заявка
№ US 20150209439
МПК A61K47/48

NIACIN CONJUGATED FATTY ACID MIXTURES AND THEIR USES

Авторы:
Jill C. Milne Michael R. Jirousek Jean E. Bemis
Все (4)
Номер заявки
14605453
Дата подачи заявки
26.01.2015
Опубликовано
30.07.2015
Страна
US
Как управлять
интеллектуальной собственностью
Чертежи 
2
Реферат

[0000]

The invention relates to niacin conjugated fatty acid mixtures; compositions comprising an effective amount of a niacin conjugated fatty acid mixture; and methods for treating or preventing an metabolic disorder comprising the administration of as effective amount of a niacin conjugated fatty acid mixture.

Формула изобретения

1-10. (canceled)

11. A method for treating or preventing a metabolic disorder comprising the administration of an effective amount of a composition comprising a mixture of a niacin-EPA conjugate and a niacin-DHA conjugate wherein a niacin is linked to either DHA or EPA via a linker having the formula:

wherein, each a, b, c, and d is independently —H, -D, —CH3m, —OCH3, —OCH2CH3, —C(O)OR, or benzyl; up to two of a, b, c, and d can be —OZ; or two of a, b, c, and d can be taken together, along with the single carbon to which they are bound, to form a cycloalkyl or heterocycle;

m is 0, 1, 2, or 3;

each n, o, p, and q is independently 0 or 1;

each L is independently —O—, —S—, —S(O)—, —S(O)2—, —S—S—,

wherein when m is 2 or 3, up to one of the heteroatoms —O—, —S—, —S(O)—, —S(O)2—, —S—S— can be selected for L;

each g is independently 2, 3 or 4;

each h is independently 1, 2, 3 or 4;

each R6 is independently H or C1-C6 alkyl, or both groups, when taken together with the nitrogen to which they are attached, form a heterocycle;

each R7 is independently e, H, or straight or branched C1-C10 alkyl which can be optionally substituted with OH, NH2, CO2R, CONH2, phenyl, C6H4OH, imidazole or arginine;

each e is independently H or any one of the side chains of a naturally occurring amino acid;

each R is independently —H, —C(O)—C1-C3 alkyl, or straight or branched C1-C4 alkyl optionally substituted with halogen;

wherein Z is independently —H, or

each r is independently 2, 3, or 7;

each s is independently 3, 5, or 6;

each t is independently 0 or 1;

each v is independently 1, 2, or 6; and

R4 and R5 are each independently —H, -D, —C1-C4 alkyl, -halogen, —OH, —C(O)C1-C4 alkyl, —O-aryl, —O-benzyl, —OC(O)C1-C4 alkyl, —C2-C3 alkene, —C2-C3 alkyne, —NH2, —NH(C1-C3 alkyl), —N(C1-C3 alkyl)2, —NH(C(O)C1-C3 alkyl), —N(C(O)C1-C3 alkyl)2, —SH, —S(C1-C3 alkyl), —S(O)C1-C3 alkyl, or —S(O)2C1-C3 alkyl.

12. The method of claim 11, wherein the niacin-EPA conjugate and the niacin-DHA conjugate comprise:

N-(2-(4Z,7Z,10Z,13Z,16Z,19Z)-docosa-4,7,10,13,16,19-hexaenamidoethyl)nicotinamide (I-7); and

N-(2-(5Z,8Z,11Z,14Z,17Z)-eicosa-5,8,11,14,17-pentaenamidoethyl)nicotinamide (I-8).

13. The method of claim 11, wherein the EPA is EPA ethyl ester and the DHA is DHA ethyl ester.

14. The method of claim 11, wherein the EPA and DHA are in the form of free acids.

15. The method of claim 11, wherein the ratio of EPA to DHA is between about 25:75 to about 75:25.

16. The method of claim 11, wherein the linker is ethylenediamine.

17. The method of claim 11, wherein the metabolic disorder is atherosclerosis, dyslipidemia, hypertriglyceridemia, hypertension, heart failure, cardiac arrhythmias, low HDL levels, high LDL levels, sudden death, stable angina, coronary heart disease, acute myocardial infarction, secondary prevention of myocardial infarction, cardiomyopathy, endocarditis, type 2 diabetes, insulin resistance, impaired glucose tolerance, hypercholesterolemia, stroke, hyperlipidemia, hyperlipoproteinemia, chronic kidney disease, intermittent claudication, hyperphosphatemia, carotid atherosclerosis, peripheral arterial disease, diabetic nephropathy, hypercholesterolemia in HIV infection, acute coronary syndrome (ACS), non-alcoholic fatty liver disease, arterial occlusive diseases, cerebral arteriosclerosis, cerebrovascular disorders, myocardial ischemia, and diabetic autonomic neuropathy.

Описание

PRIORITY

[0001]

This application is related to U.S. Provisional Application No. 61/238,903, filed Sep. 1, 2009, U.S. Provisional Application No. 61/308,524, filed Feb. 26, 2010, and U.S. Provisional Application No. 61/310,952, filed Mar. 10, 2010, and claims the benefit of U.S. Ser. No. 12/872,555 filed Aug. 30, 2010. The entire disclosures of those applications are relied on and incorporated into this application by reference.

FIELD OF THE INVENTION

[0002]

The invention relates to fatty acid niacin conjugates; compositions comprising an effective amount of a fatty acid niacin conjugate; and methods for treating or preventing a metabolic disease comprising the administration of an effective amount of a fatty acid niacin conjugate. The invention also relates to niacin conjugated fatty acid mixtures; compositions comprising an effective amount of a niacin conjugated fatty acid mixture; methods of producing niacin conjugated fatty acid mixtures, and methods for treating or preventing a metabolic disorder comprising the administration of an effective amount of a niacin conjugated fatty acid mixture. All patents, patent applications, and publications cited herein are hereby incorporated by reference in their entireties.

BACKGROUND OF THE INVENTION

[0003]

Oily cold water fish, such as salmon, trout, herring, and tuna are the source of dietary marine omega-3 fatty acids, eicosapentaenoic acid (EPA) and docosahexaenoic acid (DHA) being the key marine derived omega-3 fatty acids. Both niacin and marine omega-3 fatty acids (EPA and DHA) have been shown to reduce cardiovascular disease, coronary heart disease, atherosclerosis and reduce mortality in patients with dyslipidemia, hypercholesterolemia, or Type 2 diabetes, and metabolic disease. Niacin at high dose (1.5 to 4 grams per day) has been shown to improve very low-density lipoprotein (“VLDL”) levels through lowering Apolipoprotein B (“ApoB”) and raising high density lipoprotein (“HDL”) through increasing Apolipoprotein A1 (“ApoA1”) in the liver. Niacin can also inhibit diacylglycerol acyltransferase-2, a key enzyme for TG synthesis (Kamanna, V. S.; Kashyap, M. L. Am. J. Cardiol. 2008. 101 (8A), 20B-26B). Unfortunately, niacin has many actions outside of the liver that detract from its therapeutic utility. the most common side effect of niacin is flushing, which can limit the dose a patient can tolerate. Flushing is thought to occur through the GPR 109 receptor in the vasculature.

[0004]

Omega-3 fatty acids have been shown to improve insulin sensitivity and glucose tolerance in normoglycemic men and in obese individuals. Omega-3 fatty acids have also been shown to improve insulin resistance in obese and non-obese patients with an inflammatory phenotype. Lipid, glucose, and insulin metabolism have been shown to be improved in overweight hypertensive subjects through treatment with omega-3 fatty acids. Omega-3 fatty acids (EPA/DHA) have also been shown to decrease triglycerides and to reduce the risk for sudden death caused by cardiac arrhythmias in addition to improve mortality in patients at risk of a cardiovascular event. Omega-3 fatty acids have also been taken as part of the dietary supplement portion of therapy used to treat dyslipidemia.

[0005]

the ability to provide the effects of niacin and omega-3 fatty acid in a synergistic way would provide a great benefit in treating the aforementioned diseases.

SUMMARY OF THE INVENTION

[0006]

This invention is based in part on the discovery of fatty acid niacin conjugates and their demonstrated effects in achieving improved treatment that cannot be achieved by administering niacin or fatty acids alone or in combination. The invention is also based in part on the discovery of niacin conjugated fatty acid mixtures and their demonstrated effects in achieving improved treatment that cannot be achieved by administering niacin or fatty acids alone, or in combination. These novel conjugates are useful in the treatment or prevention of metabolic diseases including atherosclerosis, dyslipidemia, coronary heart disease, hypercholesterolemia, Type 2 diabetes, elevated cholesterol, metabolic syndrome and cardiovascular disease.

[0007]

Accordingly in one aspect, a molecular conjugate is described which comprises a niacin covalently linked to a fatty acid, wherein the fatty acid is selected from the group consisting of omega-3 fatty acids and fatty acids that are metabolized in vivo to omega-3 fatty acids, the conjugate comprises at least one amide, and the conjugate is capable of hydrolysis to produce free niacin and free fatty acid.

[0008]

In another aspect, compounds of the Formula I are described:

[0000]

[0000]

and pharmaceutically acceptable salts, hydrates, solvates, prodrugs, enantiomers and stereoisomers thereof;
wherein,

    • R1, R2, and R3 are each independently selected from the group consisting of —H, -D, —Cl, —F, —CN, —NH2, —NH(C1-C3 alkyl), —N(C1-C3 alkyl)2, —NH(C(O)C1-C3 alkyl), —N(C(O)C1-C3 alkyl)2, —C(O)H, —C(O)C1-C3 alkyl, —C(O)OC1-C3 alkyl, —C(O)NH2, —C(O)NH(C1-C3 alkyl), —C(O)N(C1-C3 alkyl)2, —C1-C3 alkyl, —O—C1-C3 alkyl, —S(O)C1-C3 alkyl and —S(O)2C1-C3 alkyl;
    • W1 and W2 are each independently null O, S, NH, NR, or W1 and W2 can be taken together can form an imidazolidine or piperazine group, with the proviso that W1 and W2 can not be O simultaneously;
    • each a, b, c, and d is independently —H, -D, —CH3, —OCH3, —OCH2CH3, —C(O)OR, or —O—Z, or benzyl, or two of a, b, c, and d can be taken together, along with the single carbon to which they are bound, to form a cycloalkyl or heterocycle;
    • each n, o, p, and q is independently 0 or 1;
    • each L is independently —O—, —S—, —S(O)—, —S(O)2—, —S—S—,

[0000]

    • wherein the representation of L is not limited directionally left to right as as depicted, rather either the left side or the right side of L can be bound to the W1 side of the compound of Formula I;
    • each g is independently 2, 3 or 4;
    • each h is independently 1, 2, 3 or 4;
    • m is 0, 1, 2, or 3;
    • each R6 is independently H or C1-C6 alkyl, or both R6 groups, when taken together with the nitrogen to which they are attached, form a heterocycle;
    • each R7 is independently e, H, or straight or branched C1-C10 alkyl which can be optionally substituted with OH, NH2, CO2R, CONH2, phenyl, C6H4OH, imidazole or arginine;
    • each e is independently H or any one of the side chains of the naturally occurring amino acids;
    • each Z is independently —H, or

[0000]

    • with the proviso that there is at least one

[0000]

    • in the compound;
    • each r is independently 2, 3, or 7;
    • each s is independently 3, 5, or 6;
    • each t is independently 0 or 1;
    • each v is independently 1, 2, or 6;
    • R4 and R5 are each independently —H, -D, —C1-C4 alkyl, -halogen, —OH, —C(O)C1-C4 alkyl, —O-aryl, —O-benzyl, —OC(O)C1-C4 alkyl, —C1-C3 alkene, —C1-C3 alkyne, —C(O)C1-C4 alkyl, —NH2, —NH(C1-C3 alkyl, —N(C1-C3 alkyl)2, —NH(C(O)C1-C3 alkyl), —N(C(O)C1-C3 alkyl)2, —SH, —S(C1-C3 alkyl), —S(O)C1-C3 alkyl, —S(O)2C1-C3 alkyl; and
    • each R is independently —H, —C(O)—C1-C3 alkyl, or straight or branched C1-C4 alkyl optionally substituted with OR, NR2, or halogen;
    • provided that
      • when m, n, o, p, and q are each 0, W1 and W2 are each null, and Z is

[0000]

      • then t must be 0; and
      • when each of m, n, o, p, and q is 0, and W1 and W2 and are each null, then Z must not be

[0000]

[0034]

In Formula I, any one or more of R may be substituted with a deuterium. It is also understood in Formula I that a methyl substituent can be substituted with a C1-C6 alkyl.

[0035]

Also described are pharmaceutical formulations comprising at least one fatty acid niacin derivative.

[0036]

Also described herein are methods of treating a disease susceptible to treatment with a fatty acid niacin derivative in a patient in need thereof by administering to the patient an effective amount of a fatty acid niacin derivative.

[0037]

Also described herein are methods of treating metabolic diseases by administering to a patient in need thereof an effective amount of a fatty acid niacin derivative.

[0038]

The invention also includes pharmaceutical compositions that comprise an effective amount of a fatty acid niacin derivative and a pharmaceutically acceptable carrier. The compositions are useful for treating or preventing a metabolic disease. The invention includes a fatty acid niacin derivative provided as a pharmaceutically acceptable prodrug, hydrate, salt, enantiomer, stereoisomer, or mixtures thereof.

[0039]

Also described herein are pharmaceutically active niacin conjugated fatty acid mixtures which comprise a mixture of a Niacin-EPA conjugate and a Niacin-DHA conjugate. Processes for producing a niacin conjugated fatty acid mixture are described which comprise reacting niacin, or an analog thereof, with a mixture of EPA and DHA such that a mixture of niacin conjugated fatty acids is produced wherein the fatty acids are a mixture of DHA and EPA. In some embodiments, the mixture of DHA and EPA are esters of the fatty acids. In other embodiments, the mixture of DHA and EPA are in the free acid form. The mixture produced reflects the starting ratios of DHA to EPA in the fatty acid mixture. For example, a 50:50 mixture of EPA ester (or acid) and DHA ester (or acid) as the starting material provides a 50:50 mixture of the Niacin-EPA conjugates and Niacin-DHA conjugates. Similarly, a 60:40 mixture of EPA ester (or acid) and DHA ester (or acid) as the starting material provides a 60:40 mixture of the Niacin-EPA conjugates and Niacin-DHA conjugates, and so on. In some instances the ratio of the mixture of EPA ester (or acid) and DHA ester (or acid) is about 60:40. In other instances, it is about 40:60. The ratio of the mixture of EPA ester (or acid) and DHA ester (or acid) can be about 10:90, about 20:80, or about 30:70. In some instances the ratio of the mixture of EPA ester (or acid) and DHA ester (or acid) is about 90:10, about 80:20, or about 70:30. The ratio of the mixture of EPA ester (or acid) and DHA ester (or acid) can be about 5:95, 15:85, 25:75, 35:65, 45:55, 55:45, 65:35, 75:25, 85:15, or 95:5. In some instances, the ratio of the mixture of EPA ester (or acid) and DHA ester (or acid) is between about 10:90 to about 90:10; between about 20:80 to about 80:20; between about 25:75 to about 75:25, between about 40:60 to about 60:40. In some instances, the ratio of the mixture of EPA ester (or acid) and DHA ester (or acid) is about 1:1. In some instances, the ratio of the mixture of EPA ester (or acid) and DHA ester (or acid) is about 1.1:1. In some instances, the ratio of the mixture of EPA ester (or acid) and DHA ester (or acid) is about 1.2:1. In some Instances, the ratio of the mixture of EPA ester (or acid) and DHA ester (or acid) is about 1.3:1. In some instances, the ratio of the mixture of EPA ester (or acid) and DHA ester (or acid) is about 1.4:1. In one instance, the ratio of the mixture of EPA ester (or acid) and DHA ester (or acid) is about 1.27:1. In another aspect the mixture of niacin conjugated fatty acids is produced by combining Niacin-EPA conjugate and Niacin-DHA together.

[0040]

Also described herein are methods of treating a disease susceptible to treatment with a niacin conjugated fatty acid mixtures in a patient in need thereof by administering to the patient an effective amount of a niacin conjugated fatty acid mixture.

[0041]

Also described herein are methods of treating metabolic disorders by administering to a patient in need thereof an effective amount of a niacin conjugated fatty acid mixture.

[0042]

The invention also includes pharmaceutical compositions that comprise an effective amount of a niacin conjugated fatty acid mixture and a pharmaceutically acceptable carrier. The compositions are useful for treating or preventing a metabolic disorder.

[0043]

The details of the invention are set forth in the accompanying description below. Although methods and materials similar or equivalent to those described herein can be used in the practice or testing of the present invention, illustrative methods and materials are now described. Other features, objects, and advantages of the invention will be apparent from the description and from the claims. In the specification and the appended claims, the singular forms also include the plural unless the context clearly dictates otherwise. Unless defined otherwise, all technical and scientific terms used herein have the same meaning as commonly understood by one of ordinary skill in the art to which this invention belongs. All patents and publications cited in this specification are incorporated herein by reference in their entireties.

BRIEF DESCRIPTION OF THE FIGURES

[0044]

FIG. 1 is a depiction of the effect of compound I-7 on ApoB secretion in HepG2 cells.

[0045]

FIG. 2 is a depiction of the effect of fatty acid niacin derivatives on SREBP-1c target genes.

DETAILED DESCRIPTION OF THE INVENTION

[0046]

Metabolic diseases are a wide variety of medical disorders that interfere with a subject's metabolism. Metabolism is the process a subject's body uses to transform food into energy. Metabolism in a subject with a metabolic disease is disrupted in some way. The fatty acid niacin derivatives possess the ability to treat or prevent metabolic diseases.

[0047]

The fatty acid niacin derivatives have been designed to bring together niacin analogs and omega-3 fatty acids into a single molecular conjugate. The activity of the fatty acid niacin derivatives is substantially greater than the sum of the individual components of the molecular conjugate, suggesting that the activity induced by the fatty acid niacin derivatives is synergistic.

Definitions

[0048]

The following definitions are used in connection with the fatty acid niacin derivatives:

[0049]

The term “fatty acid, niacin derivatives” includes any and all possible isomers, stereoisomers, enantiomers, diastereomers, tautomers, pharmaceutically acceptable salts, hydrates, solvates, and prodrugs of the fatty acid niacin derivatives described herein.

[0050]

The term “niacin conjugated fatty acid mixtures” includes any and all possible isomers, stereoisomers, enantiomers, diastereomers, tautomers, pharmaceutically acceptable salts, hydrates, solvates, and prodrugs of the niacin conjugated fatty acids described herein. The terms Niacin-DHA and Niacin-EPA include conjugates that are linked through bivalent linkers between the Niacin and the DHA or EPA.

[0051]

The articles “a” and “an” are used in this disclosure to refer to one or more than one (i.e., to at least one) of the grammatical object of the article. By way of example, “an element” means one element or more than one element.

[0052]

The term “and/or” is used in this disclosure to mean either “and” or “or” unless indicated otherwise.

[0053]

Unless otherwise specifically defined, the term “aryl” refers to cyclic, aromatic hydrocarbon groups that have 1 to 2 aromatic rings, including monocyclic or bicyclic groups such as phenyl, biphenyl or naphthyl. Where containing two aromatic rings (bicyclic, etc.), the aromatic rings of the aryl group may be joined at a single point (e.g., biphenyl), or fused (e.g., naphthyl). The aryl group may be optionally substituted by one or more substituents, e.g., 1 to 5 substituents, at any point of attachment. The substituents can themselves be optionally substituted.

[0054]

“C1-C3 alkyl” refers to a straight or branched chain saturated hydrocarbon containing 1-3 carbon atoms. Examples of a C1-C3 alkyl group include, but are not limited to, methyl, ethyl, propyl and isopropyl.

[0055]

“C1-C4 alkyl” refers to a straight or branched chain saturated hydrocarbon containing 1-4 carbon atoms. Examples of a C1-C4 alkyl group include, but are not limited to, methyl, ethyl, propyl, butyl, isopropyl, isobutyl, sec-butyl and tert-butyl.

[0056]

“C1-C5 alkyl” refers to a straight or branched chain saturated hydrocarbon containing 1-5 carbon atoms. Examples of a C1-C5 alkyl group include, but are not limited to, methyl, ethyl, propyl, butyl, pentyl, isopropyl, isobutyl, sec-butyl and tert-butyl, isopentyl, and neopentyl.

[0057]

“C1-C6 alkyl” refers to a straight or branched chain saturated hydrocarbon containing 1-6 carbon atoms. Examples of a C1-C6 alkyl group include, but are not limited to, methyl, ethyl, propyl, butylpentyl, hexyl, isopropyl, isobutyl, sec-butyl, tert-butyl, isopentyl, and neopentyl.

[0058]

The term, “cycloalkyl” refers to a cyclic hydrocarbon containing 3-6 carbon atoms. Examples of a cycloalkyl group include, but are not limited to, cyclopropyl, cyclobutyl, cyclopentyl and cyclohexyl.

[0059]

It is understood that any of the substitutable hydrogens on an alkyl and cycloalkyl can be substituted with halogen, C1-C3 alkyl, hydroxyl, alkoxy and cyano groups.

[0060]

The term “heterocycle” as used herein refers to a cyclic hydrocarbon containing 3-6 atoms wherein at least one of the atoms is an O, N, or S. Examples of heterocycles include, but are not limited to, aziridine, oxirane, thiirane, azetidine, oxetane, thietane, pyrrolidine, tetrahydrofuran, tetrahydrothiophene, piperidine, tetrahydropyran, thiane, imidazolidine, oxazolidine, thiazolidine, dioxolane, dithiolane, piperazine, oxazine, dithiane, and dioxane.

[0061]

The term “any one of the side chains of the naturally occurring amino acids” as used herein means a side chain of any one of the following amino acids: Isoleucine, Alanine, Leucine, Asparagine, Lysine, Aspartate, Methionine, Cysteine, Phenylalanine, Glutamate, Threonine, Glutamine, Tryptophan, Glycine, Valine, Proline, Arginine, Serine, Histidine, and Tyrosine.

[0062]

The term “fatty acid” as used herein means an omega-3 fatty acid and fatty acids that are metabolized in vivo to omega-3 fatty acids. Non-limiting examples of fatty acids are all-cis-7,10,13-hexadecatrienoic acid, α-linolenic acid (ALA or all-cis-9,12,15-octadecatrienoic acid), stearidonic acid (STD or all-cis-6,9,12,15octadecatetraenoic acid), eicosatrienoic acid (ETE or all-cis-11,14,17-eicosatrienoic acid), eicosatetraenoic acid (ETA or all-cis-8,11,14,17-eicosatetraenoic acid), eicosapentaenoic acid (EPA or all-cis-5,8,11,14,17-eicosapentaenoic acid), docosapentaenoic acid (DPA, clupanodonic acid or all-cis-7,10,13,16,19-docosapentaenoic acid), docosahexaenoic acid (DHA or all-cis-4,7,10,13,16,19-docosahexaenoic acid), tetracosapentaenoic acid (all-cis-9,12,15,18,21-docosahexaenoic acid), or tetracosahexaenoic acid (nisinic acid or all-cis-6,9,12,15,18,21-tetracosenoic acid).

[0063]

The term “niacin” as used herein means the molecule known as niacin and any derivative thereof.

[0064]

A “subject” is a mammal, e.g., a human, mouse, rat, guinea pig, dog, cat, horse, cow, pig, or non-human primate, such as a monkey, chimpanzee, baboon or rhesus, and the terms “subject” and “patient” are used interchangeably herein.

[0065]

The invention also includes pharmaceutical compositions comprising an effective amount of a fatty acid niacin derivative and a pharmaceutically acceptable carrier. The invention includes a fatty acid niacin derivative provided as a pharmaceutically acceptable prodrug, hydrate, salt, such as a pharmaceutically acceptable salt, enantiomers, stereoisomers, or mixtures thereof.

[0066]

Representative “pharmaceutically acceptable salts” include, e.g., water-soluble and water-insoluble salts, such as the acetate, amsonate (4,4-diaminostilbene-2,2-disulfonate), benzenesulfonate, benzonate, bicarbonate, bisulfate, bitartrate, borate, bromide, butyrate, calcium, calcium edetate, camsylate, carbonate, chloride, citrate, clavulariate, dihydrochloride, edetate, edisylate, estolate, esylate, fumarate, gluceptate, gluconate, glutamate, glycollylarsanilate, hexafluorophosphate, hexylresorcinate, hydrabamine, hydrobromide, hydrochloride, hydroxynaphthoate, iodide, isothionate, lactate, lactobionate, laurate, magnesium, malate, maleate, mandelate, mesylate, methylbromide, methylnitrate, methylsulfate, mucate, napsylate, nitrate, N-methylglucamine ammonium salt, 3-hydroxy-2-naphthoate, oleate, oxalate, palmitate, pamoate (1,1-methene-bis-2-hydroxy-3-naphthoate, einbonate), pantothenate, phosphate/diphosphate, picrate, polygalacturonate, propionate, p-toluenesulfonate, salicylate, stearate, subacetate, succinate, sulfate, sulfosalicylate, suramate, tannate, tartrate, teoclate, tosylate, triethiodide, and valerate salts.

[0067]

The term “metabolic disease” as used herein refers to disorders, diseases and syndromes involving dyslipidemia, and the terms metabolic disorder, metabolic disease, and metabolic syndrome are used interchangeably herein.

[0068]

An “effective amount” when used in connection with a fatty acid niacin derivative is an amount effective for treating or preventing a metabolic disease.

[0069]

The term “carrier”, as used in this disclosure, encompasses carriers, excipients, and diluents and means a material, composition or vehicle, such as a liquid or solid filler, diluent, excipient, solvent or encapsulating material, involved in carrying or transporting a pharmaceutical agent from one organ, or portion of the body, to another organ, or portion of the body.

[0070]

The term “treating”, with regard to a subject, refers to improving at least one symptom of the subject's disorder. Treating can be curing, improving, or at least partially ameliorating the disorder.

[0071]

The term “disorder” is used in this disclosure to mean, and is used interchangeably with, the terms disease, condition, or illness, unless otherwise indicated.

[0072]

The term “administer”, “administering”, or “administration” as used in this disclosure refers to either directly administering a compound or pharmaceutically acceptable salt of the compound or a composition to a subject, or administering a prodrug derivative or analog of the compound or pharmaceutically acceptable salt of the compound or composition to the subject, which can form an equivalent amount of active compound within the subject's body.

[0073]

The term “prodrug,” as used in this disclosure, means a compound which is convertible in vivo by metabolic means (e.g., by hydrolysis) to a fatty acid niacin derivative.

[0074]

The term “about”, as used herein, refers to ±10% of the value or range modified by the term “about”.

[0075]

The following abbreviations are used herein and have the indicated definitions: Boc and BOC are tert-butoxycarbonyl, Boc2O is di-tert-butyl dicarbonate, BSA is bovine serum albumin, CDI is 1,1′-carbonyldiimidazole, DCC is N,N′-dicyclohexylcarbodiimide, DIEA is N,N-diisopropylethylamine, DMAP is d-dimethylaminopyridine, DMEM is Dulbecco's Modified Eagle Medium, DMF is N,N-dimethylformamide, DOSS is sodium dioctyl sulfosuccinate, EDC and EDCI are 1-ethyl-3-(3-dimethylaminopropyl)carbodiimide hydrochloride, ELISA is enzyme-linked immunosorbent assay, EtOAc is ethyl acetate, FBS is fetal bovine serum, h is hour, HATU is 2-(7-aza-1H-benzotriazole-1-yl)-1,1,3,3-tetramethyluronium hexafluorophosphate, HIV is human immunodeficiency virus, HPMC is hydroxypropyl methylcellulose, oxone is potassium peroxymonosulfate, Pd/C is palladium on carbon, TFA is trifluoroacetic acid, TGPS is tocopherol propylene glycol succinate, and THF is tetrahydrofuran.

Compounds

[0076]

Accordingly in one aspect, the present invention provides a molecular conjugate which comprises a niacin and a fatty acid covalently linked, wherein the fatty acid is selected from the group consisting of omega-3 fatty acids and fatty acids that are metabolized in vivo to omega-3 fatty acids, wherein the conjugate comprises at least one amide and the conjugate is capable of hydrolysis to produce free niacin and free fatty acid.

[0077]

In some embodiments, the fatty acid is selected from the group consisting of all-cis-7,10,13-hexadecatrienoic acid, α-linolenic acid, stearidonic acid, eicosatrienoic acid, eicosatetraenoic acid, eicosapentaenoic acid (EPA), docosapentaenoic acid, docosahexaenoic acid (DHA), tetracosapentaenoic acid and tetracosahexaenoic acid. In other embodiments, the fatty acid is selected from eicosapentaenoic acid and docosahexaenoic acid. In some embodiments, the hydrolysis is enzymatic.

[0078]

In another aspect, the present invention provides fatty acid niacin derivatives according to Formula I:

[0000]

[0000]

and pharmaceutically acceptable salts, hydrates, solvates, prodrugs, enantiomers, and stereoisomers thereof;
wherein R1, R2, R3, R4, R5, R6, R7, R, W1, W2, L, a, c, b, d, e, g, h, m, n, o, p, q, Z, r, s, t, and v are as defined above for Formula I,

    • with the proviso that there is at least one

[0000]

    • in the compound.

[0081]

In some embodiments, R3 is Cl, F, or CN.

[0082]

In some embodiments, R3 is —CH3 or —CH2CH3.

[0083]

In some embodiments, W1 is NH.

[0084]

In some embodiments, W2 is NH.

[0085]

In some embodiments, W1 is O.

[0086]

In some embodiments, W2 is O.

[0087]

In some embodiments, a and c are-each independently H, or CH3.

[0088]

In some embodiments, m is 0.

[0089]

In other embodiments, m is 1.

[0090]

In some embodiments, L is —S, or —S—S—.

[0091]

In some embodiments, L is —O—.

[0092]

In some embodiments, L is

[0000]

[0093]

In some embodiments, L is

[0000]

[0094]

In some embodiments, L is

[0000]

[0095]

In some embodiments, L is

[0000]

[0096]

In some embodiments, L is

[0000]

[0097]

In some embodiments, L is

[0000]

[0098]

In some embodiments, one b is O—Z, Z is

[0000]

[0000]

and t is 1.

[0099]

In some embodiments, one d is C(O)OR.

[0100]

In some embodiments n, o, p, and q are each 1.

[0101]

In some embodiments, two of n, o, p, and q are each 1.

[0102]

In other embodiments, three of n, o, p, and q are each 1.

[0103]

In some embodiments, one Z is

[0000]

[0000]

and r is 2.

[0104]

In some embodiments, one Z is

[0000]

[0000]

and r is 3.

[0105]

In some embodiments, one Z is

[0000]

[0106]

In other embodiments, one Z is

[0000]

[0000]

and s is 3.

[0107]

In some embodiments, one Z is

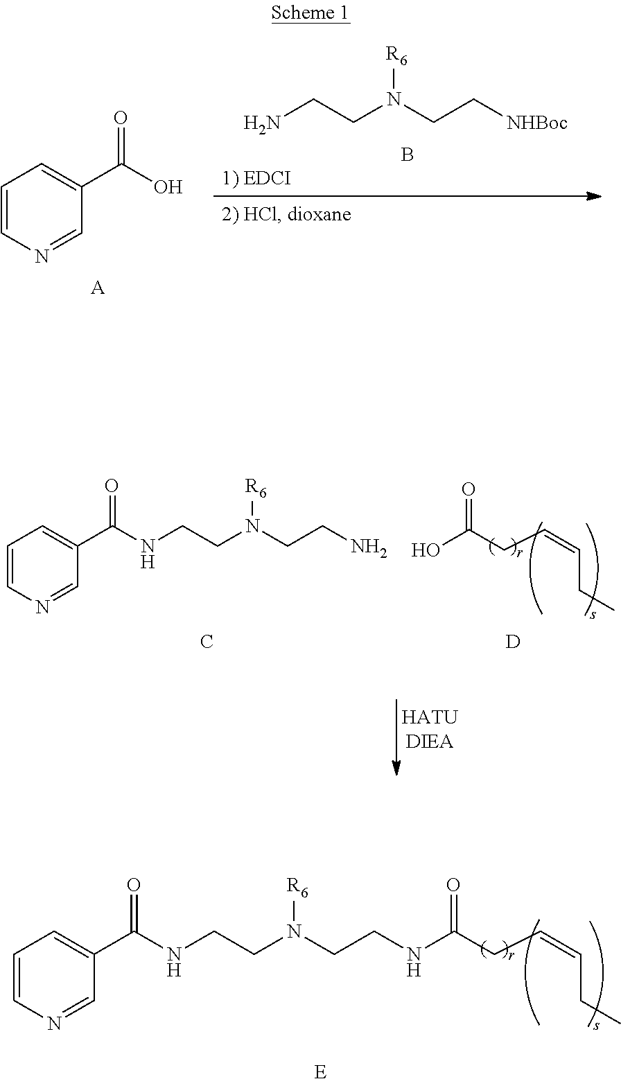
[0000]

[0000]

and s is 5.

[0108]

In some embodiments, one Z is

[0000]

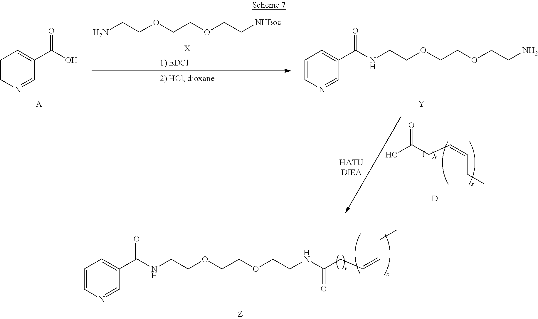
[0000]

and s is 6.

[0109]

In some embodiments, one Z is

[0000]

[0000]

and v is 1.

[0110]

In other embodiments, one Z is

[0000]

[0000]

and v is 2.

[0111]

In some embodiments, one Z is

[0000]

[0000]

and v is 6.

[0112]

In some embodiments, one Z is

[0000]

[0000]

and s is 3.

[0113]

In some embodiments, one Z is

[0000]

[0000]

and s is 5.

[0114]

In other embodiments, one Z is

[0000]

[0000]

and s is 6.

[0115]

In some embodiments, t is 1.

[0116]

In some embodiments, r is 2, s is 6, W1 and W2 are each NH, m is 1, n, o, p, and q are each 1, and L is O.

[0117]

In some embodiments, r is 2, s is 6, W1 and W2 are each NH, m is 1, n, o, p, and q are each 1, and L is —S—S—.

[0118]

In some embodiments, r is 2, s is 6, W1 and W2 are each NH, m is 1, n and o are each 0, p and q are each 1, and L is

[0000]

[0119]

In some embodiments, r is 2, s is 6, W1 and W2 are each NH, m is 1, n, o, p, and q are each 0, and L is

[0000]

[0120]

In some embodiments, r is 2, s is 6, W1 and W2 are each NH, m, n, and o are each 0, and p and q are each 1.

[0121]

In some embodiments, r is 2, s is 6, W1 and W2 are each NH, m is 1, n and o are each 0, p and q are each 1, and L is

[0000]

[0122]

In some embodiments, r is 2, s is 6, W1 and W2 are each NH, m is 1, n and o are each 1, p and q are each 0, and L is

[0000]

[0123]

In some embodiments, r is 2, s is 6, m is 1, n and o are each 0, p and q are each 1, and L is

[0000]

[0124]

In some embodiments, r is 2, s is 6, m is 1, n and o are each 1, p and q are each 0, and L is

[0000]

[0125]

In some embodiments, r is 2, s is 6, W1 and W2 are each NH, m is 1, n, o, p, and q are each 1, and L is

[0000]

[0126]

In some embodiments, r is 2, s is 6, W1 and W2 are each NH, m is 1, n, o, p, and q are each 1, and L is NR6.

[0127]

In some embodiments, r is 2, s is 6, W1 and W2 are each NH, m, n, and o are each 0, and p and q are each 1, and one c is —CH3 and the other c is —CH3.

[0128]

In some embodiments, r is 2, s is 6, W1 and W2 are each NH, m is 1, n and o are each 1, p and q are each 0, and L is

[0000]

[0129]

In some embodiments, r is 3, s is 5, and L is —S—S—.

[0130]

In some embodiments, r is 3, s is 5, and L is —O—.

[0131]

In some embodiments, r is 3, s is 5, and L is

[0000]

[0132]

In some embodiments, r is 3, s is 5, and L is

[0000]

[0133]

In some embodiments, r is 3, s is 5, and L is

[0000]

[0134]

In some embodiments, r is 3, s is 5, and L is

[0000]

[0135]

In some embodiments, r is 3, s is 5, and n, o, p, and q are each 1.

[0136]

In some embodiments, r is 3, s is 5, and two of n, o, p and q are each 1.

[0137]

In some embodiments, r is 3, s is 5, and W1 and W2 are each NH.

[0138]

In some embodiments, r is 3, s is 5, m is 1, n, o, p, and q are each 1, and L is O.

[0139]

In some embodiments, r is 3, s is 5, m is 1, n, o, p, and q are each 1, and L is —S—S—.

[0140]

In some embodiments, r is 3, s is 5, m is 1, n and o are each 0, p and q are each 1, and L is

[0000]

[0141]

In some embodiments, r is 3, s is 5, m is 1, n, o, p, and q are each 0, and L is

[0000]

[0142]

In some embodiments, r is 3, s is 5, m, n, and o are each 0, and p and q are each 1.

[0143]

In some embodiments, r is 3, s is 5, m is 1, n and o are each 1, p and q are each 0, and L is

[0000]

[0144]

In some embodiments, r is 3, s is 5, m is 1, n and o are each 0, p and q are each 1, and L is

[0000]

[0145]

In some embodiments, r is 3, s is 5, m is 1, n and o are each 0, p and q are each 1, and L is

[0000]

[0146]

In some embodiments, r is 3, s is 5, m is 1, n and o are each 1, p and q are each 0, and L is

[0000]

[0147]

In some embodiments, r is 3, s is 5, m is 1, n, o, p, and q are each 1, and L is NR6.

[0148]

In some embodiments, r is 3, s is 5, m, n, and o are each 0, and p and q are each 1, and one c is —CH3 and the other c is —CH3.

[0149]

In some embodiments, r is 3, s is 5, m is 1, n and o are each 1, p and q are each 0, and L is

[0000]

[0150]

In Formula I, any one or more of H may be substituted with a deuterium. It is also understood in Formula I that a methyl substituent can be substituted with a C1-C6 alkyl.

[0151]

In other illustrative embodiments, compounds of Formula I are as set forth below:

  • N-(2-(2-(4Z,7Z,10Z,13Z,16Z,19Z)-docosa-4,7,10,13,16,19-hexaenamidoethoxy)ethyl)nicotinamide (I-1);
  • N-(2-((2-(4Z,7Z,10Z,13Z,16Z,19Z)-docosa-4,7,10,13,16,19-hexaenamidoethyl)(methyl)amino)ethyl)nicotinamide (I-2);
  • N-(2-(2-(2-(4Z,7Z,10Z,13Z,16Z,19Z)-docosa-4,7,10,13,16,19-hexaenamidoethyl)disulfanyl)ethyl)nicotinamide (I-3);
  • N-(2-(1-(2-(1Z,7Z,10Z,13Z,16Z,19Z)-docosa-4,7,10,13,16,19-hexaenamidoethyl)-2,5-dioxopyrrolidin-3-ylthio)ethyl)nicotinamide (I-4);
  • Methyl 3-(2-(4Z,7Z,10Z,13Z,16Z,19Z)-docosa-4,7,10,13,16,19-hexaenamidoacetoxy)-2-(nicotinamido)butanoate (I-5);
  • 1,3-dihydroxypropan-2-yl 6-(4Z,7Z,10Z,13Z,16Z,19Z)-docosa-4,7,10,13,16,19-hexaenamido-2-(nicotinamido)hexanoate (I-6);
  • N-(2-(4Z,7Z,10Z,13Z,16Z,19Z)-docosa-4,7,10,13,16,19-hexaenamidoethyl)nicotinamide (I-7);
  • N-(2-(5Z,8Z,11Z,14Z,17Z)-eicosa-5,8,11,14,17-pentaenamidoethyl)nicotinamide (I-8);
  • (2S,3R)-methyl 3-((S)-2-((4Z,7Z,10Z,13Z,16Z,19Z)-docosa-4,7,10,13,16,19-hexaenamido)propanoyloxy)-2-(nicotinamido)butanoate (I-9);
  • (2S,3R)-methyl 3-((S)-2-((5Z,8Z,11Z,14Z,17Z)-icosa-5,8,11,14,17-pentaenamido)propanoyloxy)-2-(nicotinamido)butanoate (I-10);
  • (S)-methyl 6-((4Z,7Z,10Z,13Z,16Z,19Z)-docosa-4,7,10,13,16,19-hexaenamido)-2-(nicotinamido)hexanoate (I-11);
  • (S)-6-((4Z,7Z,10Z,13Z,16Z,19Z)-docosa-4,7,10,13,16,19-hexaenamido)-2-(nicotinamido)hexanoic acid (I-12);
  • (S)-methyl 2-((5Z,8Z,1Z,14Z,17Z)-eicosa-5,8,11,14,17-pentaenamido)-6-(nicotinamido)hexanoate (I-13);
  • (S)-2-((5Z,8Z,11Z,14Z,17Z)-eicosa-5,8,11,14,17-pentaenamido)-6-(nicotinamido)hexanoic acid (I-14);
  • (S)-methyl 6-((5Z,8Z,11Z,14Z,17Z)-eicosa-5,8,11,14,17-pentaenamido)-2-(nicotinamido)hexanoate (I-15);
  • (S)-6-((5Z,8Z,11Z,14Z,17Z)-eicosa-5,8,11,14,17-pentaenamido)-2-(nicotinamido)hexanoic acid (I-16);
  • (S)-2-((4Z,7Z,10Z,13Z,16Z,19Z)-docosa-4,7,10,13,16,19-hexaenamido)-6-(nicotinamido)hexanoic acid (I-17);
  • (S)-5-((4Z,7Z,10Z,13Z,16Z,19Z)-docosa-4,7,10,13,16,19-hexaenamido)-2-(nicotinamido)pentanoic acid (I-18);
  • (S)-2-((4Z,7Z,10Z,13Z,16Z,19Z)-docosa-4,7,10,13,16,19-hexaenamido)-5-(nicotinamido)pentanoic acid (I-19);
  • 4-(4Z,7Z,10Z,13Z,16Z,19Z)-docosa-4,7,10,13,16,19-hexaenamido-2-(nicotinamido)butanoic acid (I-20);
  • 2-(4Z,7Z,10Z,13Z,16Z,19Z)-docosa-4,7,10,13,16,19-hexaenamido-4-(nicotinamido)butanoic acid (I-21);
  • 3-(4Z,7Z,10Z,13Z,16Z,19Z)-docosa-4,7,10,13,16,19-hexaenamido-2-(nicotinamido)propanoic acid (I-22);
  • 2-(4Z,7Z,10Z,13Z,16Z,19Z)-docosa-4,7,10,13,16,19-hexaenamido-3-(nicotinamido)propanoic acid (I-23);
  • 2-(2-(4Z,7Z,10Z,13Z,16Z,19Z)-docosa-4,7,10,13,16,19-hexaenamidoethyl)-4-(nicotinamido)butanoic acid (I-24);
  • (S)-1,3-dihydroxypropan-2-yl 2-((4Z,7Z,10Z,13Z,16Z,19Z)-docosa-4,7,10,13,16,19-hexaenamido)-6-(nicotinamido)hexanoate (I-25);
  • (S)-1,3-dihydroxypropan-2-yl 5-((4Z,7Z,10Z,13Z,16Z,19Z)-docosa-4,7,10,13,16,19-hexaenamido)-2-(nicotinamido)pentanoate (I-26);
  • (S)-1,3-dihydroxypropan-2-yl 2-((4Z,7Z,10Z,13Z,16Z,19Z)-docosa-4,7,10,13,16,19-hexaenamido)-5-(nicotinamido)pentanoate (I-27);
  • 1,3-dihydroxypropan-2-yl 4-(4Z,7Z,10Z,13Z,16Z,19Z)-docosa-4,7,10,13,16,19-hexaenamido-2-(nicotinamido)butanoate (I-28);
  • 1,3-dihydroxypropan-2-yl 2-(4Z,7Z,10Z,13Z,16Z,19Z)-docosa-4,7,10,13,16,19-hexaenamido-4-(nicotinamido)butanoate (I-29);
  • 1,3-dihydroxypropan-2-yl 3-(4Z,7Z,10Z,13Z,16Z,19Z)-docosa-4,7,10,13,16,19-hexaenamido-2-(nicotinamido)propanoate (I-30);
  • 1,3-dihydroxypropan-2-yl 2-(4Z,7Z,10Z,13Z,16Z,19Z)-docosa-4,7,10,13,16,19-hexaenamido-3-(nicotinamido)propanoate (I-31);
  • 1,3-dihydroxypropan-2-yl 2-(2-(4Z,7Z,10Z,13Z,16Z,19Z)-docosa-4,7,10,13,16,19-hexaenamidoethyl)-4-(nicotinamido)butanoate (I-32);
  • N-(4-(4Z,7Z,10Z,13Z,16Z,19Z)-docosa-4,7,10,13,16,19-hexaenamidobutyl)nicotinamide (I-33);
  • N-(3-(4Z,7Z,10Z,13Z,16Z,19Z)-docosa-4,7,10,13,16,19-hexaenamidopropyl)nicotinamide (I-34);
  • N-(1-(4Z,7Z,10Z,13Z,16Z,19Z)-docosa-4,7,10,13,16,19-hexaenamido-2-methylpropan-2-yl)nicotinamide (I-35);
  • N-(2-(4Z,7Z,10Z,13Z,16Z,19Z)-docosa-4,7,10,13,16,19-hexaenamido-2-methylpropyl)nicotinamide (I-36);
  • N-(2-(2-(4Z,7Z,10Z,13Z,16Z,19Z)-docosa-4,7,10,13,16,19-hexaenamidoethylamino)ethyl)nicotinamide (I-37);
  • N-(3-(2-(4Z,7Z,10Z,13Z,16Z,19Z)-docosa-4,7,10,13,16,19-hexaenamidoethylamino)propyl)nicotinamide (I-38);
  • N-(2-(3-(4Z,7Z,10Z,13Z,16Z,19Z)-docosa-4,7,10,13,16,19-hexaenamidopropylamino)ethyl)nicotinamide (I-39);
  • N-(2-((3-(4Z,7Z,10Z,13Z,16Z,19Z)-docosa-4,7,10,13,16,19-hexaenamidopropyl)(ethyl)amino)ethyl)nicotinamide (I-40);
  • N-(2-((2-(4Z,7Z,10Z,13Z,16Z,19Z)-docosa-4,7,10,13,16,19-hexaenamidoethyl)isobutyl)amino)ethyl)nicotinamide (I-41);
  • N-(2-(N-(2-(4Z,7Z,10Z,13Z,16Z,19Z)-docosa-4,7,10,13,16,19-hexaenamidoethyl)acetamido)ethyl)nicotinamide (I-42);
  • N-(2-((2-(4Z,7Z,10Z,13Z,16Z,19Z)-docosa-4,7,10,13,16,19-hexaenamidoethyl)(2-morpholinoethyl)amino)ethyl)nicotinamide (I-43);
  • N-(2-((2-(4Z,7Z,10Z,13Z,16Z,19Z)-docosa-4,7,10,13,16,19-hexaenamidoethyl)(3-(piperazin-1-yl)propyl)amino)ethyl)nicotinamide (I-44);
  • N-(3-(4Z,7Z,10Z,13Z,16Z,19Z)-docosa-4,7,10,13,16,19-hexaenamido-2-oxopropyl)nicotinamide (I-45);
  • N-(3-(4Z,7Z,10Z,13Z,16Z,19Z)-docosa-4,7,10,13,16,19-hexaenamido-2-morpholinopropyl)nicotinamide (I-46);
  • N-(3-(4Z,7Z,10Z,13Z,16Z,19Z)-docosa-4,7,10,13,16,19-hexaenamido-2-(piperazin-1-yl)propyl)nicotinamide (I-47);
  • N-(3-(4Z,7Z,10Z,13Z,16Z,19Z)-docosa-4,7,10,13,16,19-hexaenamido-4-(4-methylpiperazin-1-yl)propyl)nicotinamide (I-48);
  • N-(5-(4Z,7Z,10Z,13Z,16Z,19Z)-docosa-4,7,10,13,16,19-hexaenamido-3-hydroxypentyl)nicotinamide (I-49);
  • N-(5-(4Z,7Z,10Z,13Z,16Z,19Z)-docosa-4,7,10,13,16,19-hexaenamido-3-morpholinopentyl)nicotinamide (I-50);
  • N-(5-(4Z,7Z,10Z,13Z,16Z,19Z)-docosa-4,7,10,13,16,19-hexaenamido-3-(piperazin-1-yl)pentyl)nicotinamide (I-51);
  • (S)-((R)-1-(nicotinamido)propan-2-yl) 2-((5Z,8Z,11Z,14Z,17Z)-eicosa-5,8,11,14,17-pentaenamido)propanoate (I-52);
  • (S)-((R)-1-(nicotinamido)propan-2-yl) 2-((5Z,8Z,11Z,14Z,17Z)-eicosa-5,8,11,14,17-pentaenamido)-3-methylbutanoate (I-53);
  • N-(2-(2-(2-(4Z,7Z,10Z,13Z,16Z,19Z)-docosa-4,7,10,13,16,19-hexaenamidoethoxy)ethoxy)ethyl)nicotinamide (I-54);
  • N-(2-(2-(4Z,7Z,10Z,13Z,16Z,19Z)docosa-4,7,10,13,16,19-hexaenamidoethylthio)ethyl)nicotinamide (I-55);
  • (4Z,7Z,10Z,13Z,16Z,19Z)-1-(nicotinamido)propan-2-yl docosa-4,7,10,13,16,19-hexaenoate (I-56);
  • (4Z,7Z,10Z,13Z,16Z,19Z)-4-methoxy-3-(nicotinamido)-4-oxobutan-2-yl docosa-4,7,10,13,16,19-hexaenoate (I-57);
  • N-(2-(4Z,7Z,10Z,13Z,16Z,19Z)-docosa-4,7,10,13,16,19-hexaenamidoethyl)-6-methylnicotinamide (I-58);
  • N-(2-(5Z,8Z,11Z,14Z,17Z)-eicosa-5,8,11,14,17-pentaenamidoethyl)-6-methylnicotinamide (I-59);
  • N-(2-(4Z,7Z,10Z,13Z,16Z,19Z)-docosa-4,7,10,13,16,19-hexaenamidoethyl)-6-ethylnicotinamide (I-60);
  • 6-ethyl-N-(2-(5Z,8Z,11Z,14Z,17Z)-eicosa-5,8,11,14,17-pentaenamidoethyl)nicotinamide (I-61);
  • 6-chloro-N-(2-(4Z,7Z,10Z,13Z,16Z,19Z)-docosa-4,7,10,13,16,19-hexaenamidoethyl)nicotinamide (I-62);
  • 6-chloro-N-(2-(5Z,8Z,11Z,14Z,17Z)-eicosa-5,8,11,14,17-pentaenamidoethyl)nicotinamide (I-63);
  • N-(2-(4Z,7Z,10Z,13Z,16Z,19Z)-docosa-4,7,10,13,16,19-hexaenamidoethyl)-6-fluoronicotinamide (I-64);
  • 6-fluoro-N-(2-(5Z,8Z,11Z,14Z,17Z)-eicosa-5,8,11,14,17-pentaenamidoethyl)nicotinamide (I-65);
  • 6-cyano-N-(2-(4Z,7Z,10Z,13Z,16Z,19Z)-docosa-4,7,10,13,16,19-hexaenamidoethyl)nicotinamide (I-66);
  • 6-cyano-N-(2-(5Z,8Z,11Z,14Z,17Z)-eicosa-5,8,11,14,17-pentaenamidoethyl)nicotinamide (I-67);
  • (S)-6-((4Z,7Z,10Z,13Z,16Z,19Z)-docosa-4,7,10,13,16,19-hexaenamido)-2-(2-methylnicotinamido)hexanoic acid (I-68);
  • (S)-2-((4Z,7Z,10Z,13Z,16Z,19Z)-docosa-4,7,10,13,16,19-hexaenamido)-6-(2-methylnicotinamido)hexanoic acid (I-69);
  • (S)-6-((4Z,7Z,10Z,13Z,16Z,19Z)-docosa-4,7,10,13,16,19-hexaenamido)-2-(2-ethylnicotinamido)hexanoic acid (I-70);
  • (S)-2-((4Z,7Z,10Z,13Z,16Z,19Z)-docosa-4,7,10,13,16,19-hexaenamido)-6-(2-ethylnicotinamido)hexanoic acid (I-71);
  • (S)-2-(2-chloronicotinamido)-6-((4Z,7Z,10Z,13Z,16Z,19Z)-docosa-4,7,10,13,16,19-hexaenamido)hexanoic acid (I-72);
  • (S)-6-(2-chloronicotinamido)-2-((4Z,7Z,10Z,13Z,16Z,19Z)-docosa-4,7,10,13,16,19-hexaenamido)hexanoic acid (I-73);
  • (S)-6-((4Z,7Z,10Z,13Z,16Z,19Z)-docosa-4,7,10,13,16,19-hexaenamido)-2-(2-fluoronicotinamido)hexanoic acid (I-74);
  • (S)-2-((4Z,7Z,10Z,13Z,16Z,19Z)-docosa-4,7,10,13,16,19-hexaenamido)-6-(2-fluoronicotinamido)hexanoic acid (I-75);
  • (S)-2-(2-cyanonicotinamido)-6-((4Z,7Z,10Z,13Z,16Z,19Z)-docosa-4,7,10,13,16,19-hexaenamido)hexanoic acid (I-76);
  • (S)-6-(2-cyanonicotinamido)-2-((4Z,7Z,10Z,13Z,16Z,19Z)-docosa-4,7,10,13,16,19-hexaenamido)hexanoic acid (I-77);
  • N-(2-(2-(4Z,7Z,10Z,13Z,16Z,19Z)-docosa-4,7,10,13,16,19-hexaenamidoethoxy)ethyl)-6-methylnicotinamide (I-78);
  • N-(2-((2-(4Z,7Z,10Z,13Z,16Z,19Z)-docosa-4,7,10,13,16,19-hexaenamidoethyl)(methyl)amino)ethyl)-6-methylnicotinamide (I-79);
  • N-(2-(2-(2-(4Z,7Z,10Z,13Z,16Z,19Z)-docosa-4,7,10,13,16,19-hexaenamidoethyl)disulfanyl)ethyl)-6-methylnicotinamide (I-80);
  • N-(2-(2-(4Z,7Z,10Z,13Z,16Z,19Z)-docosa-4,7,10,13,16,19-hexaenamidoethoxy)ethyl)-6-ethylnicotinamide (I-81);
  • N-(2-((2-(4Z,7Z,10Z,13Z,16Z,19Z)-docosa-4,7,10,13,16,19-hexaenamidoethyl)(methyl)amino)ethyl)-6-ethylnicotinamide (I-82);
  • N-(2-(2-(2-(4Z,7Z,10Z,13Z,16Z,19Z)-docosa-4,7,10,13,16,19-hexaenamidoethyl)disulfanyl)ethyl)-6-ethylnicotinamide (I-83);
  • 6-chloro-N-(2-(2-(4Z,7Z,10Z,13Z,16Z,19Z)-docosa-4,7,10,13,16,19-hexaenamidoethoxy)ethyl)nicotinamide (I-84);
  • 6-chloro-N-(2-((2-(4Z,7Z,10Z,13Z,16Z,19Z)-docosa-4,7,10,13,16,19-hexaenamidoethyl)(methyl)amino)ethyl)nicotinamide (I-85);
  • 6-chloro-N-(2-(2-(2-(4Z,7Z,10Z,13Z,16Z,19Z)-docosa-4,7,10,13,16,19-hexaenamidoethyl)disulfanyl)ethyl)nicotinamide (I-86);
  • 6-cyano-N-(2-(2-(4Z,7Z,10Z,13Z,16Z,19Z)-docosa-4,7,10,13,16,19-hexaenamidoethoxy)ethyl)nicotinamide (I-87);
  • 6-cyano-N-(2-((2-(4Z,7Z,10Z,13Z,16Z,19Z)-docosa-4,7,10,13,16,19-hexaenamidoethyl)(methyl)amino)ethyl)nicotinamide (I-88);
  • 6-cyano-N-(2-(2-(2-(4Z,7Z,10Z,13Z,16Z,19Z)-docosa-4,7,10,13,16,19-hexaenamidoethyl)disulfanyl)ethyl)nicotinamide (I-89);

Mixtures

[0241]

The present invention also provides mixtures of a Niacin-EPA conjugate and a Niacin-DHA conjugate. The mixtures can contain Niacin-EPA conjugates or Niacin-DHA conjugates in any proportion. The ratio of Niacin-EPA conjugate to the Niacin-DHA conjugate reflects the ratio of the EPA ester (or acid) to the DHA ester (or acid) present in the starting mixture of DHA and EPA esters (or acids). Also described herein are pharmaceutically active niacin conjugated fatty acid mixtures which comprise a mixture of a Niacin-EPA conjugate and a Niacin-DHA conjugate. Processes for producing a niacin conjugated fatty acid mixture are described which comprise reacting niacin, or an analog thereof, with a mixture of EPA and DHA such that a mixture of niacin conjugated fatty acids is produced wherein the fatty acids are a mixture of DHA and EPA. In some embodiments, the mixture of DHA and EPA are esters of the fatty acids. In other embodiments, the mixture of DHA and EPA are in the free acid form. The mixture produced reflects the starting ratios of DHA to EPA in the fatty acid mixture. For example, a 50:50 mixture of EPA ester (or acid) and DHA ester (or acid) as the starting material provides a 50:50 mixture of the Niacin-EPA conjugates and Niacin-DHA conjugates. Similarly, a 60:40 mixture of EPA ester (or acid) and DHA ester (or acid) as the starting material provides a 60:40 mixture of the Niacin-EPA conjugates and Niacin-DHA conjugates, and so on. In some instances the ratio of the mixture of EPA ester (or acid) and DHA ester (or acid) is about 60:40. In other instances, it is about 40:60. The ratio of the mixture of EPA ester (or acid) and DHA ester (or acid) can be about 10:90, about 20:80, or about 30:70. In some instances the ratio of the mixture of EPA ester (or acid) and DHA ester (or acid) is about 90:10, about 80:20, or about 70:30. The ratio of the mixture of EPA ester (or acid) and DHA ester (or acid) can be about 5:95, 15:85, 25:75, 35:65, 45:55, 55:45, 65:35, 75:25, 85:15, or 95:5. In some instances, the ratio of the mixture of EPA ester (or acid) and DHA ester (or acid) is between about 10:90 to about 90:10; between about 20:80 to about 80:20; between about 25:75 to about 75:25, between about 40:60 to about 60:40. In some instances, the ratio of the mixture of EPA ester (or acid) and DHA ester (or acid) is about 1:1. In some instances, the ratio of the mixture of EPA ester (or acid) and DHA ester (or acid) is about 1.2:1. In some instances, the ratio of the mixture of EPA ester (or acid) and DHA ester (or acid) is about 1.3:1. In some instances, the ratio of the mixture of EPA ester (or acid) and DHA ester (or acid) is about 1.4:1. In one instance, the ratio of the mixture of EPA ester (or acid) and DHA ester (or acid) is about 1.27:1. In another aspect the mixture of niacin conjugated fatty acids is produced by combining Niacin-EPA conjugate and Niacin-DHA together.

Methods for Using Fatty Acid Niacin Derivatives

[0242]

The invention also includes methods for treating metabolic diseases such as the treatment or prevention of metabolic diseases including atherosclerosis, dyslipidemia, coronary heart disease, hypercholesterolemia, Type 2 diabetes, elevated cholesterol, metabolic syndrome and cardiovascular disease.

[0243]

In one embodiment, the method comprises contacting a cell with a fatty acid niacin derivative in an amount sufficient to decrease the release of triglycerides or VLDL or LDL or cause an increase in reverse cholesterol transport or increase HDL concentrations.

[0244]

Also provided in the invention is a method for inhibiting, preventing, or treating a metabolic disease, or symptoms of a metabolic disease, in a subject. Examples of such disorders include, but are not limited to atherosclerosis, dyslipidemia, hypertriglyceridemia, hypertension, heart failure, cardiac arrhythmias, low HDL levels, high LDL levels, sudden death, stable angina, coronary heart disease, acute myocardial infarction, secondary prevention of myocardial infarction, cardiomyopathy, endocarditis, type 2 diabetes, insulin resistance, impaired glucose tolerance, hypercholesterolemia, stroke, hyperlipidemia, hyperlipoproteinemia, chronic kidney disease, intermittent claudication, hyperphosphatemia, carotid atherosclerosis, peripheral arterial disease, diabetic nephropathy, hypercholesterolemia in HIV infection, acute coronary syndrome (ACS), non-alcoholic fatty liver disease, arterial occlusive diseases, cerebral arteriosclerosis, cerebrovascular disorders, myocardial ischemia, and diabetic autonomic neuropathy.

[0245]

In some embodiments, the subject is administered an effective amount of a fatty acid niacin derivative.

[0246]

The invention also includes pharmaceutical compositions useful for treating or preventing a metabolic disease, or for inhibiting a metabolic disease, or more than one of these activities. The compositions can be suitable for internal use and comprise an effective amount of a fatty acid niacin derivative and a pharmaceutically acceptable carrier. The fatty acid niacin derivatives are especially useful in that they demonstrate very low peripheral toxicity or no peripheral toxicity. In some embodiments, the pharmaceutical composition comprises one fatty acid niacin derivative. In other embodiments, the pharmaceutical composition comprises two fatty acid niacin derivatives.

[0247]

The fatty acid niacin derivatives can each be administered in amounts that are sufficient to treat or prevent a metabolic disease or prevent the development thereof in subjects.

[0248]

Administration of the fatty acid niacin derivatives can be accomplished via any mode of administration for therapeutic agents. These modes include systemic or local administration such as oral, nasal, parenteral, transdermal, subcutaneous, vaginal, buccal, rectal or topical administration modes.

[0249]

Depending on the intended mode of administration, the compositions can be in solid, semi-solid or liquid dosage form, such as, for example, injectables, tablets, suppositories, pills, time-release capsules, elixirs, tinctures, emulsions, syrups, powders, liquids, suspensions, or the like, sometimes in unit dosages and consistent with conventional pharmaceutical practices. Likewise, they can also be administered in intravenous (both bolus and infusion), intraperitoneal, subcutaneous or intramuscular form, all using forms well known to those skilled in the pharmaceutical arts.

[0250]

Illustrative pharmaceutical compositions are tablets and gelatin capsules comprising a fatty acid niacin derivative and a pharmaceutically acceptable carrier, such as: a) a diluent, e.g., purified water, triglyceride oils, such as hydrogenated or partially hydrogenated vegetable oil, or mixtures thereof, corn oil, olive oil, sunflower oil, safflower oil, fish oils, such as EPA or DHA, or their esters or triglycerides or mixtures thereof, omega-3 fatty acids or derivatives thereof, lactose, dextrose, sucrose, mannitol, sorbitol, cellulose, sodium, saccharin, glucose and/or glycine; b) a lubricant, e.g., silica, talcum, stearic acid, its magnesium or calcium salt, sodium oleate, sodium stearate, magnesium stearate, sodium benzoate, sodium acetate, sodium chloride and/or polyethylene glycol; for tablets also; c) a binder, e.g., magnesium aluminum silicate, starch paste, gelatin, tragacanth, methylcellulose, sodium carboxymethylcellulose, magnesium carbonate, natural sugars such as glucose or beta-lactose, corn sweeteners, natural and synthetic gums such as acacia, tragacanth or sodium alginate, waxes and/or polyvinylpyrrolidone, if desired; d) a disintegrant, e.g., starches, agar, methyl cellulose, bentonite, xanthan gum, alginic acid or its sodium salt, or effervescent mixtures; e) absorbent, colorant, flavorant and sweetener; f) an emulsifier or dispersing agent, such as Tween 80, Labrasol, HPMC, DOSS, caproyl 909, labrafac, labrafil, peceol, transcutol, capmul MCM, capmul PG-12, captex 355, gelucire, vitamin E TGPS, or other acceptable emulsifier; and/or g) an agent that enhances absorption of the compound such as cyclodextrin, hydroxypropyl-cyclodextrin, PEG-400, PEG200.

[0251]

Liquid, particularly injectable, compositions can, for example, be prepared by dissolution, dispersion, etc. For example, the fatty acid niacin derivative is dissolved in or mixed with a pharmaceutically acceptable solvent such as, for example, water, saline, aqueous dextrose, glycerol, ethanol, and the like, to thereby form an injectable isotonic solution or suspension. Proteins such as albumin, chylomicron particles, or serum proteins can be used to solubilize the fatty acid niacin derivatives.

[0252]

The fatty acid niacin derivatives can be also formulated as a suppository that can be prepared from fatty emulsions or suspensions; using polyalkylene glycols such as propylene glycol, as the carrier.

[0253]

The fatty acid niacin derivatives can also be administered in the form of liposome delivery systems, such as small unilamellar vesicles, large unilamellar vesicles and multilamellar vesicles. Liposomes can be formed from a variety of phospholipids, containing cholesterol, stearylamine or phosphatidylcholines. In some embodiments, a film of lipid components is hydrated with an aqueous solution of drug to a form lipid layer encapsulating the drug, as described in U.S. Pat. No. 5,262,564, the contents of which are herein incorporated by reference in their entirety.

[0254]

Fatty acid niacin derivatives can also be delivered by the use of monoclonal antibodies as individual carriers to which the fatty acid niacin derivatives are coupled. The fatty acid niacin derivatives can also be coupled with soluble polymers as targetable drug carriers. Such polymers can include polyvinylpyrrolidone, pyran copolymer, polyhydroxypropylmethacrylamide-phenol, polyhydroxyethylaspanamidephenol, or polyethyleneoxidepolylysine substituted with palmitoyl residues. Furthermore, the fatty acid niacin derivatives can be coupled to a class of biodegradable polymers useful in achieving controlled release of a drug, for example, polylactic acid, polyepsilon caprolactone, polyhydroxy butyric acid, polyorthoesters, polyacetals, polydihydropyrans, polycyanoacrylates and cross-linked or amphipathic block copolymers of hydrogels. In one embodiment, fatty acid niacin derivatives are not covalently bound to a polymer, e.g., a polycarboxylic acid polymer, or a polyacrylate.

[0255]

Parenteral injectable administration is generally used for subcutaneous, intramuscular or intravenous injections and infusions. Injectables can be prepared in conventional forms, either as liquid solutions or suspensions or solid forms suitable for dissolving in liquid prior to injection.

[0256]

Compositions can be prepared according to conventional mixing, granulating or coating methods, respectively, and the present pharmaceutical compositions can contain from about 0.1% to about 80%, from about 5% to about 60%, or from about 1% to about 20% of the fatty acid niacin derivative by weight or volume.

[0257]

The dosage regimen utilizing the fatty acid niacin derivative is selected in accordance with a variety of factors including type, species, age, weight, sex and medical condition of the patient; the severity of the condition to be treated; the route of administration; the renal or hepatic function of the patient; and the particular fatty acid niacin derivative employed. A physician or veterinarian of ordinary skill in the art can readily determine and prescribe the effective amount of the drug required to prevent, counter or arrest the progress of the condition.

[0258]

Effective dosage amounts of the present invention, when used for the indicated effects, range from about 20 mg to about 5,000 mg of the fatty acid niacin derivative per day. Compositions for in vivo or in vitro use can contain about 20, 50, 75, 100, 150, 250, 500, 750, 1,000, 1,250, 2,500, 3,500, or 5,000 mg of the fatty acid niacin derivative. In one embodiment, the compositions are in the form of a tablet that can be scored. Effective plasma levels of the fatty acid niacin derivative can range from about 0.002 mg to about 100 mg per kg of body weight per day. Appropriate dosages of the fatty acid niacin derivatives can be determined as set forth in Goodman, L. S.; Gilman, A. The Pharmacological Basis of Therapeutics, 5th ed.; MacMillan; New York, 1975, pp. 201-226.

[0259]

Fatty acid niacin derivatives can be administered in a single daily dose, or the total daily dosage can be administered in divided doses of two, three or four times daily. Furthermore, fatty acid niacin derivatives can be administered in intranasal form via topical use of suitable intranasal vehicles, or via transdermal routes, using those forms of transdermal skin patches well known to those of ordinary skill in that art. To be administered in the form of a transdermal delivery system, the dosage administration can be continuous rather than intermittent throughout the dosage regimen. Other illustrative topical preparations include creams, ointments, lotions, aerosol sprays and gels, wherein the concentration of the fatty acid niacin derivative ranges from about 0.1% to about 15%, w/w or w/v.

Methods for Using Niacin Conjugated Fatty Acid Mixtures

[0260]

the invention also includes methods for treating metabolic diseases such as the treatment or prevention of metabolic diseases including atherosclerosis, dyslipidemia, coronary heart disease, hypercholesterolemia, Type 2 diabetes, elevated cholesterol, metabolic syndrome and cardiovascular disease.

[0261]

In one embodiment, the method comprises contacting a cell with a niacin conjugated fatty acid mixture in an amount sufficient to decrease the release of triglycerides or VLDL or LDL or cause an increase in reverse cholesterol transport or increase HDL concentrations.

[0262]

Also provided in the invention is a method for inhibiting, preventing, or treating a metabolic disease, or symptoms of a metabolic disease, in a subject. Examples of such disorders include, but are not limited to atherosclerosis, dyslipidemia, hypertriglyceridemia, hypertension, heart failure, cardiac arrhythmias, low HDL levels, high LDL levels, sudden death, stable angina, coronary heart disease, acute myocardial infarction, secondary prevention of myocardial infarction, cardiomyopathy, endocarditis, type 2 diabetes, insulin resistance, impaired glucose tolerance, hypercholesterolemia, stroke, hyperlipidemia, hyperlipoproteinemia, chronic kidney disease, intermittent claudication, hyperphosphatemia, carotid atherosclerosis, peripheral arterial disease, diabetic nephropathy, hypercholesterolemia in HIV infection, acute coronary syndrome (ACS), non-alcoholic fatty liver disease, arterial occlusive diseases, cerebral arteriosclerosis, cerebrovascular disorders, myocardial ischemia, and diabetic autonomic neuropathy.

[0263]

In some embodiments, the subject is administered an effective amount of a niacin conjugated fatty acid mixture.

[0264]

The invention also includes pharmaceutical compositions useful for treating or preventing a metabolic disease, or for inhibiting a metabolic disease, or more than one of these activities. The compositions can be suitable for internal use and comprise an effective amount of a niacin conjugated fatty acid mixture and a pharmaceutically acceptable carrier. The niacin conjugated fatty acid mixtures are especially useful in that they demonstrate very low peripheral toxicity or no peripheral toxicity.

[0265]

The niacin conjugated fatty acid mixtures can each be administered in amounts that are sufficient to treat or prevent a metabolic disease or prevent the development thereof in subjects.

[0266]

Administration of the niacin conjugated fatty acid mixtures can be accomplished via any mode of administration for therapeutic agents. These modes include systemic or local administration such as oral, nasal, parenteral, transdermal, subcutaneous, vaginal, buccal, rectal or topical administration modes.

[0267]

Depending on the intended mode of administration, the compositions can be in solid, semi-solid or liquid dosage form, such as, for example, injectables, tablets, suppositories, pills, time-release capsules, elixirs, tinctures, emulsions, syrups, powders, liquids, suspensions, or the like, sometimes in unit dosages and consistent with conventional pharmaceutical practices. Likewise, they can also be administered in intravenous (both bolus and infusion), intraperitoneal, subcutaneous or intramuscular form, all using forms well known to those skilled in the pharmaceutical arts.

[0268]

Illustrative pharmaceutical compositions are tablets and gelatin capsules comprising a niacin conjugated fatty acid mixture and a pharmaceutically acceptable carrier, such as: a) a diluent, e.g., purified water, triglyceride oils, such as hydrogenated or partially hydrogenated vegetable oil, or mixtures thereof, corn oil, olive oil, sunflower oil, safflower oil, fish oils, such as EPA or DHA, or their esters or triglycerides or mixtures thereof, omega-3 fatty acids or derivatives thereof, lactose, dextrose, sucrose, mannitol, sorbitol, cellulose, sodium, saccharin, glucose and/or glycine; b) a lubricant, e.g., silica, talcum, stearic acid, its magnesium or calcium salt, sodium oleate, sodium stearate, magnesium, stearate, sodium benzoate, sodium acetate, sodium chloride and/or polyethylene glycol; for tablets also; c) a binder, e.g., magnesium aluminum silicate, starch paste, gelatin, tragacanth, methylcellulose, sodium carboxymethylcellulose, magnesium carbonate, natural sugars such as glucose or beta-lactose, corn sweeteners, natural and synthetic gums such as acacia, tragacanth or sodium alginate, waxes and/or polyvinylpyrrolidone, if desired; d) a disintegrant, e.g., starches, agar, methyl cellulose, bentonite, xanthan gum, alginic acid, or its sodium salt, or effervescent mixtures; e) absorbent, colorant, flavorant and sweetener; f) an emulsifier or dispersing agent, such as Tween 80, Labrasol, HPMC, DOSS, caproyl 909, labrafac, labrafil, peceol, transcutol, capmul MCM, capmul PG-12, captex 355, gelucire, vitamin E TGPS or other acceptable emulsifier; and/or g) an agent that enhances absorption of the compound such as cyclodextrin, hydroxypropyl-cyclodextrin, PEG400, PEG200.

[0269]

Liquid, particularly injectable, compositions can, for example, be prepared by dissolution, dispersion, etc. For example, the niacin conjugated fatty acid mixture is dissolved in or mixed with a pharmaceutically acceptable solvent such as, for example, water, saline, aqueous dextrose, glycerol, ethanol and the like, to thereby form an injectable isotonic solution or suspension. Proteins such as albumin, chylomicron particles, or serum proteins can be used to solubilize the fatty acid niacin derivatives.

[0270]

The niacin conjugated fatty acid mixture can be also formulated as a suppository that can be prepared from fatty emulsions or suspensions; using polyalkylene glycols such as propylene glycol, as the carrier.

[0271]

The niacin conjugated fatty acid mixture can also be administered in the form of liposome delivery systems, such as small unilamellar vesicles, large unilamellar vesicles and multilamellar vesicles. Liposomes can be formed from a variety of phospholipids, containing cholesterol, stearylamine or phosphatidylcholines. In some embodiments, a film of lipid components is hydrated with an aqueous solution of drug to a form lipid layer encapsulating the drug, as described in U.S. Pat. No. 5,262,564, the contents of which are herein incorporated by reference in their entirety.

[0272]

Niacin conjugated fatty acid mixtures can also be delivered by the use of monoclonal antibodies as individual carriers to which the fatty acid niacin derivatives are coupled. The niacin conjugated fatty acid mixtures can also be coupled with soluble polymers as targetable drug carriers. Such polymers can include polyvinylpyrrolidone, pyran copolymer, polyhydroxypropylmethacrylamide-phenol, polyhydroxyethylaspanamidephenol, or polyethyleneoxidepolylysine substituted with palmitoyl residues. Furthermore, the niacin conjugated fatty acid mixtures can be coupled to a class of biodegradable polymers useful in achieving controlled release of a drug, for example, polylactic acid, polyepsilon caprolactone, polyhydroxy butyric acid, polyorthoesters, polyacetals, polydihydropyrans, polycyanoacrylates and cross-linked or amphipathic block copolymers of hydrogels. In one embodiment, niacin conjugated fatty acid mixtures are not covalently bound to a polymer, e.g., a polycarboxylic acid polymer, or a polyacrylate.

[0273]

Parenteral injectable administration is generally used for subcutaneous, intramuscular or intravenous injections and infusions. Injectables can be prepared in conventional forms, either as liquid solutions or suspensions or solid forms suitable for dissolving in liquid prior to injection.

[0274]

Compositions can be prepared according to conventional mixing, granulating or coating methods, respectively, and the present pharmaceutical compositions can contain from about 0.1% to about 80%, from about 5% to about 60%, or from about 1% to about 20% of the niacin conjugated fatty acid mixtures by weight or volume.

[0275]

The dosage regimen utilizing the niacin conjugated fatty acid mixtures is selected in accordance with a variety of factors including type, species, age, weight, sex and medical condition of the patient; the severity of the condition to be treated; the route of administration; the renal or hepatic function of the patient; and the particular niacin conjugated fatty acid mixture employed. A physician or veterinarian of ordinary skill in the art can readily determine and prescribe the effective amount of the drug required to prevent, counter or arrest the progress of the condition.

[0276]

Effective dosage amounts of the present invention, when used for the indicated effects, range from about 20 mg to about 5,000 mg of the niacin conjugated fatty acid mixture per day. Compositions for in vivo or in vitro use can contain about 20, 50, 75, 100, 150, 250, 500, 750, 1,000, 1,250, 2,500, 3,500, or 5,000 mg of the niacin conjugated fatty acid mixtures. In one embodiment, the compositions are in the form of a tablet that can be scored. Effective plasma levels of the niacin conjugated fatty acid mixtures can range from about 0.002 mg to about 100 mg per kg of body weight per day. Appropriate dosages of the niacin conjugated fatty acid mixtures can be determined as set forth in Goodman, L. S.; Gilman, A. The Pharmacological Basis of Therapeutics, 5th ed.; MacMillan: New York, 1975, pp. 201-226.

[0277]

Niacin conjugated fatty acid mixtures can be administered in a single daily dose, or the total daily dosage can be administered in divided doses of two, three or four times daily. Furthermore, niacin conjugated fatty acid mixtures can be administered in intranasal form via topical use of suitable intranasal vehicles, or via transdermal routes, using those forms of transdermal skin patches well known to those of ordinary skill in the art. To be administered in the form of a transdermal delivery system, the dosage administration can be continuous rather than intermittent throughout the dosage regimen. Other illustrative topical preparations include creams, ointments, lotions, aerosol sprays and gels, wherein the concentration of the niacin conjugated fatty acid mixture ranges from about 0.1% to about 15%, w/w or w/v.

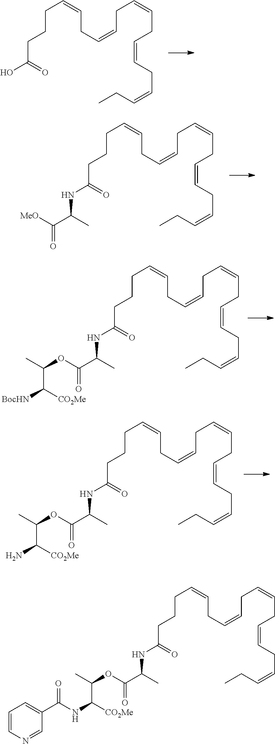
METHODS OF MAKING

Methods for Making the Fatty Acid Niacin Derivatives

[0278]

Examples of synthetic pathways useful for making fatty acid niacin derivatives of Formula I are set forth in the Examples below and generalized in Schemes 1-10.

[0000]

[0000]

wherein R6, r, and s are as defined above.

[0279]

The mono-BOC protected amine of the formula B can be obtained from commercial sources or prepared according to the procedures outlined in Krapcho et al. Synthetic Communications 1990, 20, 2559-2564. Compound A can be amidated with the amine B using a coupling reagent such as DCC, CDI, EDC, or optionally with a tertiary amine base and/or catalyst, e.g., DMAP, followed by deprotection of the BOC group with acids such as TFA or HCl in a solvent such as CH2Cl2 dioxane to produce the coupled compound C. Activation of compound C with a coupling agent such as HATU in the presence of an amine such as DIEA followed by addition of a fatty acid of formula D affords compounds of the formula E.

[0000]

[0000]

wherein R, r, and s are as defined above.

[0280]

The acylated amine of the formula F can be prepared using the procedures outlined in Andruszkiewicz et al. Synthetic Communications 2008, 38, 905-913. Compound A can be amidated with the amine F using a coupling reagent such as DCC, CDI, EDC, or optionally with a tertiary amine base and/or catalyst, e.g., DMAP, followed by deprotection of the BOC group with acids such as TFA or HCl in a solvent such as CH2Cl2 or dioxane to produce the coupled compound G. Activation of compound G with a coupling agent such as HATU in the presence of an amine such as DIEA followed by addition of a fatty acid of formula D affords compounds of the formula H.

[0000]

[0000]

wherein r and s are as defined above.

[0281]

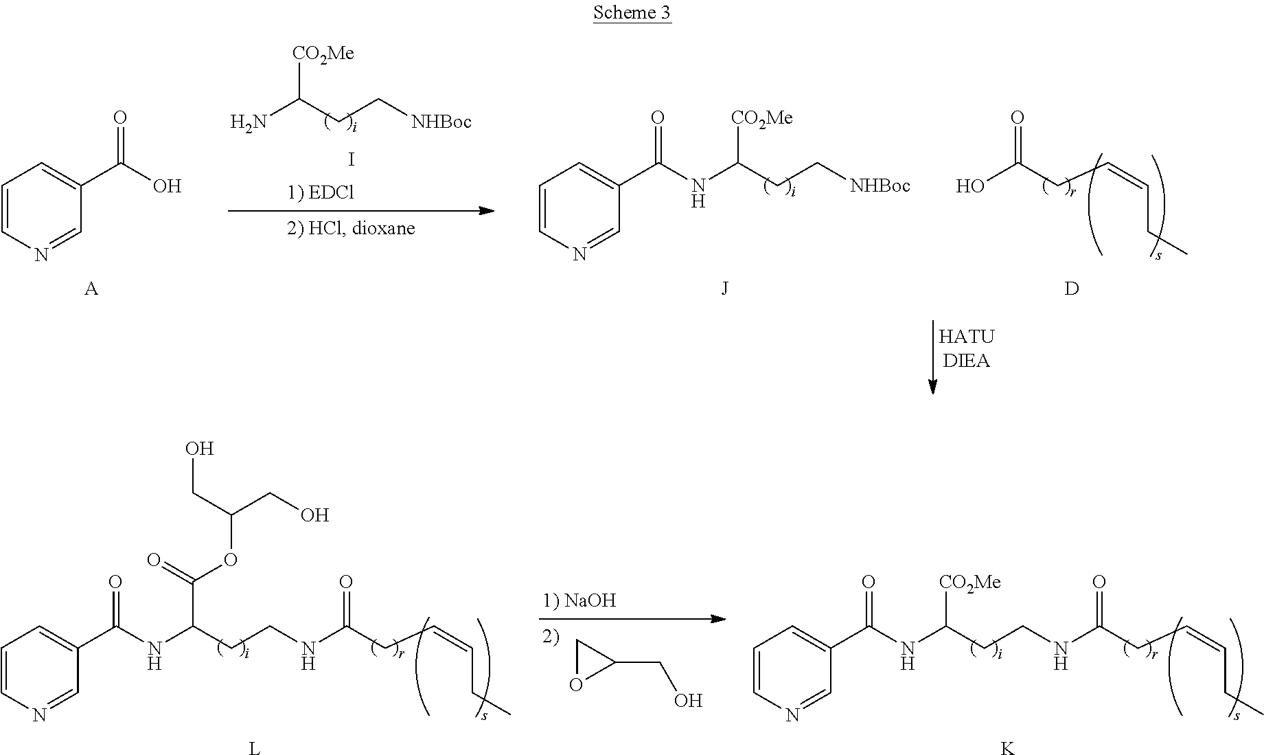
Compound A can be amidated with the corresponding amine I (where i=0, 1, 2 or 3) using a coupling reagent such as DCC, CDI, EDC, or optionally with a tertiary amine base and/or catalyst, e.g., DMAP, followed by deprotection of the BOC group with acids such as TFA or HCl in a solvent such as CH2Cl2 or dioxane to produce the coupled compound J. Activation of compound J with a coupling agent such as HATU in the presence of an amine such as DIEA followed by addition of a fatty acid of formula B affords compounds of the formula K. Hydrolysis of the ester under basic conditions such as NaOH or LiOH produces the corresponding acid, which can be coupled with glycidol to afford compounds of the formula L.

[0000]

[0000]

wherein r and s are as defined above.

[0282]

The amine M can be prepared according to the procedures outlined in Dahan et al. J. Org. Chem. 2007, 72, 2289-2296. Compound A can be coupled with the amine M using a coupling reagent such as DCC, CDI, EDC, or optionally with a tertiary amine base and/or catalyst, e.g., DMAP, followed by deprotection of the BOC group with acids such as TFA or HCl in a solvent such as CH2Cl2 or dioxane to produce the coupled compound N. Activation of compound N with a coupling agent such as HATU in the presence of an amine such as DIEA hallowed by addition of a fatty acid of formula D affords compounds of the formula O.

[0000]

[0000]

wherein r and s are as defined above.

[0283]

Compound A can be amidated with the commercially available amine P using a coupling reagent such as DCC, CDI, EDC, or optionally with a tertiary amine base and/or catalyst, e.g., DMAP, to afford compound Q. The BOC group in compound Q can be removed with acids such as TFA or HCl in a solvent such as CH2Cl2 or dioxane and the resulting amine can be coupled with a fatty acid of formula D using a coupling agent such as HATU in the presence of an amine such as DIEA to afford compounds of the formula R. To those skilled in the art, the sulfur group in formula Q can be oxidized to the corresponding sulfoxide or sulfone using an oxidizing agent such as H2O2 or oxone.

[0000]

[0000]

wherein R6, r, and s are as defined above.

[0284]

The amine T can be prepared from the commercially available diamine according to the procedures outlined in Dahan et al. J. Org. Chem. 2007, 72, 2289-2296. Compound A can be amidated with the amine T using a coupling reagent such as DCC, CDI, EDC, or optionally with a tertiary amine base and/or catalyst, e.g., DMAP, to afford compound U. The BOC group of compound U can be removed with acids such as TFA or HCl in a solvent such as CH2Cl2 or dioxane and the resulting amine can be coupled with a fatty acid of formula D using HATU in the presence of an amine such as DIEA to afford compounds of the formula V. To those skilled in the art, the hydroxyl group in compound U can be further acylated or converted to an amino group by standard mesylation chemistry followed by displacement with sodium azide and hydrogenation over a catalyst such as Pd/C. The amine can be further acylated or alkylated, followed by the removal of the BOC group. The resulting amine can be coupled with a fatty acid of the formula D to afford compounds of the formula W.

[0000]

[0000]

wherein r and s are as defined above.

[0285]

Compound A can be amidated with the commercially available amine X using a coupling reagent such as DCC, CDI, EDC, optionally with a tertiary amine base and/or catalyst, e.g., DMAP to afford compound Y. The BOC group in compound Y can be removed with acids such as TFA or HCl in a solvent such as CH2Cl2 or dioxane. The resulting amine can be coupled with a fatty acid of the formula D using a coupling agent such as HATU in the presence of an amine such as DIEA to afford compounds of the formula Z.

[0000]

[0000]

wherein r and s are as defined above.

[0286]

Compound A can be amidated with the commercially available cysteine methyl ester using a coupling reagent such as DCC, CDI, EDC, or optionally with a tertiary amine base and/or catalyst, e.g., DMAP, to afford compound AA. The commercially available maleimide derivative BB can be coupled with a fatty acid of the formula D using a coupling agent such as HATU or EDCI to afford compounds of the formula CC. Compound AA can be coupled to compounds of the formula CC in a solvent such as acetonitrile to afford compounds of the formula DD.

[0000]

[0000]

wherein R7, a, r, and s are as defined above.

[0287]

The commercially available amino acid esters EE can be coupled with a fatty acid of the formula D using a coupling agent such as EDCI or HATU, followed by alkaline hydrolysis of the methyl ester to afford compounds of the formula FF. Compounds of the formula FF can be coupled with the commercially available BOC-amino acid derivatives GG using a coupling agent such as EDCI or HATU. The BOC group can be removed by treatment with acids such as TFA or HCl to afford compounds of the formula HH which can then be coupled with compound A to afford compounds of the formula II.

[0288]

The invention also includes methods for making the niacin conjugated fatty acid mixtures.

[0000]

[0289]

Mixture JJ can be hydrolyzed under basic conditions such as NaOH in aqueous THF or MeOH to produce the corresponding mixture of free fatty acids KK. Activation of mixture KK with a coupling agent such as DCC, CDI, EDC, HATU or optionally with a tertiary amine base and/or catalyst, e.g., DMAP or HOBT followed by addition of an amine of formula LL affords niacin conjugated fatty acid mixtures of the formula MM. Alternatively, the synthesis can utilize the mixture of free fatty acids as the starting material to produce the product MM. The amine LL can be prepared as described in Schemes 1-9 and in U.S. Ser. No. 12/872,555.

Methods for Making Niacin Conjugated Fatty Acid Mixtures

[0290]

The invention also includes methods for making the niacin conjugated fatty acid mixtures.

[0000]

[0291]

Mixture A can be hydrolyzed under basic conditions such as NaOH in aqueous THF or MeOH to produce the corresponding mixture of free fatty acids B. Activation of mixture B with a coupling agent such as DCC, CDI, EDC, HATU or optionally with a tertiary amine base and/or catalyst, e.g., DMAP or HOBT followed by addition of an amine of formula C affords niacin conjugated fatty acid mixtures of the formula D. Alternatively, the synthesis can start with the mixture office fatty acids B.

EXAMPLES

[0292]

The disclosure is further illustrated by the following examples, which are not to be construed as limiting this disclosure in scope or spirit to the specific procedures herein described. It is to be understood that the examples are provided to illustrate certain embodiments and that no limitation to the scope of the disclosure is intended thereby. It is to be further understood that resort may be had to various other embodiments, modifications, and equivalents thereof which may suggest themselves to those skilled in the art without departing from the spirit of the present disclosure and/or scope of the appended claims.

Example 1

Effect of Fatty Acid Niacin Derivatives on ApoB Secretion in HepG2 Cells

[0293]

Niacin has been reported to increase serum levels of HDL to LDL cholesterol in vivo. Similarly, niacin has been reported to increase the secretion of ApoA1 (Jin, F-Y. et al. Arterioscler. Thromb. Vasc. Biol. 1997, 17 (10), 2020-2028) while inhibiting the secretion of ApoB (Jin, F-Y. et al. Arterioscler. Thromb. Vasc. Biol. 1999, 19, 1051-1059) in the media supernatants of HepG2 cultures. Independently, DHA has been demonstrated to lower ApoB as well (Pan, M. et al. J. Clin. Invest. 2004, 113, 1277-1287) by a very different mechanism. Thus, the secretion of ApoB from HepG2 cells possesses utility as a cell based read-out for niacin-DHA conjugates as well as mixtures thereof, as well as derivatives of same.

[0294]

HepG2 cells (ATCC) are seeded at 10,000 cells per well in 96 well plates. After adhering overnight, growth media (10% FBS in DMEM) is removed and cells are serum starved for 24 hours in DMEM containing 0.1% fatty acid free bovine serum albumin (BSA, Sigma). Cells are then treated with a compound. Niacin at 5 mM is used as a positive control. All treatments are performed in triplicate. Simultaneous with compound treatment, ApoB secretion is stimulated with addition of 0.1 oleate complexed to fatty acid free BSA in a 5:1 molar ratio. Incubation with a compound and oleate is conducted for 24 hours. Media supernatants are removed and ApoB concentrations are measured using ELISA kits (Mabtech AB). Percent inhibition of ApoB secretion is determined by normalizing data to vehicle treated wells. For a given compound, an IC50 (concentration at which 50% of ApoB secretion is inhibited) can also be determined by using a 4 parameter-fit inhibition curve model (Graph Pad Prism®). In each experiment, cell viability is determined using the ATPlite 1-Step kit (Perkin Elmer), such that compound effects due to cytotoxicity can be monitored.

[0295]

The fatty acid niacin conjugate I-7 was evaluated in HepG2 cells at 3 concentrations (50, 100 and 200 μM). The level of ApoB secretion was compared to that of niacin, evaluated at 5 mM concentration. Compared to niacin, the fatty acid niacin conjugate I-7 showed significant inhibition of ApoB at a much lower drug concentration.

Example 2

Effect of Fatty Acid Niacin Derivatives on SREBP-1c Target Genes

[0296]

HepG2 cells (ATCC) were seeded at 20,000 cells per well in 96 well plates. After adhering overnight, growth media (1.0% FBS in DMEM) was removed and cells were serum starved for 24 hours in DMEM containing 1% fatty acid free bovine serum albumin (BSA, Sigma). Cells were then treated with one of four substances at a final concentration of 50 μM in 1% BSA or 0.1% oleate complexed to fatty acid free BSA in a 5:1 molar ratio (the four substances were compound I-7, compound I-8, a combination, of free niacin and free DHA, or a combination of free niacin and free EPA). Cells were incubated for 6 hours and then washed with PBS. RNA was reverse-transcribed using the cells to cDNA reagents according to standard protocols (outlined in Applied Biosystem StepOne Real-time PCR protocols). Real time PCR of transcripts was performed with Taqman assays for the three specific genes FASN (fatty acid synthase), SCD (steroyl CoA desaturase) and ApoA1 (apolipoprotein A1). In all three cases, 18S-VIC® was used as a normalization control. As shown in FIG. 2, statistically significant inhibition of FASN and SCD gene expression and an increase in ApoA1 gene expression were observed when HepG2 cells were stimulated with oleate in the presence of 50 μM of compound I-7 and compound I-8. The two groups containing a combination of either free niacin and free DHA or niacin and free EPA produced no significant changes in the expression of these three specific genes at a final concentration of 50 μM.

[0297]

The activity of the niacin conjugated fatty acid mixtures can be determined using the above described assays.

Compounds

[0298]

The following non-limiting compound examples serve to illustrate further embodiments of the fatty acid niacin derivatives. It is to be understood that any embodiments listed in the Examples section are embodiments of the fatty acid niacin derivatives and, as such, are suitable for use in the methods and compositions described above.

Example 3

Preparation of N-(2-(4Z,7Z,10Z,13Z,16Z,19Z)-docosa-4,7,10,13,16,19-hexaenamidoethyl)nicotinamide (I-7)

[0299]

[0300]

In a typical run, nicotinic acid (2.0 g, 16.2 mmol) was taken up in CH2Cl2 (20 mL) along with oxalyl chloride (1.4 mL, 16.2 mmol). After a few drops of DMF were added, the reaction mixture was stirred at room temperature until all the solids had dissolved and all gas evolution had ceased (1 h). This freshly prepared solution of the acid chloride was added dropwise at 0° C. to a solution containing tert-butyl 2-aminoethylcarbamate (2.6 g, 16.2 mmol) and Et3N (3.4 mL, 24.2 mmol) in CH2Cl2 (200 mL). The resulting reaction mixture was warmed to room temperature and stirred for 2 h. It was then washed with brine, dried over Na2SO4, filtered and concentrated under reduced pressure. Purification by silica gel chromatography (CH2Cl2) afforded tert-butyl 2-(nicotinamido)ethyl carbamate (3.1 g, 74%).

[0301]

tert-Butyl 2-(nicotinamido)ethylcarbamate (3.1 g, 11.7 mmol) was taken up in 25% TFA in CH2Cl2 (10 mL). The resulting reaction mixture was allowed to stand at room temperature for 1 h. At this point, a considerable amount of precipitate formed and the clear filtrate was removed. The remaining solids were dried to afford of the TFA salt of N-(2-aminoethyl)nicotinamide (1.6 g).

[0302]

The TFA salt of N-(2-aminoethyl)nicotinamide (5.0 mmol) was taken up in CH3CN (20 mL) along with (4Z,7Z,10Z,13Z,16Z,19Z)-docosa-4,7,10,13,16,19-hexaenoic acid (5.0 mmol), HATU (5.5 mmol) and DIEA (15 mmol). The resulting reaction mixture was stirred at room temperature for 2 h and diluted with EtOAc. The organic layer was washed with saturated aqueous NaHCO3, brine, dried over Na2SO4, filtered and concentrated under reduced pressure. Purification by silica gel chromatography (5% MeOH—CH2Cl2) afforded N-(2-(4Z,7Z,10Z,13Z,16Z,19Z)-docosa-4,7,10,13,16,19-hexaenamidoethyl)nicotinamide, calculated for C30H41N3O2: 475.32; found: [M+H]+476.

Example 4

Preparation of N-(2-(5Z,8Z,11Z,14Z,17Z)-eicosa-5,8,11,14,17-pentaenamidoethyl)nicotinamide (I-8)

[0303]

[0304]

The TFA salt of N-(2-aminoethyl)nicotinamide (1.6 g, 5.7 mmol) was taken up in CH3CN (15 mL) along with (5Z,8Z,11Z,14Z,17Z)-eicosa-5,8,11,14,17-pentaenoic acid (1.7 g, 5.7 mmol), HATU (2.4 g, 6.3 mmol) and DIEA (3 mL, 17 mmol). The resulting reaction mixture was stirred at room temperature for 2 h and diluted with EtOAc. The organic layer was washed with saturated aqueous NaHCO3, brine, dried over Na2SO4, filtered and concentrated under reduced pressure. Purification by silica gel chromatography (5% MeOH—CH2Cl2) afforded N-(2-(5Z,8Z,11Z,14Z,17Z)-eicosa-5,8,11,14,17-pentaenamidoethyl)nicotinamide (1.6 g, 62%), MS calculated for C28H39N3O2: 449.3; found: [M+H]+450.

Example 5

Preparation of N-(2-(2-(2-(4Z,7Z,10Z,13Z,16Z,19Z)-docosa-4,7,10,13,16,19-hexaenamidoethyl)disulfanyl)ethyl)nicotinamide (I-3)

[0305]

[0306]

Cystamine dihydrochloride (1.0 g, 4.44 mmol) was dissolved in MeOH (50 mL). Triethylamine (1.85 mL, 3 eq) was added at room temperature, followed by dropwise addition of Boc2O (0.97 g, 4.44 mmol) as a solution in MeOH (5 mL). The resulting reaction mixture was stirred at room temperature for 3 h. It was then concentrated under reduced pressure and the resulting residue was taken up in 1M aqueous NaH2PO4 (20 mL). The aqueous layer was washed with a 1:1 solution of pentane/EtOAc (10 mL), basified to pH 9 with 1M aqueous NaOH, and extracted with EtOAc. The combined organic layers were washed with brine, dried over Na2SO4, filtered and concentrated under reduced pressure to afford tert-butyl 2-(2-(2-aminoethyl)disulfanyl)ethylcarbamate (500 mg, 44%).

[0307]

Separately, nicotinic acid (246 mg, 2.0 mmol) was taken up in CH3CN (10 mL) along with tert-butyl 2-(2-(2-aminoethyl)disulfanyl)ethylcarbamate (503 mg, 2.0 mmol), EDCI (422 mg, 2.2 mmol). The resulting reaction mixture was stirred at room temperature for 4 h and then diluted with EtOAc. The organic layer was washed with dilute aqueous NaHCO3, brine, dried over Na2SO4, filtered and concentrated under reduced pressure. Purification by silica gel chromatography (CH2Cl2) afforded tert-butyl 2-(2-(2-(nicotinamido)ethyl)disulfanyl)ethylcarbamate (400 mg, 56%).

[0308]

tert-Butyl 2-(2-(2-(nicotinamido)ethyl)disulfanyl)ethylcarbamate (200 mg, 0.56 mmol) was taken up in 25% TFA in CH2Cl2 solution (5 mL) and allowed to stand at room temperature for 4 h. The reaction mixture was then concentrated under reduced pressure to afford the TFA salt of N-(2-(2-(2-aminoethyl)disulfanyl)ethyl)nicotinamide. This material was taken up in CH3CN (10 mL) along with (4Z,7Z,10Z,13Z,16Z,19Z)-docosa-4,7,10,13,16,19-hexaenoic acid (184 mg, 0.56 mmol), HATU (234 mg, 0.62 mmol) and DIEA (0.30 mL). The resulting reaction mixture was stirred at room temperature for 2 h. It was then diluted with EtOAc and washed successively with saturated aqueous NaHCO3 and brine. The organic layer was dried over Na2SO4, filtered and concentrated under reduced pressure. Purification by silica gel chromatography (5% MeOH—CH2Cl2) afforded (N-(2-(2-(2-(4Z,7Z,10Z,13Z,16Z,19Z)-docosa-4,7,10,13,16,19-hexaenamidoethyl)disulfanyl)ethyl)nicotinamide (300 mg, 86%). MS calculated for C32H45N3O2S2: 567.3; found: [M+H]+568.

Example 6

Preparation of N-(2-(2-(4Z,7Z,10Z,13Z,16Z,19Z)-docosa-4,7,10,13,16,19-hexaenamidoethoxy)ethyl)nicotinamide (I-1)

[0309]

[0310]

In a typical run, sodium hydroxide (400 mg, 10 mmol) was dissolved in MeOH (79 mL) and 2-(2-aminoethoxy)ethanamine dihydrochloride (1.0 g, 5.65 mmol) was added. The resulting reaction mixture was stirred at room temperature for 30 min. A solution containing Boc2O (740 mg, 3.40 mmol) in THF (15 mL) was then added dropwise, at room temperature, over a period of 15 min. The resulting reaction mixture was stirred at room temperature for 18 h. It was then concentrated under reduced pressure. The resulting residue was taken up in CH2Cl2 (200 mL) and. stirred vigorously at room temperature for 4 h. The mixture was filtered and the filtrate was concentrated under reduced pressure to afford tert-butyl 2-(2-aminoethoxy)ethylcarbamate (850 mg, 74%).

[0311]

tert-Butyl 2-(2-aminoethoxy)ethylcarbamate (420, 2.06 mmol was then taken up in CH3CN (20 ml) along with nicotinic acid (253 mg, 2.06 mmol) and EDCI (434 mg, 2.3 mmol). The resulting reaction mixture was stirred at room temperature for 15 h. It was then diluted with EtOAc (20 mL), washed with saturated aqueous NaHCO3, brine, dried over Na2SO4, filtered and concentrated under reduced pressure. The resulting residue was purified by silica gel chromatography (9:1 CH2Cl2/MeOH) to afford tert-butyl 2-(2-(nicotinamido)ethoxy)ethylcarbamate (280 mg, 44%). MS calculated for C15H23N3O4: 309.17; found: [M+H]+310.

[0312]

tert-Butyl 2-(2-(nicotinamido)ethoxy)ethylcarbamate (140 mg, 0.453 mmol) was taken up in 25% TFA in CH2Cl2 (10 mL). The reaction mixture was allowed to stand at room temperature for 2 h and then concentrated under reduced pressure to afford the TFA salt of N-(2-(2-aminoethoxy)ethyl)nicotinamide. This material was then taken up in CH3CN (10 mL) along with (4Z,7Z,10Z,13Z,16Z,19Z)-docosa-4,7,10,13,16,19-hexaenoic acid (148 mg, 0.453 mmol), HATU (190 mg, 0.498 mmol) and DIEA (0.24 mL). The resulting reaction mixture was stirred at room temperature for 2 h. It was then diluted with EtOAc and washed successively with saturated aqueous NaHCO3 and brine. The organic layer was dried over Na2SO4, filtered and concentrated under reduced pressure. Purification by silica gel chromatography (9:1 CH2Cl2/MeOH) afforded N-(2-(2-(4Z,7Z,10Z,13Z,16Z,19Z)-docosa-4,7,10,13,16,19-hexaenamidoethoxy)ethyl)nicotinamide (75 mg, 31%). MS calculated for C31H46N2O5: 526.34; found: [M+H]+527.

Example 7

Preparation of N-(2-((2-(4Z,7Z,10Z,13Z,16Z,19Z)-docosa-4,7,10,13,16,19-hexaenamidoethyl)(methyl)amino)ethyl)nicotinamide (I-2)

[0313]

[0314]

N1-(2-Aminoethyl)-N1-methylethane-1,2-diamine (5.0 g, 42.7 mmol) was dissolved in CH2Cl2 (100 mL) and cooled to 0° C. A solution of Boc2O (0.93 g, 4.27 mmol) in CH2Cl2 (10 mL) was then added dropwise at 0° C. over a period of 15 min. The resulting reaction mixture was stirred at 0° C. for 30 min and then warmed to room temperature. After stirring at room temperature for 2 h, the reaction mixture was diluted with CH2Cl2 (100 mL). The organic layer was washed with brine (3×25 mL), dried over Na2SO4, filtered and concentrated under reduced pressure to afford tert-butyl 2-((2-aminoethyl)(methyl)amino)ethylcarbamate (1.1 g).

[0315]

tert-Butyl 2-((2-aminoethyl)(methyl)amino)ethylcarbamate (400 mg, 1.84 mmol) was taken up in CH3CN (10 mL) along with nicotinic acid (227 mg, 1.84 mmol) and EDCI (353 mg, 2.02 mmol). The resulting reaction mixture was stirred at room temperature for 18 h and then diluted with EtOAc. The organic layer was washed with saturated aqueous NaHCO3, brine, dried over Na2SO4, filtered and concentrated under reduced pressure. The resulting residue was purified by silica gel chromatography (5% MeOH—CH2Cl2) to afford tert-butyl 2-(methyl(2-(nicotinamido)ethyl)amino)ethylcarbamate (180 mg, 30%). MS calculated for C16H26N4O3: 322.2; found: [M+H]+323.

[0316]

tert-Butyl 2-(methyl(2-(nicotinamido)ethyl)amino)ethylcarbamate (90 mg, 0.279 mmol) was taken up in a 25% TFA in CH2Cl2 solution (5 mL) and allowed to stand at room temperature for 3 h. The reaction mixture was concentrated under reduced pressure to afford the TFA salt of N-(2-((2-aminoethyl)(methyl)amino)ethyl)nicotinamide. This material was taken up in CH3CN (10 mL) along with (4Z,7Z,10Z,13Z,16Z,19Z)-docosa-4,7,10,13,16,19-hexaenoic acid (90 mg, 0.279 mmol), HATU (117 mg, 0.31 mmol) and DIEA (0.15 mL). The resulting reaction mixture was stirred at room temperature for 2 h. It was then diluted with EtOAc and washed successively with saturated aqueous NaHCO3 and brine. The organic layer was dried over Na2SO4, filtered and concentrated under reduced pressure. Purification by silica gel chromatography (5% MeOH—CH2Cl2) afforded N-(2-((2-(4Z,7Z,10Z,13Z,16Z,19Z)-docosa-4,7,10,13,16,19-hexaenamidoethyl)(methyl)amino)ethyl)nicotinamide (30 mg, 20%). MS calculated for C33H48N4O2: 532.38; found: [M+H]+533.

Example 8

Preparation of (2S,3R)-methyl 3-((S)-2-((4Z,7Z,10Z,13Z,16Z,19Z)-docosa-4,7,10,13,16,19-hexaenamido)propanoyloxy)-2-(nicotinamido)butanoate (I-9)

[0317]

[0318]

L-Alanine methyl ester hydrochloride (0.85 g, 6.1 mmol) was taken up in CH3CN (20 mL) along with (4Z,7Z,10Z,13Z,16Z,19Z)-docosa-4,7,10,13,16,19-hexaenoic acid (2.0 g, 6.1 mmol, EDCI (1.3 g, 6.72 mmol) and DIEA (1.3 mL). The resulting reaction mixture was stirred at room temperature for 2 h. It was then diluted with EtOAc and washed with dilute aqueous NaHCO3 and brine. The organic layer was dried over Na2SO4, filtered and concentrated under reduced pressure to afford (S)-methyl 2-((4Z,7Z,10Z,13Z,16Z,19Z)-docosa-4,7,10,13,16,19-hexaenamido)propanoate (2.0 g, 79%).

[0319]

(S)-methyl 2-((4Z,7Z,10Z,13Z,16Z,19Z)-docosa-4,7,10,13,16,19-hexaenamido)propanoate (2.0 g, 4.8 mmol) was taken up in THF (8 mL) along with 5M aqueous NaOH (5 mL) and stirred vigorously at room temperature for 3 h. The reaction mixture was diluted with water and concentrated under reduced pressure. Enough 6N HCl was then added to adjust the pH to 2. The resulting mixture was extracted with EtOAc. The combined organic layers were dried over Na2SO4, filtered and concentrated under reduced pressure to afford (S)-2-((4Z,7Z,10Z,13Z,16Z,19Z)-docosa-4,7,10,13,16,19-hexaenamido)propanoic acid. This was taken up in CH3CN (15 mL) along with N-Boc-L-threonine methyl ester (1.11 g, 4.78 mmol), HATU (2.0 g, 5.3 mmol) and DIEA (1.2 mL). The resulting reaction mixture was stirred at room temperature for 6 h and diluted with EtOAc. The organic layer was washed with NaHCO3, brine, dried over Na2SO4, filtered and concentrated under reduced pressure. Purification by silica gel chromatography (CH2Cl2) afforded (2S,3S)-methyl 2-(tert-butoxycarbonyl)-3-((S)-2-(4Z,7Z,10Z,13Z,16Z,19Z)-docosa-4,7,10,13,16,19-hexaenamido)propanoyloxy)butanoate (1.0 g).

[0320]

(2S,3R)-methyl 2-(tert-butoxycarbonyl)-3-((S)-2-((4Z,7Z,10Z,13Z,16Z,19Z)-docosa-4,7,10,13,16,19-hexaenamido)propanoyloxy)butanoate (300 mg, 0.488 mmol) was taken up in 4M HCl in dioxane (2 mL) and allowed to stand at room temperature for 10 min. The reaction mixture was then diluted with EtOAc and concentrated under reduced pressure to afford the HCl salt of (2S,3R)-methyl 2-amino-3-((S)-2-((4Z,7Z,10Z,13Z,16Z,19Z)-docosa-4,7,10,13,16,19-hexaenamido)propanoyloxy)butanoate. This material was taken up in CH3CN (5 mL) along with nicotinic acid (60 mg, 0.488 mmol), HATU (204 mg, 0.54 mmol) and DIEA (0.25 mL, 1.46 mmol). The resulting reaction mixture was stirred at room temperature for 1 h and concentrated under reduced pressure. The resulting oily residue was purified by silica gel chromatography (9:1 CH2Cl2/MeOH) to afford (2S,3R)-methyl 3-((S)-2-((4Z,7Z,10Z,13Z,16Z,19Z)-docosa-4,7,10,13,16,19-hexaenamido)propanoyloxy)-2-(nicotinamido)butanoate (120 mg, 40%). MS calculated for C36H49N3O6: 619.36; found: [M+H]+620.

Example 9

Preparation of (2S,3R)-methyl 3-((S)-2-((5Z,8Z,11Z,14Z,17Z)-icosa-5,8,11,14,17-pentaenamido)propanoyloxy)-2-(nicotinamido)butanoate (I-10)

[0321]

[0322]

The same synthetic sequence outlined above for the preparation of (2S,3R)-methyl 3-((S)-2-((4Z,7Z,10Z,13Z,16Z,19Z)-docosa-4,7,10,13,16,19-hexaenamido)propanoyloxy)-2-(nicotinamido)butanoate was used, except that (5Z,8Z,11Z,14Z,17Z)-eicosa-5,8,11,14,17-pentaenoic acid (EPA) was used instead of DHA. MS calculated for C34H47N3O6: 593.35; found: [M+H]+594.

Example 10

Preparation of (S)-methyl 6-((4Z,7Z,10Z,13Z,16Z,19Z)-docosa-4,7,10,13,16,19-hexaenamido)-2-(nicotinamido)hexanoate (I-11)

[0323]

[0324]

H-Lysine-(BOC)-OMe hydrochloride (500 mg, 1.68 mmol) was taken up in CH3CN (10 mL) along with nicotinic acid (207 mg, 1.68 mmol), EDCI (354 mg, 1.85 mmol) and DIEA (0.90 mL). The resulting reaction mixture was stirred at room temperature for 18 h and diluted with EtOAc. The organic layer was washed with dilute aqueous NaHCO3, brine, dried over Na2SO4, filtered and concentrated under reduced pressure. Purification by silica gel chromatography (CH2Cl2) afforded (S)-methyl 6-(tert-butoxycarbonyl)-2-(nicotinamido)hexanoate (520 mg, 85%).

[0325]

(S)-Methyl 6-(tert-butoxycarbonyl)-2-(nicotinamido)hexanoate (260 mg, 0.71 mmol) was taken up in 4M HCl in dioxane (2 mL) and allowed to stand at room temperature for 1 h. The reaction mixture was diluted with EtOAc and concentrated under reduced pressure to afford the HCl salt of (S)-methyl 6-amino-2-(nicotinamido)hexanoate. This material was taken up in CH3CN (5 mL) along with (4Z,7Z,10Z,13Z,16Z,19Z)-docosa-4,7,10,13,16,19-hexaenoic acid (233 mg, 0.71 mmol), HATU (297 mg, 0.78 mmol) and DIEA (0.4 mL). The resulting reaction mixture was stirred at room temperature for 2 h and diluted with EtOAc. The organic layer was washed with dilute aqueous NaHCO3, brine, dried over Na2SO4, filtered and concentrated under reduced pressure. Purification by silica gel chromatography (9:1 CH2Cl2/MeOH) afforded (S)-methyl 6-((4Z,7Z,10Z,13Z,16Z,19Z)-docosa-4,7,10,13,16,19-hexaenamido)-2-(nicotinamido)hexanoate (280 mg, 72%). MS calculated for C35H49N3O4: 575.37; found: [M+H]+576.

Example 11

Preparation of (S)-6-((4Z,7Z,10Z,13Z,16Z,19Z)-docosa-4,7,10,13,16,19-hexaenamido)-2-(nicotinamido)hexanoic acid (I-12)

[0326]

[0327]

(S)-Methyl 6-((4Z,7Z,10Z,13Z,16Z,19Z)-docosa-4,7,10,13,16,19-hexaenamido)-2-(nicotinamido)hexanoate (40 mg, 0.0695 mmol) was taken up in 2 mL of THF along with 80 μL of a 5 M NaOH solution. The resulting reaction mixture was stirred at room temperature for 2 h. It was then acidified to pH 4 with 2 N HCl and then extracted with EtOAc. The combined organic layers were dried (Na2SO4) and concentrated under reduced pressure to afford 31 mg of (S)-6-((4Z,7Z,10Z,13Z,16Z,19Z)-docosa-4,7,10,13,16,19-hexaenamido)-2-(nicotinamido)hexanoic acid. MS calculated for C34H47N3O4: 561.36; found: [M+H]+562.

Example 12

Preparation of (S)-methyl 2-((5Z,8Z,11Z,14Z,17Z)-eicosa-5,8,11,14,17-pentaenamido)-6-(nicotinamido)hexanoate (I-13)

[0328]

[0329]

H-Lysine-(BOC)-OMe hydrochloride (500 mg, 1.68 mmol) was taken up in 25 mL of CH3CN along with (5Z,8Z,11Z,14Z,17Z)-eicosa-5,8,11,14,17-pentaenoic acid (EPA, 509 mg, 1.68 mmol), HATU (702 mg, 1.85 mmol) and DIEA (880 μL, 5.04 mmol). The resulting reaction mixture wax stirred at room temperature for 2 h. It was then diluted with EtOAc (70 mL) and washed with brine (20 mL). The organic layer was dried (Na2SO4) and concentrated under reduced pressure. The resulting residue was purified by silica gel chromatography (CH2Cl2, gradient elution to 90% CH2Cl2, 10% MeOH) to afford 870 mg of (S)-methyl 6-(tert-butoxycarbonyl)-2-((5Z,8Z,11Z,14Z,17Z)-eicosa-5,8,11,14,17-pentaenamido)hexanoate (95% yield). MS calculated for C32H52N2O5: 544.39; found: [M+H]+545.

[0330]

(S)-Methyl 6-(tert-butoxycarbonyl)-2-((5Z,8Z,11Z,14Z,17Z)-eicosa-5,8,11,14,17-pentaenamido)hexanoate (870 mg, 1.60 mmol) was taken up in 4 mL of 4 N HCl in dioxane and allowed to stand at room temperature for 10 min. The reaction mixture was diluted with 10 mL of EtOAc and concentrated under reduced pressure to afford the HCl salt of (S)-methyl 6-amino-2-((5Z,8Z,11Z,14Z,17Z)-eicosa-5,8,11,14,17-pentaenamido)hexanoate. This residue was taken up in 5 mL of CH3CN along with nicotinic acid (197 mg, 1.60 mmol), HATU (669 mg, 1.76 mmol) and DIEA (836 mL, 4.8 mmol). The resulting reaction mixture was stirred at room temperature for 2 h and diluted with EtOAc (20 mL). The organic layer was washed with brine (20 mL), dried (Na2SO4) and concentrated under reduced pressure. The resulting residue was purified by chromatography (95% CH2Cl2, 5% MeOH) to afford 300 mg of (S)-methyl 2-((5Z,8Z,11Z,14Z,17Z)-eicosa-5,8,11,14,17-pentaenamido)-6-(nicotinamido)hexanoate. MS calculated for C33H47N3O4: 549.36; found: [M+H]+550.

Example 13

Preparation of (S)-2-((5Z,8Z,11Z,14Z,17Z)-eicosa-5,8,11,14,17-pentaenamido)-6-(nicotinamido)hexanoic acid (I-14)

[0331]

[0332]

(S)-methyl 2-((5Z,8Z,11Z,14Z,17Z)-eicosa-5,8,11,14,17-pentaenamido)-6-(nicotinamido)hexanoate (140 mg, 0.225 mmol) was taken up in 2 mL of THF along with an aqueous solution of NaOH (35 mg in 2 mL of H2O). The resulting reaction mixture was stirred at room temperature for 2 h. It was then acidified to pH 4 with 2 N HCl and then extracted with EtOAc. The combined organic layers were dried (Na2SO4) and concentrated under reduced pressure to afford 31 mg of (S)-2-((5Z,8Z,11Z,14Z,17Z)-eicosa-5,8,11,14,17-pentaenamido)-6-(nicotinamido)hexanoic acid. MS calculated for C34H47N3O4: 561.36; found: [M+H]+562. MS calculated for C32H45N3O4: 535.34; found: [M+H]+536.

Mixtures

Synthesis of a mixture of N-(2-((4Z,7Z,10Z,13Z,16Z,19Z)-docosa-4,7,10,13,16,19-hexaenamido)ethyl)nicotinamide and N-(2-((5Z,8Z,11Z,14Z,17Z)-icosa-5,8,11,14,17-pentaenamido)ethyl)nicotinamide

[0333]

[0334]

A 1.27:1 mixture of (4Z,7Z,10Z,13Z,16Z,19Z)-ethyl docosa-4,7,10,13,16,19-hexaenoate and (5Z,8Z,11Z,14Z,17Z)-ethyl icosa-5,8,11,14,17-pentaenoate was taken up in 130 mL of THF and 110 mL of a 5 N NaOH solution was added. The resulting reaction mixture was stirred at 50° C. for 4 h. It was then cooled to room temperature and concentrated under reduced pressure. The resulting aqueous mixture was cooled in an ice bath, acidified to pH 2 with 6 N HCl and extracted with EtOAc (3×200 mL). The combined organic layers were washed with water (5×200 mL), brine (300 mL), dried (Na2SO4) and concentrated under reduced pressure to afford 85 g of a 1.27:1 mixture of (4Z,7Z,10Z,13Z,16Z,19Z)-docosa-4,7,10,13,16,19-hexaenoic acid and (5Z,8Z,11Z,14Z,17Z)-eicosa-5,8,11,14,17-pentaenoic acid. The HCl salt of N-(2-aminoethyl)nicotinamide was prepared according to the procedure outlined in US 20110053990. This material (9.4 g, 39.66 mmol) was taken up in 150 mL of CH2Cl2 along with 10 g of the 1.27:1 mixture of (4Z,7Z,10Z,13Z,16Z,19Z)-docosa-4,7,10,13,16,19-hexaenoic acid and (5Z,8Z,11Z,14Z,17Z)-eicosa-5,8,11,14,17-pentaenoic acid, EDC (7.0 g, 36.4 mmol), HOBT (4.9 g, 36.4 mmol) and Et3N (14 mL, 99.3 mmol). The resulting reaction mixture was stirred at room temperature for 18 h. It was then washed with saturated NH4Cl (150 mL), brine (150 mL), dried (Na2SO4) and concentrated under reduced pressure. The resulting product was purified by silica gel chromatography (95% CH2Cl2, 5% MeOH) to afford 13.2 g of the 1.27:1 mixture of N-(2-((4Z,7Z,10Z,13Z,16Z,19Z)-docosa-4,7,10,13,16,19-hexaenamido)ethyl)nicotinamide and N-(2-((5Z,8Z,11Z,14Z,17Z)-icosa-5,8,11,14,17-pentaenamido)ethyl)nicotinamide. MS (ES+) calculated for C30H4N3O2 and C28H39N3O2: 475.32 and 449.30 respectively; found 476 and 450 respectively.

[0335]

The present invention is not to be limited in scope by the specific embodiment disclosed in the examples which are intended as illustrations of a few aspects of the invention and any embodiments that are functionally equivalent are within the scope of this invention. Indeed, various modifications of the invention in addition to those shown and described herein will become apparent to those skilled in the art and are intended to fall within the scope of the appended claims.

EQUIVALENTS

[0336]

Those skilled in the art will recognize, or be able to ascertain, using no more than routine experimentation, numerous equivalents to the specific embodiments described specifically herein. Such equivalents are intended to be encompassed in the scope of the following claims.

Как компенсировать расходы
на инновационную разработку
Похожие патенты