заявка
№ US 20190059383
МПК A01N47/12

USE OF PICOLINAMIDE COMPOUNDS AS FUNGICIDES

Авторы:
Karla BRAVO-ALTAMIRANO Yu LU Brian A. LOY
Все (39)
Номер заявки
16176664
Дата подачи заявки
31.10.2018
Опубликовано
28.02.2019
Страна
US
Дата приоритета
15.12.2025
Номер приоритета
Страна приоритета
Как управлять
интеллектуальной собственностью
Реферат

[0000]

This disclosure relates to picolinamides of Formula I and their use as fungicides.

[0000]

Формула изобретения

1. A composition for the control of a fungal pathogen including mixtures of at least one of the compounds of Formula 1

wherein:

X is hydrogen or C(O)R5;

Y is hydrogen, C(O)R5, or Q;

Q is

wherein: Z is CH:

R1is hydrogen or alkyl, substituted with 0, 1 or multiple R8;

R2is methyl;

R3is chosen from aryl or heteroaryl, each optionally substituted with 0, 1 or multiple R8;

R4is chosen from hydrogen, halo, hydroxyl, alkyl or alkoxy;

R5is chosen from alkoxy or benzyloxy, each optionally substituted with 0, 1, or multiple R8;

R6is chosen from hydrogen, alkoxy, or halo, each optionally substituted with 0, 1, or multiple R8;

R7is chosen from hydrogen, —C(O)R9, or —CH2OC(O)R9;

R8is chosen from hydrogen, alkyl, aryl, acyl, halo, alkenyl, alkynyl, alkoxy, cyano, or heterocyclyl, each optionally substituted with 0, 1, or multiple R10;

R9is chosen from alkyl, alkoxy, or aryl, each optionally substituted with 0, 1, or multiple R8;

R10is chosen from hydrogen, alkyl, aryl, acyl, halo, alkenyl, alkoxy, or heterocyclyl;

R11is chosen from hydrogen or alkyl, substituted with 0, 1 or multiple R8;

R12is chosen from aryl or heteroaryl, each optionally substituted with 0, 1 or multiple R8; and

a phytologically acceptable carrier material.

2. The composition according to claim 1, wherein X is hydrogen and Y is Q.

3. (canceled)

4. The composition according to claim 2, wherein R6is alkoxy.

5. The composition according to claim 4, wherein R7is hydrogen.

6. The composition according to claim 5, wherein R1and R12are independently chosen from hydrogen or alkyl, R3and R12are independently aryl, each optionally substituted with 0, 1 or multiple R8, and R4is H.

7. The composition according to claim 4, wherein R7is chosen from —C(O)R9, or —CH2OC(O)R9.

8. The composition according to claim 7, wherein R9is alkyl, optionally substituted with 0, 1 or multiple R8.

9. The composition according to claim 8, wherein R1and R11are independently chosen from hydrogen or alkyl, R3and R12are independently aryl, each optionally substituted with 0, 1 or multiple R8, and R4is H.

10. The composition according to claim 9, wherein R9is chosen from —CH3, —CH2OCH2CH3, —CH2CH2OCH3, —CH(CH3)2, —CH2CH2CH2CH3, -cyclopropyl.

11. The composition according to claim 1 wherein the fungal pathogen is one of Leaf Blotch of Wheat (Zymoseptoria tritici), Wheat Brown Rust (Puccinia triticina), Stripe Rust (Puccinia striiformis), Scab of Apple (Venturia inaequalis), Blister Smut of Maize (Ustilago maydis), Powdery Mildew of Grapevine (Uncinula necator), Barley scald (Rhynchosporium secalis), Blast of Rice (Pyricularia oryzae), Rust of Soybean (Phakopsora pachyrhizi), Glume Blotch of Wheat (Leptosphaeria nodorum), Powdery Mildew of Wheat (Blumeria graminis f. sp. tritici), Powdery Mildew of Barley (Blumeria graminis f. sp. hordei), Powdery Mildew of Cucurbits (Erysiphe cichoracearum), Anthracnose of Cucurbits (Colletotrichum lagenarium), Leaf Spot of Beet (Cercospora beticola), Early Blight of Tomato (Alternaria solani), and Net Blotch of Barley (Pyrenophora teres).

12. The composition according to claim 6 wherein the fungal pathogen is one of Leaf Blotch of Wheat (Zymoseptoria tritici), Wheat Brown Rust (Puccinia triticina), Scab of Apple (Venturia inaequalis), Barley scald (Rhynchosporium secalis), Blast of Rice (Pyricularia oryzae), Rust of Soybean (Phakopsora pachyrhizi), Glume Blotch of Wheat (Leptosphaeria nodorum), Anthracnose of Cucurbits (Colletotrichum lagenarium), Leaf Spot of Beet (Cercospora beticola), and Early Blight of Tomato (Alternaria solani).

13. The composition according to claim 7 wherein the fungal pathogen is at least one of Leaf Blotch of Wheat (Zymoseptoria tritici), Wheat Brown Rust (Puccinia triticina), Scab of Apple (Venturia inaequalis), Barley scald (Rhynchosporium secalis), Blast of Rice (Pyricularia oryzae), Rust of Soybean (Phakopsora pachyrhizi), Glume Blotch of Wheat (Leptosphaeria nodorum), Anthracnose of Cucurbits (Colletotrichum lagenarium), Leaf Spot of Beet (Cercospora beticola), and Early Blight of Tomato (Alternaria solani).

14. The composition according to claim 9 wherein the fungal pathogen is one of Leaf Blotch of Wheat (Zymoseptoria tritici), Wheat Brown Rust (Puccinia triticina), Scab of Apple (Venturia inaequalis), Barley scald (Rhynchosporium secalis), Blast of Rice (Pyricularia oryzae), Rust of Soybean (Phakopsora pachyrhizi), Glume Blotch of Wheat (Leptosphaeria nodorum), Anthracnose of Cucurbits (Colletotrichum lagenarium), Leaf Spot of Beet (Cercospora beticola), and Early Blight of Tomato (Alternaria solani).

15. The composition according to claim 10 wherein the fungal pathogen is one of Leaf Blotch of Wheat (Zymoseptoria tritici), Wheat Brown Rust (Puccinia triticina), Scab of Apple (Venturia inaequalis), Barley scald (Rhynchosporium secalis), Blast of Rice (Pyricularia oryzae), Rust of Soybean (Phakopsora pachyrhizi), Glume Blotch of Wheat (Leptosphaeria nodorum), Anthracnose of Cucurbits (Colletotrichum lagenarium), Leaf Spot of Beet (Cercospora beticola), and Early Blight of Tomato (Alternaria solani).

16. A method for the control and prevention of fungal attack on a plant, the method including the step of:

applying a fungicidally effective amount of at least one of the compositions of claim 6 to at least one of the plant, an area adjacent to the plant, soil adapted to support growth of the plant, a root of the plant, and foliage of the plant.

17. A method for the control and prevention of fungal attack on a plant, the method including the step of:

applying a fungicidally effective amount of at least one of the compositions of claim 9 to at least one of the plant, an area adjacent to the plant, soil adapted to support growth of the plant, a root of the plant, and foliage of the plant.

18. A method for the control and prevention of fungal attack on a plant, the method including the step of:

applying a fungicidally effective amount of at least one of the compositions of claim 10 to at least one of the plant, an area adjacent to the plant, soil adapted to support growth of the plant, a root of the plant, and foliage of the plant.

19. A method for the control and prevention of fungal attack on a plant, the method including the step of:

applying a fungicidally effective amount of at least one of the compositions of claim 11 to at least one of the plant, an area adjacent to the plant, soil adapted to support growth of the plant, a root of the plant, and foliage of the plant.

20. A method for the control and prevention of fungal attack on a plant, the method including the step of:

applying a fungicidally effective amount of at least one of the compositions of claim 15 to at least one of the plant, an area adjacent to the plant, soil adapted to support growth of the plant, a root of the plant, and foliage of the plant.

Описание

CROSS REFERENCE TO RELATED APPLICATIONS

[0001]

This application claims the benefit of U.S. Provisional Patent Application Ser. Nos. 62/098,120 filed Dec. 30, 2014 and 62/098,122 filed Dec. 30, 2014, which are expressly incorporated by reference herein.

BACKGROUND & SUMMARY

[0002]

Fungicides are compounds, of natural or synthetic origin, which act to protect and/or cure plants against damage caused by agriculturally relevant fungi. Generally, no single fungicide is useful in all situations. Consequently, research is ongoing to produce fungicides that may have better performance, are easier to use, and cost less.

[0003]

The present disclosure relates to picolinamides and their use as fungicides. The compounds of the present disclosure may offer protection against ascomycetes, basidiomycetes, deuteromycetes and oomycetes.

[0004]

One embodiment of the present disclosure may include compounds of Formula I:

[0000]

[0005]

in which: X is hydrogen or C(O)R5;

[0006]

Y is hydrogen, C(O)R5, or Q;

[0007]

Q is

[0000]

[0008]

wherein: Z is N or CH;

[0009]

R1is hydrogen or alkyl, each optionally substituted with 0, 1 or multiple R8;

[0010]

R2is methyl;

[0011]

R3is chosen from aryl or heteroaryl, each optionally substituted with 0, 1 or multiple R8;

[0012]

R4is chosen from hydrogen, halo, hydroxyl, alkyl or alkoxy;

[0013]

R5is chosen from alkoxy or benzyloxy, each optionally substituted with 0, 1, or multiple R8;

[0014]

R6is chosen from hydrogen, alkoxy, or halo, each optionally substituted with 0, 1, or multiple R8;

[0015]

R7is chosen from hydrogen, —C(O)R9, or —H2OC(O)R9;

[0016]

R8is chosen from hydrogen, alkyl, aryl, acyl, halo, alkenyl, alkynyl, alkoxy, cyano or heterocyclyl, each optionally substituted with 0, 1, or multiple R10;

[0017]

R9is chosen from alkyl, alkoxy, or aryl, each optionally substituted with 0, 1, or multiple R8;

[0018]

R10is chosen from hydrogen, alkyl, aryl, acyl, halo, alkenyl, alkoxy, or heterocyclyl;

[0019]

R11is chosen from hydrogen or alkyl, substituted with 0, 1, or multiple R8;

[0020]

R12is chosen from aryl or heteroaryl, each optionally substituted with 0, 1 or multiple R8.

[0021]

Another embodiment of the present disclosure may include a fungicidal composition for the control or prevention of fungal attack comprising the compounds described above and a phytologically acceptable carrier material.

[0022]

Yet another embodiment of the present disclosure may include a method for the control or prevention of fungal attack on a plant, the method including the steps of applying a fungicidally effective amount of one or more of the compounds described above to at least one of the fungus, the plant, and an area adjacent to the plant.

[0023]

It will be understood by those skilled in the art that the following terms may include generic “R”-groups within their definitions, e.g., “the term alkoxy refers to an —OR substituent”. It is also understood that within the definitions for the following terms, these “R” groups are included for illustration purposes and should not be construed as limiting or being limited by substitutions about Formula I.

[0024]

The term “alkyl” refers to a branched, unbranched, or saturated cyclic carbon chain, including, but not limited to, methyl, ethyl, propyl, butyl, isopropyl, isobutyl, tertiary butyl, pentyl, hexyl, cyclopropyl, cyclobutyl, cyclopentyl, cyclohexyl, and the like.

[0025]

The term “alkenyl” refers to a branched, unbranched or cyclic carbon chain containing one or more double bonds including, but not limited to, ethenyl, propenyl, butenyl, isopropenyl, isobutenyl, cyclobutenyl, cyclopentenyl, cyclohexenyl, and the like.

[0026]

The term “alkynyl” refers to a branched or unbranched carbon chain containing one or more triple bonds including, but not limited to, propynyl, butynyl, and the like.

[0027]

The terms “aryl” and “Ar” refer to any aromatic ring, mono- or bi-cyclic, containing 0 heteroatoms.

[0028]

The term “heterocyclyl” refers to any aromatic or non-aromatic ring, mono- or bi-cyclic, containing one or more heteroatoms.

[0029]

The term “alkoxy” refers to an —OR substituent.

[0030]

The term “acyloxy” refers to an —OC(O)R substituent.

[0031]

The term “cyano” refers to a —C≡N substituent.

[0032]

The term “hydroxyl” refers to an —OH substituent.

[0033]

The term “amino” refers to a —N(R)2substituent.

[0034]

The term “arylalkoxy” refers to —O(CH2)nAr where n is an integer selected from the list 1, 2, 3, 4, 5, or 6.

[0035]

The term “haloalkoxy” refers to an —OR—X substituent, wherein X is Cl, F, Br, or I, or any combination thereof.

[0036]

The term “haloalkyl” refers to an alkyl, which is substituted with Cl, F, I, or Br or any combination thereof.

[0037]

The term “halogen” or “halo” refers to one or more halogen atoms, defined as F, Cl, Br, and I.

[0038]

The term “nitro” refers to a —NO2substituent.

[0039]

The term thioalkyl refers to an —SR substituent.

[0040]

Throughout the disclosure, reference to the compounds of Formula I is read as also including all stereoisomers, for example diastereomers, enantiomers, and mixtures thereof. In another embodiment, Formula I is read as also including salts or hydrates thereof. Exemplary salts include, but are not limited to: hydrochloride, hydrobromide, hydroiodide, trifluoroacetate, and trifluoromethane sulfonate.

[0041]

It is also understood by those skilled in the art that additional substitution is allowable, unless otherwise noted, as long as the rules of chemical bonding and strain energy are satisfied and the product still exhibits fungicidal activity.

[0042]

Another embodiment of the present disclosure is a use of a compound of Formula I, for protection of a plant against attack by a phytopathogenic organism or the treatment of a plant infested by a phytopathogenic organism, comprising the application of a compound of Formula I, or a composition comprising the compound to soil, a plant, a part of a plant, foliage, and/or roots.

[0043]

Additionally, another embodiment of the present disclosure is a composition useful for protecting a plant against attack by a phytopathogenic organism and/or treatment of a plant infested by a phytopathogenic organism comprising a compound of Formula I and a phytologically acceptable carrier material.

DETAILED DESCRIPTION

[0044]

The compounds of the present disclosure may be applied by any of a variety of known techniques, either as the compounds or as formulations comprising the compounds. For example, the compounds may be applied to the roots or foliage of plants for the control of various fungi, without damaging the commercial value of the plants. The materials may be applied in the form of any of the generally used formulation types, for example, as solutions, dusts, wettable powders, flowable concentrate, or emulsifiable concentrates.

[0045]

Preferably, the compounds of the present disclosure are applied in the form of a formulation, comprising one or more of the compounds of Formula I with a phytologically acceptable carrier. Concentrated formulations may be dispersed in water, or other liquids, for application, or formulations may be dust-like or granular, which may then be applied without further treatment. The formulations can be prepared according to procedures that are conventional in the agricultural chemical art.

[0046]

The present disclosure contemplates all vehicles by which one or more of the compounds may be formulated for delivery and use as a fungicide. Typically, formulations are applied as aqueous suspensions or emulsions. Such suspensions or emulsions may be produced from water-soluble, water-suspendible, or emulsifiable formulations which are solids, usually known as wettable powders; or liquids, usually known as emulsifiable concentrates, aqueous suspensions, or suspension concentrates. As will be readily appreciated, any material to which these compounds may be added may be used, provided it yields the desired utility without significant interference with the activity of these compounds as antifungal agents.

[0047]

Wettable powders, which may be compacted to form water-dispersible granules, comprise an intimate mixture of one or more of the compounds of Formula I, an inert carrier and surfactants. The concentration of the compound in the wettable powder may be from about 10 percent to about 90 percent by weight based on the total weight of the wettable powder, more preferably about 25 weight percent to about 75 weight percent. In the preparation of wettable powder formulations, the compounds may be compounded with any finely divided solid, such as prophyllite, talc, chalk, gypsum, Fuller's earth, bentonite, attapulgite, starch, casein, gluten, montmorillonite clays, diatomaceous earths, purified silicates or the like. In such operations, the finely divided carrier and surfactants are typically blended with the compound(s) and milled.

[0048]

Emulsifiable concentrates of the compounds of Formula I may comprise a convenient concentration, such as from about 1 weight percent to about 50 weight percent of the compound, in a suitable liquid, based on the total weight of the concentrate. The compounds may be dissolved in an inert carrier, which is either a water-miscible solvent or a mixture of water-immiscible organic solvents, and emulsifiers. The concentrates may be diluted with water and oil to form spray mixtures in the form of oil-in-water emulsions. Useful organic solvents include aromatics, especially the high-boiling naphthalenic and olefinic portions of petroleum such as heavy aromatic naphtha. Other organic solvents may also be used, for example, terpenic solvents, including rosin derivatives, aliphatic ketones, such as cyclohexanone, and complex alcohols, such as 2-ethoxyethanol.

[0049]

Emulsifiers which may be advantageously employed herein may be readily determined by those skilled in the art and include various nonionic, anionic, cationic and amphoteric emulsifiers, or a blend of two or more emulsifiers. Examples of nonionic emulsifiers useful in preparing the emulsifiable concentrates include the polyalkylene glycol ethers and condensation products of alkyl and aryl phenols, aliphatic alcohols, aliphatic amines or fatty acids with ethylene oxide, propylene oxides such as the ethoxylated alkyl phenols and carboxylic esters solubilized with the polyol or polyoxyalkylene. Cationic emulsifiers include quaternary ammonium compounds and fatty amine salts. Anionic emulsifiers include the oil-soluble salts (e.g., calcium) of alkylaryl sulfonic acids, oil-soluble salts or sulfated polyglycol ethers and appropriate salts of phosphated polyglycol ether.

[0050]

Representative organic liquids which may be employed in preparing the emulsifiable concentrates of the compounds of the present disclosure are the aromatic liquids such as xylene, propylbenzene fractions; or mixed naphthalene fractions, mineral oils, substituted aromatic organic liquids such as dioctylphthalate; kerosene; dialkylamides of various fatty acids, particularly the dimethylamides of fatty glycols and glycol derivatives such as the n-butyl ether, ethyl ether or methyl ether of diethylene glycol, the methyl ether of triethylene glycol, petroleum fractions or hydrocarbons such as mineral oil, aromatic solvents, paraffinic oils, and the like; vegetable oils such as soybean oil, rapeseed oil, olive oil, castor oil, sunflower seed oil, coconut oil, corn oil, cottonseed oil, linseed oil, palm oil, peanut oil, safflower oil, sesame oil, tung oil and the like; esters of the above vegetable oils; and the like. Mixtures of two or more organic liquids may also be employed in the preparation of the emulsifiable concentrate. Organic liquids include xylene, and propylbenzene fractions, with xylene being most preferred in some cases. Surface-active dispersing agents are typically employed in liquid formulations and in an amount of from 0.1 to 20 percent by weight based on the combined weight of the dispersing agent with one or more of the compounds. The formulations can also contain other compatible additives, for example, plant growth regulators and other biologically active compounds used in agriculture.

[0051]

Aqueous suspensions comprise suspensions of one or more water-insoluble compounds of Formula I, dispersed in an aqueous vehicle at a concentration in the range from about 1 to about 50 weight percent, based on the total weight of the aqueous suspension. Suspensions are prepared by finely grinding one or more of the compounds, and vigorously mixing the ground material into a vehicle comprised of water and surfactants chosen from the same types discussed above. Other components, such as inorganic salts and synthetic or natural gums, may also be added to increase the density and viscosity of the aqueous vehicle.

[0052]

The compounds of Formula I can also be applied as granular formulations, which are particularly useful for applications to the soil. Granular formulations generally contain from about 0.5 to about 10 weight percent, based on the total weight of the granular formulation of the compound(s), dispersed in an inert carrier which consists entirely or in large part of coarsely divided inert material such as attapulgite, bentonite, diatomite, clay or a similar inexpensive substance. Such formulations are usually prepared by dissolving the compounds in a suitable solvent and applying it to a granular carrier which has been preformed to the appropriate particle size, in the range of from about 0.5 to about 3 mm. A suitable solvent is a solvent in which the compound is substantially or completely soluble. Such formulations may also be prepared by making a dough or paste of the carrier and the compound and solvent, and crushing and drying to obtain the desired granular particle.

[0053]

Dusts containing the compounds of Formula I may be prepared by intimately mixing one or more of the compounds in powdered form with a suitable dusty agricultural carrier, such as, for example, kaolin clay, ground volcanic rock, and the like. Dusts can suitably contain from about 1 to about 10 weight percent of the compounds, based on the total weight of the dust.

[0054]

The formulations may additionally contain adjuvant surfactants to enhance deposition, wetting, and penetration of the compounds onto the target crop and organism. These adjuvant surfactants may optionally be employed as a component of the formulation or as a tank mix. The amount of adjuvant surfactant will typically vary from 0.01 to 1.0 percent by volume, based on a spray-volume of water, preferably 0.05 to 0.5 volume percent. Suitable adjuvant surfactants include, but are not limited to ethoxylated nonylphenols, ethoxylated synthetic or natural alcohols, salts of the esters or sulfosuccinic acids, ethoxylated organosilicones, ethoxylated fatty amines, blends of surfactants with mineral or vegetable oils, crop oil concentrate (mineral oil (85%)+emulsifiers (15%)); nonylphenol ethoxylate; benzylcocoalkyldimethyl quaternary ammonium salt; blend of petroleum hydrocarbon, alkyl esters, organic acid, and anionic surfactant; C9-C11alkylpolyglycoside; phosphated alcohol ethoxylate; natural primary alcohol (C13C16) ethoxylate; di-sec-butylphenol EO-PO block copolymer; polysiloxane-methyl cap; nonylphenol ethoxylate+urea ammonium nitrrate; emulsified methylated seed oil; tridecyl alcohol (synthetic) ethoxylate (8EO); tallow amine ethoxylate (15EO); PEG(400) dioleate-99. The formulations may also include oil-in-water emulsions such as those disclosed in U.S. patent application Ser. No. 11/495,228, the disclosure of which is expressly incorporated by reference herein.

[0055]

The formulations may optionally include combinations that contain other pesticidal compounds. Such additional pesticidal compounds may be fungicides, insecticides, herbicides, nematocides, miticides, arthropodicides, bactericides or combinations thereof that are compatible with the compounds of the present disclosure in the medium selected for application, and not antagonistic to the activity of the present compounds. Accordingly, in such embodiments, the other pesticidal compound is employed as a supplemental toxicant for the same or for a different pesticidal use. The compounds of Formula I and the pesticidal compound in the combination can generally be present in a weight ratio of from 1:100 to 100:1.

[0056]

The compounds of the present disclosure may also be combined with other fungicides to form fungicidal mixtures and synergistic mixtures thereof. The fungicidal compounds of the present disclosure are often applied in conjunction with one or more other fungicides to control a wider variety of undesirable diseases. When used in conjunction with other fungicide(s), the presently claimed compounds may be formulated with the other fungicide(s), tank-mixed with the other fungicide(s) or applied sequentially with the other fungicide(s). Such other fungicides may include 2-(thiocyanatomethylthio)-benzothiazole, 2-phenylphenol, 8-hydroxyquinoline sulfate, ametoctradin, amisulbrom, antimycin, Ampelomyces quisqualis, azaconazole, azoxystrobin, Bacillus subtilis, Bacillus subtilis strain QST713, benalaxyl, benomyl, benthiavalicarb-isopropyl, benzovindiflupyr, benzylaminobenzene-sulfonate (BABS) salt, bicarbonates, biphenyl, bismerthiazol, bitertanol, bixafen, blasticidin-S, borax, Bordeaux mixture, boscalid, bromuconazole, bupirimate, calcium polysulfide, captafol, captan, carbendazim, carboxin, carpropamid, carvone, chlazafenone, chloroneb, chlorothalonil, chlozolinate, Coniothyrium minitans, copper hydroxide, copper octanoate, copper oxychloride, copper sulfate, copper sulfate (tribasic), coumoxystrobin, cuprous oxide, cyazofamid, cyflufenamid, cymoxanil, cyproconazole, cyprodinil, dazomet, debacarb, diammonium ethylenebis-(dithiocarbamate), dichlofluanid, dichlorophen, didocymet, diclomezine, dichloran, diethofencarb, difenoconazole, difenzoquation, diflumetorim, dimethomorph, dimoxystrobin, diniconazole, diniconazole-M, dinobuton, dinocap, diphenylamine, dipymetitrone, dithianon, dodemorph, dodemorphacetate, dodine, dodine free base, edifenphos, enestrobin, enestroburin, enoxastrobin, epoxiconazole, ethaboxam, ethoxyquin, etridiazole, famoxadone, fenamidone, fenaminostrobin, fenarimol, fenbuconazole, fenfuram, fenhexamid, fenoxanil, fenpidonil, fenpropidin, fenpropimorph, fenpyrazamine, fentin, fentin acetate, fentin hydroxide, ferbam, ferimzone, fluazinam, fludioxonil, flufenoxy strobin, flumorph, fluopicolide, fluopyram, fluoroimide, fluoxastrobin, fluquinconazole, flusilazole, flusulfamide, flutianil, flutolanil, flutriafol, fluxapyroxad, folpet, formaldehyde, fosetyl, fosetyl-aluminium, fuberidazole, furalaxyl, furametpyr, guazatine, guazatine acetates, GY-81, hexachlorobenzene, hexaconazole, hymexazol, imazalil, imazalil sulfate, imibenconazole, iminoctadine, iminoctadine triacetate, iminoctadine tris(albesilate), iodocarb, ipconazole, ipfenpyrazolone, iprobenfos, iprodione, iprovalicarb, isofetamid, isoprothiolane, isopyrazam, isotianil, kasugamycin, kasugamycin hydrochloride hydrate, kresoxim-methyl, laminarin, mancopper, mancozeb, mandestrobin, mandipropamid, maneb, mefenoxam, mepanipyrim, mepronil, meptyl-dinocap, mercuric chloride, mercuric oxide, mercurous chloride, metalaxyl, metalaxyl-M, metam, metam-ammonium, metam-potassium, metam-sodium, metconazole, methasulfocarb, methyl iodide, methyl isothiocyanate, metiram, metominostrobin, metrafenone, mildiomycin, myclobutanil, nabam, nitrothal-isopropyl, nuarimol, octhilinone, ofurace, oleic acid (fatty acids), orysastrobin, oxadixyl, oxathiapiprolin, oxine-copper, oxpoconazole fumarate, oxycarboxin, pefurazoate, penconazole, pencycuron, penflufen, pentachlorophenol, pentachlorophenyl laurate, penthiopyrad, phenylmercury acetate, phosphonic acid, phthalide, picarbutrazox, picoxystrobin, polyoxin B, polyoxins, polyoxorim, potassium bicarbonate, potassium hydroxyquinoline sulfate, probenazole, prochloraz, procymidone, propamocarb, propamocarb hydrochloride, propiconazole, propineb, proquinazid, prothioconazole, pyraclostrobin, pyrametostrobin, pyraoxystrobin, pyraziflumid, pyrazophos, pyribencarb, pyributicarb, pyrifenox, pyrimethanil, pyriofenone, pyrisoxazole, pyroquilon, quinoclamine, quinoxyfen, quintozene, Reynoutria sachalinensis extract, sedaxane, silthiofam, simeconazole, sodium 2-phenyphenoxide, sodium bicarbonate, sodium pentachlorophenoxide, spiroxamine, sulfur, SYP-Z048, tar oils, tebuconazole, tebufloquin, tecnazene, tetraconazole, thiabendazole, thifluzamide, thiophanate-methyl, thiram, tiadinil, tolclofos-methyl, tolprocarb, tolylfluanid, triadimefon, triadimenol, triazoxide, tridopyricarb, tricyclazole, tridemorph, trifloxystrobin, triflumizole, triforine, triticonazole, validamycin, valifenalate, valiphenal, vinclozolin, zineb, ziram, zoxamide, Candida oleophila, Fusarium oxysporum, Gliocladium spp., Phlebiopsis gigantea, Streptomyces griseoviridis, Trichoderma spp., (RS)—N-(3,5-dichlorophenyl)-2-(methoxymethyl)-succinimide, 1,2-dichloropropane, 1,3-dichloro-1,1,3,3-tetrafluoroacetone hydrate, 1-chloro-2,4-dinitronaphthalene, 1-chloro-2-nitropropane, 2-(2-heptadecyl-2-imidazolin-1-yl)ethanol, 2,3-dihydro-5-phenyl-1,4-dithi-ine 1,1,4,4-tetraoxide, 2-methoxyethylmercury acetate, 2-methoxyethylmercury chloride, 2-methoxyethylmercury silicate, 3-(4-chlorophenyl)-5-methylrhodanine, 4-(2-nitroprop-1-enyl)phenylthiocyanateme, ampropylfos, anilazine, azithiram, barium polysulfide, Bayer 32394, benodanil, benquinox, bentaluron, benzamacril, benzamacril-isobutyl, benzamorf, binapacryl, bis(methylmercury) sulfate, bis(tributyltin) oxide, buthiobate, cadmium calcium copper zinc chromate sulfate, carbamorph, CECA, chlobenthiazone, chloraniformethan, chlorfenazole, chlorquinox, climbazole, copper bis(3-phenylsalicylate), copper zinc chromate, cufraneb, cupric hydrazinium sulfate, cuprobam, cyclafuramid, cypendazole, cyprofuram, decafentin, dichlone, dichlozoline, diclobutrazol, dimethirimol, dinocton, dinosulfon, dinoterbon, dipyrithione, ditalimfos, dodicin, drazoxolon, EBP, ESBP, etaconazole, etem, ethirim, fenaminosulf, fenapanil, fenitropan, fluotrimazole, furcarbanil, furconazole, furconazole-cis, furmecyclox, furophanate, glyodine, griseofulvin, halacrinate, Hercules 3944, hexylthiofos, ICIA0858, isopamphos, isovaledione, mebenil, mecarbinzid, metazoxolon, methfuroxam, methylmercury dicyandiamide, metsulfovax, milneb, mucochloric anhydride, myclozolin, N-3,5-dichlorophenyl-succinimide, N-3-nitrophenylitaconimide, natamycin, N-ethylmercurio-4-toluenesulfonanilide, nickel bis(dimethyldithiocarbamate), OCH, phenylmercury dimethyldithiocarbamate, phenylmercury nitrate, phosdiphen, prothiocarb, prothiocarb hydrochloride, pyracarbolid, pyridinitril, pyroxychlor, pyroxyfur, quinacetol, quinacetol sulfate, quinazamid, quinconazole, rabenzazole, salicylanilide, SSF-109, sultropen, tecoram, thiadifluor, thicyofen, thiochlorfenphim, thiophanate, thioquinox, tioxymid, triamiphos, triarimol, triazbutil, trichlamide, urbacid, zarilamid, and any combinations thereof.

[0057]

Additionally, the compounds described herein may be combined with other pesticides, including insecticides, nematocides, miticides, arthropodicides, bactericides or combinations thereof that are compatible with the compounds of the present disclosure in the medium selected for application, and not antagonistic to the activity of the present compounds to form pesticidal mixtures and synergistic mixtures thereof. The fungicidal compounds of the present disclosure may be applied in conjunction with one or more other pesticides to control a wider variety of undesirable pests. When used in conjunction with other pesticides, the presently claimed compounds may be formulated with the other pesticide(s), tank-mixed with the other pesticide(s) or applied sequentially with the other pesticide(s). Typical insecticides include, but are not limited to: 1,2-dichloropropane, abamectin, acephate, acetamiprid, acethion, acetoprole, acrinathrin, acrylonitrile, afidopyropen, alanycarb, aldicarb, aldoxycarb, aldrin, allethrin, allosamidin, allyxycarb, alpha-cypermethrin, alpha-ecdysone, alpha-endosulfan, amidithion, aminocarb, amiton, amiton oxalate, amitraz, anabasine, athidathion, azadirachtin, azamethiphos, azinphos-ethyl, azinphos-methyl, azothoate, barium hexafluorosilicate, barthrin, bendiocarb, benfuracarb, bensultap, beta-cyfluthrin, beta-cypermethrin, bifenthrin, bioallethrin, bioethanomethrin, biopermethrin, bistrifluron, borax, boric acid, broflanilide, bromfenvinfos, bromocyclen, bromo-DDT, bromophos, bromophos-ethyl, bufencarb, buprofezin, butacarb, butathiofos, butocarboxim, butonate, butoxycarboxim, cadusafos, calcium arsenate, calcium polysulfide, camphechlor, carbanolate, carbaryl, carbofuran, carbon disulfide, carbon tetrachloride, carbophenothion, carbosulfan, cartap, cartaphydrochloride, chlorantraniliprole, chlorbicyclen, chlordane, chlordecone, chlordimeform, chlordimeform hydrochloride, chlorethoxyfos, chlorfenapyr, chlorfenvinphos, chlorfluazuron, chlormephos, chloroform, chloropicrin, chlorphoxim, chlorprazophos, chlorpyrifos, chlorpyrifos-methyl, chlorthiophos, chromafenozide, cinerin I, cinerin II, cinerins, cismethrin, clacyfos, cloethocarb, closantel, clothianidin, copper acetoarsenite, copper arsenate, copper naphthenate, copper oleate, coumaphos, coumithoate, crotamiton, crotoxyphos, crufomate, cryolite, cyanofenphos, cyanophos, cyanthoate, cyantraniliprole, cyclaniliprole, cyclethrin, cycloprothrin, cyfluthrin, cyhalothrin, cypermethrin, cyphenothrin, cyromazine, cythioate, DDT, decarbofuran, deltamethrin, demephion, demephion-O, demephion-S, demeton, demeton-methyl, demeton-O, demeton-O-methyl, demeton-S, demeton-S-methyl, demeton-S-methylsulphon, diafenthiuron, dialifos, diatomaceous earth, diazinon, dicapthon, dichlofenthion, dichlorvos, dicloromezotiaz, dicresyl, dicrotophos, dicyclanil, dieldrin, diflubenzuron, dilor, dimefluthrin, dimefox, dimetan, dimethoate, dimethrin, dimethylvinphos, dimetilan, dinex, dinex-diclexine, dinoprop, dinosam, dinotefuran, diofenolan, dioxabenzofos, dioxacarb, dioxathion, disulfoton, dithicrofos, d-limonene, DNOC, DNOC-ammonium, DNOC-potassium, DNOC-sodium, doramectin, ecdysterone, emamectin, emamectin benzoate, EMPC, empenthrin, endosulfan, endothion, endrin, EPN, epofenonane, eprinomectin, esdepalléthrine, esfenvalerate, etaphos, ethiofencarb, ethion, ethiprole, ethoate-methyl, ethoprophos, ethyl formate, ethyl-DDD, ethylene dibromide, ethylene dichloride, ethylene oxide, etofenprox, etrimfos, EXD, famphur, fenamiphos, fenazaflor, fenchlorphos, fenethacarb, fenfluthrin, fenitrothion, fenobucarb, fenoxacrim, fenoxycarb, fenpirithrin, fenpropathrin, fensulfothion, fenthion, fenthion-ethyl, fenvalerate, fipronil, flometoquin, flonicamid, flubendiamide, flucofuron, flucycloxuron, flucythrinate, flufenerim, flufenoxuron, flufenprox, flufiprole, fluhexafon, flupyradifurone, fluvalinate, fonofos, formetanate, formetanate hydrochloride, formothion, formparanate, formparanate hydrochloride, fosmethilan, fospirate, fosthietan, furathiocarb, furethrin, gamma-cyhalothrin, gamma-HCH, halfenprox, halofenozide, HCH, HEOD, heptachlor, heptafluthrin, heptenophos, heterophos, hexaflumuron, HHDN, hydramethylnon, hydrogen cyanide, hydroprene, hyquincarb, imidacloprid, imiprothrin, indoxacarb, iodomethane, IPSP, isazofos, isobenzan, isocarbophos, isodrin, isofenphos, isofenphos-methyl, isoprocarb, isoprothiolane, isothioate, isoxathion, ivermectin, jasmolin I, jasmolin II, jodfenphos, juvenile hormone I, juvenile hormone II, juvenile hormone III, kappa-bifenthrin, kappa-tefluthrin, kelevan, kinoprene, lambda-cyhalothrin, lead arsenate, lepimectin, leptophos, lindane, lirimfos, lufenuron, lythidathion, malathion, malonoben, mazidox, mecarbam, mecarphon, menazon, mephosfolan, mercurous chloride, mesulfenfos, metaflumizone, methacrifos, methamidophos, methidathion, methiocarb, methocrotophos, methomyl, methoprene, methoxychlor, methoxyfenozide, methyl bromide, methyl isothiocyanate, methylchloroform, methylene chloride, metofluthrin, metolcarb, metoxadiazone, mevinphos, mexacarbate, milbemectin, milbemycinoxime, mipafox, mirex, molosultap, momfluorothrin, monocrotophos, monomehypo, monosultap, morphothion, moxidectin, naftalofos, naled, naphthalene, nicotine, nifluridide, nitenpyram, nithiazine, nitrilacarb, novaluron, noviflumuron, omethoate, oxamyl, oxydemeton-methyl, oxydeprofos, oxydisulfoton, para-dichlorobenzene, parathion, parathion-methyl, penfluron, pentachlorophenol, permethrin, phenkapton, phenothrin, phenthoate, phorate, phosalone, phosfolan, phosmet, phosnichlor, phosphamidon, phosphine, phoxim, phoxim-methyl, pirimetaphos, pirimicarb, pirimiphos-ethyl, pirimiphos-methyl, potassium arsenite, potassium thiocyanate, pp′-DDT, prallethrin, precocene I, precocene II, precocene III, primidophos, profenofos, profluralin, promacyl, promecarb, propaphos, propetamphos, propoxur, prothidathion, prothiofos, prothoate, protrifenbute, pyflubumide, pyraclofos, pyrafluprole, pyrazophos, pyresmethrin, pyrethrin I, pyrethrin II, pyrethrins, pyridaben, pyridalyl, pyridaphenthion, pyrifluquinazon, pyrimidifen, pyriminostrobin, pyrimitate, pyriprole, pyriproxyfen, quassia, quinalphos, quinalphos-methyl, quinothion, rafoxanide, resmethrin, rotenone, ryania, sabadilla, schradan, selamectin, silafluofen, silica gel, sodium arsenite, sodium fluoride, sodium hexafluorosilicate, sodium thiocyanate, sophamide, spinetoram, spinosad, spiromesifen, spirotetramat, sulcofuron, sulcofuron-sodium, sulfluramid, sulfotep, sulfoxaflor, sulfurylfluoride, sulprofos, tau-fluvalinate, tazimcarb, TDE, tebufenozide, tebufenpyrad, tebupirimfos, teflubenzuron, tefluthrin, temephos, TEPP, terallethrin, terbufos, tetrachloroethane, tetrachlorvinphos, tetramethrin, tetramethylfluthrin, tetraniliprole, theta-cypermethrin, thiacloprid, thiamethoxam, thicrofos, thiocarboxime, thiocyclam, thiocyclamoxalate, thiodicarb, thiofanox, thiometon, thiosultap, thiosultap-disodium, thiosultap-monosodium, thuringiensin, tioxazafen, tolfenpyrad, tralomethrin, transfluthrin, transpermethrin, triarathene, triazamate, triazophos, trichlorfon, trichlormetaphos-3, trichloronat, trifenofos, triflumezopyrim, triflumuron, trimethacarb, triprene, vamidothion, vaniliprole, XMC, xylylcarb, zeta-cypermethrin, zolaprofos, and any combinations thereof.

[0058]

Additionally, the compounds described herein may be combined with herbicides that are compatible with the compounds of the present disclosure in the medium selected for application, and not antagonistic to the activity of the present compounds to form pesticidal mixtures and synergistic mixtures thereof. The fungicidal compounds of the present disclosure may be applied in conjunction with one or more herbicides to control a wide variety of undesirable plants. When used in conjunction with herbicides, the presently claimed compounds may be formulated with the herbicide(s), tank-mixed with the herbicide(s) or applied sequentially with the herbicide(s). Typical herbicides include, but are not limited to: 4-CPA; 4-CPB; 4-CPP; 2,4-D; 3,4-DA; 2,4-DB; 3,4-DB; 2,4-DEB; 2,4-DEP; 3,4-DP; 2,3,6-TBA; 2,4,5-T; 2,4,5-TB; acetochlor, acifluorfen, aclonifen, acrolein, alachlor, allidochlor, alloxydim, allyl alcohol, alorac, ametridione, ametryn, amibuzin, amicarbazone, amidosulfuron, aminocyclopyrachlor, aminopyralid, amiprofos-methyl, amitrole, ammonium sulfamate, anilofos, anisuron, asulam, atraton, atrazine, azafenidin, azimsulfuron, aziprotryne, barban, BCPC, beflubutamid, benazolin, bencarbazone, benfluralin, benfuresate, bensulfuron, bensulide, bentazone, benzadox, benzfendizone, benzipram, benzobicyclon, benzofenap, benzofluor, benzoylprop, benzthiazuron, bicyclopyrone, bifenox, bilanafos, bispyribac, borax, bromacil, bromobonil, bromobutide, bromofenoxim, bromoxynil, brompyrazon, butachlor, butafenacil, butamifos, butenachlor, buthidazole, buthiuron, butralin, butroxydim, buturon, butylate, cacodylic acid, cafenstrole, calcium chlorate, calcium cyanamide, cambendichlor, carbasulam, carbetamide, carboxazole, chlorprocarb, carfentrazone, CDEA, CEPC, chlomethoxyfen, chloramben, chloranocryl, chlorazifop, chlorazine, chlorbromuron, chlorbufam, chloreturon, chlorfenac, chlorfenprop, chlorflurazole, chlorflurenol, chloridazon, chlorimuron, chlornitrofen, chloropon, chlorotoluron, chloroxuron, chloroxynil, chlorpropham, chlorsulfuron, chlorthal, chlorthiamid, cinidon-ethyl, cinmethylin, cinosulfuron, cisanilide, clethodim, cliodinate, clodinafop, clofop, clomazone, clomeprop, cloprop, cloproxydim, clopyralid, cloransulam, CMA, copper sulfate, CPMF, CPPC, credazine, cresol, cumyluron, cyanatryn, cyanazine, cycloate, cyclopyrimorate, cyclosulfamuron, cycloxydim, cycluron, cyhalofop, cyperquat, cyprazine, cyprazole, cypromid, daimuron, dalapon, dazomet, delachlor, desmedipham, desmetryn, di-allate, dicamba, dichlobenil, dichloralurea, dichlormate, dichlorprop, dichlorprop-P, diclofop, diclosulam, diethamquat, diethatyl, difenopenten, difenoxuron, difenzoquat, diflufenican, diflufenzopyr, dimefuron, dimepiperate, dimethachlor, dimethametryn, dimethenamid, dimethenamid-P, dimexano, dimidazon, dinitramine, dinofenate, dinoprop, dinosam, dinoseb, dinoterb, diphenamid, dipropetryn, diquat, disul, dithiopyr, diuron, DMPA, DNOC, DSMA, EBEP, eglinazine, endothal, epronaz, EPTC, erbon, esprocarb, ethalfluralin, ethametsulfuron, ethidimuron, ethiolate, ethofumesate, ethoxyfen, ethoxysulfuron, etinofen, etnipromid, etobenzanid, EXD, fenasulam, fenoprop, fenoxaprop, fenoxaprop-P, fenoxasulfone, fenquinotrione, fenteracol, fenthiaprop, fentrazamide, fenuron, ferrous sulfate, flamprop, flamprop-M, flazasulfuron, florasulam, fluazifop, fluazifop-P, fluazolate, flucarbazone, flucetosulfuron, fluchloralin, flufenacet, flufenican, flufenpyr, flumetsulam, flumezin, flumiclorac, flumioxazin, flumipropyn, fluometuron, fluorodifen, fluoroglycofen, fluoromidine, fluoronitrofen, fluothiuron, flupoxam, flupropacil, flupropanate, flupyrsulfuron, fluridone, flurochloridone, fluroxypyr, flurtamone, fluthiacet, fomesafen, foramsulfuron, fosamine, furyloxyfen, glufosinate, glufosinate-P, glyphosate, halauxifen, halosafen, halosulfuron, haloxydine, haloxyfop, haloxyfop-P, hexachloroacetone, hexaflurate, hexazinone, imazamethabenz, imazamox, imazapic, imazapyr, imazaquin, imazethapyr, imazosulfuron, indanofan, indaziflam, iodobonil, iodomethane, iodosulfuron, iofensulfuron, ioxynil, ipazine, ipfencarbazone, iprymidam, isocarbamid, isocil, isomethiozin, isonoruron, isopolinate, isopropalin, isoproturon, isouron, isoxaben, isoxachlortole, isoxaflutole, isoxapyrifop, karbutilate, ketospiradox, lactofen, lenacil, linuron, MAA, MAMA, MCPA, MCPA-thioethyl, MCPB, mecoprop, mecoprop-P, medinoterb, mefenacet, mefluidide, mesoprazine, mesosulfuron, mesotrione, metam, metamifop, metamitron, metazachlor, metazosulfuron, metflurazon, methabenzthiazuron, methalpropalin, methazole, methiobencarb, methiozolin, methiuron, methometon, methoprotryne, methylbromide, methylisothiocyanate, methyldymron, metobenzuron, metobromuron, metolachlor, metosulam, metoxuron, metribuzin, metsulfuron, molinate, monalide, monisouron, monochloroacetic acid, monolinuron, monuron, morfamquat, MSMA, naproanilide, napropamide, napropamide-M, naptalam, neburon, nicosulfuron, nipyraclofen, nitralin, nitrofen, nitrofluorfen, norflurazon, noruron, OCH, orbencarb, ortho-dichlorobenzene, orthosulfamuron, oryzalin, oxadiargyl, oxadiazon, oxapyrazon, oxasulfuron, oxaziclomefone, oxyfluorfen, parafluron, paraquat, pebulate, pelargonic acid, pendimethalin, penoxsulam, pentachlorophenol, pentanochlor, pentoxazone, perfluidone, pethoxamid, phenisopham, phenmedipham, phenmedipham-ethyl, phenobenzuron, phenylmercury acetate, picloram, picolinafen, pinoxaden, piperophos, potassium arsenite, potassium azide, potassium cyanate, pretilachlor, primisulfuron, procyazine, prodiamine, profluazol, profluralin, profoxydim, proglinazine, prometon, prometryn, propachlor, propanil, propaquizafop, propazine, propham, propisochlor, propoxycarbazone, propyrisulfuron, propyzamide, prosulfalin, prosulfocarb, prosulfuron, proxan, prynachlor, pydanon, pyraclonil, pyraflufen, pyrasulfotole, pyrazolynate, pyrazosulfuron, pyrazoxyfen, pyribenzoxim, pyributicarb, pyriclor, pyridafol, pyridate, pyriftalid, pyriminobac, pyrimisulfan, pyrithiobac, pyroxasulfone, pyroxsulam, quinclorac, quinmerac, quinoclamine, quinonamid, quizalofop, quizalofop-P, rhodethanil, rimsulfuron, saflufenacil, S-metolachlor, sebuthylazine, secbumeton, sethoxydim, siduron, simazine, simeton, simetryn, SMA, sodium arsenite, sodium azide, sodium chlorate, sulcotrione, sulfallate, sulfentrazone, sulfometuron, sulfosulfuron, sulfuric acid, sulglycapin, swep, TCA, tebutam, tebuthiuron, tefuryltrione, tembotrione, tepraloxydim, terbacil, terbucarb, terbuchlor, terbumeton, terbuthylazine, terbutryn, tetrafluron, thenylchlor, thiazafluron, thiazopyr, thidiazimin, thidiazuron, thiencarbazone-methyl, thifensulfuron, thiobencarb, tiafenacil, tiocarbazil, tioclorim, tolpyralate, topramezone, tralkoxydim, triafamone, tri-allate, triasulfuron, triaziflam, tribenuron, tricamba, triclopyr, tridiphane, trietazine, trifloxysulfuron, trifludimoxazin, trifluralin, triflusulfuron, trifop, trifopsime, trihydroxytriazine, trimeturon, tripropindan, tritac, tritosulfuron, vernolate, and xylachlor.

[0059]

Another embodiment of the present disclosure is a method for the control or prevention of fungal attack. This method comprises applying to the soil, plant, roots, foliage, or locus of the fungus, or to a locus in which the infestation is to be prevented (for example applying to cereal or grape plants), a fungicidally effective amount of one or more of the compounds of Formula I. The compounds are suitable for treatment of various plants at fungicidal levels, while exhibiting low phytotoxicity. The compounds may be useful both in a protectant and/or an eradicant fashion.

[0060]

The compounds have been found to have significant fungicidal effect particularly for agricultural use. Many of the compounds are particularly effective for use with agricultural crops and horticultural plants.

[0061]

It will be understood by those skilled in the art that the efficacy of the compound for the foregoing fungi establishes the general utility of the compounds as fungicides.

[0062]

The compounds have broad ranges of activity against fungal pathogens. Exemplary pathogens may include, but are not limited to, causing agent of wheat leaf blotch (Zymoseptoria tritici), wheat brown rust (Puccinia triticina), wheat stripe rust (Puccinia striiformis), scab of apple (Venturia inaequalis), powdery mildew of grapevine (Uncinula necator), barley scald (Rhynchosporium secalis), blast of rice (Pyricularia oryzae), rust of soybean (Phakopsora pachyrhizi), glume blotch of wheat (Leptosphaeria nodorum), powdery mildew of wheat (Blumeria graminis f. sp. tritici), powdery mildew of barley (Blumeria graminis f. sp. hordei), powdery mildew of cucurbits (Erysiphe cichoracearum), anthracnose of cucurbits (Colletotrichum lagenarium), leaf spot of beet (Cercospora beticola), early blight of tomato (Alternaria solani), and spot blotch of barley (Cochliobolus sativus). The exact amount of the active material to be applied is dependent not only on the specific active material being applied, but also on the particular action desired, the fungal species to be controlled, and the stage of growth thereof, as well as the part of the plant or other product to be contacted with the compound. Thus, all the compounds, and formulations containing the same, may not be equally effective at similar concentrations or against the same fungal species.

[0063]

The compounds are effective in use with plants in a disease-inhibiting and phytologically acceptable amount. The term “disease-inhibiting and phytologically acceptable amount” refers to an amount of a compound that kills or inhibits the plant disease for which control is desired, but is not significantly toxic to the plant. This amount will generally be from about 0.1 to about 1000 ppm (parts per million), with 1 to 500 ppm being preferred. The exact concentration of compound required varies with the fungal disease to be controlled, the type of formulation employed, the method of application, the particular plant species, climate conditions, and the like. A suitable application rate is typically in the range from about 0.10 to about 4 pounds/acre (about 0.01 to 0.45 grams per square meter, g/m2).

[0064]

Any range or desired value given herein may be extended or altered without losing the effects sought, as is apparent to the skilled person for an understanding of the teachings herein.

[0065]

The compounds of Formula I may be made using well-known chemical procedures. Intermediates not specifically mentioned in this disclosure are either commercially available, may be made by routes disclosed in the chemical literature, or may be readily synthesized from commercial starting materials utilizing standard procedures.

General Schemes

[0066]

The following schemes illustrate approaches to generating picolinamide compounds of Formula I. The following descriptions and examples are provided for illustrative purposes and should not be construed as limiting in terms of substituents or substitution patterns.

[0067]

Compounds of Formula 1.1, wherein R3and R12are as originally defined and are equivalent, can be prepared by the methods shown in Scheme 1, step a. The compound of Formula 1.0 can be treated with an organometallic nucleophile such as phenylmagnesium bromide (PhMgBr) in a polar aprotic solvent such as tetrahydrofuran (THF) at a temperature of about 0° C. to 23° C. to afford compounds of Formula 1.1, wherein R3and R12are as previously defined, as shown in a.

[0000]

[0068]

Compounds of Formula 2.2, wherein R3is as originally defined and may or may not be equal to R12, can be prepared by the methods shown in Scheme 2, steps a-c. Compounds of Formula 2.2, wherein R3and R12are as previously defined but not an electron-deficient aryl or heteroaryl group and may or may not be equivalent, can be obtained by treating the compounds of Formula 2.0, wherein R3and R12are as previously defined but not an electron-deficient aryl or heteroaryl group and may or may not be equivalent, with a mixture of a hydride reagent, such as triethylsilane (Et3SiH), and an acid, such as 2,2,2-trifluoroacetic acid (TFA) in a halogenated solvent such as dichloromethane (DCM) at a temperature of about 0° C. to 23° C., as depicted in a. Alternatively, compounds of Formula 2.1, wherein R3and R12are an electron-deficient aryl or heteroaryl group and may or may not be equivalent, can be obtained by treating the compounds of Formula 2.0, wherein R3and R12are an electron-deficient aryl or heteroaryl group and may or may not be equivalent, with a base, such as sodium hydride (NaH), and a catalyst, such as imidazole, in a polar aprotic solvent such as THF at a temperature of about 23° C., followed by sequential addition of carbon disulfide (CS2) and an alkyl iodide, such as iodomethane (MeI), as depicted in b. Compounds of Formula 2.2, wherein R3and R12are an electron-deficient aryl or heteroaryl group and may or may not be equivalent, can be obtained by treating the compounds of Formula 2.1, wherein R3and R12are as previously defined and may or may not be equivalent, with a tin reagent, such as tributyltin hydride, and a radical initiator, such as azobisisobutyronitrile (AIBN), in a nonpolar solvent such as toluene at a temperature of about 115° C., as depicted in c.

[0000]

[0069]

Compounds of Formula 3.1, wherein R3and R12are as originally defined and may or may not be equivalent, can be prepared according to the method outlined in Scheme 3, step a. Compounds of Formula 3.1, wherein R3and R12are as originally defined and may or may not be equivalent, can be prepared from compounds of Formula 3.0, wherein R3and R12are as previously defined and may or may not be equivalent, by treating with a base, such as NaH and an alkyl halide, such as MeI, in a polar aprotic solvent like N,N-dimethylformamide (DMF) at a temperature of about 0° C. to 23° C., as depicted in a.

[0000]

[0070]

Compounds of Formula 4.1, wherein R3and R12are as originally defined and may or may not be equivalent, can be prepared according to the method outlined in Scheme 4, step a. Compounds of Formula 4.1, wherein R3and R12are as originally defined and may or may not be equivalent, can be prepared from compounds of Formula 4.0, wherein R3and R12are as previously defined and may or may not be equivalent, by treating with a fluorination reagent, such as (diethylamino)sulfur trifluoride (DAST), in a halogenated solvent such as DCM at a temperature of about 0° C. to 23° C., as depicted in a.

[0000]

[0071]

Compounds of Formula 5.3, wherein R3, R4, and R12are as originally defined and R3may or may not be equivalent to R12, can be prepared according to the methods outlined in Scheme 5, steps a-c. Compounds of Formula 5.3, wherein R3, R4, and R12are as originally defined and R3may or may not be equivalent to R12, can be prepared from compounds of Formula 5.0, wherein R3, R4, and R12are as originally defined and R3may or may not be equivalent to R12, by treating with a catalyst such as palladium on carbon (Pd/C) in a mixture of an unsaturated hydrocarbon solvent, such as cyclohexene, and a polar protic solvent, such as ethanol (EtOH), at an elevated temperature of about 65° C., as shown in a. Alternatively, compounds of Formula 5.3, wherein R3and R12are an electron-deficient aryl or heteroaryl group and may or may not be equivalent and R4is hydroxyl (OH) or alkoxy, can be obtained by treating compounds of Formula 5.1, wherein R3, R4, and R12are as previously defined and R3may or may not be equivalent to R12, with a mixture of a hydride reagent, such as Et3SiH, and an acid, such as TFA in a halogenated solvent such as DCM at a temperature of about 0° C. to 23° C., as indicated in b. Additionally, compounds of Formula 5.3, wherein R3and R12are as originally defined but not an electron-deficient aryl or heteroaryl group and may or may not be equivalent, and R4is a proton (H), can be obtained by treating the compounds of Formula 5.2, wherein R3, R4, and R12are as previously defined and R3may or may not be equivalent to R12, with a mixture of a hydride reagent, such as Et3SiH, and an acid, such as TFA in a halogenated solvent such as DCM at a temperature of about 0° C. to 23° C., as depicted in c.

[0000]

[0072]

Compounds of Formula 6.2, wherein R3and R12are an electron-deficient aryl or heteroaryl group and equivalent, can be prepared according to the methods outlined in Scheme 6, steps a-b. Compounds of Formula 6.1, wherein R3and R12are as described previously, can be prepared from compound of Formula 6.0, by treating with an aryl bromide, such as 4-bromobenzonitrile, in the presence of a Pd catalyst, such as XPhos Pd G3 (CAS #1445085-55-1, commercially available from Sigma-Aldrich), in a polar aprotic solvent such as THF at a temperature of about 55° C., as indicated in a. Compounds of Formula 6.2, wherein R3and R12are as described previously, can be prepared from compound of Formula 6.1, wherein R3and R12are as described previously, by treating with a hydride reagent, such as borane dimethyl sulfide complex, in the presence of a catalyst, such as (R)-(+)-2-Methyl-CBS-oxazaborolidine, in a polar protic solvent, such as methanol (MeOH), at a temperature of about 0° C., as indicated in b.

[0000]

[0073]

Compounds of Formula 7.2, wherein R3and R12are as originally defined and equivalent, can be prepared according to the methods outlined in Scheme 7, steps a-b. Compounds of Formula 7.1, wherein R3and R12are as described previously, can be prepared from compounds of Formula 7.0, by treating with a catalyst, such as SbCl5, in a halogenated solvent such as DCM at a temperature of about 23° C., as indicated in a. Compounds of Formula 7.2, wherein R3and R12are as described previously, can be prepared from compound of Formula 7.1, wherein R3and R12are as described previously, by treating with a hydride reagent, such as borane dimethyl sulfide complex, in the presence of a catalyst, such as (R)-(+)-2-Methyl-CBS-oxazaborolidine, in a polar protic solvent, such as methanol (MeOH), at a temperature of about 23° C., as indicated in b.

[0000]

[0074]

Compounds of Formula 8.1, wherein n is either 0 or 1, and W is either CH2or O, can be prepared according to the method outlined in Scheme 8, step a. Compounds of Formula 8.1, wherein n is either 0 or 1, and W is either CH2or O, can be prepared from compounds of Formula 8.0, wherein n is either 0 or 1, and W is either CH2or O, by treating with a base, such as n-butyllithium (n-BuLi), and an aldehyde, such as acetaldehyde, in a polar aprotic solvent such as THF at a temperature of about −78° C. to 23° C., as indicated in a.

[0000]

[0075]

Compounds of Formula 9.1, wherein R3and R12are as originally defined, can be prepared according to the method outlined in Scheme 9, step a. Compounds of Formula 9.1, wherein R3and R12are as originally defined, can be prepared from compounds of Formula 9.0, wherein R3is as originally defined (Formula 9.0 is either commerically available, or could be prepared from asymmetric Shi epoxidation of the corresponding E-olefin precursor, as reported in Wang, Z.-X.; Tu, Y.; Frohn, M.; Zhang J.-R.; Shi, Y. J. Am. Chem. Soc. 1997, 119, 11224), by treating with a pre-mixed suspension of a copper(I) salt, such as copper iodide (CuI), and an organometallic nucleophile, such as 4-(trifluoromethyl)phenylmagnesium bromide in a polar aprotic solvent such as THF, at a temperature of about −78° C. to 23° C., as shown in a.

[0000]

[0076]

Compounds of Formula 10.2, wherein R1, R2, R3, R4and R12are as originally defined, can be prepared according to the method outlined in Scheme 10, step a. Compounds of Formula 10.0, wherein R1is as originally defined, can be treated with alcohols of Formula 10.1, wherein R2, R3, R4and R12are as originally defined, and a coupling reagent such as 3-(ethyliminomethyleneamino)-N,N-dimethylpropan-1-amine hydrochloride (EDC), and a catalyst such as N,N-dimethylpyridin-4-amine (DMAP) in a halogenated solvent like DCM to afford compounds of Formula 10.2, wherein R1, R2, R3, R4and R12are as previously defined, as shown in a.

[0000]

[0077]

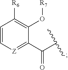
Compounds of Formula 11.2, wherein R1, R2, R3, R4, R6, R12and Z are as originally defined, can be prepared according to the methods outlined in Scheme 11, steps a-b. As depicted in a, compounds of Formula 11.2, wherein R1, R2, R3, R4and R12are as originally defined, can be subjected to an acid, such as a 4 normal (N) solution of hydrogen chloride (HCl) in dioxane, in a halogenated solvent such as DCM to afford compounds of Formula 9.0, wherein R1, R2, R3, R4and R12are as originally defined, as shown in a.

[0078]

Compounds of Formula 11.0, wherein R1, R2, R3, R4and R12are as originally defined, can be treated with compounds of Formula 11.1, wherein R6and Z are as originally defined, in the presence of a base, such as diisopropylethylamine (DIPEA), and a peptide coupling reagent, such as benzotriazol-1-yl-oxytripyrrolidinophosphonium hexafluorophosphate (PyBOP), in an halogenated solvent like DCM, to afford compounds of Formula 11.2, wherein R1, R2, R3, R4, R6, R12and Z are as originally defined, as shown in b.

[0000]

[0079]

Compounds of Formula 12.0, wherein R1, R2, R3, R4, R6, R7, R12and Z are as originally defined, can be prepared according to the method outlined in Scheme 12, step a. As shown in a, compounds of Formula 11.2, wherein R1, R2, R3, R4, R6, R12and Z are as originally defined, can be treated with an appropriate alkyl halide with or without a reagent such as sodium iodide (NaI) and an alkali carbonate base, such as sodium carbonate (Na2CO3) or potassium carbonate (K2CO3), in a solvent like acetone at a temperature of about 55° C., or by treatment with an acyl halide in the presence of an amine base, such as pyridine, triethylamine (Et3N), DMAP, or mixtures thereof, in an aprotic solvent such as DCM, at a temperature of about 23° C., to afford compounds of Formula 12.0 wherein R1, R2, R3, R4, R6, R7, R12and Z are as originally defined.

[0000]

EXAMPLES

[0080]

The chemistry in the following examples may be conducted using either enantiomer of 2-((tert-butoxycarbonyl)amino)propanoic acid (Boc-Ala-OH) or either protected (PMB or Bn) or unprotected enantiomer of ethyl lactate.

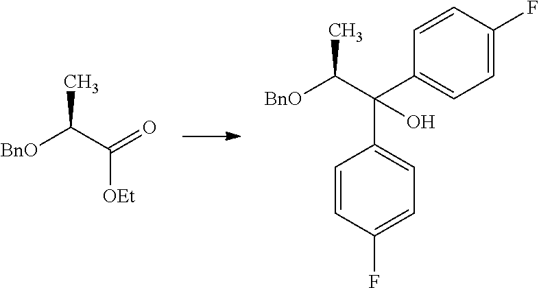
Example 1: Preparation of (S)-2-(benzyloxy)-1,1-bis(4-fluorophenyl)propan-1-ol

[0081]

[0082]

To a solution of (S)-ethyl 2-(benzyloxy)propanoate (2.08 grams (g), 10.0 millimoles (mmol)) in tetrahydrofuran (THF; 20 milliliters (mL)) at 0° C. was slowly added (4-fluorophenyl)magnesium bromide (31.3 mL, 25.0 mmol, 0.8 molar (M) in THF) over a 10 minute (min) period. The reaction vessel was allowed to warm slowly to room temperature over 2 hours (h), and the reaction mixture was quenched by careful addition of saturated (sat.) aqueous (aq.) ammonium chloride (NH4Cl; 50 mL). The mixture was diluted with diethyl ether (Et2O; 50 mL), the phases were separated, and the aq. phase was extracted with Et2O (2×50 mL). The combined organic phases were washed with sat. aq. sodium chloride (NaCl, brine; 100 mL), dried over sodium sulfate (Na2SO4), filtered, and concentrated. The resulting oil was purified by flash column chromatography (silica gel (SiO2), 0→5% acetone in hexanes) to afford the title compound (3.28 g, 93%) as a colorless oil:1H NMR (300 MHz, CDCl3) δ 7.47-7.38 (m, 2H), 7.38-7.27 (m, 5H), 7.17-7.09 (m, 2H), 7.04-6.89 (m, 4H), 4.64 (dd, J=11.4, 0.7 Hz, 1H), 4.51-4.38 (m, 2H), 3.12 (s, 1H), 1.11 (d, J=6.1 Hz, 3H);19F NMR (376 MHz, CDCl3) δ −116.19, −116.41; ESIM S m/z 377 ([M+Na]+).

Example 2A: Preparation of (S)-4,4′-(2-(benzyloxy)propane-1,1-diyl)bis(fluorobenzene)

[0083]

[0084]

To a solution of (S)-2-(benzyloxy)-1,1-bis(4-fluorophenyl)propan-1-ol (709 milligrams (mg), 2.00 mmol) in dichloromethane (DCM; 20 mL) at 0° C. was added triethylsilane (Et3SiH; 3.19 mL, 20.0 mmol) followed by 2,2,2-trifluoroacetic acid (TFA; 1.53 mL, 20.0 mmol). The mixture was stirred at 0° C. for 1 h. The resulting solution was quenched by careful addition of sat. aq. sodium bicarbonate (NaHCO3; 20 mL). The phases were separated, and the aq. phase was extracted with DCM (2×30 mL). The combined organic phases were washed with brine (50 mL), dried over Na2SO4, filtered, and concentrated. The resulting oil was purified by flash column chromatography (SiO2, 0→10% acetone in hexanes) to afford the title compound (627 mg, 92%) as a white solid:1H NMR (400 MHz, CDCl3) δ 7.31-7.22 (m, 5H), 7.21-7.16 (m, 2H), 7.10-7.03 (m, 2H), 7.00-6.91 (m, 4H), 4.54 (dd, J=11.5, 0.7 Hz, 1H), 4.31 (dd, J=11.6, 0.8 Hz, 1H), 4.14 (dq, J=8.1, 6.1 Hz, 1H), 3.93 (d, J=8.1 Hz, 1H), 1.18 (d, J=6.0 Hz, 3H);19F NMR (376 MHz, CDCl3) δ −116.60, −117.10; ESIM S (m/z) 361 ([M+Na]+).

Example 2B: Preparation of (S)-(2-(benzyloxy)-1-methoxypropane-1,1-diyl)dibenzene

[0085]

[0086]

To a suspension of sodium hydride (NaH; 52.0 mg, 1.30 mmol, 60% weight per weight (w/w) in mineral oil) in N,N-dimethylformamide (DMF; 3 mL) at 0° C. was added a solution of (S)-2-(benzyloxy)-1,1-diphenylpropan-1-ol (318 mg, 1 mmol) in DMF (1 mL). The reaction mixture was stirred at room temperature for 30 min and then cooled to 0° C. Iodomethane (MeI; 93.0 microliters (μL), 1.50 mmol) was added, and the reaction mixture was stirred at room temperature for 1 h. The resulting solution was quenched by careful addition of sat. aq. NaHCO3(10 mL). The mixture was diluted with diethyl ether (Et2O; 10 mL), the phases were separated, and the aq. phase was extracted with Et2O (2×10 mL). The combined organic phases were washed with brine (20 mL), dried over Na2SO4, filtered, and concentrated. The resulting oil was purified by flash column chromatography (SiO2, 0→5% acetone in hexanes) to afford the title compound (295 mg, 89%) as a colorless oil:1H NMR (400 MHz, CDCl3) δ 7.47-7.41 (m, 2H), 7.40-7.35 (m, 2H), 7.33-7.18 (m, 11H), 4.69 (d, J=11.9 Hz, 1H), 4.54 (d, J=12.3 Hz, 1H), 4.50 (q, J=6.1 Hz, 1H), 3.13 (s, 3H), 1.10 (d, J=6.1 Hz, 3H);13C NMR (101 MHz, CDCl3) δ 142.96, 141.31, 138.79, 129.13, 128.54, 128.14, 127.61, 127.16, 127.08, 126.95, 126.69, 99.99, 85.35, 78.13, 70.80, 52.46, 13.65; ESIM S (m/z) 333 ([M+H]+).

Example 2C: Preparation of (S)-(2-(benzyloxy)-1-fluoropropane-1,1-diyl)dibenzene

[0087]

[0088]

To a solution of (S)-2-(benzyloxy)-1,1-diphenylpropan-1-ol (300 mg, 0.942 mmol) in DCM (5 mL) at 0° C. was added (diethylamino)sulfur trifluoride (DAST; 1.88 mL, 1.88 mmol, 1 M in DCM). The reaction was slowly warmed to room temperature over 3 h. The resulting solution was quenched by careful addition of sat. aq. NaHCO3(5 mL). The phases were separated, and the aq. phase was extracted with DCM (2×10 mL). The combined organic phases were washed with brine (10 mL), dried over Na2SO4, filtered, and concentrated. The resulting oil was purified by flash column chromatography (SiO2, 0→10% acetone in hexanes) to afford the title compound (300 mg, 98%) as a colorless oil:1H NMR (400 MHz, CDCl3) δ 7.58-7.49 (m, 2H), 7.43-7.37 (m, 2H), 7.36-7.20 (m, 9H), 7.09-6.99 (m, 2H), 4.47 (d, J=11.7 Hz, 1H), 4.37-4.25 (m, 2H), 1.26 (dd, J=6.3, 1.3 Hz, 3H);13C NMR (101 MHz, CDCl3) δ 142.23 (d, J=22.7 Hz), 141.00 (d, J=23.5 Hz), 138.03, 128.21, 128.16, 127.90 (d, J=1.5 Hz), 127.80, 127.72 (d, J=1.7 Hz), 127.52, 127.42 (d, J=1.3 Hz), 126.23 (d, J=9.6 Hz), 125.93 (d, J=8.7 Hz), 99.96 (d, J=180.8 Hz), 78.91 (d, J=26.9 Hz), 71.68, 14.47 (d, J=3.6 Hz);19F NMR (376 MHz, CDCl3) δ −159.80.

Example 2D, Step 1: Preparation of (S)—O-(2-(benzyloxy)-1,1-bis(3,4,5-trifluorophenyl)propyl)S-methyl carbonodithioate

[0089]

[0090]

To a solution of (S)-2-(benzyloxy)-1,1-bis(3,4,5-trifluorophenyl)propan-1-ol (496 mg, 1.16 mmol) in anhydrous THF (5.8 mL) was added NaH (93.0 mg, 2.33 mmol), followed by imidazole (3.96 mg, 0.0580 mmol), and the reaction mixture was stirred at ambient temperature for 1 h. Carbon disulfide (562 μL, 9.30 mmol) was added via syringe in one portion, followed by MeI (579 μL, 9.30 mmol), and the reaction mixture was stirred at ambeint temperature for 2 h. The reaction mixture was diluted with Et2O (5 mL) and quenched with sat. aq. NH4Cl (10 mL). The layers were separated, and the aq. layer was extracted with Et2O (3×10 mL). The combined organic layers were dried over magnesium sulfate (MgSO4), filtered and concentrated to afford an orange/brown oil. The crude oil was purified by flash column chromatography (SiO2, 0→50% ethyl acetate (EtOAc) in hexanes) to afford the title compound (627 mg, 94%) as a clear, bright yellow colored oil:1H NMR (400 MHz, CDCl3) δ 7.40-7.27 (m, 3H), 7.24-7.16 (m, 2H), 7.02 (dd, J=9.1, 6.6 Hz, 2H), 6.96 (dd, J=8.8, 6.5 Hz, 2H), 5.44 (q, J=6.1 Hz, 1H), 4.66 (d, J=11.6 Hz, 1H), 4.51 (d, J=11.6 Hz, 1H), 2.49 (s, 3H), 1.16 (d, J=6.1 Hz, 3H);19F NMR (376 MHz, CDCl3) δ −133.89 (d, J=20.7 Hz), −134.73 (d, J=20.6 Hz), −159.83 (t, J=20.6 Hz), −160.56 (t, J=20.7 Hz); (Thin film) 2922, 1721, 1622, 1595, 1526, 1436, 1344, 1241, 1217, 1197, 1119, 1088, 1040, 965, 908, 861, 822, 730, 712, 697, 672 cm−1.

Example 2D, Step 2: Preparation of (S)-5,5′-(2-(benzyloxy)propane-1,1-diyl)bis(1,2,3-trifluorobenzene)

[0091]

[0092]

A solution of (S)—O-(2-(benzyloxy)-1,1-bis(3,4,5-trifluorophenyl)propyl) S-methyl carbonodithioate (598 mg, 1.16 mmol) in toluene (200 mL) was degassed by a freeze-pump-thaw procedure (3 cycles using liquid nitrogen (N2)) under an atmosphere of N2. Tributyltin hydride (3.12 mL, 11.6 mmol) was then added, the reaction flask was fitted with a reflux condenser, and the reaction mixture was heated to a light reflux (115° C.). A solution of azobisisobutyronitrile (AIBN; 0.200 g 1.22 mmol) in degassed toluene (3 cycles via liquid Na2; 32 mL) was added via syringe down the reflux condenser over 3 h. Once slow addition of the AIBN was complete, the reaction mixture was stirred at reflux overnight. The solvent was removed in vacuo to provide a pale yellow oil. The crude oil was purified by flash column chromatography (SiO2, 0→30% EtOAc in hexanes) to afford the title compound (358 mg, 72%) as a clear, colorless oil:1H NMR (400 MHz, CDCl3) δ 7.28 (d, J=6.6 Hz, 3H), 7.17-7.06 (m, 2H), 6.92 (dd, J=8.5, 6.5 Hz, 2H), 6.79 (dd, J=8.3, 6.4 Hz, 2H), 4.59 (d, J=11.7 Hz, 1H), 4.31 (d, J=11.7 Hz, 1H), 4.02 (p, J=6.2 Hz, 1H), 3.76 (d, J=6.8 Hz, 1H), 1.19 (d, J=6.1 Hz, 3H);19F NMR (376 MHz, CDCl3) δ −133.80 (d, J=20.5 Hz), −134.34 (d, J=20.5 Hz), −162.54 (t, J=20.5 Hz), −162.84 (t, J=20.5 Hz); (Thin film) 2871, 1621, 1526, 1445, 1345, 1262, 1235, 1116, 1096, 1043, 859, 802, 728, 698, 679 cm−1.

Example 3A: Preparation of (S)-1,1-bis(4-fluorophenyl)propan-2-ol

[0093]

[0094]

To a solution of (S)-4,4′-(2-(benzyloxy)propane-1,1-diyl)bis(fluorobenzene) (575 mg, 1.70 mmol) in ethanol (EtOH; 11 mL) and cyclohexene (5.5 mL) at room temperature was added palladium on carbon (Pd/C; 362 mg, 0.0850 mmol, 2.5% w/w of Pd). The reaction mixture was stirred at 65° C. for 2 h, cooled to room temperature, filtered through a plug of Celite®, and concentrated to afford the title compound (415 mg, 98%) as a colorless oil:1H NMR (400 MHz, CDCl3) δ 7.36-7.29 (m, 2H), 7.25-7.18 (m, 2H), 7.09-6.93 (m, 4H), 4.47 (dqd, J=8.2, 6.1, 3.3 Hz, 1H), 3.80 (d, J=8.3 Hz, 1H), 1.55 (d, J=3.3 Hz, 1H), 1.19 (d, J=6.1 Hz, 3H);13C NMR (101 MHz, CDCl3) δ 162.90 (d, J=23.3 Hz), 160.46 (d, J=23.1 Hz), 138.15 (d, J=3.1 Hz), 136.94 (d, J=3.6 Hz), 130.14 (d, J=7.8 Hz), 129.55 (d, J=7.8 Hz), 115.70 (d, J=18.8 Hz), 115.49 (d, J=18.8 Hz), 70.07, 58.61, 21.63;19F NMR (376 MHz, CDCl3) δ −115.84, −116.19.

Example 3B: Preparation of (S)-1,1-bis(2-fluorophenyl)propane-1,2-diol

[0095]

[0096]

To a solution of (S)-1,1-bis(2-fluorophenyl)-2-((4-methoxybenzyl)oxy)propan-1-ol (790 mg, 2.06 mmol) in DCM (20 mL) at 0° C. was added Et3SiH (3.28 mL, 20.6 mmol) followed by TFA (1.57 mL, 20.6 mmol). The mixture was stirred at 0° C. for 1 h. The resulting solution was quenched by careful addition of sat. aq. NaHCO3(20 mL). The phases were separated, and the aq. phase was extracted with DCM (2×30 mL). The combined organic phases were washed with brine (50 mL), dried over Na2SO4, filtered, and concentrated. The resulting oil was purified by flash column chromatography (SiO2, 0→10% acetone in hexanes) to afford the title compound (388 mg, 71%) as a colorless oil:1H NMR (400 MHz, CDCl3) δ 7.90-7.77 (m, 1H), 7.70 (tt, J=8.2, 1.5 Hz, 1H), 7.31-7.10 (m, 4H), 6.97 (ddd, J=12.7, 8.1, 1.3 Hz, 1H), 6.88 (ddd, J=11.8, 8.0, 1.4 Hz, 1H), 5.11 (qd, J=6.3, 2.3 Hz, 1H), 3.49 (s, 1H), 2.27 (s, 1H), 1.09 (d, J=6.3 Hz, 3H);19F NMR (376 MHz, CDCl3) δ −112.90 (d, J=8.3 Hz), −113.92 (d, J=8.4 Hz); ESIM S (m/z) 551 ([2M+Na]+).

Example 3C: Preparation of (S)-1,1-bis(4-bromophenyl)propan-2-ol

[0097]

[0098]

To a solution of (S)-1,1-bis(4-bromophenyl)-2-((4-methoxybenzyl)oxy)propan-1-ol (1.80 g 3.56 mmol) in DCM (18 mL) at 0° C. was added Et3SiH (5.68 mL, 35.6 mmol) followed by TFA (2.72 mL, 35.6 mmol). The mixture was warmed slowly to room temperature over 3 h. The resulting solution was quenched by careful addition of sat. aq. NaHCO3(20 mL). The phases were separated, and the aq. phase was extracted with DCM (2×30 mL). The combined organic phases were washed with brine (50 mL), dried over Na2SO4, filtered, and concentrated. The resulting oil was purified by flash column chromatography (SiO2, 0→10% acetone in hexanes) to afford the title compound (742 mg, 56%) as a colorless oil:1H NMR (300 MHz, CDCl3) δ 7.51-7.36 (m, 4H), 7.25-7.17 (m, 2H), 7.18-7.06 (m, 2H), 4.48 (dq, J=8.2, 6.1 Hz, 1H), 3.76 (d, J=8.2 Hz, 1H), 2.80 (s, 1H), 1.19 (d, J=6.2 Hz, 3H);13C NMR (75 MHz, CDCl3) δ 140.94, 139.85, 131.98, 131.85, 130.39, 129.84, 121.06, 120.72, 69.82, 58.91, 21.65; (Thin film) 3390, 3024, 2969, 2900, 1486, 1072 cm−1.

Example 3D, Step 1: Preparation of (S)-1,1-bis(4-((trimethylsilyl)ethynyl)-phenyl)propan-2-ol

[0099]

[0100]

To a solution of (S)-1,1-bis(4-bromophenyl)propan-2-ol (1.01 g, 2.72 mmol) in THF (9 mL) was added bis(triphenylphosphine)palladium dichloride (0.095 g, 0.136 mmol) and copper(I) iodide (CuI; 0.026 g 0.136 mmol). The mixture was sparged with N2for 20 min, and triethylamine (Et3N; 4.53 mL) was added drop wise. To the resulting mixture was added ethynyltrimethylsilane (1.15 mL, 8.15 mmol) drop wise, and the mixture was heated to reflux and stirred overnight. The mixture was cooled to room temperature, and the reaction was quenched with sat. aq. NaHCO3. The products were extracted with EtOAc (2×), and the combined organic layers were washed with brine, dried over Na2SO4, filtered and concentrated. The crude residue was then purified by flash column chromatography (SiO2, 0→20% acetone in hexanes) to provide the title compound (495 mg, 45%) as a brown foam:1H NMR (400 MHz, CDCl3) δ 7.48-7.42 (m, 2H), 7.42-7.37 (m, 2H), 7.33-7.27 (m, 2H), 7.24-7.17 (m, 2H), 4.51 (dqd, J=12.2, 6.1, 3.5 Hz, 1H), 3.81 (d, J=8.3 Hz, 1H), 1.60 (d, J=3.8 Hz, 1H), 1.18 (d, J=6.1 Hz, 3H), 0.26 (s, 9H), 0.26 (s, 9H);13C NMR (101 MHz, CDCl3) δ 142.55, 141.48, 132.42, 132.29, 128.69, 128.15, 121.90, 121.57, 104.76, 104.71, 94.49, 94.33, 69.76, 59.96, 21.55, 0.00; (Thin film) 3397, 2960, 2156, 1501, 1248, 861, 840 cm−1; HRM S-ESI (m/z) [M+H]+ calcd for C25H33OSi2, 405.2064; found, 405.2070.

Example 3D, Step 2: Preparation of (S)-1,1-bis(4-ethynylphenyl)propan-2-ol

[0101]

[0102]

To a solution of (S)-1,1-bis(4-((trimethylsilyl)ethynyl)phenyl)propan-2-ol (0.470 g, 1.16 mmol) in methanol (MeOH; 5.8 mL) was added potassium carbonate (K2CO3; 0.482 g 3.48 mmol). The mixture was stirred for 1 h at room temperature and then filtered through Celite®. The filter cake was washed with MeOH, and the filtrate was concentrated. The crude material was purified by flash column chromatography (SiO2, 0→20% acetone in hexanes) to provide the title compound (288 mg, 95%) as a yellow oil:1H NMR (300 MHz, CDCl3) δ 7.48-7.43 (m, 2H), 7.43-7.39 (m, 2H), 7.35-7.29 (m, 2H), 7.24-7.19 (m, 2H), 4.51 (dqd, J=8.3, 6.1, 3.7 Hz, 1H), 3.82 (d, J=8.3 Hz, 1H), 3.05 (s, 1H), 3.04 (s, 1H), 1.63-1.55 (m, 1H), 1.18 (d, J=6.1 Hz, 3H);13C NMR (101 MHz, CDCl3) δ 142.84, 141.82, 132.60, 132.48, 128.74, 128.22, 120.87, 120.57, 83.31, 83.29, 77.39, 77.29, 69.73, 59.96, 21.66; (Thin film) 3436, 3280, 2968, 2106, 1499, 1075, 825 cm−1; HRM S-ESI (m/z) [M+H]+ calcd for C19H17O, 261.1274; found, 261.1272.

Example 3D, Step 3: Preparation of (S)-1,1-bis(4-ethylphenyl)propan-2-ol

[0103]

[0104]

To a solution of (S)-1,1-bis(4-ethynylphenyl)propan-2-ol (0.144 g, 0.553 mmol) in EtOAc (2.8 mL) was added palladium (5% weight (wt) on carbon, dry basis; 0.235 g, 0.055 mmol). The mixture was stirred under a balloon of hydrogen overnight. The mixture was filtered through Celite®, and the filter cake was washed with EtOAc. The combined filtrate was then concentrated, and the crude residue was purified by flash column chromatography (SiO2, 0→25% acetone in hexanes) to provide the title compound (97.0 mg, 65%) as a clear oil:1H NMR (400 MHz, CDCl3) δ 7.33-7.25 (m, 2H), 7.22-7.15 (m, 2H), 7.18-7.11 (m, 2H), 7.10 (d, J=8.1 Hz, 2H), 4.51 (dqd, J=8.7, 6.1, 2.5 Hz, 1H), 3.74 (d, J=8.9 Hz, 1H), 2.65-2.53 (m, 4H), 1.68 (d, J=2.8 Hz, 1H), 1.23-1.14 (m, 9H);13C NMR (101 MHz, CDCl3) δ 142.74, 142.33, 139.94, 138.91, 128.48, 128.40, 128.07, 128.02, 70.19, 60.02, 28.41, 28.39, 21.37, 15.47, 15.46; (Thin film) 3421, 2963, 1510, 1110, 821 cm−1; HRM S-ESI (m/z) ([M+Na]+) calcd for C19H24NaO, 291.1719; found, 291.1725.

Example 3E: Preparation of 1-(9H-xanthen-9-yl)ethanol

[0105]

[0106]

To a solution of 9H-xanthene (364 mg, 2.00 mmol) in THF (10 mL) at −78° C. was added n-butyllithium (2.5 M in hexanes; 0.880 mL, 2.20 mmol). The mixture was stirred at −78° C. for 30 min. Acetaldehyde (0.226 mL, 4.00 mmol) was added, and the reaction mixture was warmed slowly to room temperature overnight. The resulting solution was quenched by careful addition of sat. aq. NH4Cl (10 mL). The phases were separated, and the aq. phase was extracted with Et2O (2×15 mL). The combined organic phases were washed with brine (20 mL), dried over Na2SO4, filtered, and concentrated. The resulting oil was purified by flash column chromatography (SiO2, 0→10% acetone in hexanes) to afford the title compound (216 mg, 48%) as a colorless oil:1H NMR (400 MHz, CDCl3) δ 7.33-7.22 (m, 4H), 7.17-7.04 (m, 4H), 3.99 (d, J=5.1 Hz, 1H), 3.96-3.82 (m, 1H), 1.54 (d, J=6.0 Hz, 1H), 1.00 (d, J=6.3 Hz, 3H);13C NMR (101 MHz, CDCl3) δ 152.94, 152.65, 129.54, 129.30, 128.19, 128.17, 123.18, 123.14, 122.48, 121.73, 116.59, 116.41, 73.07, 47.06, 18.81; ESIM S (m/z) 475 ([2M+Na]+).

Example 3F: Preparation of (1S,2S)-1-phenyl-1-(4-(trifluoromethyl)phenyl)propan-2-ol

[0107]

[0108]

To a mixture of magnesium turnings (102 mg, 4.20 mmol) in Et2O (4 mL) was added 1-bromo-4-(trifluoromethyl)benzene (0.588 mL, 4.20 mmol) at room temperature, followed by MeI (5 μL). Upon warming to a gentle boil using a heat gun, the mixture turned a yellow/brown color. The reaction was then stirred in a water bath at room temperature for 30 min until almost all the magnesium was consumed. This was added to a suspension of copper(I) iodide (CuI; 400 mg, 2.10 mmol) in Et2O (4 mL) at −78° C. The reaction was stirred at −20° C. for 30 min, then cooled to −78° C., and (2S,3S)-2-methyl-3-phenyloxirane (0.201 mL, 1.50 mmol) was added. The resulting mixture was warmed slowly to room temperature overnight. The resulting solution was quenched by careful addition of sat. aq. NH4Cl (10 mL). The phases were separated, and the aq. phase was extracted with Et2O (2×15 mL). The combined organic phases were washed with brine (20 mL), dried over Na2SO4, filtered, and concentrated. The resulting oil was purified by flash column chromatography (SiO2, 0→10% acetone in hexanes) to afford the title compound (390 mg, 94%) as a light yellow oil:1H NMR (400 MHz, CDCl3) δ 7.60-7.50 (m, 2H), 7.48-7.38 (m, 2H), 7.38-7.33 (m, 4H), 7.30-7.23 (m, 1H), 4.58 (dqd, J=8.4, 6.1, 3.5 Hz, 1H), 3.88 (d, J=8.5 Hz, 1H), 1.65 (d, J=3.6 Hz, 1H), 1.20 (d, J=6.1 Hz, 3H);19F NMR (376 MHz, CDCl3) δ −62.49; ESIM S (m/z) 263 ([M-OH]+).

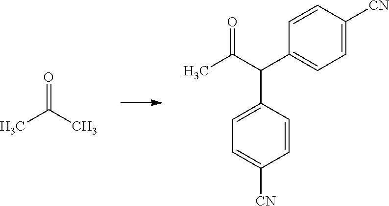
Example 3G, Step 1: Preparation of 4,4′-(2-oxopropane-1,1-diyl)dibenzonitrile

[0109]

[0110]

To a suspension of 4-bromobenzonitrile (546 mg, 3.00 mmol) and cesium carbonate (977 mg, 3.00 mmol) in THF (10 mL) under an N2atmosphere was added acetone (1.10 mL, 15.00 mmol), followed by X-Phos Pd G3 (50.8 mg, 0.060 mmol). Then, the vial was sealed and heated to 55° C. for 4 days. The reaction was diluted with EtOAc (30 mL) and washed with sat. NH4Cl (3×10 mL), water (15 mL), and brine (15 mL). Then the organic phase was dried over Na2SO4, filtered, and concentrated. The resulting oil was purified by flash column chromatography (SiO2, 0→40% EtOAc in hexanes) to afford the title compound (174 mg, 22%) as a colorless oil:1H NMR (400 MHz, CDCl3) δ 7.66 (d, J=8.4 Hz, 4H), 7.34 (d, J=8.3 Hz, 4H), 5.21 (s, 1H), 2.29 (s, 3H);13C NMR (101 MHz, CDCl3) δ 203.68, 142.15, 132.75, 129.64, 118.21, 112.00, 64.25, 30.43; ESIM S m/z 261 ([M+H]+).

Example 3G, Step 2: Preparation of (S)-4,4′-(2-hydroxypropane-1,1-diyl)dibenzonitrile

[0111]

[0112]

To a solution of 4,4′-(2-oxopropane-1,1-diyl)dibenzonitrile (174 mg, 0.668 mmol) in toluene (4.5 mL) was added (R)-1-methyl-3,3-diphenylhexahydropyrrolo[1,2-c][1,3,2]oxazaborole (1 M solution in toluene, 66.8 μL, 0.067 mmol). Then, the reaction was cooled to 0° C. and a solution of BH3-DMS (69.8 μl, 0.735 mmol) in 0.5 mL toluene was added over 2 min. The flask was left to stir at 0° C. After 2 h, the reaction was quenched with methanol (0.5 mL), diluted with EtOAc and added water. Phases were separated and the aqueous phase was extracted with EtOAc×2. The combined organic phases were washed with brine (20 mL), dried over Na2SO4, filtered, and concentrated. The resulting oil was purified by flash column chromatography (SiO2, 0→50% EtOAc in hexanes) to afford the title compound (99.7 mg, 57%) as a colorless oil:1H NMR (400 MHz, CDCl3) δ d 7.60 (dd, J=8.4, 6.8 Hz, 4H), 7.51-7.46 (m, 2H), 7.43-7.37 (m, 2H), 4.63-4.47 (m, 1H), 3.97 (d, J=7.5 Hz, 1H), 1.97 (d, J=3.8 Hz, 1H), 1.21 (d, J=6.2 Hz, 3H).13C NMR (101 MHz, CDCl3) δ 146.91, 145.86, 132.60, 132.45, 129.90, 129.19, 118.58, 118.51, 110.96, 110.92, 69.19, 59.56, 22.27; ESIM S m/z 263 ([M+H]+).

Example 3H, Step 1: Preparation of 3,3-diphenylbutan-2-one

[0113]

[0114]

To a magnetically stirred mixture of 2,3-diphenylbutane-2,3-diol (500 mg, 2.06 mmol) in DCM (10 mL) was added antimony pentachloride (26.5 μL, 0.206 mmol) under air atmosphere. The reaction mixture was stirred at 25° C. for 1 h and then was quenched by slow addition of sat. aq. NaHCO3. The resulting mixture was diluted with water and additional DCM, and the organic layer was separated by passing through a phase separator. The resulting oil was purified by flash column chromatography (SiO2, 0→5% acetone in hexanes) to afford the title compound (330 mg, 71%) as a colorless oil:1H NMR (400 MHz, CDCl3) δ 7.36-7.31 (m, 4H), 7.30-7.25 (m, 2H), 7.23-7.15 (m, 4H), 2.11 (s, 3H), 1.87 (s, 3H);13C NMR (101 MHz, CDCl3) δ 209.16, 143.59, 128.36, 126.91, 62.32, 27.62, 26.42; ESIM S m/z 225 ([M+H]+).

Example 3H, Step 2: Preparation of (S)-3,3-diphenylbutan-2-ol

[0115]

[0116]

To a solution of 3,3-diphenylbutan-2-one (150 mg, 0.669 mmol) in toluene (4.5 mL) was added (R)-1-methyl-3,3-diphenylhexahydropyrrolo[1,2-c][1,3,2]oxazaborole (1 M solution in toluene, 134 μL, 0.134 mmol). Then, a solution of BH3-DMS (70.2 μL, 0.702 mmol) in 0.5 mL of toluene was added to the reaction mixture over 2 min. The flask was left to stir at room temperature. After 1 h, the reaction was quenched with methanol (0.5 mL). DCM and water were added, and the phases were separated. The aqueous phase was extracted with DCM (2×). The combined organic phases were washed with brine (20 mL), dried over Na2SO4, filtered, and concentrated. The resulting oil was purified by flash column chromatography (SiO2, 0→20% acetone in hexanes) to afford the title compound (150 mg, 99%) as a colorless oil:1H NMR (400 MHz, CDCl3) δ d 7.39-7.17 (m, 10H), 4.70-4.61(m, 1H), 1.67 (s, 3H), 1.51 (d, J=4.9 Hz, 1H), 1.11 (d, J=6.3 Hz, 3H);13C NMR (101 MHz, CDCl3) δ 147.30, 145.86, 128.40, 128.15, 128.05, 127.79, 126.20, 126.01, 72.28, 51.77, 23.26, 18.39; ESIM S m/z 227 ([M+H]+).

Example 3I, Step 1: Preparation of (S)-1,1-bis(2,3-dimethoxyphenyl)propane-1,2-diol

[0117]

[0118]

To a solution of isopropylmagnesium lithium chloride (1.3 M in THF, 6.1 mL, 8.00 mmol) was added THF (2 mL) and 1-bromo-2,3-dimethoxybenzene (1.74 g, 8.00 mmol). The resulting brown solution was heated to a gentle reflux (75° C. external temp) for 2.5 h, then cooled to 0° C. in an ice water bath. (S)-methyl 2-hydroxypropanoate (0.191 ml, 2 mmol) was then added drop wise via syringe. The reaction was stirred at 0° C. for 1 h, then removed from the cold bath and stirred overnight at rt. The reaction was cooled to 0° C. in an ice water bath, diluted with water (20 mL), brine (20 mL), and Et2O (40 mL), and was quenched with 1N HCl (8 mL). The phases were separated, and the aqueous phase was extracted with Et2O (20 mL). The organic phases were combined, dried over MgSO4, filtered, and concentrated to provide an oil. Purification by automated silica gel column chromatography (5-50% EtOAc in hexanes) provided the title compound (568 mg, 82%) as a yellow, crystalline solid:1H NMR (300 MHz, CDCl3) δ 7.43 (td, J=8.0, 1.5 Hz, 2H), 7.11 (td, J=8.1, 4.9 Hz, 2H), 6.83 (dd, J=8.1, 1.4 Hz, 2H), 5.06-4.82 (m, 1H), 4.74 (d, J=1.2 Hz, 1H), 3.81 (s, 3H), 3.80 (s, 3H), 3.20 (s, 3H), 3.04 (s, 3H), 2.86 (d, J=9.5 Hz, 1H), 0.97 (d, J=6.4 Hz, 3H);13C NMR (126 MHz, CDCl3) δ 152.89, 152.82, 146.94, 145.53, 139.56, 138.92, 123.32, 123.26, 122.01, 119.01, 111.30, 79.20, 77.22, 60.07, 59.26, 55.77, 55.64, 18.34; HRM S-ESI (m/z) ([M+Na]+) calcd for C19H24O6Na, 371.1465; found, 371.1456.

Example 3I, Step 2: Preparation of 1,1-bis(2,3-dimethoxyphenyl)propan-2-one

[0119]

[0120]

To a solution of (S)-1,1-bis(2,3-dimethoxyphenyl)propane-1,2-diol (560 mg, 1.61 mmol) in anhydrous CH2Cl2(8 mL) at 0° C. was added triethylsilane (770 μl, 4.82 mmol) and trifluoroacetic acid (TFA, 124 μL, 1.61 mmol). The resulting solution was stirred at 0° C. for 2 h, then removed from the cold bath and stirred for 2 h. TFA (248 μL, 3.2 mmol) was added, and the reaction was then stirred overnight at rt. The reaction was diluted with water (25 mL) and extracted with CH2Cl2(3×25 mL). The organic extracts were dried over Na2SO4, filtered, and concentrated to provide an oil. Purification by automated silica gel column chromatography (5-25% acetone in hexanes) provided the title compound (396 mg, 75%) as a white solid:1H NMR (300 MHz, CDCl3) δ 6.99 (t, J=8.0 Hz, 2H), 6.87 (dd, J=8.2, 1.5 Hz, 2H), 6.67-6.54 (m, 2H), 5.86 (s, 1H), 3.87 (s, 6H), 3.75 (s, 6H), 2.25 (s, 3H);13C NMR (126 MHz, CDCl3) δ 207.18, 152.69, 147.02, 132.23, 123.74, 121.61, 111.64, 60.36, 55.74, 51.96, 29.80; HRM S-ESI (m/z) ([M+Na]+) calcd for C19H22O5Na, 353.1359; found, 353.1353.

Example 3I, Step 3: Preparation of 1,1-bis(2,3-dimethoxy phenyl)propan-2-ol

[0121]

[0122]

To a solution of 1,1-bis(2,3-dimethoxyphenyl)propan-2-one (356 mg, 1.08 mmol) in methanol (3.5 mL) was added sodium borohydride (61 mg, 1.6 mmol). The resulting solution was stirred at rt for 20 h, then was quenched with sat'd NH4Cl (1 mL), diluted with water (20 mL) and extracted with CH2Cl2(3×20 mL). The organic extracts were combined, dried over Na2SO4, filtered, and concentrated to provide the title compound (360 mg, 100%) as an oil:1H NMR (300 MHz, CDCl3) δ 7.16-6.88 (m, 4H), 6.79 (ddd, J=9.6, 7.8, 1.9 Hz, 2H), 4.81 (d, J=8.3 Hz, 1H), 4.53-4.32 (m, 1H), 3.84 (s, 3H), 3.84 (s, 3H), 3.77 (s, 3H), 3.76 (s, 3H), 2.04 (d, J=4.2 Hz, 1H), 1.22 (d, J=6.2 Hz, 3H);13C NMR (126 MHz, CDCl3) δ 152.98, 152.83, 147.71, 147.04, 136.17, 135.33, 123.94, 123.62, 120.96, 120.84, 110.76, 110.48, 70.32, 60.26, 60.20, 55.66, 55.63, 45.11, 21.80; IR (neat film) 3451, 2935, 2833, 1582, 1473, 1428, 1266, 1215, 1167, 1125, 1088, 1068, 1004, 964, 908, 835, 809, 787, 748, 728.

Example 4A: Preparation of (S)—(S)-1,1-diphenylpropan-2-yl 2-((tert-butoxycarbonyl)amino)-propanoate

[0123]

[0124]

To a solution of (S)-1,1-diphenylpropan-2-ol (317 mg, 1.493 mmol) in DCM (15 mL) at 0° C. were added (S)-2-((tert-butoxycarbonyl)amino)propanoic acid (Boc-Ala-OH; 311 mg, 1.64 mmol) and N,N-dimethylpyridin-4-amine (DMAP; 18.2 mg, 0.149 mmol) followed by N1-((ethylimino)methylene)-N3,N3-dimethylpropane-1,3-diamine hydrochloride (EDC; 573 mg, 2.99 mmol), and the reaction mixture was stirred at room temperature overnight and concentrated to give a yellow oil. The crude material was purified by flash column chromatography (SiO2, 1→10% acetone in hexanes) to afford the title compound (433 mg, 75%) as a colorless oil:1H NMR (400 MHz, CDCl3) δ 7.42-7.07 (m, 10H), 5.80 (dq, J=10.1, 6.1 Hz, 1H), 4.97 (d, J=8.0 Hz, 1H), 4.19-4.06 (m, 1H), 4.03 (d, J=10.1 Hz, 1H), 1.41 (s, 9H), 1.23 (d, J=6.1 Hz, 3H), 0.76 (d, J=7.2 Hz, 3H);13C NMR (101 MHz, CDCl3) δ 172.83, 154.96, 141.52, 141.26, 128.79, 128.50, 128.10, 128.08, 126.91, 126.67, 79.62, 73.10, 57.98, 49.21, 28.33, 19.31, 17.98; ESIM S m/z 384 ([M+H]+).

Example 5, Step 1: Preparation of (S)-1-(((S)-1,1-diphenylpropan-2-yl)oxy)-1-oxopropan-2-aminium chloride

[0125]

[0126]

To a solution of (S)—(S)-1,1-diphenylpropan-2-yl 2-((tert-butoxycarbonyl)amino)propanoate (Cmp d2; 433 mg, 1.13 mmol) in DCM (6 mL) was added a 4N solution of HCl in dioxane (2.8 mL, 11.3 mmol), and the mixture was stirred for 3 h at room temperature. The solvent was evaporated under a stream of N2to provide the title compound (360 mg, 100%) as a white solid: ESIM S (m/z) 284 ([M+H]+).

Example 5, Step 2: Preparation of (S)—(S)-1,1-diphenylpropan-2-yl 2-(3-hydroxy-4-methoxy picolinamido)propanoate

[0127]

[0128]

To a solution of (S)-1-(((S)-1,1-diphenylpropan-2-yl)oxy)-1-oxopropan-2-aminium chloride (Cmp d 46; 361 mg, 1.13 mmol) and 3-hydroxy-4-methoxypicolinic acid (210 mg, 1.24 mmol) in DCM (11 mL) were added benzotriazol-1-yl-oxytripyrrolidinophosphonium hexafluorophosphate (PyBOP; 646 mg, 1.24 mmol) and N-ethyl-N-isopropylpropan-2-amine (DIPEA; 0.651 mL, 3.72 mmol), and the reaction mixture was stirred for 2 h at room temperature. The solvent was evaporated and the crude oil was purified by flash column chromatography (SiO2, 1→50% acetone in hexanes) to afford the title compound (340 mg, 70%) as a white foam:1H NMR (400 MHz, CDCl3) δ 12.10 (s, 1H), 8.34 (d, J=8.0 Hz, 1H), 7.98 (d, J=5.2 Hz, 1H), 7.38-7.06 (m, 10H), 6.86 (d, J=5.3, 1H), 5.83 (dq, J=10.1, 6.1 Hz, 1H), 4.52 (dq, J=8.1, 7.2 Hz, 1H), 4.06 (d, J=10.2 Hz, 1H), 3.93 (s, 3H), 1.26 (d, J=6.1 Hz, 3H), 0.97 (d, J=7.2 Hz, 3H);13C NMR (101 MHz, CDCl3) δ 171.67, 168.53, 155.34, 148.72, 141.38, 141.13, 140.40, 130.48, 128.80, 128.50, 128.10, 128.03, 126.95, 126.70, 109.39, 73.57, 57.93, 56.07, 47.85, 19.24, 17.61; HRM S-ESI (m/z) ([M+H]+) calcd for C25H27N2O5, 435.1920; found, 435.1925.

Example 6A: Preparation of (S)—(S)-1,1-diphenylpropan-2-yl 2-(3-acetoxy-4-methoxypicolinamido)propanoate

[0129]

[0130]

To a solution of (S)—(S)-1,1-diphenylpropan-2-yl 2-(3-hydroxy-4-methoxypicolinamido)-propanoate (Cmp d 90; 70.0 mg, 0.161 mmol), Et3N (44.9 μL, 0.332 mmol), and DMAP (3.94 mg, 0.032 mmol) in DCM (3.2 mL) was added acetyl chloride (17.2 μL, 0.242 mmol) at room temperature, and the reaction mixture was stirred for 2 h. The solvent was evaporated, and the resulting crude oil was purified by flash column chromatography (SiO2, 1→40% acetone in hexanes) to afford the title compound (75.0 mg, 97%) as a colorless oil:1H NMR (400 MHz, CDCl3) δ 8.41 (d, J=7.8 Hz, 1H), 8.30 (d, J=5.4 Hz, 1H), 7.38-7.10 (m, 10H), 6.97 (d, J=5.4 Hz, 1H), 5.82 (dq, J=10.0, 6.2 Hz, 1H), 4.52 (dt, J=8.2, 7.1 Hz, 1H), 4.05 (d, J=10.1 Hz, 1H), 3.87 (s, 3H), 2.37 (s, 3H), 1.24 (d, J=6.1 Hz, 3H), 0.89 (d, J=7.1 Hz, 3H);13C NMR (101 MHz, CDCl3) δ 172.23, 168.89, 162.28, 159.42, 146.66, 141.55, 141.44, 141.25, 137.45, 128.77, 128.50, 128.13, 128.11, 126.89, 126.67, 109.73, 73.32, 57.90, 56.27, 47.85, 20.75, 19.25, 17.92; HRM S-ESI (m/z) ([M+H]+) calcd for C27H29N2O6, 477.2025; found, 477.2019.

Example 6B: Preparation of (S)—(S)-1,1-diphenylpropan-2-yl 2-(3-(acetoxymethoxy)-4-methoxypicolinamido)propanoate

[0131]

[0132]

To a suspension of (S)—(S)-1,1-diphenylpropan-2-yl 2-(3-hydroxy-4-methoxypicolinamido)-propanoate (Cmp d90; 100 mg, 0.230 mmol) and K2CO3(63.6 mg, 0.460 mmol) in acetone (4.6 mL) was added bromomethyl acetate (33.9 μL, 0.345 mmol) at room temperature, and the mixture was heated to 55° C. for 3 h and then cooled to room temperature. The solvent was evaporated and the resulting crude material was purified by flash column chromatography (SiO2, 1→40% acetone in hexanes) to afford the title compound (94.0 mg, 80% yield) as a colorless oil:1H NMR (400 MHz, CDCl3) δ 8.25 (d, J=5.4 Hz, 1H), 8.22 (d, J=7.9 Hz, 1H), 7.34-7.09 (m, 10H), 6.92 (d, J=5.4 Hz, 1H), 5.83 (dq, J=10.1, 6.2 Hz, 1H), 5.72 (d, J=0.7 Hz, 2H), 4.60-4.49 (m, 1H), 4.06 (d, J=10.1 Hz, 1H), 3.88 (s, 3H), 2.05 (s, 3H), 1.25 (d, J=6.1 Hz, 3H), 0.91 (d, J=7.2 Hz, 3H);13C NMR (101 MHz, CDCl3) δ 172.33, 170.25, 162.88, 160.24, 145.70, 143.91, 142.54, 141.48, 141.25, 128.76, 128.49, 128.12, 128.09, 126.89, 126.65, 109.56, 89.50, 73.27, 57.92, 56.17, 48.07, 20.86, 19.25, 17.73; HRM S-ESI (m/z) [M+H]+ calcd for C28H31N2O7, 507.2131; found, 507.2125.

Example 6C: Preparation of (S)—(S)-1,1-diphenylpropan-2-yl 2-(3-((isobutyryloxy)methoxy)-4-methoxypicolinamido)propanoate

[0133]

[0134]

To a solution of (S)—(S)-1,1-diphenylpropan-2-yl 2-(3-hydroxy-4-methoxypicolinamido)-propanoate (Cmp d90; 100 mg, 0.230 mmol) in acetone (4.6 mL) were added sodium carbonate (Na2CO3; 73.2 mg, 0.690 mmol), sodium iodide (NaI; 6.90 mg, 0.046 mmol) and chloromethyl 2-ethoxy acetate (62.9 mg, 0.460 mmol). The mixture was heated to 55° C. overnight and then cooled to room temperature, and the solvent was evaporated. The resulting residue was purified by flash column chromatography (SiO2, 2→30% acetone in hexanes) to afford the title compound (79.0 mg, 64%) as a colorless oil:1H NMR (400 MHz, CDCl3) δ 8.28 (d, J=7.9 Hz, 1H), 8.25 (d, J=5.3 Hz, 1H), 7.36-7.08 (m, 10H), 6.92 (d, J=5.4 Hz, 1H), 5.83 (dq, J=10.1, 6.2 Hz, 1H), 5.79-5.69 (m, 2H), 4.62-4.44 (m, 1H), 4.06 (d, J=10.1 Hz, 1H), 3.86 (s, 3H), 2.53 (hept, J=7.0 Hz, 1H), 1.25 (d, J=6.2 Hz, 3H), 1.13 (d, J=7.0 Hz, 6H), 0.91 (d, J=7.2 Hz, 3H);13C NMR (101 MHz, CDCl3) δ 176.22, 172.34, 162.85, 160.23, 145.55, 144.16, 142.18, 141.48, 141.26, 128.76, 128.49, 128.12, 128.09, 126.89, 126.65, 109.48, 89.90, 73.26, 57.93, 56.12, 48.07, 33.85, 19.26, 18.68, 17.74; HRM S-ESI (m/z) ([M+H]+) calcd for C30H35N2O7, 535.2444; found, 535.2431.

Example A: Evaluation of Fungicidal Activity: Leaf Blotch of Wheat (Zymoseptoria tritici; Bayer Code SEPTTR)

[0135]

Technical grades of materials were dissolved in acetone, which were then mixed with nine volumes of water (H2O) containing 110 ppm Triton X-100. The fungicide solutions were applied onto wheat seedlings using an automated booth sprayer to run-off. All sprayed plants were allowed to air dry prior to further handling. All fungicides were evaluated using the aforementioned method for their activity vs. all target diseases, unless stated otherwise. Wheat leaf blotch and brown rust activity were also evaluated using track spray applications, in which case the fungicides were formulated as EC formulations, containing 0.1% Trycol 5941 in the spray solutions.

[0136]

Wheat plants (variety Yuma) were grown from seed in a greenhouse in 50% mineral soil/50% soil-less Metro mix until the first leaf was fully emerged, with 7-10 seedlings per pot. These plants were inoculated with an aqueous spore suspension of Zymoseptoria tritici either prior to or after fungicide treatments. After inoculation the plants were kept in 100% relative humidity (one day in a dark dew chamber followed by two to three days in a lighted dew chamber at 20° C.) to permit spores to germinate and infect the leaf. The plants were then transferred to a greenhouse set at 20° C. for disease to develop. When disease symptoms were fully expressed on the 1stleaves of untreated plants, infection levels were assessed on a scale of 0 to 100 percent disease severity. Percent disease control was calculated using the ratio of disease severity on treated plants relative to untreated plants.

Example B: Evaluation of Fungicidal Activity: Wheat Brown Rust (Puccinia triticina; Synonym: Puccinia recondita f. sp. tritici; Bayer code PUCCRT)

[0137]

Wheat plants (variety Yuma) were grown from seed in a greenhouse in 50% mineral soil/50% soil-less Metro mix until the first leaf was fully emerged, with 7-10 seedlings per pot. These plants were inoculated with an aqueous spore suspension of Puccinia triticina either prior to or after fungicide treatments. After inoculation the plants were kept in a dark dew room at 22° C. with 100% relative humidity overnight to permit spores to germinate and infect the leaf. The plants were then transferred to a greenhouse set at 24° C. for disease to develop. Fungicide formulation, application and disease assessment followed the procedures as described in the Example A.

Example C: Evaluation of Fungicidal Activity: Wheat Glume Blotch (Leptosphaeria nodorum; Bayer code LEPTNO)

[0138]

Wheat plants (variety Yuma) were grown from seed in a greenhouse in 50% mineral soil/50% soil-less Metro mix until the first leaf was fully emerged, with 7-10 seedlings per pot. These plants were inoculated with an aqueous spore suspension of Leptosphaeria nodorum 24 h after fungicide treatments. After inoculation the plants were kept in 100% relative humidity (one day in a dark dew chamber followed by two days in a lighted dew chamber at 20° C.) to permit spores to germinate and infect the leaf. The plants were then transferred to a greenhouse set at 20° C. for disease to develop. Fungicide formulation, application and disease assessment followed the procedures as described in the Example A.

Example D: Evaluation of Fungicidal Activity: Apple Scab (Venturia inaequalis; Bayer code VENTIN)

[0139]

Apple seedlings (variety McIntosh) were grown in soil-less Metro mix, with one plant per pot. Seedlings with two expanding young leaves at the top (older leaves at bottom of the plants were trimmed) were used in the test. Plants were inoculated with a spore suspension of Venturia inaequalis 24 h after fungicide treatment and kept in a 22° C. dew chamber with 100% relative humidity for 48 h, and then moved to a greenhouse set at 20° C. for disease to develop. Fungicide formulation, application and disease assessment on the sprayed leaves followed the procedures as described in the Example A.

Example E: Evaluation of Fungicidal Activity: Leaf Spot of Sugar Beets (Cercospora beticola; Bayer code CERCBE)

[0140]

Sugar beet plants (variety HH88) were grown in soil-less Metro mix and trimmed regularly to maintain a uniform plant size prior to test. Plants were inoculated with a spore suspension 24 h after fungicide treatments. Inoculated plants were kept in a dew chamber at 22° C. for 48 h then incubated in a greenhouse set at 24° C. under a clear plastic hood with bottom ventilation until disease symptoms were fully expressed. Fungicide formulation, application and disease assessment on the sprayed leaves followed the procedures as described in the Example A.

Example F: Evaluation of Fungicidal Activity: Asian Soybean Rust (Phakopsora pachyrhizi; Bayer code PHAKPA)

[0141]

Technical grades of materials were dissolved in acetone, which were then mixed with nine volumes of H2O containing 0.011% Tween 20. The fungicide solutions were applied onto soybean seedlings using an automated booth sprayer to run-off. All sprayed plants were allowed to air dry prior to further handling.

[0142]

Soybean plants (variety Williams 82) were grown in soil-less Metro mix, with one plant per pot. Two weeks old seedlings were used for testing. Plants were inoculated either 3 days prior to or 1 day after fungicide treatments. Plants were incubated for 24 h in a dark dew room at 22° C. and 100% relative humidity then transferred to a growth room at 23° C. for disease to develop. Disease severity was assessed on the sprayed leaves.

Example G: Evaluation of Fungicidal Activity: Barley Scald (Rhyncosporium secalis; Bayer code RHYNSE)

[0143]

Barley seedlings (variety Harrington) were propagated in soil-less Metro mix, with each pot having 8 to 12 plants, and used in the test when the first leaf was fully emerged. Test plants were inoculated by an aqueous spore suspension of Rhyncosporium secalis 24 h after fungicide treatments. After inoculation the plants were kept in a dew room at 22° C. with 100% relative humidity for 48 h. The plants were then transferred to a greenhouse set at 20° C. for disease to develop. Fungicide formulation, application and disease assessment on the sprayed leaves followed the procedures as described in the Example A.

Example H: Evaluation of Fungicidal Activity: Rice Blast (Pyricularia oryzae; Bayer code PYRIOR)

[0144]

Rice seedlings (variety Japonica) were propagated in soil-less Metro mix, with each pot having 8 to 14 plants, and used in the test when 12 to 14 days old. Test plants were inoculated with an aqueous spore suspension of Pyricularia oryzae 24 h after fungicide treatments. After inoculation the plants were kept in a dew room at 22° C. with 100% relative humidity for 48 h to permit spores to germinate and infect the leaf. The plants were then transferred to a greenhouse set at 24° C. for disease to develop. Fungicide formulation, application and disease assessment on the sprayed leaves followed the procedures as described in the Example A.

Example I: Evaluation of Fungicidal Activity: Tomato Early Blight (Alternaria solani; Bayer code ALTESO)

[0145]

Tomato plants (variety Outdoor Girl) were propagated in soil-less Metro mix, with each pot having one plant, and used when 12 to 14 days old. Test plants were inoculated with an aqueous spore suspension of Alternaria solani 24 h after fungicide treatments. After inoculation the plants were kept in a dew room at 22° C. with 100% relative humidity for 48 h to permit spores to germinate and infect the leaf. The plants were then transferred to a growth room at 22° C. for disease to develop. Fungicide formulation, application and disease assessment on the sprayed leaves followed the procedures as described in the Example A.

Example J: Evaluation of Fungicidal Activity: Cucumber Anthracnose (Colletotrichum lagenarium; Bayer code COLLLA)

[0146]

Cucumber seedlings (variety Bush Pickle) were propagated in soil-less Metro mix, with each pot having one plant, and used in the test when 12 to 14 days old. Test plants were inoculated with an aqueous spore suspension of Colletotrichum lagenarium 24 hr after fungicide treatments. After inoculation the plants were kept in a dew room at 22° C. with 100% relative humidity for 48 hr to permit spores to germinate and infect the leaf. The plants were then transferred to a growth room set at 22° C. for disease to develop. Fungicide formulation, application and disease assessment on the sprayed leaves followed the procedures as described in the Example A.

[0000]

[0000]

US20190059383A1-20190228-T00001

[0000]

[0000]

US20190059383A1-20190228-T00002

[0000]

[0000]

US20190059383A1-20190228-T00003

[0000]

[0000]

US20190059383A1-20190228-T00004

[0000]

[0000]

US20190059383A1-20190228-T00005

[0000]

[0000]

US20190059383A1-20190228-T00006

[0000]

[0000]

US20190059383A1-20190228-T00007

[0000]

[0000]

Как компенсировать расходы
на инновационную разработку
Похожие патенты