-1)(I-c-3)
(I-60)(I-a-2)(I-c-3)
(I-61)(I-a-3)(I-c-3)
(I-62)(I-a-7)(I-c-3)
(I-63)(I-a-8)(I-c-3)
(I-64)(I-a-9)(I-c-3)
(I-65)(I-a-10)(I-c-3)
(I-66)(I-a-11)(I-c-3)
(I-67)(I-a-12)(I-c-3)
(I-68)(I-a-13)(I-c-3)
(I-69)(I-a-14)(I-c-3)
(I-70)(I-a-15)(I-c-3)
(I-71)(I-a-16)(I-c-3)
(I-72)(I-a-17)(I-c-3)
(I-73)(I-a-18)(I-c-3)
(I-74)(I-a-19)(I-c-3)
(I-75)(I-a-22)(I-c-3)
(I-76)(I-a-23)(I-c-3)
(I-77)(I-a-24)(I-c-3)
(I-78)(I-a-25)(I-c-3)
(I-79)(I-a-26)(I-c-3)
(I-80)(I-a-27)(I-c-3)
(I-81)(I-a-28)(I-c-3)
(I-82)(I-a-29)(I-c-3)
(I-83)(I-a-30)(I-c-3)
(I-84)(I-a-31)(I-c-3)
(I-85)(I-a-32)(I-c-3)
(I-86)(I-a-33)(I-c-3)
(I-87)(I-a-34)(I-c-3)
(I-88)(I-a-1)(I-c-4)
(I-89)(I-a-2)(I-c-4)
(I-90)(I-a-3)(I-c-4)
(I-91)(I-a-7)(I-c-4)
(I-92)(I-a-8)(I-c-4)
(I-93)(I-a-9)(I-c-4)
(I-94)(I-a-10)(I-c-4)
(I-95)(I-a-11)(I-c-4)
(I-96)(I-a-12)(I-c-4)
(I-97)(I-a-13)(I-c-4)
(I-98)(I-a-14)(I-c-4)
(I-99)(I-a-15)(I-c-4)
(I-100)(I-a-16)(I-c-4)
(I-101)(I-a-17)(I-c-4)
(I-102)(I-a-18)(I-c-4)
(I-103)(I-a-19)(I-c-4)
(I-104)(I-a-22)(I-c-4)
(I-105)(I-a-23)(I-c-4)
(I-106)(I-a-24)(I-c-4)
(I-107)(I-a-25)(I-c-4)
(I-108)(I-a-26)(I-c-4)
(I-109)(I-a-27)(I-c-4)
(I-110)(I-a-28)(I-c-4)
(I-111)(I-a-29)(I-c-4)
(I-112)(I-a-30)(I-c-4)
(I-113)(I-a-31)(I-c-4)
(I-114)(I-a-32)(I-c-4)
(I-115)(I-a-33)(I-c-4)
(I-116)(I-a-34)(I-c-4)
(I-117)(I-a-1)(I-c-5)
(I-118)(I-a-2)(I-c-5)
(I-119)(I-a-3)(I-c-5)
(I-120)(I-a-7)(I-c-5)
(I-121)(I-a-8)(I-c-5)
(I-122)(I-a-9)(I-c-5)
(I-123)(I-a-10)(I-c-5)
(I-124)(I-a-11)(I-c-5)
(I-125)(I-a-12)(I-c-5)
(I-126)(I-a-13)(I-c-5)
(I-127)(I-a-14)(I-c-5)
(I-128)(I-a-15)(I-c-5)
(I-129)(I-a-16)(I-c-5)
(I-130)(I-a-17)(I-c-5)
(I-131)(I-a-18)(I-c-5)
(I-132)(I-a-19)(I-c-5)
(I-133)(I-a-22)(I-c-5)
(I-134)(I-a-23)(I-c-5)
(I-135)(I-a-24)(I-c-5)
(I-136)(I-a-25)(I-c-5)
(I-137)(I-a-26)(I-c-5)
(I-138)(I-a-27)(I-c-5)
(I-139)(I-a-28)(I-c-5)
(I-140)(I-a-29)(I-c-5)
(I-141)(I-a-30)(I-c-5)
(I-142)(I-a-31)(I-c-5)
(I-143)(I-a-32)(I-c-5)
(I-144)(I-a-33)(I-c-5)
(I-145)(I-a-34)(I-c-5)

[0160]

Among these salts, the salt (I) preferably include salt (I-1) to salt (I-5), salt (I-13) to salt (I-25), salt (I-30) to salt (I-34), salt (I-42) to salt (I-54), salt (I-59) to salt (I-63), salt (I-71) to salt (I-83), salt (I-88) to salt (I-92), salt (I-100) to salt (I-112), salt (I-117) to salt (I-121) and salt (I-129) to salt (I-141).

<Method for Producing Salt (I)>

[0161]

The salt (I) can be produced by reacting a salt represented by formula (I-a) with a salt represented by formula (I-b) in a solvent:

[0000]

[0000]

wherein all symbols are the same as defined above.

[0162]

Examples of the solvent include chloroform, monochlorobenzene, acetonitrile, water and the like.

[0163]

The reaction temperature is usually 15° C. to 80° C., and the reaction time is usually 0.5 to 24 hours.

[0164]

Examples of the salt represented by formula (I-b) include salts represented by the following formulas. These salts can be obtained by the method mentioned in JP 2011-116747 A.

[0000]

[0165]

A salt represented by formula (I-a) can be produced by reacting a compound represented by formula (I-c) with a Grignard compound, which is obtained by reacting magnesium with a compound represented by formula (I-d) in a solvent, in the presence of trimethylchlorosilane and a base in a solvent, followed by further reaction with dimethylsulfuric acid:

[0000]

[0000]

wherein all symbols are the same as defined above.

[0166]

Examples of the solvent include tetrahydrofuran and the like.

[0167]

Examples of the base include triethylamine and the like.

[0168]

The reaction temperature is usually 5° C. to 80° C., and the reaction time is usually 0.5 to 24 hours.

[0169]

The compound represented by formula (I-c) includes a compound represented by the following formula and can be obtained by the same method as mentioned in JP 2017-015777 A.

[0000]

[0170]

The compound represented by formula (I-d) include compounds represented by the followings and is easily available on the market.

[0000]

<Acid Generator>

[0171]

The acid generator of the present invention is an acid generator including the salt (I). The acid generator may include one salt (I) or may include two or more salts (I).

[0172]

The acid generator of the present invention may include, in addition to the salt (I), an acid generator known in the resist field (hereinafter sometimes referred to as “acid generator (B)”). The acid generator (B) may be used alone, or two or more acid generators may be used in combination.

[0173]

Either nonionic or ionic acid generator may be used as the acid generator (B). Examples of the nonionic acid generator include sulfonate esters (e.g. 2-nitrobenzyl ester, aromatic sulfonate, oxime sulfonate, N-sulfonyloxyimide, sulfonyloxyketone, diazonaphthoquinone 4-sulfonate), sulfones (e.g. disulfone, ketosulfone, sulfonyldiazomethane) and the like. Typical examples of the ionic acid generator include onium salts containing an onium cation (e.g. diazonium salt, phosphonium salt, sulfonium salt, iodonium salt). Examples of the anion of the onium salt include sulfonic acid anion, sulfonylimide anion, sulfonylmethide anion and the like.

[0174]

Specific examples of the acid generator (B) include compounds generating an acid upon exposure to radiation mentioned in JP 63-26653 A, JP 55-164824 A, JP 62-69263 A, JP 63-146038 A, JP 63-163452 A, JP 62-153853 A, JP 63-146029 A, U.S. Pat. Nos. 3,779,778, 3,849,137, DE Patent No. 3914407 and EP Patent No. 126,712. Compounds produced by a known method may also be used. Two or more acid generators (B) may also be used in combination.

[0175]

The acid generator (B) is preferably a fluorine-containing acid generator, and more preferably a salt represented by formula (B1) (hereinafter sometimes referred to as “acid generator (B1)”):

[0000]

[0000]

wherein, in formula (B1),

[0176]

Qb1and Qb2each independently represent a fluorine atom or a perfluoroalkyl group having 1 to 6 carbon atoms,

[0177]

Lb1represents a saturated hydrocarbon group having 1 to 24 carbon atoms, —CH2— included in the saturated hydrocarbon group may be replaced by —O— or —CO—, and a hydrogen atom included in the saturated hydrocarbon group may be substituted with a fluorine atom or a hydroxy group,

[0178]

Y represents a methyl group which may have a substituent or an alicyclic hydrocarbon group having 3 to 18 carbon atoms which may have a substituent, and —CH2— included in the alicyclic hydrocarbon group may be replaced by —O—, —S(O)2— or —CO—, and

[0179]

Z1+ represents an organic cation.

[0180]

Examples of Qb1, Qb2, Lb1and Y in formula (B1) include those which are respectively the same as the above-mentioned Q1, Q2, L1and Y1in formula (I-A).

[0181]

Examples of the sulfonic acid anion in formula (B1) include those which are the same as the anion represented by formula (I-A).

[0182]

Examples of the organic cation of Z1+ include an organic onium cation, an organic sulfonium cation, an organic iodonium cation, an organic ammonium cation, a benzothiazolium cation and an organic phosphonium cation. Among these organic cations, an organic sulfonium cation and an organic iodonium cation are preferred, and an arylsulfonium cation is more preferred. Specific examples thereof include a cation represented by any one of formula (b2-1) to formula (b2-4) (hereinafter sometimes referred to as “cation (b2-1)” according to the number of formula).

[0000]

[0183]

In formula (b2-1) to formula (b2-4),

[0184]

Rb4to Rb6each independently represent a chain hydrocarbon group having 1 to 30 carbon atoms, an alicyclic hydrocarbon group having 3 to 36 carbon atoms or an aromatic hydrocarbon group having 6 to 36 carbon atoms, a hydrogen atom included in the chain hydrocarbon group may be substituted with a hydroxy group, an alkoxy group having 1 to 12 carbon atoms, an alicyclic hydrocarbon group having 3 to 12 carbon atoms or an aromatic hydrocarbon group having 6 to 18 carbon atoms, a hydrogen atom included in the alicyclic hydrocarbon group may be substituted with a halogen atom, an aliphatic hydrocarbon group having 1 to 18 carbon atoms, an alkylcarbonyl group having 2 to 4 carbon atoms or a glycidyloxy group, and a hydrogen atom included in the aromatic hydrocarbon group may be substituted with a halogen atom, a hydroxy group or an alkoxy group having 1 to 12 carbon atoms,

[0185]

Rb4and Rb5may be bonded to each other to form a ring together with sulfur atoms to which Rb4and Rb5, are bonded, and —CH2— included in the ring may be replaced by —O—, —S— or —CO—,

[0186]

Rb7and Rb8each independently represent a hydroxy group, an aliphatic hydrocarbon group having 1 to 12 carbon atoms or an alkoxy group having 1 to 12 carbon atoms,

[0187]

m2 and n2 each independently represent an integer of 0 to 5,

[0188]

when m2 is 2 or more, a plurality of Rb7may be the same or different, and when n2 is 2 or more, a plurality of Rb8may be the same or different,

[0189]

Rb9and Rb10each independently represent a chain hydrocarbon group having 1 to 36 carbon atoms or an alicyclic hydrocarbon group having 3 to 36 carbon atoms,

[0190]

Rb9and Rb10may be bonded to each other to form a ring together with sulfur atoms to which Rb9and Rb10are bonded, and —CH2— included in the ring may be replaced by —O—, —S— or —CO—,

[0191]

Rb11represents a hydrogen atom, a chain hydrocarbon group having 1 to 36 carbon atoms, an alicyclic hydrocarbon group having 3 to 36 carbon atoms or an aromatic hydrocarbon group having 6 to 18 carbon atoms,

[0192]

Rb12represents a chain hydrocarbon group having 1 to 12 carbon atoms, an alicyclic hydrocarbon group having 3 to 18 carbon atoms or an aromatic hydrocarbon group having 6 to 18 carbon atoms, a hydrogen atom included in the chain hydrocarbon may be substituted with an aromatic hydrocarbon group having 6 to 18 carbon atoms, and a hydrogen atom included in the aromatic hydrocarbon group may be substituted with an alkoxy group having 1 to 12 carbon atoms or an alkylcarbonyloxy group having 1 to 12 carbon atoms,

[0193]

Rb11and Rb12may be bonded to each other to form a ring, including —CH—CO— to which Rb11and R12are bonded, and —CH2— included in the ring may be replaced by —O—, —S— or —CO—,

[0194]

Rb13to Rb18each independently represent a hydroxy group, an aliphatic hydrocarbon group having 1 to 12 carbon atoms or an alkoxy group having 1 to 12 carbon atoms,

[0195]

Lb31represents a sulfur atom or an oxygen atom,

[0196]

o2, p2, s2 and t2 each independently represent an integer of 0 to 5,

[0197]

q2 and r2 each independently represent an integer of 0 to 4,

[0198]

u2 represents 0 or 1, and

[0199]

when o2 is 2 or more, a plurality of Rb13are the same or different, when p2 is 2 or more, a plurality of Rb14are the same or different, when q2 is 2 or more, a plurality of Rb15are the same or different, when r2 is 2 or more, a plurality of Rb16are the same or different, when s2 is 2 or more, a plurality of Rb17are the same or different, and when t2 is 2 or more, a plurality of Rb18are the same or different.

[0200]

The aliphatic hydrocarbon group represents a chain hydrocarbon group and an alicyclic hydrocarbon group.

[0201]

Examples of the chain hydrocarbon group include alkyl groups such as a methyl group, an ethyl group, a propyl group, an isopropyl group, a butyl group, a sec-butyl group, a tert-butyl group, a pentyl group, a hexyl group, an octyl group and a 2-ethylhexyl group. Particularly, the chain hydrocarbon group for Rb9to Rb12preferably has 1 to 12 carbon atoms.

[0202]

The alicyclic hydrocarbon group may be either monocyclic or polycyclic, and examples of the monocyclic alicyclic hydrocarbon group include cycloalkyl groups such as a cyclopropyl group, a cyclobutyl group, a cyclopentyl group, a cyclohexyl group, a cycloheptyl group, a cyclooctyl group and a cyclodecyl group. Examples of the polycyclic alicyclic hydrocarbon group include a decahydronaphthyl group, an adamantyl group, a norbornyl group and the following groups.

[0000]

[0203]

Particularly, the alicyclic hydrocarbon group for Rb9to Rb12preferably has 3 to 18 carbon atoms, and more preferably 4 to 12 carbon atoms.

[0204]

Examples of the alicyclic hydrocarbon group in which a hydrogen atom is substituted with an aliphatic hydrocarbon group include a methylcyclohexyl group, a dimethylcyclohexyl group, a 2-methyladamantan-2-yl group, a 2-ethyladamantan-2-yl group, a 2-isopropyladamantan-2-yl group, a methylnorbornyl group, an isobornyl group and the like. In the alicyclic hydrocarbon group in which a hydrogen atom is substituted with an aliphatic hydrocarbon group, the total number of carbon atoms of the alicyclic hydrocarbon group and the aliphatic hydrocarbon group is preferably 20 or less.

[0205]

Examples of the aromatic hydrocarbon group include aryl groups such as a phenyl group, a biphenyl group, a naphthyl group, an anthryl group and a phenanthryl group. The aromatic hydrocarbon group may have a chain hydrocarbon group or a alicyclic hydrocarbon group and examples thereof include an aromatic hydrocarbon group having a chain hydrocarbon group (a tolyl group, a xylyl group, a cumenyl group, a mesityl group, a p-ethylphenyl group, a p-tert-butylphenyl group, a 2,6-diethylphenyl group, a 2-methyl-6-ethylphenyl group, etc.), an aromatic hydrocarbon group having a alicyclic hydrocarbon group (a p-cycrohexylphenyl group, a p-adamantylphenyl group, etc.) and the like.

[0206]

When the aromatic hydrocarbon group has a chain hydrocarbon group or an alicyclic hydrocarbon group, a chain hydrocarbon group having 1 to 18 carbon atoms and an alicyclic hydrocarbon group having 3 to 18 carbon atoms are preferable.

[0207]

Examples of the aromatic hydrocarbon group in which a hydrogen atom is substituted with an alkoxy group include a p-methoxyphenyl group and the like.

[0208]

Examples of the chain hydrocarbon group in which a hydrogen atom is substituted with an aromatic hydrocarbon group include aralkyl groups such as a benzyl group, a phenethyl group, a phenylpropyl group, a trityl group, a naphthylmethyl group and a naphthylethyl group.

[0209]

Examples of the alkoxy group include a methoxy group, an ethoxy group, a propoxy group, a butoxy group, a pentyloxy group, a hexyloxy group, a heptyloxy group, an octyloxy group, a decyloxy group and a dodecyloxy group.

[0210]

Examples of the alkylcarbonyl group include an acetyl group, a propionyl group and a butyryl group.

[0211]

Examples of the halogen atom include a fluorine atom, a chlorine atom, a bromine atom and an iodine atom.

[0212]

Examples of the alkylcarbonyloxy group include a methylcarbonyloxy group, an ethylcarbonyloxy group, a propylcarbonyloxy group, an isopropylcarbonyloxy group, a butylcarbonyloxy group, a sec-butylcarbonyloxy group, a tert-butylcarbonyloxy group, a pentylcarbonyloxy group, a hexylcarbonyloxy group, an octylcarbonyloxy group and a 2-ethylhexylcarbonyloxy group.

[0213]

The ring formed by bonding Rb4and Rb5each other, together with sulfur atoms to which Rb4and Rb5are bonded, may be a monocyclic, polycyclic, aromatic, nonaromatic, saturated or unsaturated ring. This ring includes a ring having 3 to 18 carbon atoms and is preferably a ring having 4 to 18 carbon atoms. The ring containing a sulfur atom includes a 3-membered to 12-membered ring and is preferably a 3-membered to 7-membered ring and includes, for example, the following rings and the like. * represents a bonding site.

[0000]

[0214]

The ring formed by combining Rb9and Rb10together may be a monocyclic, polycyclic, aromatic, nonaromatic, saturated or unsaturated ring. This ring includes a 3-membered to 12-membered ring and is preferably a 3-membered to 7-membered ring. The ring includes, for example, a thiolan-1-ium ring (tetrahydrothiophenium ring), a thian-1-ium ring, a 1,4-oxathian-4-ium ring and the like.

[0215]

The ring formed by combining Rb11and Rb12together may be a monocyclic, polycyclic, aromatic, nonaromatic, saturated or unsaturated ring. This ring includes a 3-membered to 12-membered ring and is preferably a 3-membered to 7-membered ring. Examples thereof include an oxocycloheptane ring, an oxocyclohexane ring, an oxonorbornane ring, an oxoadamantane ring and the like.

[0216]

Among cation (b2-1) to cation (b2-4), a cation (b2-1) is preferred.

[0217]

Examples of the cation (b2-1) include the following cations and the like.

[0000]

[0218]

Examples of the cation (b2-2) include the following cations and the like.

[0000]

[0219]

Examples of the cation (b2-3) include the following cations and the like.

[0000]

[0220]

Examples of the cation (b2-4) include the following cations and the like.

[0000]

[0221]

The acid generator (B) is a combination of the sulfonic acid anion mentioned above and the organic cation mentioned above, and these can be optionally combined. The acid generator (B) preferably includes a combination of an anion represented by any one of formula (B1a-1) to formula (B1a-3) and formula (B1a-7) to formula (B1a-16), formula (B1a-18), formula (B1a-19) and formula (B1a-22) to formula (B1a-34) with a cation (b2-1) or a cation (b2-3).

[0222]

The acid generator (B) preferably includes those represented by formula (B1-1) to formula (B1-48). Among these acid generators, those containing an arylsulfonium cation are preferred and those represented by formula (B1-1) to formula (B1-3), formula (B1-5) to formula (B1-7), formula (B1-11) to formula (B1-14), formula (B1-20) to formula (B1-26), formula (B1-29) and formula (B1-31) to formula (B1-48) are particularly preferred.

[0000]

[0223]

When the salt (I) and the acid generator (B) are included as the acid generator, a ratio of the content of the salt (I) and that of the acid generator (B) (mass ratio; salt (I):acid generator (B)) is usually 1:99 to 99:1, preferably 2:98 to 98:2, more preferably 5:95 to 95:5, still more preferably 10:90 to 90:10, and particularly preferably 15:85 to 85:15.

<Resist Composition>

[0224]

The resist composition of the present invention includes an acid generator including a salt (I) and a resin having an acid-labile group (hereinafter sometimes referred to as “resin (A)”). The “acid-labile group” means a group having a leaving group which is eliminated by contact with an acid, thus converting a constitutional unit into a constitutional unit having a hydrophilic group (e.g. a hydroxy group or a carboxy group).

[0225]

The resist composition of the present invention preferably includes a quencher such as a salt generating an acid having an acidity lower than that of an acid generated from the acid generator (hereinafter sometimes referred to as “quencher (C)”), and preferably includes a solvent (hereinafter sometimes referred to as “solvent (E)”).

<Acid Generator>

[0226]

In the resist composition of the present invention, the content of the acid generator is preferably 1 part by mass or more and 40 parts by mass or less, more preferably 3 parts by mass or more and 35 parts by mass or less, and still more preferably 10 parts by mass or more and 35 parts by mass or less, based on 100 parts by mass of the below-mentioned resin (A).

<Resin (A)>

[0227]

The resin (A) includes a structural unit having an acid-labile group (hereinafter sometimes referred to as “structural unit (a1)”). It is preferred that the resin (A) further includes a structural unit other than the structural unit (a1). Examples of the structural unit other than the structural unit (a1) include a structural unit having no acid-labile group (hereinafter sometimes referred to as “structural unit (s)”), a structural unit other than the structural unit (a1) and the structural unit (s) (e.g. a structural unit having a halogen atom mentioned later (hereinafter sometimes referred to as “structural unit (a4)”), a structural unit having a non-leaving hydrocarbon group mentioned later (hereinafter sometimes referred to as “structural unit (a5)) and other structural units derived from monomers known in the art.

[0000]

<Structural Unit (a1)>

[0228]

The structural unit (a1) is derived from a monomer having an acid-labile group (hereinafter sometimes referred to as “monomer (a1)”).

[0229]

The acid-labile group contained in the resin (A) is preferably a group represented by formula (1) (hereinafter also referred to as group (1)) and/or a group represented by formula (2) (hereinafter also referred to as group (2)):

[0000]

[0000]

wherein, in formula (1), Ra1, Ra2and Ra3each independently represent an alkyl group having 1 to 8 carbon atoms, an alicyclic hydrocarbon group having 3 to 20 carbon atoms or groups obtained by combining these groups, or Ra1and Ra2are bonded to each other to form a nonaromatic hydrocarbon ring having 3 to 20 carbon atoms together with carbon atoms to which Ra1and Ra2are bonded,

[0230]

ma and na each independently represent 0 or 1, and at least one of ma and na represents 1, and

[0231]

* represents a bonding site:

[0000]

[0000]

wherein, in formula (2), Ra1′and Ra2′each independently represent a hydrogen atom or a hydrocarbon group having 1 to 12 carbon atoms, Ra3′represents a hydrocarbon group having 1 to 20 carbon atoms, or Ra2′and Ra3′are bonded to each other to form a heterocyclic ring having 3 to 20 carbon atoms together with carbon atoms and X to which Ra2′and Ra3′are bonded, and —CH2— included in the hydrocarbon group and the heterocyclic ring may be replaced by —O— or —S—,

[0232]

X represents an oxygen atom or a sulfur atom,

[0233]

na′ represents 0 or 1, and

[0234]

* represents a bonding site.

[0235]

Examples of the alkyl group in Ra1, Ra2and Ra3include a methyl group, an ethyl group, a propyl group, a butyl group, a pentyl group, a hexyl group, a heptyl group, an octyl group and the like.

[0236]

The alicyclic hydrocarbon group in Ra1, Ra2and Ra3may be either monocyclic or polycyclic. Examples of the monocyclic alicyclic hydrocarbon group include cycloalkyl groups such as a cyclopentyl group, a cyclohexyl group, a cycloheptyl group and a cyclooctyl group. Examples of the polycyclic alicyclic hydrocarbon group include a decahydronaphthyl group, an adamantyl group, a norbornyl group and the following groups (* represents a bonding site). The number of carbon atoms of the alicyclic hydrocarbon group for Ra1, Ra2and Ra3is preferably 3 to 16.

[0000]

[0237]

The group obtained by combining an alkyl group with an alicyclic hydrocarbon group includes, a for example, a methylcyclohexyl group, a dimethylcyclohexyl group, a methylnorbornyl group, a cyclohexylmethyl group, an adamantylmethyl group, an adamantyldimethyl group, a norbornylethyl group and the like.

[0238]

Preferably, ma is 0 and na is 1.

[0239]

When Ra1and Ra2are bonded to each other to form a nonaromatic hydrocarbon ring, examples of —C(Ra1)(Ra2) (Ra3) include the following rings. The nonaromatic hydrocarbon ring preferably has 3 to 12 carbon atoms. * represents a bonding site to —O—.

[0000]

[0240]

Examples of the hydrocarbon group in Ra1′, Ra2′and Ra3′include an alkyl group, an alicyclic hydrocarbon group, an aromatic hydrocarbon group and groups obtained by combining these groups.

[0241]

Examples of the alkyl group and the alicyclic hydrocarbon group include those which are the same as mentioned in Ra1, Ra2and Ra3.

[0242]

Examples of the aromatic hydrocarbon group include aryl groups such as a phenyl group, a naphthyl group, an anthryl group, a biphenyl group and a phenanthryl group.

[0243]

Examples of the group combined include a group obtained by combining the above-mentioned alkyl group and alicyclic hydrocarbon group (e.g. a cycloalkylalkyl group), an aralkyl group such as a benzyl group, an aromatic hydrocarbon group having an alkyl group (a p-methylphenyl group, a p-tert-butylphenyl group, a tolyl group, a xylyl group, a cumenyl group, a mesityl group, a 2,6-diethylphenyl group, a 2-methyl-6-ethylphenyl group, etc.), an aromatic hydrocarbon group having an alicyclic hydrocarbon group (a p-cyclohexylphenyl group, a p-adamantylphenyl group, etc.), an aryl-cycloalkyl group such as a phenylcyclohexyl group, and the like.

[0244]

When Ra2′and Ra3′are bonded to each other to form a heterocyclic ring together with carbon atoms and X to which Ra2′and Ra3′are bonded, examples of —C(Ra1′) (Ra3′)—X—Ra2′include the following rings. * represents a bonding site.

[0000]

[0245]

Among Ra1′and Ra2′, at least one is preferably a hydrogen atom.

[0246]

na′ is preferably 0.

[0247]

Examples of the group (1) include the following groups.

[0248]

A group wherein, in formula (1), Ra1, Ra2and Ra3are alkyl groups, ma=0 and na=1. The group is preferably a tert-butoxycarbonyl group.

[0249]

A group wherein, in formula (1), Ra1and Ra2are bonded to each other to form an adamantyl group together with carbon atoms to which Ra1and Ra2are bonded, Ra3is an alkyl group, ma=0 and na=1.

[0250]

A group wherein, in formula (1), Ra1and Ra2are each independently an alkyl group, Ra3is an adamantyl group, ma=0 and na=1.

[0251]

Specific examples of the group (1) include the following groups. * represents a bonding site.

[0000]

[0252]

Specific examples of the group (2) include the following groups. * represents a bonding site.

[0000]

[0253]

The monomer (a1) is preferably a monomer having an acid-labile group and an ethylenic unsaturated bond, and more preferably a (meth)acrylic monomer having an acid-labile group.

[0254]

Among the (meth)acrylic monomers having an acid-labile group, those having an alicyclic hydrocarbon group having 5 to 20 carbon atoms are preferably exemplified. When a resin (A) including a structural unit derived from a monomer (a1) having a bulky structure such as an alicyclic hydrocarbon group is used in a resist composition, it is possible to improve the resolution of a resist pattern.

[0255]

The structural unit derived from a (meth)acrylic monomer having a group (1) includes a structural unit represented by formula (a1-0) (hereinafter sometimes referred to as structural unit (a1-0)), a structural unit represented by formula (a1-1) (hereinafter sometimes referred to as structural unit (a1-1)) or a structural unit represented by formula (a1-2) (hereinafter sometimes referred to as structural unit (a1-2)). These structural units may be used alone, or two or more structural units may be used in combination. A structural unit (a1-1) and/or structural unit (a1-2) is preferable.

[0000]

[0256]

In formula (a1-0), formula (a1-1) and formula (a1-2),

[0257]

La01, La1and La2each independently represent —O— or *—O—(CH2)k1—CO—O—, k1 represents an integer of 1 to 7, and * represents a bonding site to —CO—,

[0258]

Ra01, Ra4and Ra5each independently represent a hydrogen atom or a methyl group,

[0259]

Ra02, Ra03and Ra04each independently represent an alkyl group having 1 to 8 carbon atoms, an alicyclic hydrocarbon group having 3 to 18 carbon atoms or groups obtained by combining these groups,

[0260]

Ra6and Ra7each independently represent an alkyl group having 1 to 8 carbon atoms, an alicyclic hydrocarbon group having 3 to 18 carbon atoms or groups obtained by combining these groups,

[0261]

m1 represents an integer of 0 to 14,

[0262]

n1 represents an integer of 0 to 10, and

[0263]

n1′ represents an integer of 0 to 3.

[0264]

Ra01, Ra4and Ra5are preferably a methyl group.

[0265]

La01, La1and La2are preferably an oxygen atom or *—O—(CH2)k01—CO—O— (in which k01 is preferably an integer of 1 to 4, and more preferably 1), and more preferably an oxygen atom.

[0266]

Examples of the alkyl group, the alicyclic hydrocarbon group and groups obtained by combining these groups in Ra02, Ra03, Ra04, Ra6and Ra7include the same groups as mentioned for Ra1, Ra2and Ra3of formula (1).

[0267]

The number of the carbon atoms of the alkyl group in Ra02, Ra03, and Ra04is preferably 1 to 6, more preferably a methyl group or an ethyl group, and still more preferably a methyl group.

[0268]

The number of the carbon atoms of the alkyl group in Ra6and Ra7is preferably 1 to 6, more preferably a methyl group, an ethyl group or an isopropyl group, and still more preferably an ethyl group or an isopropyl group.

[0269]

The number of carbon atoms of the alicyclic hydrocarbon group of Ra02, Ra03, Ra04, Ra6and Ra7is preferably 5 to 12, and more preferably 5 to 10.

[0270]

The total number of carbon atoms of the group obtained by combining the alkyl group with the alicyclic hydrocarbon group is preferably 18 or less.

[0271]

Ra02and Ra03are preferably an alkyl group having 1 to 6 carbon atoms, and more preferably a methyl group or an ethyl group.

[0272]

Ra04is preferably an alkyl group having 1 to 6 carbon atoms or an alicyclic hydrocarbon group having 5 to 12 carbon atoms, and more preferably a methyl group, an ethyl group, a cyclohexyl group or an adamantyl group.

[0273]

Preferably, Ra6and Ra7are each independently an alkyl group having 1 to 6 carbon atoms, more preferably a methyl group, an ethyl group or an isopropyl group, and still more preferably an ethyl group or an isopropyl group.

[0274]

m1 is preferably an integer of 0 to 3, and more preferably 0 or 1.

[0275]

n1 is preferably an integer of 0 to 3, and more preferably 0 or 1.

[0276]

n1′ is preferably 0 or 1.

[0277]

The structural unit (a1-0) includes, for example, a structural unit represented by any one of formula (a1-0-1) to formula (a1-0-12) and a structural unit in which a methyl group corresponding to Ra01in the structural unit (a1-0) is substituted with a hydrogen atom and is preferably a structural unit represented by any one of formula (a1-0-1) to formula (a1-0-10).

[0000]

[0278]

The structural unit (a1-1) includes, for example, structural units derived from the monomers mentioned in JP 2010-204646 A. Among these structural units, a structural unit represented by any one of formula (a1-1-1) to formula (a1-1-4) and a structural unit in which a methyl group corresponding to Ra4in the structural unit (a1-1) is substituted with a hydrogen atom are preferred, and a structural unit represented by any one of formula (a1-1-1) to formula (a1-1-4) is more preferred.

[0000]

[0279]

Examples of the structural unit (a1-2) include a structural unit represented by any one of formula (a1-2-1) to formula (a1-2-6) and a structural unit in which a methyl group corresponding to Ra5in the structural unit (a1-2) is substituted with a hydrogen atom, and structural units represented by formula (a1-2-2), formula (a1-2-5) and formula (a1-2-6) are preferred.

[0000]

[0280]

When the resin (A) includes a structural unit (a1-0), the content thereof is usually 5 to 60 mol %, preferably 5 to 50 mol %, more preferably 10 to 40 mol %, based on all structural units of the resin (A).

[0281]

When the resin (A) includes a structural unit (a1-0) and/or a structural unit (a1-1) and/or a structural unit (a1-2), the total content thereof is usually 10 to 95 mol %, preferably 15 to 90 mol %, more preferably 20 to 85 mol %, still more preferably 25 to 80 mol %, and yet more preferably 30 to 75 mol %, based on all structural units of the resin (A).

[0282]

In the structural unit (a1), examples of the structural unit having a group (2) include a structural unit represented by formula (a1-4) (hereinafter sometimes referred to as “structural unit (a1-4)”):

[0000]

[0000]

wherein, in formula (a1-4),

[0283]

Ra32represents a hydrogen atom, a halogen atom or an alkyl group having 1 to 6 carbon atoms optionally having a halogen atom,

[0284]

Ra33represents a halogen atom, a hydroxy group, an alkyl group having 1 to 6 carbon atoms, an alkoxy group having 1 to 6 carbon atoms, an alkylcarbonyl group having 2 to 4 carbon atoms, an alkylcarbonyloxy group having 2 to 4 carbon atoms, an acryloyloxy group or a methacryloyloxy group.

[0285]

la represents an integer of 0 to 4, and when la is 2 or more, a plurality of Ra33may be the same or different from each other, and

[0286]

Ra34and Ra35each independently represent a hydrogen atom or a hydrocarbon group having 1 to 12 carbon atoms, Ra36represents a hydrocarbon group having 1 to 20 carbon atoms, or Ra35and Ra36are bonded to each other to form a divalent hydrocarbon group having 2 to 20 carbon atoms together with —C—O— to which Ra35and Ra36are bonded, and —CH2— included in the hydrocarbon group and the divalent hydrocarbon group may be replaced by —O— or —S—.

[0287]

Examples of the alkyl group in Ra32and Ra33include a methyl group, an ethyl group, a propyl group, an isopropyl group, a butyl group, a pentyl group and a hexyl group. The alkyl group is preferably an alkyl group having 1 to 4 carbon atoms, more preferably a methyl group or an ethyl group, and still more preferably a methyl group.

[0288]

Examples of the halogen atom in Ra32and Ra33include a fluorine atom, a chlorine atom and a bromine atom.

[0289]

Examples of the alkyl group having 1 to 6 carbon atoms optionally having a halogen atom include a trifluoromethyl group, a difluoromethyl group, a methyl group, a perfluoroethyl group, a 2,2,2-trifluoroethyl group, a 1,1,2,2-tetrafluoroethyl group, an ethyl group, a perfluoropropyl group, a 2,2,3,3,3-pentafluoropropyl group, a propyl group, a perfluorobutyl group, a 1,1,2,2,3,3,4,4-octafluorobutyl group, a butyl group, a perfluoropentyl group, a 2,2,3,3,4,4,5,5,5-nonafluoropentyl group, a pentyl group, a hexyl group, a perfluorohexyl group and the like.

[0290]

Examples of the alkoxy group include a methoxy group, an ethoxy group, a propoxy group, a butoxy group, a pentyloxy group and a hexyloxy group. Among these groups, an alkoxy group having 1 to 4 carbon atoms is preferred, a methoxy group or an ethoxy group are more preferred, and a methoxy group is still more preferred.

[0291]

Examples of the alkylcarbonyl group include an acetyl group, a propionyl group and a butyryl group.

[0292]

Examples of the alkylcarbonyloxy group include an acetyloxy group, a propionyloxy group, a butyryloxy group and the like.

[0293]

Examples of the hydrocarbon group in Ra34, Ra35and Ra36include an alkyl group, an alicyclic hydrocarbon group, an aromatic hydrocarbon group and groups obtained by combining these groups.

[0294]

Examples of the alkyl group include a methyl group, an ethyl group, a propyl group, a butyl group, a pentyl group, a hexyl group, a heptyl group, an octyl group and the like.

[0295]

The alicyclic hydrocarbon group may be either monocyclic or polycyclic, and examples of the monocyclic alicyclic hydrocarbon group include cycloalkyl groups such as a cyclopentyl group, a cyclohexyl group, a cycloheptyl group and a cyclooctyl group. Examples of the polycyclic alicyclic hydrocarbon group include a decahydronaphthyl group, an adamantyl group, a norbornyl group and the following groups (* represents a bonding site).

[0000]

[0296]

Examples of the aromatic hydrocarbon group include aryl groups such as a phenyl group, a naphthyl group, an anthryl group, a biphenyl group and a phenanthryl group.

[0297]

Examples of the combined group include a group obtained by combining the above-mentioned alkyl group and alicyclic hydrocarbon group (e.g. a cycloalkylalkyl group), an aralkyl group such as a benzyl group, an aromatic hydrocarbon group having an alkyl group (a p-methylphenyl group, a p-tert-butylphenyl group, a tolyl group, a xylyl group, a cumenyl group, a mesityl group, a 2,6-diethylphenyl group, a 2-methyl-6-ethylphenyl group, etc.), an aromatic hydrocarbon group having an alicyclic hydrocarbon group (a p-cyclohexylphenyl group, a p-adamantylphenyl group, etc.), an aryl-cyclohexyl group such as a phenylcyclohexyl group and the like. Particularly, examples of Ra36include an alkyl group having 1 to 18 carbon atoms, an alicyclic hydrocarbon group having 3 to 18 carbon atoms, an aromatic hydrocarbon group having 6 to 18 carbon atoms or groups obtained by combining these groups.

[0298]

In formula (a1-4), Ra32is preferably a hydrogen atom,

[0299]

Ra33is preferably an alkoxy group having 1 to 4 carbon atoms, more preferably a methoxy group and an ethoxy group, and still more preferably a methoxy group,

[0300]

la is preferably 0 or 1, and more preferably 0,

[0301]

Ra34is preferably a hydrogen atom, and

[0302]

Ra35is preferably an alkyl group having 1 to 12 carbon atoms or an alicyclic hydrocarbon group, and more preferably a methyl group or an ethyl group.

[0303]

The hydrocarbon group for Ra36is preferably an alkyl group having 1 to 18 carbon atoms, an alicyclic hydrocarbon group having 3 to 18 carbon atoms, an aromatic hydrocarbon group having 6 to 18 carbon atoms or groups formed by combining these groups, and more preferably an alkyl group having 1 to 18 carbon atoms, an alicyclic aliphatic hydrocarbon group having 3 to 18 carbon atoms or an aralkyl group having 7 to 18 carbon atoms. The alkyl group and the alicyclic hydrocarbon group in Ra36are preferably unsubstituted. The aromatic hydrocarbon group in Ra36is preferably an aromatic ring having an aryloxy group having 6 to 10 carbon atoms.

[0304]

—OC(Ra34) (Ra35)—O—Ra36in the structural unit (a1-4) is eliminated by contacting with an acid (e.g., p-toluenesulfonic acid) to form a hydroxy group.

[0305]

The structural unit (a1-4) includes, for example, structural units derived from the monomers mentioned in JP 2010-204646 A. The structural unit preferably includes structural units represented by formula (a1-4-1) to formula (a1-4-12) and a structural unit in which a hydrogen atom corresponding to Ra32in the constitutional unit (a1-4) is substituted with a methyl group, and more preferably structural units represented by formula (a1-4-1) to formula (a1-4-5) and formula (a1-4-10).

[0000]

[0306]

When the resin (A) includes the structural unit (a1-4), the content is preferably 10 to 95 mol %, more preferably 15 to 90 mol %, still more preferably 20 to 85 mol %, yet more preferably 20 to 70 mol %, and particularly preferably 20 to 60 mol %, based on the total of all structural units of the resin (A).

[0307]

The structural unit derived from a (meth)acrylic monomer having a group (2) also includes a structural unit represented by formula (a1-5) (hereinafter sometimes referred to as “structural unit (a1-5)”).

[0000]

[0308]

In formula (a1-5),

[0309]

Ra8represents an alkyl group having 1 to 6 carbon atoms optionally having a halogen atom, a hydrogen atom or a halogen atom,

[0310]

Za1represents a single bond or *—(CH2)b3—CO-L54-, h3 represents an integer of 1 to 4, and * represents a bonding site to L51,

[0311]

L51, L52, L53and L54each independently represent —O— or —S—,

[0312]

s1 represents an integer of 1 to 3, and

[0313]

s1′ represents an integer of 0 to 3.

[0314]

The halogen atom includes a fluorine atom and a chlorine atom and is preferably a fluorine atom. Examples of the alkyl group having 1 to 6 carbon atoms optionally having a halogen atom include a methyl group, an ethyl group, a propyl group, a butyl group, a pentyl group, a hexyl group, a heptyl group, an octyl group, a fluoromethyl group and a trifluoromethyl group.

[0315]

In formula (a1-5), Ra8is preferably a hydrogen atom, a methyl group or a trifluoromethyl group,

[0316]

L51is preferably an oxygen atom,

[0317]

one of L52and L53is preferably —O— and the other one is preferably —S—,

[0318]

s1 is preferably 1,

[0319]

s1′ is preferably an integer of 0 to 2, and

[0320]

Za1is preferably a single bond or *—CH2—CO—O—.

[0321]

The structural unit (a1-5) includes, for example, structural units derived from the monomers mentioned in JP 2010-61117 A. Among these structural units, structural units represented by formula (a1-5-1) to formula (a1-5-4) are preferred, and structural units represented by formula (a1-5-1) or formula (a1-5-2) are more preferred.

[0000]

[0322]

When the resin (A) includes the structural unit (a1-5), the content is preferably 1 to 50 mol %, more preferably 3 to 45 mol %, still more preferably 5 to 40 mol %, and yet more preferably 5 to 30 mol %, based on all structural units of the resin (A).

[0323]

The structural unit (a1) also includes the following structural units.

[0000]

[0324]

When the resin (A) includes the above-mentioned structural units such as (a1-3-1) to (a1-3-7), the content is preferably 10 to 95 mol %, more preferably 15 to 90 mol %, still more preferably 20 to 85 mol %, yet more preferably 20 to 70 mol %, and particularly preferably 20 to 60 mol %, based on all structural units of the resin (A).

[0000]

<Structural Unit (s)>

[0325]

The structural unit (s) is derived from a monomer having no acid-labile group (hereinafter sometimes referred to as “monomer (s)”). It is possible to use, as the monomer from which the structural unit (s) is derived, a monomer having no acid-labile group known in the resist field.

[0326]

The structural unit (s) preferably has a hydroxy group or a lactone ring. When a resin including a structural unit having a hydroxy group and having no acid-labile group (hereinafter sometimes referred to as “structural unit (a2)”) and/or a structural unit having a lactone ring and having no acid-labile group (hereinafter sometimes referred to as “structural unit (a3)”) is used in the resist composition of the present invention, it is possible to improve the resolution of a resist pattern and the adhesion to a substrate.

[0000]

<Structural Unit (a2)>

[0327]

The hydroxy group possessed by the structural unit (a2) may be either an alcoholic hydroxy group or a phenolic hydroxy group.

[0328]

When a resist pattern is produced from the resist composition of the present invention, in the case of using, as an exposure source, high energy rays such as KrF excimer laser (248 nm), electron beam or extreme ultraviolet light (EUV), it is preferred to use a structural unit (a2) having a phenolic hydroxy group as the structural unit (a2). When using ArF excimer laser (193 nm) or the like, a structural unit (a2) having an alcoholic hydroxy group is preferably used as the structural unit (a2), and it is more preferably use a structural unit (a2-1) mentioned later. The structural unit (a2) may be included alone, or two or more structural units may be included.

[0329]

In the structural unit (a2), examples of the structural unit having a phenolic hydroxy group include a structural unit represented by formula (a2-A) (hereinafter sometimes referred to as “structural unit (a2-A)”):

[0000]

[0000]

wherein, in formula (a2-A),

[0330]

Ra50represents a hydrogen atom, a halogen atom or an alkyl group having 1 to 6 carbon atoms optionally having a halogen atom,

[0331]

Ra51represents a halogen atom, a hydroxy group, an alkyl group having 1 to 6 carbon atoms, an alkoxy group having 1 to 6 carbon atoms, an alkylcarbonyl group having 2 to 4 carbon atoms, an alkylcarbonyloxy group having 2 to 4 carbon atoms, an acryloyloxy group or a methacryloyloxy group,

[0332]

Aa50represents a single bond or *—Xa51-(Aa52-Xa52)nb—, and * represents a bonding site to carbon atoms to which —Ra50is bonded,

[0333]

Aa52each independently represent an alkanediyl group having 1 to 6 carbon atoms,

[0334]

Xa51and Xa52each independently represent —O—, —CO—O— or —O—CO—,

[0335]

nb represents 0 or 1, and

[0336]

mb represents an integer of 0 to 4, and when mb is an integer of 2 or more, a plurality of Ra51may be the same or different from each other.

[0337]

Examples of the halogen atom in Ra50include a fluorine atom, a chlorine atom and a bromine atom.

[0338]

Examples of the alkyl group having 1 to 6 carbon atoms optionally having a halogen atom in Ra50include a trifluoromethyl group, a difluoromethyl group, a methyl group, a perfluoroethyl group, a 2,2,2-trifluoroethyl group, a 1,1,2,2-tetrafluoroethyl group, an ethyl group, a perfluoropropyl group, a 2,2,3,3,3-pentafluoropropyl group, a propyl group, a perfluorobutyl group, a 1,1,2,2,3,3,4,4-octafluorobutyl group, a butyl group, a perfluoropentyl group, a 2,2,3,3,4,4,5,5,5-nonafluoropentyl group, a pentyl group, a hexyl group and a perfluorohexyl group.

[0339]

Ra50is preferably a hydrogen atom or an alkyl group having 1 to 4 carbon atoms, more preferably a hydrogen atom, a methyl group or an ethyl group, and still more preferably a hydrogen atom or a methyl group.

[0340]

Examples of the alkyl group in Ra51include a methyl group, an ethyl group, a propyl group, an isopropyl group, a butyl group, a sec-butyl group, a tert-butyl group, a pentyl group and a hexyl group.

[0341]

Examples of the alkoxy group in Ra51include a methoxy group, an ethoxy group, a propoxy group, an isopropoxy group, a butoxy group, a sec-butoxy group and a tert-butoxy group. An alkoxy group having 1 to 4 carbon atoms is preferred, a methoxy group or an ethoxy group is more preferred, and a methoxy group is still more preferred.

[0342]

Examples of the alkylcarbonyl group in Ra51include an acetyl group, a propionyl group and a butyryl group.

[0343]

Examples of the alkylcarbonyloxy group in Ra51include an acetyloxy group, a propionyloxy group and a butyryloxy group.

[0344]

Ra51is preferably a methyl group.

[0345]

Examples of *—Xa51-(Aa52-Xa52)nb— include *—O—, *—CO—O—, *—O—CO—, *—CO—O-Aa52-CO—O—, *—O—CO-Aa52-O—, *—O-Aa52-CO—O—, *—CO-Aa52-CO— and *—O—CO-Aa52-O—CO—. Among these, *—CO—O—, *—CO—O-Aa52-CO—O— or *—O-Aa52-CO—O— is preferred.

[0346]

Examples of the alkanediyl group include a methylene group, an ethylene group, a propane-1,3-diyl group, a propane-1,2-diyl group, a butane-1,4-diyl group, a pentane-1,5-diyl group, a hexane-1,6-diyl group, a butane-1,3-diyl group, a 2-methylpropane-1,3-diyl group, a 2-methylpropane-1,2-diyl group, a pentane-1,4-diyl group and a 2-methylbutane-1,4-diyl group.

[0347]

A52is preferably a methylene group or an ethylene group.

[0348]

Aa50is preferably a single bond, *—CO—O— or *—CO—O-Aa52-CO—O—, more preferably a single bond, *—CO—O— or *—CO—O—CH2—CO—O—, and still more preferably a single bond or *—CO—O—.

[0349]

mb is preferably 0, 1 or 2, more preferably 0 or 1, and particularly preferably 0.

[0350]

The hydroxy group is preferably bonded to the o-position or the p-position of a benzene ring, and more preferably the p-position.

[0351]

Examples of the structural unit (a2-A) include structural units derived from the monomers mentioned in JP 2010-204634 A and JP 2012-12577 A.

[0352]

Examples of the structural unit (a2-A) include structural units represented by formula (a2-2-1) to formula (a2-2-6), and a structural unit in which a methyl group corresponding to Ra50in the structural unit (a2-A) is substituted with a hydrogen atom in structural units represented by formula (a2-2-1) to formula (a2-2-6). The structural unit (a2-A) is preferably a structural unit in which a methyl group corresponding to Ra50in the structural unit (a2-A) is substituted with a hydrogen atom in the structural unit represented by formula (a2-2-1), the structural unit represented formula (a2-2-3), the structural unit represented by formula (a2-2-6) and the structural unit represented by formula (a2-2-1), the structural unit represented by formula (a2-2-3) or the structural unit represented by formula (a2-2-6).

[0000]

[0353]

When the structural unit (a2-A) is included in the resin (A), the content of the structural unit (a2-A) is preferably 5 to 80 mol %, more preferably 10 to 70 mol %, still more preferably 15 to 65 mol %, and yet more preferably 20 to 65 mol %, based on all structural units.

[0354]

The structural unit (a2-A) can be included in a resin (A) by polymerizing, for example, with a structural unit (a1-4) and treating with an acid such as p-toluenesulfonic acid. The structural unit (a2-A) can also be included in the resin (A) by polymerizing with acetoxystyrene and treating with an alkali such as tetramethylammonium hydroxide.

[0355]

Examples of the structural unit having an alcoholic hydroxy group in the structural unit (a2) include a structural unit represented by formula (a2-1) (hereinafter sometimes referred to as “structural unit (a2-1)”).

[0000]

[0356]

In formula (a2-1),

[0357]

La3represents —O— or *—O—(CH2)k2—CO—O—,

[0358]

k2 represents an integer of 1 to 7, and * represents a bonding site to —CO—,

[0359]

Ra14represents a hydrogen atom or a methyl group,

[0360]

Ra15and Ra16each independently represent a hydrogen atom, a methyl group or a hydroxy group, and

[0361]

o1 represents an integer of 0 to 10.

[0362]

In formula (a2-1), La3is preferably —O— or —O—(CH2)f1—CO—O— (f1 represents an integer of 1 to 4), and more preferably —O—,

[0363]

Ra14is preferably a methyl group,

[0364]

Ra15is preferably a hydrogen atom,

[0365]

Ra16is preferably a hydrogen atom or a hydroxy group, and

[0366]

o1 is preferably an integer of 0 to 3, and more preferably 0 or 1.

[0367]

The structural unit (a2-1) includes, for example, structural units derived from the monomers mentioned in JP 2010-204646 A. A structural unit represented by any one of formula (a2-1-1) to formula (a2-1-6) is preferred, a structural unit represented by any one of formula (a2-1-1) to formula (a2-1-4) is more preferred, and a structural unit represented by formula (a2-1-1) or formula (a2-1-3) is still more preferred.

[0000]

[0368]

When the resin (A) includes the structural unit (a2-1), the content is usually 1 to 45 mol %, preferably 1 to 40 mol %, more preferably 1 to 35 mol %, and still more preferably 2 to 20 mol %, based on all structural units of the resin (A).

[0000]

<Structural Unit (a3)>

[0369]

The lactone ring possessed by the structural unit (a3) may be a monocyclic ring such as a β-propiolactone ring, a γ-butyrolactone ring or a δ-valerolactone ring, or a condensed ring of a monocyclic lactone ring and the other ring. Preferably, a γ-butyrolactone ring, an adamantanelactone ring or a bridged ring including a γ-butyrolactone ring structure (e.g. a structural unit represented by the following formula (a3-2)) is exemplified.

[0370]

The structural unit (a3) is preferably a structural unit represented by formula (a3-1), formula (a3-2), formula (a3-3) or formula (a3-4). These structural units may be included alone, or two or more structural units may be included:

[0000]

[0000]

wherein, in formula (a3-1), formula (a3-2), formula (a3-3) and formula (a3-4),

[0371]

La4, La5and La6each independently represent —O— or a group represented by *—O—(CH2)k3—CO— (k3 represents an integer of 1 to 7),

[0372]

La7represents —O—, *—O-La8-O—, *—O-La8-CO—O—, *—O-La8-CO—O-La9-CO—O— or *—O-La8-O—CO-La9-O—,

[0373]

La8and La9each independently represent an alkanediyl group having 1 to 6 carbon atoms,

[0374]

* represents a bonding site to a carbonyl group,

[0375]

Ra18, Ra19and Ra20each independently represent a hydrogen atom or a methyl group,

[0376]

Ra24represents an alkyl group having 1 to 6 carbon atoms optionally having a halogen atom, a hydrogen atom or a halogen atom,

[0377]

Xa3represents —CH2— or an oxygen atom,

[0378]

Ra21represents an aliphatic hydrocarbon group having 1 to 4 carbon atoms,

[0379]

Ra22, Ra23and Ra24each independently represent a carboxy group, a cyano group or an aliphatic hydrocarbon group having 1 to 4 carbon atoms,

[0380]

p1 represents an integer of 0 to 5,

[0381]

q1 represents an integer of 0 to 3,

[0382]

r1 represents an integer of 0 to 3,

[0383]

w1 represents an integer of 0 to 8, and

[0384]

when p1, q1, r1 and/or w1 is/are 2 or more, a plurality of Ra21, Ra22, Ra23and/or Ra25may be the same or different from each other.

[0385]

Examples of the aliphatic hydrocarbon group in Ra21, Ra22, Ra23and Ra25include alkyl groups such as a methyl group, an ethyl group, a propyl group, an isopropyl group, a butyl group, a sec-butyl group and a tert-butyl group.

[0386]

Examples of the halogen atom in Ra24include a fluorine atom, a chlorine atom, a bromine atom and an iodine atom.

[0387]

Examples of the alkyl group in Ra24include a methyl group, an ethyl group, a propyl group, an isopropyl group, a butyl group, a sec-butyl group, a tert-butyl group, a pentyl group and a hexyl group, and the alkyl group is preferably an alkyl group having 1 to 4 carbon atoms, and more preferably a methyl group or an ethyl group.

[0388]

Examples of the alkyl group having a halogen atom in Ra24include a trifluoromethyl group, a perfluoroethyl group, a perfluoropropyl group, a perfluoroisopropyl group, a perfluorobutyl group, a perfluorosec-butyl group, a perfluorotert-butyl group, a perfluoropentyl group, a perfluorohexyl group, a trichloromethyl group, a tribromomethyl group, a triiodomethyl group and the like.

[0389]

Examples of the alkanediyl group in La8and La9include a methylene group, an ethylene group, a propane-1,3-diyl group, a propane-1,2-diyl group, a butane-1,4-diyl group, a pentane-1,5-diyl group, a hexane-1,6-diyl group, a butane-1,3-diyl group, a 2-methylpropane-1,3-diyl group, a 2-methylpropane-1,2-diyl group, a pentane-1,4-diyl group and a 2-methylbutane-1,4-diyl group.

[0390]

In formula (a3-1) to formula (a3-3), preferably, La4to La6are each independently —O— or a group in which k3 is an integer of 1 to 4 in *—O—(CH2)k3—CO—, more preferably —O— and *—O—CH2—CO—O—, and still more preferably an oxygen atom,

[0391]

Ra18to Ra21are preferably a methyl group,

[0392]

preferably, Ra22and Ra23are each independently a carboxy group, a cyano group or a methyl group, and

[0393]

preferably, p1, q1 and r1 are each independently an integer of 0 to 2, and more preferably 0 or 1.

[0394]

In formula (a3-4), Ra24is preferably a hydrogen atom or an alkyl group having 1 to 4 carbon atoms, more preferably a hydrogen atom, a methyl group or an ethyl group, and still more preferably a hydrogen atom or a methyl group,

[0395]

Ra25is preferably a carboxy group, a cyano group or a methyl group,

[0396]

La7is preferably —O— or *—O-La8-CO—, and more preferably —O—, —O—CH2—CO—O— or —O—C2H4—CO—O—, and

[0397]

w1 is preferably an integer of 0 to 2, and more preferably 0 or 1.

[0398]

Particularly, formula (a3-4) is preferably formula (a3-4)′:

[0000]

[0000]

wherein Ra24and La7are the same as defined above.

[0399]

Examples of the structural unit (a3) include structural units derived from the monomers mentioned in JP 2010-204646 A, the monomers mentioned in JP 2000-122294 A and the monomers mentioned in JP 2012-41274 A. The structural unit (a3) is preferably a structural unit represented by any one of formula (a3-1-1), formula (a3-1-2), formula (a3-2-1), formula (a3-2-2), formula (a3-3-1), formula (a3-3-2) and formula (a3-4-1) to formula (a3-4-12), and structural units in which methyl groups corresponding to Ra18, Ra19, Ra20and Ra24in formula (a3-1) to formula (a3-4) are substituted with hydrogen atoms in the above structural units.

[0000]

[0400]

When the resin (A) includes the structural unit (a3), the total content is usually 5 to 70 mol %, preferably 10 to 65 mol %, and more preferably 10 to 60 mol %, based on all structural units of the resin (A).

[0401]

Each content of the structural unit (a3-1), the structural unit (a3-2), the structural unit (a3-3) or the structural unit (a3-4) is preferably 5 to 60 mol %, more preferably 5 to 50 mol %, and still more preferably 10 to 50 mol %, based on all structural units of the resin (A).

[0000]

<Structural Unit (a4)>

[0402]

Examples of the structural unit (a4) include the following structural units:

[0000]

[0000]

wherein, in formula (a4),

[0403]

R41represents a hydrogen atom or a methyl group, and

[0404]

R42represents a saturated hydrocarbon group having 1 to 24 carbon atoms which has a fluorine atom, and —CH2— included in the saturated hydrocarbon group may be replaced by —O— or —CO.

[0405]

Examples of the saturated hydrocarbon group represented by R42include a chain saturated hydrocarbon group and a monocyclic or polycyclic alicyclic saturated hydrocarbon group, and groups formed by combining these groups.

[0406]

Examples of the chain saturated hydrocarbon group include a methyl group, an ethyl group, a propyl group, a butyl group, a pentyl group, a hexyl group, a heptyl group, an octyl group, a decyl group, a dodecyl group, a pentadecyl group, a hexadecyl group, a heptadecyl group and an octadecyl group.

[0407]

Examples of the monocyclic or polycyclic alicyclic saturated hydrocarbon group include cycloalkyl groups such as a cyclopentyl group, a cyclohexyl group, a cycloheptyl group and a cyclooctyl group; and polycyclic alicyclic saturated hydrocarbon groups such as a decahydronaphthyl group, an adamantyl group, a norbornyl group and the following groups (* represents a bonding site).

[0000]

[0408]

Examples of the group formed by combination include groups formed by combining one or more alkyl groups or one or more alkanediyl groups with one or more alicyclic saturated hydrocarbon groups, and include an alkanediyl group-alicyclic saturated hydrocarbon group, an alicyclic saturated hydrocarbon group-alkyl group, an alkanediyl group-alicyclic saturated hydrocarbon group-alkyl group and the like.

[0409]

Examples of the structural unit (a4) include a structural unit represented by formula (a4-0), a structural unit represented by formula (a4-1) and a structural unit represented by formula (a4-4):

[0000]

[0000]

wherein, in formula (a4-0),

[0410]

R54represents a hydrogen atom or a methyl group,

[0411]

L4arepresents a single bond or an alkanediyl group having 1 to 4 carbon atoms,

[0412]

L3arepresents a perfluoroalkanediyl group having 1 to 8 carbon atoms or a perfluorocycloalkanediyl group having 3 to 12 carbon atoms, and

[0413]

R64represents a hydrogen atom or a fluorine atom.

[0414]

Examples of the alkanediyl group in L4ainclude linear alkanediyl groups such as a methylene group, an ethylene group, a propane-1,3-diyl group and a butane-1,4-diyl group; and branched alkanediyl groups such as an ethane-1,1-diyl group, a propane-1,2-diyl group, a butane-1,3-diyl group, a 2-methylpropane-1,3-diyl group and a 2-methylpropane-1,2-diyl group.

[0415]

Examples of the perfluoroalkanediyl group in L3ainclude a difluoromethylene group, a perfluoroethylene group, a perfluoroethylfluoromethylene group, a perfluoropropane-1,3-diyl group, a perfluoropropane-1,2-diyl group, a perfluoropropane-2,2-diyl group, a perfluorobutane-1,4-diyl group, a perfluorobutane-2,2-diyl group, a perfluorobutane-1,2-diyl group, a perfluoropentane-1,5-diyl group, a perfluoropentane-2,2-diyl group, a perfluoropentane-3,3-diyl group, a perfluorohexane-1,6-diyl group, a perfluorohexane-2,2-diyl group, a perfluorohexane-3,3-diyl group, a perfluoroheptane-1,7-diyl group, a perfluoroheptane-2,2-diyl group, a perfluoroheptane-3,4-diyl group, a perfluoroheptane-4,4-diyl group, a perfluorooctane-1,8-diyl group, a perfluorooctane-2,2-diyl group, a perfluorooctane-3,3-diyl group, a perfluorooctane-4,4-diyl group and the like.

[0416]

Examples of the perfluorocycloalkanediyl group in L3include a perfluorocyclohexanediyl group, a perfluorocyclopentanediyl group, a perfluorocycloheptanediyl group, a perfluoroadamantanediyl group and the like.

[0417]

L4ais preferably a single bond, a methylene group or an ethylene group, and more preferably a single bond or a methylene group.

[0418]

L3ais preferably a perfluoroalkanediyl group having 1 to 6 carbon atoms, and more preferably a perfluoroalkanediyl group having 1 to 3 carbon atoms.

[0419]

Examples of the structural unit (a4-0) include the following structural units, and structural units in which a methyl group corresponding to R54in the structural unit (a4-0) in the following structural units is substituted with a hydrogen atom:

[0000]

[0000]

wherein, in formula (a4-1),

[0420]

Ra41represents a hydrogen atom or a methyl group,

[0421]

Ra42represents a hydrocarbon group having 1 to 20 carbon atoms which may have a substituent, and —CH— included in the saturated hydrocarbon group may be replaced by —O— or —CO—,

[0422]

Aa41represents an alkanediyl group having 1 to 6 carbon atoms which may have a substituent or a group represented by formula (a-g1), in which at least one of Aa41and Ra42has, as a substituent, a halogen atom (preferably a fluorine atom):

[0000]


*-Aa42Xa41-Aa43sXa42-Aa44-*  (a-g1)

[0423]

[in which, in formula (a-g1),

[0424]

s represents 0 or 1,

[0425]

Aa42and Aa41each independently represent a divalent saturated hydrocarbon group having 1 to 5 carbon atoms which may have a substituent,

[0426]

Aa43represents a single bond or a divalent saturated hydrocarbon group having 1 to 5 carbon atoms which may have a substituent,

[0427]

Xa41and Xa42each independently represent —O—, —CO—, —CO—O— or —O—CO—, in which the total number of carbon atoms of Aa42, Aa43, Aa44, Xa41and Xa42is 7 or less], and

[0428]

* is a bonding site and * at the right side is a bonding site to —O—CO—Ra42.

[0429]

Examples of the saturated hydrocarbon group in Ra42include a chain saturated hydrocarbon group and a monocyclic or a polycyclic saturated alicyclic hydrocarbon group, and groups formed by combining these groups.

[0430]

Examples of the chain saturated hydrocarbon group include a methyl group, an ethyl group, a propyl group, a butyl group, a pentyl group, a hexyl group, a heptyl group, an octyl group, a decyl group, a dodecyl group, a pentadecyl group, a hexadecyl group, a heptadecyl group and an octadecyl group.

[0431]

Examples of the monocyclic or polycyclic saturated alicyclic hydrocarbon group include cycloalkyl groups such as a cyclopentyl group, a cyclohexyl group, a cycloheptyl group and a cyclooctyl group; and polycyclic alicyclic hydrocarbon groups such as a decahydronaphthyl group, an adamantyl group, a norbornyl group and the following groups (* represents a bonding site).

[0000]

[0432]

Examples of the group formed by combination include groups formed by combining one or more alkyl groups or one or more alkanediyl groups with one or more saturated alicyclic hydrocarbon groups, and include an alkanediyl group-saturated alicyclic hydrocarbon group, a saturated alicyclic hydrocarbon group-alkyl group, an alkanediyl group-saturated alicyclic hydrocarbon group-alkyl group and the like.

[0433]

Examples of the substituent optionally possessed by Ra42include at least one selected from the group consisting of a halogen atom and a group represented by formula (a-g3). Examples of the halogen atom include a fluorine atom, a chlorine atom, a bromine atom and an iodine atom, and a fluorine atom is preferred:

[0000]


*—Xa43-Aa45  (a-g3)

[0000]

wherein, in formula (a-g3),

[0434]

Xa43represents an oxygen atom, a carbonyl group, *—O—CO— or *—CO—O— (* represents a bonding site to Ra42),

[0435]

Aa45represents a saturated hydrocarbon group having 1 to 17 carbon atoms optionally having a halogen atom, and

[0436]

* represents a bonding site.

[0437]

In Ra42—Xa43-Aa45, when Ra42has no halogen atom, Aa45represents a saturated hydrocarbon group having 1 to 17 carbon atoms having at least one halogen atom.

[0438]

Examples of the saturated hydrocarbon group in Aa45include alkyl groups such as a methyl group, an ethyl group, a propyl group, a butyl group, a pentyl group, a hexyl group, a heptyl group, an octyl group, a decyl group, a dodecyl group, a pentadecyl group, a hexadecyl group, a heptadecyl group and an octadecyl group; monocyclic alicyclic hydrocarbon groups such as a cyclopentyl group, a cyclohexyl group, a cycloheptyl group and a cyclooctyl group; and polycyclic alicyclic hydrocarbon groups such as a decahydronaphthyl group, an adamantyl group, a norbornyl group and the following groups (* represents a bonding site):

[0000]

[0439]

Examples of the group formed by combination include a group obtained by combining one or more alkyl groups or one or more alkanediyl groups with one or more alicyclic hydrocarbon groups, and include an -alkanediyl group-alicyclic hydrocarbon group, an -alicyclic hydrocarbon group-alkyl group, an -alkanediyl group-alicyclic hydrocarbon group-alkyl group and the like.

[0440]

Ra42is preferably a saturated hydrocarbon group optionally having a halogen atom, and more preferably an alkyl group having a halogen atom and/or a saturated hydrocarbon group having a group represented by formula (a-g3).

[0441]

When Ra42is a saturated hydrocarbon group having a halogen atom, a saturated hydrocarbon group having a fluorine atom is preferred, a perfluoroalkyl group or a perfluorocycloalkyl group is more preferred, a perfluoroalkyl group having 1 to 6 carbon atoms is still more preferred, and a perfluoroalkyl group having 1 to 3 carbon atoms is particularly preferred. Examples of the perfluoroalkyl group include a perfluoromethyl group, a perfluoroethyl group, a perfluoropropyl group, a perfluorobutyl group, a perfluoropentyl group, a perfluorohexyl group, a perfluoroheptyl group and a perfluorooctyl group. Examples of the perfluorocycloalkyl group include a perfluorocyclohexyl group and the like.

[0442]

When Ra42is a saturated hydrocarbon group having a group represented by formula (a-g3), the total number of carbon atoms of Ra42is preferably 15 or less, and more preferably 12 or less, including the number of carbon atoms included in the group represented by formula (a-g3). When having the group represented by formula (a-g3) as the substituent, the number thereof is preferably 1.

[0443]

When Ra42is a saturated hydrocarbon group having the group represented by formula (a-g3), Ra42is still more preferably a group represented by formula (a-g2):

[0000]


*-Aa46-Xa44-Aa47  (a-g2)

[0000]

wherein, in formula (a-g2),

[0444]

Aa46represents a divalent saturated hydrocarbon group having 1 to 17 carbon atoms optionally having a halogen atom,

[0445]

Xa44represents *—O—CO— or *—CO—O— (* represents a bonding site to Aa46),

[0446]

Aa47represents a saturated hydrocarbon group having 1 to 17 carbon atoms optionally having a halogen atom,

[0447]

the total number of carbon atoms of Aa46, Aa47and Xa44is 18 or less, and at least one of Aa46and Aa47has at least one halogen atom, and

[0448]

* represents a bonding site to a carbonyl group.

[0449]

The number of carbon atoms of the saturated hydrocarbon group for Aa46is preferably 1 to 6, and more preferably 1 to 3.

[0450]

The number of carbon atoms of the saturated hydrocarbon group for Aa47is preferably 4 to 15, and more preferably 5 to 12, and Aa47is still more preferably a cyclohexyl group or an adamantyl group.

[0451]

Preferred structure of the group represented by formula (a-g2) is the following structure (* is a bonding site to a carbonyl group).

[0000]

[0452]

Examples of the alkanediyl group in Aa42include linear alkanediyl groups such as a methylene group, an ethylene group, a propane-1,3-diyl group, a butane-1,4-diyl group, a pentane-1,5-diyl group and a hexane-1,6-diyl group; and branched alkanediyl groups such as a propane-1,2-diyl group, a butane-1,3-diyl group, a 2-methylpropane-1,2-diyl group, a 1-methylbutane-1,4-diyl group and a 2-methylbutane-1,4-diyl group.

[0453]

Examples of the substituent in the alkanediyl group represented by Aa41include a hydroxy group and an alkoxy group having 1 to 6 carbon atoms.

[0454]

Aa41is preferably an alkanediyl group having 1 to 4 carbon atoms, more preferably an alkanediyl group having 2 to 4 carbon atoms, and still more preferably an ethylene group.

[0455]

Examples of the divalent saturated hydrocarbon group represented by Aa42, Aa43and Aa44in the group represented by formula (a-g1) include a linear or branched alkanediyl group and a monocyclic divalent alicyclic saturated hydrocarbon group, and divalent saturated hydrocarbon groups formed by combining an alkanediyl group and a divalent alicyclic saturated hydrocarbon group. Specific examples thereof include a methylene group, an ethylene group, a propane-1,3-diyl group, a propane-1,2-diyl group, a butane-1,4-diyl group, a 1-methylpropane-1,3-diyl group, a 2-methylpropane-1,3-diyl group, a 2-methylpropane-1,2-diyl group and the like.

[0456]

Examples of the substituent of the divalent saturated hydrocarbon group represented by Aa42, Aa43and Aa44include a hydroxy group and an alkoxy group having 1 to 6 carbon atoms.

[0457]

s is preferably 0.

[0458]

In a group represented by formula (a-g1), examples of the group in which Xa42is —O—, —CO—, —CO—O— or —O—CO-include the following groups. In the following exemplification, * and ** each represent a bonding site, and ** is a bonding site to —O—CO—Ra42.

[0000]

[0459]

Examples of the structural unit represented by formula (a4-1) include the following structural units, and structural units in which a methyl group corresponding to Aa41in the structural unit represented by formula (a4-1) in the following structural units is substituted with a hydrogen atom.

[0000]

[0460]

Examples of the structural unit represented by formula (a4-1) include a structural unit represented by formula (a4-2) and a structural unit represented by formula (a4-3):

[0000]

[0000]

wherein, in formula (a4-2),

[0461]

Rf5represents a hydrogen atom or a methyl group,

[0462]

L44represents an alkanediyl group having 1 to 6 carbon atoms, and —CH2— included in the alkanediyl group may be replaced by —O— or —CO—,

[0463]

Rf5represents a saturated hydrocarbon group having 1 to 20 carbon atoms having a fluorine atom, and

[0464]

the upper limit of the total number of carbon atoms of L44and Rf6is 21.

[0465]

Examples of the alkanediyl group having 1 to 6 carbon atoms of L44include the same groups as mentioned for Aa41.

[0466]

Examples of the saturated hydrocarbon group of Rf6include the same groups as mentioned for R42.

[0467]

The alkanediyl group in L44is preferably an alkanediyl group having 2 to 4 carbon atoms, and more preferably an ethylene group.

[0468]

The structural unit represented by formula (a4-2) includes, for example, structural units represented by formula (a4-1-1) to formula (a4-1-11). A structural unit in which a methyl group corresponding to Rf5in the structural unit (a4-2) is substituted with a hydrogen atom is also exemplified as the structural unit represented by formula (a4-2):

[0000]

[0000]

wherein, in formula (a4-3),

[0469]

Rf7represents a hydrogen atom or a methyl group,

[0470]

L5represents an alkanediyl group having 1 to 6 carbon atoms,

[0471]

Af13represents a divalent saturated hydrocarbon group having 1 to 18 carbon atoms optionally having a fluorine atom,

[0472]

Xf12represents *—O—CO— or *—CO—O— (* represents a bonding site to Af13),

[0473]

Af14represents a saturated hydrocarbon group having 1 to 17 carbon atoms optionally having a fluorine atom, and

[0474]

at least one of Af13and Af14has a fluorine atom, and the upper limit of the total number of carbon atoms of L5, Af13and Af14is 20.

[0475]

Examples of the alkanediyl group in L5include those which are the same as mentioned in the alkanediyl group of Aa41.

[0476]

The divalent saturated hydrocarbon group optionally having a fluorine atom in Af13is preferably a divalent chain saturated hydrocarbon group optionally having a fluorine atom and a divalent alicyclic saturated hydrocarbon group optionally having a fluorine atom, and more preferably a perfluoroalkanediyl group.

[0477]

Examples of the divalent chain saturated hydrocarbon group optionally having a fluorine atom include alkanediyl groups such as a methylene group, an ethylene group, a propanediyl group, a butanediyl group and a pentanediyl group; and perfluoroalkanediyl groups such as a difluoromethylene group, a perfluoroethylene group, a perfluoropropanediyl group, a perfluorobutanediyl group and a perfluoropentanediyl group.

[0478]

The divalent alicyclic saturated hydrocarbon group optionally having a fluorine atom may be either monocyclic or polycyclic. Examples of the monocyclic group include a cyclohexanediyl group and a perfluorocyclohexanediyl group. Examples of the polycyclic group include an adamantanediyl group, a norbornanediyl group, a perfluoroadamantanediyl group and the like.

[0479]

Examples of the saturated hydrocarbon group and the saturated hydrocarbon group optionally having a fluorine atom for Af14include the same groups as mentioned for Ra42. Among these groups, preferred are fluorinated alkyl groups such as a trifluoromethyl group, a difluoromethyl group, a methyl group, a perfluoroethyl group, a 2,2,2-trifluoroethyl group, a 1,1,2,2-tetrafluoroethyl group, an ethyl group, a perfluoropropyl group, a 2,2,3,3,3-pentafluoropropyl group, a propyl group, a perfluorobutyl group, a 1,1,2,2,3,3,4,4-octafluorobutyl group, a butyl group, a perfluoropentyl group, a 2,2,3,3,4,4,5,5,5-nonafluoropentyl group, a pentyl group, a hexyl group, a perfluorohexyl group, a heptyl group, a perfluoroheptyl group, an octyl group and a perfluorooctyl group; a cyclopropylmethyl group, a cyclopropyl group, a cyclobutylmethyl group, a cyclopentyl group, a cyclohexyl group, a perfluorocyclohexyl group, an adamantyl group, an adamantylmethyl group, an adamantyldimethyl group, a norbornyl group, a norbornylmethyl group, a perfluoroadamantyl group, a perfluoroadamantylmethyl group and the like.

[0480]

In formula (a4-3), L5is preferably an ethylene group.

[0481]

The divalent saturated hydrocarbon group of Af13is preferably a group including a divalent chain saturated hydrocarbon group having 1 to 6 carbon atoms and a divalent alicyclic saturated hydrocarbon group having 3 to 12 carbon atoms, and more preferably a divalent chain saturated hydrocarbon group having 2 to 3 carbon atoms.

[0482]

The saturated hydrocarbon group of Af14is preferably a group including a chain saturated hydrocarbon group having 3 to 12 carbon atoms and an alicyclic saturated hydrocarbon group having 3 to 12 carbon atoms, and more preferably a group including a chain saturated hydrocarbon group having 3 to 10 carbon atoms and an alicyclic saturated hydrocarbon group having 3 to 10 carbon atoms. Among these groups, Af14is preferably a group including an alicyclic saturated hydrocarbon group having 3 to 12 carbon atoms, and more preferably a cyclopropylmethyl group, a cyclopentyl group, a cyclohexyl group, a norbornyl group and an adamantyl group.

[0483]

The structural unit represented by formula (a4-3) includes, for example, structural units represented by formula (a4-1′-1) to formula (a4-1′-11). A structural unit in which a methyl group corresponding to Rf7in the structural unit (a4-3) is substitute with a hydrogen atom is also exemplified as the structural unit represented by formula (a4-3).

[0484]

It is also possible to exemplify, as the structural unit (a4), a structural unit represented by formula (a4-4):

[0000]

[0000]

wherein, in formula (a4-4),

[0485]

Rf21represents a hydrogen atom or a methyl group,

[0486]

Af21represents —(CH2)j1—, —(CH2)j2—O—(CH2)j3— or —(CH2)j4—CO—O— (CH2)j5—,

[0487]

j1 to j5 each independently represent an integer of 1 to 6, and

[0488]

Rf22represents a saturated hydrocarbon group having 1 to 10 carbon atoms having a fluorine atom.

[0489]

Examples of the saturated hydrocarbon group for Rf22include those which are the same as the saturated hydrocarbon group represented by Ra42. Rf22is preferably an alkyl group having 1 to 10 carbon atoms having a fluorine atom or an alicyclic saturated hydrocarbon group having 1 to 10 carbon atoms having a fluorine atom, more preferably an alkyl group having 1 to 10 carbon atoms having a fluorine atom, and still more preferably, an alkyl group having 1 to 6 carbon atoms having a fluorine atom.

[0490]

In formula (a4-4), Af21is preferably —(CH2)j1—, more preferably an ethylene group or a methylene group, and still more preferably a methylene group.

[0491]

The structural unit represented by formula (a4-4) includes, for example, the following structural units and structural units in which a methyl group corresponding to Rf21in the structural unit (a4-4) is substituted with a hydrogen atom in structural units represented by the following formulas.

[0000]

[0492]

When the resin (A) includes the structural unit (a4), the content is preferably 1 to 20 mol %, more preferably 2 to 15 mol %, and still more preferably 3 to 10 mol %, based on all structural units of the resin (A).

[0000]

<Structural Unit (a5)>

[0493]

Examples of a non-leaving hydrocarbon group possessed by the structural unit (a5) include groups having a linear, branched or cyclic hydrocarbon group. Among these, the structural unit (a5) is preferably a group having an alicyclic hydrocarbon group.

[0494]

The structural unit (a5) includes, for example, a structural unit represented by formula (a5-1):

[0000]

[0000]

wherein, in formula (a5-1),

[0495]

R51represents a hydrogen atom or a methyl group,

[0496]

R52represents an alicyclic hydrocarbon group having 3 to 18 carbon atoms, and a hydrogen atom included in the alicyclic hydrocarbon group may be substituted with an aliphatic hydrocarbon group having 1 to 8 carbon atoms, and

[0497]

L55represents a single bond or a divalent saturated hydrocarbon group having 1 to 18 carbon atoms, and —CH2-included in the saturated hydrocarbon group may be replaced by —O— or —CO—.

[0498]

The alicyclic hydrocarbon group in R52may be either monocyclic or polycyclic. The monocyclic alicyclic hydrocarbon group includes, for example, a cyclopropyl group, a cyclobutyl group, a cyclopentyl group and a cyclohexyl group. The polycyclic alicyclic hydrocarbon group includes, for example, an adamantyl group and a norbornyl group.

[0499]

The aliphatic hydrocarbon group having 1 to 8 carbon atoms includes, for example, alkyl groups such as a methyl group, an ethyl group, a propyl group, an isopropyl group, a butyl group, a sec-butyl group, a tert-butyl group, a pentyl group, a hexyl group, an octyl group and a 2-ethylhexyl group.

[0500]

Examples of the alicyclic hydrocarbon group having a substituent includes a 3-methyladamantyl group and the like.

[0501]

R52is preferably an unsubstituted alicyclic hydrocarbon group having 3 to 18 carbon atoms, and more preferably an adamantyl group, a norbornyl group or a cyclohexyl group.

[0502]

Examples of the divalent saturated hydrocarbon group in L56include a divalent chain saturated hydrocarbon group and a divalent alicyclic saturated hydrocarbon group, and a divalent chain saturated hydrocarbon group is preferred.

[0503]

The divalent chain saturated hydrocarbon group includes, for example, alkanediyl groups such as a methylene group, an ethylene group, a propanediyl group, a butanediyl group and a pentanediyl group.

[0504]

The divalent alicyclic saturated hydrocarbon group may be either monocyclic or polycyclic. Examples of the monocyclic alicyclic saturated hydrocarbon group include cycloalkanediyl groups such as a cyclopentanediyl group and a cyclohexanediyl group. Examples of the polycyclic divalent alicyclic saturated hydrocarbon group include an adamantanediyl group and a norbornanediyl group.

[0505]

The group in which —CH2— included in the divalent saturated hydrocarbon group represented by L55is replaced by —O— or —CO— includes, for example, groups represented by formula (L1-1) to formula (L1-4). In the following formulas, * and ** each represent a bonding site, and * represents a bonding site to an oxygen atom.

[0000]

[0506]

In formula (L1-1),

[0507]

Xx1represents *—O—CO— or *—CO—O— (* represents a bonding site to Lx1),

[0508]

Lx1represents a divalent aliphatic saturated hydrocarbon group having 1 to 16 carbon atoms,

[0509]

Lx2represents a single bond or a divalent aliphatic saturated hydrocarbon group having 1 to 15 carbon atoms, and

[0510]

the total number of carbon atoms of Lx1and Lx2is 16 or less.

[0511]

In formula (L1-2),

[0512]

Lx3represents a divalent aliphatic saturated hydrocarbon group having 1 to 17 carbon atoms,

[0513]

Lx4represents a single bond or a divalent aliphatic saturated hydrocarbon group having 1 to 16 carbon atoms, and

[0514]

the total number of carbon atoms of Lx3and Lx4is 17 or less.

[0515]

In formula (L1-3),

[0516]

Lx5represents a divalent aliphatic saturated hydrocarbon group having 1 to 15 carbon atoms,

[0517]

Lx6and Lx7each independently represent a single bond or a divalent aliphatic saturated hydrocarbon group having 1 to 14 carbon atoms, and

[0518]

the total number of carbon atoms of Lx5, Lx6, and Lx7is 15 or less.

[0519]

In formula (L1-4),

[0520]

Lx8and Lx9represents a single bond or a divalent aliphatic saturated hydrocarbon group having 1 to 12 carbon atoms,

[0521]

Wx1represents a divalent alicyclic saturated hydrocarbon group having 3 to 15 carbon atoms, and

[0522]

the total number of carbon atoms of Lx8, Lx9and Wx1is 15 or less.

[0523]

Lx1is preferably a divalent aliphatic saturated hydrocarbon group having 1 to 8 carbon atoms, and more preferably a methylene group or an ethylene group.

[0524]

Lx2is preferably a single bond or a divalent aliphatic saturated hydrocarbon group having 1 to 8 carbon atoms, and more preferably a single bond.

[0525]

Lx3is preferably a divalent aliphatic saturated hydrocarbon group having 1 to 8 carbon atoms.

[0526]

Lx4is preferably a single bond or a divalent aliphatic saturated hydrocarbon group having 1 to 8 carbon atoms.

[0527]

Lx5is preferably a divalent aliphatic saturated hydrocarbon group having 1 to 8 carbon atoms, and more preferably a methylene group or an ethylene group.

[0528]

Lx6is preferably a single bond or a divalent aliphatic saturated hydrocarbon group having 1 to 8 carbon atoms, and more preferably a methylene group or an ethylene group.

[0529]

Lx7is preferably a single bond or a divalent aliphatic saturated hydrocarbon group having 1 to 8 carbon atoms.

[0530]

Lx8is preferably a single bond or a divalent aliphatic saturated hydrocarbon group having 1 to 8 carbon atoms, and more preferably a single bond or a methylene group.

[0531]

Lx9is preferably a single bond or a divalent aliphatic saturated hydrocarbon group having 1 to 8 carbon atoms, and more preferably a single bond or a methylene group.

[0532]

Wx1is preferably a divalent alicyclic saturated hydrocarbon group having 3 to 10 carbon atoms, and more preferably a cyclohexanediyl group or an adamantanediyl group.

[0533]

The group represented by formula (L1-1) includes, for example, the following divalent groups.

[0000]

[0534]

The group represented by formula (L1-2) includes, for example, the following divalent groups.

[0000]

[0535]

The group represented by formula (L1-3) includes, for example, the following divalent groups.

[0000]

[0536]

The group represented by formula (L1-4) includes, for example, the following divalent groups.

[0000]

[0537]

L55is preferably a single bond or a group represented by formula (L1-1).

[0538]

Examples of the structural unit (a5-1) include the following structural units and structural units in which a methyl group corresponding to R51in the structural unit (a5-1) in the following structural units is substituted with a hydrogen atom.

[0000]

[0539]

When the resin (A) includes the structural unit (a5), the content is preferably 1 to 30 mol %, more preferably 2 to 20 mol %, and still more preferably 3 to 15 mol %, based on all structural units of the resin (A).

<Structural Unit (II)>

[0540]

The resin (A) may further include a structural unit which is decomposed upon exposure to radiation to generate an acid (hereinafter sometimes referred to as “structural unit (II)). Specific examples of the structural unit (II) include the structural units mentioned in JP 2016-79235 A, and a structural unit having a sulfonate group or a carboxylate group and an organic cation in a side chain or a structural unit having a sulfonio group and an organic anion in a side chain are preferred.

[0541]

The structural unit having a sulfonate group or a carboxylate group and an organic cation in a side chain is preferably a structural unit represented by formula (II-2-A′):

[0000]

[0000]

wherein, in formula (II-2-A′),

[0542]

XIII3represents a divalent saturated hydrocarbon group having 1 to 18 carbon atoms, —CH2— included in the saturated hydrocarbon group may be replaced by —O—, —S— or —CO—, and a hydrogen atom included in the saturated hydrocarbon group may be substituted with a halogen atom, an alkyl group having 1 to 6 carbon atoms optionally having a halogen atom, or a hydroxy group,

[0543]

Ax1represents an alkanediyl group having 1 to 8 carbon atoms, and a hydrogen atom included in the alkanediyl group may be substituted with a fluorine atom or a perfluoroalkyl group having 1 to 6 carbon atoms,

[0544]

RA represents a sulfonate group or a carboxylate group,

[0545]

RIII3represents a hydrogen atom, a halogen atom or an alkyl group having 1 to 6 carbon atoms optionally having a halogen atom, and

[0546]

ZA+ represents an organic cation.

[0547]

Examples of the halogen atom represented by RIII3include a fluorine atom, a chlorine atom, a bromine atom and an iodine atom.

[0548]

Examples of the alkyl group having 1 to 6 carbon atoms optionally having a halogen atom represented by RIII3include those which are the same as the alkyl group having 1 to 6 carbon atoms optionally having a halogen atom represented by Ra8.

[0549]

Examples of the alkanediyl group having 1 to 8 carbon atoms represented by Ax1include a methylene group, an ethylene group, a propane-1,3-diyl group, a butane-1,4-diyl group, a pentane-1,5-diyl group, a hexane-1,6-diyl group, a ethane-1,1-diyl group, a propane-1,1-diyl group, a propane-1,2-diyl group, a propane-2,2-diyl group, a pentane-2,4-diyl group, a 2-methylpropane-1,3-diyl group, a 2-methylpropane-1,2-diyl group, a pentane-1,4-diyl group, a 2-methylbutane-1,4-diyl group and the like.

[0550]

Examples of the perfluoroalkyl group having 1 to 6 carbon atoms in which a hydrogen atom may be substituted in Ax1include a trifluoromethyl group, a perfluoroethyl group, a perfluoropropyl group, a perfluoroisopropyl group, a perfluorobutyl group, a perfluorosec-butyl group, a perfluorotert-butyl group, a perfluoropentyl group, a perfluorohexyl group and the like.

[0551]

Examples of the divalent saturated hydrocarbon group having 1 to 18 carbon atoms represented by XIII3include a linear or branched alkanediyl group, a monocyclic or a polycyclic divalent alicyclic saturated hydrocarbon group, or a combination thereof.

[0552]

Specific examples thereof include linear alkanediyl groups such as a methylene group, an ethylene group, a propane-1,3-diyl group, a propane-1,2-diyl group, a butane-1,4-diyl group, a pentane-1,5-diyl group, a hexane-1,6-diyl group, a heptane-1,7-diyl group, an octane-1,8-diyl group, a nonane-1,9-diyl group, a decane-1,10-diyl group, an undecane-1,1-diyl group and a dodecane-1,12-diyl group; branched alkanediyl groups such as a butane-1,3-diyl group, a 2-methylpropane-1,3-diyl group, a 2-methylpropane-1,2-diyl group, a pentane-1,4-diyl group and a 2-methylbutane-1,4-diyl group; divalent monocyclic alicyclic saturated hydrocarbon groups such as a cyclobutane-1,3-diyl group, a cyclopentane-1,3-diyl group, a cyclohexane-1,4-diyl group and a cyclooctane-1,5-diyl group; and divalent polycyclic alicyclic saturated hydrocarbon groups such as a norbornane-1,4-diyl group, a norbornane-2,5-diyl group, an adamantane-1,5-diyl group and an adamantane-2,6-diyl group.

[0553]

Those in which —CH2— included in the saturated hydrocarbon group are replaced by —O—, —S— or —CO— include, for example, divalent groups represented by formula (X1) to formula (X53). Before replacing —CH2— included in the saturated hydrocarbon group by —O—, —S— or —CO—, the number of carbon atoms is 17 or less. In the following formulas, * and ** represent a bonding site, and * represents a bonding site to Ax1.

[0000]

[0554]

X3represents a divalent saturated hydrocarbon group having 1 to 16 carbon atoms.

[0555]

X4represents a divalent saturated hydrocarbon group having 1 to 15 carbon atoms.

[0556]

X5represents a divalent saturated hydrocarbon group having 1 to 13 carbon atoms.

[0557]

X6represents a divalent saturated hydrocarbon group having 1 to 14 carbon atoms.

[0558]

X7represents a trivalent saturated hydrocarbon group having 1 to 14 carbon atoms.

[0559]

X8represents a divalent saturated hydrocarbon group having 1 to 13 carbon atoms.

[0560]

Examples of the organic cation represented by ZA+include those which are the same as the cation Z1+ in the salt (B1).

[0561]

The structural unit represented by formula (II-2-A′) is preferably a structural unit represented by formula (I-2-A):

[0000]

[0000]

wherein, in formula (II-2-A), RIII3, XIII3and ZA+ are the same as defined above,

[0562]

z represents an integer of 0 to 6,

[0563]

RIII2and RIII4each independently represent a hydrogen atom, a fluorine atom or a perfluoroalkyl group having 1 to 6 carbon atoms, and when z is 2 or more, a plurality of RIII2and RIII4may be the same or different from each other, and

[0564]

Qaand Qbeach independently represent a fluorine atom or a perfluoroalkyl group having 1 to 6 carbon atoms.

[0565]

Examples of the perfluoroalkyl group having 1 to 6 carbon atoms represented by RIII2, RIII4, Qaand Qbinclude those which are the same as the perfluoroalkyl group having 1 to 6 carbon atoms represented by Qb1.

[0566]

The structural unit represented by formula (II-2-A) is preferably a structural unit represented by formula (II-2-A-1):

[0000]

[0000]

wherein, in formula (II-2-A-1),

[0567]

RIII2, RIII3, RIII4, Qa, Qb, z and ZA+ are the same as defined above,

[0568]

RIII5represents a saturated hydrocarbon group having 1 to 12 carbon atoms, and

[0569]

XI2represents a divalent saturated hydrocarbon group having 1 to 11 carbon atoms, —CH2— included in the saturated hydrocarbon group may be replaced by —O—, —S— or —CO—, and a hydrogen atom included in the saturated hydrocarbon group may be substituted with a halogen atom or a hydroxy group.

[0570]

Examples of the saturated hydrocarbon group having 1 to 12 carbon atoms represented by RIII5include linear or branched alkyl groups such as a methyl group, an ethyl group, a propyl group, an isopropyl group, a butyl group, a sec-butyl group, a tert-butyl group, a pentyl group, a hexyl group, a heptyl group, an octyl group, a nonyl group, a decyl group, an undecyl group and a dodecyl group.

[0571]

Examples of the divalent saturated hydrocarbon group represented by XI2include those which are the same as the divalent saturated hydrocarbon group represented by XIII3.

[0572]

The structural unit represented by formula (II-2-A-1) is preferably a structural unit represented by formula (II-2-A-2):

[0000]

[0000]

wherein, in formula (II-2-A-2), RIII3, RIII5and ZA+ are the same as defined above, and

[0573]

m and n each independently represent 1 or 2.

[0574]

The structural unit represented by formula (II-2-A′) includes, for example, the following structural units and the structural units mentioned in WO 2012/050015 A. ZA+ represents an organic cation.

[0000]

[0575]

The structural unit having a sulfonio group and an organic anion in a side chain is preferably a structural unit represented by formula (II-1-1):

[0000]

[0000]

wherein, in formula (II-1-1),

[0576]

AII1represents a single bond or a divalent linking group,

[0577]

RII1represents a divalent aromatic hydrocarbon group having 6 to 18 carbon atoms,

[0578]

RII2and RII3each independently represent a hydrocarbon group having 1 to 18 carbon atoms, and RII2and RII3may be bonded to each other to form a ring together with sulfur atoms to which RII2and RII3are bonded,

[0579]

RII4represents a hydrogen atom, a halogen atom or an alkyl group having 1 to 6 carbon atoms optionally having a halogen atom, and

[0580]

A represents an organic anion.

[0581]

Examples of the divalent aromatic hydrocarbon group having 6 to 18 carbon atoms represented by RIIIinclude a phenylene group and a naphthylene group.

[0582]

Examples of the hydrocarbon group represented by RII2and RII3include an alkyl group, an alicyclic hydrocarbon group, an aromatic hydrocarbon group, and groups formed by combining these groups.

[0583]

Examples of the alkyl group and the alicyclic hydrocarbon group include those which are the same as mentioned above.

[0584]

Examples of the aromatic hydrocarbon group include aryl groups such as a phenyl group, a naphthyl group, an anthryl group, a biphenyl group and a phenanthryl group.

[0585]

Examples of the combined group include groups obtained by combining the above-mentioned alkyl groups and alicyclic hydrocarbon groups, aralkyl groups such as a benzyl group, aromatic hydrocarbon groups having an alkyl group (a p-methylphenyl group, a p-tert-butylphenyl group, a tolyl group, a xylyl group, a cumenyl group, a mesityl group, a 2,6-diethylphenyl group, a 2-methyl-6-ethylphenyl group, etc.), aromatic hydrocarbon groups having an alicyclic hydrocarbon group (a p-cyclohexylphenyl group, a p-adamantylphenyl group, etc.), aryl-cycloalkyl groups such as a phenylcyclohexyl group and the like.

[0586]

Examples of the halogen atom represented by RII4include a fluorine atom, a chlorine atom, a bromine atom and an iodine atom.

[0587]

Examples of the alkyl group having 1 to 6 carbon atoms optionally having a halogen atom represented by RII4include those which are the same as the alkyl group having 1 to 6 carbon atoms optionally having a halogen atom represented by Ra8.

[0588]

Examples of the divalent linking group represented by AII1include a divalent saturated hydrocarbon group having 1 to 18 carbon atoms, and —CH2— included in the divalent saturated hydrocarbon group may be replaced by —O—, —S— or —CO—. Specific examples thereof include those which are the same as the divalent saturated hydrocarbon group having 1 to 18 carbon atoms represented by XII3:

[0589]

Examples of the structural unit including a cation in formula (II-1-1) include the following structural units.

[0000]

[0590]

Examples of the organic anion represented by A include a sulfonic acid anion, a sulfonylimide anion, a sulfonylmethide anion and a carboxylic acid anion. The organic anion represented by A is preferably a sulfonic acid anion, and examples of the sulfonic acid anion, the sulfonylimide anion, the sulfonylmethide anion and the carboxylic acid anion include those which are the same as the anion include in the salt represented by formula (I).

[0591]

Examples of the structural unit represented by formula (II-1-1) include structural units represented by the followings.

[0000]

[0592]

When the structural unit (II) is included in the resin (A), the content of the structural unit (IT) is preferably 1 to 20 mol %, more preferably 2 to 15 mol %, and still more preferably 3 to 10 mol %, based on all structural units of the resin (A).

[0593]

The resin (A) may include structural units other than the structural units mentioned above, and examples of such structural unit include structural units well-known in the art.

[0594]

The resin (A) is preferably a resin composed of a structural unit (a1) and a structural unit (s), i.e. a copolymer of a monomer (a1) and a monomer (s).

[0595]

The structural unit (a1) is preferably at least one selected from the group consisting of a structural unit (a1-0), a structural unit (a1-1) and a structural unit (a1-2) (preferably the structural unit having a cyclohexyl group, and a cyclopentyl group), more preferably at least two, and still more preferably at least two selected from the group consisting of a structural unit (a1-1) and a structural unit (a1-2).

[0596]

The structural unit (s) is preferably at least one selected from the group consisting of a structural unit (a2) and a structural unit (a3). The structural unit (a2) is preferably a structural unit represented by formula (a2-1) or a structural unit represented by formula (a2-A). The structural unit (a3) is preferably at least one selected from the group consisting of a structural unit represented by formula (a3-1), a structural unit represented by formula (a3-2) and a structural unit represented by formula (a3-4).

[0597]

The respective structural units constituting the resin (A) may be used alone, or two or more structural units may be used in combination. Using a monomer from which these structural units are derived, it is possible to produce by a known polymerization method (e.g. radical polymerization method). The content of the respective structural units included in the resin (A) can be adjusted according to the amount of the monomer used in the polymerization.

[0598]

The weight-average molecular weight of the resin (A) is preferably 2,000 or more (more preferably 2,500 or more, and still more preferably 3,000 or more), and 50,000 or less (more preferably 30,000 or less, and still more preferably 15,000 or less). In the present specification, the weight-average molecular weight is a value determined by gel permeation chromatography under the conditions mentioned in Examples.

[0000]

<Resin Other than Resin (A)>

[0599]

The resist composition of the present invention may include a resin other than the resin (A), in addition to the resin (A).

[0600]

The resin other than the resin (A) includes, for example, a resin including a structural unit (a4) or a structural unit (a5) (hereinafter sometimes referred to as resin (X)).

[0601]

The resin (X) is preferably a resin including a structural unit (a4), particularly.

[0602]

In the resin (X), the content of the structural unit (a4) is preferably 30 mol % or more, more preferably 40 mol % or more, and still more preferably 45 mol % or more, based on the total of all structural units of the resin (X).

[0603]

Examples of the structural unit, which may be further included in the resin (X), include a structural unit (a2), a structural unit (a3) and structural units derived from other known monomers. Particularly, the resin (X) is preferably a resin composed only of a structural unit (a4) and/or a structural unit (a5), and more preferably a resin composed only of a structural unit (a4).

[0604]

The respective structural unit constituting the resin (X) may be used alone, or two or more structural units may be used in combination. Using a monomer from which these structural units are derived, it is possible to produce by a known polymerization method (e.g. radical polymerization method). The content of the respective structural units included in the resin (X) can be adjusted according to the amount of the monomer used in the polymerization.

[0605]

The weight-average molecular weight of the resin (X) is preferably 6,000 or more (more preferably 7,000 or more), and 80,000 or less (more preferably 60,000 or less). The measurement means of the weight-average molecular weight of the resin (X) is the same as in the case of the resin (A).

[0606]

When the resist composition includes the resin (X), the content is preferably 1 to 60 parts by mass, more preferably 1 to 50 parts by mass, still more preferably 1 to 40 parts by mass, particularly preferably 1 to 30 parts by mass, and particularly preferably 1 to 8 parts by mass, based on 100 parts by mass of the resin (A).

[0607]

The content of the resin (A) in the resist composition is preferably 80% by mass or more and 99% by mass or less, and more preferably 90% by mass or more and 99% by mass or less, based on the solid component of the resist composition. When including resins other than the resin (A), the total content of the resin (A) and resins other than the resin (A) is preferably 80% by mass or more and 99% by mass or less, and more preferably 90% by mass or more and 99% by mass or less, based on the solid component of the resist composition. In the present specification, “solid component of the resist composition” means the total amount of components obtained by removing a solvent (E) mentioned later from the total amount of the resist composition. The solid component of the resist composition and the content of the resin thereto can be measured by a known analysis means such as liquid chromatography or gas chromatography.

<Solvent (E)>

[0608]

The content of the solvent (E) in the resist composition is usually 90% by mass or more and 99.9% by mass or less, preferably 92% by mass or more and 99% by mass or less, and more preferably 94% by mass or more and 99% by mass or less. The content of the solvent (E) can be measured, for example, by a known analysis means such as liquid chromatography or gas chromatography.

[0609]

Examples of the solvent (E) include glycol ether esters such as ethylcellosolve acetate, methylcellosolve acetate and propylene glycol monomethyl ether acetate; glycol ethers such as propylene glycol monomethyl ether; esters such as ethyl lactate, butyl acetate, amyl acetate and ethyl pyruvate; ketones such as acetone, methyl isobutyl ketone, 2-heptanone and cyclohexanone; and cyclic esters such as γ-butyrolactone. The solvent (E) may be used alone, or two or more solvents may be used.

<Quencher (C)>

[0610]

Examples of the quencher (C) include a basic nitrogen-containing organic compound, and a salt generating an acid having an acidity lower than that of an acid generated from an acid generator (B). The content of the quencher (C) is preferably about 0.01 to 5% by mass based on the amount of the solid component of the resist composition.

[0611]

Examples of the basic nitrogen-containing organic compound include amine and an ammonium salt. Examples of the amine include an aliphatic amine and an aromatic amine. Examples of the aliphatic amine include a primary amine, a secondary amine and a tertiary amine.

[0612]

Examples of the amine include 1-naphthylamine, 2-naphthylamine, aniline, diisopropylaniline, 2-, 3- or 4-methylaniline, 4-nitroaniline, N-methylaniline, N,N-dimethylaniline, diphenylamine, hexylamine, heptylamine, octylamine, nonylamine, decylamine, dibutylamine, dipentylamine, dihexylamine, diheptylamine, dioctylamine, dinonylamine, didecylamine, triethylamine, trimethylamine, tripropylamine, tributylamine, tripentylamine, trihexylamine, triheptylamine, trioctylamine, trinonylamine, tridecylamine, methyldibutylamine, methyldipentylamine, methyldihexylamine, methyldicyclohexylamine, methyldiheptylamine, methyldioctylamine, methyldinonylamine, methyldidecylamine, ethyldibutylamine, ethyldipentylamine, ethyldihexylamine, ethyldiheptylamine, ethyldioctylamine, ethyldinonylamine, ethyldidecylamine, dicyclohexylmethylamine, tris[2-(2-methoxyethoxy)ethyl]amine, triisopropanolamine, ethylenediamine, tetramethylenediamine, hexamethylenediamine, 4,4′-diamino-1,2-diphenylethane, 4,4′-diamino-3,3′-dimethyldiphenylmethane, 4,4′-diamino-3,3′-diethyldiphenylmethane, 2,2′-methylenebisaniline, imidazole, 4-methylimidazole, pyridine, 4-methylpyridine, 1,2-di(2-pyridyl)ethane, 1,2-di(4-pyridyl)ethane, 1,2-di(2-pyridyl)ethene, 1,2-di(4-pyridyl)ethene, 1,3-di(4-pyridyl)propane, 1,2-di(4-pyridyloxy)ethane, di(2-pyridyl) ketone, 4,4′-dipyridyl sulfide, 4,4′-dipyridyl disulfide, 2,2′-dipyridylamine, 2,2′-dipicolylamine, bipyridine and the like, preferably aromatic amines such as diisopropylaniline, and more preferably 2,6-diisopropylaniline.

[0613]

Examples of the ammonium salt include tetramethylammonium hydroxide, tetraisopropylammonium hydroxide, tetrabutylammonium hydroxide, tetrahexylammonium hydroxide, tetraoctylammonium hydroxide, phenyltrimethylammonium hydroxide, 3-(trifluoromethyl)phenyltrimethylammonium hydroxide, tetra-n-butylammonium salicylate and choline.

[0614]

The acidity in a salt generating an acid having an acidity lower than that of an acid generated from the acid generator (B) is indicated by the acid dissociation constant (pKa). Regarding the salt generating an acid having an acidity lower than that of an acid generated from the acid generator (B), the acid dissociation constant of an acid generated from the salt usually meets the following inequality: −3<pKa, preferably −1<pKa<7, and more preferably 0<pKa<5.

[0615]

Examples of the salt generating an acid having an acidity lower than that of an acid generated from the acid generator (B) include salts represented by the following formulas, a salt represented by formula (D) mentioned in JP 2015-147926 A (hereinafter sometimes referred to as “weak acid inner salt (D)”, and salts mentioned in JP 2012-229206 A, JP 2012-6908 A, JP 2012-72109 A, JP 2011-39502 A and JP 2011-191745 A. The salt generating an acid having an acidity lower than that of an acid generated from the acid generator (B) is preferably a weak acid inner salt (D).

[0000]

[0616]

Examples of the weak acid inner salt (D) include the following salts.

[0000]

[0617]

When the resist composition includes the quencher (C), the content of the quencher (C) in the solid component of the resist composition is usually 0.01 to 5% by mass, and preferably 0.01 to 3% by mass.

<Other Components>

[0618]

The resist composition of the present invention may also include components other than the components mentioned above (hereinafter sometimes referred to as “other components (F)”). The other components (F) are not particularly limited and it is possible to use various additives known in the resist field, for example, sensitizers, dissolution inhibitors, surfactants, stabilizers and dyes.

<Preparation of Resist Composition>

[0619]

The resist composition of the present invention can be prepared by mixing a salt (I) and a resin (A), and if necessary, an acid generator (B), resins other than the resin (A), a solvent (E), a quencher (C) and other components (F). The order of mixing these components is any order and is not particularly limited. It is possible to select, as the temperature during mixing, appropriate temperature from 10 to 40° C., according to the type of the resin, the solubility in the solvent (E) of the resin and the like. It is possible to select, as the mixing time, appropriate time from 0.5 to 24 hours according to the mixing temperature. The mixing means is not particularly limited and it is possible to use mixing with stirring.

[0620]

After mixing the respective components, the mixture is preferably filtered through a filter having a pore diameter of about 0.003 to 0.2 μm.

<Method for Producing Resist Pattern>

[0621]

The method for producing a resist pattern of the present invention include:

[0000]

(1) a step of applying the resist composition of the present invention on a substrate,
(2) a step of drying the applied composition to form a composition layer,
(3) a step of exposing the composition layer,
(4) a step of heating the exposed composition layer, and
(5) a step of developing the heated composition layer.

[0622]

The resist composition can be usually applied on a substrate using a conventionally used apparatus, such as a spin coater. Examples of the substrate include inorganic substrates such as a silicon wafer. Before applying the resist composition, the substrate may be washed, and an organic antireflection film may be formed on the substrate.

[0623]

The solvent is removed by drying the applied composition to form a composition layer. Drying is performed by evaporating the solvent using a heating device such as a hot plate (so-called “prebake”), or a decompression device. The heating temperature is preferably 50 to 200° C. and the heating time is preferably 10 to 180 seconds. The pressure during drying under reduced pressure is preferably about 1 to 1.0×10 Pa.

[0624]

The composition layer thus obtained is usually exposed using an aligner. The aligner may be a liquid immersion aligner. It is possible to use, as an exposure source, various exposure sources, for example, exposure sources capable of emitting laser beam in an ultraviolet region such as KrF excimer laser (wavelength of 248 nm), ArF excimer laser (wavelength of 193 nm) and F2excimer laser (wavelength of 157 nm), an exposure source capable of emitting harmonic laser beam in a far-ultraviolet or vacuum ultra violet region by wavelength-converting laser beam from a solid-state laser source (YAG or semiconductor laser), an exposure source capable of emitting electron beam or EUV and the like. In the present specification, such exposure to radiation is sometimes collectively referred to as “exposure”. The exposure is usually performed through a mask corresponding to a pattern to be required. When electron beam is used as the exposure source, exposure may be performed by direct writing without using the mask.

[0625]

The exposed composition layer is subjected to a heat treatment (so-called “post-exposure bake”) to promote the deprotection reaction in an acid-labile group. The heating temperature is usually about 50 to 200° C., and preferably about 70 to 150° C.

[0626]

The heated composition layer is usually developed with a developing solution using a development apparatus. Examples of the developing method include a dipping method, a paddle method, a spraying method, a dynamic dispensing method and the like. The developing temperature is preferably, for example, 5 to 60° C. and the developing time is preferably, for example, 5 to 300 seconds. It is possible to produce a positive resist pattern or negative resist pattern by selecting the type of the developing solution as follows.

[0627]

When the positive resist pattern is produced from the resist composition of the present invention, an alkaline developing solution is used as the developing solution. The alkaline developing solution may be various aqueous alkaline solutions used in this field. Examples thereof include aqueous solutions of tetramethylammonium hydroxide and (2-hydroxyethyl)trimethylammonium hydroxide (commonly known as choline). The surfactant may be contained in the alkaline developing solution.

[0628]

It is preferred that the developed resist pattern is washed with ultrapure water and then water remaining on the substrate and the pattern is removed.

[0629]

When the negative resist pattern is produced from the resist composition of the present invention, a developing solution containing an organic solvent (hereinafter sometimes referred to as “organic developing solution”) is used as the developing solution.

[0630]

Examples of the organic solvent contained in the organic developing solution include ketone solvents such as 2-hexanone and 2-heptanone; glycol ether ester solvents such as propylene glycol monomethyl ether acetate; ester solvents such as butyl acetate; glycol ether solvents such as propylene glycol monomethyl ether; amide solvents such as N,N-dimethylacetamide; and aromatic hydrocarbon solvents such as anisole.

[0631]

The content of the organic solvent in the organic developing solution is preferably 90% by mass or more and 100% by mass or less, more preferably 95% by mass or more and 100% by mass or less, and still more preferably the organic developing solution is substantially composed of the organic solvent.

[0632]

Particularly, the organic developing solution is preferably a developing solution containing butyl acetate and/or 2-heptanone. The total content of butyl acetate and 2-heptanone in the organic developing solution is preferably 50% by mass or more and 100% by mass or less, more preferably 90% by mass or more and 100% by mass or less, and still more preferably the organic developing solution is substantially composed of butyl acetate and/or 2-heptanone.

[0633]

The surfactant may be contained in the organic developing solution. A trace amount of water may be contained in the organic developing solution.

[0634]

During development, the development may be stopped by replacing by a solvent with the type different from that of the organic developing solution.

[0635]

The developed resist pattern is preferably washed with a rinsing solution. The rinsing solution is not particularly limited as long as it does not dissolve the resist pattern, and it is possible to use a solution containing an ordinary organic solvent which is preferably an alcohol solvent or an ester solvent.

[0636]

After washing, the rinsing solution remaining on the substrate and the pattern is preferably removed.

<Application>

[0637]

The resist composition of the present invention is suitable as a resist composition for exposure of KrF excimer laser, a resist composition for exposure of ArF excimer laser, a resist composition for exposure of electron beam (EB) or a resist composition for exposure of EUV, particularly a resist composition for exposure of electron beam (EB) or a resist composition for exposure of EUV, and the resist composition is useful for fine processing of semiconductors.

EXAMPLES

[0638]

The present invention will be described more specifically by way of Examples. Percentages and parts expressing the contents or amounts used in the Examples are by mass unless otherwise specified.

[0639]

The weight-average molecular weight is a value determined by gel permeation chromatography. Analysis conditions of gel permeation chromatography are as follows.

[0640]

Column: TSKgel Multipore IIXL-M×3+guardcolumn (manufactured by TOSOH CORPORATION)

[0641]

Eluent: tetrahydrofuran

[0642]

Flow rate: 1.0 mL/min

[0643]

Detector: RI detector

[0644]

Column temperature: 40° C.

[0645]

Injection amount: 100 μl

[0646]

Molecular weight standards: polystyrene standard (manufactured by TOSOH CORPORATION)

[0647]

Structures of compounds were confirmed by measuring a molecular ion peak using mass spectrometry (Liquid Chromatography: Model 1100, manufactured by Agilent Technologies, Inc., Mass Spectrometry: Model LC/MSD, manufactured by Agilent Technologies, Inc.). The value of this molecular ion peak in the following Examples is indicated by “MASS”.

Example 1: Synthesis of Salt Represented by Formula (I-2)

[0648]

[0649]

5 Parts of a compound represented by formula (I-2-a), 10 parts of tetrahydrofuran and 11.00 parts of trimethylsilyl trifluoromethanesulfonate were mixed, followed by stirring at 23° C. for 30 minutes and further cooling to 10° C. A Grignard solution prepared by mixing 1.20 parts of magnesium, 8.65 parts of a compound represented by formula (I-2-b) and 17.30 parts of tetrahydrofuran was added dropwise to the mixed solution obtained previously at 10° C., followed by stirring at 23° C. for 18 hours. To the mixture thus obtained, 30 parts of 1N hydrochloric acid and 50 parts of chloroform were added. After stirring at 23° C. for 30 minutes, an organic layer was isolated through separation. To the organic layer thus obtained, 30 parts of ion-exchanged water was added and, after stirring at 23° C. for 30 minutes, an organic layer was isolated through separation. This water washing operation was repeated three times. The organic layer thus obtained was concentrated and 30 parts of tert-butyl methyl ether was added to the concentrated residue, followed by stirring at 23° C. for 30 minutes. The supernatant was removed, followed by concentration to obtain 3.24 parts of a salt represented by formula (I-2-c).

[0000]

[0650]

2.91 Parts of the salt represented by formula (I-2-c), 2.56 parts of a salt represented by formula (I-2-d), 15 parts of chloroform and 30 parts of ion-exchanged water were mixed. After stirring at 23° C. for 2 hours, an organic layer was isolated through separation. To the organic layer thus obtained, 15 parts of 1N hydrochloric acid was added and, after stirring at 23° C. for 30 minutes, an organic layer was isolated through separation. To the organic layer thus obtained, 15 parts of ion-exchanged water was added and, after stirring at 23° C. for 30 minutes, an organic layer was isolated through separation. This water washing operation was repeated five times. The organic layer thus obtained was concentrated and 30 parts of tert-butyl methyl ether was added to the concentrated residue, followed by stirring at 23° C. for 30 minutes. The supernatant was removed, followed by concentration to obtain 1.62 parts of a salt represented by formula (I-2).

[0651]

MASS (ESI (+) Spectrum): M+ 353.0

[0652]

MASS (ESI (−) Spectrum): M 339.1

Example 2: Synthesis of Salt Represented by Formula (I-3)

[0653]

[0654]

2.91 Parts of the salt represented by formula (I-2-c), 2.46 parts of a salt represented by formula (I-3-d)/15 parts of chloroform and 30 parts of ion-exchanged water were mixed. After stirring at 23° C. for 2 hours, an organic layer was isolated through separation. To the organic layer thus obtained, 15 parts of 1N hydrochloric acid was added and, after stirring at 23° C. for 30 minutes, an organic layer was isolated through separation. To the organic layer thus obtained, 15 parts of ion-exchanged water was added and, after stirring at 23° C. for 30 minutes, an organic layer was isolated through separation. This water washing operation was repeated five times. The organic layer thus obtained was concentrated and 30 parts of tert-butyl methyl ether was added to the concentrated residue, followed by stirring at 23° C. for 30 minutes. The supernatant was removed, followed by concentration to obtain 1.72 parts of a salt represented by formula (I-3).

[0655]

MASS (ESI (+) Spectrum): M+ 353.0

[0656]

MASS (ESI (−) Spectrum): M 323.0

Example 3: Synthesis of Salt Represented by Formula (I-14)

[0657]

[0658]

2.91 Parts of the salt represented by formula (I-2-c), 2.46 parts of a salt represented by formula (I-14-d), 15 parts of chloroform and 30 parts of ion-exchanged water were mixed. After stirring at 23° C. for 2 hours, an organic layer was isolated through separation. To the organic layer thus obtained, 15 parts of 1N hydrochloric acid was added. After stirring at 23° C. for 30 minutes, an organic layer was isolated through separation. To the organic layer thus obtained, 15 parts of ion-exchanged water was added and, after stirring at 23° C. for 30 minutes, an organic layer was isolated through separation. This water washing operation was repeated five times. The organic layer thus obtained was concentrated and 30 parts of tert-butyl methyl ether was added to the concentrated residue, followed by stirring at 23° C. for 30 minutes. The supernatant was removed, followed by concentration to obtain 2.32 parts of a salt represented by formula (I-14).

[0659]

MASS (ESI (+) Spectrum): M+ 353.0

[0660]

MASS (ESI (−) Spectrum): M 323.1

Example 4: Synthesis of Salt Represented by Formula (I-43)

[0661]

[0662]

5 Parts of the compound represented by formula (I-2-a), 10 parts of tetrahydrofuran and 11.00 parts of trimethylsilyl trifluoromethanesulfonate were mixed, followed by stirring at 23° C. for 30 minutes and further cooling to 10° C. A Grignard solution prepared by mixing 1.20 parts of magnesium, 10.43 parts of a compound represented by formula (I-43-b) and 20.86 parts of tetrahydrofuran was added dropwise to the mixed solution obtained previously at 10° C., followed by stirring at 23° C. for 18 hours. To the reaction mixture thus obtained, 30 parts of 1N hydrochloric acid and 50 parts of chloroform were added. After stirring at 23° C. for 30 minutes, an organic layer was isolated through separation. To the organic layer thus obtained, 30 parts of ion-exchanged water was added and, after stirring at 23° C. for 30 minutes, an organic layer was isolated through separation. This water washing operation was repeated three times. The organic layer thus obtained was concentrated and 30 parts of tert-butyl methyl ether was added to the concentrated residue, followed by stirring at 23° C. for 30 minutes. The supernatant was removed, followed by concentration to obtain 3.11 parts of a salt represented by formula (I-43-c).

[0000]

[0663]

3.12 Parts of the salt represented by formula (I-43-c), 2.46 parts of a salt represented by formula (I-14-d), 15 parts of chloroform and 30 parts of ion-exchanged water were mixed and, after stirring at 23° C. for 2 hours, an organic layer was isolated through separation. To the organic layer thus obtained, 15 parts of 1N hydrochloric acid was added and, after stirring at 23° C. for 30 minutes, an organic layer was isolated through separation. This water washing operation was repeated five times. The organic layer thus obtained was concentrated and 30 parts of tert-butyl methyl ether was added to the concentrated residue, followed by stirring at 23° C. for 30 minutes. The supernatant was removed, followed by concentration to obtain 1.91 parts of a salt represented by formula (I-43).

[0664]

MASS (ESI (+) Spectrum): M+ 389.0

[0665]

MASS (ESI (−) Spectrum): M 323.1

Example 5: Synthesis of Salt Represented by Formula (I-72)

[0666]

[0667]

5 Parts of the compound represented by formula (I-2-a), 10 parts of tetrahydrofuran and 11.00 parts of trimethylsilyl trifluoromethanesulfonate were mixed, followed by stirring at 23° C. for 30 minutes and further cooling to 10° C. A Grignard solution prepared by mixing 1.20 parts of magnesium, 9.54 parts of a compound represented by formula (I-72-b) and 19.08 parts of tetrahydrofuran was added dropwise to the mixed solution obtained previously at 10° C., followed by stirring at 23° C. for 18 hours. To the reaction mixture thus obtained, 30 parts of 1N hydrochloric acid and 50 parts of chloroform were added and, after stirring at 23° C. for 30 minutes, an organic layer was isolated through separation. To the organic layer thus obtained, 30 parts of ion-exchanged water was added and, after stirring at 23° C. for 30 minutes, an organic layer was isolated through separation. This water washing operation was repeated three times. The organic layer thus obtained was concentrated and 30 parts of tert-butyl methyl ether was added to the concentrated residue, followed by stirring at 23° C. for 30 minutes. The supernatant was removed, followed by concentration to obtain 1.09 parts of a salt represented by formula (I-72-c).

[0000]

[0668]

1.01 Parts of the salt represented by formula (I-72-c), 0.82 part of a salt represented by formula (I-14-d), 10 parts of chloroform and 20 parts of ion-exchanged water were mixed and, after stirring at 23° C. for 2 hours, an organic layer was isolated through separation. To the organic layer thus obtained, 10 parts of 1N hydrochloric acid was added and, after stirring at 23° C. for 30 minutes, an organic layer was isolated through separation. To the organic layer thus obtained, 10 parts of ion-exchanged water was added and, after stirring at 23° C. for 30 minutes, an organic layer was isolated through separation. This water washing operation was repeated five times. The organic layer thus obtained was concentrated and 20 parts of tert-butyl methyl ether was added to the concentrated residue, followed by stirring at 23° C. for 30 minutes. The supernatant was removed, followed by concentration to obtain 0.42 part of a salt represented by formula (I-72).

[0669]

MASS (ESI (+) Spectrum): M+ 371.0

[0670]

MASS (ESI (−) Spectrum): M 323.1

Example 6: Synthesis of Salt Represented by Formula (I-13)

[0671]

[0672]

2.91 Parts of the salt represented by formula (I-2-c), 3.29 parts of a salt represented by formula (I-13-d), 15 parts of chloroform and 30 parts of ion-exchanged water were mixed, after stirring at 23° C. for 2 hours, an organic layer was isolated through separation. To the organic layer thus obtained, 15 parts of 1N hydrochloric acid was added and, after stirring at 23° C. for 30 minutes, an organic layer was isolated through separation. To the organic layer thus obtained, 15 parts of ion-exchanged water was added and, after stirring at 23° C. for 30 minutes, an organic layer was isolated through separation. This water washing operation was repeated five times. The organic layer thus obtained was concentrated and 30 parts of tert-butyl methyl ether was added to the concentrated residue, followed by stirring at 23° C. for 30 minutes. The supernatant was removed, followed by concentration to obtain 2.11 parts of a salt represented by formula (I-13).

[0673]

MASS (ESI (+) Spectrum): M+ 353.0

[0674]

MASS (ESI (−) Spectrum): M 467.1

Example 7: Synthesis of Salt Represented by Formula (I-15)

[0675]

[0676]

2.91 Parts of the salt represented by formula (I-2-c), 2.56 parts of a salt represented by formula (I-15-d), 15 parts of chloroform and 30 parts of ion-exchanged water were mixed, and after stirring at 23° C. for 2 hours, an organic layer was isolated through separation. To the organic layer thus obtained, 15 parts of 1N hydrochloric acid was added and, after stirring at 23° C. for 30 minutes, an organic layer was isolated through separation. To the organic layer thus obtained, 15 parts of ion-exchanged water was added and, after stirring at 23° C. for 30 minutes, an organic layer was isolated through separation. This water washing operation was repeated five times. The organic layer thus obtained was concentrated and 30 parts of tert-butyl methyl ether was added to the concentrated residue, followed by stirring at 23° C. for 30 minutes. The supernatant was removed, followed by concentration to obtain 1.89 parts of a salt represented by formula (I-15).

[0677]

MASS (ESI (+) Spectrum): M+ 353.0

[0678]

MASS (ESI (−) Spectrum): M 339.1

Example 8: Synthesis of Salt Represented by Formula (I-16)

[0679]

[0680]

2.91 Parts of a salt represented by formula (I-2-c), 2.55 parts of a salt represented by formula (I-16-d), 15 parts of chloroform and 30 parts of ion-exchanged water were mixed and, after stirring at 23° C. for 2 hours, an organic layer was isolated through separation. To the organic layer thus obtained, 15 parts of 1N hydrochloric acid was added and, after stirring at 23° C. for 30 minutes, an organic layer was isolated through separation. To the organic layer thus obtained, 15 parts of ion-exchanged water was added and, after stirring at 23° C. for 30 minutes, an organic layer was isolated through separation. This water washing operation was repeated five times. The organic layer thus obtained was concentrated and 30 parts of tert-butyl methyl ether was added to the concentrated residue, followed by stirring at 23° C. for 30 minutes. The supernatant was removed, followed by concentration to obtain 1.81 parts of a salt represented by formula (I-16).

[0681]

MASS (ESI (+) Spectrum): M+ 353.0

[0682]

MASS (ESI (−) Spectrum): M 337.1

Example 9: Synthesis of Salt Represented by Formula (I-17)

[0683]

[0684]

2.91 Parts of a salt represented by formula (I-2-c), 3.39 parts of a salt represented by formula (I-17-d), 15 parts of chloroform and 30 parts of ion-exchanged water were mixed and, after stirring at 23° C. for 2 hours, an organic layer was isolated through separation. To the organic layer thus obtained, 15 parts of 1N hydrochloric acid was added and, after stirring at 23° C. for 30 minutes, an organic layer was isolated through separation. To the organic layer thus obtained, 15 parts of ion-exchanged water was added and, after stirring at 23° C. for 30 minutes, an organic layer was isolated through separation. This water washing operation was repeated five times. The organic layer thus obtained was concentrated and 30 parts of tert-butyl methyl ether was added to the concentrated residue, followed by stirring at 23° C. for 30 minutes. The supernatant was removed, followed by concentration to obtain 2.88 parts of a salt represented by formula (I-17).

[0685]

MASS (ESI (+) Spectrum): M+ 353.0

[0686]

MASS (ESI (−) Spectrum): M 481.1

Synthesis of Resin

[0687]

Compounds (monomers) used in the synthesis of the resin (A) are shown below. Hereinafter, these compounds are referred to as “monomer (a1-1-3)” according to the number of formula.

[0000]

Synthesis Example 1 ([Synthesis of Resin a1]

[0688]

Using a monomer(a1-4-2), a monomer (a1-1-3) and a monomer (a1-2-6) as monomers, these monomers were mixed in a molar ratio of 38:24:38 [monomer (a1-4-2):monomer (a1-1-3):monomer (a1-2-6)], and methyl isobutyl ketone was added to this monomer mixture in the amount of 1.5 mass times the total mass of all monomers. To the mixture thus obtained, azobisisobutyronitrile as an initiator was added in the amount of 7 mol % based on the total molar number of all monomers, and then the mixture was polymerized by heating at 83° C. for about 5 hours. To the polymerization reaction mixture thus obtained, an aqueous p-toluenesulfonic acid solution was added. After stirring for 6 hours, an organic layer was isolated through separation. The organic layer thus collected was poured into a large amount of n-heptane to precipitate a resin, followed by filtration and collection to obtain a resin A1 (copolymer) having a weight-average molecular weight of about 5.3×103in a yield of 78%. This resin A1 has the following structural units.

[0000]

Synthesis Example 2 [Synthesis of Resin A2]

[0689]

Using a monomer (a1-4-2), a monomer (a1-1-3) and a monomer (a1-2-6) as monomers, these monomers were mixed in a molar ratio of 49:21:30 [monomer (a1-4-2):monomer (a1-1-3):monomer (a1-2-6)], and methyl isobutyl ketone was added to this monomer mixture in the amount of 1.5 mass times the total mass of all monomers. To the mixture thus obtained, azobisisobutyronitrile as an initiator was added in the amount of 7 mol % based on the total molar number of all monomers, and then the mixture was polymerized by heating at 85° C. for about 5 hours. To the polymerization reaction mixture thus obtained, an aqueous p-toluenesulfonic acid solution was added. After stirring for 6 hours, an organic layer was isolated through separation. The organic layer thus collected was poured into a large amount of n-heptane to precipitate a resin, followed by filtration and collection to obtain a resin A2 (copolymer) having a weight-average molecular weight of about 5.8×103in a yield of 84%. This resin A2 has the following structural units.

[0000]

Synthesis Example 3 [Synthesis of Resin AX1]

[0690]

Using a monomer (a1-4-2) and a monomer (a1-2-6) as monomers, these monomers were mixed in a molar ratio of 49:51 [monomer (a1-4-2):monomer (a1-2-6)], and methyl isobutyl ketone was added to this monomer mixture in the amount of 1.5 mass times the total mass of all monomers. To the mixture thus obtained, azobisisobutyronitrile as an initiator was added in the amount of 7 mol % based on the total molar number of all monomers, and then the mixture was polymerized by heating at 85° C. for about 5 hours. To the polymerization reaction mixture thus obtained, an aqueous p-toluenesulfonic acid solution was added. After stirring for 6 hours, an organic layer was isolated through separation. The organic layer thus collected was poured into a large amount of n-heptane to precipitate a resin, followed by filtration and collection to obtain a resin AX1 (copolymer) having a weight-average molecular weight of about 5.9×103in a yield of 88%. This resin AX1 has the following structural units.

[0000]

<Preparation of Resist Compositions>

[0691]

As shown in Table 2, the following respective components were mixed, and the mixtures thus obtained were filtered through a fluorine resin filter having a pore diameter of 0.2 μm to prepare resist compositions.

[0000]

Composition 1A1 = 10 partsI-2 = 1.5 partsC1 = 0.35 part100° C./130° C.
Composition 2A1 = 10 partsI-3 = 1.5 partsC1 = 0.35 part100° C./130° C.
Composition 3A1 = 10 partsI-14 = 1.5 partsC1 = 0.35 part100° C./130° C.
Composition 4A2 = 10 partsI-14 = 1.5 partsC1 = 0.35 part100° C./130° C.
Composition 5A1 = 10 partsI-2/I-3 = 1.0/0.5 partC1 = 0.35 part100° C./130° C.
Composition 6A1 = 10 partsI-43 = 1.5 partsC1 = 0.35 part100° C./130° C.
Composition 7A1 = 10 partsI-72 = 1.5 partsC1 = 0.35 part100° C./130° C.
Composition 8A1 = 10 partsI-15 = 1.5 partsC1 = 0.35 part100° C./130° C.
Composition 9A1 = 10 partsI-16 = 1.5 partsC1 = 0.35 part100° C./130° C.
Composition 10A1 = 10 partsI-15/I-16 = 1.0/0.5 partC1 = 0.35 part100° C./130° C.
Composition 11A1 = 10 partsI-13 = 1.5 partsC1 = 0.35 part100° C./130° C.
Composition 12A1 = 10 partsI-17 = 1.5 partsC1 = 0.35 part100° C./130° C.
ComparativeAX1 = 10 partsIX-1 = 1.5 partsC1 = 0.35 part100° C./130° C.
composition 1
ReferenceA2 = 10 partsIX-1 = 1.5 partsC1 = 0.35 part100° C./130° C.
Composition 1

<Resin>

[0692]

A1, A2, AX1: resin A1, resin A2, resin X1, resin AX1<Salt (I)>

[0693]

I-2: Salt represented by formula (I-2)

[0694]

I-3: Salt represented by formula (I-3)

[0695]

I-13: Salt represented by formula (I-13)

[0696]

I-14: Salt represented by formula (I-14)

[0697]

I-15: Salt represented by formula (I-15)

[0698]

I-16: Salt represented by formula (I-16)

[0699]

I-17: Salt represented by formula (I-17)

[0700]

I-43: Salt represented by formula (I-43)

[0701]

I-72: Salt represented by formula (I-72)

<Acid Generator>

[0702]

IX-1: Salt represented by formula (IX-1) (synthesized in accordance with Examples of JP 2017-015777 A)

[0000]

<Quencher (C)>

[0703]

C1: synthesized by the method mentioned in JP 2011-39502 A

[0000]

<Solvent (E)>

[0704]

[0000]

Propylene glycol monomethyl ether acetate400parts
Propylene glycol monomethyl ether100parts
γ-Butyrolactone5parts

(Evaluation of Exposure of Resist Composition with Electron Beam)

[0705]

Each 6 inch-diameter silicon wafer was treated with hexamethyldisilazane and then baked on a direct hot plate at 90° C. for 60 seconds. A resist composition was spin-coated on the silicon wafer so that the thickness of the composition later became 0.04 μm. The coated silicon wafer was prebaked on the direct hot plate at the temperature shown in the column “PB” of Table 2 for 60 seconds. Using an electron-beam direct-write system (HL-800D 50 keV, manufactured by Hitachi, Ltd.), line-and-space patterns were directly written on the composition layer formed on the wafer while changing the exposure dose stepwise.

[0706]

After the exposure, post-exposure baking was performed on the hot plate at the temperature shown in the column “PEB” of Table 2 for 60 seconds, followed by paddle development with an aqueous 2.38% by mass tetramethylammonium hydroxide solution for 60 seconds to obtain a resist pattern.

[0707]

The resist pattern (line-and-space pattern) thus obtained was observed by a scanning electron microscope and effective sensitivity was defined as the exposure dose at which the resist pattern with 60 nm-1:1 line and space patterns was obtained.

[0708]

Evaluation of Line Edge Roughness (LER): Line edge roughness was determined by measuring a roughness width of the irregularity in wall surface of resist pattern produced by the effective sensitivity using a scanning electron microscope. The results are shown in Table 3.

[0000]

Example 10Composition 13.82
Example 11Composition 23.84
Example 12Composition 33.92
Example 13Composition 43.96
Example 14Composition 53.78
Example 15Composition 63.86
Example 16Composition 73.91
Example 17Composition 83.79
Example 18Composition 93.80
Example 19Composition 103.75
Example 20Composition 113.68
Example 21Composition 123.70
ComparativeComparative4.42
Example 1composition 1
ReferenceReference4.05
Example 1composition 2

[0709]

As is apparent from the above results, a salt and a resist composition including the salt of the present invention exhibit satisfactory line edge roughness (LER).

INDUSTRIAL APPLICABILITY

[0710]

A salt and a resist composition including the salt of the present invention exhibit satisfactory line edge roughness and are useful for fine processing of semiconductors.

Как компенсировать расходы
на инновационную разработку
Похожие патенты