заявка
№ US 20190104736
МПК A01N43/713

PESTICIDE COMPOSITION COMPRISING A TETRAZOLYLOXIME DERIVATIVE AND A FUNGICIDE OR AN INSECTICIDE ACTIVE SUBSTANCE

Авторы:
Pierre-Yves Coqueron Marie-Claire Grosjean-Cournoyer Pierre Hutin
Все (18)
Номер заявки
16215854
Дата подачи заявки
11.12.2018
Опубликовано
11.04.2019
Страна
US
Дата приоритета
18.12.2025
Номер приоритета
Страна приоритета
Как управлять
интеллектуальной собственностью
Реферат

The present invention relates to a pesticide composition intended for protecting plants, crops or seeds against fungal diseases or insect damages, and the corresponding methods of protection by application of the said composition. More precisely, the subject of the present invention is a pesticide composition based on a tetrazolyloxime derivative and a fungicide or an insecticide active substance or compound.

Формула изобретения

1. A composition comprising:

A) a tetrazolyloxime derivative of for (I) and

wherein

X represents a hydrogen atom, a halogen atom, an alkyl group, an alkoxy group, a cyano group, a methanesulfonyl group, a nitro group, a trifluoromethyl group or an aryl group ;

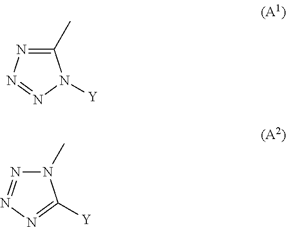
A represents a tetrazoyl group of formula (A1) or (A2):

wherein Y represents an alkyl group ; and

Het represents a pyridyl group of formula (Het1) or a thiazolyl group of formula (Het2)

wherein R represents a hydrogen atom or a halogen atom; Z represents a hydrogen atom, an amino group, a group of formula QC(═O)NH— wherein Q represents a hydrogen atom, an alkyl group having 1 to 8 carbon atoms, an alkyl group having 1 to 6 carbon atoms substituted by a halogen atom, a cycloalkyl group having 3 to 6 carbon atoms, an alkoxyl group having 1 to 8 carbon atoms, a cycloalkyloxy group having 3 to 6 carbon atoms, a benzyloxy group, a 2-phenylethyloxy group, a thioalkyl group substituted by an alkyl group having 1 to 4 carbon atoms, an alkyl group having 1 to 2 carbon atoms substituted by an alkoxyl group having I to 4 carbon atoms, an alkyl group having 1 to 6 carbon atoms substituted by an acylamino group having 1 to 4 carbon atoms, an alkoxy group having 1 to 6 carbon atoms substituted by an acylamino group having 1 to 4 carbon atoms, an alkylamino group having 1 to 8 carbon atoms, an alkenyl group having 2 to 6 carbon atoms, an aralkyl group or a phenyl group; and

B) a compound B in an A/B weight ratio ranging from 0.001/ to 1/1,000, wherein said compound B is selected from the group consisting of ethaboxam, sedaxane, difenoconazole, irnazalil, fluopvram, thiactoprid, thiamethoxam, ahamectin, pymetrozine, flonicamid, chlorantraniliprole and cyantraniliprole.

2. A composition according to claim 1, further comprising.

C) a second further fungicide compound in an A/B/C weight ratio ranging from 1/0.01/0.01 to 1/100/100.

3. A composition according to claim 1, further comprising:

D) an insecticide compound in an A/B/D weight ratio ranging from 1/0.01/0.01 to 1/100/100.

4. A composition according to claim 1, further comprising:

C) a second further fungicide compound and

D) an insecticide compound in an A/B/C/D weight ratio ranging from 1/0.01/0.01/1 to 1/100/100/100.

5. A composition according to claim 1 wherein X represents a hydrogen atom, a halogen atom, an alkyl group, an alkoxy group, a cyano group, a rnethanesulfonyl group, a nitro group, a trifluoromethyl group or an aryl group.

6. A composition according to claim 1 wherein X independently represents a chlorine atom, a bromine atom, an iodine atom, a fluorine atom, a methyl group, an ethyl group, an n-propyl group, an isopropyl group, an n-butyl group, an isobutyl group, a sec-butyl group, a tert-butyl group, a methoxy group, an ethoxy group, a propoxy group and an isopropoxy group, a phenyl group, a 4-methylphenyl group, or a 4-chlorophenyl group.

7. A composition according to claim 1 wherein X represents a hydrogen atom.

8. A composition according to claim 1 wherein Y represents a methyl group, an ethyl group, an n-propyl group or an isopropyl group.

9. A composition according to claim 1 wherein R in the pyridyl group of formula (Het1) represents a hydrogen atom, a chlorine atom, a bromine atom, an iodine atom or a fluorine atom.

10. A composition according to claim 1 wherein Q represents a methyl group, an ethyl group, an n-propyl. group, an isopropyl group, a 1,1-dimethylpropyl group, an n-butyl group, an isobutyl group, a sec-butyl group, a tert-butyl group, an isoamyl group, a 1-methylbutyl group, a 2-methylbutyl group, an neopentyl group, a 1-ethylpropyl group, an n-pentyl group, a hexyl group, a heptyl group, an octyl group, a chloromethyl group, a difluoromethyl group, a triftuoromethyl group, a difluorochloromethyl group, a pentafluoroethyl group, a 3,3,3-triffuoro-n-propyl group, a 1-chlorohexyl group, a cyclopropyl group, a cyclobutyl group, a cyclopentyl group, a cyclohexyl group, a methoxy group, art ethoxy group, a propoxy group, an isopropoxy group, a 1,1-dimethylpropoxy group, a hutoxy group, an isohutoxy group, a sec-hutoxy group, a tert-butoxy group, an isopentyloxy group, a 1-methylbutoxy group, a 2-methylbutoxy group, an neopentyloxy group, a 1-ethylpropoxy group, an n-pentyloxy group, a hexyloxy group, a heptyloxy group, an octyloxy group, a cyclopropyloxy group, a cyclobutyloxy group, a cyclopentyloxy group, a cyclohexyloxy group, a methoxymethyl group, an ethoxymethyl group, an ethoxyethyl group, a butoxymethyl group, a methylthiom.ethyl group, a methylthioethyl group, an ethylthiomethyl group, a butylthiomethyl group, an acetylaminomethoxy group, a 2-(propionylarnino)ethoxy group, a 3-tacetylaminoipropoxy group, a 3-(propionyiamino)propoxy group, a 3-(isopropionylamino)propoxy group, a 3-(butyroylamino)propoxy group, a 3-(isobutyroylamino)propoxy group, a 3-(sec-butyroylamino) propoxy group, a 3-(tert-butyroylamino)propoxy group, a 4-(a.cetylamino)butoxy group, a 5-(acetylamino)pentyloxy group, a 6-(acetylamino)hexyloxy group, an acetylaminomethyl group, a 2-(propionylamino)ethyl group, a 3-(acetylamino)propyl group, a 3-(propionylamino)propyl group, a 3-(isopropionylamino)propyl group, a 3-(butyroylamino)propyl group, a 3-(isobutyroylamino) propyl group, a 3-(sec-butyroylamino)propyl group, 3-(cert-butyroylan propyl group, a 4-(acetylamino)butyl group, a 5-(acetylamino)pentyl group, a 6-(acetylamino)hexyl group, methylamino group, an ethylamino group, a propylamino group, an isopropylamino group, a butylamino group, an isobutylamino group, a sec-butylamino group, a Cert-butylamino group, an neopentylamino group, a 1-ethylpropylamino group, an n-pentyianhino group, a hexylamino group, a heptylamino group, an octylamino group, an isopropenyl group, a 1-butenyl group, a 2-butenyl group, a 2-pentenyl group, a 5-hexenyl group, a benzyl group or a phenethyl group.

11. A composition according to claim 3 wherein insecticide compound D is selected from the group consisting of imidacloprid and clothianidin.

12. A composition according to claim I wherein the A/B weight ratio ranges from 1/1.05 to 1/80.

13. A method for controlling the phytopathogenic fungi or damaging insects of plants, crops or seeds comprising the application of an agronomically effective and substantially non-phytotoxic quantity of a pesticide composition according to claim 1 as seed treatment, foliar application, stem application, drench or drip application or chemigation to the seed, the plant or to the fruit of the plant or to soil or to inert substrate, Pumice, Pyroclastic materials or stuff, synthetic organic substrates organic substrates or to a liquid substrate wherein the plant is growing or wherein it is desired to grow.

14. The composition according to claim 1, comprising:

A) a tetrazolyloxime derivative of formula (I)

wherein

X represents a hydrogen atom;

A represents a tetrazoyl group of formula (A1):

wherein Y represents an alkyl group; and

Het represents a pyridyl group of formula (Het1):

wherein R represents a hydrogen atom or a halogen atom; and Z represents a group of formula QC(═O)NH— wherein Q represents an alkoxyl group having 1 to 8 carbon atoms.

15. The composition according to claim 1, wherein

A is pentyl{6-[({[(1-methyl-1H-tetrazol-5-yl)(phenyl)methylidene]amino}oxy)methyl] pyridin-2-yl}carbamate.

16. The composition according to claim 1, wherein B is ethaboxam.

17. The composition according to claim 1, wherein B is sedaxane.

18. The composition according to claim 1, wherein B is difenoconazole.

19. The composition according to claim 1, wherein B is imazalil.

20. The composition according to claim 1, wherein B is fluopyram.

Описание

CROSS-REFERENCE TO RELATED APPLICATIONS

[0001]

This application is a divisional of U.S. patent application Ser. No. 14/716,704, filed 19 May 2015, which is a continuation of U.S. patent application Ser. No. 12/735,430, filed 26 Oct. 2010 (now U.S. Pat. No. 9,060,518, issued 23 Jun. 2015), which is a National Stage entry of International Application No. PCT/EP2009/050347, filed 14 Jan. 2009, which claims priority to European Patent Application No. 08356006.0, tiled 15 Jan. 2008. The disclosures of the priority applications are incorporated in their entirety herein by reference.

DESCRIPTION

[0002]

The present invention relates to a pesticide composition intended for protecting plants, crops or seeds against fungal diseases or insect damages, and the corresponding methods of protection by application of the said composition. More precisely, the subject of the present invention is a pesticide composition based on a tetrazolyloxime derivative and a fungicide or an insecticide active substance or compound.

[0003]

As regards pesticide activity, in for the protection of crops, one of the problems at the heart of the research studies carried out in this technical field is the improvement of performances, in particular in terms of biological activity and in particular in terms of maintaining such an activity over time.

[0004]

The present invention provides a pesticide composition which can be used, in particular by the farmer, for controlling the pest infesting crops and in particular for controlling insects or diseases. The pesticide compounds useful for the protection of plants must be endowed with an ecotoxicity which is reduced to the minimum. As far as possible, they should not be dangerous or toxic to the operator during use. The economic factor should of course not be overlooked in the search for novel pesticide agents.

[0005]

The present invention advantageously provides a pesticide composition which is completely high-performing in particular as regards its efficacy against pests and the perenniallity of this efficacy so as to be able to reduce the doses of chemical products spread in the environment for combating pest damages or attacks of plants or crops.

[0006]

The invention provides a pesticide composition capable to be more active and active for longer, and which therefore has a lower dose, but which is also less toxic, in particular in the treatment of plants and particularly the foliar and seed treatments of fungal diseases or the control of insects, for example, of cereals, cotton, peanut, bean, beet, canola, Solanaceae, grapevine, vegetables, lucerne, soybean, market garden crops, turf, wood or horticultural plants.

[0007]

The composition according to the invention allows controlling a broad variety of insects or fungi. For example, the pesticide composition according to the invention exhibits an improved efficacy against fungus like Plasmodiophoromycetes, Oomycetes, Chytridiornyeetes, Zygomycetes, Basidiomycetes, Deuteromycetes and Ascomycetes.

[0008]

All these objectives or advantages, among others, were achieved by finding a pesticide composition comprising a tetrazolyloxime derivative and a fungicide or an insecticide compound. Such a composition surprisingly and unexpectedly allows a very high and perennial anti-fungal or insecticide efficacy against a broad spectrum of insects or fungi and in particular against those responsible for diseases or damages of crops. Other insect pests or diseases of crops can be controlled with the pesticide composition according to the invention.

[0009]

The pesticide composition according to the invention may also be used for the treatment of bacterial or virus diseases.

[0010]

Insects or nematodes that can be controlled with the pesticide composition according to the invention include a broad variety of these damaging organisms.

[0011]

In patent application US-2005/0070439 there are disclosed certain tetrazolyloxime derivatives. The possibility to mix said compounds with other chemicals is generally mentioned. However, there is no specific disclosure in this document of any combination comprising said tetrazolyloxime derivatives with a fungicide or an insecticide compound.

[0012]

In a main aspect, the present invention provides a composition comprising:

    • A) a tetrazolyloxime derivative of formula (I) and

[0000]

[0000]

wherein

    • X represents a hydrogen atom, a halogen atom, an alkyl group, an alkoxy group, a cyano group, a methanesulfonyl group, a nitro group, a trifluoromethyl group or an aryl group;
    • A represents a tetrazoyl group of formula (A1) or (A2):

[0000]

    • wherein Y represents an alkyl group ; and
    • Het represents a pyridyl group of formula (Het1) or a thiazolyl group of formula (Het2) ;

[0000]

    • wherein R represents a hydrogen atom or a halogen atom; Z represents a hydrogen atom, an amino group, a group of formula QC(═O)NH— wherein Q represents a hydrogen atom, an alkyl group having 1 to 8 carbon atoms, an alkyl group having 1 to 6 carbon atoms substituted by a halogen atom, a cycloalkyl group having 3 to 6 carbon atoms, an alkoxyl group having 1 to 8 carbon atoms, a cycloalkyloxy group having 3 to 6 carbon atoms, a benzyloxy group, a 2-phenylethyloxy group, a thioalkyl group substituted by an alkyl group having 1 to 4 carbon atoms, an alkyl group having 1 to 2 carbon atoms substituted by an alkoxyl group baying 1 to 4 carbon atoms, an alkyl group having I to 6 carbon atoms substituted by an acylamino group having 1 to 4 carbon atoms, an alkoxy group having 1 to 6 carbon atoms substituted by an acylamino group having 1 to 4 carbon atoms, an alkylamino group having 1 to 8 carbon atoms, an alkenyl group having 2 to 6 carbon atoms, an aralkyl group or a phenyl group ; and
    • B) a fungicide compound in an A/B weight ratio ranging from 0,001/1 to 1/1,000.

[0020]

In a further aspect, the present invention provides a composition comprising:

    • A) a tetrazolyloxime derivative of formula (I) wherein X, A and Het are as herein-defined:
    • B) a fungicide compound and
    • C) a second further fungicide compound in an A/B/C weight ratio ranging from 0,001/0.001/1 to 1/1,000/1,000.

[0024]

Still in a further aspect, the present invention provides a composition comprising:

    • A) a tetrazolyloxime derivative of formula (I) wherein X, A and Het are as herein-defined;
    • B) a fungicide compound and
    • D) an insecticide compound in an A/B/D weight ratio ranging 0,001/0.001/1 to 1/1,000/1,000.

[0028]

Still in aspect, the present inventionprovides a composition comprising:

    • A) a tetrazolyloxime derivative of formula (I) wherein X, A and Het are as herein-defined; and
    • D) an insecticide compound in an A/D weight ratio ranging from 1/1,000 to 1,000/1.

[0031]

Still in a further aspect, the present invention provides a composition comprising:

    • A) a tetrazolyloxime derivative of formula (I) wherein X, A and Het are as herein-defined;
    • B) a fungicide compound;
    • C) a second further fungicide compound and
    • D) an insecticide compound in an A/B/C/D weight ratio ranging from 0.001/0.001/0.001/1 to 1/1,000/1,000/1,000.

[0036]

In the tetrazolyloxime derivative of formula (I), the substitution position of X is not specifically limited and X represents a hydrogen atom, a halogen atom, an alkyl group, an alkoxy group, a cyano group, a methanesulfonyl group, a nitro group, a trifluoromethyl group or an aryl group, Examples of a halogen atom for X include a chlorine atom, a bromine atom, an iodine atom, and a fluorine atom. Among these halogen atoms, a chlorine atom or a fluorine atom is particularly preferable because the resulting compound is less likely to cause chemical injury and is generally superior in control activity.

[0037]

The alkyl group represented for X is preferably an alkyl group having 1 to 4 carbon atoms and specific examples thereof include a methyl group, an ethyl group, an n-propyl group, an isopropyl group, an n-butyl group, an isobutyl group, a sec-butyl group, and a tert-butyl group. Among these alkyl groups, a methyl group or a tert-butyl group is particularly preferable because the resulting compound is less likely chemical njury and is generally superior in control activity.

[0038]

The alkoxy group for X is preferably alkoxy group having 1 to 3 carbon atoms and specific examples thereof include a methoxy group, an ethoxy group, a propoxy group, and an isopropoxy group. Among these alkoxy groups, a methoxy group or an ethoxy group is particularly preferable because the resulting compound is less likely to cause chemical injury and is generally superior in control activity.

[0039]

Examples of aryl group for X include a phenyl group, a 4-tnethylphenyl group, and a chlorophenyl group. Among these aryl groups, a phenyl group is particularly preferable because the resulting compound is less likely to cause chemical injury and is generally superior in control activity.

[0040]

Among these, a hydrogen atom is most preferable.

[0041]

In the tetrazoyl group of formula (A1) or (A2), Y represents an alkyl group. Among these alkyl. groups, an alkyl group having 1 to 3 carbon atoms such as a methyl group, an ethyl group, an n-propyl group or an isopropyl group is preferable. Among these alkyl groups, a methyl group or an ethyl group is particularly preferable because the resulting compound is less likely to cause chemical injury and is generally superior in control activity.

[0042]

R in the pyridyl group of formula (Het1) represents a hydrogen atom or a halogen atom such as a chlorine atom, a bromine atom, an iodine atom or a fluorine atom. Among these, a hydrogen atom or a chlorine atom is particularly preferable because the resulting compound is less likely to cause chemical injury and is generally superior in control activity. Het in the tetrazolyloxime derivative of formula (I) is either a pyridyl group of formula (Het1) or a thiazoyl group of formula (Het1), while Z in the formula (Het'') or (Het1) represents a hydrogen atom, an amino group or a group of fbrmula QC(=O)NH. Q in the group of formula QC(=O)NH represents a hydrogen atom, a lower alkyl group, a lower alkyl group substituted by a halogen atom, a cycloalkyl group having 3 to 6 carbon atoms, a benzyloxy group, a 2-phenylethyloxy group, an alkoxy group having 1 to 8 carbon atoms, a cycloalkyloxy group having 3 to 6 carbon atoms, a lower alkyl group substituted by an alkoxy group having 1 to 6 carbon atoms, a thioalkyl group substituted by an alkyl group having I to carbon atoms, an alkyl group having 1 to 6 carbon atoms substituted by an acylamino group having 1 to 4 carbon atoms, an alkoxy group having 1 to 6 carbon atoms substituted by an acylamino group having 1 to 4 carbon atoms, an alkylamino group having 1 to 8 carbon atoms, an alkenyl group having 2 to 6 carbon atoms, an aralkyl group or a phenyl group. The lower alkyl group for Q is preferably an alkyl group having 1 to 8 carbon atoms and specific examples thereof include a methyl group, an ethyl group, an n-propyl group, an isopropyl group, a 1,1-dimethylpropyl group, an n-butyl group, an isobutyl group, a sec-butyl group, a tert-butyl group, an isoamyl group, a 1-methylbutyl group, a 2-methylbutyl group, an neopentyl group, a 1-ethylpropyl group, an n-pentyl group, a hexyl group, a heptyl group, and an octyl group.

[0043]

The lower alkyl group substituted by the halogen atom for Q is preferably an alkyl group having 1 to 6 carbon atoms substituted by a halogen atom and specific examples thereof include a chloromethyl group, a difluoromethyl group, a trifluoromethyl group, a difluorochloromethyl group, a pentafluoroethyl group, a 3,3,3-trifluoro-n-propyl group, and a I-chlorohexyl group. Specific Examples of cycloalkyl group having 3 to 6 carbon atoms for Q include a cyclopropyl group, a cyclobutyl group, a cyclopentyl group, and a cyclohexyl group. Specific Examples of alkoxy group having 1 to 8 carbon atoms for Q include a methoxy group, an ethoxy group, a propoxy group, an isopropoxy group, a 1,1-dimethylpropoxy group, a butoxy group, an isobutoxy group, a sec butoxy group, a tert-butoxy group, an isopentyloxy group, a 1-methylbutoxy group, a 2-methylbutoxy group, an neopentyloxy group, a 1-ethylpropoxy group, an n-pentyloxy group, a hexyloxy group, a heptyloxy group, and an oetyloxy group.

[0044]

Specific Examples of cycloalkyloxy group having 3 to 6 carbon atoms for Q include a cyclopropyloxy group, a cyclobutyloxy group, a cyclopentyloxy group, and a cyclohexyloxy group.

[0045]

Examples of alkyl group having 1 to 2 carbon atoms substituted by the alkoxy group having l to 4 carbon atoms for Q include a methoxymethyl group, an ethoxymethyl group, an ethoxyethyl group, and a butoxymethyl group.

[0046]

Specific Examples of alkylthio group substituted by the alkyl group having 1 to 4 carbon atoms for Q include a methylthiomethyl group, a methylthioethyl group, an ethylthiomethyl group, and a hutyithiomethyl group.

[0047]

Specific Examples of alkoxy group having 1 to 6 carbon atoms substituted by the acylamino group having 1 to 4 carbon atoms for Q include au acetylaminomethoxy group, a 2-propionylamino) ethoxy group, a 3-(acetylamino)propoxy group, a 3-(propionylamino)propoxy group, a 3-(isopropionylamino)propoxy group, a 3-(butyroylamino)propoxy group, a 3-(isobutyroylamino) propoxy group, a 3-(sec-butyroylamino)propoxy group, a 3-(tert-butyroylamino) propoxy group, a 4-(acetylamino)butoxy group, a 5-(acetylatnino)pentyloxy group, and a 6-(acetylamino)hexyloxy group.

[0048]

Specific Examples of alkyl group having 1 to 6 carbon atoms substituted by the acylamino group having 1 to 4 carbon atoms for Q include an acetylaminomethyl group, a 2-(propionylamino) ethyl group, a 3-(acetylamino)propyl group, a 3-(propionylamino)propyl group, a 3-(isopropionylamino)propyl group, a 3-(butyroylamino)propyl group, a 3-(isobutyroylamino) propyl group, a 3-(sec-butyroylamino)propyl group, 3-(tert-butyroylamino) propyl group, a 4-(acetylamino)butyl group, a 5-(acetylarnino)pentyl group, and a 6-(acetylamino)hexyl group.

[0049]

Specific Examples of alkylamino group having 1 to 8 carbon atoms for Q include a methylamino group, an ethylatnino group, a propylamino group, an isopropytamino group, a butylamino group, an isobutylamino group, a sec-butylamino group, a tert-butylamino group, an neopentylainino group, a 1-ethylpropylamino group, an napentylatnino group, a hexylatnino group, a heptylamino group, and an octylamino group.

[0050]

Specific Examples of alkenyl group having 2 to 6 carbon atoms for Q include an allyl group, an isopropenyl group, a 1-butenyl group, a 2-butenyl group, a 2-pentenyl group, and a 5-hexenyl group.

[0051]

Examples of aralkyl group for Q include a benzyl group and a phenethyl group. Among the compounds of formula (I), preferred is a tetrazolyloxime derivative wherein Z represents a group of formula QC(═O)NH— wherein Q represents an alkyl group having 1 to 8 carbon atoms or an alkoxyl group having I to 8 carbon atoms and Het represents a pyridyl group of formula (Het1) or a thiazoyl group of formula (Her), and particularly preferred is a tetrazolyloxime derivative wherein X represents a hydrogen atom or a halogen atom.

[0052]

The stereostructure of the oxime moiety present in the tetrazolyloxime derivative of formula (I) includes (E) or (Z) isomer, and these stereoisomers form part of the present invention. The synthesized product is generally obtained in the form of the (Z) isomer or a mixture of (E) and (Z) isomers, each of which can be isolated by separation or purification.

[0053]

In the tetrazolyloxime derivative of formula (I), the (Z) isomer is particularly superior to the (E) isomer in plant disease controlling activity. However, both the (E) isomer and the (Z) isomer generally exist in a fixed ratio in the form of a mixture since the (Z) isomer is generally converted into the (E) isomer by light in a natural environment. The stable ratios of the (E) and (Z) isomers vary according to the type of compound.

[0054]

For the different aspects of the composition according to the invention,fungicide compounds B and C can be independently selected in the list consisting of:

[0055]

(1) Inhibitors of the nucleic acid synthesis, for example benalaxyl, benalaxyl-M, bupirimate, clozylacon, dimethirimol, ethirimol, furalaxyl, hymexazol, metalaxyl, metalaxyl-M, ofurace, oxadixyl and oxolinic acid.

[0056]

(2) inhibitors of the mitosis and cell division, for example benomyl, carbendazim, chlorfenazole, diethofencarb, ethaboxam, fuberidazole, pencycuron, thiabendazole, thiophanate, and zoxamide.

[0057]

(3) Inhibitors of the respiration, for example diflumetorim as CI-respiration inhibitor; bixafen, boscalid, carboxin, fenfuram tiutulanil fluopyram, furarnetpyr, furmecyclox, isopyrazarn (9R-component), isopyrazam (9S-component), mepronil, oxycarboxin, penthiopyrad, sedaxane, thifluzamide as CH-respiration inhibitor; amisulbrom, azoxystrobin, cyazofamid, dimoxystrobin, enestroburin, famoxadone, fenamidone, fitioxastrobirt, kresoxim-methyl, metominostrobin, orysastrobin, picox:ystrobin, pyraclostrobin, pyribencarb, trifloxystrobin as CIII-respiration inhibitor.

[0058]

(4) Compounds capable to act as an uncoupler, like for example binapacryl, dinocap, fluazinam and ineptyldinocap.

[0059]

(5) Inhibitors of the ATP production, for example fentin acetate, fentin chloride, fentin hydroxide, and silthiofam.

[0060]

(6) Inhibitors of the amino acid and/or protein biosynthesis, for example andoprim, blasticidin-S, cyprodinil, kasugamycin, kasugamycin hydrochloride hydrate, mepanipyrim and pyrimethanil.

[0061]

(7) Inhibitors of the signal transduction, for example fenpiclonil, fludioxonil and quinoxyfen.

[0062]

(8) Inhibitors of the lipid and tiaembrane synthesis, for example biphenyl, chlozolima edifenphos, etridiazole, iodocarb, iprohenfos, iprodione, isoprothiolane, procymidone, propamocarb, propamocarb hydrochloride, pyrazophos, tolclofos-methyl and vinclozolin.

[0063]

(9) Inhibitors of the ergosterol biosynthesis, for example aldimorph, azaconazole, hitertanol, bromuconazole, cyproconazole, diclobutrazole, difenoconazole, diniconazole, diniconazole-M, dodemorph, dodemorph acetate, epoxiconazo le, etaconazole, fenarimol, fenbuconazole, fenhexamid, fenpropidin, fenpropimorph, fluquinconazole, flurprimidol, flusilazule, flutriafol, furconazole, furconazole-cis, hexaconazole, imazalil, imazalil sulfate, iinibenconazole, ipconazole, metconazole, myclobutanil, naftifine, nuarimol, oxpoconazole, paclobutrazol, pefurazoate, penconazole, piperalin, prochloraz, propiconazole, prothioconazole, pyributicarb, pyrifenox, quinconazole, simeconazole, spiroxamine, tebuconazole, terbinafine, tetraconazole, triad imefon, triadhnenol, tridemorph, triforine, triticonazole, viniconazole and voriconazole.

[0064]

(10) Inhibitors of the cell wall synthesis, for example benthim alicarb, dimethomorph, flumorph, iprovalicarb, mandipropamid, polyoxins, polyoxorlin, prothiocarb, validamycin A, and valiphenal.

[0065]

(11) Inhibitors of the melanine biosynthesis, for example carpropamid, diclocymet, fenoxanil, phthalide, pyroquilon and tricyclazote.

[0066]

(12) Compounds capable to induce a host defence, like for example acibenzolar-S-methyl, probenazole, and tiadinil.

[0067]

(13) Compounds capable to have a multisite action, like for example bordeaux mixture, captafol, captan, chlorothalonil, copper naphthenate, copper oxide, copper oxychloride, copper preparations such as copper hydroxide, copper sulphate, dichlofluanid, dithianon, dodine, dodine free base, ferbam, fluorofolpet, folpet, guazatine, guazatine acetate, iminoctadine albesilate, iminoctadine triacetate, mancopper, mancozeb, maneb, metiram, metiram zinc, oxine-copper, propamidine, propineb, sulphur and sulphur preparations including calcium polysulphide, thiram, tolylfluanid, zineb and ziram.

[0068]

(14) Further compounds like for example 2,3-dibutyl-6-chlorothieno[2,3-d]pyrimidin-4(3H)-one, ethyl (2Z)-3-amino-2-cyano-3-phenylprop-2-enoate, N-[2-(1,3-dimethylbutyl)phenyl]-5-fluoro-1,3-dimethyl-1H-pyrazole-4-carboxamide, 3-(difluoromethyl)-1-methyl-N-(3′,4′,5′-trifluorobiphenyl-2-yl)-1H-pyrazole-4-carboxamide, 3-(difluoromethyl)-N-[4-fluoro-2-(1,1,2,3,3,3-hexafluoropropoxy)phenyl]-1-methyl-1H-pyrazole-4-carboxamide, (2E)-2-(2-{[6-(3-chloro-2- methylphenoxy)-5-fluoropyrimidin-4-yl]oxy}phenyl)-2-(methoxylmino)-N-methylethanamide, (2E)-2-{2-[({[(2E,3E)-4-(2,6-dichlorophenyl)but-3-en-2-ylidene]amino}oxy)methyl]phenyl}-2-(methoxyimino)-N-methylethanamide, 2-chloro-N-(1,1,3-trimethyl-2,3-dihydro-1H-inden-4-yl)pyridine-3-carboxamide, N-(3-ethyl-3,5,5-trimethylcyclohexyl)-3-(formylamino)-2-hydroxybenzamide, 5-methoxy-2-methyl-4-(2-{[({1E)-1-[3-(trifluoromethyl)phenyl]ethylidene}amino)oxy]methyl}phenyl)-2,4-dihydro-3H-1,2,4-triazol-3-one, (2E)-2-(methoxyimino)-N-methyl-2-(2-{[({(1E)-1-[3-(trifluoromethyl)phenyl]ethylidene}amino) oxy]methyl}phenyl)ethanamide, (2E)-2-(methoxyimino)-N-methyl-2-{2-[(E)-({1-[3-(trifluoromethyl) phenyl]ethoxy}imino)methyl]phenyl}ethanamide, (2E)-2-{2-[({[(1E)-1-(3-{[(E)-1-fluoro-2-phenylethenyl]oxy}phenyl)ethylidene]amino}oxy)methyl]phenyl}-2-(methoxyimino)-N-methylethanamide, 1-(4-chlorophenyl)-2-(1H-1,2,4-triazol-1-yl)cycloheptanol, methyl 1-(2,2-dimethyl-2,3-dihydro-1H-inden-1-yl)-1H-imidazole-5-carboxylate, N-ethyl-N-methyl-N′-{2-methyl-5-(trifluoromethyl)-4-[3-(trimethylsilyl) propoxy]phenyl}imidoformamide, N′-{5-(difluoromethyl)-2-methyl-4-[3-(trimethylsilyl) propoxy]phenyl}-N-ethyl-N-methylimidoformamide, O-{1-[(4-methoxyphenoxy) methyl]-2,2-dimethylpropyl} 1H-imidazole-1-carbothioate, N-[2-(4-{[3-(4-chlorophenyl) prop-2-yn-1-yl]oxy}-3-methoxyphenyl)ethyl]-N2-(methylsulfonyl)valinamide, 5-chloro-7-(4-methylpiperdin-1-yl)-6-(2,4,6-trifluorophenyl) [1,2,4]triazolo [1,5-a]pyrimidine, 5-amino-1,3,4-thiadiazole-2-thiol, propamocarb-fosetyl, 1-[(4-methoxyphenoxy)methyl]-2,2-dimethylpropyl 1H-imidazole-1-carboxylate, 1-methyl-N-[2-(1,1,2,2-tetrafluoroethoxy)phenyl]-3-(trifluoromethyl)-1H-pyrazole-4-carboxamide, 2,3,5,6-tetrachloro-4-(methylsulfonyl)pyridine, 2-butoxy-6-iodo-3-propyl-4H-chromen-4-one, 2-phenylphenol and salts, 3-(difluoromethyl)-1-methyl-N-[2-(1,1,2,2-tetrafluoroethoxy) phenyl]-1H-pyrazole-4-carboxamide, 3,4,5-trichloropyridine-2,6-dicarbonitrile, 3-[5-(4-chlorophenyl)-2,3-dimethylisoxazolidin-3-yl]pyridine, 3-chloro-5-(4-chlorophenyl)-4-(2,6-difluorophenyl)-6-methylpyridazine, 4-(4-chlorophenyl)-5-(2,6-difluorophenyl)-3,6-dimethylpyridazine, quinolin-8-ol, quinolin-8-ol sulfate (2:1) (salt), 5-methyl-6-octyl-3,7-dihydro[1,2,4]triazolo[1,5-a]pyrimidin-7-amine, 5-ethyl-6-octyl-3,7-dihydro [1,2,4]triazolo[1,5-a]pyrimidin-7-amine, benthiazole, bethoxazin, capsimycin, carvone, chmomethionat, chloroneb, cut cyflufenamid, cyinoxanil, cyprosulfamide, dazomet, debacarb, dichlorophen, diclomezine, dicloran, difenzoquat, difenzoquat methylsulphate, diphenylamine, ecomate, ferimzone, flutnetover, fluopicolide, fluoroimide, flusulfamide, flutianil, fosetyl-aluminium, fosetyl-calcium, fosetyl-sodium, hexachlorobenzene, irumamycin, isotianil, methasulfocarb, methyl (2E)-2-{2-[({cyclopropyl[(4-methoxyphenyl) imino]methyl}thio)methyl]phenyl}-3-methoxyacrylate, methyl isothiocyanate, metrafenone, (5-chloro-2-methoxy-4-methylpyridin-3-yl)(2,3,4-trimethoxy-6-methylphenyl) methanone, mildiomycin, tolnifanide, N-(4-chlorobenzyl)-3-[3-methoxy-4-(prop-2-yn-1-yloxy) phenyl]propanamide, N-[(4-chlorophenyl)(cyano)methyl]-3-[3-methoxy-4-(prop-2-yn-1-yloxy) phenyl]propanamide, N-[5-bromo-3-chloropyridin-2-yl)methyl]-2,4-dichloropyridine-3-carboxamide, N-[1-(5-bromo-3-chloropyridin-2-yl)ethyl]-2,4-dichloropytidine-3-carboxamide, N-[1-(5-bromo-3-chloropyridin-2-yl)ethyl]-2-fluoro-4-iodopyridine-3-carboxamide, N-{(Z)-[(cyclopropylmethoxy)imino][6-(difluoromethoxy)-2,3-difluorophenyl]methyl}-2-phenylacetamide, N-{(E)-[(cyclopropylmethoxy)imino][6-(difluoromethoxy)-2,3-difluorophenyl]methyl}-2-phenylacetamide, natamycin, nickel dimethyldithiocarbamate, nitrothal-isopropyl, octhilinone, oxamocarh, oxyfenthiin, pentachlorophenol and salts, phenazine-1-carboxylic acid, phenothrin, phosphorous acid and its salts, propamocarb fosetylate, propanosine-sodium, proquirtazid, pyrrolnitrine, quintozene, S-prop-2-en-1-yl 5-amino-2-(1-methylethyl)-4-(2-methylphenyl)-3-oxo-2,3-dihydro-1H-pyrazole-1-carbothioate, tecloftalam, tecnazene, diazoxide, trichlamide, 5-chloro-N′-phenyl-N′-prop-2-yn-1-ylthiophene-2-sulfonohydrazide, zarilamid, N-methyl-2-(1-{[5-methyl-3-(trifluoromethyl)-1H-pyrazol-1-yl]acetyl}piperidin-4-yl)-N-[(1R)-1,2,3,4-tetrahydronaphthalen-1-yl]-1,3-thiazole-4-carboxamide, N-methyl-2-(1-{[5-methyl-3-(trifluoromethyl)-1H-pyrazol-1-yl]acetyl}piperidin-4-yl)-N-(1,2,3,4-tetrahydronaphthalen-1-yl)-1,3-thiazole-4-carboxamide, 3-(difluoromethyl)-N-[4-fluoro-2-(1,1,2,3,3,3-hexafluoropropoxy) phenyl]-1-methyl-1H-pyrazole-4-carboxamide and pentyl {6-[({[(1-methyl-1H-tetrazol-5-yl) (phenyl)methylidene]amino}oxy)methyl]pyridin-2-yl}carbamate.

[0069]

For the composition according to the invention, preferred fungicide compounds B and C are independently selected in the list consisting of:

    • B3) azoxystrobin, boscalid, cyazofamid, fenamidone, fluoxastrobin, pyraciostrobin, trifloxystrobin;
    • B4) fluazinam;
    • B7) fludioxonil;
    • B8) iprodione, propamocarb, propamocarb hydrochloride;
    • B9) prothioconazole, tebuconazole, triadimenol;
    • B10) benthiavalicarb, iprova Heath, mandipropamid;
    • B13) chlorothalonil, folpet, mancozeb, propineb;
    • B14) cymoxanil, fluopicolide, fosetyl-aluminium, propamocarb-fosetylate, bixafen also known as N-(3′,4′-fluorobiphenyl-2-yl)-3-(difluoromethyl)-1-methyl-1H-pyrazole-4-carboxamide, fluopyram also known as N-{2-[3-chloro-5-(trifluoromethyl)pyridin-2-yl]ethyl}-2-(trifluoromethyl) benzamide and N-[2-(1,3-dimethyl-butyl)-phenyl]-5-fluoro-1,3-dimethyl-1H-pyrazole-4-carboxamide.

[0078]

For the different aspects of the composition according to the invention, insecticide compound D is preferably selected in the list consisting of:

[0000]

(D1) Acetylcholinesterase (ACNE) inhibitors, for example carbamates, e.g. alanycarb, aldicarb, aldoxycarb, allyxycarb, aminocarb, bendiocarb, benfuracarb, bufenearb, butacarb, butocarboxim, butoxycarboxim, carbaryl, carbofuran, carbosulfan, cloethocarb, dimetilan, ethiofencarb, fenobucarb, fenothiocarb, formetanate, furathiocarb, isoprocarb, metam-sodium, methiocarh, rnethomyl, metolcarb, oxamyl, pirimicarb, promecarb, propoxur, thiodicarb, thio-fanox, trimethacarb, XMC, and xylylcarb; or organophosphates, e.g. acephate, azamethiphos, azinphos (-methyl, -ethyl), bromophos-ethyl, bromfenvinfos (-methyl), butathiofos, cadusafos, carbophenothion, chlorethoxyfos, chlorfenvinphos, chlormephos, chlorpyrifos (-methyl/-ethyl), coumaphos, cyanofenphos, cyanophos, chlorfenvinphos, demeton-S-methyl, demeton-S-methylsulphon, dialifos, diazinon, dichlofenthion, dichlorvos/DDVP, dicrotophos, dimethoate, dimethylvinphos, dioxabenzofos, disulfoton, EPN, ethion, ethoprophos, etrimfos, famphur, fenanriphos, fenitrothion, fensulfothion, fenthion, flupyrazofos, fonofos, formothion, fosmethilan, fosthiazate, heptenophos, iodofenphos, iprohenfos, isazofos, isofenphos, isopropyl, O-salicylate, isoxathion, malathion, mecarbam, methacrifos, methamidophos, methidathion, mevinphos, monocrotophos, naled, omethoate, oxydemeton-methyl, parathion (-methyl/-ethyl), phenthoate, phorate, phosalone, phosniet, phosphamidon, phosphocarb, phoxim, pirimiphos (-methyl/-ethyl), profenofos, propaphos, propetamphos, prothiofos, prothoate, pyraclofos, pyridaphenthion, pyridathion, quinalphos, sebufos, sulfotep, sulprofos, tebupirimfos, temephos, terbufos, tetrachlorvinphos, thiometon, triazophos, triclorfon, vamidothion, and imicyafos.
(D2) GABA-gated chloride channel antagonists, for example
organochiorines, e.g. camphechlor, chlordane, endosulfan, gamma-HCH, HCH, heptachlor, lindane, and methoxychlor; or
fiproles (phenylpyrazoles), acetoprole, ethiprole, fipronil, pyrafluprole, pyriprole, and vaniliprole.
(D3) Sodium odulators/voltage-dependent sodium channel blockers, for example
pyrethroids, e.g. acrinathrin, allethrin (d-cis-trans, d-trans), beta-cyfluthrin, bifenthrin, bioallethrin, bioallethrin S-cyclopentyl isomer, bioethanomethrin, biopermethrin, bioresmethrin, chlovaporthrin, cis-cypermethrin, cis-resmethrin, cis-permethrin, clocythrin, cycloprothrin, cyfluthrin, cyhalothrin, eypermethrin (alpha-, beta-, theta-, zeta-), cyphenothrin, deltamethrin empenthrin (1R isomer), esfenvalerate, etofenprox, fenfluthrin, fenpropathrin, fenpyrithrin, fenvalerate, flubrocythrinate, flucythrinate, flufenprox, flumethrin, fluvalinate, fubfenprox, gamma-cyhalothrin, imiprothrin, kadethrin, lambda-cyhatothrin, metofluthrin, permethrin (cis-, trans-), phenothrin (1R trans isomer), prallethrin, profluthrin, protrifenbute, pyresmethrin, resmethrin, RU 15525, silafluofen, tau-fluvalinate, tefluthrin, terallethrin, tetramethrin (-1R-isomer), tralomethrin, transfluthrin, ZXI 8901, pyrethrin (pyrethrum), eflusilanat; DDT; methoxychlor.
(D4) Nicatinergic acetylcholine receptor agonists/antagonists, for example
chloronicotinyls, e.g. clothianidin, dinotefuran, imidacloprid, imidaclothiz, nitenpyram, nithiazine, thiacloprid, thiamethoxam, AK_D-1022, nicotine, bensultap, cartap, thiosultap-sodium, and thiocylam.
(D5) Allosteric acetylcholine receptor modulators (agonists), for example spinosyns, e.g. spinosad and spinetoram.
(D6) Chloride channel activators, for example mectins/macrolides, e.g. abamectin, emamectin, emamectin benzoate, ivermectin, lepimectin, and milbemectin; or juvenile hormone analogues, e.g. hydroprene, kinoprene, methoprene, epofenonane, triprene, fenoxycarb, pyriproxifen, and diofenolan.
(D7) Active gredients with unknown or non-specific mechanisms of action, for example gassing agents, e.g. methyl bromide, chloropicrin and sulfuryl fluoride;
selective antifeedants, e.g. cryolite, pymetrozine, pyrifluquinazon and flonicamid; or
mite growth inhibitors, e.g. clofentezinc, etoxazole.
(D8) Oxidative phosphorylation inhibitors, ATP disruptors, for example
diafenthiuron; organotin compounds, e.g. azocyclotin, cyhexatin and fenbutatin oxide; or propargite, tetradifon.
(D9) Oxidative phoshorylation decouplers acting by interrupting the H proton gradient, example chlorfenapyr, binapacryl, dinobuton, dinocap and DNOC.
(D10) Microbial disruptors of the insect gut membrane, for example Bacillus thuringiensis strains.
(D11) Chitin biosynthesis inhibitors, for example benzoylureas, e.g. bistrifluron, chlorfluazuron, diflubenzuron, fluazuron, flucycloxuron, flufenoxuron, hexaflumuron, lufenuron, novaluron, noviflumuron, penfluron, teflubenzuron or triflumuron.

(D12) Buprofezin.

[0079]

(D13) Moulting disruptors, for example cyromazine.
(D14) Ecdysone agonists/disruptors, for example diacylhydrazines, e.g. chromafenozide, halofenozide, methoxyfenozide, tebufenozide, and Fufenozide (JS118); or azadirachtin.
(D15) Octopaminergic agonists, for example amitraz.
(D16) Site III electron transport inhibitors/site II electron transport inhibitors, for example hydramethylnon; acequinocyl; or cyflumetofen and cyenopyrafen.
(D17) Electron transport inhibitors, for example site I electron transport inhibitors, from the group of the METI acaricides, e.g. fenazaquin, fenpyroximate, pyrimidifen, pyridaben, tebufenpyrad, tolfenpyrad, and rotenone; or voltage-dependent sodium channel blockers, e.g. indoxacarb and metaflumizone.
(D18) Fatty acid biosynthesis inhibitors, for example tenonic acid derivatives, e.g. spirodiclofen and spiromesifen; or tetramic acid derivatives, e.g. spirotetramat.
(D19) Neuronal inhibitors with unknown mechanism of action, e.g. hifenazate.
(D20) Ryanodine receptor effectors, for example diamides, e.g. flubendiamide, (R),(S)-3-chloro-N1-{2-methyl-4-[1,2,2,2-tetrafluoro-1-(trifluoromethyl) ethyl]phenyl}-N2-(1-methyl-2-methylsulphonylethyl) phthalamide, chlorantraniliprole (Rynaxypyr), or Cyantranitiprole (Cyazypyr).
(D21) Further active ingredients with unknown mechanism of action, for example amidoflumet, benclothiaz, benzoximate, bromopropylate, buprofezin, chinomethionat, chlordimeform, chlorobenzilate, clothiazoben, cycloprene, dicofol, dicyclanil, fenoxacrim, fentrifanil, flubenzimine, flufenerim, flutenzin, gossyplure, japonilure, metoxadiazone, petroleum, potassium oleate, pyridalyl, sulfluramid, tetrasul, triarathene or verbutine; or one of the following known active compounds
4-{[(6-brompyrid-3-yl)methyl](2-fluorethyl)amino}furan-2(5H)-on (known from WO 2007/115644), 4-{[(6-fluorpyrid-3-yl)methyl](2,2-difluorethyl)amino}furan-2(5H)-on (known from WO 2007/1115644), 4-{[(2-chlor-1,3-thiazol-5-yl)methyl](2-fluorethyl)amino}furan-2(5H)-on (known from WO 2007/115644), 4-{[(6-chlorpyrid-3-yl)methyl](2-fluorethyl) amino}furan-2(5H)-on (known from WO 2007/115644), 4-{[(6-chlorpyrid-3-yl) methyl](2,2-dithiorethyl)amino}furan-2(5H)-on known from WO 2007/115644), 4-{[(6-chlor-5-fluorpyrid-3-yl) methyl](methyl)amino}furan-2(5H)-on (known from WO 2007/115643), 4-{[(5,6-dichlorpyrid-3-yl)methyl](2-fluorethyl)amino}furan-2(5H)-on (known from WO 2007/115646), 4-{[(6-chlor-5-fluorpyrid-3-yl)methyl](cyclopropyl)amino}furan-2(5H)-on (known from WO 2007/115643), 4-{[(6-chlorpyrid-3-yl) methyl](cyclopropyl)amino}furan-2(5H)-on (known from EP-A-0 539 588), 4-{[(6-chlorpyrid-3-yl) methyl](methyl)amino}furan-2(5H)-on (known from EP-A-0 539 588), [(6-chlorpyridin-3-yl) methyl](methyl)oxido-λ4-sulfanylidencyanamid (known from WO 2007/149134), [1-(6-chlorpyridin-3-yl)ethyl](methyl)oxido-λ4-sulfanylidencyanamid (known from WO 2007/149134) and its diastereomeres (A) and (B)

[0000]

[0080]

(also known from WO 2007/149134), [(6-trifluormethylpyridin-3-yl)methyl](methyl)oxido-λ4-sulfanylidencyanamid (known from WO 2007/095229), or [1-(6-trilluormethylpyridin-3-yl) ethyl](methyl)oxido-λ4-sulfanylidencyanamid (known from WO 2007/149134) and its diastereomeres (C) and (D), namely Sulfoxaflor

[0000]

[0000]

(also known from WO 2007/149134).

[0081]

The active ingredients specified in this description by their “common name” are known, for example, from “The Pesticide Manual”, 13th Ed., British Crop Protection Council 2003, and from the Web page www(dot)alanwood(dot)net/pesticides.

[0082]

For the various aspects of the composition according to the invention, more preferred insecticide compounds are selected in the list consisting of imidacloprid and clothianidin.

[0083]

For the composition according to the invention, the A/B weight ratio preferablyges from 1/0.01 to 1/100; inure preferably from 1/0.05 to 1/80.

[0084]

For the composition according to the invention, the A/B/C or A/B/D weight ratio preferably ranges from 1/0.01/0.01 to 1/100/100; more preferably from 1/0.05/0.05 to 1/80/80.

[0085]

For the composition according to the invention, the A/B/C/D weight ratio preferably ranges from 1/0.01/0.01/0.1 to 1/100/100/100; inure preferably from 1/0.05/0.05/0,5 to 1/80/80/80.

[0086]

Particular compositions according to the invention are defined as combining all or part of:

    • preferred oxime compounds of formula (I) as herein-defined;
    • preferred fungicide compounds B;
    • preferred fungicide compounds C;
    • preferred insecticide compounds D;
    • preferred weight ratios of active substances.

[0092]

According to another aspect of the present invention, in the pesticide composition according to the invention, the compound ratio A/B can be advantageously selected so as to produce a synergistic effect. The term synergistic effect is understood to mean in particular that defined by Colby in an article entitled “Calculation of the synergistic and. antagonistic responses of herbicide combinations” Weeds, (1967), 15, pages 20-22.

[0093]

The latter article mentions the formula:

[0000]

E=X+Y-XY100

[0094]

wherein E represents the expected percentage of inhibition of the pest for the combination of the two compounds at defined doses (for example equal to x and y respectively), X is the percentage of inhibition observed for the pest by compound A at a defined dose (equal to x), Y is the percentage of inhibition observed for the pest by compound B at a defined dose (equal to y). When the percentage of inhibition observed for the combination is greater than E, there is a synergistic effect.

[0095]

The term “synergistic effect” also means the effect defined by application of the Tammes method, “Isoboles, a graphic representation of synergism in pesticides”, Netherlands Journal of Plant Pathology, 70(1964), pages 73-80.

[0096]

According to another aspect of the present invention, in the pesticide composition according to the invention, the compound ratio A/B/C can be advantageously selected so as to produce a synergistic effect. The term synergistic effect is understood to mean in particular that defined by Colby in an article entitled “Calculation of the synergistic and antagonistic responses of to herbicide combinations” Weeds, (1967), 15, pages 20-22.

[0097]

The latter article mentions the formula:

[0000]

E=X+Y+Z-XYZ100

[0000]

wherein E represents the expected percentage of inhibition of the pest for the combination of the three compounds at defined doses (for example equal to x, y and z respectively), X is the percentage of inhibition observed for the pest by compound A at a defined dose (equal to x), is the percentage of inhibition observed for the pest by compound B at a defined dose (equal to y) and Z is the percentage of inhibition Observed for the pest by compound C at a defined dose (equal to z). When the percentage of inhibition observed for the combination is greater than E, there is a synergistic effect.

[0098]

The term “synergistic effect” also means the effect defined by application of the Tammes method, “Isoboles, a graphic representation of synergism in pesticides”, Netherlands Journal of Plant Pathology, 70(1964), pages 73-80.

[0099]

Synergistic compositions comprising further active substances also form part of the present invention, the associated synergistic effect can he evidenced in a similar manner.

[0100]

The pesticide composition according to the invention may comprise from 0.00001 to 100%, preferably from 0.001 to 80%, of active compounds, whether these compounds are combined or whether they are in the form of two or more active ingredients used separately. More generally, the pesticide composition according to the invention may eventually also comprise one or more other active substances selected from fungicide, herbicide, insecticide or plant growth regulator active compounds.

[0101]

In addition to these additional active agents, the pesticide composition according to the invention may also comprise any other adjuvants or auxiliary agent useful in plant protection formulations such as, for example, an agriculturally suitable inert carrier and optionally an agriculturally suitable surfactant.

[0102]

For its practical use, the pesticide composition according to the invention can be used alone or in formulations containing one or the other of the active ingredients or alternatively both of them together, in combination or association with one or more other compatible components which are, for example, solid or liquid fillers or diluents, adjuvants, surfactants or equivalents, which are suitable for the desired use and which are acceptable for uses in agriculture. The formulations can be of any type known in the sector that is suitable for application onto all types of cultures or crops. These formulations, which can be prepared in any manner known by the skilled person, also form part of the invention.

[0103]

The formulations may also contain ingredients of other types, such as protective colloids, adhesives, thickeners, thixotropic agents, penetrating agents, oils for spraying, stabilisers, preserving agents (in particular mould-proofing or biocide agents), sequestering or chelating agents or the like. More generally, the compounds used in the invention can be combined with any solid or liquid additives corresponding to the usual formulation techniques.

[0104]

The term “filler” means an organic or inorganic, natural or synthetic component with which the active components are combined to facilitate its application, for example, onto the plants, the seeds or the soil. This filler is consequently generally inert and it must be acceptable (for example acceptable for agronomic uses, in particular for treating plants).

[0105]

The filler can be solid, for example clays, natural or synthetic silicates, silica, resins, waxes, solid fertilizers (for example ammonium salts), natural soil minerals, such as kaolins, clays, talc, lime, quartz, attapulgite, montmorillonite, bentonite or diatomaceous earths or synthetic minerals, such as silica, alumina or silicates, in particular aluminium or magnesium silicates. The solid fillers which are suitable for granules are as follows: natural, crushed or broken rocks, such as calcite, marble, pumice, sepiolite and dolomite; synthetic granules of inorganic or organic flours; granules of organic material such as sawdust, coconut shell, corn ear or envelope or tobacco stem; kieselguhr, tricalcium phosphate, powdered cork or adsorbent carbon black; water-soluble polymers, resins, waxes; or solid fertilizers. Such composition may, if so desired, contain one or more compatible agents such as wetting agents, dispersing agents, emulsifiers or colourings which, when they are solid, may also act as diluents.

[0106]

The filler may also be liquid, example: water, alcohols, in particular butanol or glycol, as well as ethers or esters thereof, in particular methyl glycol acetate; ketones, in particular acetone, cyclohexanone, methyl ethyl ketone, methyl isobutyl ketone or isophorone; petroleum fractions such as paraffinic or aromatic hydrocarbons, in particular xylenes or alkylnaphthalenes; mineral or plant oils; aliphatic chlorohydrocarbons, in particular trichloroethane or methylene chloride; aromatic chlarohydrocarbons, in particular chlorobenzenes; water-soluble or highly polar solvents such as dimethylformamide, dimethyl sulphoxide, N,N-dimethyl-acetamide or N-methylpyrrolidone; N-octylpyrrolidone, liquefied gases; or the like, whether they are taken separately or as a mixture.

[0107]

The surfactant can be an emulsifier, a dispersing agent or a wetting agent, of ionic or nonionic type or a mixture of these surfactants. Among those surfactants there are used, for example, polyacrylic acid salts, lignosulphonic acid salts, phenolsulphonic or naphthalenesulphonic acid salts, polycondensates of ethylene oxide with fatly alcohols or fatty acids or fatty esters or fatty amines, substituted phenols (in particular alkylphenols or arylpheuols), ester-salts of sulphosuccinic acid, taurine derivatives (in particular alkyl taurates), phosphoric esters of alcohols or of polycondensates of ethylene oxide with phenols, fatty acid esters with polyols or sulphate, sulphonate or phosphate functional derivatives of the compounds described above. The presence of at least one surfactant is generally essential when the active ingredients and/or the inert filler are insoluble or only sparingly soluble in water and when the filler for the said composition to be applied is water.

[0108]

The formulations may also contain other additives such as adhesives or dyes. Adhesives such as carboxymethylcellulose or natural or synthetic polymers in the form of powders, granules or matrices, such as gum arabic, latex, polyvinylpyrrolidone, polyvinyl alcohol or polyvinyl acetate, natural phospholipids, such as cephalins or lecithins or synthetic phospholipids can be used in the formulations. It is possible to use colourings such as inorganic pigments, such as, for example: iron oxides, titanium oxides, Prussian blue; organic colouring stuffs, such as those of the alizarin, azo or metal phthalocyanin type; or of trace elements such as iron, manganese, boron, copper, cobalt, molybdenum or zinc salts.

[0109]

The form of the pesticide composition according to the invention be selected in a large number of formulations, such as aerosol dispenser; suspension of capsules; cold fogging concentrate; dustable powder; emulsifiable concentrate; aqueous/aqueous type emulsion; oil/inverse type emulsion; encapsulated granule; fine granule; suspension concentrate for seed treatment; compressed gas; gas generating product; granule; hot fogging concentrate; macrogranule; inicrogranule; oil-dispersible powder; oil miscible suspension concentrate; oil-miscible liquid; paste; plant rodlet; powder for dry seed treatment; seeds coated with a pesticide; smoke maydle; smoke cartridge; smoke generator; smoke pellet; smoke rodlet; smoke tablet; smoke tin; soluble concentrate; soluble powder; solution for seed treatment; suspension concentrate (=fiowable concentrate); uhra low volume liquid; ultra low volume suspension; vapour releasing product; water-dispersible granules or tablets; water dispersible powder for slurry treatment; water-soluble granules or tablets; water-soluble powder for seed treatment; wettable powder.

[0110]

The pesticide composition according to the present invention covers not only the compositions which are ready to be applied to the crop by means of a suitable device, such as a spraying device, but also the commercial concentrated composition which have to be diluted before application to the crop.

[0111]

The pesticide composition herein described is used in general for application to growing plants or to sites where crops are grown or intended to grow or for the treatment, coating or film-coating of seeds.

[0112]

According to the present invention, seeds may comprise any propagation materials, like for example seeds, fruit, tubers, grains, roots, rhizomes, parts of plants.

[0113]

The pesticide composition according to the invention may also be applied to the vegetation and in particular to the leaves infested or capable of being infested with the phytopathogenic fungi or damaged by insects. Another method of applying the pesticide composition according to the invention is to add a formulation containing the active ingredients to the irrigation water.

[0114]

According to another object of the present invention, there is provided a method for controlling the phytopathogenic fungi or damaging insects of plants, crops or seeds, characterized in that an agronomically effective and substantially non--phytotoxic quantity of a pesticide composition according to the invention is applied as seed treatment, foliar application, stem application, drench or drip application (chemigation) to the seed, the plant or to the fruit of the plant or to soil or to inert substrate (e.g. inorganic substrates like sand, rockwool, glasswool; expanded minerals like perlite, vermiculite, zeolite or expanded clay), Pumice, Pyroclastic materials or stuff, synthetic ganie substrates (e.g. polyurethaneorganic) substrates (e.g. peat, composts, tree waste products like coir, wood fibre or chips, tree hark) or to a liquid substrate (e.g. floating hydroponic systems, Nutrient Film Technique, Aeroponics) wherein the plant is growing or wherein it is desired to grow.

[0115]

The expression “are applied to the plants to be treated” is understood to mean, for the purposes of the present invention, that the pesticide composition which is the subject of the invention can be applied by means of various methods of treatment such as:

    • spraying onto the aerial parts of the said plants a liquid comprising one of the said compositions,
    • dusting, the incorporation into the soil of granules or powders, spraying, around the said plants, and in the case of trees injection or daubing,
    • coating or film-coating the seeds of the said plants with the aid of a plant-protection mixture comprising one of the said compositions.

[0119]

The method according to the invention may either be a curing, preventing or eradicating method.

[0120]

In this method, a composition used can be prepared beforehand by mixing WO or more active compounds according to the invention.

[0121]

According to an alternative of such a method, it is also possible to apply simultaneously, successively or separately compounds (A), (B), (C) or (D) so as to have the conjugated (A)/(B) /(C)/(D) effects, of distinct compositions each containing one or more active ingredients (A), (B), (C) or (D).

[0122]

The dose of active compound usually applied in the method of treatment according to the invention is generally and advantageously

    • for foliar treatments: from 0.1 to 10,000 g/ha, preferably from 10 to 1,000 g/ha, more preferably from 50 to 300g/ha; in case of drench or drip application, the dose can even be reduced, especially while using inert substrates like rockwool or perlite;
    • for seed treatment: from 2 to 200 g per 100 kilogram of seed, preferably from 3 to 150 g per 100 kilogram of seed;
    • for soil treatment: from 0.1 to 10,000 g/ha, preferably from 1 to 5,000 g/ha.

[0126]

The doses herein indicated are given as illustrative Examples of method according to the invention, A person skilled in the art will know how to adapt the application doses, notably according to the nature of the plant or crop to be treated.

[0127]

Under specific conditions, for example according to the nature of the phytopathogenic fungus to be treated or insect to control, a lower dose may offer adequate protection. Certain climatic conditions, resistance or other factors like the nature of the phytopathogenic fungi or damaging insect to be eliminated or the degree of infestation, for example, of the plants with these fungi, may require higher doses of combined active ingredients.

[0128]

The optimum dose usually depends on several factors, for example on the type of to phytopathogenic fungus to be treated or insect to control, on the type or level of development of the infested plant, on the: density of vegetation or alternatively on the imethod of application.

[0129]

Without it being limiting, the crop treated with the pesticide composition or combination according to the invention is, for example, grapevine, but this could be cereals, vegetables, lucerne, soybean, market garden crops, turf, wood, tree or horticultural plants.

[0130]

The method of treatment according to the invention may also be useful to treat propagation material such as tubers or rhizomes, but also seeds, seedlings or seedlings pricking out and plants or plants pricking out. This method of treatment may also be useful to treat roots. The method of treatment according to the invention may also be useful to treat the over-ground parts of the plant such as trunks, stems or stalks, leaves, flowers and fruit of the concerned plant.

[0131]

According to the invention all plants and plant parts can be treated. By plants is meant all plants and plant populations such as desirable and undesirable wild plants, cultivars and plant varieties (whether or not protectable by plant variety or plant breeder's rights), Cultivars and plant varieties can be plants obtained by conventional propagation and breeding methods which can be assisted or supplemented by one or more biotechnological methods such as by use of double haploids, protoplast fusion, random and directed mutagenesis, molecular or genetic markers or by bioengineering and genetic engineering methods. By plant parts is meant all above ground and below ground parts and organs of plants such as shoot, leaf, blossom and root, whereby for example leaves, needles, stems, branches, blossoms, fruiting bodies, fruits and seed as well as roots, corms and rhizomes are listed. Crops and vegetative and generative propagating material, for example cuttings, comas, rhizomes, runners and seeds also belong to plant parts.

[0132]

Among the plants that can be protected by the method according to the invention, mention may be made of major field crops like corn, soybean, cotton, Brassica oilseeds such as Brassica napus (e.g. canola), Brassica rapa, B. juncea (e.g. mustard) and Brassica carinala, rice, wheat, sugarbeet, sugarcane, oats, rye, barley, millet, triticale, flax, vine and various fruits and vegetables of various botanical taxa such as Rosaceae sp. (for instance pip fruit such as apples and pears, but also stone huh such as apricots, cherries, almonds and peaches, berry fruits such as strawberries), Ribesioidae sp., Aglandaceae sp., Betulaceae sp., Anacardiaceae sp., Fagaceae sp., Moraceae sp., Oleaceae sp., Actinidaceae sp., Lauraceae sp., Musaceae sp. (for instance banana trees and plantings), Rubiaceae sp. (for instance coffee), Theaceae sp., Sterculiceae sp., Rutaceae sp. (for instance lemons, oranges and grapefruit); Solanaceae sp. (for instance tomatoes, potatoes, peppers, eggplant), Liliaceae sp., Compositiae sp. (for instance lettuce, artichoke and chicory—including root chicory, endive or common chicory), Umbelliferae sp. (for instance carrot, parsley, celery and celeriac), Cucurbitaceae sp. (for instance cucutriber—including pickling cucumber, squash, watermelon, gourds and melons), Alliaceae sp. (for instance onions and leek), Cruciferae sp. (for instance white cabbage, red cabbage, broccoli, cauliflower, brussel sprouts, pak Choi, kohlrabi, radish, horseradish, cress, Chinese cabbage), Leguminosae sp. (for instance peanuts, peas and beans beans—such as climbing beans and broad beans), Chenopodiaceae sp. (for instance marigold, spinach beet, spinach, beetroots), Malvaceae (for instance okra), Asparagaceae (for instance asparagus); horticultural and forest crops; ornamental plants; as well as genetically modified homologues of these crops.

[0133]

The product, composition and method of treatment according to the invention can be used in the treatment of genetically modified organisms (GMOs), e.g. plants or seeds. Genetically modified plants (or transgenic plants) are plants of which a heterologous gene has been stably integrated into genome. The expression “heterologous gene” essentially means a gene which is provided or assembled outside the plant and when introduced in the nuclear, chloroplastic or mitochondrial genome gives the transformed plant new or improved agronomic or other properties by expressing a protein or polypeptide of interest or by downregulating or silencing other gene(s) which are present in the plant (using for example, antisense technology, cosuppression technology or RNA interference—RNAi—technology). A heterologous gene that is located in the genome is also called a transgene, A transgene that is defined by its particular location in the plant genome is called a transformation or transgenic event.

[0134]

Depending on the plant species or plant cultivars, their location and growth conditions (soils, climate, vegetation period, diet), the treatment according to the invention may also result in superadditive (“synergistic”) effects. Thus, for example, reduced application rates and/or a widening of the activity spectrum and/or an increase in the activity of the active compounds and compositions which can be used according to the invention, better plant growth, increased tolerance to high or low temperatures, increased tolerance to drought or to water or soil salt content, increased flowering performance, easier harvesting, accelerated maturation, higher is harvest yields, bigger fruits, larger plant height, greener leaf color, earlier flowering, higher quality andlor a higher nutritional value of the harvested products, higher sugar concentration within the fruits, better storage stability and/or processability of the harvested products are possible, which exceed the effects which were actually to be expected.

[0135]

At certain application rates, the active compound combinations according to the invention may also have a strengthening effect in plants. Accordingly, they are also suitable for mobilizing the defense system of the plant against attack by unwanted microorganisms. This may, if appropriate, be one of the reasons of the enhanced activity of the combinations according to the invention, for example against fungi. Plant-strengthening (resistance-inducing) substances are to be understood as meaning, in the present context, those substances or combinations of substances which are capable of stimulating the defense system of plants in such a way that, when subsequently inoculated with unwanted microorganisms, the treated plants display a substantial degree of resistance to these microorganisms. In the present case, unwanted microorganisms are to be understood as meaning phytopathogenic fungi, bacteria and viruses. Thus, the substances according to the invention can be employed for protecting plants against attack by the abovementioned pathogens within a certain period of time after the treatment. The period of time within which protection is effected generally extends from 1 to 10 days, preferably 1 to 7 days, after the treatment of the plants with the active compounds.

[0136]

Plants and plant cultivars which are preferably to be treated according to the invention include all plants which have genetic material which impart particularly advantageous, useful traits to these plants (whether obtained by breeding and/or biotechnological means).

[0137]

Plants and plant cultivars which are also preferably to be treated according to the invention are resistant against one or more biotic stresses, i.e. said plants show a better defense against animal and microbial pests, such as against nematodes, insects, mites, phytopathogenic fungi, bacteria, viruses and/or viroids.

[0138]

Plants and plant cultivars which may also be treated according to the invention are those plants which are resistant to one or more abiotic stresses. Abiotic stress conditions may include, for example, drought, cold temperature exposure, heat exposure, osmotic stress, flooding, increased soil salinity, increased mineral exposure, ozone exposure, high light exposure, limited availability of nitrogen nutrients, limited availability of phosphorus nutrients, shade avoidance. to Plants and plant cultivars which may also be treated according to the invention, are those plants characterized by enhanced yield characteristics. Increased yield in said plants can be the result of, for example, improved plant physiology, growth and development, such as water use efficiency, water retention efficiency, improved nitrogen use, enhanced carbon assimilation, improved photosynthesis, increased germination efficiency and accelerated maturation. Yield can furthermore be affected by improved plant architecture (under stress and non-stress conditions), including but not limited to, early flowering, flowering control for hybrid seed production, seedling vigor, plant size, internode number and distance, root growth, seed size, fruit size, pod size, pod or ear number, seed number per pod or ear, seed mass, enhanced seed filling, reduced seed dispersal, reduced pod dehiscence and lodging resistance. Further yield traits include seed composition, such as carbohydrate content, protein content, oil content and composition, nutritional value, reduction in anti-nutritional compounds, improved processability and better storage stability.

[0139]

Non-exhaustive examples of plants with the above-mentioned traits are disclosed in the references listed in Table A.

[0000]

Water use WO 2000/073475
efficiency
Nitrogen use WO 1995/009911; WO 1997/030163; WO 2007/092704;
efficiencyWO 2007/076115; WO 2005/103270; WO 2002/002776
Improved WO 2008/056915; WO 2004/101751
photosynthesis
Nematode WO 1995/020669; WO 2001/051627; WO 2008/139334;
resistanceWO 2008/095972; WO 2006/085966; WO 2003/033651;
WO 1999/060141; WO 1998/012335; WO 1996/030517;
WO 1993/018170
Reduced pod WO 2006/009649; WO 2004/113542; WO 1999/015680;
dehiscenceWO 1999/000502; WO 1997/013865; WO 1996/030529;
WO 1994/023043
Aphid resistanceWO 2006/125065; WO 1997/046080; WO 2008/067043;
WO 2004/072109
Sclerotinia WO 2006/135717; WO 2006/055851; WO 2005/090578;
resistanceWO 2005/000007; WO 2002/099385; WO 2002/061043
Botrytis resistanceWO 2006/046861; WO 2002/085105
Bremia resistanceUS 20070022496; WO 2000/063432; WO 2004/049786
Erwinia resistanceWO 2004/049786
Closterovirus WO 2007/073167; WO 2007/053015; WO 2002/022836
resistance
Tobamovirus WO 2006/038794
resistance

[0140]

Plants that may be treated according to the invention are hybrid plants that already express the characteristic of heterosis or hybrid vigor which results in generally higher yield, vigor, health s and resistance towards biotic and abiotic stresses). Such plants are typically made by crossing an inbred male-sterile parent line (the female parent) with another inbred male-fertile parent line (the male parent). Hybrid seed is typically harvested from the male sterile plants and sold to growers. Male sterile plants can sometimes (e.g. in corn) be produced by detasseling, i.e. the mechanical removal of the male reproductive organs (or males flowers) but, more typically, male sterility is the result of genetic determinants in the plant genome. In that case, and especially when seed is the desired product to be harvested from the hybrid plants it is typically useful to ensure that male fertility in the hybrid plants is fully restored. This can be accomplished by ensuring that the male parents have appropriate fertility restorer genes which are capable of restoring the male fertility in hybrid plants that contain the genetic determinants responsible for male-sterility. Genetic determinants for male sterility may be located in the cytoplasm. Examples of cytoplasmic male sterility (CMS) were for instance described in Brassica species (WO 92/05251, WO 95/09910, WO 98/27806, WO 05/002324, WO 06/021972 and U.S. Pat. No. 6,229,072). However, genetic determinants for male sterility can also be located in the nuclear genome. Male sterile plants can also be obtained by plant biotechnology methods such as genetic engineering. A particularly useful means of obtaining male-sterile plants is described in WO 89/10396 in which, for example, a ribonuclease such as barnase is selectively expressed in the tapetutn cells in the stamens. Fertility can then be restored by expression in the tapetum cells of a ribonuclease inhibitor such as harstar (e.g. WO 91/02069).

[0141]

Plants or plant cultivars (obtained by plant biotechnology methods such as genetic engineering) which may be treated according to the invention are herbicide-tolerant plants, i.e. plants made tolerant to one or more given herbicides. Such plants can be obtained either by genetic transformation, or by selection of plants containing a mutation imparting such herbicide to tolerance.

[0142]

Herbicide-resistant plants are for example glyphosate-tolerant plants, i.e. plants made tolerant to the herbicide glyphosate or salts thereof. Plants can be made tolerant to glyphosate through different means. For example, glyphosate-tolerant plants can be obtained by transforming the plant with a gene encoding the enzyme 5-enolpyruvylshikimate-3-phosphate synthase (EPSPS). Examples of such EPSPS genes are the AroA gene (mutant CT7) of the bacterium Salmonella ophimurium (Comai et al., 1983, Science 221, 370-371), the CP4 gene of the bacterium Agrobacterium sp. (Barry et al., 1992, Curr. Topics Plant Physiol. 7, 139-145), the genes encoding a Petunia EPSPS (Shah et al., 1986, Science 233, 478-481), a Tomato EPSPS (Gasser et al., 1988, J. Biol. Chem. 263, 4280-4289), or an Eleusine EPSPS (WO 01/66704). It can also be a mutated EPSPS as described in for example EP 0837944, WO 00/66746, WO 00/66747 or W002/26995. Glyphosate-tolerant plants can also be obtained by expressing a gene that encodes a glyphosate oxido-reductase enzyme as described in U.S. Pat. Nos. 5,776,760 and 5,463,175. Glyphosate-tolerant plants can also be obtained by expressing a gene that encodes a glyphosate acetyl transferase enzyme as described in for example WO 02/36782, WO 03/092360, WO 05/012515 and WO 07/024782. Glyphosate-tolerant plants can also be obtained by selecting plants containing naturally-occurring mutations of the above-mentioned genes, as described in for example WO 01/024615 or WO 03/013226.

[0143]

Other herbicide resistant plants are for example plants that are made tolerant to herbicides inhibiting the enzyme glutamine synthase, such as bialaphos, phosphinothricin or glufosinate. Such plants can be obtained by expressing an enzyme detoxifying the herbicide or a mutant glutamine synthase enzyme that is resistant to inhibition. One such efficient detoxifying enzyme is an enzyme encoding a phosphinothricin acetyltransferase (such as the bar or pat protein from Streptomyces species). Plants expressing an exogenous phosphin n acetyltransferase are for example described in U.S. Pat. Nos. 5,561,236; 5,648,477; 5,646,024; 5,273,894; 5,637,489; 5,276,268; 5,739,082; 5,908,810 and 7,112,665.

[0144]

Further herbicide-tolerant plants are also plants that are made tolerant to the herbicides inhibiting the enzyme hydroxyphenylpyruvatedioxygenase (HPPD).

[0145]

Hydroxyphenylpyruvatedioxygenases are enzymes that catalyze the reaction in which parahydroxyphenylpyruvate (HPP) is transformed into homogentisate. Plants tolerant to HPPD-inhibitors can be transthrmed with a gene encoding a naturally-occurring resistant HPPD enzyme, or a gene encoding a mutated HPPD enzyme as described in WO 96/38567, WO 99/24585 and WO 99/24586. Tolerance to HPPD-inhibitors can also be obtained by transforming plants with genes encoding certain enzymes enabling the formation of homogentisate despite the inhibition of the native HPPD enzyme by the HPPD-inhibitor. Such plants and genes are described in WO 99/34008 and WO 02/36787. Tolerance of plants to HPPD inhibitors can also be improved by transforming plants with a gene encoding an enzyme prephenate deshydrogenase in addition to a gene encoding an HPPD-tolerant enzyme, as described in WO 2004/024928.

[0146]

Still further herbicide resistant plants are plants that are made tolerant to aceto lactate synthase (ALS) inhibitors. Known ALS-inhibitors include, for example, sulfonylurea, imidazolinone, triazolopyrimidines, pryimidinyoxy(thio)benzoates, and/or sulfonylaminocarbortyltriazolinone herbicides. Different mutations in the ALS enzyme (also known as acetohydroxyacid synthase, AHAS) are known to confer tolerance to different herbicides and groups of herbicides, as described for example in Tranel and Wright (2002, Weed Science 50:700-712), but also, in U.S. Patent No. 5,605,011, 5,378,824. 5,141,870, and 5,013,659. The production of sulfonylurea-tolerant plants and imidazolinone-tolerant plants is described in U.S. Pat. Nos. 5,605,011; 5,013,659; 5,141,870; 5,767,361; 5,731,180; 5,304,732; 4,761,373; 5,331,107; 5,928,937; and 5,378,824; and international publication WO 96/33270. Other imidazolinone -tolerant plants are also described in for example WO 2004/040012. WO 2004/106529, WO 2005/020673, WO 2005/093093, WO 2006/007373, WO 2006/015376, WO 2006/024351, and WO 2006/060634. Further sulfonylurea- and imidazolinone-tolerant plants are also described in for example WO 07/024782.

[0147]

Other plants tolerant to imidazolinone and/or sulfonylurea can be obtained by induced mutagenesis, selection in cell cultures in the presence of the herbicide or mutation breeding as described far example for soybeans in U.S. Pat. No. 5,084,082, for rice in WO 97/41218, for sugar beet in U.S. Pat. No. 5,773,702 and WO 99/057965, for lettuce in U.S. Pat. No. 5,198,599, or for sunflower in WO 01/065922.

[0148]

Plants or plant cultivars (obtained by plant biotechnology methods such as genetic engineering) which may also be treated according to the invention are insect-resistant transgenic plants, i.e. plants made resistant to attack by certain target insects. Such plants can be obtained by genetic transformation, or by selection of plants containing a mutation imparting such insect resistance. An “insect-resistant transgenic plant”, as used herein, includes any plant containing at least one transgene comprising a coding sequence encoding:

    • 1) an insecticidal crystal protein from Bacillus thuringiensis or an insecticidal portion thereof, such as the insecticidal crystal proteins listed by Crickrnore et al. (1998, Microbiology and Molecular Biology Reviews, 62: 807-813), updated by Crickmore et al. (2005) at the Bacillus thuringiensis toxin nomenclature, online at: www(dot)lifesci(dat)sussex(dat)ac(crot)uk/Home/N eil_Crickmore/Bt/), or insecticidal portions thereof, e.g., proteins of the Cry protein classes Cry 1 Ab, Cry 1 Ac, Cry 1 B, Cry1C, Cry1D, Cry1F, Cry2Ab, Cry3Aa, or Cry3Bb or insecticidal portions thereof (e.g. EP 1999141 and WO 2007/107302); or
    • 2) a crystal protein from Bacillus thuringiensis or a portion thereof which is insecticidal in the presence of a second other crystal protein from Bacillus thuringiensis or a portion thereof, such as the binary toxin made up of the Cry34 and Cry35 crystal proteins (Moellenbeck et al. 2001, Nat. Biotechnol. 19: 668-72; Schnepf et al. 2006, Applied Environ. Microbiol. 71, 1765-1774) or the binary toxin made up of the Cry1A or Cry1F proteins and the Cry2Aa or Cry2Ab or Cry2Ae proteins (U.S. patent application Ser. No. 12/214,022 and EP 08010791.5); or
    • 3) a hybrid insecticidal protein comprising parts of different insecticidal crystal proteins from Bacillus thuringiensis, such as a hybrid of the proteins of 1) above or a hybrid of the proteins of 2) above, e.g., the Cry1A.105 protein produced by corn event MON89034 (WO 2007/027777); or
    • 4) a protein of any one of 1) to 3) above wherein some, particularly 1 to 10, amino acids have been replaced by another amino acid to obtain a higher insecticidal activity to a target insect species, and/or to expand the range of target insect species affected, and/or because of changes introduced into the encoding DNA during cloning or transformation, such as the Cry3Bb1 protein in corn events MON863 or MON88017, or the Cry3A protein in corn event MIR604; or
    • 5) an insecticidal secreted protein from Bacillus thuringiensis or Bacillus cereus, or an insecticidal portion thereof, such as the vegetative insecticidal (VIP) proteins listed at: www(dot)lifesci(dot)sussex(dot)ac(dot)uk/home/Neil Crickmora/Bt/vip(dot)html, e.g., proteins from the VIP3Aa protein class; or
    • 6) a secreted protein from Bacillus thuringiensis or Bacillus cereus which is insecticidal in the presence of a second secreted protein from Bacillus thuringiensis or B. cereus, such as the binary toxin made up of the VIP1A and VIP2A proteins (WO 94/21795); or
    • 7) a hybrid insecticidal protein comprising parts from different secreted proteins from Bacillus thuringiensis or Bacillus cereus, such as a hybrid of the proteins in 1) above or a hybrid of the proteins in 2) above; or
    • 8) a protein of any one of 5) to 7) above wherein some, particularly 1 to 10, amino acids have been replaced by another amino acid to obtain a higher insecticidal activity to a target insect species, and/or to expand the range of target insect species affected, and/or because of changes introduced into the encoding DNA during cloning or transformation (while still encoding an insecticidal protein), such as the VIP3Aa protein in cotton event COT102; or
    • 9) a secreted protein from Bacillus thuringiensis or Bacillus cereus which is insecticidal in the presence of a crystal protein from Bacillus thuringiensis, such as the binary toxin made up of VIP3 and Cry1A or Cry1F (U.S. patent application Ser. No. 61/126083 and 61/195019), or the binary toxin made up of the VIP3 protein and the Cry2Aa or Cry2Ab or Cry2Ae proteins (U.S. patent application Ser. No. 12/214,022 and EP 08010791.5).
    • 10) a protein of 9) above wherein some, particularly 1 to 10, amino acids have been replaced by another amino acid to obtain a higher insecticidal activity to a target insect species, and/or to expand the range of target insect species affected, and/or because of changes introduced into the encoding DNA during cloning or transformation (while still encoding an insecticidal protein)

[0159]

Of course, an insect-resistant transgenic plant, as used herein, also includes any plant comprising a combination of genes encoding the proteins of any one of the above classes 1 to 10. In one embodiment, an insect-resistant plant contains more than one transgene encoding a protein of any one of the above classes 1 to 10, to expand the range of target insect species affected when using different proteins directed at different target insect species, or to delay insect resistance development to the plants by using different proteins insecticidal to the same target insect species but having a different mode of action, such as binding to different receptor binding sites in the insect.

[0160]

An “insect-resistant transgenic plant”, as used herein, further includes any plant containing at least one transgene comprising a sequence producing upon expression a double-stranded RNA which upon ingestion by a plant insect pest inhibits the growth of this insect pest, as described e.g. in WO 2007/080126.

[0161]

Plants or plant cultivars (obtained by plant biotechnology methods such as genetic engineering) which may also be treated according to the invention are tolerant to abiotic stresses. Such p can be obtained by genetic transformation, or by selection of plants containing a mutation imparting such stress resistance. Particularly useful stress tolerance plants include:

    • 1) plants which contain a transgene capable of reducing the expression and/or the activity of poly(ADP-ribose) polymerase (PARP) gene in the plant cells or plants as described in WO 00/04173, WO/2006/045633, EP 04077984.5, or EP 06009836.5.
    • 2) plants which contain a stress tolerance enhancing transgene capable of reducing the expression and/or the activity of the PARG encoding genes of the plants or plants cells, as described e.g. in WO 2004/090140.
    • 3) plants which contain a stress tolerance enhancing transgene coding lbr a plant-functional enzyme of the nicotineamide adenine dinucleotide salvage synthesis pathway including nicotinamidase, nicotinate phosphoribosyltransferase, nicotinic acid mononucleotide adenyl transferase, nicotinamide adenine dinucleotide synthetase or nicotine amide phosphorybosyltransferase as described e.g. in EP 04077624.7, WO 2006/133827, PCl/EP07/002433, EP 1999263, or WO 2007/107326.

[0165]

Plants or plant cultivars (obtained by plant biotechnology methods such as genetic engineering) which may also be treated according to the invention show altered quantity, quality and/or storage-stability of the harvested product and/or altered properties of specific ingredients of the harvested product such as

    • 1) transgenic plants which synthesize a modified starch, which in its physical-chemical characteristics, in particular the amylose content or the amylose/amylopectin ratio, the degree of branching, the average chain length, the side chain distribution, the viscosity behaviour, the gelling strength, the starch grain size and/or the starch grain morphology, is changed in comparison with the synthesised starch in wild type plant cells or plants, so that this is better suited for special applications. Said transgenic plants synthesizing a modified starch are disclosed, for example, in EP 0571427, WO 95/04826, EP 0719338, WO 96/15248, WO 96/19581, WO 96/27674, WO 97/11188, WO 97/26362, WO 97/32985, WO 97/42328, WO 97/44472, WO 97/45545, WO 98/27212, WO 98/40503, WO99/58688, WHO 99/58690, WO 99/58654, WO 00/08184, WO 00/08185, WO 00/08175, WO 00/28052, WO 00/77229, WO 01/12782, WO 01/12826, WO 02/101059, WO 03/071860, WO 2004/056999, WO 2005/030942, WO 2005/030941, WO 2005/095632, WO 2005/095617, WO 2005/095619, WO 2005/095618, WO 2005/123927, WO 2006/018319, WO 2006/103107, WO 2006/108702, WO 2007/009823, WO 00/22140, WO 2006/063862, WO 2006/072603, WO 02/034923, EP 06090134.5, EP 06090228.5, EP 06090227.7, EP 07090007.1, EP 07090009.7, WO 01/14569, WO 02/79410, WO 03/33540, WO 2004/078983, WO 01/19975, WO 95/26407, WO 96/34968, WO 98/20145, WO 99/12950, WO 99/66050, WO 99/53072, U.S. Pat. No. 6,734,341, WO 00/11192, WO 98/22604, WO 98/32326, WO 01/98509, WO 01/98509, WO 2005/002359, U.S. Pat. No. 5,824,790, U.S. Pat. No. 6,013,861, WO 94/04693, WO 94/09144, WO 94/11520, WO 95/35026, WO 97/20936 transgenic plants which synthesize non starch carbohydrate polymers or which synthesize non starch carbohydrate polymers with altered properties in comparison to wild type plants without genetic modification. Examples are plants producing polyfructose, especially of the inulin and levan-type, as disclosed in EP 0663956, WO 96/01904, WO 96/21023, WO 98/39460, and WO 99/24593, plants producing alpha-1,4-glucans as disclosed in WO 95/31553, US 2002031826, U.S. Pat. No. 6,284,479, U.S. Pat. No. 5,712,107, WO 97/47806, WO 97/47807, WO 97/47808 and WO 00/14249, plants producing alpha-1,6 branched alpha-1,4-glucans, as disclosed in WO 00/73422, plants producing alternan, as disclosed in e.g. WO 00/47727, WO 00/73422, EP 06077301.7, U.S. Pat. No. 5,908,975 and EP 0728213,
    • 3) transgenic plants which produce hyaluronan, as for example disclosed in WO 2006/032538, WO 2007/039314, WO 2007/039315, WO 2007/039316, JP 2006304779, and WO 2005/012529.
    • 4) transgenic plants or hybrid plants, such as onions with characteristics such as ‘high soluble solids content’, ‘low pungency’ (LP) and/or ‘long storage’ (LS), as described in U.S. patent application Ser. No. 12/020,360 and 61/054,026.

[0169]

Plants or plant cultivars (that can be obtained by plant biotechnology methods such as genetic engineering) which may also be treated according to the invention are plants, such as cotton ro plants, with altered fiber characteristics. Such plants can be obtained by genetic transformation, or by selection of plants contain a mutation imparting such altered fiber characteristics and. include:

    • a) Plants, such as cotton plants, contauung an altered form of cellulose synthase genes as described in WO 98/00549
    • b) Plants, such as cotton plants, containing an altered form of rsw2 or rsw3 homologous nucleic acids as described in WO 2004/053219
    • c) Plants, such as cotton plants, with increased expression of sucrose phosphate synthase as described in WO 01/17333
    • d) Plants, such as cotton plants, with increased expression of sucrose synthase as described in WO 02/45485
    • e) Plants, such as cotton plants, wherein the timing of the plasmodesmatal gating at the basis of the fiber cell is altered, e.g. through downregulation of fiber-selective 1,3-glucanase as described in WO 2005/017157, or as described in EP 08075514.3 or U.S. patent application Ser. No. 61/128,938
    • f) Plants, such as cotton plants, having fibers with altered reactivity, e.g. through the expression of N-acetylglueosaininctransferase gene including nodC and chitin synthase genes as described in WO 2006/136351

[0176]

Plants or plant cultivars (that can be obtained by plant biotechnology methods such as genetic engineering) which may also be treated according to the invention are plants, such as oilseed rape or related Brassica plants, with altered oil profile characteristics. Such plants can be obtained by genetic transformation, or by selection of plants contain a mutation imparting such altered oil profile characteristics and include:

    • a) Plants, such as oilseed rape plants, producing oil having a high oleic acid content described e.g. in U.S. Pat. No. 5,969,169, U.S. Pat. No. 5,840,946 or U.S. Pat. No. 6,323,392 or U.S. Pat. No. 6,063,947
    • b) Plants such as oilseed rape plants, producing oil having a low linolenic acid content as described in U.S. Pat. No. 6,270,828, U.S. Pat. No. 6,169,190 or U.S. Pat. No. 5,965,755
    • c) Plant such as oilseed rape plants, producing oil having a low levet of saturated fatty acids as described e.g. in U.S. Pat. No. 5,434,283

[0180]

Plants or plant cultivars (that be obtained by plant biotechnology methods succi as genetic engineering) which may also be treated according to the invention are plants, such as oilseed rape or related Brassica plants, with altered seed shattering characteristics. Such plants can be obtained by genetic transformation, or by selection of plants contain a mutation imparting such altered seed shattering characteristics and include plants such as oilseed rape plants with delayed or reduced seed shattering as described in U.S. patent application Ser. No. 61/135,230 and EP 08075648.9.

[0181]

Particultransgenic plants which may be treated according to the invention are plants containing transformation events, or combination of transformation events, that are the subject of petitions for non-regulated status, in the United States of America, to the Animal and Plant

[0182]

Health inspection Service (APHIS) of the United States Department of Agriculture (USDA) whether such petitions are granted or are still pending. At any time this information is readily available from APHIS (4700 River Road, Riverdale, MD 20737, USA), for instance on i.ts internet site (URL www(dot)aphis(dot)usda(dot)gov/brs/not_reg(dot)html).

[0183]

Additional particularly useful plants containing single transformation events or combinations of transformation events are listed tor example in the databases from various national or regional regulatory agencies (see for example gmoinfo(dot)jrc(dot)it/gmp_browse(dot)aspx and www(dot)agbios(dot)com/dbase(dot)php). Further particularly transgenic plants include plants containing a transgene in an agronomically neutral Or beneficial position as described in airy of the patent publications listed in Table C.

[0000]

CornGlyphosate toleranceUS 2007-056056
CornInsect resistance (Cry3a055)EP 1 737 290
CornHigh lysine contentU.S. Pat. No. 7,157,281
CornSelf processing corn (alpha-US 2006-230473
amylase)
CornInsect resistance (Cry3Bb)US 2006-095986
CornInsect resistance (Cry34Ab1/US 2006-070139
Cry35Ab1)
CornInsect resistance (Cry1F)U.S. Pat. No. 7,435,807
CornInsect resistance (Cry1Ab)US 2004-180373
CornInsect resistanceWO 03/052073
CornGlufosinate resistanceUS 2003-126634
CornGlyphosate resistanceU.S. Pat. No. 6,040,497
CornGlyphosate resistanceU.S. Pat. No. 6,040,497
CornGlyphosate resistanceU.S. Pat. No. 6,040,497
CornGlyphosate resistanceU.S. Pat. No. 6,040,497
CornGlufosinate toleranceWO 01/51654
CornGlyphosate tolerance/ALS WO
inhibitor tolerance2008/112019
WheatFusarium resistance (trichothecene CA 2561992
3-O-acetyltransferase)
Sugar beetGlyphosate toleranceUS 2004-117870
Sugar beetGlyphosate toleranceWO 2004-
074492
SoybeanGlyphosate toleranceUS 2006-282915
SoybeanGlufosinate toleranceWO
2006/108674
SoybeanGlufosinate toleranceWO
2006/108675
SoybeanHigh oleic acid/ALS WO
inhibitor tolerance2008/054747
RiceGlufosinate toleranceWO 01/83818
RiceGlufosinate toleranceUS 2008-289060
RiceInsect resistance (Cry1Ac)WO
2008/114282
Oilseed rapeMale sterilityWO 01/31042
Oilseed rapeMale sterility/restorationWO 01/41558
Oilseed rapeGlyphosate resistanceWO 02/36831
CottonInsect resistance (Cry1Ab)WO
2006/128573
CottonInsect resistance (Cry1Ab)WO
2006/128572
CottonInsect resistance (Cry1Ab)WO
2006/128571
CottonInsect resistance (Cry1Ab)WO
2006/128569
CottonInsect resistance (Cry1Ab)WO
2006/128570
CottonInsect resistance (Cry1Ab)WO
2006/128568
CottonInsect resistance (Cry1Ac)WO
2005/103266
CottonGlyphosate toleranceUS 2004-148666
CottonGlyphosate toleranceWO
2004/072235
CottonGlyphosate toleranceWO
2007/017186
CottonInsect-resistance (Cry1Ab)WO2008/122406
CottonInsect resistance (VIP3)US 2007-067868
CottonGlufosinate resistanceWO
2007/017186
CottonInsect resistance (Cry1Ab)WO
2008/122406
CottonInsect resistance (Cry1F)WO
2005/103266
CottonInsect resistance (Vip3A)US 2006-130175
CottonInsect resistance (Cry1A/Cry2Ab)US 2004-250317
Bent GrassGlyphosate toleranceUS 2006-162007
BrinjalInsect resistance (Cry1Ac)WO
2007/091277

[0184]

The composition according to the invention may also be used against fungal diseases liable to grow on or inside timber. The term “timber” means all types of species of wood, and all types of working of this wood intended for construction, for example solid wood, high-density wood, laminated wood, and plywood. The method for treating timber according to the invention mainly consists in contacting one or more compounds according to the invention or a composition according to the invention; this includes for example direct application, spraying, dipping, injection or any other suitable means.

[0185]

Among the diseases of plants or crops that can be controlled by the method according to the invention, mention can be made of:

[0000]

Powdery Mildew Diseases such as
Blumeria diseases caused for example by Blumeria graminis;
Podosphaera diseases caused for example by Podosphaera leucotricha;
Sphaerotheca diseases caused for example by Sphaerotheca fuliginea;
Uncinula diseases caused for example by Uncinula necator;

[0186]

Rust Diseases such as

[0000]

Gymnosporangium diseases caused for example by Gymnosporangium sabinae;
Hemileia diseases caused for example by Hemilcia vastatrix;
Phakopsora diseases caused for example by Phakopsora pachyrhizi and Phakopsora meibomiae;
Puccinia diseases caused for example by Puccinia recondita, Puccinia graminis or Puccinia striiformis;
Uromyces diseases caused for example by Uromyces appendiculatus;

[0187]

Oomycete Diseases such as

[0000]

Albugo diseases caused for example by Albugo candida;
Bremia diseases caused for example by Bremia lactucae;
Peronospora diseases caused for example by Peronospora pisi and Peronospora brassicae;
Phytophthora diseases caused for example by Phytophthora infestans;
Plasmopara diseases caused for example by Plasmopara viticola;
Pseudoperonospora diseases caused for example by Pseudoperonospora humuli and Pseudo-peronospora cubensis;
Pythium diseases caused for example by Pythium ultimum;

[0188]

Leaf spot, Leaf blotch and Leaf Blight Diseases such as

[0000]

Alternaria diseases caused for example by Alternaria solani;
Cereospora diseases caused for example by Cercospora beticola;
Cladiosporium diseases caused for example by Cladiosporium cucumerinum;
Cochliobolus diseases caused for example by Cochliobolus sativus (Conidiaform: Drechslera, Syn.: Helminthosporium) or Cochliobolus miyabeanus;
Colletotrichum diseases caused for example by Colletotrichum lindemuthianum;
Cycloconium diseases caused for example by Cycloconium oleaginum;
Diaporthe diseases caused for example by Diaporthe citri;
Elsinoe diseases caused for example by Elsinoe fawcettii;
Gloeosporium diseases caused for example by Gloeosporium lacticolor;
Glomerella diseases caused for example by Glomerella cingulata;
Guignardia diseases caused for example by Guignardia bidwellii;
Leptosphaeria diseases caused for example by Leptosphaeria maculans and Leptosphaeria nodorum;
Magnaporthe diseases caused for example by Magnaporthe grisea;
Mycosphacrella diseases caused for example by Mycosphaerella graminicola, Mycosphaerella arachidicola and Mycosphaerella fijiensis;
Phaeosphaeria diseases caused for example by Phaeosphaeria nodorum;
Pyrenophora diseases caused for example by Pyrenophora teres or Pyrenophora tritici repentis;
Ramularia- diseases caused for example by Ramularia collo-cygni or Ramularia areola;
Rhynchosporium diseases caused for example by Rhyachosporium secalis;
Septoria diseases caused for example by Septoria apii and Septoria lycopersici;
Typhula diseases caused for example by Thyphula incarnata;
Venturia diseases caused for example by Venturia inaequalis;

[0189]

Root-, Sheath and Stem Diseases such as

[0000]

Corticium diseases caused for example by Corticium graminearum;
Fusarium diseases caused for example by Fusarium oxysporum;
Gaeumannomyces diseases caused for example by Gaeumannomyces graminis;
Rhizoctonia diseases caused for example by Rhizoctonia solani;
Sarocladium diseases caused for example by Sarocladium oryzae;
Sclerotium diseases caused for example by Selerotium oryzae;
Tapesia diseases caused for example by Tapesia acuformis;
Thielaviopsis diseases caused for example by Thielaviopsis basicola;

[0190]

Ear and Panicle Diseases including Maize cob such as

[0000]

Alternaria diseases caused for example by Alternaria spp.;
Aspergillus diseases caused for example by Aspergillus flavus;
Cladosporium diseases caused for example by Cladiosporium cladosporioides;
Claviceps diseases caused for example by Claviceps purpurea;
Fusarium diseases caused for example by Fusarium culmorum;
Gibberella diseases caused for example by Gibberella zeae;
Monographella diseases caused for example by Monographella nivalis;

[0191]

Smut- and Bunt Diseases such as

[0000]

Sphacelotheca diseases caused for example by Sphacelotheca reiliana;
Tilletia diseases caused for example by Tilletia caries;
Urocystis diseases caused for example by Urocystis occulta;
Ustilago diseases caused for example by Ustilago nuda;

[0192]

Fruit Rot and Mould Diseases such as

[0000]

Aspergillus diseases caused for example by Aspergillus flavus;
Botrytis diseases caused for example by Botrytis cinerea;
Penicillium diseases caused for example by Penicillium expansum and Penicillium purpurogenum;
Rhizopus diseases caused by example by Rhizopus stolonifer
Sclerotinia diseases caused for example by Sclerotinia sclerotiorum;
Verticillium diseases caused for example by Verticillium alboatrum;

[0193]

Seed- and Soilborne Decay, Mould, Wilt, Rot and Damping-off diseases

[0000]

Alternaria diseases caused for example by Alternaria brassicicola;
Aphanomyces diseases caused for example by Aphanomyces euteiches;
Ascochyta diseases caused for example by Ascochyta lentis;
Aspergillus diseases caused fbr example by Aspergillus flavus;
Cladosporium diseases caused for example by Cladosporium herbarum;
Cochliobolus diseases caused for example by Cochliobolus sativus;

(Conidiafbrin: Drechslera, Bipolaris Syn: Helminthosporium);

[0194]

Colletotrichum diseases caused for example by Colletotrichum coccodes;
Fusarium diseases caused for example by Fusarium culmorum;
Gibberella diseases caused for example by Gibberella zeae;
Macrophomina diseases caused for example by Macrophomina phaseolina;
Microdochium diseases caused for example by Microdochium nivale;
Monographella diseases caused for example by Monographella nivalis;
Penicillium diseases caused for example by Penicillium expansum;
Phorna diseases caused for example by Phoma lingam;
Phomopsis diseases caused for example by Phomopsis sojae;
Phytophthora diseases caused for example by Phytophthora cactorum;
Pyrenophora diseases caused for example by Pyrenophora graminea;
Pyricularia diseases caused for example by Pyricularia oryzae;
Pythium diseases caused for example by Pythium ultimum;
Rhizoctonia diseases caused for example by Rhizoctonia solani;
Rhizopus diseases caused for example by Rhizopus oryzae;
Sclerotium diseases caused for example by Sclerotiutn rolfsii;
Septoria diseases caused for example by Septoria nodorum;
Typhula diseases caused for example by Typhula incamata;
Verticillium diseases caused for example by Verticillium dahliae;

[0195]

Canker, Broom and Diehack Diseases such as

[0000]

Nectria diseases caused for example by Nectria galligena;

[0196]

Blight Diseases such as

[0000]

Monilinia diseases caused for example by Monilinia laxa;

[0197]

Leaf Blister or Leaf Curl Diseases including deformation of blooms and fruits such as

[0000]

Exobasidium diseases caused for example by Exobasidium vexans.
Taphrina diseases caused for example by Taphrina deformans;

[0198]

Decline Diseases of Wooden Plants such as

[0000]

Esca disease caused for example by Phaeomoniella clamydospora, Phaeoacremonium aleophilum and Fomitiporia mediterranea;
Ganoderma diseases caused for example by Ganoderma boninense;
Rigidoporus diseases caused for example by Rigidoporus lignosus

[0199]

Diseases of Flowers and Seeds such as

[0200]

Botrytis diseases caused for example by Botrytis cinerea;

[0201]

Diseases of Tubers such as

[0000]

Rhizoctonia diseases caused for example by Rhizoctonia solani;
Helminthosporium diseases caused for example by Helminthosporium solani;

[0202]

Club root diseases such as

[0000]

Plasmodiophora diseases, cause for example by Plamodiophora brassicae.

[0203]

Diseases caused by Bacterial Organisms such as

[0000]

Xanthomonas species for example Xanthomonas campestris pv. oryzae;
Pseudomonas species for example Pseudomonas syringae py. lachrymans;
Erwinia species for example Erwinia amylovara.

[0204]

The damaging insects of crops which can be controlled at any development stage by using the pesticide composition according to the invention include:

    • pests from the order of Isopoda for example Oniscus asellus, Armadillidium vulgare Porcellio scaber;
    • pests from the order of Diplopoda for example Blaniutus guttulatus;
    • pests from the order of Chilopoda for example Geophilus carpophagus, Scutigera spp.;
    • pests from the order of Symphyla for example Scutigerella immaculata;
    • pests from the order of Thysanura for example Lepisma saccharine;
    • pests from the order of Collembola for example Onychiurus armatus;
    • pests from the order of Orthoptera for example Acheta domesticus, Gryllotalpa spp., Locusta migratoria migratorioides, Melanoplus spp., Schistocerca gregaria;
    • pests from the order of Blattaria for example Blade orientalis, Periplaneta americana, Leucophaea maderae, Blattella gerrnanica;
    • pests from the order of Dermaptera for example Forficula auricularia;
    • pests from the order of Isoptera for example Reticulitermes spp.;
    • pests from the order of Phthiraptera for example Pediculus humanus corporis, Haematopinus spp., Linognathus spp., Trichodectes spp., Damalinia spp.;
    • pests from the order of Thysanoptera for example Hercinothrips femoralis, Thrips tabaci, Thrips palmi, Franklinielia accidentalis;
    • pests from the order of Heteroptera for example Eurygaster spp., Dysdercus intermedius, Piesma quadrata, Cimex lectularius, Rhodnius prolixus, Triatoma spp; pests from the order of Homoptera for example Aleurodes brassicae, Bernisia tabaci, Trialeurodes vaporariorum, Aphis gossypii, Brevicoryne brassicae, Cryptomyzus ribis, Aphis fabae, Aphis pomi, Eriosoma lanigerum, Hyafopterus arundinis, Phylloxera vastatrix, Pemphigus spp., Macrosiphum avenae, Myzus spp., Phorodon humuli, Rhopalosiphurn padi, Empoasca spp., Euscelis bilobatus, Nephotettix cincticeps, Lecanium corni, Saissetia oleae, Laodelphax striatellus, Nilaparvata lugens, Aonidiella autantii, Aspidiotus hederae, Pseudococcus spp., Psylla spp;
    • pests from the order of Lepidoptera for example Pectinophora gossypiella, Bupalus piniarius, Cheimatobia brumata, Lithocolletis blancardella, Hyponomeuta padella Plutella xylostelia, Malacosoma neustria, Euproctis chrysorrhoea, Lymantria spp., Bucculatrix thurberiella, Phyllocnistis citrella, Agratis spp., Euxoa spp., Feltia spp., Earias insulana, Heliothis spp., Mamestra brassicae, Parlous flammea, Spodoptera spp., Trichoplusia ni, Carpocapsa pornonella, Pieria spp., Chilo spp., Pyrausta nubilalis, Ephestia kuehniella, Galleria mellonella, Tineola bisselliella, Tinea pellionella, Hofmannophila pseudospretella, Cacoecia podana, Capua reticulana, Choristoneura fumiferana, Clysia ambiguella, Homona magnanima, Tortrix viridana, Cnaphalocerus spp., Oulema oryzae;
    • pests from the order of Coleoptera for example Anobium punctatum, Rhizopertha dominica, Bruchidius obtectus, Acanthoscelides obtectus, Hylotrupes bajulus Agelastica alni, Leptinotarsa decemlineata, Phaedon cochleariae, Diabrotica spp., Psylliodes chrysocephala, Epilachna varivestis, Atomaria spp. oryzaephilus surinamensis Anthonomus spp., Sitophilus spp., Otiorrhynchus sulcatus, Cosmopolites sordidus, Ceuthorrhynchus assimilis, Hypera postica, Dermestes spp., Trogoderma spp., Anthrenus spp., Attagenus spp., Lyctus spp., Meligethes aeneus, Ptinus spp., Niptus holofeucus, Gibbium psylloides, Tribolium spp., Tenebrio molitor, Agriotes spp., Conoderus spp., Melolontha melolontha, Amphimallon solstitialis, Costelytra zealandica, Lissorhoptrus oryzophilus;
    • pests from the order of Hymenoptera for example Diprion spp., Hoplocampa spp., Lasius spp., Monomorium phataonis, Vespa spp;
    • pests from the order of Diptera for example Aedes spp., Anopheles spp., Culex spp., Drosophila melanogaster, Musca spp., Fannia spp., Calliphora erythrocephala, Lucilia spp., Chrysomyia spp., Cuterebra spp., Gastrophilus spp., Hyppobosca spp., Stomoxys spp., Oestrus spp., Hypoderma spp., Tabanus spp., Tannia spp., Bibio hortulanus, Oscinella frit, Phorbia spp., Pegomyia hyoscyami, Ceratitis capitata, Dacus oleae, Tipula paludosa, Hylernyia spp., Liriomyza spp.;
    • pests from the order of Siphonaptera for example Xenopsylla cheopis, Ceratophyllus spp.;
    • pests from the class of Arachnida for example Scorpio maurus, Latrodectus mactans, Acarus siro, Argas spp. ornithodoros spp., Dermanyssus gallinae, Eriophyes ribis, Phyllocoptruta oleivora, Boophilus spp., Rhipicephalus spp., Amblyomma spp., Hyalomma spp., Ixodes spp., Psoroptes spp., Chorioptes spp., Sarcoptes spp., Tarso-nemus spp., Bryobia praetiosa, Panonychus spp., Tetranychus spp., Hemitarsonemus spp., Brevipalpus spp;

[0224]

the plant-parasitic nematodes such as Pratylenchus spp., Radopholus similis Ditylenchus dipsaci, Tylenchulus semipenetrans, Heterodera spp., Globodera spp., Meloidogyne spp., Aphelenchoides spp., Longidorus spp., Xiphinerna spp., Trichodorus spp., Bursaphelenchus spp.

[0225]

As a further aspect, the present invention provides a product comprising compounds (A), (B), (C) and (D) as herein defined, as a combined preparation for simultaneous, separate or sequential use in controlling the phytopathogenic fungi or damaging insects of plants, crops or seeds at a site.

[0226]

The pesticide composition according to the invention can be prepared immediately before use by using a kit-of-parts for controlling, curatively or preventively, the phytopathogenic fungi of crops, such a kit-of-parts may comprise at least one or several compounds (A), (B), (C) and (D) intended to be combined or used simultaneously, separately or sequentially in controlling the phytopathogenic fungi of crops at a site.

[0227]

It is therefore a pack wherein the user finds all the ingredients for preparing the fungicide formulation which they wish to apply to the crops. These ingredients, which comprise in particular the active agents (A), (B), (C) and (D) and which are packaged separately, are provided in the form of a powder or in the form of a liquid which is concentrated to a greater or lesser degree. The user simply has to mix in the prescribed doses and to add the quantities of liquid, for example of water, necessary to obtain a formulation which is ready to use and which can be applied to the crops.

[0228]

The good fungicidal activity of the active compound combinations according to the invention is evident from the example below. While the individual active compounds exhibit weaknesses with regard to the fungicidal activity, the combinations have an activity which exceeds a simple addition of activities.

[0229]

A synergistic effect of fungicides is always present when the fungicidal activity of the active compound combinations exceeds the total of the activities of the active compounds when applied individually.

[0230]

to The expected activity for a given combination of two active compounds can be calculated as follows (cf Colby, S. R., “Calculating Synergistic and Antagonistic Responses of Herbicide Combinations”, Weeds 15, pages 20-22, 1967):

If

[0000]

  • X is the efficacy, when applying the active compound A at a rate of application of active compound of m ppm,
  • Y is the efficacy, when applying the active compound B at a rate of application of active compound of n ppm,
  • E is the expected efficacy, when applying the active compounds A and B at rates of application of active compound of m and n ppm,
    then

[0000]

E=X+Y-X×Y100

[0234]

The degree of efficacy, expressed in is denoted. 0% means an efficacy which corresponds to that of the control while an efficacy of 100% means that no disease is observed.

[0235]

If the actual fungicidal activity exceeds the calculated value, then the activity of the combination is superadditive, i.e. a synergistic effect exists. In this case, the efficacy which was actually observed must be greater than the value for the expected efficacy (E) calculated from the abovementioned formula.

[0236]

The invention is illustrated by the following examples.

EXAMPLE A

Phytophthora Test (Tomatoes)/Protective

[0237]

Solvent: 24.5 parts by weight of acetone

[0238]

24.5 parts by weight of dimethylacetamide

[0239]

Emulsifier: 1 part by weight of alkylaryl polyglycol ether

[0240]

To produce a suitable preparation of active compound, 1 part by weight of active compound is mixed with the stated amounts of solvent and emulsifier, and the concentrate is diluted with water ro to the desired concentration.

[0241]

To test for protective activity, young plants are sprayed with the preparation of active compound at the stated rate of application. After the spray coating has dried on, the plants are inoculated with an aqueous spore suspension of Phytophthora infestans. The plants are then placed in an incubation cabinet at approximately 20° C. and a relative atmospheric humidity of 100%.

[0242]

The test is evaluated 3 days after the inoculation. 0% means an efficacy which corresponds to that of the control, while an efficacy of 100% means that no disease is observed.

[0243]

The tables below clearly shows that the observed activity of the active compound combination according to the invention is greater than the calculated activity, i.e. a synergistic effect is present.

Phytoplithora Test (Tomatoes)/Protective

[0244]

[0000]

formula 1: pentyl {6-[({[(1-methyl-1H-tetrazol-5-177
yl)(phenyl)methylidene]aminol}oxy)methyl]pyridin-2-0.557
yl}carbamate0.2547
fosetyl-Al100
mancozeb100
Ppopineb100
iprovalicarb116
chlorothalonil2544

[0000]

Inventive Compound combination:
Rate ofExpected
applicationvalue, cal-
Ratioof activeculated using
of thecompoundActualColby's
mixturein ppmefficacyformula
formula 1 +} 1:101 + 10 }9177
fosetyl-Al
formula 1 +} 1:101 + 10 }9377
mancozeb
formula 1 +} 1:101 + 10 }9377
propineb
formula 1 +} 1:2 0.5 + 1 } 7864
iprovalicarb
formula 1 + } 1:1000.25 + 25 }  8370
chlorothalonil

EXAMPLE B

Venturia Test (Apples)/Protective

[0000]

  • Solvent: 24.5 parts by weight of acetone 24.5 parts by weight of dimethylacetamide
  • Emulsifier: 1 part by weight of alkylaiyl polyglycol ether

[0247]

To produce a suitable preparation of active compound, 1 part by weight of active compound is mixed with the stated amounts of solvent and emulsifier, and the concentrate is diluted with water to the desired concentration.

[0248]

To test for protective activity, young plants are sprayed with the preparation of active compound the stated rate of application. After the spray coating has dried on, the plants are inoculated with an aqueous conidia suspension of the causal agent of apple scab (Venturia inaequalis) and then remain for 1 day in an incubation cabinet at approximately 20° C. and a relative atmospheric humidity of 100%.

[0249]

The plants are then placed in a greenhouse at approximately 21° C. and a relative atmospheric humidity of approximately 90%.

[0250]

The test is evaluated 10 days after the inoculation. 0% means an efficacy which corresponds to that of the control, while an efficacy of 100% means that no disease is observed.

[0251]

The tables below clearly shows that the observed activity of the active compound combination according to the invention is greater than the calculated activity, i.e. a synergistic effect is present.

Venturia Test (Apples)/Protective

[0252]

[0000]

formula 1: pentyl {6-[({[(1-methyl-1H-tetrazol-5-1008
yl)(phenyl)methylidene]amino}oxy)methyl]pyridin-2-
yl}carbamate
clothianidin10066
cymoxanil10023
imidacloprid1004
propamocarb-HCl1004

Venturia Test (Apples)/Protective

[0253]

[0000]

Inventive Compound combination:
Rate ofExpected
applicationvalue, cal-
Ratioof activeculated using
of thecompoundActualColby's
mixturein ppmefficacyformula
formula 1 +} 1:1100 + 100 }8669
clothianidin
formula 1 +} 1:1100 + 100 }6329
cymoxanil
formula 1 +} 1:1100 + 100 }6712
imidacloprid
formula 1 +} 1:1100 + 100 }5912
propamo-
carb-HCl

EXAMPLE C

Alternaria Test Protective

[0000]

  • Solvent: 24.5 parts by weight of acetone 24.5 parts by weight of dimethylacetamide
  • Emulsifier: 1 part by weight of alkylaryl polyglycol ether

[0256]

To produce a suitable preparation of active compound, 1 part by weight of active compound is mixed with the stated amounts of solvent and emulsifier, and the concentrate is diluted with water to the desired concentration.

[0257]

To test for protective activity, young plants are sprayed with the preparation of active compound the stated rate of application. After the spray coating has dried on, the plants are inoculated with an aqueous spore suspension of Alternaria solani. The plants are then placed in an incubation cabinet at approximately 20° C. and a relative atmospheric humidity of 100%.

[0258]

The test is evaluated 3 days after the inoculation, 0% means an efficacy which corresponds to that of the control while an efficacy of 100% means that no disease is observed.

[0259]

The tables below clearly shows that the observed activity of the active compound combination according to the invention is greater than the calculated activity, i.e. a synergistic effect is present.

Alternaria Test (Tomatoes)/Protective

[0260]

[0000]

formula 1: pentyl {6-[({[(1-methyl-1H-tetrazol-5-1000
yl)(phenyl)methylidene]amino}oxy)methyl]pyridin-2-508
yl}carbamate250
10 50 0
azoxystrobin1015
bixafen1.2565
chlorothalonil5071
cymoxanil5023
fluoxastrobin1015
imidacloprid250
N-[2-(1,3-dimethylbutyl)phenyl]-5-fluoro-1,3-dimethyl118
1H-pyrazole-4-carboxamide
propamocarb-HCl5038
prothioconazole2.523
pyraclostrobin1045
tebuconazole1055
trifloxystrobin1035

Alternaria Test (Tomatoes)/Protective

[0261]

[0000]

Inventive Compound combination:
Rate ofExpected
applicationvalue, cal-
Ratioof activeculated using
of thecompoundActualColby's
mixturein ppmefficacyformula
formula 1 + } 10:1100 + 10 } 4515
azoxystrobin
formula 1 +} 4:15 + 1.25 } 8365
bixafen
formula 1 +} 1:150 + 50 }8373
chlorothalonil
formula 1 +} 1:150 + 50 }5029
cymoxanil
formula 1 + } 10:1100 + 10 } 4015
fluoxastrobin
formula 1 +} 1:125 + 25 }460
imidacloprid
formula 1 + } 10:1 10 + 1 }4218
N-[2-(1,3-
dimethyl-
butyl)phenyl]-5-
fluoro-1,3-
dimethyl-1H-
pyrazole-4-
carboxamide

Alternaria Test (Tomatoes)/Protective

[0262]

[0000]

Inventive Compound combination:
Rate ofExpected
applicationvalue, cal-
Ratioof activeculated using
of thecompoundActualColby's
mixturein ppmefficacyformula
formula 1 +} 1:1  50 + 50 }5843
propamocarb-HCl
formula 1 +} 10:1 25 + 2.5 }4023
prothioconazole
formula 1 +} 10:1100 + 10 }5545
pyraclostrobin
formula 1 +} 10:1100 + 10 }6555
tebuconazole
formula 1 +} 10:1100 + 10 }5035
trifloxy-
strobin

EXAMPLE D

Botrytis Test (Beans)/Protective

[0000]

  • Solvent: 24.5 parts by weight of acetone 24.5 parts by weight of dimethylacetamide
  • Emulsifier: 1 part by weight of alkylaiyl polyglycol ether

[0265]

To produce a suitable preparation of active compound, 1 part by weight of active compound is mixed with the stated amounts of solvent and emulsifier, and the concentrate is diluted with water to the desired concentration.

[0266]

To test for protective activity, young plants are sprayed with the preparation of active compound After the spray coating has dried on, 2 small pieces of agar covered with growth of Botrytis cinerea are placed on each leaf. The inoculated plants are placed in a darkened chamber at 20oC and a relative atmospheric humidity of 100%.

[0267]

2 days after the inoculation, the size of the lesions on the leaves is evaluated. 0% means an efficacy which corresponds to that of the control, while an efficacy of 100% means that no disease is observed.

[0268]

The table below clearly shows that the observed activity of the active compound combination according to the invention is greater than the calculated activity, i.e. a synergistic effect is present.

[0269]

Botrytis Test (Beans)/Protective

[0000]

formula 1: pentyl {6-[({[(1-methyl-1H-tetrazol-5-1004
yl)(phenyl)methylidene]amino}oxy)methyl]pyridin-2-504
yl}carbamate
boscalid521
fluazinam1079
fludioxonil545
iprodione10066

Bot

[0270]

[0000]

Inventive Compound combination:
Rate ofExpected
applicationvalue, cal-
Ratioof activeculated using
of thecompoundActualColby's
mixturein ppmefficacyformula
formula 1 +} 10:150 + 5 }5324
boscalid
formula 1 +} 10:1100 + 10 } 9480
fluazinam
formula 1 +} 10:150 + 5 }7347
fludioxonil
formula 1 +} 1:1 100 + 100 }  9067
iprodione

Как компенсировать расходы
на инновационную разработку
Похожие патенты