The present disclosure describes compounds and pharmaceutically acceptable salts thereof and compositions and formulations comprising the same that are useful in methods of treating dyskinesia or related disorders, and methods for treating dyskinesia or related disorders.
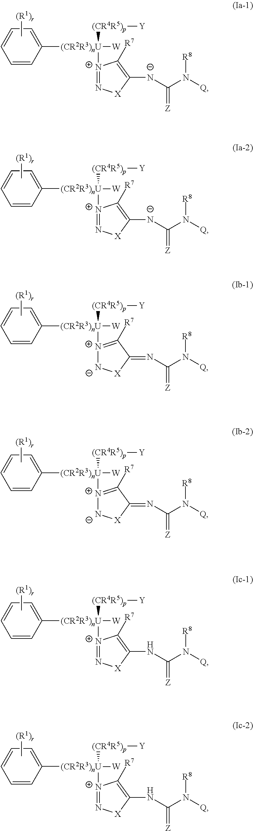
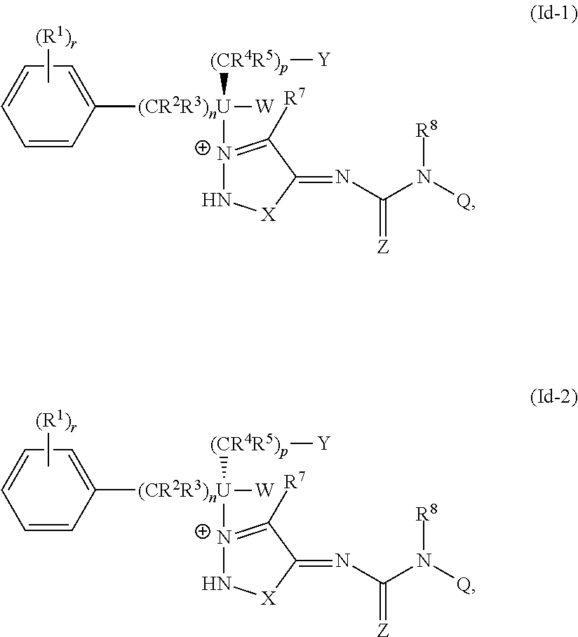
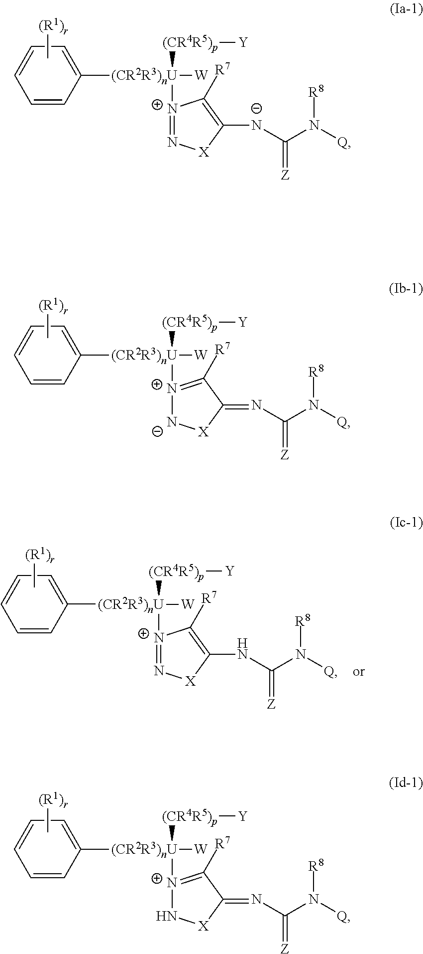
1-99. (canceled) 100. A method of treating a dyskinesia in a human comprising administering to the human in need thereof an effective amount of sydnocarb, or a pharmaceutically acceptable salt thereof, and L-Dopa. 101. The method of 102. The method of 103. The method of 104. The method of 105. The method of 106. The method of 107. The method of 108. The method of 109. The method of or a pharmaceutically acceptable salt thereof, wherein: U is C; W is H; Y is H; X is O; Z is O; Q is phenyl; R1 is H and r is 1; R2 and R3 are H and n is 1; R4 and R5 are H and p is 1; R7 is H; and R8 is H. 110. A method of treating levodopa-induced dyskinesia in a human comprising orally administering to the human in need thereof a pharmaceutical composition in the form of a tablet, pill, or capsule comprising 0.01 mg to 70 mg per kg body weight of sydnocarb comprising the formula or a pharmaceutically acceptable salt thereof, wherein: U is C; W is H; Y is H; X is O; Z is O; Q is phenyl; R1 is H and r is 1; R2 and R3 are H and n is 1; R4 and R5 are H and p is 1; R7 is H; and R8 is H;
and another pharmaceutical composition comprising L-Dopa. 111. A pharmaceutical composition comprising sydnocarb and L-Dopa. 112. A method of treating a sleep disorder characterized by disrupted sleep schedule in a human comprising orally administering to the human in need thereof a pharmaceutical composition in the form of a tablet, pill, or capsule comprising 0.01 mg to 70 mg per kg body weight of sydnocarb comprising the formula or a pharmaceutically acceptable salt thereof, wherein: U is C; W is H; Y is H; X is O; Z is O; Q is phenyl; R1 is H and r is 1; R2 and R3 are H and n is 1; R4 and R5 are H and p is 1; R7 is H; and R8 is H. 113. The method of 114. The method of 115. The method of 116. The method of 117. The method of 118. A method of reducing L-dopa-induced abnormal involuntary movements in a human having Parkinson's Disease, comprising administering sydnocarb, or a pharmaceutically acceptable salt thereof, to the human after administration of L-dopa to the human. 119. A method of enhancing the L-dopa-induced increase in motor function in a human having Parkinson's Disease, comprising administering sydnocarb, or a pharmaceutically acceptable salt thereof, and L-dopa to the human.
The present disclosure describes compounds, compositions, and formulations comprising therapeutically or prophylactically active compounds or pharmaceutically acceptable salts thereof, for treating and/or preventing dyskinesias or other disorders, and methods for treating dyskinesia or other disorders. Sydnocarb (i.e., 3-(β-phenylisopropyl)-N-phenylcarbamoylsydnonimine), also known as mesocarb, is a psychomotor stimulant. In Russia, sydnocarb has been used for over 30 years to treat a variety of neuropsychiatric comorbidities such as asthenia, apathy, and adynamia (Anokhina et al., Zh Nevropatol Psikhiatr Im S S Korsakova, 1974, 74, 594-602; Vinar et al., Neuropsychopharmacology, 1991, 5, 201-217; and Cody, J. Occup. Environ. Med., 2002, 44, 435-450). Although mostly anecdotal, evidence may suggest that sydnocarb increases endurance during heavy physical activity and resistance to environmental stressors such as hypothermia, low gravity, and oxygen deprivation. Sydnocarb may also have beneficial effects in treating alcohol abuse, attention deficit hyperactivity disorder (ADHD), and cognitive impairment (Rudenko et al., Agressologie, 1979, 20, 265-270; Vinar et al., supra; Cody, supra). Although sydnocarb-induced facilitation of dopamine (DA)-mediated transmission has been well established in microdialysis studies, the exact nature of this action (i.e., DA release versus DA transporter (DAT) inhibition) is not clear (Gainetdinov et al., Eur. J. Pharmacol., 1997, 340, 53-58; Afanas'ev et al., Pharmacol. Biochem. Behav., 2001, 69, 653-658; Anderzhanova et al., Eur. J. Pharmacol. 2001, 428, 87-95). More recently, it has been demonstrated that sydnocarb has DAT activity and lacks the rebound hypersomnolence, characteristic of compounds that cause dopamine release (Gruner et al., J. Pharmacol. Exp. Therap., 2011, 337, 380-390). It has been reported that sydnocarb attenuates noradrenaline reuptake based on experiments in rat synaptosomes (Erdö et al., Pol. J. Pharmacol. Pharm., 1981, 33, 141-147). Sydnocarb is also metabolized to D-amphetamine (D-AMPH) in humans and animals, but the sole of D-AMPH in the net in-vivo effects of sydnocarb is unclear. In vivo pharmacological profiles of sydnocarb and D-AMPH largely overlap, suggesting that either sydnocarb and D-AMPH are functionally indistinguishable or the metabolite D-AMPH contributes significantly to the effects produced by sydnocarb (Gainetdinov et al., supra; Witkin et al., J. Pharmacol. Exp. Ther., 1999, 288, 1298-1310); Anderzhanova et al., Ann. NY Acad. Sci. 2000, 914, 137-145; Flood et al., Psychopharmacology, 2010, 211, 325-336). However, there are some important differences between the two drugs. Unlike D-AMPH, neither significant toxic episodes nor abuse potential have been reported with sydnocarb in humans (Mashkovskii et al., Zh Nevropatol Psikhiatr Im S S Korsakova, 1971, 71, 1704-1709; Rudenko et al., supra). Compared with D-AMPH, the stimulating effects of sydnocarb develop more gradually, last longer, and are not accompanied by pronounced euphoria, motor excitation, or peripheral sympathomimetic effects such as tachycardia and hypertension (Rudenko et al., supra). In animals, sydnocarb produces a slower and more gradual increase in extracellular DA in the rat striatum and nucleus accumbens compared with D-AMPH (Gainetdinov et al., supra; Witkin et al., supra; Anderzhanova et al., supra). Relative to D-AMPH, equimolar doses of sydnocarb produce less hyperlocomotion and stereotype as well as smaller changes in the marker of neurotoxicity such as DA depletion, generation of reactive oxygen species, or increases in specific indices of lipid peroxidation (Gainetdinov et al., supra; Witkin et al., supra; Anderzhanova et al., supra; Afanas'ev et al., supra; Bashkatova et al., Ann. NY Acad. Sci., 2002, 965, 180-192). Furthermore, sydnocarb does not exhibit the rebound hypersomnolence seen with D-AMPH as a result of the dopamine release characteristics associated with D-AMPH (Gruner et al., supra). Several studies aimed at investigating the utility of DAT inhibitors in Parkinson's Disease have indicated very little or no utility towards this disease, especially as regards the potential utility of DAT inhibitors towards L-dopa-induced dyskinesias associated with Parkinson's Disease (Lökk, J., Neuropsych. Dis. Treat., 2010, 6, 93-97; Hauser et al., Mov. Disord., 2007, 22, 359-365; and Rascol et al., Arch Neurol., 2008, 65, 577-583). The present disclosure encompasses compounds, compositions, and formulations that may be useful in treating dyskinesia or other disorders in a mammal. In some embodiments, the mammal has or is suspected of having a dyskinesia or another disorder. In particular, the compounds, compositions, and formulations useful in treating a dyskinesia or other disorders include, but are not limited to, compounds, compositions, and formulations comprising a compound of Formula I set forth herein. The present disclosure provides compounds of Formula Ia-1, Formula Ia-2, Formula Ib-1, Formula Ib-2, Formula Ic-1, Formula Ic-2, Formula Id-1, or Formula Id-2: or a pharmaceutically acceptable salt thereof, wherein: U is C or N; each R1 is, independently, H, C1-C6alkyl, C2-C6alkenyl, C2-C6alkynyl, C1-C6alkoxy, C1-C6alkylthio, —CN, —OH, —SH, halo, haloalkyl, —NO2, —N(═O)2, —C(═O)OH, —NH2, —CF3, —NH(C1-C6alkyl), —N(C1-C6alkyl)2, —C(═O)H, carbalkoxy, carboxamido, alkylsulfonyl, alkylsulfonyloxy, aminosulfinyl, dialkylaminosulfinyl, monoalkylaminosulfinyl, aminosulfonyl, monoalkylaminosulfonyl, dialkylaminosulfonyl, alkylsulfonylamino, hydroxysulfonyloxy, alkoxysulfonyloxy, alkylsulfonyloxy, hydroxysulfonyl, alkoxysulfonyl, alkylsulfonylalkyl, aminosulfonylalkyl, monoalkylaminosulfonylalkyl, dialkylaminosulfonylalkyl, aminosulfinylalkyl, monoalkylaminosulfinylalkyl, or dialkylaminosulfinylalkyl, where r is 0, 1, 2, 3, 4, or 5; each R2 and R3 is, independently, H, C1-C6alkyl, C2-C6alkenyl, C2-C6alkynyl, C1-C6alkoxy, C1-C6alkylthio, —CN, —OH, —SH, halo, haloalkyl, —NO2, —C(═O)OH, —NH2, —CF3, —NH(C1-C6alkyl), —N(C1-C6alkyl)2, —C(═O)H, carbalkoxy, carboxamido, alkylsulfonyl, alkylsulfonyloxy, aminosulfinyl, dialkylaminosulfinyl, monoalkylaminosulfinyl, aminosulfonyl, monoalkylaminosulfonyl, dialkylaminosulfonyl, alkylsulfonylamino, hydroxysulfonyloxy, alkoxysulfonyloxy, alkylsulfonyloxy, hydroxysulfonyl, alkoxysulfonyl, alkylsulfonylalkyl, aminosulfonylalkyl, monoalkylaminosulfonylalkyl, dialkylaminosulfonylalkyl, aminosulfinylalkyl, monoalkylaminosulfinylalkyl, dialkylaminosulfinylalkyl, aryl, or arylC1-C6alkyl, where n is 0, 1, 2, 3, or 4; each R4 and R5 is, independently, H, C1-C6alkyl, C2-C6alkenyl, C2-C6alkynyl, C1-C6alkoxy, C1-C6alkylthio, —CN, —OH, —SH, halo, haloalkyl, —NO2, —C(═O)OH, —NH2, —CF3, —NH(C1-C6alkyl), —N(C1-C6alkyl)2, —C(═O)H, carbalkoxy, carboxamido, alkylsulfonyl, alkylsulfonyloxy, aminosulfinyl, dialkylaminosulfinyl, monoalkylaminosulfinyl, aminosulfonyl, monoalkylaminosulfonyl, dialkylaminosulfonyl, alkylsulfonylamino, hydroxysulfonyloxy, alkoxysulfonyloxy, alkylsulfonyloxy, hydroxysulfonyl, alkoxysulfonyl, alkylsulfonylalkyl, aminosulfonylalkyl, monoalkylaminosulfonylalkyl, dialkylaminosulfonylalkyl, aminosulfinylalkyl, monoalkylaminosulfinylalkyl, dialkylaminosulfinylalkyl, aryl, or arylC1-C6alkyl, where p is 0, 1, 2, 3, or 4; W is H or C1-C6alkyl; Y is H, C1-C6alkoxy, C1-C6alkylthio, —CN, —OH, —SH, halo, haloalkyl, —NO2, —C(═O)OH, —NH2, —CF3, —NH(C1-C6alkyl), —N(C1-C6alkyl)2, —C(═O)H, carbalkoxy, carboxamido, alkylsulfonyl, alkylsulfonyloxy, aminosulfinyl, dialkylaminosulfinyl, monoalkylaminosulfinyl, aminosulfonyl, monoalkylaminosulfonyl, dialkylaminosulfonyl, alkylsulfonylamino, hydroxysulfonyloxy, alkoxysulfonyloxy, alkylsulfonyloxy, hydroxysulfonyl, alkoxysulfonyl, alkylsulfonyalkyl, aminosulfonylalkyl, monoalkylaminosulfonylalkyl, dialkylaminosulfonylalkyl, aminosulfinylalkyl, monoalkylaminosulfinylalkyl, or dialkylaminosulfinylalkyl; X is O or S; Z is O or S; R7 is H or halo; Q is H, C1-C6alkyl, aryl, C1-C6alkylaryl, C3-C6cycloalkyl, or heteroaryl, each of which is optionally substituted with —(R6)t, where t is 0, 1, 2, 3, 4, or 5; R5 is H or C1-C6alkyl; each R6 is, independently, H, C1-C6alkyl, C2-C6alkenyl, C2-C6alkynyl, C1-C6alkoxy, C1-C6alkylthio, —CN. —OH, —SH, halo, haloalkyl, —NO2, —N(═O)2, —C(═O)OH, —NH2, —CF3, —O—S(═O)2OH, —NH(C1-C6alkyl), —N(C1-C6alkyl)2, —C(═O)H, —C(═O)C1-C6alkyl, —C(═O)C1-C6alkoxy, carbalkoxy, carboxamido, alkylsulfonyl, alkylsulfonyloxy, aminosulfinyl, dialkylaminosulfinyl, monoalkylaminosulfinyl, aminosulfonyl, monoalkylaminosulfonyl, dialkylaminosulfonyl, alkylsulfonylamino, hydroxysulfonyloxy, alkoxysulfonyloxy, alkylsulfonyloxy, hydroxysulfonyl, alkoxysulfonyl, alkylsulfonylalkyl, aminosulfonylalkyl, monoalkylaminosulfonylalkyl, dialkylaminosulfonylalkyl, aminosulfinylalkyl, monoalkylaminosulfinylalkyl, or dialkylaminosulfinylalkyl. The present disclosure also provides compositions comprising a compound of Formula Ia-1, Formula Ia-2, Formula Ib-1, Formula Ib-2, Formula Ic-1, Formula Ic-2, Formula Id-1, or Formula Id-2, or pharmaceutically acceptable salt thereof. In some embodiments, the composition further comprises another therapeutic agent which is an anti-Parkinsonian agent, an agent used to treat dyskinesias, or an agent that induces dyskinesias. The present disclosure also provides formulations for oral administration in the form of a tablet, gel-cap, or capsule comprising from about 1 mg to about 1000 mg of a compound of Formula Ia-1, Formula Ia-2, Formula Ib-1, Formula Ib-2, Formula Ic-1, Formula Ic-2, Formula Id-1, or Formula Id-2, or pharmaceutically acceptable salt thereof. In some embodiments, the formulation further comprises another therapeutic agent chosen from an anti-Parkinsonian agent, an agent used to treat dyskinesias, or an agent that induces dyskinesias. The present disclosure also provides methods of treating a dyskinesia or other disorders in a mammal comprising administering to the mammal in need thereof an effective amount of a compound of Formula Ia-1, Formula Ia-2, Formula Ib-1, Formula Ib-2, Formula Ic-1, Formula Ic-2, Formula Id-1, or Formula Id-2: or a pharmaceutically acceptable salt thereof, wherein: U is C or N; each R1 is, independently, H, C1-C6alkyl, C2-C6alkenyl, C2-C6alkynyl, C1-C6alkoxy, C1-C6alkylthio, —CN, —OH, —SH, halo, haloalkyl, —NO2, —N(═O)2, —C(═O)OH, —NH2, —CF3, —NH(C1-C6alkyl), —N(C1-C6alkyl)2, —C(═O)H, carbalkoxy, carboxamido, alkylsulfonyl, alkylsulfonyloxy, aminosulfinyl, dialkylaminosulfinyl, monoalkylaminosulfinyl, aminosulfonyl, monoalkylaminosulfonyl, dialkylaminosulfonyl, alkylsulfonylamino, hydroxysulfonyloxy, alkoxysulfonyloxy, alkylsulfonyloxy, hydroxysulfonyl, alkoxysulfonyl, alkylsulfonylalkyl, aminosulfonylalkyl, monoalkylaminosulfonylalkyl, dialkylaminosulfonylalkyl, aminosulfinylalkyl, monoalkylaminosulfinylalkyl, or dialkylaminosulfinylalkyl, where r is 0, 1, 2, 3, 4, or 5; each R2 and R3 is, independently, H, C1-C6alkyl, C2-C6alkenyl, C2-C6alkynyl, C1-C6alkoxy, C1-C6alkylthio, —CN, —OH, —SH, halo, haloalkyl, —NO2, —C(═O)OH, —NH2, —CF3, —NH(C1-C6alkyl), —N(C1-C6alkyl)2, —C(═O)H, carbalkoxy, carboxamido, alkylsulfonyl, alkylsulfonyloxy, aminosulfinyl, dialkylamimosulfinyl, monoalkylaminosulfinyl, aminosulfonyl, monoalkylaminosulfonyl, dialkylaminosulfonyl, alkylsulfonylamino, hydroxysulfonyloxy, alkoxysulfonyloxy, alkylsulfonyloxy, hydroxysulfonyl, alkoxysulfonyl, alkylsulfonylalkyl, aminosulfonylalkyl, monoalkylaminosulfonylalkyl, dialkylaminosulfonylalkyl, aminosulfinylalkyl, monoalkylaminosulfinylalkyl, dialkylaminosulfinylalkyl, aryl, or arylC1-C6alkyl, where n is 0, 1, 2, 3, or 4; each R4 and R5 is, independently, H, C1-C6alkyl, C2-C6alkenyl, C2-C6alkynyl, C1-C6alkoxy, C1-C6alkylthio, —CN, —OH, —SH, halo, haloalkyl, —NO2, —C(═O)OH, —NH2, —CF3, —NH(C1-C6alkyl), —N(C1-C6alkyl)2, —C(═O)H, carbalkoxy, carboxamido, alkylsulfonyl, alkylsulfonyloxy, aminosulfinyl, dialkylaminosulfinyl, monoalkylaminosulfinyl, aminosulfonyl, monoalkylaminosulfonyl, dialkylaminosulfonyl, alkylsulfonylamino, hydroxysulfonyloxy, alkoxysulfonyloxy, alkylsulfonyloxy, hydroxysulfonyl, alkoxysulfonyl, alkylsulfonylalkyl, aminosulfonylalkyl, monoalkylaminosulfonylalkyl, dialkylaminosulfonylalkyl, aminosulfinylalkyl, monoalkylaminosulfinylalkyl, dialkylaminosulfinylalkyl, aryl, or arylC1-C6alkyl, where p is 0, 1, 2, 3, or 4; W is H or C1-C6alkyl; Y is H, C1-C6alkoxy, C1-C6alkylthio, —CN, —OH, —SH, halo, haloalkyl, —NO2, —C(═O)OH, —NH2, —CF3, —NH(C3-C6alkyl), —N(C1-C6alkyl)2, —C(═O)H, carbalkoxy, carboxamido, alkylsulfonyl, alkylsulfonyloxy, aminosulfinyl, dialkylaminosulfinyl, monoalkylaminosulfinyl, aminosulfonyl, monoalkylaminosulfonyl, dialkylaminosulfonyl, alkylsulfonylamino, hydroxysulfonyloxy, alkoxysulfonyloxy, alkylsulfonyloxy, hydroxysulfonyl, alkoxysulfonyl, alkylsulfonylalkyl, aminosulfonylalkyl, monoalkylaminosulfonylalkyl, dialkylaminosulfonylalkyl, aminosulfinylalkyl, monoalkylaminosulfinylalkyl, or dialkylaminosulfinylalkyl; X is O or S; Z is O or S; R7 is H or halo; Q is H, C1-C6alkyl, aryl, C1-C6alkylaryl, C3-C6cycloalkyl, or heteroaryl, each of which is optionally substituted with —(R6)t, where t is 0, 1, 2, 3, 4, or 5; R8 is H or C1-C6alkyl; and each R6 is, independently, H, C1-C6alkyl, C2-C6alkenyl, C2-C6alkynyl, C1-C6alkoxy, C1-C6alkylthio, —CN, —OH, —SH, halo, haloalkyl, —NO2, —N(═O)2, —C(═O)OH, —NH2, —CF3, —O—S(═O)OH, —NH(C1-C6alkyl), —N(C1-C6alkyl)2, —C(═O)H, —C(═O)C1-C6alkyl, —C(═O)C1-C6alkoxy, carbalkoxy, carboxamido, alkylsulfonyl, alkylsulfonyloxy, aminosulfinyl, dialkylaminosulfinyl, monoalkylaminosulfinyl, aminosulfonyl, monoalkylaminosulfonyl, dialkylaminosulfonyl, alkylsulfonylamino, hydroxysulfonyloxy, alkoxysulfonyloxy, alkylsulfonyloxy. hydroxysulfonyl, alkoxysulfonyl, alkylsulfonylalkyl, aminosulfonylalkyl, monoalkylaminosulfonylalkyl, dialkylaminosulfonylalkyl, aminosulfinylalkyl, monoalkylaminosulfinylalkyl, or dialkylaminosulfinylalkyl; or pharmaceutically acceptable salt thereof, wherein the other disorder is restless leg syndrome (such as drug-induced or idiopathic), a drug-induced dystonia, chorea (such as Huntington's disease, toxin-induced chorea, Sydenham's chorea, Chorea gravidarum, Wilson's disease, drug-induced chorea, and metabolic and endocrine-related choreas), a tic (such as motor, phonic, simple, complex, and Tourette syndrome), a dystonia (such as acute, generalized, focal, segmental, sexual, intermediate, psychogenic, and Acute Dystonic Reaction), Sodemytopic Parkinson's, a stereotypic movement disorder (such as movement disorder related to autism, genetic, and childhood), obsessive compulsive disorder, narcolepsy (such as cataplexy), transmissible spongiform encephalopathies (such as Creutzfeldt-Jakob disease and Kuru), neuroacanthocytosis, seizure and convulsions, athetosis (track as related to Huntington's Disease, asphyxia, neonatal jaundice, and stroke), or cerebral palsy. In some embodiments, the dyskinesia is levodopa-induced dyskinesia, chronic or tardive dyskinesia, or orofacial dyskinesia. The present disclosure also provides compounds of Formula Ia-1, Formula Ia-2, Formula Ib-1, Formula Ib-2, Formula Ic-1, Formula Ic-2, Formula Id-1, or Formula Id-2, or pharmaceutically acceptable salt thereof, for treating a dyskinesia (such as levodopa-induced dyskinesia, chronic or tardive dyskinesia, and orofacial dyskinesia), restless leg syndrome (such as drug-induced or idiopathic), a drug-induced dystonia, chorea (such as Huntington's disease, toxin-induced chorea, Sydenham's chorea, Chorea gravidarum, Wilson's disease, drug-induced chorea, and metabolic and endocrine-related choreas), a tic (suck as motor, phonic, simple, complex, and Tourette syndrome), a dystonia (such as acute, generalized, focal, segmental, sexual, intermediate, psychogenic, and Acute Dystonic Reaction), Sodemytopic Parkinson's, a stereotypic movement disorder (such as movement disorder related to autism, genetic, and childhood), obsessive compulsive disorder, narcolepsy (such as cataplexy), transmissible spongiform encephalopathies (such as Creutzfeldt-Jakob disease and Kuru), neuroacanthocytosis, seizure and convulsions, athetosis (such as related to Huntington's Disease, asphyxia, neonatal jaundice, and stroke), or cerebral palsy, The present disclosure also provides compounds of Formula Ia-1, Formula Ia-2, Formula Ib-1, Formula Ib-2, Formula Ic-1, Formula Ic-2, Formula Id-1, or Formula Id-2, or pharmaceutically acceptable salt thereof, for use in the manufacture of a medicament for treating a dyskinesia (such as levodopa-induced dyskinesia, chronic or tardive dyskinesia, and orofacial dyskinesia), restless leg syndrome (such as drag-induced or idiopathic), a drug-induced dystonia, chorea (such as Huntington's disease, toxin-induced chorea, Sydenham's chorea, Chorea gravidarum, Wilson's disease, drug-induced chorea, and metabolic and endocrine-related choreas), a tic (such as motor, phonic, simple, complex, and Tourette syndrome), a dystonia (such as acute, generalized, focal, segmental, sexual, intermediate, psychogenic, and Acute Dystonic Reaction), Sodemytopic Parkinson's, a stereotypic movement disorder (such as movement disorder related to autism, genetic, and childhood), obsessive compulsive disorder, narcolepsy (such as cataplexy), transmissible spongiform, encephalopathies (such as Creutzfeldt-Jakob disease and Kuru), neuroacanthocytosis, seizure and convulsions, athetosis (such as related to Huntington's Disease, asphyxia, neonatal jaundice, and stroke), or cerebral palsy. The present disclosure also provides compounds of Formula Ia-1, Formula Ia-2, Formula Ib-1, Formula Ib-2, Formula Ic-1, Formula Ic-2, Formula Id-1, or Formula Id-2, or pharmaceutically acceptable salt thereof, for treating a dyskinesia (such as levodopa-induced dyskinesia, chronic or tardive dyskinesia, and orofacial dyskinesia), restless leg syndrome (such as drug-induced or idiopathic), a drug-induced dystonia, chores (such as Huntington's disease, toxin-induced chorea, Sydenham's chorea. Chorea gravidarum, Wilson's disease, drug-induced chorea, and metabolic and endocrine-related choreas), a tic (such as motor, phonic, simple, complex, and Tourette syndrome), a dystonia (such as acute, generalized, focal, segmental, sexual, intermediate, psychogenic, and Acute Dystonic Reaction), Sodemytopic Parkinson's, a stereotypic movement disorder (such as movement disorder related to autism, genetic, and childhood), obsessive compulsive disorder, narcolepsy (such as cataplexy), transmissible spongiform encephalopathies (such as Creutzfeldt-Jakob disease and Kuru), neuroacanthocytosis, seizure and convulsions, athetosis (such as related to Huntington's Disease, asphyxia, neonatal jaundice, and stroke), or cerebral palsy. The present disclosure also provides compounds of Formula Ia-1, Formula Ia-2, Formula Ib-1, Formula Ib-2, Formula Ic-1, Formula Ic-2, Formula Id-1, or Formula Id-2, or pharmaceutically acceptable salt thereof, in the manufacture of a medicament for treating a dyskinesia (such as levodopa-induced dyskinesia, chronic or tardive dyskinesia, and orofacial dyskinesia), restless leg syndrome (such as drug-induced or idiopathic), a drug-induced dystonia, chorea (such as Huntington's disease, toxin-induced chorea, Sydenham's chorea, Chorea gravidarum, Wilson's disease, drug-induced chorea, and metabolic and endocrine-related, choreas), a tic (such as motor, phonic, simple, complex, and Tourette syndrome), a dystonia (such as acute, generalized, focal, segmental, sexual, intermediate, psychogenic, and Acute Dystonic Reaction), Sodemytopic Parkinson's, a stereotypic movement disorder (such as movement disorder related to autism, genetic, and childhood), obsessive compulsive disorder, narcolepsy (such as cataplexy), transmissible spongiform encephalopathies (such as Creutzfeldt-Jakob disease and Kuru), neuroacanthocytosis, seizure and convulsions, athetosis (such as related to Huntington's Disease, asphyxia, neonatal jaundice, and stroke), or cerebral palsy. The present disclosure also provides compounds of Formula Ia-1, Formula Ia-2, Formula Ib-1, Formula Ib-2, Formula Ic-1, Formula Ic-2, Formula Id-1, or Formula Id-2, or pharmaceutically acceptable salt thereof, or compositions comprising the same, for treating a sleep disorder characterized by disrupted sleep schedule, as well as for treating Parkinson's Disease. The present disclosure also provides compounds of Formula Ia-1, Formula Ia-2, Formula Ib-1, Formula Ib-2, Formula Ic-1, Formula Ic-2, Formula Id-1, or Formula Id-2, or pharmaceutically acceptable salt thereof, or compositions comprising the same, in the manufacture of a medicament for treating a sleep disorder characterized by disrupted sleep schedule, as well as for treating Parkinson's Disease. As used herein, the terms “a” or “an” means that “at least one” or “one or more” unless the context clearly indicates otherwise. As used, herein, the term “about” means that the numerical value is approximate and small variations would not significantly affect the practice of the disclosed embodiments. Where a numerical limitation is used, unless indicated otherwise by the context, “about” means the numerical value can/vary by ±10% and remain within the scope of the disclosed embodiments. As used herein, the term “alkenyl group” means a monovalent unbranched or branched hydrocarbon chain having one or more double bonds therein. The double bond of an alkenyl group can be unconjugated or conjugated to another unsaturated group. Suitable alkenyl groups include, but are not limited to (C2-C6)alkenyl groups, such as vinyl, allyl, butenyl, pentenyl, hexenyl, butadienyl, pentadienyl, hexadienyl, 2-ethylhexenyl, 2-propyl-2-butenyl, 4-(2-methyl-3-butene)-pentenyl. An alkenyl group can be unsubstituted or substituted with one or two suitable substituents. As used herein, the term “alkoxy group” means an —O-alkyl group, wherein alkyl is as defined herein. An alkoxy group can be unsubstituted or substituted with one or two suitable substituents. In some embodiments, the alkyl chain of an alkyloxy group is from 1 to 6 carbon atoms in length, referred to herein, for example, as “(C1-C6)alkoxy.” As used herein, the term “alkoxysulfonyl” means the moiety —S(═O)2O-alkyl, wherein alkyl is as defined herein. As used herein, the term “alkoxysulfonyloxy” means the moiety —OS(═O)2O-alkyl, in which alkyl is as defined herein. As used herein, the term “alkyl” or “alkyl group” means a saturated, monovalent unbranched or branched hydrocarbon chain. Examples of alkyl groups include, but are not limited to, (C1-C6)alkyl groups, such as methyl, ethyl, propyl, isopropyl, 2-methyl-1-propyl, 2-methyl-2-propyl, 2-methyl-1-butyl, 3-methyl-1-butyl, 2-methyl-3-butyl, 2,2-dimethyl-1-propyl, 2-methyl-1-pentyl, 3-methyl-1-pentyl, 4-methyl-1-pentyl, 2-methyl-2-pentyl, 3-methyl-2-pentyl, 4-methyl-2-pentyl, 2,2-dimethyl-1-butyl, 3,3-dimethyl-1-butyl, 2-ethyl-1-butyl, butyl, isobutyl, t-butyl, pentyl, isopentyl, neopentyl, and hexyl, and longer alkyl groups, such as heptyl, and octyl. An alkyl group can be unsubstituted or substituted with one or two suitable substituents. As used herein, the term “alkylsulfonyl” means the moiety —S(═O)2-alkyl, in which alkyl is as defined herein. As used herein, the term “alkylsulfonylalkyl” means the moiety -alkyl-S(═O)2alkyl, wherein alkyl (each instance) is as defined herein. As used herein, the term “alkylsulfonylamino” means the moiety —NHS(═O)-alkyl, in which alkyl is as defined herein. As used herein, the term “alkylsulfonyloxy” means the moiety —OS(═O)2alkyl, wherein alkyl is as defined herein. As used herein, the term “alkynyl group” means monovalent unbranched or branched hydrocarbon chain having one or more triple bonds therein. The triple bond of an alkynyl group can be unconjugated or conjugated to another unsaturated group. Suitable alkynyl groups include, but are not limited to, (C2-C6)alkynyl groups, such as ethynyl, propynyl, butynyl, pentynyl, hexynyl methylpropynyl, 4-methyl-1-butynyl, 4-propyl-2-pentynyl, and 4-butyl-2-hexynyl. An alkynyl group can be unsubstituted or substituted with one or two suitable substituents. As used herein, the term “aminosulfinyl” means the moiety —S(═O)NH2, As used herein, the term “aminosulfinylalkyl” means the moiety -alkyl-S(═O)NH2, wherein alkyl is as defined herein. As used herein, the term “aminosulfonyl” means the moiety —S(═O)2NH2. As used herein, the term “aminosulfinylalkyl” means the moiety -alkyl-S(═O)2-NH2, wherein alkyl is as defined herein. As used herein, the term “aralkyl” means a moiety having 6 to 20 carbon atoms that combine both an aryl group and an alkyl group, as defined above. Any aralkyl moiety of a compound described herein may optionally be substituted with one or more of the substituent groups mentioned herein. As used herein, the term “aryl group” means a monocyclic or polycyclic-aromatic radical comprising carbon and hydrogen atoms. Examples of suitable aryl groups include, but are not limited to, phenyl, tolyl, anthacenyl, fluorenyl, indenyl, azulenyl, and naphthyl, as well as benzo-fused carbocyclic moieties such as 5,6,7,8-tetrahydronaphthyl. An aryl group can be unsubstituted or substituted with one or two suitable substituents. In some embodiments, the aryl group is a monocyclic ring, wherein the ring comprises 6 carbon atoms, referred to herein as “(C6)aryl.” As used herein, the term “aralkyl” means a moiety having 6 to 20 carbon atoms that combine both an aryl group and an alkyl group, as defined above. Any aralkyl moiety of a compound described herein may optionally be substituted with one or more of the substituent groups mentioned herein. As used herein, the term “aryloxy group” means an —O-aryl group, wherein aryl is as defined herein. An aryloxy group can be unsubstituted or substituted with one or two suitable substituents. In some embodiments, the aryl ring of an aryloxy group is a monocyclic ring, wherein the ring comprises 6 carbon atoms, referred to herein as “(C6)aryloxy.” As used herein, the term “benzyl” means —CH2-phenyl. As used herein, the term “carbalkoxy” means the moiety —C(═O)O-alkyl, in which alkyl is as defined herein. As used herein, the term “carbonyl” group is a divalent group of the formula —C(O)—. As used herein, the term “carboxamido” means the moiety —C(═O)O—NR′R″, in which R′ and R″, each independently represent H, alkyl, aryl or aralkyl, all as defined herein. As used herein, the term “compounds described herein” means, collectively, the compounds of Formula I, and pharmaceutically acceptable salts thereof. The compounds are identified herein by their chemical structure and/or chemical name. Where a compound is referred to by both a chemical structure and a chemical name, and that chemical structure and chemical name conflict, the chemical structure is determinative of the compound's identity. The compounds may contain one or more chiral centers and/or double bonds and, therefore, exist as stereoisomers, such as double-bond isomers (i.e., geometric isomers), enantiomers, or diastereomers. The chemical structures depicted herein, and therefore the compounds described herein, encompass all of the corresponding compound's enantiomers and stereoisomers, that is, both the stereomerically pure form (e.g., geometrically pure, enantiomerically pure, or diastereomerically pure) and enantiomeric and stereoisomeric mixtures. Enantiomeric and stereoisomeric mixtures can be resolved into their component enantiomers or stereoisomers by well known methods, such as chiral-phase gas chromatography, chiral-phase high performance liquid chromatography, crystallizing the compound as a chiral salt complex, or crystallizing the compound in a chiral solvent, Enantiomers and stereoisomers can also be obtained from stereomerically- or enantiomerically-pure intermediates, reagents, and catalysts by well known asymmetric synthetic methods. As used herein, the terms “comprising” (and any form of comprising, such as “comprise”, “comprises”, and “comprised”), “having” (and any form of having, such as “have” and “has”), “including” (and any form of including, such as “includes” and “include”), or “containing” (and any form of containing, such as “contains” and “contain”), are inclusive or open-ended and do not exclude additional, unrecited elements or method steps. As used herein, the term “dialkylaminosulfinyl” means the moiety —S(═O)NR′NR″ in which R′ and R″ each, independently, represents H, alkyl, aryl, or aralkyl, all as defined herein. As used herein, the term “dialkylaminosulfinylalkyl” means the moiety -alkyl-S(═O)NR′R″, wherein alkyl is as defined herein, and R′ and R″ each, independently, represents H, alkyl, aryl or aralkyl, all as defined herein. As used herein, the term “dialkylaminosulfonyl” means the moiety —S(═O)2NR′R″ in which R′ and R″ each, independently, represents H, alkyl, aryl, or aralkyl, all as defined herein. As used herein, the term “dialkylaminosulfonylalkyl” means the moiety -alkyl-S(═O)2NR′R″, wherein alkyl is as defined herein, and R′ and R″ each, independently, represents H, alkyl, aryl or aralkyl, all as defined herein. As used herein, the terms “halogen” and “halo” mean, fluorine, chlorine, bromine, and/or iodine. As used herein, the term “heteroaryl group” means a monocyclic- or polycyclic aromatic ring comprising carbon atoms, hydrogen atoms, and one or more heteroatoms, suitably 1 to 3 heteroatoms, independently selected from nitrogen, oxygen, and sulfur. Illustrative examples of heteroaryl groups include, but are not limited to, pyridinyl, pyridazinyl, pyrimidyl, pyrazyl, triazinyl, pyrrolyl pyrazolyl, imidazolyl, (1,2,3)- and (1,2,4)-triazolyl, pyrazinyl (1,2- and 1,4-), pyrimidinyl, tetrazolyl, furyl, thienyl, isoxazolyl, thiazolyl, furyl, phienyl, isoxazolyl, and oxazolyl. A heteroaryl group can be unsubstituted or substituted with one or two suitable substituents. In some embodiments, a heteroaryl group is a monocyclic ring, wherein the ring comprises 2 to 5 carbon atoms and 1 to 3 heteroatoms, referred to herein as “(C2-C5)heteroaryl.” As used herein, the term “heterocycloalkyl group” means a monocyclic or polycyclic ring comprising carbon and hydrogen atoms and at least one heteroatom, suitably, 1 to 3 heteroatoms selected from nitrogen, oxygen, and sulfur, and having no unsaturation. Examples of heterocycloalkyl groups include, but are not limited to, pyrrolidinyl, pyrrolidino, piperdinyl, piperidino, piperazinyl, piperazino, morpholinyl, morpholino, thiomorpholinyl, thiomorpholino, and pyranyl. A heterocycloalkyl group can be unsubstituted or substituted with one or two suitable substituents. In some embodiments, the heterocycloalkyl group is a monocyclic or bicyclic ring, or a monocyclic ring, wherein the ring comprises from 3 to 6 carbon atoms and form 1 to 3 heteroatoms, referred to herein as (C1-C6)heterocycloalkyl. As used herein, the term “heterocyclic radical” or “heterocyclic ring” means a heterocycloalkyl group or a heteroaryl group. As used herein, the term “hydrocarbyl group” means a monovalent group selected from (C1-C8)alkyl, (C2-C8)alkenyl, and (C2-C8)alkynyl, optionally substituted with one or two suitable substituents. In some embodiments, the hydrocarbon chain of a hydrocarbyl group is from 1 to 6 carbon atoms in length, referred to herein as “(C1-C6)hydrocarbyl.” As used herein, the term “hydroxysulfonyl” means the moiety —S(═O)2OH. As used herein, the term “hydroxysulfonyloxy” means the moiety —OS(═O)2OH. As used herein, the phrase “in need thereof” means that the animal or mammal has been identified as having a need for the particular method or treatment. In some embodiments, the identification can be by any means of diagnosis. In any of the methods and treatments described herein, the animal or mammal can be in need thereof. As used herein, the term “isolated” means that the compounds described herein are separated from other components of either (a) a natural source, such as a plant or cell, such as a bacterial culture, or (b) a synthetic organic chemical reaction mixture, such as by conventional techniques. When administered to a mammal (e.g., to an animal for veterinary use or to a human for clinical use) the compounds described herein may be administered in an isolated form. As used herein, “isolated” means that the compounds are separated from other components of either (a) a natural source, such as a plant or cell, such as bacterial culture, or (b) a synthetic organic chemical reaction mixture, such as, via conventional techniques, the compounds are purified. As used herein, “purified” means that when isolated, the isolate contains at least 90%, or at least 95%, or at least 98%, or at least 99% of a compound by weight of the isolate. As used herein, the term “monoalkylaminosulfinyl” means the moiety —S(═O)NHR′ in which R′ is H, alkyl, aryl, or aralkyl, all as defined herein. As used herein, the term “monoalkylaminosulfinylalkyl” means the moiety -alkyl-S(═O)NHR′, wherein alkyl is as defined herein, and R′ is H, alkyl, aryl or aralkyl, all as defined herein. As used herein, the term “monoalkylaminosulfonyl” means the moiety —S(═O)2NHR′ in which R′ is H, alkyl, aryl, or aralkyl, all as defined herein. As used herein, the term “monoalkylaminosulfonylalkyl” means the moiety -alkyl-S(═O)2-NHR′, wherein alkyl is as defined herein, and R′ is H, alkyl, aryl or aralkyl, all as defined herein. As used herein, the term “pharmaceutically acceptable” means approved by a regulatory agency of the Federal or a state government or listed in the U.S. Pharmacopeia or other generally recognized pharmacopeia for use in animals, and more particularly in humans. As used herein, the phrase “pharmaceutically acceptable salt(s)” includes, but is not limited to, salts of acidic or basic groups that may be present in compounds used in the present compositions. Compounds included in the present compositions that are basic in nature are capable of forming a wide variety of salts with various inorganic and organic acids. The acids that may be used to prepare pharmaceutically acceptable acid addition salts of such basic compounds are those that form non-toxic acid addition salts, i.e., salts containing pharmacologically acceptable anions including, but not limited to, sulfuric, citric, maleic, acetic, oxalic, hydrochloride, hydrobromide, hydroiodide, nitrate, sulfate, bisulfate, phosphate, acid phosphate, isonicotinate, acetate, lactate, malonate, mandelate, salicylate, citrate, acid citrate, tartrate, oleate, phthalate, tannate, pantothenate, bitartrate, ascorbate, succinate, maleate, gentisinate, fumarate, gluconate, glucaronate, saccharate, formate, benzoate, glutamate, methanesulfonate, ethanesulfonate, benzenesulfonate, naphthalenesulfonate, p-toluenesulfonate and pamoate (i.e., 1,1′-methylene-bis-(2-hydroxy-3-naphthoate)) salts. Compounds included in the present compositions that include an amino moiety may form pharmaceutically acceptable salts with various amino acids, in addition to the acids mentioned above. Examples of organic amines that may serve as salts include, but are not limited to, ammonium, trimethylammonium, diethylammonium, and tris-(hydroxymethyl)methylammounium. Compounds, included in the present compositions, that are acidic in nature are capable of forming base salts with various pharmacologically acceptable cations. Examples of such salts include alkali metal or alkaline earth metal salts and, particularly, calcium, magnesium, sodium, lithium, zinc, ammonium, potassium, and iron, salts. Another useful salt is L-dopa salt. As used herein, the term “phenyl” means —C6H5. A phenyl group can be unsubstituted or substituted with one or two suitable substituents. As used herein, the term “prevention” or “prevent”, means a reduction of the risk of acquiring a particular disease or disorder. It need not mean the complete elimination of the disease or disorder. As used herein, the term “prodrug” means a derivative of a known direct acting drug, which derivative has enhanced delivery characteristics and therapeutic value as compared to the drug, and is transformed into the active drug by an enzymatic or chemical process. As used herein, the term “purified” means that when isolated, the isolate contains at least 90%, at least 95%, at least 98%, or at least 99% of a compound described herein by weight of the isolate. As used herein, a “suitable substituent” means a group that does not nullify the synthetic or pharmaceutical utility of the compounds described herein or the intermediates useful for preparing them. Examples of suitable substituents include, but are not limited to: (C1-C8)alkyl, (C1-C8)alkenyl, (C1-C8)alkynyl, (C6)aryl, (C3-C5)heteroaryl, (C3-C7)cycloalkyl, (C1-C8)alkoxy, (C6)aryloxy, —CN, —OH, oxo, halo, —NO2, —CO2H, —NH2, —NH((C1-C8)alkyl), —N((C1-C8)alkyl)2, —NH((C6)aryl), —N(C6)aryl)2, —CHO, —CO(C1-C8)alkyl), —CO(C6)aryl), —CO2((C1-C8)alkyl), —CO2((C6)aryl), carbalkoxy, carboxamido, alkylsulfonyl, aminosulfinyl, alkylsulfonyloxy, dialkylaminosulfinyl, monoalkylaminosulfinyl, aminosulfonyl, monoalkylaminosulfonyl, dialkylaminosulfonyl, alkylsulfonylamino, hydroxysulfonyloxy, alkoxysulfonyloxy, alkylsulfonyloxy, hydroxysulfonyl, alkoxysulfonyl, alkylsulfonylalkyl, aminosulfonylalkyl, monoalkylaminosulfonylalkyl, dialkylaminosulfonylalkyl, aminosulfinylalkyl, monoalkylaminosulfinylalkyl, and dialkylaminosulfinylalkyl. One of skill in art can readily choose a suitable substituent based on the stability and pharmacological and synthetic activity of the compound described herein. As used herein, the phrase “therapeutically effective amount” of a composition described herein is measured by the therapeutic effectiveness of a compound described herein, wherein at least one adverse effect of a disorder is ameliorated or alleviated. In one embodiment, the phrase “therapeutically effective amount” of a composition described herein is measured by the therapeutic effectiveness of a compound described herein to treat or prevent dyskinesia. In some embodiments, an effective amount reduces any parameter by which a dyskinesia is measured by at least 10%, by at least 20%, by at least 30%, by at least 40%, by at least 50%, by at least 60%, by at least 70%, by at least 80%, by at least 90%, or by at least 95%. As used herein, the term “treatment” or “treating” means an amelioration of a disease or disorder, or at least one discernible symptom thereof. In another embodiment, “treatment” or “treating” refers to an amelioration of at least one measurable physical parameter, not necessarily discernible by the patient. In yet another embodiment, “treatment” or “treating” means inhibiting the progression of a disease or disorder, either physically, e.g., stabilization of a discernible symptom, physiologically, e.g., stabilization of a physical parameter, or both. In yet another embodiment, “treatment” or “treating” refers to delaying the onset of a disease or disorder. At various places in the present specification, substituents of compounds may be disclosed in groups or in ranges. It is specifically intended that the range or group include each and every individual subcombination of the members of such groups and ranges. For example, the term “C1-C6alkyl” is specifically intended to individually disclose methyl, ethyl, propyl, C4alkyl, C5alkyl, and C6alkyl. For compounds in which a variable appears more than once, each variable can be a different moiety selected from the Markush group defining the variable. For example, where a structure is described having two R groups that are simultaneously present on the same compound, the two R groups can represent different moieties selected from the Markush groups defined for R. In another example, when an optionally multiple substituent is designated in the form, for example, then it is understood that substituent “R” can occur “s” number of times on the ring, and “R” can be a different moiety at each occurrence. Further, in the above example, where the variable T is defined to include hydrogens, such as when T is CH, N, etc., any H can be replaced with a substituent. It is further appreciated that certain features of the disclosure, which are, for clarity, described in the context of separate embodiments, can also be provided in combination in a single embodiment. Conversely, various features of the disclosure which are, for brevity, described in the context of a single embodiment, can also be provided separately or in any suitable subcombination. It is understood that the present disclosure encompasses, where applicable, stereoisomers, diastereomers, and optical stereoisomers of the compounds described herein, as well as mixtures thereof, and uses thereof. Additionally, it is understood that stereoisomers, diastereomers, and optical stereoisomers of the compounds described herein, and mixtures thereof, are within the scope of the present disclosure. By way of non-limiting example, the mixture may be a racemate or the mixture may comprise unequal proportions of one particular stereoisomer over the other. Additionally, the compounds can be provided as a substantially pure stereoisomers, diastereoomers and optical stereoisomers (such as epimers). To the extent that any of the compounds described herein may be asymmetric (e.g., having one or more stereocenters), all such stereoisomers, such as enantiomers and diastereomers, are intended to be included within the scope of the disclosure unless otherwise indicated. Compounds that contain asymmetrically substituted carbon atoms can be isolated in optically active or racemic forms. Methods of preparation of optically active forms from optically active starting materials are known in the art, such as by resolution of racemic mixtures or by stereoselective synthesis. Many geometric isomers of olefins, C═N double bonds, and the like can also be present in the compounds described herein, and all such stable isomers are contemplated in the present disclosure. Cis and trans geometric isomers of the compounds are also included within the scope of the disclosure and can be isolated as a mixture of isomers or as separated isomeric forms. Where a compound capable of stereoisomerism or geometric isomerism is designated in its structure or name without reference to specific R/S or cis/trans configurations, it is intended that all such isomers are contemplated. Resolution of racemic mixtures of compounds can be carried out by any of numerous methods known in the art, including, for example, fractional recrystallization using a chiral resolving acid which is an optically active, salt-forming organic acid. Suitable resolving agents for fractional recrystallization methods include, but are not limited to, optically active acids, such as the D and L forms of tartaric acid, diacetyltartaric acid, dibenzoyltartaric acid, mandelic acid, malic acid, lactic acid, and the various optically active camphorsulfonic acids such as β-camphorsulfonic acid. Other resolving agents suitable for fractional crystallization methods include, but are not limited to, stereoisomerically pure forms of α-methylbenzylamine (e.g., S and R forms, or diastereomerically pure forms), 2-phenylglycinol, norephedrine, ephedrine, N-methylephedrine, cyclohexylethylamine, 1,2-diaminocyclohexane, and the like. Resolution of racemic mixtures can also be carried out by elution on a column packed with an optically active resolving agent (e.g., dinitrobenzoylphenylglycine). Suitable elution solvent compositions can be determined by one skilled in the art. To the extent that the compounds described herein may include tautomeric forms, all such tautomeric forms are intended to be included. Tautomeric forms result from the swapping of a single bond with an adjacent double bond together with the concomitant migration of a proton. Tautomeric forms include prototropic tautomers which are isomeric protonation states having the same empirical formula and total charge. Examples of prototropic tautomers include, but are not limited to, ketone-enol pairs, amide-imidic acid pairs, lactam-lactim pairs, amide-imidic acid pairs, enamine-imine pairs, and annular forms where a proton can occupy two or more positions of a heterocyclic system including, hot not limited to, 1H- and 3H-imidazole, 1H-, 2H- and 4H-1,2,4-triazole, 1H- and 2H-isoindole, and 1H- and 2H-pyrazole. Tautomeric forms can be in equilibrium or sterically locked into one form by appropriate substitution. A person skilled in the art will recognize that compounds of Formula Ia-1, Formula Ia-2, Formula Ib-1, and Formula Ib-2 are “inner salts” and can exist as depicted. Compounds of Formula Ia are tautomers of the corresponding compounds of Formula Ib. A person skilled in the art will recognize that tautomers may exist as discrete entities in the solid state but that in solution the pairs of tautomers may equilibrate to one or the other tautomeric form or to a mixture of the two tautomers depending on the relative thermodynamic stability of the tautomers in the relevant medium. Compounds depicted in this application encompass the possible tautomeric forms as well as the form (or forms) present upon in vivo administration in the systemic circulation of a mammal. A person skilled in the art will also recognize that each of these previously mentioned formula's depicts compounds that can be protonated by an external acid resulting in acid addition compounds of Formula Ic-1, Formula Ic-2, Formula Id-1, and Formula Id-2, In each of these compounds, the positive charge in the five membered heterocyclic (e.g., oxadiazole) ring is associated with an anionic negatively charged counter-ion which arises from the external acid. The external acid may be chosen from a list of pharmaceutically acceptable acids such as those described herein. A person skilled in the art will also recognize that compounds of Formula Ia-1, Formula Ia-2, Formula Ib-1, Formula Ib-2, Formula Ic-1, Formula Ic-2, Formula Id-1, and Formula Id-2 contain a chiral center (when U═C) at the atom position “U” and when the three substituents apart from the heterocyclic ring attached to U are different. The compounds recited in this disclosure encompass both the racemic forms of these chiral compounds as well as the individual enantiomers as depicted in Formula Ia-1, Formula Ia-2, Formula Ib-1, Formula Ib-2, Formula Ic-1, Formula Ic-2, Formula Id-1, or Formula Id-2. The compounds described herein also include hydrates and solvates, as well as anhydrous and non-solvated forms. The compounds described herein may also include all isotopes of atoms occurring in the intermediates or final compounds. Isotopes include those atoms having the same atomic number but different mass numbers. For example, isotopes of hydrogen include tritium and deuterium. In some embodiments, the compounds, or salts thereof, are substantially isolated. Partial separation can include, for example, a composition enriched in the compound of the disclosure. Substantial separation can include compositions containing at least about 50%, at least about 60%, at least about 70%, at least about 80%, at least about 90%, at least about 95%, at least about 97%, or at least about 99% by weight of the compound of the disclosure, or salt thereof. Methods for isolating compounds and their salts are routine in the art. Although the disclosed compounds are suitable in their stated form, other functional groups can be incorporated into the compound with an expectation of similar results. In particular, thioamides and thioesters are thought to have very similar properties. The distance between aromatic rings can impact the geometrical pattern of the compound and this distance can be altered by incorporating aliphatic chains of varying length, which can be optionally substituted or can comprise an amino acid, a dicarboxylic acid or a diamine. The distance between and the relative orientation of monomers within the compounds can also be altered by replacing the amide bond with a surrogate having additional atoms. Thus, replacing a carbonyl group with a dicarbonyl alters the distance between the monomers and the propensity of dicarbonyl unit to adopt an anti arrangement of the two carbonyl moiety and alter the periodicity of the compound. Pyromellitic anhydride represents still another alternative to simple amide linkages which cast alter the conformation and physical properties of the compound. Modern methods of solid phase organic chemistry (E. Atherton and R. C. Sheppard, Solid Phase Peptide Synthesis A Practical Approach IRL Press Oxford 1989) now allow the synthesis of homodisperse compounds with molecular weights approaching 5,000 Daltons. Other substitution patterns are equally effective. The compounds described herein may also include derivatives referred to as prodrugs, which can be prepared by modifying functional groups present in the compounds in such a way that the modifications are cleaved, either in routine manipulation or in vivo, to the parent compounds. Examples of prodrugs include compounds of the disclosure as described herein that contain one or more molecular moieties appended to a hydroxyl, amino, sulfhydryl, or carboxyl group of the compound, and that when administered to a patient, cleaves in vivo to form the free hydroxyl, amino, sulfhydryl, or carboxyl group, respectively. Examples of prodrugs include, but are not limited to, acetate, formate, and benzoate derivatives of alcohol and amine functional groups in the compounds of the disclosure. Preparation and use of prodrugs is discussed in T. Higuchi et al., “Pro-drugs as Novel Delivery Systems,” Vol. 14 of the A.C.S. Symposium Series, and in The compounds described herein can also be altered to contain an amine function, which can form an N-oxide. A reference herein to a compound that contains an amine function also includes the N-oxide. Where a compound contains several amine functions, one or more than one nitrogen atom can be oxidized to form an N-oxide. Examples of N-oxides include N-oxides of a tertiary amine or a nitrogen atom of a nitrogen-containing heterocycle. N-Oxides can be formed by treatment of the corresponding amine with an oxidizing agent such as hydrogen peroxide or a per-acid (e.g., a peroxycarboxylic acid) (see, Advanced Organic Chemistry, by Jerry March, 4th Edition, Wiley Interscience). The structures depicted herein, may omit necessary hydrogen atoms to complete the appropriate valency. Thus, in some instances a carbon atom or nitrogen atom may appear to have an open valency (i.e., a carbon atom with only two bonds showing would implicitly also be bonded to two hydrogen atoms; in addition, a nitrogen atom with a single bond depicted would implicitly also be bonded to two hydrogen atoms). For example, “—N” would be considered by one skilled in the art to be “—NH2.” Thus, in any structure depleted herein wherein a valency is open, a hydrogen atom is implicit, and is only omitted for brevity. The compounds described herein can also include various charged states. For example, one or more moieties of any of the compounds described herein can be charged. In some instances, any moiety having an amino group can be —NH3+. Thus, each amino group existing in any compound described herein can, independently, be either —NH2 or —NH3+. The present disclosure provides one or more compounds of Formula Ia-1, Formula Ia-2, Formula Ib-1, Formula Ib-2. Formula Ic-1, Formula Ic-2. Formula Id-1, or Formula Id-2: or a pharmaceutically acceptable salt thereof, wherein: U is C or N; each R1 is, independently, H, C1-C6alkyl, C2-C6alkenyl, C2C6alkynyl, C1-C6-alkoxy, C1-C6alkylthio, —CN, —OH, —SH, halo, haloalkyl, —NO2, —N(═O)2, —C(═O)OH, —NH2, —CF3, —NH(C1-C6alkyl), —N(C1-C6alkyl)2, —C(═O)H, carbalkoxy, carboxamido, alkylsulfonyl, alkylsulfonyloxy, aminosulfinyl, dialkylaminosulfinyl, monoalkylaminosulfinyl, aminosulfonyl, monoalkyaminosulfonyl, dialkylaminosulfonyl, alkylsulfonylamino, hydroxysulfonyloxy, alkoxysulfonyloxy, alkylsulfonyloxy, hydroxysulfonyl, alkoxysulfonyl, alkylsulfonylalkyl, aminosulfonylalkyl, monoalkylaminosulfonylalkyl, dialkylaminosulfonylalkyl, aminosulfinylalkyl, monoalkylaminosulfinylalkyl, or dialkylaminosulfinylalkyl, where r is 0, 1,2,3,4, or 5; each R2 and R3 is, independently, H, C1-C6alkyl, C2-C6alkenyl, C2-C6alkynyl, C1-C6alkoxy, C1-C6alkylthio, —CN, —OH, —SH, halo, haloalkyl, —NO2, —C(═O)OH, —NH2, —CF3, —NH(C1-C6alkyl), —N(C1-C6alkyl)2, C(═O)H, carbalkoxy, carboxamido, alkylsulfonyl, alkylsulfonyloxy, aminosulfinyl, dialkylaminosulfinyl, monoalkylaminosulfinyl, aminosulfonyl, monoalkylaminosulfonyl, dialkylaminosulfonyl, alkylsulfonylamino, hydroxysulfonyloxy, alkoxysulfonyloxy, alkylsulfonyloxy, hydroxysulfonyl, alkoxysulfonyl, alkylsulfonylalkyl, aminosulfonylalkyl, monoalkylaminosulfonylalkyl, dialkylaminosulfonylalkyl, aminosulfinylalkyl, monoalkylaminosulfinylalkyl, dialkylaminosulfinylalkyl, aryl, or arylC1-C6alkyl, where n is 0, 1, 2, 3, or 4; each R4 and R5 is, independently, H, C1-C6alkyl, C2-C6alkenyl, C2-C6alkynyl, C1-C6alkoxy, C1-C6alkylthio, —CN, —OH, —SH, halo, haloalkyl, —NO2, —C(═O)OH, —NH2, —CF3, —NH(C1-C6alkyl), —N(C1-C6alkyl)2, —C(═O)H, carbalkoxy, carboxamido, alkylsulfonyl, alkylsulfonyloxy, aminosulfinyl, dialkylaminosulfinyl, monoalkylaminosulfinyl, aminosulfonyl, monoalkylaminosulfonyl, dialkylaminosulfonyl, alkylsulfonylamino, hydroxysulfonyloxy, alkoxysulfonyloxy, alkylsulfonyloxy, hydroxysulfonyl, alkoxysulfonyl, alkylsulfonylalkyl, aminosulfonylalkyl, monoalkylaminosulfonylalkyl, dialkylaminosulfonylalkyl, aminosulfinylalkyl, monoalkylaminosulfinylalkyl, dialkylaminosulfinylalkyl, aryl, or arylC1-C6alkyl, where p is 0, 1, 2, 3, or 4; W is H or C1-C6alkyl; Y is H, C1-C6alkoxy, C1-C6alkylthio, —CN, —OH, —SH, halo, haloalkyl, —NO2, —C(═O)OH, —NH2, —CF3, —NH(C1-C6alkyl), —N(C1-C6alkyl)2, —C(═O)H, carbalkoxy, carboxamido, alkylsulfonyl, alkylsulfonyloxy, aminosulfinyl, dialkylaminosulfinyl, monoalkylaminosulfinyl, aminosulfonyl, monoalkylaminosulfonyl, dialkylaminosulfonyl, alkylsulfonylamino, hydroxysulfonyloxy, alkoxysulfonyloxy, alkylsulfonyloxy, hydroxysulfonyl, alkoxysulfonyl, alkylsulfonylalkyl, aminosulfonylalkyl, monoalkylaminosulfonylalkyl, dialkylaminosulfonylalkyl, aminosulfinylalkyl, monoalkylaminosulfinylalkyl, or dialkylaminosulfinylalkyl; X is O or S; Z is O or S; R7 is H or halo; Q is H, C1-C6alkyl, aryl, C1-C6alkylaryl, C3-C6cycloalkyl, or heteroaryl, each of which is optionally substituted with —(R6)t, where t is 0, 1, 2, 3, 4, or 5; R8 is H or C1-C6alkyl; and each R6 is, independently, H, C1-C6alkyl, C2-C6alkenyl, C2-C6alkynyl, C1-C6alkoxy, C1-C6alkylthio, —CN, —OH —SH, halo, haloalkyl, —NO2, —N(═O)2, —C(═O)OH, —NH2, —CF3, —O—S(═O)2OH, —NH(C1-C6alkyl), —N(C1-C6alkyl)2, —C(═O)H, —C(═O)C1-C6alkyl, —C(═O)C1-C6alkoxy, carbalkoxy, carboxamido, alkylsulfonyl, alkylsulfonyloxy, aminosulfinyl, dialkylaminosulfinyl, monoalkylaminosulfinyl, aminosulfonyl, monoalkylaminosulfonyl, dialkylaminosulfonyl, alkylsulfonylamino, hydroxysulfonyloxy, alkoxysulfonyloxy, alkylsulfonyloxy, hydroxysulfonyl, alkoxysulfonyl, alkylsulfonylalkyl, aminosulfonylalkyl, monoalkylaminosulfonylalkyl, dialkylaminosulfonylalkyl, aminosulfinylalkyl, monoalkylaminosulfinylalkyl, or dialkylaminosulfinylalkyl. In some embodiments, each R3 is, independently, H, C1-C6alkyl, C2-C6alkenyl, C1-C6alkoxy, —CN, —OH, halo, haloalkyl, —NO2, —C(═O)OH, —NH2, —CF3, —NH(C1-C6alkyl), —N(C1-C6alkyl), or —C(═O))H, where r is 1, 2, 3, 4, or 5. In some embodiments, each R1is, independently, H, C1-C6alkyl, C1-C6alkoxy, —CN, —OH, halo, haloalkyl, —C(═O)OH, —NH2, —CF3, or —C(═O)H, where r is 1, 2, 3, 4, or 5. In some embodiments, each R1 is. independently, H, C1-C6alkyl, C1-C6alkoxy, —CN, —OH, halo, —NH2, —CF3where r is 1, 2, 3, 4, or 5. In some embodiments, each R1is, independently, H, C1-C3alkoxy, —OH, halo, —NH2, or —CF3, where r is 1, 2, 3, 4, or 5. In some embodiments, each R1 is, Independently, H, methoxy, ethoxy, F, Cl, Br, —NH2, or —CF3, where r is 1, 2, 3, 4, or 5. In some embodiments, each R1 is, independently, F, Cl, or Br, where r is 1, 2, 3, 4, or 5. In some embodiments, each R1 is F, where r is 1, 2, 3, 4, or 5. In some embodiments, each R2 and R3 is, independently, H, C1-C6alkyl, C1-C6alkenyl, C1-C6alkoxy, —CN, —OR, halo, haloalkyl, —NO2, —C(═O)OH, —NH2, —CF3, —NH(C1-C6alkyl), —Ni(C1-C6alkyl)2, or —C(═O)H, where a is 1, 2, 3, or 4. In some embodiments, R2 and R3 is, independently, H, C1-C3alkyl, C1-C3alkoxy, —CN, —OH, halo, haloalkyl, —N(C1-C3alkyl)2, —NO2, —NH2, or —CF3, where n is 1, 2, 3, or 4. In some embodiments, each R2 and R3 is, independently, H, C1-C6alkyl, —CN, —OH, halo, —N(C1-C6alkyl), —NH2, or —CF3, where n is 1,2, 3, or 4. In some embodiments, each R2 and R3 is, independently, H, C1-C6alkyl, —OH, —N(C1-C3alkyl)2, or halo, where n is 1, 2, or 3. In some embodiments, each R2 and R3 is, independently, H, F, Cl, or Br, where n is 1 or 2. In some embodiments, each R2 and R3 is, independently, H, F, Cl or Br, where n is 1. In some embodiments, R2 and R3 are both H and n is 1. In some embodiments, each R4 and R5 is, independently, H, C1-C6alkyl, C2-C6alkenyl, C1-C6alkoxy, —CN, —OH, halo, haloalkyl, —NO2, —C(═O)OH, —NH2, —CF3, —NH(C1-C6alkyl), —N(C1-C6alkyl)2, or —C(═O)H, where n is 1, 2, 3, or 4. In some embodiments, each R4 and R5 is, independently, H, C1-C6alkyl, C1-C6alkoxy, —CN, —OH, halo, haloalkyl, —NO2, —NH2, or —CF3, where n is 1, 2, 3, or 4. In some embodiments, each R4 and R5 is, independently, H, C1-C3alkyl, —CN, —OH, halo, —NH2, or —CF3, where n is 1, 2, 3, or 4. In some embodiments, each R4 and R4 is, independently, H, C1-C3alkyl, —CN, or halo, where n is 1, 2, or 3. In some embodiments, each R4 and R5 is, independently, H, F, Cl, or Br, where n is 1 or 2. In some embodiments, each R4 and R5 is, independently, H, F, Cl, or Br, where n is 1. In some embodiments, R4 and R5 are both H and n is 1. In some embodiments, Y is H, C1-C6alkoxy, —CN, —OH, halo, haloalkyl, —NH2, or —CF3. In some embodiments, Y is H, C1-C3alkoxy, —CN, —OH, or halo. In some embodiments, Y is H, —CN, —OH, F, Cl, or Br. In some embodiments, Y is H, —OH, F, Cl, or Br. In some embodiments, Y is H. In some embodiments, (CR4R5)p-Y is a C1-C6alkyl. In some embodiments, (CR4R5)p—Y is a C1-C3alkyl. In some embodiments, (CR4R5)p—Y is methyl, or ethyl. In some embodiments, X is O. In some embodiments, Z is O. In some embodiments, Q is aryl chosen from anthracenyl, indanyl, indenyl, naphthyl, phenanthrenyl, phenyl, and tetrahydronaphthyl; or heteroaryl chosen from acridinyl, benzimidazolyl, benzofuryl, benzothienyl, benzoxazolyl, benzthiazolyl, carbazolyl, furazanyl, imidazolyl, indazolyl, indolinyl, indolizinyl, indolyl, 3H-indolyl, isobenzofuranyl, isoindolyl, isoquiunolyl, isothiazolyl, isoxazolyl, napthyridinyl, oxadiazolyl, oxazolyl, perimidinyl, phenanthridinyl, phenanthrolinyl, phenazinyl, phenothiazinyl, phenoxazinyl, phthalazinyl, purinyl, pyranyl, pyrazinyl, pyrazolyl, pyridazinyl, pyridyl, pyrimidinyl, pyrrolyl, 2H-pyrrolyl, pyrryl, quinazolinyl, 4H-quinolizinyl, tetrazolyl, 1,2,4-thiadiazolyl, thianthrenyl, thiazolyl, thienyl, triazinyl, triazolyl, and xanthenyl; wherein the aryl or heteroaryl is optionally substituted with —(R6)t, where t is 0, 1, 2, 3, 4, or 5. In some embodiments, Q is aryl chosen from anthracenyl, naphthyl, and phenyl; or heteroaryl chosen from benzimidazolyl, benzofuryl, benzoxazolyl, carbazolyl, furazanyl, imidazolyl, indazolyl, indolinyl, indolizinyl, indolyl, 3H-indolyl, isoindolyl, isoquinolyl, isothiazolyl, isoxazolyl, naphthyridinyl, oxadiazolyl, oxazolyl, purinyl, pyranyl, pyrazinyl, pyrazolyl, pyridazinyl, pyridyl, pyrimidinyl, pyrrolyl, pyrryl, quinazolinyl, thienyl, triazinyl, and triazolyl; wherein the aryl or heteroaryl is optionally substituted with —(R6)t, where t is 0, 1, 2, 3, 4, or 5. In some embodiments, Q is aryl chosen from naphthyl and phenyl; or heteroaryl chosen from benzimidazolyl, benzoxazolyl, imidazolyl, indazolyl, indolinyl, indolyl, isoquinolyl, isoxazolyl, oxazolyl, purinyl, pyranyl, pyrazinyl, pyrazolyl, pyridazinyl, pyridyl, pyrimidinyl, pyrrolyl, pyrryl, thienyl, and triazolyl; wherein the aryl or heteroaryl is optionally substituted with —(R6)t, where t is 0, 1, 2, 3, 4, or 5. In some embodiments, Q is aryl chosen from naphthyl and phenyl; or heteroaryl chosen from benzimidazolyl, imidazolyl, indolyl. oxazolyl, purinyl, pyranyl, pyrazinyl, pyrazolyl, pyridazinyl, pyridyl, pyrimidinyl, pyrrolyl, pyrryl, thienyl, and triazolyl; wherein the aryl or heteroaryl is optionally substituted with —(R6)t, where t is 0, 1, 2, 3, 4, or 5. In some embodiments, Q is phenyl, pyridazinyl, pyridyl, pyrimidinyl, or triazolyl each of which is optionally substituted with —(R6)t, where t is 0, 1, 2, 3, 4, or 5. In some embodiments, each R6 is, independently, H, —CN, haloalkyl, C1-C6alkyl C1-C6alkoxy, —OH, halo, —N(═O)2, —C(═O)OH, —NH2, —CF3, —O—S(═O)2OH, —N(C1-C6alkyl)2, —C(═O)C1-C6alkyl, or —C(═O)C1-C6alkoxy. In some embodiments, each R6 is, independently, H, C1-C3alkyl, C1-C3alkoxy, —CN, —OH, halo, haloalkyl, —NH2, —CF3, —N(═O)2, —C(═O)OH, —O—S(═O)2OH, —N(C1-C6alkyl)2, —C(═O)C1-C6alkyl, or —C(═O)C1-C6alkoxy. In some embodiments, each R6is, independently, H, C1-C3alkyl, —CN, —OH, halo, —NH2, —CF3, C1-C3alkoxy, —N(═O)2, —C(═O)OH, —O—S(═O)2OH, —N(C1-C3alkyl)2, —C(═O)C1-C3alkyl, or —C(═O)C1-C3alkoxy. In some embodiments, each R6 is, independently, H, C1-C3alkyl, C1-C3alkoxy, —OH, halo, —N(═O)2, —C(═O)OH, —NH2, —CF3, —O—S(═O)2OH, —N(C1-C3alkyl)2, —C(═O)C1-C3alkyl, or —C(═O)C1-C3alkoxy. In some embodiments, each R6 is, independently, H, F, Cl, or Br. In some embodiments, each R6 is, independently, H or F. In some embodiments, U is C. In some embodiments, W is H. In some embodiments, R7 is H. In some embodiments, R8 is H. In some embodiments, each R1 is, independently, H, C1-C6alkyl, C2-C6alkenyl, C1-C6alkoxy, —CN, —OH, halo, haloalkyl, —NO2, —C(═O)OH, —NH2, —CF3, —NH(C1-C6alkyl), —N(C1-C6alkyl)2, or —C(═O)H, where r is 1, 2, 3, 4, or 5; each R2 and R3 is, independently, H, C1-C6alkyl, C2-C6alkenyl, C1-C6alkoxy, —CN, —OH, halo, haloalkyl, —NO2, —C(═O)OH, —NH2, —CF3, —NH(C1-C6alkyl)2, —N(C1-C6alkyl)2, or —C(═O)H, where n is 1, 2, 3, or 4; each R4 and R5 is, independently, H, C1-C6alkyl, C2-C6alkenyl, C1-C6alkoxy, —CN, —OH, halo, haloalkyl —NO2, —C(═O)OH, —NH2, —CF3, —NH(C1-C6alkyl), —N(C1-C6alkyl)2, or —C(═O)H, where n is 1, 2, 3, or 4; Y is H, C1-C6alkoxy, —CN, —OH, halo, haloalkyl, —NH2, or —CF3; X is O; Z is O; Q is aryl chosen from anthracenyl, indanyl, indenyl, naphthyl, phenanthrenyl, phenyl, and tetrahydronaphthyl; or heteroaryl chosen from acridinyl, benzimidazolyl, benzofuryl, benzothienyl, benzoxazolyl, benzthiazolyl, carbazolyl, furazanyl, imidazolyl, indazolyl, indolinyl, indolizinyl, indolyl, 3H-indolyl, isobenzofuranyl, isoindolyl, isoquinolyl, isothiazolyl, isoxazolyl, naphthyridinyl, oxadiazolyl, oxazolyl, perimidinyl, phenanthridinyl, phenanthrolinyl, phenazinyl, phenothiazinyl, phenoxazinyl, phthalazinyl, purinyl, pyranyl, pyrazinyl, pyrazolyl, pyridazinyl, pyridyl, pyrimidinyl, pyrrolyl, 2H-pyrrolyl, pyrryl, quinazolinyl, 4H-quinolizinyl, tetrazolyl, 1,2,4-thiadiazolyl, thianthrenyl, thiazolyl, thienyl, triazinyl, triazolyl, and xanthenyl; wherein the aryl or heteroaryl is optionally substituted with —(R6)t, where t is 0, 1, 2, 3, 4, or 5; each R6 is, independently, H, —CN, haloalkyl, C1-C6alkyl, C1-C6alkoxy, —OH, halo, —N(═O)2, —C(═O)OH, —NH2, —CF3, —O—S(═O)2OH, —N(C1-C6alkyl)2, —C(═O)C1-C6alkyl, or —C(═O)C1-C6alkoxy; U is C; W is H; R7 is H; and R8 is H. In some embodiments, each R1 is, independently, H, C1-C6alkyl, C1-C6alkoxy, —CN, —OH, halo, haloalkyl, —C(═O)OH, —NH2, —CF3, or —C(═O)H, where r is 1, 2, 3, 4, or 5; each R2 and R3 is, independently, H, C1-C3alkyl, C1-C3alkoxy, —CN, —OH, halo, haloalkyl, —N(C1-C3alkyl)2, —NO2, —NH2, or —CF3, where n is 1, 2, 3, or 4; each R4 and R5 is, independently, H, C1-C3alkyl, C1-C3alkoxy, —CN, —OH, halo, haloalkyl, —NO2, —NH2, or —CF3, where n is 1, 2, 3, or 4; Y is H, C1-C3alkoxy, —CN, —OH, or halo; X is O; Z is O; Q is aryl chosen from anthracenyl, naphthyl, and phenyl; or heteroaryl chosen from benzimidazolyl, benzofuryl, benzoxazolyl, carbazolyl, furazanyl, imidazolyl, indazolyl, indolinyl, indolizinyl, indolyl, 3H-indolyl, isoindolyl, isoquinolyl, isothiazolyl, isoxazolyl, naphthyridinyl, oxadiazolyl, oxazolyl, purinyl, pyranyl, pyrazinyl, pyrazolyl, pyridazinyl, pyridyl pyrimidinyl, pyrrolyl, pyrryl, quinazolinyl, thienyl, triazinyl, and triazolyl; wherein the aryl or heteroaryl is optionally substituted with —(R6)t, where t is 0, 1, 2, 3, 4, or 5; each R6 is, independently, H, C1-C3alkyl, C1-C3alkoxy, —CN, —OH, halo, haloalkyl, —NH2, —CF3, —N(═O)2, —C(═O)OH, —O—S(═O)2OH, —N(C1-C6alkyl)2, —C(═O)C1-C6alkyl, or —C(═O)C1-C6alkoxy; U is C; W is H; R7 is H; and R8 is H. In some embodiments, each R1 is, independently, H, C1-C3alkyl, C1-C3alkoxy, —CN, —OH, halo, —NH2, or —CF3, where r is 1, 2, 3, 4, or 5; each R2 and R3 is, independently, H, C1-C3alkyl, —CN, —OH, halo, —N(C1-C3alkyl)2, —NH2, or —CF3, where n is 1, 2, 3, or 4; each R4 and R5 is, independently, H, C1-C3alkyl, —CN, —OH, halo, —NH2, or —CF3, where n is 1, 2, 3, or 4; Y is H, —CN, —OH, F, Cl, or Br; X is O; Z is O; Q is aryl chosen from naphthyl and phenyl; or heteroaryl chosen from benzimidazolyl benzoxazolyl, imidazolyl, indazolyl, indolinyl, indolyl, isoquinolyl, isoxazolyl, oxazolyl, purinyl, pyranyl, pyrazinyl, pyrazolyl, pyridazinyl, pyridyl, pyrimidinyl, pyrrolyl, pyrryl, thienyl, and triazolyl; wherein the aryl or heteroaryl is optionally substituted with —(R6)t, where t is 0, 1, 2, 3, 4, or 5; each R6 is, independently, H, C1-C3alkyl, —CN, —OH, halo, —NH2, —CF3, C1-C3alkoxy, —N(═O)2, —C(═O)OH, —O—S(═O)2OH, —N(C1-C3alkyl)2, —C(═O)C1-C3alkyl, or —C(═O)C1-C3alkoxy; U is C; W is H; R7 is H; and R8 is H. In some embodiments, each R1 is, independently, H, C1-C3alkoxy, —OH, halo, —NH2, or —CF3, where r is 1, 2, 3, 4, or 5; each R2 and R3 is, independently, H, C1-C3alkyl, —OH, —N(C1-C3alkyl)2, or halo, where n is 1, 2, or 3; each R4 and R5 is, independently, H, C1-C3alkyl, —CN, or halo, where n is 1, 2, or 3; Y is H, —OH, F, Cl, or Br; X is O; Z Is O; Q is aryl chosen from naphthyl and phenyl; or heteroaryl chosen from benzimidazolyl, imidazolyl, indolyl, oxazolyl, purinyl, pyranyl, pyrazinyl, pyrazolyl, pyridazinyl, pyridyl, pyrimidinyl, pyrrolyl, pyrryl, thienyl, and triazolyl; wherein the aryl or heteroaryl is optionally substituted with —(R6)t, where t is 0, 1, 2, 3, 4, or 5; each R6 is, independently, H, C1-C3alkyl, C1-C3alkoxy, —OH, halo, —N(═O)2, —C(═O)OH, —NH2, —CF3, —O—S(═O)2OH, —N(C1-C3alkyl)2, —C(═O)C1-C3alkyl, or —C(═O)C1-C3alkoxy; U is C; W is H; R7 is H; and R8 is H. In some embodiments, each R1 is, independently, H, methoxy, ethoxy, F, Cl, Br, —NH2; or —CF3, where r is 1, 2, 3, 4, or 5: each R2 and R3 is, independently, H, F, Cl, or Br, where n is 1 or 2; each R4 and R5 is, independently, H, F, Cl, or Br, where n is 1 or 2; Y is H; X is O; Z is O; Q is phenyl, pyridazinyl, pyridyl, pyrimidinyl, or triazolyl, each of which is optionally substituted with —(R6)t, where t is 0, 1, 2, 3, 4, or 5; each R6 is, independently, H, F, Cl, or Br; U is C; W is H; R7 is H and R8 is H. In some embodiments, each R1 is, independently, F, Cl, or Br, where r is 1, 2, 3, 4, or 5; each R2 and R3 is, independently, H, F, Cl, or Br, where n is 1; each R4 and R5 is, independently, H, F, Cl, or Br, where n is 1; Y is H; X is O; Z is O; Q is phenyl, pyridazinyl, pyridyl, pyrimidinyl, or triazolyl, each of which is optimally substituted with —(R6)t, where t is 0, 1, 2, 3, 4, or 5; each R6 is, independently, H or F; U is C; W is H; R7 is H; and R8 is H. In some embodiments, each R1 is F, where r is 1, 2, 3, 4, or 5; R2 and R3 are both H and n is 1; R4 and R5 are both H and n is 1; Y is H; X is O; Z is O; Q is phenyl, pyridazinyl, pyridyl, pyrimidinyl, or triazolyl, each of which is optionally substituted with —(R6)t, where t is 0, 1, 2, 3, 4, or 5; each R6 is, independently, H or F; U is C; W is H; R7 is H; and R8 is H. Illustrative examples of compounds that are encompassed by Formula I and that may be useful in the methods described herein include, but are not limited to, sydnocarb (U is C; r is 0; R2 and R3 are both H; n is 1; R4 and R5 are both H; p is 1; W is H; Y is H; X is O; Z is O; R7 is H; Q is phenyl; t is 0; and R8 is H), hydroxysydnocarb (U is C; r is 0; R2 and R3 are both H; n is 1; R4 and R5 are both H; p is 1; W is H; Y is H; X is O; Z is O; R7 is H; Q is phenyl; t is 1; R6 is —OH in para position; and R8 is H), or dihydroxysydnocarb (U is C; r is 0; one of R2 and R3 is H and the other of R2 and R3 is —OH; n is 1; R4 and R5 are both H; p is 1; W is H; Y is H; X is O; Z is O; R7 is H; Q is phenyl; t is 1, R6 is —OH in para position; and R8 is H). In some embodiments, the compound(s), or pharmaceutically acceptable salt thereof, is chosen from any one or more of the following (including any enantiomer thereof): In some embodiments, the compound(s), or pharmaceutically acceptable salt thereof, is chosen from any one or more of the following (including any enantiomer (thereof): In some embodiments, the compound is not sydnocarb; hydroxysydnocarb; dihydroxysydnocarb; N-phenylcarbamoyl-3-(benzyl)-sydnonimine; N-(3′,4′-dichlorophenyl)carbamoyl-3-phenethyl-sydnonimine; N-(p-chlorophenyl)carbamoyl-3-phenethylsydnonimine; N-(m-trifluoromethyl)carbamoyl-3-phenethylsydnonimine; 3-(benzyl)sydnonimine-N-phenylcarbarmoyl; 3-(p-methyl-benzyl)sydnonimine-N-phenylcarbamoyl; 3-(phenylpropyl)sydnonimine-N-phenylcarbamoyl; 3-(p carboxylbenzyl)sydnonimine-N-phenylcarbamoyl; 3-(p-fluorobenzy-1)sydnonimine-N-phenylcarbamoyl; 3-phenethylsydnonimine-N-(3′-4′-dichloro-phenyl)carbamoyl; and 3-(p-nitrophenethyl)-sydnonimine-N-(3′,4′-dinitro-phenyl)carbamoyl; or a pharmaceutically acceptable salt thereof. It will be understood that the compounds described herein are illustrative only and not intended to limit the scope of the claims to only those compounds. The compounds described herein can be prepared by organic chemistry techniques known to those of ordinary skill in the art. For example the compounds described herein can be prepared as described in, for example, GB Patent No. 1,262,830, U.S. Patent Application Publication No. 2008/0319030, and U.S. Patent Application Publication No. 2011/0288137, which are incorporated herein by reference in its entirety. Preparation of the compounds described herein can involve the protection and deprotection of various chemical groups. The need for protection and deprotection, and the selection of appropriate protecting groups, can be readily determined by one skilled in the art. The chemistry of protecting groups can be found, for example, in T. W. Greene and P. G. M. Wuts, The compounds described herein also include derivatives referred to as prodrugs, which can be prepared by modifying functional groups present in the compounds in such a manner that the modifications are cleaved, either in routine manipulation or in vivo, to the parent compounds. Prodrugs are intended to include any covalently bonded carriers that release an active parent drug of described herein in vivo when such prodrug is administered to a mammalian subject. Examples of prodrugs include compounds as described herein that contain one or more molecular moieties appended to a hydroxyl, amino, sulfhydryl, or carboxyl group of the compound, and that when administered to a patient, cleaves in vivo to form the free hydroxyl, amino, sulfhydryl or carboxyl group, respectively. Examples of prodrugs include, but are not limited to, acetate, formate and benzoate derivatives of alcohol and amine functional groups in the compounds described herein. Preparation and use of prodrugs is discussed in T. Higuchi et al., “Pro-drugs as Novel Delivery Systems,” Vol. 14 of the A.C.S. Symposium Series, and in Bioreversible Carriers in Drug Design, ed. Edward B. Roche, American Pharmaceutical Association and Pergamon Press, 1987, both of which are incorporated herein by reference in their entireties. The present disclosure also provides compositions comprising one or more of the compounds of Formula I. In some embodiments, the composition is a pharmaceutical composition that comprises a pharmaceutically acceptable carrier. In some embodiments, the compositions may comprise a therapeutically effective amount of a compound described herein, optionally more than one compound described herein, optionally in purified form, together with a suitable amount of a pharmaceutically acceptable carrier. Carriers include diluents, adjuvants, excipients, or other vehicles with which a compound described herein is administered. Such pharmaceutical carriers can be liquids, such as water and oils, including those of petroleum, animal, vegetable or synthetic origin, such as peanut oil, soybean oil, mineral oil, sesame oil, and the like. The pharmaceutical carriers can be saline, gum acacia, gelatin, starch paste, talc, keratin, colloidal silica, urea, and the like. In addition, auxiliary, stabilizing, thickening, lubricating and coloring agents may be used. When administered to a patient, the compounds described herein, and pharmaceutically acceptable carriers are suitably sterile. Water is a suitable carrier when the compound is administered intravenously. Saline solutions and aqueous dextrose and glycerol solutions can also be employed as liquid carriers, particularly for injectable solutions. Suitable pharmaceutical carriers also include excipients such as starch, glucose, lactose, sucrose, gelatin, malt, rice, flour, chalk, silica gel, sodium stearate, glycerol monostearate, tale, sodium chloride, dried skim milk, glycerol, propylene, glycol, water, ethanol, and the like. The present compositions, if desired, can also contain minor amounts of wetting or emulsifying agents, or pH buffering agents. The present compositions can take the form of solutions, suspensions, emulsion, tablets, pills, pellets, capsules, capsules containing liquids, powders, sustained-release formulations, suppositories, emulsions, aerosols, sprays, suspensions, or any other form suitable for use. In one embodiment, the pharmaceutically acceptable carriers is a capsule (see e.g., U.S. Pat. No. 5,698,155). Other examples of suitable pharmaceutical carriers are described in Remington's Pharmaceutical Sciences, A. R. Gennaro (Editor) Mack Publishing Co. In some embodiments, the compounds described herein are formulated in accordance with routine procedures as a pharmaceutical composition adapted for intravenous administration to human beings. Typically, compounds described herein for intravenous administration are solutions in sterile isotonic aqueous buffer. Where necessary, the compositions may also include a solubizing agent. Compositions for intravenous administration may optionally include a local anesthetic such as lidocaine to ease pain at the site of the injection. Generally, the ingredients are supplied either separately or mixed together in unit dosage form, for example, as a dry lyophilized powder or water-free concentrate in a hermetically sealed container such as an ampoule or sachette indicating the quantity of active agent. Where the compound described herein is to be administered by infusion, it can be dispensed, for example, with an infusion bottle containing sterile pharmaceutical grade water or saline. Where the compound described herein is administered by injection, an ampoule of sterile water for injection or saline can be provided so that the ingredients may be mixed prior to administration. The compositions described herein can also be prepared for oral administration. Compositions for oral delivery may be in the form of tablets, lozenges, aqueous or oily suspensions, granules, powders, emulsions, capsules, syrups, or elixirs, for example. Orally administered compositions may contain one or more optional agents, for example, sweetening agents such as fructose, aspartame or saccharin; flavoring agents such as peppermint, oil of wintergreen, or cherry; coloring agents; and preserving agents, to provide a pharmaceutically palatable preparation. Moreover, where in tablet or pill form, the compositions may be coated to delay disintegration and absorption in the gastrointestinal tract thereby providing a sustained action over an extended period of time. Selectively permeable membranes surrounding an osmotically active driving compound are also suitable for orally administered compounds described herein. In these later platforms, fluid from the environment surrounding the capsule is imbibed by the driving compound, which swells to displace the agent or agent composition through an aperture. These delivery platforms can provide an essentially zero order delivery profile as opposed to the spiked profiles of immediate release formulations,. A time-delay material such as glycerol monostearate or glycerol stearate may also be used. Oral compositions can include standard carriers such as mannitol, lactose, starch, magnesium stearate, sodium, saccharine, cellulose, magnesium carbonate, etc. Such carriers are suitably of pharmaceutical grade. The amount of a compound described herein that will be effective in the treatment of a particular disorder or condition disclosed herein will depend on the nature of the disorder or condition, and can be determined by standard clinical techniques. In addition, in vitro or in vivo assays may optionally be employed to help identify optimal dosage ranges. The precise dose to be employed in the compositions will also depend on the route of administration, and the seriousness of the disease or disorder, and should be decided according to the judgment of the practitioner and each patient's circumstances. However, suitable dosage ranges for oral administration are generally about 0.001 milligram to 200 milligrams of a compound described herein per kilogram body weight. In some embodiments, the oral dose is 0.01 milligram to 70 milligrams per kilogram body weight, or 0.1 milligram to 50 milligrams per kilogram body weight, or 0.5 milligram to 20 milligrams per kilogram body weight, or 1 milligram to 10 milligrams per kilogram body weight. In some embodiments, the oral dose is 5 milligrams of a compound described herein per kilogram body weight. The dosage amounts described herein refer to total amounts administered; that is, if more than one compound described herein is administered, the dosages correspond to the total amount of the compounds described herein administered. Oral compositions can contain 10% to 95% active ingredient by weight. Suitable dosage ranges for intravenous (i.v.) administration are 0.01 milligram to 100 milligrams per kilogram body weight, 0.1 milligram to 35 milligrams per kilogram body weight, and 1 milligram to 10 milligrams per kilogram body weight. Suitable dosage ranges for intranasal administration are generally about 0.01 pg/kg body weight to 1 mg/kg body weight. Suppositories generally contain 0.01 milligram to 50 milligrams of a compound described herein per kilogram body weight and comprise active ingredient in the range of 0.5% to 10% by weight. Recommended dosages for intradermal, intramuscular, intraperitoneal, subcutaneous, epidural, sublingual, intracerebral, intravaginal, transdermal administration or administration by inhalation are in the range of 0.001 milligram to 200 milligrams per kilogram of body weight. Suitable doses of the compounds described herein for topical administration are in the range of 0.001 milligram, to 1 milligram, depending on the area to which the compound is administered. Effective doses may be extrapolated from dose-response curves derived from in vitro or animal model test systems. Such animal models and systems are well known in the art. The present disclosure also provides pharmaceutical packs or kits comprising one or more containers filled with one or more compounds described herein. Optionally associated with such container(s) can be a notice in the form prescribed by a governmental agency regulating the manufacture, use or sale of pharmaceuticals or biological products, which notice reflects approval by the agency of manufacture, use or sale for human administration. In some embodiments, the kit contains more than one compound described herein. In some embodiments, the kit comprises a compound described herein and another therapeutic agent, such as any of those described herein. The compounds described herein can be assayed in vitro and in vivo, for the desired therapeutic or prophylactic activity, prior to use in humans. For example, in vitro assays can be used to determine whether administration of a specific compound described herein or a combination of compounds described herein is suitable for treating dyskinesia. The compounds described herein may also be demonstrated to be effective and safe using animal model systems. Other methods will be known to the skilled artisan and are within the scope of the disclosure. In some embodiments, the compounds described herein can be used and/or formulated in combination therapy with at least one other therapeutic agent (i.e., one or more other therapeutic agents). The compound described herein and the additional therapeutic agent can act additively or synergistically. In some embodiments, a composition comprising a compound described herein is administered concurrently with the administration of another therapeutic agent, which can be part of the same composition as the compound described herein or a different composition. In another embodiment, a composition comprising a compound described herein is administered prior or subsequent to administration of another therapeutic agent. In some embodiments, combination therapy involves alternating between administering a composition comprising a compound described herein and a composition comprising another therapeutic agent, e.g., to minimize the toxicity associated with a particular drug. The duration of administration of each drug or therapeutic agent can be, e.g., one month, three months, six months, or a year. In certain embodiments, when a composition described herein is administered concurrently with another therapeutic agent that potentially produces adverse side effects including, but not limited to, toxicity, the therapeutic agent can advantageously be administered at a dose that falls below the threshold at which the adverse side is elicited. In some embodiments, the additional therapeutic agent is: 1) an anti-Parkinsonian agent; 2) an agent used to treat dyskinesias; and/or 3) an agent that induces other types of dyskinesias. One or more of these agents can be combined with a compound described herein either in the same composition, formulation, or dosage form, or combined into a single administration (e.g. concurrent administration) to a mammal. These agents can be used in the amount already indicated for a mammal or in a dose that is less than the acceptable dose. In some embodiments, the anti-Parkinsonian agent is: 1) an agent used for dopamine replacement including, but not limited to, L-dopa and L-dopa/carbidopa (SINEMET®); 2) a dopamine uptake blocker including, but not limited to, modafinil (PROVIGIL®), benocyclidine, and amfonelic acid; 3) a dopamine agonist including, but not limited to, apomorphine (Apokyn, Ixense, Spontane, and Uprima), bromocriptine (Parlodel and Cycloset), cabergoline (Dostinex and Cabaser), lisuride (Dopergin, Proclacam, and Revanil), pergolide (Permax), ropinirole (Requip, Ropark, and Adartrel), pramipexole (Mirapex, Mirapexin, and Sifrol), and rotigotine (Neupro); 4) an anti-cholinergic including, but not limited to, trihyexyphenidyl (Artane, Apo-Tribex, Parkin, and Pacitane) and benzatropine (Cogentin); 5) an MAO inhibitor including, but not limited to, selegiline (Anipryl, L-deprenyl, Eldepryl, Emsam, and Zelapar) and ginko biloba; and 6) a COMT inhibitor including, but not limited to, tolcapone (Tasmar) and entacapone (Comtan). In some embodiments, the agent used to treat dyskinesias is; 1) a glutamate receptor antagonist including, but not limited to, amantadine (Symmetrel), dextrorphan, dextromorphan, ME-801 (Dizocilpine), and Co-101,244/PD-174,494; 2) an AMPA receptor, including, but not limited to, retigabine (Trobalt, Potiga), flupirtine (Katadolon, Trancolong, Awegal, Efiret, Trancopal Dolo, and Metanor), topirimate (Topamax), GYK-47,261, and IEM-1460; 3) a mGluR5 including, but not limited to, MRZ-8676, AFQ056 (Mavoglurant), ADX-48,621, 2-Methyl-6-(phenylehthynyl)pyridine (MPEP), and 3-((2-Methyl-4-thiazolyl)ethynyl)pyrldine (MTEP); 4) a Glutamate release inhibitor including, but not limited to, riluzole (RILUTEK®) and naftazone; 5) an opioid including, but not limited to, U50-488, morphine (Avinza, Kadian, Oramorph, Roxanol, and Kapanol), meperidine (DEMEROL®), and methadone (Symoron, Dolophine, Amidone, Methadose, Physeptone, Heptadon); 6) a Serotonergic including, but not limited to, buspirone (Buspar), clozapine (Clozaril), quetiapine (Seroquel, Xeroquel, and Ketipinor), MDMA (3,4-methylenedioxy-N-methamphetamine) (Ecstasy), pimavenserin, ritanserin, citalopram (Celexa, Cipramil), and fluoxetine (Prozac, Sarafem, Fontex); 7) a GABA compound including, but not limited to, diazepam (Diastat, Valium) and zolpidem (Ambien, Ambien CR, Intermezzo, Stilnox, and Sublinox); 8) an Adenosine compound including, but not limited to, istradefylline and preladenant; 9) a Cannabinioid including, but not limited to, rimonabant (Acomplia, Bethin, Monaslim, Remonabent, Riobant, Slimona, Rimoslim, Zimulti, and Riomont) and nabilone (Cesamet); 10) an Adrenergic including, but not limited to, Idazoxan, Yohimbine (Yocon), Rauwolscine (isoyohimbine, α-yohimbine, and corynanthidine), Fipamezole, and propanolol (Inderal, Inderal LA, Avlocardyl, Deralin, Dociton, Inderalici, InnoPran XL, Sumial, Anaprilinum, Bedranol SR); 11) a histamine including, but not limited to, famotidine (Pepcid), immepip, and Imetit; 12) a Cholinergic including, but not limited to, nicotine, rivastigmine (Exelon), and donepezil (Aricept); and 13) another agent including, but not limited to, tamoxifen (Nolvadex, Istubal, Valodex), sildenafil (Viagra), and Uk-343,664. In some embodiments, the agent that induces other types of dyskinesias is an Antipsychotic including, but not limited to, chlorpromazine (Thorazine, Largacil, Megaphen), metoclopramide (Reglan), promethazine (Phenergan, Promethegan, Romergan, Fargan, Farganesse, Prothiazine, Avomine, Atosil, Receptozine, Lergigan, and Sominex), olanzapine (Zyprexa), risperidone (Risperdal), clozapine (Clozaril), aripiprazole (Abilify, Aripiprex). In some embodiments, the additional agent is not an anti-epileptic agent. Anti-epileptic agent(s) are chosen from carbamazepine, lamotrigine, phenobarbital, phenyloin, topiramate, valproate and zonisamide. In some embodiments, the anti-convulsant or anti-epileptic agent(s) is chosen from carbamazepine, gabapentin, lamotrigine, levetiracetam, oxcarbazepine, phenyloin, pregabalin, rufinamide, valproate and topiramate. In some embodiments, the anti-convulsant or anti-epileptic agent(s) is chosen from gabapentin, lamotrigine, levetiracetam, pregabalin, rufinamide, valproate and topiramate. Examples of anti-convulsant or anti-epileptic agents include, but are not limited to, the following, described non-exclusively by either mode of action or chemical class; a) AMPA antagonists such ax AMP-397, E-2007, NS-1209, talampanel, perampanel, and the like; b) benzodiazepines such as diazepam, lorazepam, clonazepam, clobazam, clorazepate, midazolam, nimetazepam, nitrazepam, temasepam, and the like; c) barbiturates such as phenobarbital, amobarbital, methylphenobarbital, primidone, barbexaclone sodium, metharbital, pentobarbital, and the like; d) valproates (including fatty acid derivatives) such as valproic acid, valproate semisodium, valpromide, divalproex, valnoctamide, and the like; e) GABA related agents such as gabapentin (2-[1-(aminomethyl)cyclohexyl]acetic acid), pregabalin ((S)-3-(aminomethyl)-5-methylhexanoic acid), vigabatrin, and the like; f) AEDs such as losigamone, retigabine, rufinamide (1-[(2,6-difluorophenyl)methy-1]triazole-4-carboxamide), SPD-421 (DP-VPA), T-2000, XP-13512, and the like; g) iminostilbenes such as carbamazepine, oxcarbazepine, and the like; h) hydantoins such as phenyloin sodium, phenyloin, mephenyloin, fosphenyloin sodium, ethotoin, and the like; h) NMDA antagonists such as harkoseride, and the like; i) sodium channel blockers such as BIA-2093, C0-102862, lamotrigine, and the like; j) succinimides such as methsuximide, ethosuximide, phensuximide, mesuximide, and the like; k) carboxylic acids such as tiagabine, and the like; l) AEDS such as acetazolamide, clomthiazole, edisilate, zonisamide, felbamate, topiramate, tiagabine, levetiracetam, briveracetam, GSK-362115, GSK-406725, ICA-69673, CBD cannabis derivative, isovaleramide (NPS-177 6), RWJ-333369 (carisbamate), safinamide, seletracetam, soretolide, stiripentol, valrocemide, and the like; m) oxazolidinediones such as trimethadione, paramethadione, ethadione and the like; n) pyrrolidines such as levetiracetam, and the like; o) sulphonamides, such as acetazolamide, methazolamide, zonisamide, sultiame, and the like; p) aminobutyric acids and the like; q) sulfamate-substituted monosaccharides such as topiramate (2,3:4,5-Bis-0-(1-methylethylidene)-beta-D-fructopyranose sulfamate)), and the like; r) carboxamides such as carbarmazepine, oxcarbazepine, rufinamide, and the like; s) aromatic allylic alcohols such as stiripentol, and the like; t) ureas such as phenacemide, pheneturide, and the like; u) phenyltriazines such as lamotrigine, and the like; v) carbamates such as emylcamate, felbamate, meprobamate, and the like; w) pyrrolidines such as brivaracetam, levetriacetame, nefiracetam, selectracetam, and the like; and x) Eugenols such as (4-allyl-2-methoxyphenol), phenyleugonol, benzyleugenol and phenylethyleugenol. The present disclosure also provides methods of treating a dyskinesia or another disorder in a mammal comprising administering to the mammal in need thereof an effective amount of a compound of Formula Ia-1, Formula Ia-2, Formula Ib-1, Formula Ib-2, Formula Ic-1, Formula Ic-2, Formula Id-1, or Formula Id-2: or a pharmaceutically acceptable salt thereof, wherein: U is C or N; each R1 is, independently, H, C1-C6alkyl, C2-C6alkenyl, C2-C6alkynyl, C1-C6alkoxy, C1-C6alkylthio, —CN, —OH, —SH, halo, haloalkyl, —NO2, —N(═O)2, —C(═O)OH, —NH2,—CF3, —NH(C1-C6alkyl), —N(C1-C6alkyl)2, —C(═O)H, carbalkoxy, carboxamido alkylsulfonyl, alkylsulfonyloxy, aminosulfinyl, dialkylaminosulfinyl, monoalkylaminosulfinyl, aminosulfonyl, monoalkylaminosulfonyl, dialkylaminosulfonyl, alkylsulfonylamino, hydroxysulfonyloxy, alkoxysulfonyloxy, alkylsulfonyloxy, hydroxysulfonyl, alkoxysulfonyl, alkylsulfonylalkyl, aminosulfonylalkyl, monoalkylaminosulfonylalkyl, dialkylaminosulfonylalkyl, aminosulfinylalkyl, monoalkylaminosulfinylalkyl, or dialkylaminosulfinylalkyl, where r is 0, 1, 2, 3, 4, or 5; each R2 and R3 is, independently, H, C1-C6alkyl, C2-C6alkenyl, C2-C6alkynyl, C1-C6alkoxy, C1-C6alkylthio, —CN, —OH, —SH, halo, haloalkyl, —NO2, —C(═O)OH, —NH2, —CF3, —NH(C1-C6alkyl), —N(C1-C6alkyl)2, —C(═O)H, carbalkoxy, carboxamido, alkylsulfonyl, alkylsulfonyloxy, aminosulfinyl, dialkylaminosulfinyl, monoalkylaminosulfinyl, aminosulfonyl, monoalkylaminosulfonyl, dialkylaminosulfonyl, alkylsulfonylamino, hydroxysulfonyloxy, alkoxysulfonyloxy, alkylsulfonyloxy, hydroxysulfonyl, alkoxysulfonyl, alkylsulfonylalkyl, aminosulfonylalkyl, monoalkylaminosulfonylalkyl, dialkylaminosulfonylalkyl, aminosulfinylalkyl, monoalkylaminosulfinylalkyl, dialkylaminosulfinylalkyl, aryl, or arylC1-C6alkyl, where n is 0, 1, 2, 3, or 4; each R4 and R5 is, independently, H, C1-C6alkyl, C2-C6alkenyl, C2-C6alkynyl, C1-C6alkoxy, C1-C6alkylthio, —CN, —OH, —SH, halo, haloalkyl, —NO2, —C(═O)OH, —NH2, —CF3, —NH(C1-C6alkyl), —N(C1-C6alkyl)2, —C(═O)H, carbalkoxy, carboxamido, alkylsulfonyl, alkylsulfonyloxy, aminosulfinyl, dialkylaminosulfinyl, monoalkylaminosulfinyl, aminosulfonyl, monoalkylaminosulfonyl, dialkylaminosulfonyl, alkylsulfonylamino, hydroxysulfonyloxy, alkoxysulfonyloxy, alkylsulfonyloxy, hydroxysulfonyl, alkoxysulfonyl, alkylsulfonylalkyl, aminosulfonylalkyl, monoalkylaminosulfonylalkyl, dialkylaminosulfonylalkyl, aminosulfinylalkyl, monoalkylaminosulfinylalkyl, dialkylaminosulfinylalkyl, aryl, or arylC1-C6alkyl, where p is 0, 1, 2, 3, or 4; W is H or C1-C6alkyl; Y is H, C1-C6alkoxy, C1-C6alkylthio, —CN, —OH, —SH, halo, haloalkyl, —NO2, —C(═O)OH, —NH2, —CF3, —NH(C1-C6alkyl), —N(C1-C6alkyl)2, —C(═O)H, carbalkoxy, carboxamido, alkylsulfonyl, alkylsulfonyloxy, aminosulfinyl, dialkylaminosulfinyl, monoalkylaminosulfinyl, aminosulfonyl, monoalkylaminosulfonyl, dialkylaminosulfonyl, alkylsulfonylamino, hydroxysulfonyloxy, alkoxysulfonyloxy, alkylsulfonlyloxy, hydroxysulfonyl, alkoxysulfonyl, alkylsulfonylalkyl, aminosulfonylalkyl, monoalkylaminosulfonylalkyl, dialkylaminosulfonylalkyl, aminosulfinylalkyl, monoalkylaminosulfinylalkyl, or dialkylaminosulfinylalkyl; X is O or S; Z is O or S; R7 is H or halo; Q is H, C1-C6alkyl, aryl, C1-C6alkylaryl, C3-C6cycloalkyl, or heteroaryl, each of which is optionally substituted with —(R6)t, where t is 0, 1, 2, 3, 4, or 5; R8 is H or C1-C6alkyl; and each R6 is, independently, H, C1-C6alkyl, C2-C6alkenyl, C2-C6alkynyl, C1-C6alkoxy, C1-C6alkylthio, —CN, —OH, —SH, halo, haloalkyl, —NO2, —N(═O)2, —C(═O)OH, —NH2, —CF3, —O—S(═O)2OH, —NH(C1-C6alkyl), —N(C1-C6alkyl)2, —C(═O)H, —C(═O)C1-C6alkyl, —(═O)C1-C6alkoxy, carbalkoxy, carboxamido, alkylsulfonyl, alkylsulfonyloxy, aminosulfinyl, dialkylaminosulfinyl, monoalkylaminosulfinyl, aminosulfonyl, monoalkylaminosulfonyl, dialkylaminosulfonyl, alkylsulfonylamino, hydroxysulfonyloxy, alkoxysulfonyloxy, alkylsulfonyloxy, hydroxysulfonyl, alkoxysulfonyl, alkylsulfonylalkyl, aminosulfonylalkyl, monoalkylaminosulfonylalkyl, dialkylaminosulfonylalkyl, aminosulfinylalkyl, monoalkylaminosulfinylalkyl, or dialkylaminosulfinylalkyl; or pharmaceutically acceptable salt thereof, wherein the another disorder is restless leg syndrome (such as drug-induced or idiopathic), a drug-induced dystonia, chorea (such as Huntington's disease, toxin-induced chorea, Sydenham's chorea, Chorea gravidarum, Wilson's disease, drug-induced chorea, and metabolic and endocrine-related choreas), a tic (such as motor, phonic, simple, complex, and Tourette syndrome), a dystonia (such as acute, generalized, focal, segmental, sexual, intermediate, psychogenic, and Acute Dystonic Reaction), Sodemytopic Parkinson's, a stereotypic movement disorder (such as movement disorder related to autism, genetic, and childhood), obsessive compulsive disorder, narcolepsy (such as cataplexy), transmissible spongiform encephalopathies (such as Creutzfeldt-Jakob disease and Kuru), neuroacanthocytosis, seizure and convulsions, athetosis (such as related to Huntington's Disease, asphyxia, neonatal jaundice, and stroke), or cerebral palsy. The present disclosure also provides methods of treating and/or preventing dyskinesia. In some embodiments, a composition described herein comprising a compound described herein and a pharmaceutically acceptable carrier is administered to a mammal, such as a human, with dyskinesia and/or disorders associated with dyskinesia. The disclosure provides methods of treatment and prophylaxis by administration to a patient of a therapeutically effective amount of a composition comprising a compound described herein. The patient is a mammal, including, but not limited, to a cow, horse, sheep, pig, chicken, turkey, quail, cat, dog, mouse, rat, rabbit, guinea pig, etc., and is more suitably a human. The present compositions, which comprise one or more compounds described herein, can be administered orally. The compounds described herein may also be administered by any other convenient route, for example, by infusion or bolus injection, by absorption through epithelial or mucocutaneous linings (e.g., oral, mucosa, rectal and intestinal mucosa, etc.) and may be administered together with another biologically active agent. Administration can be systemic or local. Various delivery systems are known, e.g., encapsulation in liposomes, microparticles, microcapsules, capsules, etc., and can be used to administer a compound described herein. In some embodiments, more than one compound described herein is administered to a patient. Methods of administration include but are not limited to intradermal, intramuscular, intraperitoneal, intravenous, subcutaneous, intranasal, epidural, oral, sublingual, intranasal, intracerebral, intravaginal, transdermal, rectally, by inhalation, or topically, particularly to the ears, nose, eyes, or skin. The mode of administration is left to the discretion of the practitioner, and will depend in-part upon the site of the medical condition. In most instances, administration will result in the release of the compounds described herein into the bloodstream. In some embodiments, the frequency of dosing is once per day (qd). In some embodiments, it may be desirable to administer one or more compounds described herein locally to the area in need of treatment. This may be achieved, for example, and not by way of limitation, by local infusion during surgery, topical application, e.g., in conjunction with a wound dressing after surgery, by injection, by means of a catheter, by means of a suppository, or by means of an implant, said implant being of a porous, non-porous, or gelatinous material, including membranes, such as sialastic membranes, or fibers. Pulmonary administration can also be employed, e.g., by use of an inhaler or nebulizer, and formulation with an aerosolizing agent, or via perfusion in a fluorocarbon or synthetic pulmonary surfactant. In certain embodiments, the compounds described herein can be formulated as a suppository, with traditional binders and vehicles such as triglycerides. In another embodiment, the compounds described herein can be delivered in a vesicle, in particular a liposome (see Langer, Science, 1990, 249, 1527-1533; Treat et al., in Liposomes in the Therapy of Infections Disease and Cancer, Lopez-Berestein and Fidler (eds.), Liss, New York, pp. 353-365(1989); Lopez-Berestein, ibid., pp. 317-327; see generally ibid.). In some embodiments, the compounds described herein can be delivered in a controlled release system. In some embodiments, a pump may be used (sec Langer, supra; Sefton, 1987, In some embodiments, the compounds, compositions, formulations, and/or dosage forms can be used to treat and/or prevent a dyskinesia. In some embodiments, the dyskinesia is levodopa-induced dyskinesia (LID). LID can be present in patients with Parkinson's disease who have been on levodopa for prolonged periods of time. Three forms of dyskinesia have been classified on the basis of their course and presentation following an oral dose of L-dopa; i) off-period dystonia (correlated to the akinesia that occurs before the full effect of L-dopa sets in, when the plasma levels of L-dopa are low); ii) diphasic dyskinesia (occurs when plasma levodopa levels are rising or falling; this form is usually dystonic or ballistic; does not respond to L-dopa reduction); and iii) peak-dose dyskinesia (the most common form of LID; it correlates with stable L-dopa plasma level). In some embodiments, the dyskinesia is chronic or tardive dyskinesia. Tardive dyskinesia occurs after treatment with an antipsychotic drug such as haloperidol or amoxapine. Tardive dyskinesia often involves involuntary lip smacking, repetitive pouting of the lips, and tongue protrusions. In some embodiments, the dyskinesia is orofacial dyskinesia (e.g., Rabbit syndrome), which may be related to persistent replication of Herpes Simplex Virus type-1. In some embodiments, the compounds, compositions, formulations, and/or dosage forms can be used to treat and/or prevent other disorders. In some embodiments, the disorder is restless leg syndrome (e.g., drug-induced or idiopathic). In some embodiments, the disorder is a drug-induced dystonia. In some embodiments, the disorder is a chorea (e.g., Huntington's disease; toxin-induced chorea; Sydenham's chorea; Chorea gravidarum; Wilson's disease; drug-induced chorea; and metabolic and endocrine-related choreas). In some embodiments, the disorder is a tic (e.g., motor; phonic; simple; complex; and Tourette syndrome). In some embodiments, the disorder is a dystonia (e.g., acute; generalized; focal; segmental; sexual; intermediate; psychogenic; and Acute Dystonic Reaction). In some embodiments, the disorder is Sodemytopic Parkinson's. In some embodiments, the disorder is a stereotypic movement disorder (e.g., related to autism; genetic; and childhood). In some embodiments, the disorder is obsessive compulsive disorder. In some embodiments, the disorder is narcolepsy (e.g., cataplexy). In some embodiments, the disorder is transmissible spongiform encephalopathies (e.g., Creutzfeldt-Jakob disease; and Kuru). In some embodiments, the disorder is neuroacanthocytosis. In some embodiments, the disorder is seizure and convulsions. In some embodiments, the disorder is athetosis (e.g., related to Huntington's Disease; asphyxia; neonatal jaundice; and stroke). In some embodiments, the disorder is cerebral palsy. In some embodiments, the compounds and/or compositions described herein are not used for treatment of; epilepsy; Parkinson's disease; pulmonary conditions such as lung edema; ischemia-reperfusion injury; cardiac conditions, such as acute decompensated heart failure and the cardiorenal syndrome; hyperprolactinaemia (BrE), hyperprolactinemia (ArnE) and microprolactinoma; pain including chronic or neuropathic pain; catatonic, dyskinesia, restless legs syndrome and related movement disorders; stress, chronic posttraumatic stress disorder, anxiety disorders, obsessive-compulsive disorders, postpartum depression; schizophrenia, manic, bipolar, and affective disorder; executive function disorders, such as ADHD, Tourette syndrome and autism; cocaine, amphetamine, alcohol dependency, and addictive behavior, such as pathological gambling; neuroendocrinal regulatory disorders; inflammatory conditions, autoimmune diseases and rheumatism; neoplastic disorders, such as pituitary carcinomas, macroprolactinomas; visual sensory disorders, color deficiency; and ejaculatory and related sexual dysfunction. In some embodiments, the compounds disclosed herein are not used in combination with L-dopa for the treatment of Parkinson's disease; or in combination with a selective serotonin reuptake inhibitor (SSRI) for the treatment of depression and/or cocaine abuse and addiction; or in combination with dopamine D2 antagonist for the treatment of schizophrenia; or in combination with cholinergic modulators for the treatment of Alzheimer disease or other diseases or conditions in which patients have a cognitive deficit; or in combination with an anti-epileptic agent for the treatment of Tardive dyskinesia. There are notable side effects of L-dopa treatment that are not associated with dyskinesia including, but not limited to, hypotension; arrhythmias; nausea; gastrointestinal bleeding; disturbed respiration; hair loss; disorientation and/or confusion; extreme emotional states, particularly anxiety, but also excessive libido; vivid dreams and/or insomnia; auditory and/or visual hallucinations; effects on learning; somnolence and narcolepsy; and stimulant psychosis. In some embodiments, treatment with a compound or composition described herein decreases or eliminates one or more of these side effects. In addition, serious side-effects in the treatment of Parkinson's disease are the effects of chronic levodopa administration, including but not limited to; end-of-dose deterioration of function; on/off oscillations; freezing during movement; dose failure (drug resistance); dyskinesia at peak dose (levodopa-induced dyskinesia); possible serotonin depletion; and possible dopamine dysregulation. In some embodiments, treatment with a compound or composition described herein decreases or eliminates one or more of these side effects. The present disclosure provides methods for treating Parkinson's Disease comprising administering to a human in need thereof an effective amount of a compound of Formula Ia-1, Formula Ia-2, Formula Ib-1, Formula Ib-2, Formula Ic-1, Formula Ic-2, Formula Id-1, or Formula Id-2, as described herein. In some embodiments, the compound of Formula Ia-1, Formula Ia-2, Formula Ib-1, Formula Ib-2, Formula Ic-1, Formula Ic-2, Formula Id-1, or Formula Id-2 being administered is present within any of the compositions disclosed herein. In some embodiments, the human administered any one or more of the compounds of Formula I is also administered L-dopa. In some embodiments, the L-dopa and the compound of Formula I is present within the same composition or dosage form. The present disclosure provides methods for treating a sleep disorder characterized by disrupted sleep schedule comprising administering to a human in need thereof an effective amount of a compound of Formula Ia-1, Formula Ia-2, Formula Ib-1, Formula Ib-2, Formula Ic-1, Formula Ic-2,. Formula Id-1, or Formula Id-2, as described herein. In some embodiments, the compound of Formula Ia-1, Formula Ia-2, Formula Ib-1, Formula Ib-2, Formula Ic-1, Formula Ic-2, Formula Id-1, or Formula Id-2 being administered is present within any of the compositions disclosed herein. Not desiring to be bound by any particular theory, the compounds of Formula I may act by restoring normal sleep architecture and/or normal circadian rhythm. Examples of sleep disorders associated with altered sleep rhythm and/or architecture include, but are not limited to, insomnia, restless legs syndrome, narcolepsy, and REM sleep behavior disorder; disorders associated with neurodegenerative diseases such as Alzheimer's disease, Parkinson's disease, and multiple sclerosis; disrupted REM sleep disorder associated with drug withdrawal, especially alcohol or sedative-hypnotic withdrawal; and disrupted circadian rhythm associated with sleep apnia, shift work and jet lag. In order that the subject matter disclosed herein may be more efficiently understood, examples are provided below. It should be understood that these examples are for illustrative purposes only and are not to be construed as limiting the claimed subject matter in any manner. Throughout these examples, molecular cloning reactions, and other standard recombinant DNA techniques, were-carried out according to methods described in Maniatis et al., Molecular Cloning—A Laboratory Manual, 2nd ed., Cold Spring Harbor Press (1989), using commercially available reagents, except where otherwise noted. U.S. Provisional Ser. No. 61/786,714 filed Mar. 15, 2013 is incorporated herein by reference in its entirety. The neurotoxin 6-hydroxydopamine (6-OHDA) is widely used to induce depletion of dopaminergic neurons in animal models of Parkinson's disease (PD). Unilateral administration of 6-OHDA into the median forebrain bundle can produce a 90-95% ipsilateral depletion of dopamine neurons in 80-90% of animals injected, leading to a PD-like motor dysfunction. Treatment of lesioned animals with L-dopa can have varying effects on motor performance in this model. The current study evaluated sydnocarb in a 6-OHDA lesioned, L-dopa treated rat model of PD. Female, Sprague-Dawley rats (Charles River Laboratories) at 7 to 8 weeks of age were used. Animals were assigned randomly to treatment groups. The diet consisted of standard rodent chow and water ad libitum. 6-OHDA was formulated at 5 mg/ml solution in 0.03% ascorbic acid in sterile 0.9% NaCl. Three 82 L of 6-OHDA was injected into the median forebrain bundle at the following stereotaxic coordinates from bregma: Anteroposterior (A/P)—4.0 mm; mediolateral (M/L)—1.3 mm; ventrodorsal (V/D)—8.0 mm with reference to the top of the skull. After lesion, rats were allowed to recover for two weeks and then tested for amphetamine-induced rotational activity. Animals were treated with 25 mg/kg amphetamine in saline and recorded in an open-field chamber for 90 minutes. Only rats rotating greater than 4 times per minute were used in efficacy studies. After an additional one week, rats were treated with L-dopa (Isotec IY0630) at various times and measured for the appearance of abnormal involuntary movements (AIMs). The AIMs test was carried out as follows: 1) weigh rat and inject with L-dopa/benserazide (10 ml/kg, ip); may be a single injection per day over multiple days; administration of a test compound or reference compound may also be included; 2) place rat in empty cage, start video recording; 3) AIMs were assessed in four areas; a) onset of symptoms-latency (seconds) to first visual AIM as defined below; b) 30 minute AIM score; c) 60 minute AIM score; and d) number of left rotations from 30-60 minutes; 4) AIMs were scored and recorded on a scale from 0 to 4: i) absent; ii) slight left forelimb dystonia with grooming; iii) excessive left forelimb dystonia with grooming; iv) left forelimb dystonia with left circling; and v) continuous left circling with or without grooming; 5) record any unusual clinical signs; and 6) after 60 minutes, stop recording, place rat back into home cage. As shown in Rats receiving a unilateral 6-OHDA lesion, as described above were treated with L-dopa (day 1, 50 mg/kg) and then L-dopa and test drug (day 2, Sydnocarb or Tesofensine), A two-day treatment with L-dopa caused an increase in abnormal involuntary movements (AIMs) that was ameliorated with Sydnocarb but not Tesofensine treatment. Results are shown in Treatment with L-dopa caused an increase in AIMs that was reduced approximately 40% by Sydnocarb administered 30 min after L-dopa administration. This effect was seen 30 and 60 minutes after L-dopa administration. Tesofensine, a non-specific catecholamine reuptake inhibitor administered under the same conditions, had no affect on AIMs in this study. These data show that Sydnocarb can reduce L-dopa-induced dyskinesias in a preclinical model of PD, and that it is functionally differentiated from non-specific DAT inhibitors such as Tesofensine. In 6-OHDA-lesioned rats, L-dopa administration also elicits a therapeutically beneficial anti-akinetic activity that can be measured by the forelimb adjusting step (FAS) test. To determine the effect of Sydnocarb on L-dopa efficacy on this motor function, 6-OHDA-lesioned rats were treated with L-dopa in combination with Sydnocarb at 10 mg/kg and assessed by the FAS test (see, For three consecutive days, the experimenter that performed the study handled the rats so they were familiar with the experimenter's grip: the rat was held with one hand fixing the hindlimbs and slightly raising the hind part above the surface; the other hand fixed the forelimb not to be monitored; the forelimb to be monitored was touching the table; the animal was moved slowly sideways (approx. 5 sec for 90 cm), first in the forehand and then in the backhand; and these steps were repeated for the other forelimb. Forehand is defined as compensating movement toward the body and backhand is defined as compensating movement away from the body. Each stepping test consisted of six trials for each forepaw, alternating between directions both forehand and backhand as follows: the rat was held in the same position as described above with one paw touching the table; the rat was moved slowly sideways (approx 5 sec for 90 cm), first in the forehand and then in the backhand; the number of adjusting steps for both paws in the forehand and back hand directions of movement were counted and recorded; and the sequence of testing was left paw forehand and backhand adjusting stepping, followed by right paw backhand and forehand directions. The rat was returned to its home cage and the sequence repeated with the second rat in the cage. Five more trials were performed for each rat, placing the rats back in their home cage between trials. This portion of the experiment was run 3-4 weeks post 6-OHDA lesion, and at least 1 week post rotations testing as follows: prior to the start of dosing, rats were trained and baselines performed as above; preparation of L-dopa with benserazide (concentrations are for i.p. injection, 10 ml/kg): a) L-dopa dissolved in saline at 1.2 mg/ml; and b) benserazide dissolved in saline at 0.4 mg/ml; preparation of sydnocarb 10 mg/kg (concentrations are for i.p. injection, 10 ml/kg): a) sydnocarb dissolved in 0.5% methylcellulose 0.2% tween 80 in dH2O at 1 mg/ml. Rats were weighed and injected with L-dopa/benserazide (12 mg/kg/4 mg/kg). FAS were run approximately 60 minutes post L-dopa/benserazide dose. Rats were returned to home cage. Rats were weighed and injected with sydnocarb 10 mg/kg or vehicle (0.5% methylcellulose, 0.2% tween 80 in dH2O), 30 minutes prior to L-dopa/benserazide dosing. The rest of the study was continued as described in Day 1. Data were represented as percent by summing steps (forward and backhand) of the lesioned forelimb and dividing by the sum of the steps of the intact forelimb and multiplying by 100, giving a measure of the degree of forepaw disability. A similar calculation was obtained for percent of lesioned forelimb, giving a measure of gain of function. As shown in As Open Field Activity assay was performed in which locomotor and sensorimotor parameters were evaluated in an automated open-field apparatus, 1-methyl-4-phenyl-1,2,3,6-tetrahydropyridine (MPTP) injections (3×20 mg/kg) were performed in C57B1/6 mice at two-hour intervals (final dose MPTP=60 mg/kg). Mice were treated with the compound 30 minutes prior to MPTP and daily for 4 days. Locomotor activity was monitored on day 5, thirty minutes after administration of test compound. Locomotor activity was measured in an automated open-field (MedAssociates) for 30 minutes. The following parameters were measured: 1) horizontal distance traveled, 2) number of rearing events and 3) stereotypic behavior. Results for vertical activity (rearing events) are shown in Both Sydnocarb and Tesofensine prevent decrease in vertical activity in C57B1/6 mice treated with MPTP. These data indicate that Sydnocarb can prevent uptake of toxic MPTP, consistent with the mechanism of DAT inhibition, and can prevent symptomatic movement disorders in a preclinical model of PD. Electroencephalographic data were obtained in C57B1/6 mice chronically implanted with electrodes to monitor brain and muscular activity. The percent time spent awake was evaluated following intraperitoneal injections of Sydnocarb 4 hours after lights-on, when mice ate predominantly sleeping. Results are shown in As shown in The-effects of Sydnocarb on abnormal involuntary movements (AIMs) in unilaterally lesioned 6-OHDA rats that were heated with L-dopa with and without Sydnocarb for 2 weeks was examined. L-dopa was administered at a dose level of 12 mg/kg (ip) along with benserazide (ip; 4 mg/kg). Sydnocarb (10 or 30 mg/kg, ip), amantadine (40 mg/kg ip), or vehicle was administered 30 minutes prior to L-dopa/benserazide. As a “priming” step, L-dopa was administered daily by itself for 1 week after the amphetamine rotation wash-out period. Subsequently, Sydnocarb, along with L-dopa, was dosed daily for an additional 12 days. The effects of chronic L-dopa, alone or in combination with Sydnocarb, were evaluated by rating individual animals for abnormal limb, oral and facial movements based on methods described in Cenci et al., Nat. Rev. Neurosci, 2002, 3,574-9. After treatment, rats were placed in a confined chamber and monitored for axial, limb, and orolingual AIMs every 20-30 minutes for 2 hours as follows:
Sprague-Dawley rats (10/group) were injected unilaterally with 6-OHDA as described previously. Two weeks later, rats were tested for amphetamine-induced rotation activity to verify the dopaminergic lesion. After an additional one week, baseline AIMs were measured and rats were treated with L-dopa at 12 mg/kg and Sydnocarb at 10 and 30 mg/kg (ip) for 12 days. On days 1, 8, 10, and 12, AIMs were scored every 20 minutes for 2 hours and graphed as a sum of axial, limb, and orolingual (ALO) abnormal movements ( Rats were administered Sydnocarb via oral gavage (po) at 10 mg/kg and plasma isolated at various times post-dose. Sydnocarb was formulated in two different vehicles (0.5% methylcellulose/0.2% Tween-80, and Ethanol; Propylene glycol:water (1:3:1)). Comparison of these two drug vehicles was performed in a pharmacokinetic (PK) study to determine if an ethanol-based formulation, which produced better solubility, had similar properties as the standard methylcellulose formulation used in previous studies. Plasma samples were analyzed for drug levels by standard LC/MS techniques and reported as ng/ml. Both drug formulations produced similar PK profiles, with the ethanol-based formulation producing slightly higher plasma levels at several time points ( Sprague-Dawley rats (10/group) were injected unilaterally with 6-OHDA as described herein. Two weeks later, rats were tested for amphetamine-induced rotation activity to verify the dopaminergic lesion. After an additional one week, baseline AIMs were measured and rats were treated with L-dopa at 12 mg/kg and Sydnocarb at 10 and 30 mg/kg (po) for 12 days. Drug was formulated in 0.5% methylcellulose/0.2% Tween-80. On days 5 and 12, AIMs were scored every 20 minutes for 2 hours and graphed as a sum of axial, limb, and orolingual (ALO) abnormal movements ( The effects of Sydnocarb on motor function is the forelimb adjusting step (FAS) test in unilaterally lesioned 6-OHDA rats that were treated with L-dopa-with and without Sydnocarb for 2 weeks were studied. L-dopa was administered at a dose level of 6 mg/kg (ip) along with benserazide (ip; 2 mg/kg). Sydnocarb (10 or 30 mg/kg, ip) or vehicle was administered 30 minutes prior to L-dopa/benserazide. As a “priming” step, L-dopa was administered daily by itself for 1 week after the amphetamine rotation wash-out period. Subsequently, Sydnocarb, along with L-dopa, was dosed daily for an additional 12 days. For these 6 mg/kg L-dopa studies, rats were combined from two previous L-dopa/Sydnocarb studies and allowed a 3-week wash out period. Sprague-Dawley rats (10/group) were injected unilaterally with 6-OHDA as described herein. Two weeks later, rats were tested for amphetamine-induced rotation activity to verify the dopaminergic lesion. After an additional one week, baseline FAS was measured and rats were treated with L-dopa at 6 mg/kg and Sydnocarb at 3 and 10 mg/kg (ip) for 12 days. On days 5 and 12, FAS was scored once per hour for 3 hours and graphed as a % affected paw compared to baseline ( The ability of Sydnocarb to be orally active was determined by examining the effects of Sydnocarb on motor function in the forelimb adjusting step (FAS) test in unilaterally lesioned 6-OHDA rats that were treated with L-dopa. L-dopa was administered at a dose level of 6 mg/kg (ip) along with benserazide (ip; 2 mg/kg). Sydnocarb (10 mg/kg, po) or vehicle was administered 30 minutes prior to L-dopa/benserazide. As a “priming” step, L-dopa was administered daily by itself for 1 week alter the amphetamine rotation wash-out period. Subsequently, Sydnocarb, along with L-dopa, was dosed daily for an additional 12 days. Sprague-Dawley rats (3/group) were injected unilaterally with 6-OHDA as described herein. Two weeks later, rats were tested for amphetamine-induced rotation activity to verify the dopaminergic lesion. After an additional one week, baseline FAS was measured and rats were treated with L-dopa at 6 mg/kg and Sydnocarb at 10 mg/kg (po) for 12 days. On day 12, FAS was scored at 60 minutes post-dose and graphed as a % affected paw compared to baseline ( The effects of Sydnocarb on abnormal involuntary movements (AIMs) in unilaterally lesioned 6-OHDA rats that were not treated with L-dopa were studied. Sydnocarb was administered at 3 mg/kg (ip) to 6-OHDA-lesioned rats once per day for 12 days. Evaluation if Dyskinesia After Treatment with Sydnocarb in 6-OHDA Lesioned Rats Sprague-Dawley rats (3/group) were injected unilaterally with 6-OHDA as described herein. Two weeks later, rats were tested for amphetamine-induced rotation activity to verify the dopaminergic lesion. After an additional six weeks, baseline AIMs were measured and rats were treated with Sydnocarb at 3 mg/kg (ip) for 12 days. No L-dopa was administered in this experiment. On days 5 and 12, AIMs were scored at 30, 90, and 150 minutes post-dose and graphed as a sum of axial, limb, and orolingual (ALO) abnormal movements ( The present disclosure is not to be limited in scope by the specific embodiments disclosed in the examples which are intended as illustrations of some aspects of the disclosure and any embodiments which are functionally equivalent are within the scope of this disclosure. Indeed, various modifications of the disclosure in addition to those shown and described herein will become apparent to those skilled in the art and are intended to fall within the appended claims. A number of references have been cited, the entire disclosures of which are incorporated herein by reference.FIELD
BACKGROUND
SUMMARY
BRIEF DESCRIPTION OF THE DRAWINGS
DESCRIPTION OF EMBODIMENTS
EXAMPLES
Example 1
Rat Model for Parkinsons' Disease
Example 2
Reduction of L-Dopa-Induced Dyskinesia
Example 3
Enhancement of L-Dopa-Mediated Anti-Akinesia
The Forelimb Adjusting Step Test was Carried Out as Follows;
Handling and Training:
Testing:
Dosing:
Day 1
Day 2
Example 4
Mouse Open Field Activity
Example 5
Mouse Electroencephalogram
Example 6
Reduction of L-Dopa-Induced Dyskinesia: Chronic Dosing
Drug Treatment
Abnormal Involuntary Movements (AIMs)
Assessment of L-dopa Induced Dyskinesia in 6-OHDA Treated Rats
Example 7
Reduction of L-Dopa-Induced Dyskinesia: Oral Dosing
Assessment of Sydnocarb Plasma Drug Levels in Sprague-Dawley Rats (3/Group)
Assessment of Efficacy Via Oral Timing of Sydnocarb in L-dopa Induced Dyskinesia in 6-OHDA Treated Rats
Example 8
Enhancement of L-Dopa-Mediated Anti-Akinesia; Chronic Dosing
Drug Treatment
Assessment of L-dopa Induced Motor Effects in 6-OHDA Treated Rats
Example 9
Enforcement of L-Dopa-Mediated Anti-Akinesia: Oral Dosing
Drug Treatment
Assessment of L-dopa Induced Motor Effects in 6-OHDA Treated Rats
Example 10
Treatment with Sydnocarb by Itself Does Not Cause Meter or Functional Deficits in 6-OHDA-lesioned Rats
Drug Treatment