Small molecule carbazole compounds for use as androgen receptor inhibitors are provided herein. Also provided herein are methods for using the carbazole compounds in treating prostate cancer, including castration-resistant prostate cancer and enzalutamide-resistant prostate cancer. The methods include administering to a subject an effective amount of a compound or composition as described herein.
1. A compound of the following formula: or a pharmaceutically acceptable salt thereof, wherein:
R1 is selected from the group consisting of hydrogen and substituted or unsubstituted C1-C6 alkyl; and R2, R3, and R4 are each independently selected from the group consisting of hydrogen, halogen, amino, substituted or unsubstituted C1-C6 alkyl, and substituted carbonyl. 2. The compound of 3. The compound of 4. The compound of 5. The compound of 6. The compound of 7. The compound of 8. A composition comprising a compound of 9. A method of treating or preventing cancer in a subject, comprising:
administering to the subject an effective amount of the composition of 10. The method of 11. The method of 12. (canceled) 13. (canceled) 14. (canceled) 15. The method of 16. (canceled) 17. The method of 18. (canceled) 19. The method of 20. (canceled) 21. The method of 22. (canceled) 23. The method of 24. (canceled) 25. The method of 26. (canceled) 27. A method of inhibiting androgen receptor activity in a cell, comprising:
contacting the cell with an effective amount of the compound of 28. The method of 29. (canceled) 30. The method of 31. (canceled)
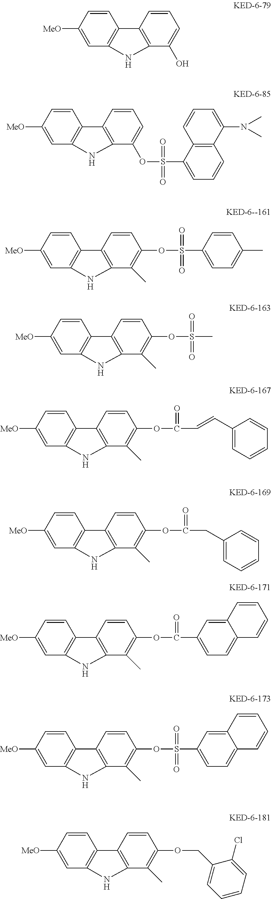
This application claims priority to U.S. Provisional Application No. 62/201,291, filed Aug. 5, 2015, and is incorporated by reference herein in its entirety. This invention was made with government support under grant number R01 CA131123 awarded by the National Institutes of Health. The government has certain rights in the invention. Prostate cancer is the most commonly occurring non-skin cancer in men and is estimated to account for 27% of all cancers diagnosed in men in the United States in 2014. The androgen receptor (AR) signaling pathway is found to be highly active in both early- and late-stage prostate cancer. Androgen ablation therapy, which is commonly used to treat advanced prostate cancer, is often effective in causing initial tumor regression. However, patients who progress on androgen ablation therapy develop a more aggressive androgen-independent cancer phenotype known as castration-resistant prostate cancer. The AR signaling pathway retains activity in patients with castration-resistant prostate cancer in spite of the low levels of circulating androgens. Mechanisms that contribute to the retention of AR activity under castrate conditions include AR gene amplification, mutations that render the AR responsive to other steroids and growth factors, crosstalk with survival pathways such as AKT and MAPK, intra-tumoral and adrenal steroidogenesis, and the expression of constitutively active AR splice variants. Second generation anti-androgens that target the ligand-binding domain (LBD) of the AR have been developed for castration-resistant prostate cancer treatment. Enzalutamide (MDV3100) is currently approved for the treatment of patients with metastatic castration-resistant prostate cancer. ARN-509, a structural analogue of enzalutamide, is currently under Phase III clinical development. In vitro and in vivo studies show that both MDV3100 and ARN-509 inhibit ligand-binding to the AR. Additionally, both agents decrease the transcriptional activity, target gene expression, nuclear localization, and DNA binding of the AR. MDV3100 and ARN-509 are effective in preventing the growth of androgen-dependent VCaP cells in vitro and in decreasing tumor growth in castrate mice in vivo. In a Phase III clinical trial in patients that had progressed on chemotherapy, MDV3100 increased overall survival by approximately five months compared to placebo. A clinical study showed that MDV3100 decreased the risk of radiographic progression and death in chemotherapy naïve men. Although clinical data indicate the benefits of MDV3100 therapy, evidence indicates the emergence of resistance in castration-resistant prostate cancer (CRPC) cell lines and clinical samples that have undergone prolonged treatment with second generation anti-androgens, MDV3100 and ARN-509. MDV3100 is ineffective in preventing the growth of CRPC cell lines like 22Rv1 unless the AR splice variant, AR-V7, is specifically knocked-down. The appearance of a specific missense mutation (F876L) has been demonstrated in the AR LBD in cell lines, xenograft tumors, and clinical samples that have undergone prolonged treatment with MDV3100 and ARN-509. The appearance of this mutation is accompanied by rising prostate-specific antigen (PSA) levels, indicating resistance to anti-androgen therapy. Additionally, patients who are poor responders to MDV3100 treatment show increased expression of the glucocorticoid receptor (GR) in bone marrow biopsies. Elevated GR expression has been implicated as a compensatory mechanism to overcome AR antagonism in vitro and in vivo. Therefore, the benefits of anti-androgen therapy are short-lived. Described herein is an alternative approach to combat emerging resistance that often occurs with current treatments designed to manage prostate cancer. Specifically, provided herein are small molecule carbazole compounds for use as androgen receptor inhibitors. Also provided herein are methods for their use in treating prostate cancer, including castration-resistant prostate cancer and enzalutamide-resistant prostate cancer, in a subject. A class of carbazole compounds described herein includes compounds of the following formula: and pharmaceutically acceptable salts thereof. In these compounds, R1 is selected from the group consisting of hydrogen and substituted or unsubstituted C1-C6 alkyl; and R2, R3, and R4 are each independently selected from the group consisting of hydrogen, halogen, amino, substituted or unsubstituted C1-C6 alkyl, and substituted carbonyl. Optionally, R1 is methyl. Optionally, R2 is hydrogen. Optionally, R3 is methyl. Optionally, R4 is hydrogen. Optionally, R3 and R4 are not simultaneously hydrogen. The compound can optionally be Also described herein are compositions including a compound as described herein and a pharmaceutically acceptable carrier. Further described herein are methods of treating or preventing cancer in a subject. The methods of treating or preventing cancer in a subject comprise administering to the subject an effective amount of a composition as described herein. Optionally, the cancer is prostate cancer (e.g., a castration-resistant prostate cancer or a drug-resistant prostate cancer). Optionally, the drug-resistant prostate cancer is an anti-androgen resistant prostate cancer, such as enzalutamide-resistant prostate cancer. The prostate cancer can be an androgen-independent prostate cancer or androgen-dependent prostate cancer. Optionally, the cancer is breast cancer (e.g., androgen-receptor positive breast cancer). The cancer can optionally be ovarian cancer, such as androgen-receptor positive ovarian cancer. The cancer can optionally be peritoneal cancer (e.g., androgen-receptor positive peritoneal cancer). Optionally, the cancer is fallopian tube cancer (e.g., androgen-receptor positive fallopian tube cancer). The method can further comprise administering a second therapeutic agent to the subject. The second therapeutic agent can be a chemotherapeutic agent. Optionally, the chemotherapeutic agent is selected from the group consisting of enzalutamide, ARN-509, an Akt inhibitor, a glucocorticoid receptor inhibitor, and a survival factor inhibitor. Also described herein are methods of inhibiting androgen receptor activity in a cell. The methods comprise contacting the cell with an effective amount of the compound as described herein. The cell can be an androgen-dependent or an androgen-independent cell. The contacting can be performed in vivo or in vitro. The details of one or more embodiments are set forth in the description and drawings below. Other features, objects, and advantages will be apparent from the description and drawings, and from the claims. Luciferase activity was determined relative to the control. Columns, mean of three independent experiments with quadruplicate samples; bars, SEM. Described herein are small molecule carbazole compounds and methods for their use. The carbozole compounds described herein effectively disrupt androgen receptor (AR) signaling and inhibit growth in castration-resistant and enzalutamide-resistant prostate cancer cells. I. Compounds A class of carbazole compounds described herein is represented by Formula I: and pharmaceutically acceptable salts thereof. In Formula I, R1 is selected from the group consisting of hydrogen and substituted or unsubstituted C1-C6 alkyl. Optionally, R1 is C1-C4 alkyl. Optionally, R1 is C1-C3 alkyl. R1 can be, for example, methyl. Also, in Formula I, R2, R3, and R4 are each independently selected from the group consisting of hydrogen, halogen (e.g., Br, Cl, F, I), substituted or unsubstituted amino, substituted or unsubstituted C1-C6 alkyl, and substituted carbonyl (e.g., acetyl). Optionally, R2 and R4 are each hydrogen. Optionally, R3 is C1-C4 alkyl. Optionally, R3 is C1-C3 alkyl. R3 can be, for example, methyl. Optionally, in Formula I, R3 and R4 are not simultaneously hydrogen. An example of Formula I includes the following compound: Additional examples of carbazole compounds useful in the methods described herein include the following compounds: As used herein, the term substituted is contemplated to include all permissible substituents of organic compounds. In a broad aspect, the permissible substituents include acyclic and cyclic, branched and unbranched, carbocyclic and heterocyclic, and aromatic and nonaromatic substituents of organic compounds. Illustrative substituents include, for example, alkyl, halogenated alkyl, alkoxy, alkenyl, alkynyl, aryl, heteroaryl, aldehyde, amino, carboxylic acid, ester, ether, halide, hydroxy, ketone, nitro, silyl, sulfo-oxo, sulfonyl, sulfone, sulfoxide, or thiol. The permissible substituents can be one or more and the same or different for appropriate organic compounds. For purposes of this disclosure, the heteroatoms, such as nitrogen, can have hydrogen substituents and/or any permissible substituents of organic compounds described herein which satisfy the valencies of the heteroatoms. This disclosure is not intended to be limited in any manner by the permissible substituents of organic compounds. Also, the terms substitution or substituted with include the implicit proviso that such substitution is in accordance with permitted valence of the substituted atom and the substituent, and that the substitution results in a stable compound, e.g., a compound that does not spontaneously undergo transformation such as by rearrangement, cyclization, elimination, etc. The term alkyl as used herein is a branched or unbranched saturated hydrocarbon group of 1 to 6 carbon atoms, such as methyl, ethyl, n-propyl, iso-propyl, n-butyl, sec-butyl, iso-butyl, tert-butyl, n-pentyl, isopentyl, neopentyl, n-hexyl, and the like. The alkyl group can also be substituted or unsubstituted. The alkyl group can be substituted with one or more groups including, but not limited to, alkyl, halogenated alkyl, alkoxy, alkenyl, alkynyl, aryl, heteroaryl, aldehyde, amino, carboxylic acid, ester, ether, halide, hydroxy, ketone, nitro, silyl, sulfo-oxo, sulfonyl, sulfone, sulfoxide, or thiol. The terms amine or amino as used herein are represented by the formula —NZ1Z2, where Z1 and Z2 can each be a substitution group as described herein, such as hydrogen, an alkyl, halogenated alkyl, alkenyl, alkynyl, aryl, heteroaryl, cycloalkyl, cycloalkenyl, heterocycloalkyl, or heterocycloalkenyl group. The term carbonyl group as used herein is represented by the formula —C(O)—Z, where Z is a substitution group as described herein, such as hydrogen, an alkyl, halogenated alkyl, alkenyl, alkynyl, aryl, heteroaryl, cycloalkyl, cycloalkenyl, heterocycloalkyl, or heterocycloalkenyl group. Carbonyl group includes carboxylate or carboxyl groups (i.e., groups represented by the formula —C(O)O−). II. Methods of Making the Compounds The compounds described herein can be prepared in a variety of ways. The compounds can be synthesized using various synthetic methods. At least some of these methods are known in the art of synthetic organic chemistry. The compounds described herein can be prepared from readily available starting materials. Optimum reaction conditions can vary with the particular reactants or solvent used, but such conditions can be determined by one skilled in the art by routine optimization procedures. Variations on Formula I and the compounds described herein include the addition, subtraction, or movement of the various constituents as described for each compound. Similarly, when one or more chiral centers are present in a molecule, all possible chiral variants are included. Additionally, compound synthesis can involve the protection and deprotection of various chemical groups. The use of protection and deprotection and the selection of appropriate protecting groups can be determined by one skilled in the art. The chemistry of protecting groups can be found, for example, in Wuts, Greene's Protective Groups in Organic Synthesis, 5th. Ed., Wiley & Sons, 2014, which is incorporated herein by reference in its entirety. Reactions to produce the compounds described herein can be carried out in solvents, which can be selected by one of skill in the art of organic synthesis. Solvents can be substantially nonreactive with the starting materials (reactants), the intermediates, or products under the conditions at which the reactions are carried out, i.e., temperature and pressure. Reactions can be carried out in one solvent or a mixture of more than one solvent. Product or intermediate formation can be monitored according to any suitable method known in the art. For example, product formation can be monitored by spectroscopic means, such as nuclear magnetic resonance spectroscopy (e.g.,1H or13C), infrared spectroscopy, spectrophotometry (e.g., UV-visible), or mass spectrometry, or by chromatography such as high performance liquid chromatography (HPLC) or thin layer chromatography. Compounds described by Formula I and pharmaceutically acceptable salts thereof can be made using the method shown in Scheme 1, which depicts the synthesis of compounds of Formula I wherein R2 is hydrogen. Reagents and conditions: (a) Pd(PPh3)4, K2CO3, toluene-ethanol-water, reflux; (b) PPh3, 1,3-DCB, 250° C., 200 W, microwaves; (c) 1-naphthalenesulfonyl chloride, DCM-TEA. As depicted in Scheme 1, the compounds according to Formula I wherein R2 is hydrogen can be synthesized in three steps. A palladium-catalyzed cross-coupling reaction can be carried out between the 4-hydroxyphenylboronic acid (1) and the iodo-nitrobenzene (2), providing the biphenyl-4-ol compound (3). A one-step cyclization of the 2-nitrobiphenyl system can be performed under microwave conditions to yield carbazole (4). Carbazole (4) can be treated with 1-naphthalenesulfonyl chloride in the presence of trimethylamine to provide the target sulfonic ester (5). III. Pharmaceutical Formulations The compounds described herein or derivatives thereof can be provided in a pharmaceutical composition. Depending on the intended mode of administration, the pharmaceutical composition can be in the form of solid, semi-solid or liquid dosage forms, such as, for example, tablets, suppositories, pills, capsules, powders, liquids, or suspensions, preferably in unit dosage form suitable for single administration of a precise dosage. The compositions include a therapeutically effective amount of the compound described herein or derivatives thereof in combination with a pharmaceutically acceptable carrier and, in addition, may include other medicinal agents, pharmaceutical agents, carriers, or diluents. By pharmaceutically acceptable is meant a material that is not biologically or otherwise undesirable, which can be administered to an individual along with the selected compound without causing unacceptable biological effects or interacting in a deleterious manner with the other components of the pharmaceutical composition in which it is contained. As used herein, the term carrier encompasses any excipient, diluent, filler, salt, buffer, stabilizer, solubilizer, lipid, stabilizer, or other material well known in the art for use in pharmaceutical formulations. The choice of a carrier for use in a composition will depend upon the intended route of administration for the composition. The preparation of pharmaceutically acceptable carriers and formulations containing these materials is described in, e.g., Remington: The Science and Practice of Pharmacy, 22d Edition, Loyd et al. eds., Pharmaceutical Press and Philadelphia College of Pharmacy at University of the Sciences (2012). Examples of physiologically acceptable carriers include buffers, such as phosphate buffers, citrate buffer, and buffers with other organic acids; antioxidants including ascorbic acid; low molecular weight (less than about 10 residues) polypeptides; proteins, such as serum albumin, gelatin, or immunoglobulins; hydrophilic polymers, such as polyvinylpyrrolidone; amino acids such as glycine, glutamine, asparagine, arginine or lysine; monosaccharides, disaccharides, and other carbohydrates, including glucose, mannose, or dextrins; chelating agents, such as EDTA; sugar alcohols, such as mannitol or sorbitol; salt-forming counterions, such as sodium; and/or nonionic surfactants, such as TWEEN® (ICI, Inc.; Bridgewater, N.J.), polyethylene glycol (PEG), and PLURONICS™ (BASF; Florham Park, N.J.). Compositions containing the compound described herein or derivatives thereof suitable for parenteral injection may comprise physiologically acceptable sterile aqueous or nonaqueous solutions, dispersions, suspensions or emulsions, and sterile powders for reconstitution into sterile injectable solutions or dispersions. Examples of suitable aqueous and nonaqueous carriers, diluents, solvents or vehicles include water, ethanol, polyols (propyleneglycol, polyethyleneglycol, glycerol, and the like), suitable mixtures thereof, vegetable oils (such as olive oil) and injectable organic esters such as ethyl oleate. Proper fluidity can be maintained, for example, by the use of a coating such as lecithin, by the maintenance of the required particle size in the case of dispersions and by the use of surfactants. These compositions may also contain adjuvants, such as preserving, wetting, emulsifying, and dispensing agents. Prevention of the action of microorganisms can be promoted by various antibacterial and antifungal agents, for example, parabens, chlorobutanol, phenol, sorbic acid, and the like. Isotonic agents, for example, sugars, sodium chloride, and the like may also be included. Prolonged absorption of the injectable pharmaceutical form can be brought about by the use of agents delaying absorption, for example, aluminum monostearate and gelatin. Solid dosage forms for oral administration of the compounds described herein or derivatives thereof include capsules, tablets, pills, powders, and granules. In such solid dosage forms, the compounds described herein or derivatives thereof is admixed with at least one inert customary excipient (or carrier), such as sodium citrate or dicalcium phosphate, or (a) fillers or extenders, as for example, starches, lactose, sucrose, glucose, mannitol, and silicic acid, (b) binders, as for example, carboxymethylcellulose, alignates, gelatin, polyvinylpyrrolidone, sucrose, and acacia, (c) humectants, as for example, glycerol, (d) disintegrating agents, as for example, agar-agar, calcium carbonate, potato or tapioca starch, alginic acid, certain complex silicates, and sodium carbonate, (e) solution retarders, as for example, paraffin, (f) absorption accelerators, as for example, quaternary ammonium compounds, (g) wetting agents, as for example, cetyl alcohol, and glycerol monostearate, (h) adsorbents, as for example, kaolin and bentonite, and (i) lubricants, as for example, talc, calcium stearate, magnesium stearate, solid polyethylene glycols, sodium lauryl sulfate, or mixtures thereof. In the case of capsules, tablets, and pills, the dosage forms may also comprise buffering agents. Solid compositions of a similar type may also be employed as fillers in soft and hard-filled gelatin capsules using such excipients as lactose or milk sugar as well as high molecular weight polyethyleneglycols, and the like. Solid dosage forms such as tablets, dragees, capsules, pills, and granules can be prepared with coatings and shells, such as enteric coatings and others known in the art. They may contain opacifying agents and can also be of such composition that they release the active compound or compounds in a certain part of the intestinal tract in a delayed manner. Examples of embedding compositions that can be used are polymeric substances and waxes. The active compounds can also be in micro-encapsulated form, if appropriate, with one or more of the above-mentioned excipients. Liquid dosage forms for oral administration of the compounds described herein or derivatives thereof include pharmaceutically acceptable emulsions, solutions, suspensions, syrups, and elixirs. In addition to the active compounds, the liquid dosage forms may contain inert diluents commonly used in the art, such as water or other solvents, solubilizing agents, and emulsifiers, as for example, ethyl alcohol, isopropyl alcohol, ethyl carbonate, ethyl acetate, benzyl alcohol, benzyl benzoate, propyleneglycol, 1,3-butyleneglycol, dimethylformamide, oils, in particular, cottonseed oil, groundnut oil, corn germ oil, olive oil, castor oil, sesame oil, glycerol, tetrahydrofurfuryl alcohol, polyethyleneglycols, and fatty acid esters of sorbitan, or mixtures of these substances and the like. Besides such inert diluents, the composition can also include additional agents, such as wetting, emulsifying, suspending, sweetening, flavoring, or perfuming agents. Suspensions, in addition to the active compounds, may contain additional agents, as for example, ethoxylated isostearyl alcohols, polyoxyethylene sorbitol and sorbitan esters, microcrystalline cellulose, aluminum metahydroxide, bentonite, agar-agar and tragacanth, or mixtures of these substances and the like. Compositions of the compounds described herein or derivatives thereof for rectal administrations are optionally suppositories, which can be prepared by mixing the compounds with suitable non-irritating excipients or carriers, such as cocoa butter, polyethyleneglycol or a suppository wax, which are solid at ordinary temperatures but liquid at body temperature and, therefore, melt in the rectum or vaginal cavity and release the active component. Dosage forms for topical administration of the compounds described herein or derivatives thereof include ointments, powders, sprays, and inhalants. The compounds described herein or derivatives thereof are admixed under sterile conditions with a physiologically acceptable carrier and any preservatives, buffers, or propellants as may be required. Ophthalmic formulations, ointments, powders, and solutions are also contemplated as being within the scope of the compositions. The compositions can include one or more of the compounds described herein and a pharmaceutically acceptable carrier. As used herein, the term pharmaceutically acceptable salt refers to those salts of the compound described herein or derivatives thereof that are, within the scope of sound medical judgment, suitable for use in contact with the tissues of subjects without undue toxicity, irritation, allergic response, and the like, commensurate with a reasonable benefit/risk ratio, and effective for their intended use, as well as the zwitterionic forms, where possible, of the compounds described herein. The term salts refers to the relatively non-toxic, inorganic and organic acid addition salts of the compounds described herein. These salts can be prepared in situ during the isolation and purification of the compounds or by separately reacting the purified compound in its free base form with a suitable organic or inorganic acid and isolating the salt thus formed. Representative salts include the hydrobromide, hydrochloride, sulfate, bisulfate, nitrate, acetate, oxalate, valerate, oleate, palmitate, stearate, laurate, borate, benzoate, lactate, phosphate, tosylate, citrate, maleate, fumarate, succinate, tartrate, naphthylate mesylate, glucoheptonate, lactobionate, methane sulphonate, and laurylsulphonate salts, and the like. These may include cations based on the alkali and alkaline earth metals, such as sodium, lithium, potassium, calcium, magnesium, and the like, as well as non-toxic ammonium, quaternary ammonium, and amine cations including, but not limited to ammonium, tetramethylammonium, tetraethylammonium, methylamine, dimethylamine, trimethylamine, triethylamine, ethylamine, and the like. (See S. M. Barge et al., J. Pharm. Sci. (1977) 66: 1, which is incorporated herein by reference in its entirety, at least, for compositions taught therein.) Administration of the compounds and compositions described herein or pharmaceutically acceptable salts thereof can be carried out using therapeutically effective amounts of the compounds and compositions described herein or pharmaceutically acceptable salts thereof as described herein for periods of time effective to treat a disorder. The effective amount of the compounds and compositions described herein or pharmaceutically acceptable salts thereof as described herein may be determined by one of ordinary skill in the art and includes exemplary dosage amounts for a mammal of from about 0.5 to about 200 mg/kg of body weight of active compound per day, which may be administered in a single dose or in the form of individual divided doses, such as from 1 to 4 times per day. Alternatively, the dosage amount can be from about 0.5 to about 150 mg/kg of body weight of active compound per day, about 0.5 to 100 mg/kg of body weight of active compound per day, about 0.5 to about 75 mg/kg of body weight of active compound per day, about 0.5 to about 50 mg/kg of body weight of active compound per day, about 0.5 to about 25 mg/kg of body weight of active compound per day, about 1 to about 20 mg/kg of body weight of active compound per day, about 1 to about 10 mg/kg of body weight of active compound per day, about 20 mg/kg of body weight of active compound per day, about 10 mg/kg of body weight of active compound per day, or about 5 mg/kg of body weight of active compound per day. Those of skill in the art will understand that the specific dose level and frequency of dosage for any particular subject may be varied and will depend upon a variety of factors, including the activity of the specific compound employed, the metabolic stability and length of action of that compound, the species, age, body weight, general health, sex and diet of the subject, the mode and time of administration, rate of excretion, drug combination, and severity of the particular condition. The precise dose to be employed in the formulation will also depend on the route of administration, and the seriousness of the disease or disorder, and should be decided according to the judgment of the practitioner and each subject's circumstances. Effective doses can be extrapolated from dose-response curves derived from in vitro or animal model test systems. Further, depending on the route of administration, one of skill in the art would know how to determine doses that result in a plasma concentration for a desired level of response in the cells, tissues and/or organs of a subject. IV. Methods of Use Provided herein are methods to treat, prevent, or ameliorate cancer in a subject. The methods include administering to a subject an effective amount of one or more of the compounds or compositions described herein, or a pharmaceutically acceptable salt or prodrug thereof. Effective amount, when used to describe an amount of compound in a method, refers to the amount of a compound that achieves the desired pharmacological effect or other biological effect. The compounds and compositions described herein or pharmaceutically acceptable salts thereof are useful for treating cancer in humans, including, without limitation, pediatric and geriatric populations, and in animals, e.g., veterinary applications. Optionally, the cancer is prostate cancer, bladder cancer, brain cancer, breast cancer, colon cancer, cervical cancer, fallopian tube cancer, gastrointestinal cancer, genitourinary cancer, head and neck cancer, lung cancer, ovarian cancer, pancreatic cancer, peritoneal caner, renal cancer, skin cancer, or testicular cancer. The prostate cancer can be androgen-dependent prostate cancer or androgen-independent prostate cancer. As used herein, androgen-dependent prostate cancer means that the cancer cells require high levels of androgens to grow. Androgen-independent prostate cancer means that the cancer cells are not dependent on androgen and can continue to grow even when androgen levels are low or undetectable. In androgen-independent prostate cancer, cancer cell growth can be triggered by ligands other than androgen. Optionally, the prostate cancer can be castration-resistant prostate cancer. As used herein, castration-resistant prostate cancer refers to prostate cancer that is no longer responsive to castration treatment. Optionally, the prostate cancer is a drug-resistant prostate cancer, such as an anti-androgen resistant prostate cancer (e.g., enzalutamide-resistant prostate cancer or ARN-509 resistant prostate cancer). Optionally, the cancer can be an androgen-receptor positive cancer. The cancer can be, for example, androgen-receptor positive breast cancer, androgen-receptor positive ovarian cancer, androgen-receptor positive peritoneal cancer, or androgen-receptor positive fallopian tube cancer. The methods of treating or preventing cancer in a subject can further comprise administering to the subject a therapeutic agent, radiation therapy, or a combination thereof. Thus, the provided compositions and methods can include one or more additional agents. The one or more additional agents and the compounds described herein or pharmaceutically acceptable salts or prodrugs thereof can be administered in any order, including concomitant, simultaneous, or sequential administration. Sequential administration can be administration in a temporally spaced order of up to several days apart. The methods can also include more than a single administration of the one or more additional agents and/or the compounds described herein or pharmaceutically acceptable salts or prodrugs thereof. The administration of the one or more additional agents and the compounds described herein or pharmaceutically acceptable salts or prodrugs thereof can be by the same or different routes and concurrently or sequentially. Additional therapeutic agents include, but are not limited to, chemotherapeutic agents. A chemotherapeutic agent is a compound or composition effective in inhibiting or arresting the growth of an abnormally growing cell. Thus, such an agent may be used therapeutically to treat cancer as well as other diseases marked by abnormal cell growth. Illustrative examples of chemotherapeutic compounds include, but are not limited to, bexarotene, gefitinib, erlotinib, gemcitabine, paclitaxel, docetaxel, topotecan, irinotecan, temozolomide, carmustine, vinorelbine, capecitabine, leucovorin, oxaliplatin, bevacizumab, cetuximab, panitumumab, bortezomib, oblimersen, hexamethylmelamine, ifosfamide, CPT-11, deflunomide, cycloheximide, dicarbazine, asparaginase, mitotant, vinblastine sulfate, carboplatin, colchicine, etoposide, melphalan, 6-mercaptopurine, teniposide, vinblastine, antibiotic derivatives (e.g. anthracyclines such as doxorubicin, liposomal doxorubicin, and diethylstilbestrol doxorubicin, bleomycin, daunorubicin, and dactinomycin); antiandrogens (e.g., enzalutamide, flutamide, nilutamide, bicalutamide, and ARN-509); antiestrogens (e.g., tamoxifen); antimetabolites (e.g., fluorouracil (FU), 5-FU, methotrexate, floxuridine, interferon alpha-2B, glutamic acid, plicamycin, mercaptopurine, and 6-thioguanine); cytotoxic agents (e.g., carmustine, BCNU, lomustine, CCNU, cytosine arabinoside, cyclophosphamide, estramustine, hydroxyurea, procarbazine, mitomycin, busulfan, cisplatin, vincristine and vincristine sulfate); hormones (e.g., medroxyprogesterone, estramustine phosphate sodium, ethinyl estradiol, estradiol, megestrol acetate, methyltestosterone, diethylstilbestrol diphosphate, chlorotrianisene, and testolactone); nitrogen mustard derivatives (e.g., mephalen, chlorambucil, mechlorethamine (nitrogen mustard) and thiotepa); steroids (e.g., bethamethasone sodium phosphate); Akt inhibitors; glucocorticoid receptor inhibitors (e.g., beclometasone, betamethasone, budesonide, ciclesonide, flunisolide, fluticasone, mifepristone, mometasone, and triamcinolone); and survival factor inhibitors (e.g., inhibitors of neurotrophins, cytokines, epidermal growth factor (EGF), platelet-derived growth factor (PDGF), fibroblast growth factor (FGF), insulin-like growth factor (IGF), heparin-binding epidermal growth factor (HB-EGF), vascular endothelial growth factor (VEGF), pigment epithelium-derived factor (PEDF), schwannoma-derived growth factor (SDGF), hepatocyte growth factor (HGF), transforming growth factor-α (TGF-α), transforming growth factor-β (TGF-β), bone morphogenetic proteins (e.g., BMP1-BMP15), growth differentiation factor-9 (GDF-9), granulocyte-colony stimulating factor (G-CSF), granulocyte-macrophage colony stimulating factor (GM-CSF), myostatin (GDF-8), erythropoietin (EPO), and thrombopoietin (TPO)). Optionally, the one or more additional agents can include cancer vaccines, such as PROVENGE® (sipuleucel-T; Dendreon Corp., Seattle, Wash.). Any of the aforementioned additional agents can be used in any combination with the compositions described herein. Combinations are administered either concomitantly (e.g., as an admixture), separately but simultaneously (e.g., via separate intravenous lines into the same subject), or sequentially (e.g., one of the compounds or agents is given first followed by the second). Thus, the term combination is used to refer to concomitant, simultaneous, or sequential administration of two or more agents. The methods and compounds as described herein are useful for both prophylactic and therapeutic treatment. For prophylactic use, a therapeutically effective amount of the compounds and compositions or pharmaceutically acceptable salts thereof as described herein are administered to a subject prior to onset (e.g., before obvious signs of cancer), during early onset (e.g., upon initial signs and symptoms of cancer), or after the development of cancer. Prophylactic administration can occur for several days to years prior to the manifestation of symptoms of cancer. Therapeutic treatment involves administering to a subject a therapeutically effective amount of the compounds and compositions or pharmaceutically acceptable salts thereof as described herein after cancer is diagnosed. The methods herein for prophylactic and therapeutic treatment optionally comprise selecting a subject with or at risk of developing cancer as described herein. A skilled artisan can make such a determination using, for example, a variety of prognostic and diagnostic methods, including, for example, a personal or family history of the disease or condition, clinical tests (e.g., imaging, biopsy, genetic tests), and the like. The compounds described herein are also useful in inhibiting androgen receptor activity in a cell. The methods of inhibiting androgen receptor activity in a cell include contacting the cell with an effective amount of one or more of the compounds as described herein. The cell can be an androgen-dependent cell or an androgen-independent cell. Optionally, the contacting is performed in vivo. Optionally, the contacting is performed in vitro. V. Kits Also provided herein are kits for treating or preventing cancer in a subject. A kit can include any of the compounds or compositions described herein. For example, a kit can include one or more compounds of Formula I or a salt thereof. A kit can further include one or more additional agents, such as a chemotherapeutic agent. A kit can include an oral formulation of any of the compounds or compositions described herein. A kit can additionally include directions for use of the kit (e.g., instructions for treating a subject), a container, a means for administering the compounds or compositions, and/or a carrier. Kits can include multiple doses (e.g., in a blister pack), can include means for administration (e.g., a delivery device like a syringe), or the like. As used herein the terms treatment, treat, or treating refer to a method of reducing one or more symptoms of a disease or condition. Thus in the disclosed method, treatment can refer to a 10%, 20%, 30%, 40%, 50%, 60%, 70%, 80%, 90%, or 100% reduction in the severity of one or more symptoms of the disease or condition. For example, a method for treating a disease is considered to be a treatment if there is a 10% reduction in one or more symptoms or signs (e.g., size of the tumor or rate of tumor growth) of the disease in a subject as compared to a control. As used herein, control refers to the untreated condition (e.g., the tumor cells not treated with the compounds and compositions described herein). Thus the reduction can be a 10%, 20%, 30%, 40%, 50%, 60%, 70%, 80%, 90%, 100%, or any percent reduction in between 10% and 100% as compared to native or control levels. It is understood that treatment does not necessarily refer to a cure or complete ablation of the disease, condition, or symptoms of the disease or condition. As used herein, the terms prevent, preventing, and prevention of a disease or disorder refer to an action, for example, administration of a composition or therapeutic agent, that occurs before or at about the same time a subject begins to show one or more symptoms of the disease or disorder, which inhibits or delays onset or severity of one or more symptoms of the disease or disorder. As used herein, references to decreasing, reducing, or inhibiting include a change of 10%, 20%, 30%, 40%, 50%, 60%, 70%, 80%, 90% or greater as compared to a control level. Such terms can include, but do not necessarily include, complete elimination. As used herein, subject means both mammals and non-mammals. Mammals include, for example, humans; non-human primates, e.g., apes and monkeys; cattle; horses; sheep; rats; mice; pigs; and goats. Non-mammals include, for example, fish and birds. Throughout this application, various publications are referenced. The disclosures of these publications in their entireties are hereby incorporated by reference into this application. The examples below are intended to further illustrate certain aspects of the methods and compositions described herein, and are not intended to limit the scope of the claims. All reagents and solvents were purchased from commercial suppliers and used as received unless noted otherwise. Flash column chromatography separations were done on a Biotage SP1 system (Biotage; Uppsala, Sweden) monitoring at 254 and 310 nm. NMR spectra were recorded on a Varian 400 spectrometer (Agilent Technologies; Santa Clara, Calif.) at 25° C., operating at 400 MHz for1H and 100 MHz for13C NMR. The chemical shifts are expressed in ppm downfield from TMS as an internal standard. Reactions were monitored by thin-layer chromatography (TLC) on silica gel 60 glass slides. The structure of the synthesized compounds follows unequivocally from the mode of synthesis and the m/z values found in their low- and high-resolution mass spectra, TLC and NMR spectroscopy verified the purity. Compound SH-I-125 was synthesized according to the method depicted in Scheme 2. Procedures for each step of the synthesis are provided below. (a) Pd(PPh3)4, K2CO3, toluene-ethanol-water, reflux, 87%; (b) PPh3, 1,3-DCB, 250° C., 200 W, microwaves; 42% for 9 and 47% for 10; (c) 1-naphthalenesulfonyl chloride, DCM-TEA, 85%. 4-Hydroxyphenylboronic acid (6) (2.3 g, 10 mmol) was added to a solution of 4-iodo-3-nitroanisole (7) (3.1 g, 11 mmol) in toluene-ethanol-water (30 mL, v/v/v=4/2/1), followed by Pd(PPh3)4 (350 mg, 0.3 mmol) and K2CO3 (5.3 g, 50 mmol). The mixture was refluxed for 6 hours. After cooling to room temperature, the mixture was filtered through a celite pad. The filtrate was concentrated, diluted with DCM (100 mL), and washed with saturated brine (3×30 mL). After concentration and chromatography (hexane/acetone=6/1), the product afforded was 4′-methoxy-3-methyl-2′-nitrobiphenyl-4-ol (8) (2.3 g, 87%).1H NMR (400 MHz, CDCl3), δ 7.31 (m, 2H), 7.12 (dd, J=2.8 Hz, 8.4 Hz, 1H), 7.04 (s, 1H), 6.98 (d, J=8.0 Hz, 1H), 6.78 (d, J=8.0 Hz, 1H), 3.88 (s, 3H), 2.26 (s, 3H);13C NMR (100 MHz, CDCl3), δ 158.7, 153.7, 132.7, 130.6, 129.5, 128.3, 126.7, 124.1, 118.5, 115.1, 108.8, 55.8, 15.7; MS (TOF-ES+): 260.3 m/z [M+1]+. A mixture of 8 (260 mg, 1 mmol), triphenylphosphine (1.04 g, 4.0 mmol), and 1,3-dichlorobenzene (3 mL) was heated in a microwave (200° C., powermax) for 6 hours. After concentration under reduced pressure and chromatography (toluene/acetone=3/1), compounds 9 (94 mg, 42%) and 10 (107 mg, 47%) were afforded. 1-naphthalenesulfonyl chloride (136 mg, 0.6 mmol) was added to a solution of 9 (90 mg, 0.4 mmol) in anhydrous dichloromethane (2 mL) in the presence of Et3N (0.5 ml) under N2 with stirring at 0° C. After stirring for 2 hours, the mixture was concentrated and chromatographed (hexane/acetone=2/1) to give compound 11 (141 mg, 85%) as a solid.1H NMR (400 MHz, CDCl3), δ 8.82 (d, J=8.4 Hz, 1H), 8.06 (d, J=8.4 Hz, 1H), 8.04 (d, J=7.6 Hz, 1H), 7.91 (d, J=8.4 Hz, 1H), 7.67 (m, 2H), 7.58 (t, J=8.0 Hz, 1H), 7.39 (t, J=8.0 Hz, 1H), 7.35 (d, J=8.4 Hz, 1H), 6.80 (d, J=2.0 Hz, 1H), 6.70 (dd, J=2.0 Hz, J=8.4 Hz, 1H), 6.25 (d, J=8.4 Hz, 1H), 3.76 (s, 3H), 2.28 (s, 3H);13C NMR (100 MHz, CDCl3), δ 159.06, 145.29, 141.38, 139.35, 135.53, 134.16, 131.90, 130.92, 128.93, 128.91, 128.67, 127.31, 125.30, 124.00, 121.63, 121.03, 116.98, 116.80, 113.83, 113.48, 1087.72, 94.84, 55.56, 11.23; HRMS (TOF-ES+): m/z [M+1]+ calcd for C24H19NO4S: 418.1032; found 418.1029. The novel carbazole compound SH-I-125 effectively disrupts AR signaling and induces apoptosis in castration-resistant and enzalutamide-resistant (also referred to herein as MDV3100-resistant) prostate cancer cells. The data described below show that SH-I-125 is more effective than both enzalutamide and ARN509. These findings demonstrate the therapeutic capabilities of SH-I-125 for treating castration-resistant prostate cancer and anti-androgen-resistant prostate cancer. MDV3100 (Enzalutamide) and ARN-509 were purchased from Selleckchem (Houston, Tex.) and were used in the specified concentrations. DHT (Steraloids; Newport, R.I.) and forskolin (Sigma; St. Louis, Mo.) were used in the concentrations indicated below. MG132 was obtained from Tocris Biosciences (Bristol, UK). Prostate cancer cell lines (VCaP and CWR22Rv1) were obtained from American Type Culture Collection (Manassas, Va.) and were cultured in phenol-red free Improved Minimum Essential Media (IMEM) (Invitrogen; Carlsbad, Calif.) containing 10% fetal bovine serum (Atlanta Biologicals; Lawrenceville, Ga.), 2 mM glutamine, 100 U/ml penicillin G sodium, and 100 mg/mL streptomycin sulfate (Sigma; St Louis, Mo.), unless otherwise specified. PrEC, which are non-tumorigenic normal primary prostate epithelial cells, were purchased from Lonza (Walkersville, Md.). VCaP cells were cultured in the above media in the presence of DHT (1 nM) unless otherwise specified. All cell lines used were tested and authenticated by DNA fingerprinting short-tandem repeat (STR) analysis. VCaP and CWR22Rv1 (referred to as 22Rv1) cells were transduced with ARE-luciferase Cignal Lenti Pathway Reporter (Qiagen; Valencia, Calif.) and cultured as described above in the presence of 1 μg/mL puromycin. Following antibiotic selection, cells stably expressing ARE-luciferase were isolated, cloned and cultured to generate a stable ARE-reporter cell lines. VCaP cells were cultured as described above in the presence of DHT (1 nM) and MDV3100 (10 μM) for more than 20 passages. Although marginal cell death was noted during early passages, the majority of the cells survived with no cell death occurring in subsequent passages. 22Rv1 cells were cultured as described above, in the presence MDV3100 (10 μM) for more than 20 passages. No cell death was observed, even in early passages. Western blotting was performed as described in Amin et al., Immunofluorescence staining was performed as described in Amin et al., Cells were treated in the manner indicated below for the specified period of time. MTT assay was performed as described in Amin et al., Live and dead cells were determined using a Cell Viability/Cytotoxicity Assay kit (Biotium Inc.; Hayward, Calif.). Quantitative RT-PCR was performed using the protocol and the primers as described in Amin et al., 22Rv1 cells were plated in equal numbers in a 96-well plate and treated with SH-I-125, MDV3100 and ARN-509 as described below for the indicated periods of time (24-72 hrs), and was followed by caspase 3/7 activity measurement using Caspase-Glo 3/7 Assay (Promega; Madison, Wis.). All data were derived from at least three independent experiments and statistical analyses were conducted by using one-way analysis of variance (ANOVA) or Student's t test, where applicable. Values were presented as means±SEM. p-value<0.05 was considered significant. A cell-based assay was developed to identify potent disruptors of ligand-induced AR signaling with comparable or superior activity to clinical anti-androgens, MDV3100 and ARN-509. Androgen-dependent VCaP cells were made to stably express an androgen-response element luciferase reporter (VCaP-ARE-luc). While this system was highly sensitive to DHT stimulation ( Upon screening the synthetic carbazoles using VCaP-ARE-luc cells, several candidates were identified that disrupted DHT-induced AR transcriptional activity in a manner comparable to MDV3100 and ARN-509 ( SH-I-125 is More Potent than Natural Carbazole, Mahanine in Preventing Cell Proliferation and Disrupting AR Signaling. Since both SH-I-125 and mahanine are carbazoles ( To confirm that SH-I-125 does not ubiquitously and non-specifically inhibit the promoter-luciferase activity of other genes, 22Rv1 cells expressing hTERT promoter-luciferase reporter, c-myc promoter luciferase, or estrogen response element-luciferase were treated with SH-I-125. As shown in MDV3100 and ARN-509 have been shown to be potent anti-androgens by competitive inhibition of AR activation by its ligand, DHT. To establish whether SH-I-125 could similarly disrupt AR signaling, VCaP cells stably expressing ARE-luc reporter (VCaP-ARE-luc) were treated with DHT (1 nM) in the presence of various concentrations of MDV3100, ARN-509, and SH-I-125. MDV3100 and ARN-509 effectively inhibited AR transactivation, evidenced by a linear decline in luciferase activity in the presence of increasing amounts of both MDV3100 and ARN-509. Treatment with a range of doses of SH-I-125 produced a comparable decline in luciferase activity, showing that SH-I-125 possesses the ability to prevent AR activation in a manner similar to MDV3100 and ARN-509 ( SH-I-125 is More Effective than Clinical AR Inhibitors, MDV3100 and ARN-509, in Androgen-Independent Cells. 22Rv1 cells represent a commonly observed castration-resistant phenotype, including androgen-independent growth and the expression of AR splice variants, such as AR-V7. To determine whether MDV3100 and ARN-509 could disrupt AR activation in this cell type, 22Rv1 cells stably expressing ARE-luc reporter (22Rv1-ARE-luc) cells were treated with MDV3100 and ARN-509. The inhibitory effects of these anti-androgens plateaued at 50% and did not decrease to baseline, as seen in androgen-dependent VCaP-ARE-luc cells ( The N-terminal domain of the AR (AR NTD) is known to be its transactivation domain, essential for ligand-independent AR activation. Mahanine is able to inhibit AR activation induced by ligand-independent mechanisms such as forskolin and interleukin-6, which activate the AR NTD. In VCaP cells, which were made to co-express an AR NTD-Gal4-DNA binding domain (AR NTD-Gal4DBD) fusion protein and a luciferase reporter containing the Gal4 binding site (UAS-Luc), SH-I-125 significantly inhibited forskolin-induced AR activation ( To determine the effects of SH-I-125 on prostate cancer cell growth, 22Rv1 cells were treated with SH-I-125 and cell viability was measured after a period of 3 days. It was found that at a dose of 1 μM, cell viability was reduced to 50% of control in the presence of SH-I-125, while MDV3100 and ARN-509 were significantly less effective in preventing the growth of 22Rv1 cells ( It was determined whether caspase activity and apoptosis were induced in 22Rv1 cells upon SH-I-125 treatment. A time-course of SH-I-125 treatment revealed that caspase-3 and -7 activities were significantly induced in 22Rv1 cells after three days treatment. Caspase activation was confirmed by the presence of cleaved caspase-3 and accompanied by the cleavage of PARP, a well-known target of caspase-3, after three days of SH-I-125 treatment ( While SH-I-125 induced caspase activity in both androgen-dependent VCaP cells and androgen-independent 22Rv1 cells, MDV3100 and ARN-509 did not have a similar effect in either cell line, showing that these anti-androgens are ineffective in inducing caspase-mediated cell death in androgen-dependent and androgen-independent prostate cancer cells ( To determine whether SH-I-125 affected the cellular levels of the AR and its splice variants, 22Rv1 cells were treated with a range of doses of SH-I-125 for 3 days, and 1 μM SH-I-125 for 1-3 days ( To establish a mechanism by which SH-I-125 caused a decline in AR and AR-V7 levels, the relative expression of AR and AR-V7 in 22Rv1 cells that had been treated with SH-I-125 for a period of 1-3 days was measured. The data show that SH-I-125 did not affect the message levels of these genes, demonstrating that AR and AR-V7 decline post-translationally in cells treated with SH-I-125 ( SH-I-125 Prevents the Growth of Prostate Cancer Cells that are Resistant to Clinical Anti-Androgens. The emergence of resistance to clinical anti-androgens is an ongoing problem in the treatment of castration-resistant prostate cancer. To establish whether SH-I-125 can prevent the growth of drug-resistant prostate cancer cells, VCaP- and 22Rv1-MDV3100-resistant cells (VCaP-MDVR and 22Rv1-MDVR) were generated by prolonged culturing of these cell lines in the presence of MDV3100 (details described above in the Materials and Methods section). VCaP-MDVR cells showed increased expression of AR splice variants compared to naïve control, whereas no change was observed in splice variants in 22Rv1-MDVR cells ( Drug-Resistant Cells Retain AR Activity in the Presence of Clinical Anti-Androgens, but not Upon Treatment with SH-I-125. VCaP-MDVR and 22Rv1-MDVR stably expressing ARE-luciferase construct (VCaP-MDVR-ARE-luc and 22Rv1-MDVR-ARE-luc) were generated as described above in the Materials and Methods section. Luciferase activity, a measure of AR activation, was only reduced by 50% in VCaP-MDVR-ARE-luc cells by MDV3100 and ARN-509 treatment, which is in contrast to an approximate 80% reduction in VCaP-ARE-luc cells ( Furthermore, while MDV3100 continued to inhibit PSA expression in VCaP-MDVR cells, AR expression was not attenuated as seen before in naïve-VCaP cells ( Although AR nuclear localization remained unaffected by MDV3100 and ARN-509 treatment, SH-I-125 treatment decreased AR nuclear levels and caused it to translocate to the cytoplasm in 22Rv1-MDVR cells ( The compounds and methods of the appended claims are not limited in scope by the specific compounds and methods described herein, which are intended as illustrations of a few aspects of the claims and any compounds and methods that are functionally equivalent are within the scope of this disclosure. Various modifications of the compounds and methods in addition to those shown and described herein are intended to fall within the scope of the appended claims. Further, while only certain representative compounds, methods, and aspects of these compounds and methods are specifically described, other compounds and methods are intended to fall within the scope of the appended claims. Thus, a combination of steps, elements, components, or constituents can be explicitly mentioned herein; however, all other combinations of steps, elements, components, and constituents are included, even though not explicitly stated.CROSS-REFERENCE TO PRIORITY APPLICATION
STATEMENT REGARDING FEDERALLY FUNDED RESEARCH
BACKGROUND
SUMMARY
DESCRIPTION OF DRAWINGS
DETAILED DESCRIPTION
EXAMPLES
Example 1: Synthesis
Reagents and Conditions:
4′-methoxy-3-methyl-2′-nitrobiphenyl-4-ol (8)
7-methoxy-1-methyl-9H-carbazol-2-ol (9) and 7-methoxy-3-methyl-9H-carbazol-2-ol (10)
7-methoxy-1-methyl-9H-carbazol-2-yl naphthalene-1-sulfonate (SH-I-125)
Example 2: SH-I-125 Activity
Materials and Methods
Reagents
Cell Lines
Establishment of Stable VCaP- and 22Rv1-ARE-Luciferase Cell Lines
Establishment of MDV3100-Resistant VCaP and 22Rv1 Cell Lines
Western Blotting
Immunofluorescence Staining
MTT Assay
Live and Dead Cell Staining
Quantitative RT-PCR
Caspase Activity Assay
Statistical Analyses
Results
SH-I-125 is an Effective Disruptor of Ligand-Induced AR Signaling Using a Cell-Based Reporter Assay.
SH-I-125 has Inhibitory Activity on AR Signaling in Androgen-Dependent Cells Comparable to Second Generation Anti-Androgens, MDV3100 and ARN-509.
SH-I-125 Inhibits Growth in Castration-Resistant Prostate Cancer (CRPC) Cells, but not in Non-Tumorigenic Primary Prostate Epithelial Cells.
SH-I-125, but not MDV3100 and ARN-509, Induces Caspase-Mediated Apoptosis in Prostate Cancer Cells.
SH-I-125, but not MDV3100 and ARN-509, Reduces Cellular Levels of AR and AR-V7 by Proteasomal Degradation.