The present invention provides compounds, methods for the synthesis thereof and methods for the use thereof in the treatment of various disorders including inflammatory or autoimmune disorders, and disorders involving malignancy or increased angiogenesis.
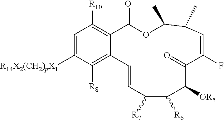
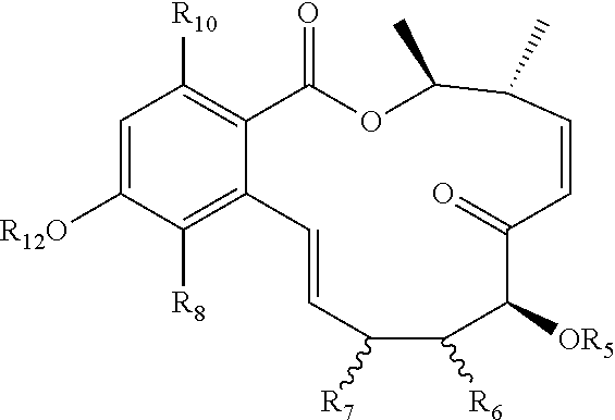
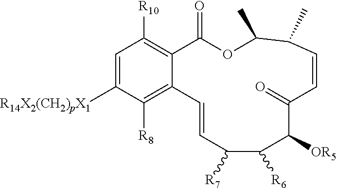
1. A compound having the structure: or a pharmaceutically acceptable salt, ester or salt of ester thereof; wherein R1 is hydrogen, aliphatic, heteroaliphatic, alicyclic, heteroalicyclic, aryl or heteroaryl; R2 is methyl and R3 is hydrogen or halogen; R4 is hydrogen or halogen; R5 is hydrogen or an oxygen protecting group; R6 is hydrogen, hydroxyl, or protected hydroxyl; n is 1; R7 is hydrogen; R8 is hydrogen, halogen, hydroxyl, protected hydroxy or alkyloxy; R9 is hydroxyl, protected hydroxyl, OR12, SR12, NR12R13, —X1(CH2)pX2—R14, or is C1-6alkyl optionally substituted with hydroxyl, protected hydroxyl, halogen, amino, protected amino, or —X1(CH2)pX2—R14; wherein R12 and R13, taken together, form a saturated or unsaturated cyclic ring containing 1 to 4 carbon atoms and 1 to 3 nitrogen or oxygen atoms, and each of R12 and R13 are optionally further substituted with one or more occurrences of hydroxyl, protected hydroxyl, alkyloxy, amino, protected amino, alkylamino, aminoalkyl, or halogen; or wherein R12 is selected from hydrogen, aliphatic, heteroaliphatic, alicyclic, heteroalicyclic, aryl, heteroaryl and a protecting group, and R13 and R8, taken together, form a cyclic ring containing 1 to 4 carbon atoms and 1 to 3 nitrogen or oxygen atoms and is optionally substituted with hydrogen, alkyloxy, amino, alkylamino, aminoalkyl, and halogen; wherein X1 and X2 are each independently absent, or are oxygen, NH, or —N(alkyl), or wherein X2—R14 together are N3 or are a saturated or unsaturated heterocyclic moiety, p is 2-10, and R14 is hydrogen, or an aryl, heteroaryl, alkylaryl, or alkylheteroaryl moiety, or is —(C═O)NHR15—(C═O)OR15, or —(C═O)R15, wherein each occurrence of R15 is independently hydrogen, aliphatic, heteroaliphatic, alicyclic, heteroalicyclic, aryl or heteroaryl; or R14 is —SO2(R16), wherein R16 is an aliphatic moiety, wherein one or more of R14, R15, or R16 are optionally substituted with one or more occurrences of hydroxyl, protected hydroxyl, alkyloxy, amino, protected amino, alkylamino, aminoalkyl, or halogen; or R8 and R9 may, when taken together, form a saturated or unsaturated cyclic ring containing 1 to 4 carbon atoms and 1 to 3 nitrogen or oxygen atoms and is optionally substituted with hydroxyl, protected hydroxyl, alkyloxy, amino, protected amino, alkylamino, aminoalkyl, or halogen; R10 is hydroxyl, protected hydroxyl, or amino; R11 is hydrogen, X is O, NH or N-alkyl; Y is CHR17, O, CR17 or NR17; and Z is CHR18, C═O or CR18 wherein each occurrence of R17 and R18 is hydrogen, or R17 and R18 taken together is —O— or —CH2—, and Y and Z are connected by a single or double bond. 2. (canceled) 3. The compound of R1 is hydrogen, straight or branched C1-6alkyl, straight or branched C1-6heteroalkyl, or aryl, wherein the alkyl, heteroalkyl, and aryl groups may optionally be substituted with one or more occurrences of halogen, hydroxyl or protected hydroxyl; and R3 is hydrogen. 4. The compound of 5. (canceled) 6. The compound of 7. The compound of 8. The compound of 9. The compound of 10-126. (canceled) 127. The compound of 128. A compound of and pharmaceutically acceptable salts, esters and salts of esters thereof. 129. A pharmaceutical composition comprising a compound having the structure: or a pharmaceutically acceptable salt, ester or salt of ester thereof; wherein R1 is hydrogen, aliphatic, heteroaliphatic, alicyclic, heteroalicyclic, aryl or heteroaryl; R2 is methyl and R3 is hydrogen or halogen; R4 is hydrogen or halogen; R5 is hydrogen or an oxygen protecting group; R6 is hydrogen, hydroxyl, or protected hydroxyl; n is 1; R7 is hydrogen; R8 is hydrogen, halogen, hydroxyl, protected hydroxyl or alkyloxy; R9 is hydroxyl, protected hydroxyl, OR12, SR12, NR12R13, —X1(CH2)pX2—R14, or is C1-6alkyl optionally substituted with hydroxyl, protected hydroxyl, halogen, amino, protected amino, or —X1(CH2)pX2—R14; wherein R12 and R13, taken together, form a saturated or unsaturated cyclic ring containing 1 to 4 carbon atoms and 1 to 3 nitrogen or oxygen atoms, and each of R12 and R13 are optionally further substituted with one or more occurrences of hydroxyl, protected hydroxyl, alkyloxy, amino, protected amino, alkylamino, aminoalkyl, or halogen; or wherein R12 is selected from hydrogen, aliphatic, heteroaliphatic, alicyclic, heteroalicyclic, aryl, heteroaryl and a protecting group, and R13 and R8, taken together, form a cyclic ring containing 1 to 4 carbon atoms and 1 to 3 nitrogen or oxygen atoms and is optionally substituted with hydrogen, alkyloxy, amino, alkylamino, aminoalkyl, and halogen; wherein X1 and X2 are each independently absent, or are oxygen, NH, or —N(alkyl), or wherein X2—R14 together are N3 or are a saturated or unsaturated heterocyclic moiety, p is 2-10, and R14 is hydrogen, or an aryl, heteroaryl, alkylaryl, or alkylheteroaryl moiety, or is —(C═O)NHR15—(C═O)OR15, or —(C═O)R15, wherein each occurrence of R15 is independently hydrogen, aliphatic, heteroaliphatic, alicyclic, heteroalicyclic, aryl or heteroaryl; or R14 is —SO2(R16), wherein R16 is an aliphatic moiety, wherein one or more of R14, R15, or R16 are optionally substituted with one or more occurrences of hydroxyl, protected hydroxyl, alkyloxy, amino, protected amino, alkylamino, aminoalkyl, or halogen; or R8 and R9 may, when taken together, form a saturated or unsaturated cyclic ring containing 1 to 4 carbon atoms and 1 to 3 nitrogen or oxygen atoms and is optionally substituted with hydroxyl, protected hydroxyl, alkyloxy, amino, protected amino, alkylamino, aminoalkyl, or halogen; R10 is hydroxyl, protected hydroxyl, or amino; R11 is hydrogen; X is O, NH or N-alkyl; Y is CHR17, O, CR17 or NR17; and Z is CHR18, C═O or CR18, wherein each occurrence of R17 and R18 is hydrogen, or R17 and R18 taken together is —O— or —CH2—, and Y and Z are connected by a single or double bond. 130. The pharmaceutical composition of R1 is hydrogen, straight or branched C1-6alkyl, straight or branched C1-6heteroalkyl, or aryl; wherein the alkyl, heteroalkyl, and aryl groups may optionally be substituted with one or more occurrences of halogen, hydroxyl or protected hydroxyl; and R3 is hydrogen. 131. The pharmaceutical composition of 132. The pharmaceutical composition of 133. The pharmaceutical composition of and pharmaceutically acceptable salts, esters and salts of esters thereof. 134. The pharmaceutical composition of 135. A method for treating an inflammatory and/or autoimmune disorder or a disorder resulting from increased angiogenesis and/or cell proliferation comprising:
administering to a subject in need thereof a therapeutically effective amount of a compound according to 136. The method of 137. The method of 138. The method of 139. The method of
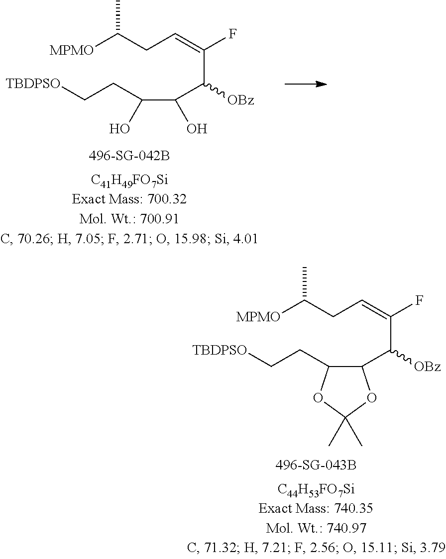
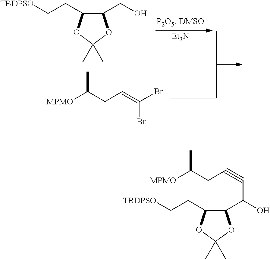
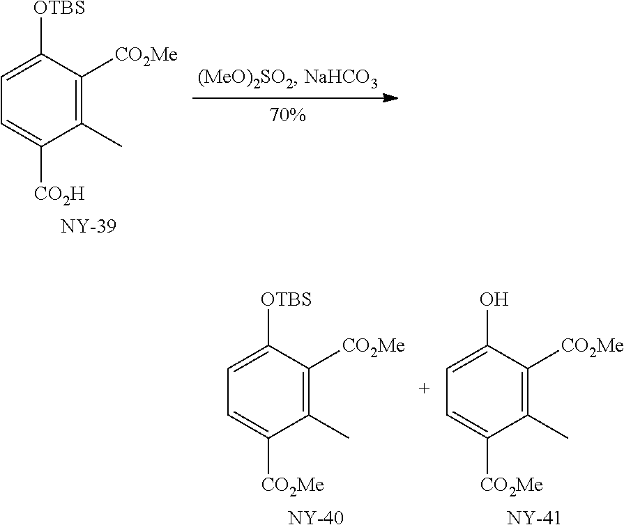
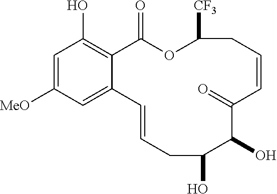
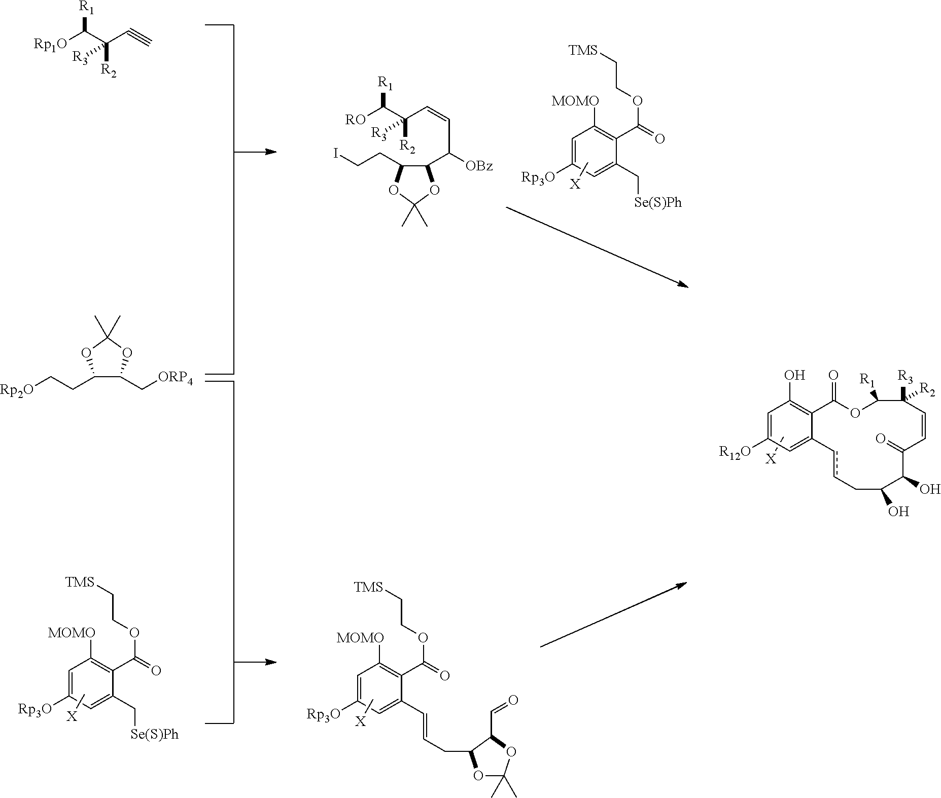
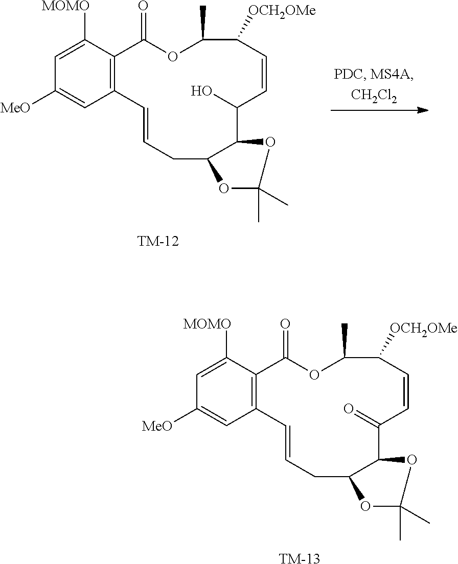
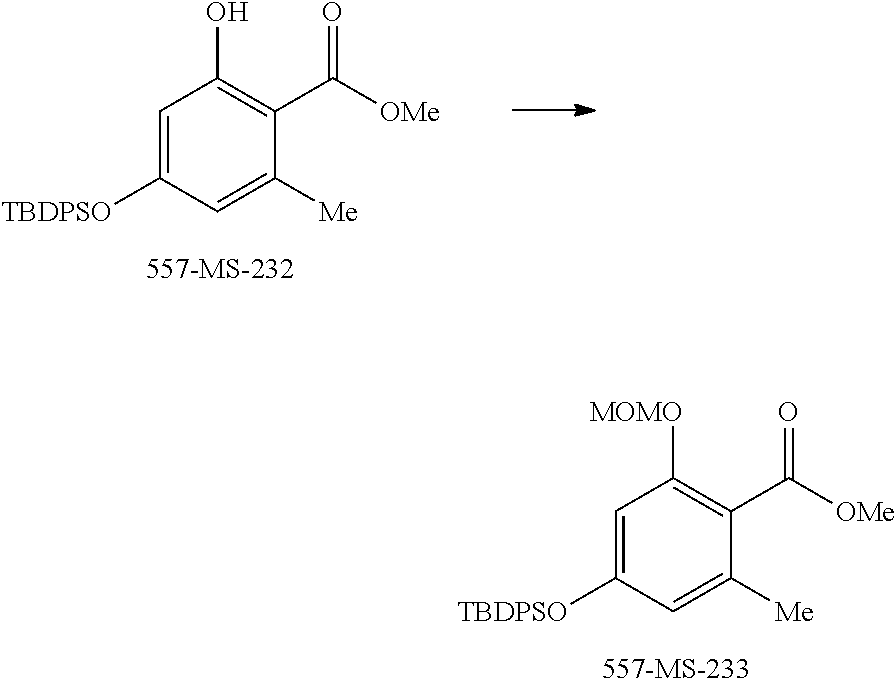
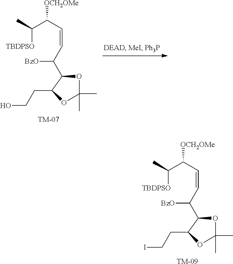
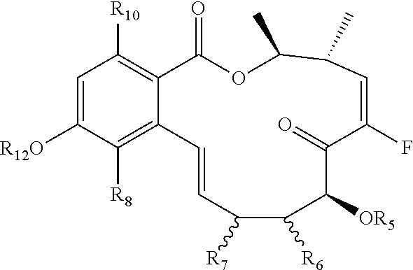
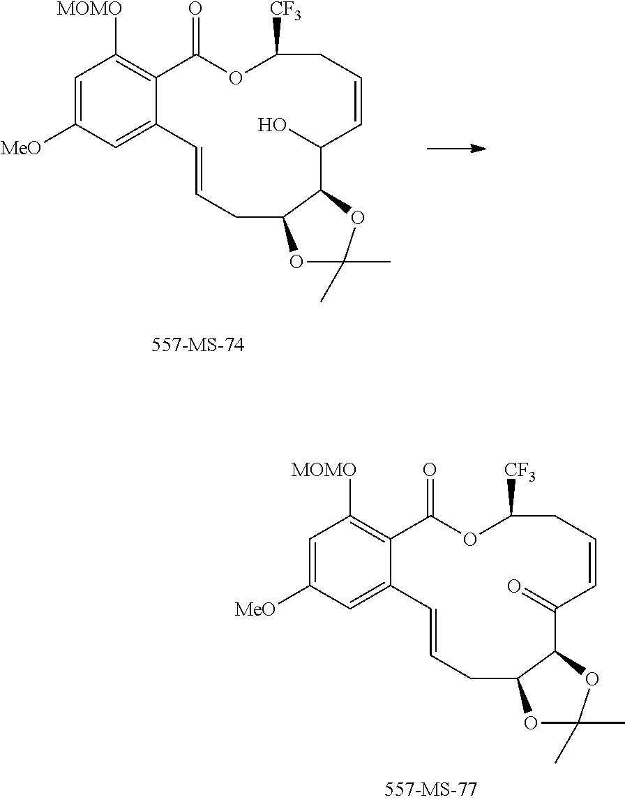
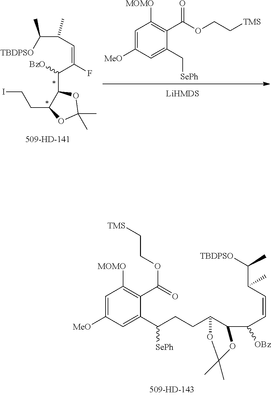
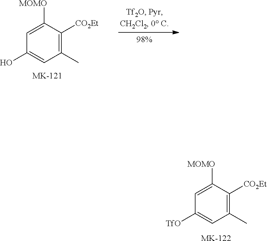
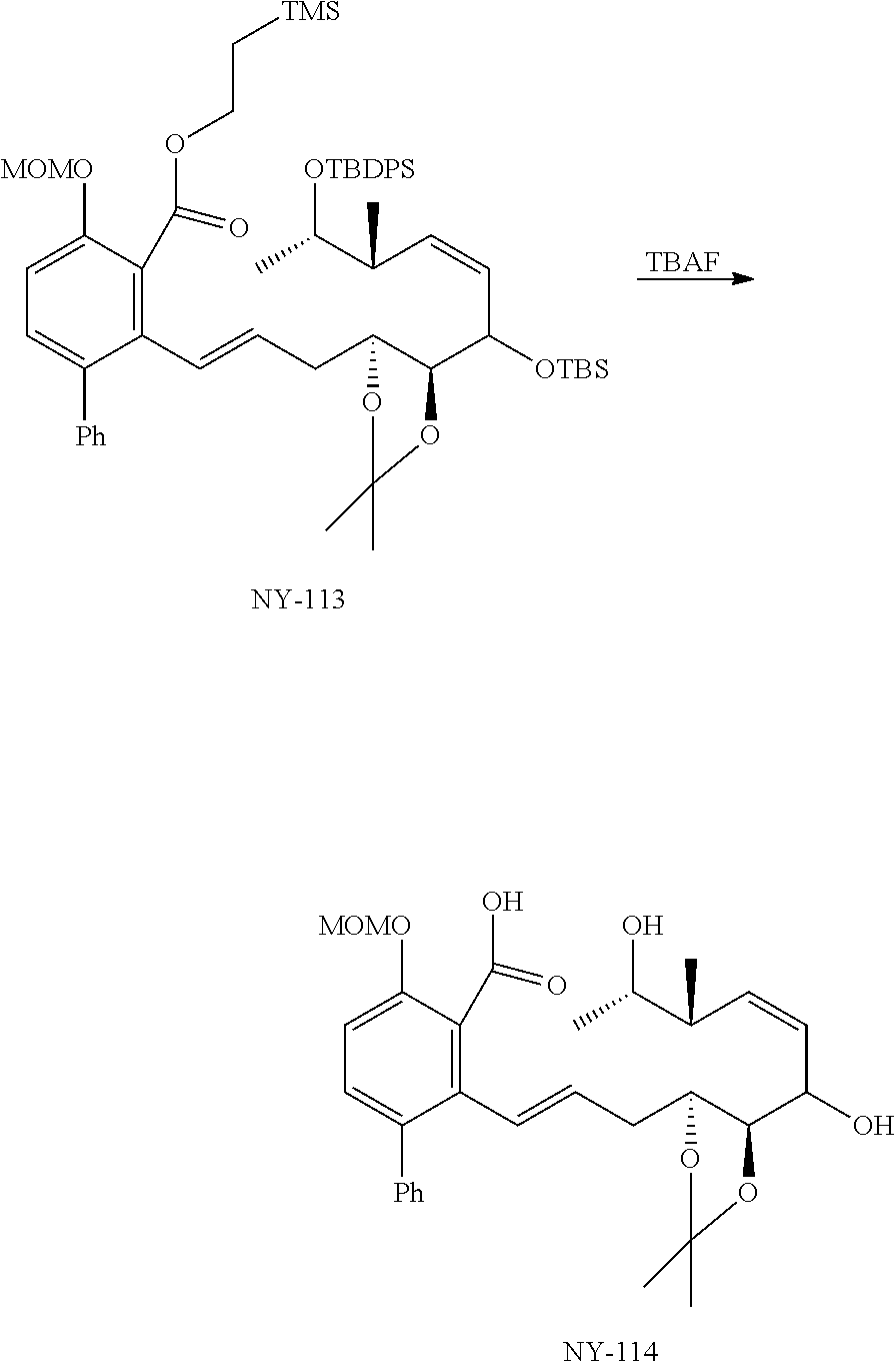
This application is related and claims priority to U.S. Provisional Patent Application Nos.: 60/362,883, filed Mar. 8, 2002, and 60/380,711, filed May 14, 2002, each of which is incorporated herein by reference in its entirety. F152 (LL-Z1640-2) (1) is a zearalenone-like macrolide, isolated from shake flask fermentation, crude extracts of which inhibited the ciliated protozoan After initial isolation and reporting of this compound, several other groups explored the possibility of preparing additional derivatives and/or further exploring their biological activity. For example, scientists at Merck reported that F152 and certain isomers thereof inhibit the phosphorylating enzyme Map/Erk kinase (MEK) and thus are useful for the treatment of certain cancers and other diseases characterized by the formation of neoangiogenesis (see, GB 323 845). Other groups have also reported derivatives of F152 having activity as tyrosine kinase inhibitors, which are useful, for example, for the treatment of cancer and inflammatory disorders (see, EP 606 044; WO 00/38674; JP 8-40893; WO 96/13259; 5,728,726; 5,674,892; 5,795,910). Each of these groups, however, was only able to obtain F152 and derivatives thereof by fermentation techniques and by modifications to the natural product, respectively, and thus were limited in the number and types of derivatives that could be prepared and evaluated for biological activity. Additionally, although F152 and certain derivatives thereof have demonstrated potent in vitro activities, these compounds are biologically unstable (for example, they are susceptible to enone isomerization in mouse and human plasma), thereby limiting the development of these compounds as therapeutics for the treatment of humans or other animals. Clearly, there remains a need to develop synthetic methodologies to access and examine the therapeutic effect of a variety of novel analogues of F152, particularly those that are inaccessible by making modifications to the natural product. It would also be of particular interest to develop novel compounds that exhibit a favorable therapeutic profile in vivo (e.g., are safe and effective, while retaining stability in biological media). As discussed above, there remains a need for the development of novel analogues of F152 and the evaluation of their biological activity. The present invention provides novel compounds of general formula (I), and pharmaceutical compositions thereof, as described generally and in subclasses herein, which compounds are useful as inhibitors of NF-κB activation, AP-1 activation and protein kinases (e.g., MEKK1, MEK1, VEGFr, PDGFr), exhibit antiangiogenic activity, and/or have an anti-anflammatory effect. Thus these compounds are useful, for example, for the treatment of various disorders including inflammatory or autoimmune disorders, and disorders involving malignancy or increased angiogenesis. The inventive compounds also find use in the prevention of restenosis of blood vessels subject to traumas such as angioplasty and stenting. In recognition of the need to access and further explore the biological activity of novel analogues of F152, and this class of macrocycles in general, the present invention provides novel macrocyclic compounds, as described in more detail herein, which demonstrate increased stability and are potent inhibitors of NF-κB activation, AP-1 activation and protein kinases (for example, MEKK, MEK1, PDGFr, VEGFr). Based on these mechanisms of action, the compounds inhibit the production of various pro-inflammatory and/or immunologic cytokines such as TNFα, IL-1, IL-6, IL-8, IL-2 etc, and also inhibit the production of various pro-inflammatory molecules under the regulation of NF-κB pathway such as prostaglandins produced from COX-2, ICAM-1 and MMP-1 and 3 etc. Also, the compounds have ability to inhibit cell proliferation under the regulation of AP-1 pathway through the inhibition of MEK1. In addition, the compounds have ability to inhibit angiogenesis mainly based on the inhibitory activities on VEGFr and PDGFr kinases. Thus, the compounds of the invention, and pharmaceutical compositions thereof, are useful as anti-inflammatory and/or immunosuppressive agents for the treatment of various inflammatory diseases, and abnormal cell proliferation or as antiangiogenesis agents for the treatment of cancer. In certain embodiments, the compounds of the present invention can be used for the treatment of diseases and disorders including, but not limited to sepsis, rheumatoid arthritis, psoriatic arthritis, osteoarthritis, inflammatory bowel disease (Crohn's disease and ulcerative colitis), multiple sclerosis, atopic dermatitis, psoriasis, asthma, osteoporosis, allergic rhinitis, ocular inflammation, hepatitis, autoimmune disorders, systemic lupus erthematosus, allograft rejection/graft versus host disease, diabetes, AIDS, solid tumor cancers, leukemia, lymphomas, non-hodgkin's B-cell lymphomas, chronical lymphocytic leukemia (CLL), multiple myeloma, eczema, urticaria, myasthenia gravis, idiopathic thrombocytopenia purpura, cardiovascular disease (e.g., myocardial infarction, atherosclerosis), hepatitis, glomerulonephropathy, productive nephritis, adenovirus, diseases/disorders of the central nervous system (e.g., stroke, Alzheimer's disease, epilepsy) and for the treatment of the symptoms of malaria, to name a few. The inventive compounds also find use in the prevention of restenosis of blood vessels subject to traumas such as angioplasty and stenting. In addition, it has been shown that photoaging of undamaged skin due to UVB irradiation exposure is inhibited by administering an agent that inhibits one or both of the transcription factors AP-1 and NF-κB to the skin prior to such exposure (See, for example, U.S. Pat. No. 5,837,224). Therefore, the inventive compounds, and pharmaceutical compositions thereof, are useful in the treatment of photoaging-related disorders/conditions. In certain embodiments, the compounds of the invention include compounds of the general formula (I) as further defined below: wherein R1 is hydrogen, aliphatic, heteroaliphatic, alicyclic, heteroalicyclic, aryl or heteroaryl; R2 and R3 are each independently hydrogen, halogen, hydroxyl, protected hydroxyl, or an aliphatic, heteroaliphatic, alicyclic, heteroalicyclic, aryl or heteroaryl moiety; or R1 and R2, when taken together, may form a substituted or unsubstituted, saturated or unsaturated cyclic ring of 3 to 8 carbon atoms; or R1 and R3, when taken together, may form a substituted or unsubstituted, saturated or unsaturated cyclic ring of 3 to 8 carbon atoms; R4 is hydrogen or halogen; R5 is hydrogen, an oxygen protecting group or a prodrug; R6 is hydrogen, hydroxyl, or protected hydroxyl; n is 0-2; R7, for each occurrence, is independently hydrogen, hydroxyl, or protected hydroxyl; R8 is hydrogen, halogen, hydroxyl, protected hydroxyl, alkyloxy, or an aliphatic moiety optionally substituted with hydroxyl, protected hydroxyl, SR12, or NR12R13; R9 is hydrogen, halogen, hydroxyl, protected hydroxyl, OR12, SR12, NR12R13, —X1(CH2)pX2—R14, or is lower alkyl optionally substituted with hydroxyl, protected hydroxyl, halogen, amino, protected amino, or —X1(CH2)pX2—R14;
R8 and R9 may, when taken together, form a saturated or unsaturated cyclic ring containing 1 to 4 carbon atoms and 1 to 3 nitrogen or oxygen atoms and is optionally substituted with hydroxyl, protected hydroxyl, alkyloxy, amino, protected amino, alkylamino, aminoalkyl, or halogen; R10 is hydrogen, hydroxyl, protected hydroxyl, amino, or protected amino; R11 is hydrogen, hydroxyl or protected hydroxyl; X is absent or is O, NH, N-alkyl, CH2 or S; Y is CHR17, O, C═O, CR17 or NR17; and Z is CHR18, O, C═O, CR18 or NR18, wherein each occurrence of R17 and R18 is independently hydrogen or aliphatic, or R17 and R18 taken together is —O—, —CH2— or —NR19—, wherein R19 is hydrogen or lower alkyl, and Y and Z may be connected by a single or double bond; and
In certain embodiments of compounds described directly above and compounds as described in certain classes and subclasses herein, the following groups do not occur simultaneously as defined:
In certain other embodiments, compounds of formula (I) are defined as follows: R1 is hydrogen, straight or branched lower alkyl, straight or branched lower heteroalkyl, or aryl,
R2 and R3 are each independently hydrogen, halogen, hydroxyl, protected hydroxyl, straight or branched lower alkyl, straight or branched lower heteroalkyl, or aryl,
R1 and R2, when taken together, may form a saturated or unsaturated cyclic ring of 3 to 8 carbon atoms, optionally substituted with one or more occurrences of halogen; or R1 and R3, when taken together, may form a saturated or unsaturated cyclic ring of 3 to 8 carbon atoms, optionally substituted with one or more occurrences of halogen; R4 is hydrogen or halogen; R5 is hydrogen or a protecting group; R6 is hydrogen, hydroxyl, or protected hydroxyl; n is 0-2; R7, for each occurrence, is independently hydrogen, hydroxyl, or protected hydroxyl; R8 is hydrogen, halogen, hydroxyl, protected hydroxyl, alkyloxy, or lower alkyl optionally substituted with hydroxyl, protected hydroxyl, SR12, or NR12R13; R9 is hydrogen, halogen, hydroxyl, protected hydroxyl, OR12, SR12, NR12R13, —X1(CH2)pX2—R14, or is lower alkyl optionally substituted with hydroxyl, protected hydroxyl, halogen, amino, protected amino, or —X1(CH2)pX2—R14;
R8 and R9 may, when taken together, form a saturated or unsaturated cyclic ring containing 1 to 4 carbon atoms and 1 to 3 nitrogen or oxygen atoms and is optionally substituted with hydroxyl, protected hydroxyl, alkyloxy, amino, protected amino, alkylamino, aminoalkyl, or halogen; R10 is hydrogen, hydroxyl, protected hydroxyl, amino, or protected amino; R11 is hydrogen, hydroxyl or protected hydroxyl; X is absent or is O, NH, N-alkyl, CH2 or S; Y is CHR17, O, C═O, CR17 or NR17; and Z is CHR18, O, C═O, CR18 or NR18, wherein each occurrence of R17 and R18 is independently hydrogen or lower alkyl, or R17 and R18 taken together is —O—, —CH2— or —NR19—, wherein R19 is hydrogen or lower alkyl, and Y and Z may be connected by a single or double bond; and pharmaceutically acceptable derivatives thereof. In certain other embodiments, compounds of formula (I) are defined as follows: R1 is hydrogen, straight or branched lower alkyl, straight or branched lower heteroalkyl, or aryl,
R2 and R3 are each independently hydrogen, halogen, hydroxyl, protected hydroxyl, straight or branched lower alkyl, straight or branched lower heteroalkyl, or aryl,
R1 and R2, when taken together, may form a saturated or unsaturated cyclic ring of 3 to 8 carbon atoms, optionally substituted with one or more occurrences of halogen; R4 is hydrogen or halogen; R5 is hydrogen or a protecting group; R6 is hydrogen, hydroxyl, or protected hydroxyl; n is 0-2; R7, for each occurrence, is independently hydrogen, hydroxyl, or protected hydroxyl; R8 is hydrogen, halogen, hydroxyl, protected hydroxyl, alkyloxy, or lower alkyl optionally substituted with hydroxyl or protected hydroxyl; R9 is hydrogen, halogen, hydroxyl, protected hydroxyl, OR12, NR12R13, —X1(CH2)pX2—R14, or is lower alkyl optionally substituted with hydroxyl, protected hydroxyl, halogen, amino, protected amino, or —X1(CH2)pX2—R14;
wherein X1 and X2 are each independently absent, or are oxygen, NH, or —N(alkyl), or wherein X2—R14 together are N3 or are a saturated or unsaturated heterocyclic moiety,
R8 and R9 may, when taken together, form a saturated or unsaturated cyclic ring containing 1 to 4 carbon atoms and 1 to 3 nitrogen or oxygen atoms and is optionally substituted with hydroxyl, protected hydroxyl, alkyloxy, amino, protected amino, alkylamino, aminoalkyl, or halogen; R10 is hydrogen, hydroxyl, protected hydroxyl, amino, or a protected amino group; R11 is hydrogen, hydroxyl, or protected hydroxyl; X is absent or is O, NH, or CH2; Y is —CHR17, O, C═O, CR17 or NR17, and Z is CHR18, O, C═O, CR18 or NR18, wherein each occurrence of R17 and R18 is independently hydrogen or lower alkyl; and pharmaceutically acceptable derivatives thereof. In certain embodiments, the present invention defines certain classes of compounds which are of special interest. For example, one class of compounds of special interest includes those compounds having the structure of formula (I) in which X is O, and n is 1 and the compound has the structure: wherein R1-R11, Y and Z are as previously defined. Another class of compounds of special interest includes compounds having the structure of formula (I) in which R4 is halogen (Hal), and the compound has the structure: wherein R1-R3, R5-R11, X, Y, Z and n are as previously defined, and wherein Hal is a halogen selected from fluorine, bromine, chlorine and iodine. Another class of compounds of special interest includes compounds having the structure of formula (I) in which Y and Z together represent —CH═CH—, and the compound has the structure: wherein R1-R11, X and n are as previously defined. Another class of compounds of special interest includes compounds having the structure of formula (I) in which R1 and R2 are each methyl, and R3 is hydrogen and the compound has the structure: wherein R4-R11, n, X, Y and Z are as previously defined. Another class of compounds of special interest includes compounds having the structure of formula (I) in which R9 is NR12R13, and the compound has the structure: wherein R1-R13, n, X, Y and Z are as previously defined, and R13 and R8 may additionally, when taken together, form a saturated or unsaturated cyclic ring containing 1 to 4 carbon atoms and 1 to 3 nitrogen or oxygen atoms and is optionally substituted with hydroxyl, protected hydroxyl, alkyloxy, amino, protected amino, alkylamino, aminoalkyl, and halogen. Another class of compounds of special interest includes compounds having the structure of formula (I) in which R9 is OR12, and the compound has the structure: wherein R1-R12, n, X, Y and Z are as previously defined. Another class of compounds of special interest includes compounds having the structure of formula (I) in which R9 is —X1(CH2)pX2R14, and the compound has the structure: wherein R1-R11, R14, X, Y, Z, n, X1, X2 and p are as defined above. The following structures illustrate several exemplary types of compounds of these classes. Additional compounds are described in the Exemplification herein. Other compounds of the invention will be readily apparent to the reader: A number of important subclasses of each of the foregoing classes deserve separate mention; these subclasses include subclasses of the foregoing classes in which: i) R1 is hydrogen, aryl or lower alkyl; ii) R1 is hydrogen, phenyl, methyl or ethyl; iii) R1 is methyl; iv) R2 is hydrogen, halogen or lower alkyl; v) R2 is hydrogen, F, methyl or ethyl; vi) R2 is methyl; vii) R3 is hydrogen; viii) R1 and R2 are each methyl and R3 is hydrogen; ix) R1 and R2, taken together, form a 5- to 6-membered cycloalkyl moiety; x) R1 and R3, taken together, form a 5- to 6-membered cycloalkyl moiety; xi) R4 is a halogen selected from fluorine, chlorine, bromine, and iodine; xii) R4 is a hydrogen; xiii) R4 is fluorine; xiv) R5 is a protecting group, hydrogen or a prodrug moiety; XV) R5 is an oxygen protecting group; xvi) R5 is an oxygen protecting group selected from methyl ether, substituted methyl ether, substituted ethyl ether, substituted benzyl ether, silyl ether, ester, carbonate, cyclic acetal and ketal; xvii) R6 is hydrogen, hydroxyl or protected hydroxyl; xviii) R6 is protected hydroxyl and the protecting group is an oxygen protecting group; xix) R6 is protected hydroxyl and the protecting group is an oxygen protecting group selected from methyl ether, substituted methyl ether, substituted ethyl ether, substituted benzyl ether, silyl ether, ester, carbonate, cyclic acetal and ketal; xx) R6 is protected hydroxyl and the protecting group is a prodrug moiety; xxi) n is 1; xxii) R7 is hydrogen; xxiii) R7 is hydroxyl; xxiv) R7 is protected hydroxyl and the protecting group is an oxygen protecting group; xxv) R7 is a protected hydroxyl and the protecting group is an oxygen protecting group selected from methyl ether, substituted methyl ether, substituted ethyl ether, substituted benzyl ether, silyl ether, ester, carbonate, cyclic acetal and ketal; xxvi) R7 is protected hydroxyl and the protecting group is a prodrug moiety; xxvii) Y and Z together represent —CH═CH—; xxviii) Y and Z together represent trans —CH═CH—; xxix) Y and Z together represent —CR17═CR18—; xxx) Y and Z together represent trans CR17═CR18—; xxxi) Y and Z together are an epoxide; xxxii) Y and Z together are an aziridine; xxxiii) Y and Z together are cyclopropyl; xxxiv) Y and Z together are —CH2—CH2—; xxxv) Z is O; xxxvi) Y is O; xxxvii) Z is C═O and Y is CHR17; xxxviii) Z is NR18 and Y is CHR17; xxxix) Z is CHR18 and Y is C═O; xl) Z is CHR18 and Y is NR17; xli) X is O or NH; xlii) R8 is hydrogen; xliii) R8 is halogen, hydroxyl, protected hydroxyl, alkyloxy, or lower alkyl optionally substituted when one or more hydroxyl or protected hydroxyl groups; xliv) R9 is hydrogen; xlv) R9 is OR12, wherein R12 is methyl, ethyl, propyl, isopropyl, butyl, —CH2COOMe, Bn, PMB (MPM), 3,4-CIBn, or R9 is xlvi) R9 is NR12R13, wherein R12 is methyl, ethyl, propyl, isopropyl, or butyl, optionally substituted with one or more occurrences of hydroxyl or protected hydroxyl, and R13 is hydrogen or lower alkyl, or NR12R13 together represents a 5- or 6-membered heterocyclic moiety; xlvii) R9 is O(CH2)pX2R14, wherein X2R14 together represent N3, NMe2, NHAc, NHSO2Me, NHCONHMe, NHCONHPh, morpholine, imidazole, aminopyridine, or any one of: xlviii) R10 is hydroxyl or protected hydroxyl; xlix) R10 is hydroxyl; and/or l) R11 is hydrogen. As the reader will appreciate, compounds of particular interest include, among others, those which share the attributes of one or more of the foregoing subclasses. Some of those subclasses are illustrated by the following sorts of compounds: I) Compounds of the Formula (and Pharmaceutically Acceptable Derivatives Thereof): wherein R5-R8, R10-R13 are as defined above and in subclasses herein. II) Compounds of the Formula (and Pharmaceutically Acceptable Derivatives Thereof): wherein R5-R8, R10-R13 are as defined above and in subclasses herein. III) Compounds of the Formula (and Pharmaceutically Acceptable Derivatives Thereof): wherein R5-R8, R10, and R12 are as defined above and in subclasses herein. IV) Compounds of the Formula (and Pharmaceutically Acceptable Derivatives Thereof): wherein R5-R8, R10 and R12 are as defined above and in subclasses herein. V) Compounds of the Formula (and Pharmaceutically Acceptable Derivatives Thereof): VI) Compounds of the Formula (and Pharmaceutically Acceptable Derivatives Thereof): wherein R5-R8, R10, R14, X1, X2 and p are as defined above and in subclasses herein. It will also be appreciated that for each of the subgroups I-VI described above, a variety of other subclasses are of special interest, including, but not limited to those classes described above i)-l) and classes, subclasses and species of compounds described above and in the examples herein. Some of the foregoing compounds can comprise one or more asymmetric centers, and thus can exist in various isomeric forms, e.g., stereoisomers and/or diastereomers. Thus, inventive compounds and pharmaceutical compositions thereof may be in the form of an individual enantiomer, diastereomer or geometric isomer, or may be in the form of a mixture of stereoisomers. In certain embodiments, the compounds of the invention are enantiopure compounds. In certain other embodiments, mixtures of stereoisomers or diastereomers are provided. Furthermore, certain compounds, as described herein may have one or more double bonds that can exist as either the Z or E isomer, unless otherwise indicated. The invention additionally encompasses the compounds as individual isomers substantially free of other isomers and alternatively, as mixtures of various isomers, e.g., racemic mixtures of stereoisomers. In addition to the above-mentioned compounds per se, this invention also encompasses pharmaceutically acceptable derivatives of these compounds and compositions comprising one or more compounds of the invention and one or more pharmaceutically acceptable excipients or additives. Compounds of the invention may be prepared by crystallization of compound of formula (I) under different conditions and may exist as one or a combination of polymorphs of compound of general formula (I) forming part of this invention. For example, different polymorphs may be identified and/or prepared using different solvents, or different mixtures of solvents for recrystallization; by performing crystallizations at different temperatures; or by using various modes of cooling, ranging from very fast to very slow cooling during crystallizations. Polymorphs may also be obtained by heating or melting the compound followed by gradual or fast cooling. The presence of polymorphs may be determined by solid probe NMR spectroscopy, IR spectroscopy, differential scanning calorimetry, powder X-ray diffractogram and/or other techniques. Thus, the present invention encompasses inventive compounds, their derivatives, their tautomeric forms, their stereoisomers, their polymorphs, their pharmaceutically acceptable salts their pharmaceutically acceptable solvates and pharmaceutically acceptable compositions containing them. As discussed above, this invention provides novel compounds with a range of biological properties. Compounds of this invention have biological activities relevant for the treatment of inflammatory and immune disorders, photoaging and cancer. In certain embodiments, the compounds of the invention are useful for the treatment of rheumatoid arthritis, psoriasis, Multiple sclerosis, and asthma. In certain other embodiments, the inventive compounds also find use in the prevention of restenosis of blood vessels subject to traumas such as angioplasty and stenting. Compounds of this invention include those specifically set forth above and described herein, and are illustrated in part by the various classes, subgenera and species disclosed elsewhere herein. Additionally, the present invention provides pharmaceutically acceptable derivatives of the inventive compounds, and methods of treating a subject using these compounds, pharmaceutical compositions thereof, or either of these in combination with one or more additional therapeutic agents. The phrase, “pharmaceutically acceptable derivative”, as used herein, denotes any pharmaceutically acceptable salt, ester, or salt of such ester, of such compound, or any other adduct or derivative which, upon administration to a patient, is capable of providing (directly or indirectly) a compound as otherwise described herein, or a metabolite or residue thereof. Pharmaceutically acceptable derivatives thus include among others pro-drugs. A pro-drug is a derivative of a compound, usually with significantly reduced pharmacological activity, which contains an additional moiety, which is susceptible to removal in vivo yielding the parent molecule as the pharmacologically active species. An example of a pro-drug is an ester, which is cleaved in vivo to yield a compound of interest. Pro-drugs of a variety of compounds, and materials and methods for derivatizing the parent compounds to create the pro-drugs, are known and may be adapted to the present invention. Certain exemplary pharmaceutical compositions and pharmaceutically acceptable derivatives will be discussed in more detail herein below. Certain compounds of the present invention, and definitions of specific functional groups are also described in more detail below. For purposes of this invention, the chemical elements are identified in accordance with the Periodic Table of the Elements, CAS version, Handbook of Chemistry and Physics, 75th Ed., inside cover, and specific functional groups are generally defined as described therein. Additionally, general principles of organic chemistry, as well as specific functional moieties and reactivity, are described in “Organic Chemistry”, Thomas Sorrell, University Science Books, Sausalito: 1999, the entire contents of which are incorporated herein by reference. Furthermore, it will be appreciated by one of ordinary skill in the art that the synthetic methods, as described herein, utilize a variety of protecting groups. By the term “protecting group”, has used herein, it is meant that a particular functional moiety, e.g., O, S, or N, is temporarily blocked so that a reaction can be carried out selectively at another reactive site in a multifunctional compound. In preferred embodiments, a protecting group reacts selectively in good yield to give a protected substrate that is stable to the projected reactions; the protecting group must be selectively removed in good yield by readily available, preferably nontoxic reagents that do not attack the other functional groups; the protecting group forms an easily separable derivative (more preferably without the generation of new stereogenic centers); and the protecting group has a minimum of additional functionality to avoid further sites of reaction. As detailed herein, oxygen, sulfur, nitrogen and carbon protecting groups may be utilized. For example, in certain embodiments, as detailed herein, certain exemplary oxygen protecting groups are utilized. These oxygen protecting groups include, but are not limited to methyl ethers, substituted methyl ethers (e.g., MOM (methoxymethyl ether), MTM (methylthiomethyl ether), BOM (benzyloxymethyl ether), PMBM or MPM (p-methoxybenzyloxymethyl ether), to name a few), substituted ethyl ethers, substituted benzyl ethers, silyl ethers (e.g., TMS (trimethylsilyl ether), TES (triethylsilylether), TIPS (triisopropylsilyl ether), TBDMS (t-butyldimethylsilyl ether), tribenzyl silyl ether, TBDPS (t-butyldiphenyl silyl ether), to name a few), esters (e.g., formate, acetate, benzoate (Bz), trifluoroacetate, dichloroacetate, to name a few), carbonates, cyclic acetals and ketals. In certain other exemplary embodiments, nitrogen protecting groups are utilized. These nitrogen protecting groups include, but are not limited to, carbamates (including methyl, ethyl and substituted ethyl carbamates (e.g., Troc), to name a few) amides, cyclic imide derivatives, N-Alkyl and N-Aryl amines, imine derivatives, and enamine derivatives, to name a few. Certain other exemplary protecting groups are detailed herein, however, it will be appreciated that the present invention is not intended to be limited to these protecting groups; rather, a variety of additional equivalent protecting groups can be readily identified using the above criteria and utilized in the present invention. Additionally, a variety of protecting groups are described in “Protective Groups in Organic Synthesis” Third Ed. Greene, T. W. and Wuts, P.G., Eds., John Wiley & Sons, New York: 1999, the entire contents of which are hereby incorporated by reference. It will be appreciated that the compounds, as described herein, may be substituted with any number of substituents or functional moieties. In general, the term “substituted” whether preceded by the term “optionally” or not, and substituents contained in formulas of this invention, refer to the replacement of hydrogen radicals in a given structure with the radical of a specified substituent. When more than one position in any given structure may be substituted with more than one substituent selected from a specified group, the substituent may be either the same or different at every position. As used herein, the term “substituted” is contemplated to include all permissible substituents of organic compounds. In a broad aspect, the permissible substituents include acyclic and cyclic, branched and unbranched, carbocyclic and heterocyclic, aromatic and nonaromatic substituents of organic compounds. For purposes of this invention, heteroatoms such as nitrogen may have hydrogen substituents and/or any permissible substituents of organic compounds described herein which satisfy the valencies of the heteroatoms. Furthermore, this invention is not intended to be limited in any manner by the permissible substituents of organic compounds. Combinations of substituents and variables envisioned by this invention are preferably those that result in the formation of stable compounds useful in the treatment, for example of inflammatory and proliferative disorders, including, but not limited to rheumatoid arthritis, psoriasis, asthma and cancer. The term “stable”, as used herein, preferably refers to compounds which possess stability sufficient to allow manufacture and which maintain the integrity of the compound for a sufficient period of time to be detected and preferably for a sufficient period of time to be useful for the purposes detailed herein. The term “aliphatic”, as used herein, includes both saturated and unsaturated, straight chain (i.e., unbranched) or branched aliphatic hydrocarbons, which are optionally substituted with one or more functional groups. As will be appreciated by one of ordinary skill in the art, “aliphatic” is intended herein to include, but is not limited to, alkyl, alkenyl, alkynyl moieties. Thus, as used herein, the term “alkyl” includes straight and branched alkyl groups. An analogous convention applies to other generic terms such as “alkenyl”, “alkynyl” and the like. Furthermore, as used herein, the terms “alkyl”, “alkenyl”, “alkynyl” and the like encompass both substituted and unsubstituted groups. In certain embodiments, as used herein, “lower alkyl” is used to indicate those alkyl groups (cyclic, acyclic, substituted, unsubstituted, branched or unbranched) having 1-6 carbon atoms. In certain embodiments, the alkyl, alkenyl and alkynyl groups employed in the invention contain 1-20 aliphatic carbon atoms. In certain other embodiments, the alkyl, alkenyl, and alkynyl groups employed in the invention contain 1-10 aliphatic carbon atoms. In yet other embodiments, the alkyl, alkenyl, and alkynyl groups employed in the invention contain 1-8 aliphatic carbon atoms. In still other embodiments, the alkyl, alkenyl, and alkynyl groups employed in the invention contain 1-6 aliphatic carbon atoms. In yet other embodiments, the alkyl, alkenyl, and alkynyl groups employed in the invention contain 1-4 carbon atoms. Illustrative aliphatic groups thus include, but are not limited to, for example, methyl, ethyl, n-propyl, isopropyl, allyl, n-butyl, sec-butyl, isobutyl, tert-butyl, n-pentyl, sec-pentyl, isopentyl, tert-pentyl, n-hexyl, sec-hexyl, moieties and the like, which again, may bear one or more substituents. Alkenyl groups include, but are not limited to, for example, ethenyl, propenyl, butenyl, 1-methyl-2-buten-1-yl, and the like. Representative alkynyl groups include, but are not limited to, ethynyl, 2-propynyl (propargyl), 1-propynyl and the like. The term “alicyclic”, as used herein, refers to compounds which combine the properties of aliphatic and cyclic compounds and include but are not limited to cyclic, or polycyclic aliphatic hydrocarbons and bridged cycloalkyl compounds, which are optionally substituted with one or more functional groups. As will be appreciated by one of ordinary skill in the art, “alicyclic” is intended herein to include, but is not limited to, cycloalkyl, cycloalkenyl, and cycloalkynyl moieties, which are optionally substituted with one or more functional groups. Illustrative alicyclic groups thus include, but are not limited to, for example, cyclopropyl, —CH2-cyclopropyl, cyclobutyl, —CH2-cyclobutyl, cyclopentyl, —CH2-cyclopentyl-n, cyclohexyl, —CH2-cyclohexyl, cyclohexenylethyl, cyclohexanylethyl, norborbyl moieties and the like, which again, may bear one or more substituents. The term “alkoxy” (or “alkyloxy”), or “thioalkyl” as used herein refers to an alkyl group, as previously defined, attached to the parent molecular moiety through an oxygen atom or through a sulfur atom. In certain embodiments, the alkyl group contains 1-20 aliphatic carbon atoms. In certain other embodiments, the alkyl group contains 1-10 aliphatic carbon atoms. In yet other embodiments, the alkyl, alkenyl, and alkynyl groups employed in the invention contain 1-8 aliphatic carbon atoms. In still other embodiments, the alkyl group contains 1-6 aliphatic carbon atoms. In yet other embodiments, the alkyl group contains 1-4 aliphatic carbon atoms. Examples of alkoxy, include but are not limited to, methoxy, ethoxy, propoxy, isopropoxy, n-butoxy, tert-butoxy, neopentoxy and n-hexoxy. Examples of thioalkyl include, but are not limited to, methylthio, ethylthio, propylthio, isopropylthio, n-butylthio, and the like. The term “alkylamino” refers to a group having the structure —NHR′ wherein R′ is alkyl, as defined herein. The term “aminoalkyl” refers to a group having the structure NH2R′—, wherein R′ is alkyl, as defined herein. In certain embodiments, the alkyl group contains 1-20 aliphatic carbon atoms. In certain other embodiments, the alkyl group contains 1-10 aliphatic carbon atoms. In yet other embodiments, the alkyl, alkenyl, and alkynyl groups employed in the invention contain 1-8 aliphatic carbon atoms. In still other embodiments, the alkyl group contains 1-6 aliphatic carbon atoms. In yet other embodiments, the alkyl group contains 1-4 aliphatic carbon atoms. Examples of alkylamino include, but are not limited to, methylamino, ethylamino, iso-propylamino and the like. Some examples of substituents of the above-described aliphatic (and other) moieties of compounds of the invention include, but are not limited to aliphatic; heteroaliphatic; aryl; heteroaryl; alkylaryl; alkylheteroaryl; alkoxy; aryloxy; heteroalkoxy; heteroaryloxy; alkylthio; arylthio; heteroalkylthio; heteroarylthio; F; Cl; Br; I; —OH; —NO2; —CN; —CF3; —CH2CF3; —CHCl2; —CH2OH; —CH2CH2OH; —CH2NH2; —CH2SO2CH3; —C(O)Rx; —CO2(Rx); —CON(Rx)2; —OC(O)Rx; —OCO2Rx; —OCON(Rx)2; —N(Rx)2; —S(O)2Rx; —NRx(CO)Rx wherein each occurrence of Rx independently includes, but is not limited to, aliphatic, heteroaliphatic, aryl, heteroaryl, alkylaryl, or alkylheteroaryl, wherein any of the aliphatic, heteroaliphatic, alkylaryl, or alkylheteroaryl substituents described above and herein may be substituted or unsubstituted, branched or unbranched, cyclic or acyclic, and wherein any of the aryl or heteroaryl substituents described above and herein may be substituted or unsubstituted. Additional examples of generally applicable substituents are illustrated by the specific embodiments shown in the Examples that are described herein. In general, the terms “aryl” and “heteroaryl”, as used herein, refer to stable mono- or polycyclic, heterocyclic, polycyclic, and polyheterocyclic unsaturated moieties having preferably 3-14 carbon atoms, each of which may be substituted or unsubstituted. It will also be appreciated that aryl and heteroaryl moieties, as defined herein may be attached via an aliphatic, alicyclic, heteroaliphatic, heteroalicyclic, alkyl or heteroalkyl moiety and thus also include -(aliphatic)aryl, -(heteroaliphatic)aryl, -(aliphatic)heteroaryl, -(heteroaliphatic)heteroaryl, -(alkyl)aryl, -(heteroalkyl)aryl, -(heteroalkyl)aryl, and -(heteroalkyl)heteroaryl moieties. Thus, as used herein, the phrases “aryl or heteroaryl” and “aryl, heteroaryl, -(aliphatic)aryl, -(heteroaliphatic)aryl, -(aliphatic)heteroaryl, -(heteroaliphatic)heteroaryl, -(alkyl)aryl, -(heteroalkyl)aryl, -(heteroalkyl)aryl, and -(heteroalkyl)heteroaryl” are interchangeable. Substituents include, but are not limited to, any of the previously mentioned substitutents, i.e., the substituents recited for aliphatic moieties, or for other moieties as disclosed herein, resulting in the formation of a stable compound. In certain embodiments of the present invention, “aryl” refers to a mono- or bicyclic carbocyclic ring system having one or two aromatic rings including, but not limited to, phenyl, naphthyl, tetrahydronaphthyl, indanyl, indenyl and the like. In certain embodiments of the present invention, the term “heteroaryl”, as used herein, refers to a cyclic aromatic radical having from five to ten ring atoms of which one ring atom is selected from S, O and N; zero, one or two ring atoms are additional heteroatoms independently selected from S, O and N; and the remaining ring atoms are carbon, the radical being joined to the rest of the molecule via any of the ring atoms, such as, for example, pyridyl, pyrazinyl, pyrimidinyl, pyrrolyl, pyrazolyl, imidazolyl, thiazolyl, oxazolyl, isooxazolyl, thiadiazolyl, oxadiazolyl, thiophenyl, furanyl, quinolinyl, isoquinolinyl, and the like. It will be appreciated that aryl and heteroaryl groups (including bicyclic aryl groups) can be unsubstituted or substituted, wherein substitution includes replacement of one, two or three of the hydrogen atoms thereon independently with any one or more of the following moieties including, but not limited to: aliphatic; heteroaliphatic; aryl; heteroaryl; alkylaryl; alkylheteroaryl; alkoxy; aryloxy; heteroalkoxy; heteroaryloxy; alkylthio; arylthio; heteroalkylthio; heteroarylthio; F; Cl; Br; I; —OH; —NO2; —CN; —CF3; —CH2CF3; —CHCl2; —CH2OH; —CH2CH2OH; —CH2NH2; —CH2SO2CH3; —C(O)Rx; —CO2(Rx); —CON(Rx)2; —OC(O)Rx; —OCO2Rx; —OCON(Rx)2; —N(Rx)2; —S(O)2Rx; —NRx(CO)Rx wherein each occurrence of Rx independently includes, but is not limited to, aliphatic, heteroaliphatic, aryl, heteroaryl, alkylaryl, or alkylheteroaryl, wherein any of the aliphatic, heteroaliphatic, alkylaryl, or alkylheteroaryl substituents described above and herein may be substituted or unsubstituted, branched or unbranched, cyclic or acyclic, and wherein any of the aryl or heteroaryl substituents described above and herein may be substituted or unsubstituted. Additional examples of generally applicable substituents are illustrated by the specific embodiments shown in the Examples that are described herein. The term “cycloalkyl”, as used herein, refers specifically to groups having three to seven, preferably three to ten carbon atoms. Suitable cycloalkyls include, but are not limited to cyclopropyl, cyclobutyl, cyclopentyl, cyclohexyl, cycloheptyl and the like, which, as in the case of aliphatic, heteroaliphatic or heterocyclic moieties, may optionally be substituted with substituents including, but not limited to aliphatic; heteroaliphatic; aryl; heteroaryl; alkylaryl; alkylheteroaryl; alkoxy; aryloxy; heteroalkoxy; heteroaryloxy; alkylthio; arylthio; heteroalkylthio; heteroarylthio; F; Cl; Br; I; —OH; —NO2; —CN; —CF3; —CH2CF3; —CHCl2; —CH2OH; —CH2CH2OH; —CH2NH2; —CH2SO2CH3; —C(O)Rx; —CO2(Rx); —CON(Rx)2; —OC(O)Rx; —OCO2Rx; —OCON(Rx)2; —N(Rx)2; —S(O)2Rx; —NRx(CO)Rx wherein each occurrence of Rx independently includes, but is not limited to, aliphatic, heteroaliphatic, aryl, heteroaryl, alkylaryl, or alkylheteroaryl, wherein any of the aliphatic, heteroaliphatic, alkylaryl, or alkylheteroaryl substituents described above and herein may be substituted or unsubstituted, branched or unbranched, cyclic or acyclic, and wherein any of the aryl or heteroaryl substituents described above and herein may be substituted or unsubstituted. Additional examples of generally applicable substituents are illustrated by the specific embodiments shown in the Examples that are described herein. The term “heteroaliphatic”, as used herein, refers to aliphatic moieties in which one or more carbon atoms in the main chain have been substituted with a heteroatom. Thus, a heteroaliphatic group refers to an aliphatic chain which contains one or more oxygen, sulfur, nitrogen, phosphorus or silicon atoms, e.g., in place of carbon atoms. Heteroaliphatic moieties may be branched or linear unbranched. In certain embodiments, heteroaliphatic moieties are substituted by independent replacement of one or more of the hydrogen atoms thereon with one or more moieties including, but not limited to aliphatic; alicyclic; heteroaliphatic; heteroalicyclic; aryl; heteroaryl; alkylaryl; alkylheteroaryl; alkoxy; aryloxy; heteroalkoxy; heteroaryloxy; alkylthio; arylthio; heteroalkylthio; heteroarylthio; F; Cl; Br; I; —OH; —NO2; —CN; —CF3; —CH2CF3; —CHCl2; —CH2OH; —CH2CH2OH; —CH2NH2; —CH2SO2CH3; —C(O)Rx; —CO2(Rx); —CON(Rx)2; —OC(O)Rx; —OCO2Rx; —OCON(Rx)2; —N(Rx)2; —S(O)2Rx; —NRx(CO)Rx wherein each occurrence of Rx independently includes, but is not limited to, aliphatic, alicyclic, heteroaliphatic, heteroalicyclic, aryl, heteroaryl, alkylaryl, or alkylheteroaryl, wherein any of the aliphatic, alicyclic, heteroaliphatic, heteroalicyclic, alkylaryl, or alkylheteroaryl substituents described above and herein may be substituted or unsubstituted, branched or unbranched, cyclic or acyclic, and wherein any of the aryl or heteroaryl substituents described above and herein may be substituted or unsubstituted. Additional examples of generally applicable substituents are illustrated by the specific embodiments shown in the Examples that are described herein. The term “heteroalicyclic”, as used herein, refers to compounds which combine the properties of heteroaliphatic and cyclic compounds and include but are not limited to saturated and unsaturated mono- or polycyclic heterocycles such as morpholino, pyrrolidinyl, furanyl, thiofuranyl, pyrrolyl etc., which are optionally substituted with one or more functional groups, as defined herein. Additionally, it will be appreciated that any of the alicyclic or heteroalicyclic moieties described above and herein may comprise an aryl or heteroaryl moiety fused thereto. Additional examples of generally applicable substituents are illustrated by the specific embodiments shown in the Examples that are described herein. The terms “halo” and “halogen” as used herein refer to an atom selected from fluorine, chlorine, bromine and iodine. The term “haloalkyl” denotes an alkyl group, as defined above, having one, two, or three halogen atoms attached thereto and is exemplified by such groups as chloromethyl, bromoethyl, trifluoromethyl, and the like. The term “heterocycloalkyl” or “heterocycle”, as used herein, refers to a non-aromatic 5-, 6- or 7-membered ring or a polycyclic group, including, but not limited to a bi- or tri-cyclic group comprising fused six-membered rings having between one and three heteroatoms independently selected from oxygen, sulfur and nitrogen, wherein (i) each 5-membered ring has 0 to 1 double bonds and each 6-membered ring has 0 to 2 double bonds, (ii) the nitrogen and sulfur heteroatoms may be optionally be oxidized, (iii) the nitrogen heteroatom may optionally be quaternized, and (iv) any of the above heterocyclic rings may be fused to an aryl or heteroaryl ring. Representative heterocycles include, but are not limited to, pyrrolidinyl, pyrazolinyl, pyrazolidinyl, imidazolinyl, imidazolidinyl, piperidinyl, piperazinyl, oxazolidinyl, isoxazolidinyl, morpholinyl, thiazolidinyl, isothiazolidinyl, and tetrahydrofuryl. In certain embodiments, a “substituted heterocycloalkyl or heterocycle” group is utilized and as used herein, refers to a heterocycloalkyl or heterocycle group, as defined above, substituted by the independent replacement of one, two or three of the hydrogen atoms thereon with but are not limited to aliphatic; heteroaliphatic; aryl; heteroaryl; alkylaryl; alkylheteroaryl; alkoxy; aryloxy; heteroalkoxy; heteroaryloxy; alkylthio; arylthio; heteroalkylthio; heteroarylthio; F; Cl; Br; I; —OH; —NO2; —CN; —CF3; —CH2CF3; —CHCl2; —CH2OH; —CH2CH2OH; —CH2NH2; —CH2SO2CH3; —C(O)RX; —CO2(Rx); —CON(Rx)2; —OC(O)Rx; —OCO2Rx; —OCON(Rx)2; —N(Rx)2; —S(O)2Rx; —NRx(CO)Rx wherein each occurrence of Rx independently includes, but is not limited to, aliphatic, heteroaliphatic, aryl, heteroaryl, alkylaryl, or alkylheteroaryl, wherein any of the aliphatic, heteroaliphatic, alkylaryl, or alkylheteroaryl substituents described above and herein may be substituted or unsubstituted, branched or unbranched, cyclic or acyclic, and wherein any of the aryl or heteroaryl substitutents described above and herein may be substituted or unsubstituted. Additional examples or generally applicable substituents are illustrated by the specific embodiments shown in the Examples, which are described herein. As used herein, the terms “aliphatic”, “heteroaliphatic”, “alkyl”, “alkenyl”, “alkynyl”, “heteroalkyl”, “heteroalkenyl”, “heteroalkynyl”, and the like encompass substituted and unsubstituted, saturated and unsaturated, and linear and branched groups. Similarly, the terms “alicyclic”, “heteroalicyclic”, “heterocycloalkyl”, “heterocycle” and the like encompass substituted and unsubstituted, and saturated and unsaturated groups. Additionally, the terms “cycloalkyl”, “cycloalkenyl”, “cycloalkynyl”, “heterocycloalkyl”, “heterocycloalkenyl”, “heterocycloalkynyl”, “aryl”, “heteroaryl” and the like encompass both substituted and unsubstituted groups. As described above, the present invention provides novel macrocycles having formula (I) a described above and in certain classes and subclasses herein. An overview of an exemplary synthesis of the inventive compounds is provided below, as detailed in Schemes 1-7, and in the Exemplification herein. It will be appreciated that the methods as described herein can be applied to each of the compounds as disclosed herein and equivalents thereof. Additionally, the reagents and starting materials are well known to those skilled in the art. Although the following schemes describe certain exemplary compounds, it will be appreciated that the use of alternate starting materials will yield other analogs of the invention. For example, compounds are described below where X is O; however, it will be appreciated that alternate starting materials and/or intermediates can be utilized to generate compounds where X is NH, N-alkyl, CH2, etc. In general, compounds as provided herein especially modification where Y and Z together as CH═CH or CH2CH2, are prepared from assembly of these three segments in two different orders depending on position of modifications on the ring, as depicted below. For R4 modifications, a third route was use to incorporate R4 as depicted below: For compounds with Y and Z are heteroatom such N, O or CO, a different set of reaction condition was used to form these bonds in place of a C—C bond formation. Certain analogs were prepared using variation of these methods shown above. For R9 analogs, compounds as provided herein, are prepared from a general advance intermediate in additional to the general methods described above, as depicted below (2): In certain embodiments, this general advance intermediate can be synthesized from two components, an aromatic component, the synthesis of which is depicted in Scheme 1 and is described in more detail in examples herein, and a protected diol component, the synthesis of which is depicted in Scheme 2 and is described in more detail in examples herein. As depicted in Scheme 3, and as described in more detail in examples herein, these two components are coupled, and subsequent reduction to generate the double bond occurs. Finally, macrocyclization is effected to generate the macrolactone intermediate. As depicted in Scheme 4, and as described in the examples herein, an alternate route to the protected diol intermediate provides facile access to compounds where R4 is halogen. Coupling of this intermediate with the aromatic component described above and herein, provides additional structures where R4 is halogen, or, as depicted, F. It will be appreciated that once the core intermediate structures are constructed a variety of other analogues can be generated. In but one example, C14-O analogues are provided (R9 as described herein). For example, Scheme 5 depicts the synthesis of these analogues using a Mitsunobu reaction to functionalize the C14 hydroxyl moiety. Alternatively, as depicted in Scheme 6, the hydroxyl functionality in the advance intermediate can be replaced with an amine functionality. This amine can be further substituted (e.g., with methyl groups, as depicted in Scheme 6) with a variety of functional groups as described herein, using methods available to one of ordinary skill in the art. Alternatively, as depicted in Schemes 7 and 9, the amine functionality may be introduced earlier in the synthesis. This amine can be further substituted (e.g., with methyl or ethyl groups, as depicted in Schemes 7 and 9) with a variety of functional groups as described herein, using methods available to one of ordinary skill in the art. A synthesis of acyclic intermediate 20 is depicted in Scheme 8. For special fused ring systems on the aromatic component, a different aromatic segment is used in the place of the phenol. While synthesis of the aromatic fragment required special synthetic techniques, the overall flow remained, as depicted below (Scheme 10) According to the present invention, the inventive compounds may be assayed in any of the available assays known in the art for identifying compounds having antiangiogenic activity, anti-inflammatory activity, protein kinase inhibitory activity, NF-κB activation inhibitory activity activity and AP-1 activation inhibitory activity. For example, the assay may be cellular or non-cellular, in vivo or in vitro, high- or low-throughput format, etc. Thus, in one aspect, compounds of this invention which are of particular interest include those which:
As discussed above, certain of the compounds as described herein exhibit activity generally as inhibitors of NF-κB activation, AP-1 activation and protein kinases. More specifically, compounds of the invention demonstrate immunosuppressive activity and thus the invention further provides a method for treating an inflammatory disorder or autoimmune disorders. Certain of the compounds as described herein also act as inhibitors of tumor growth and angiogenesis. The method involves the administration of a therapeutically effective amount of the compound or a pharmaceutically acceptable derivative thereof to a subject (including, but not limited to a human or animal) in need of it. In certain embodiments, the inventive compounds as useful for the treatment of sepsis, glomerulonephropathy, rheumatoid arthritis (including ankylosing spondylitis), psoriatic arthritis, osteoarthritis, osteoporosis, allergic rhinitis, ocular inflammation, inflammatory bowel disease (crohn's disease and ulcerative colitis), multiple sclerosis, atopic dermatitis, psoriasis, asthma, inflammatory pulmonary disease, hepatitis, autoimmune disorders, systemic lupus erthematosus, allograft rejection/graft versus host disease, diabetes, AIDS, solid tumor cancers, leukemia, lymphomas, non-hodgkin's B-cell lymphomas, chronical lymphocytic leukemia (CLL), multiple myeloma, eczema, urticaria, myasthenia gravis, idiopathic thrombocytopenia purpura, cardiovascular disease (e.g., myocardial infarction, atherosclerosis), hepatitis, glomerulonephropathy, productive nephritis, adenovirus, diseases/disorders of the central nervous system (e.g., stroke, Alzheimer's disease, epilepsy) and for the treatment of the symptoms of malaria, to name a few. In certain other embodiments, compounds of the invention are useful for reducing photodamage, and thus, the invention further provides a method for treating photoaging-related disorders/conditions. In certain exemplary embodiments, compounds of the invention are useful for the treatment and/or prevention of skin coarseness, wrinkling, mottled pigmentation, sallowness, laxity, telangiectasia, lentigines, purpura and easy bruising, atrophy, fibrotic depigmented areas, and ultimately premalignant and malignant neoplasms. In certain other exemplary embodiments, compounds of the invention are useful for the treatment and/or prevention of wrinkles and/or skin cancer. Pharmaceutical Compositions As discussed above this invention provides novel compounds that have biological properties useful for the treatment of inflammatory and autoimmune disorders, photoaging and cancer. The inventive compounds also find use in the prevention of restenosis of blood vessels subject to traumas such as angioplasty and stenting. Accordingly, in another aspect of the present invention, pharmaceutical compositions are provided, which comprise any one of the compounds described herein (or a prodrug, pharmaceutically acceptable salt or other pharmaceutically acceptable derivative thereof), and optionally comprise a pharmaceutically acceptable carrier. In certain embodiments, these compositions optionally further comprise one or more additional therapeutic agents. Alternatively, a compound of this invention may be administered to a patient in need thereof in combination with the administration of one or more other therapeutic agents. For example, additional therapeutic agents for conjoint administration or inclusion in a pharmaceutical composition with a compound of this invention may be an immunomodulatory agent (e.g., an agent for the treatment of, rheumatoid arthritis, psoriasis, multiple sclerosis, or asthma) or antiangiogenesis agent or anticancer agent approved for the treatment of cancer, as discussed in more detail herein, or it may be any one of a number of agents undergoing approval in the Food and Drug Administration that ultimately obtain approval for the treatment of an immune disorder or cancer. It will also be appreciated that certain of the compounds of present invention can exist in free form for treatment, or where appropriate, as a pharmaceutically acceptable derivative thereof. According to the present invention, a pharmaceutically acceptable derivative includes, but is not limited to, pharmaceutically acceptable salts, esters, salts of such esters, or a prodrug or other adduct or derivative of a compound of this invention which upon administration to a patient in need is capable of providing, directly or indirectly, a compound as otherwise described herein, or a metabolite or residue thereof. As used herein, the term “pharmaceutically acceptable salt” refers to those salts which are, within the scope of sound medical judgment, suitable for use in contact with the tissues of humans and lower animals without undue toxicity, irritation, allergic response and the like, and are commensurate with a reasonable benefit/risk ratio. Pharmaceutically acceptable salts of amines, carboxylic acids, and other types of compounds, are well known in the art. For example, S. M. Berge, et al. describe pharmaceutically acceptable salts in detail in Additionally, as used herein, the term “pharmaceutically acceptable ester” refers to esters that hydrolyze in vivo and include those that break down readily in the human body to leave the parent compound or a salt thereof. Suitable ester groups include, for example, those derived from pharmaceutically acceptable aliphatic carboxylic acids, particularly alkanoic, alkenoic, cycloalkanoic and alkanedioic acids, in which each alkyl or alkenyl moeity advantageously has not more than 6 carbon atoms. Examples of particular esters include formates, acetates, propionates, butyrates, acrylates and ethylsuccinates. Furthermore, the term “pharmaceutically acceptable prodrugs” as used herein refers to those prodrugs of the compounds of the present invention which are, within the scope of sound medical judgment, suitable for use in contact with the issues of humans and lower animals with undue toxicity, irritation, allergic response, and the like, commensurate with a reasonable benefit/risk ratio, and effective for their intended use, as well as the zwitterionic forms, where possible, of the compounds of the invention. The term “prodrug” refers to compounds that are rapidly transformed in vivo to yield the parent compound of the above formula, for example by hydrolysis in blood. A thorough discussion is provided in T. Higuchi and V. Stella, Pro-drugs as Novel Delivery Systems, Vol. 14 of the A.C.S. Symposium Series, and in Edward B. Roche, ed., Bioreversible Carriers in Drug Design, American Pharmaceutical Association and Pergamon Press, 1987, both of which are incorporated herein by reference. As described above, the pharmaceutical compositions of the present invention additionally comprise a pharmaceutically acceptable carrier, which, as used herein, includes any and all solvents, diluents, or other liquid vehicle, dispersion or suspension aids, surface active agents, isotonic agents, thickening or emulsifying agents, preservatives, solid binders, lubricants and the like, as suited to the particular dosage form desired. Remington's Pharmaceutical Sciences, Sixteenth Edition, E. W. Martin (Mack Publishing Co., Easton, Pa., 1980) discloses various carriers used in formulating pharmaceutical compositions and known techniques for the preparation thereof. Except insofar as any conventional carrier medium is incompatible with the compounds of the invention, such as by producing any undesirable biological effect or otherwise interacting in a deleterious manner with any other component(s) of the pharmaceutical composition, its use is contemplated to be within the scope of this invention. Some examples of materials which can serve as pharmaceutically acceptable carriers include, but are not limited to, sugars such as lactose, glucose and sucrose; starches such as corn starch and potato starch; cellulose and its derivatives such as sodium carboxymethyl cellulose, ethyl cellulose and cellulose acetate; powdered tragacanth; malt; gelatine; talc; excipients such as cocoa butter and suppository waxes; oils such as peanut oil, cottonseed oil; safflower oil, sesame oil; olive oil; corn oil and soybean oil; glycols; such as propylene glycol; esters such as ethyl oleate and ethyl laurate; agar; buffering agents such as magnesium hydroxide and aluminum hydroxide; alginic acid; pyrogenfree water; isotonic saline; Ringer's solution; ethyl alcohol, and phosphate buffer solutions, as well as other non-toxic compatible lubricants such as sodium lauryl sulfate and magnesium stearate, as well as coloring agents, releasing agents, coating agents, sweetening, flavoring and perfuming agents, preservatives and antioxidants can also be present in the composition, according to the judgment of the formulator. Uses and Formulations of Compounds of the Invention As described in more detail herein, in general, the present invention provides compounds useful for the treatment of inflammatory or immune disorders and the treatment of cancer, particularly solid tumors. Without wishing to be bound by any particular theory, more generally, the compounds of the invention have been shown to inhibit NF-κB activity and the identification of NF-κB as a key player in the pathogenesis of inflammation suggest that NF-κB targeted therapeutics may be effective in inflammatory and immune disorders (see, generally, NF-κB in Defense and Disease, As detailed in the exemplification herein, in assays to determine the ability of compounds to inhibit NF-κB, certain inventive compounds exhibited IC50 values less than 10 μM. In certain other embodiments, inventive compounds exhibit IC50 values less than 7.5 μM. In certain embodiments, inventive compounds exhibit IC50 values less than 5 μM. In certain other embodiments, inventive compounds exhibit IC50 values less than 2.5 μM. In certain embodiments, inventive compounds exhibit IC50 values less than 1 μM. In certain embodiments, inventive compounds exhibit IC50 values less than 0.75 μM. In certain embodiments, inventive compounds exhibit IC50 values less than 0.5 μM. In certain embodiments, inventive compounds exhibit IC50 values less than 0.25 μM. In certain embodiments, inventive compounds exhibit IC50 values less than 0.1 μM. In certain other embodiments, inventive compounds exhibit IC50 values less than 750 nM. In certain other embodiments, inventive compounds exhibit IC50 values less than 500 nM. In certain other embodiments, inventive compounds exhibit IC50 values less than 250 nM. In certain other embodiments, inventive compounds exhibit IC50 values less than 100 nM. In other embodiments, exemplary compounds exhibited IC50 values less than 75 nM. In other embodiments, exemplary compounds exhibited IC50 values less than 50 nM. In still other embodiments, certain compounds were tested for their ability to inhibit the growth of tumor cell lines in vitro. Certain of these compounds exhibited IC50 values less than 10 μM. In certain other embodiments, inventive compounds exhibit IC50 values less than 7.5 μM. In certain embodiments, inventive compounds exhibit IC50 values less than 5 μM. In certain other embodiments, inventive compounds exhibit IC50 values less than 2.5 μM. In certain embodiments, inventive compounds exhibit IC50 values less than 1 μM. In certain embodiments, inventive compounds exhibit IC50 values less than 0.75 μM. In certain embodiments, inventive compounds exhibit IC50 values less than 0.5 μM. In certain embodiments, inventive compounds exhibit IC50 values less than 0.25 μM. In certain embodiments, inventive compounds exhibit IC50 values less than 0.1 μM. In certain other embodiments, inventive compounds exhibit IC50 values less than 750 nM. In certain other embodiments, inventive compounds exhibit IC50 values less than 500 nM. In certain other embodiments, inventive compounds exhibit IC50 values less than 250 nM. In certain other embodiments, inventive compounds exhibit IC50 values less than 100 nM. In other embodiments, exemplary compounds exhibited IC50 values less than 75 nM. In other embodiments, exemplary compounds exhibited IC50 values less than 50 nM. As discussed above, compounds of the invention exhibit immunomodulatory activity and exhibit activity for the inhibition of angiogenesis through inhibition of receptor tyrosine kinases. As such, the inventive compounds as useful for the treatment of a variety of disorders, including, but not limited to, sepsis, glomerulonephropathy, rheumatoid arthritis (including ankylosing spondylitis), psoriatic arthritis, osteoarthritis, osteoporosis, allergic rhinitis, ocular inflammation, inflammatory bowel disease, atopic dermatitis, psoriasis, asthma, Crohn's disease, ulcerative colitis, inflammatory pulmonary disease, hepatitis, autoimmune disorders, diabetes, AIDS, solid tumor cancers, Leukemia, lymphomas, non-hodgkin's B-cell lymphomas, chronical lymphocytic leukemia (CLL), multiple myeloma, systemic lupus erythematosus, allograft rejection/graft versus host disease, eczema, uticaria, myasthenia gravis, idiopathic thrombocytopenia purpura, cardiovascular disease (e.g., myocardial infarction, atherosclerosis), hepatitis, productive nephritis, adenovirus, diseases/disorders of the central nervous system (stroke, Alzheimer's disease, epilepsy) and for the treatment of the symptoms of malaria, to name a few. In certain embodiments, compounds of the invention are particularly useful for the treatment of rheumatoid arthritis, psoriasis, multiple sclerosis, asthma and cancer. Rheumatoid Arthritis is a chronic syndrome characterized by nonspecific, usually symmetric inflammation of the peripheral joints, potentially resulting in progressive destruction of articular and periarticular structures, with or without generalized manifestations (See, generally, The Merck Manual, 1999, Seventeenth Ed. Merck & Co., the entire contents of which are hereby incorporated by reference). Studies in the past established that presence of inflammatory cells and pro-inflammatory cytokines, such as TNFα, IL-1β are abundant in the diseased synovium. Increased macrophage-derived lining cells are prominent along with some lymphocytes and vascular changes in early disease. Although there is not a cure, reduction of circulatory pro-inflammatory cytokines (e.g. TNFα, IL-1β) through intervention of biological agents, such as Enbrel, Remicade or Anakinra demonstrated efficacy in reduction of symptoms and retarding the disease progression in clinical trials. Thus developing of an agent such as described in this patent in modulation of pro-inflammatory cytokines through NF-κB inhibition could bring great benefit to RA patients. Psoriasis is a disorder for which there is no curative therapy, although in most cases acute attacks can be controlled. Psoriasis is a chronic, recurrent disease characterized by dry, well-circumscribed, silvery, scaling papules and plaques of various sizes, and has traditionally been attributed to increased epidermal cell proliferation and concomitant dermal inflammation. The response of psoriasis to the immunosuppressive drug cyclosporine suggests that the primary pathogenic factor may be immunologic. Proliferation of epidermal cells has been also linked to AP-1 activation via stimulation from injury, radiation or stress to the skin (see, P. Angel et al., “Function and regulation of AP-1 subunits in skin physiology and pathology”, Asthma is also believed to involve immunologic abnormalities and increased inflammatory responses. Similarly to psoriasis, there is no curative therapy. Thus the development of novel therapies such as this, preferably safe and curative, is desirable. This is also applied to related immunologic disorders such as, graft rejection, SLE etc. Angiogenesis, or the formation of new blood vessels out of pre-existing capillaries, is a sequence of events that is fundamental to many physiologic and pathologic processes such as cancer, ischemic diseases, and chronical inflammation. With the identification of several proangiogenic molecules such as vascular endothelial cell growth factor (VEGF), the fibroblast growth factors (FGFs) (see, Angiogenesis: Potentials for Pharmacologic Intervention in the Treatment of Cancer, Cardiovascular Diseases, and chronic Inflammation, As discussed above, the inventive compounds also find use in the prevention of restenosis of blood vessels subject to traumas such as angioplasty and stenting. For example, it is contemplated that the compounds of the invention will be useful as a coating for implanted medical devices, such as tubings, shunts, catheters, artificial implants, pins, electrical implants such as pacemakers, and especially for arterial or venous stents, including balloon-expandable stents. In certain embodiments inventive compounds may be bound to an implantable medical device, or alternatively, may be passively adsorbed to the surface of the implantable device. In certain other embodiments, the inventive compounds may be formulated to be contained within, or, adapted to release by a surgical or medical device or implant, such as, for example, stents, sutures, indwelling catheters, prosthesis, and the like. In certain exemplary embodiments, the inventive compounds may be used as coating for stents. A stent is typically an open tubular structure that has a pattern (or patterns) of apertures extending from the outer surface of the stent to the lumen. It is commonplace to make stents of biocompatible metallic materials, with the patterns cut on the surface with a laser machine. The stent can be electro-polished to minimize surface irregularities since these irregularities can trigger an adverse biological response. However, stents may still stimulate foreign body reactions that result in thrombosis or restenosis. To avoid these complications, a variety of stent coatings and compositions have been proposed in the prior art literature both to reduce the incidence of these complications or other complications and restore tissue function by itself or by delivering therapeutic compound to the lumen. For example, drugs having antiproliferative and anti-inflammatory activities have been evaluated as stent coatings, and have shown promise in preventing retenosis (See, for example, Presbitero P. et al., “Drug eluting stents do they make the difference?”, The invention may be described therefore, in certain broad aspects as a method of inhibiting arterial restenosis or arterial occlusion following vascular trauma comprising administering to a subject in need thereof, a composition comprising an inventive compound conjugated to a suitable polymer or polymeric material. In the practice of the method, the subject may be a coronary bypass, vascular surgery, organ transplant or coronary or any other arterial angioplasty patient, for example, and the composition may be administered directly, intravenously, or even coated on a stent to be implanted at the sight of vascular trauma. In another aspect, the invention encompasses implants and surgical or medical devices, including stents and grafts, coated with or otherwise constructed to contain and/or release any of the inventive compounds disclosed herein. In certain embodiments, the compounds have anti-inflammatory and/or antiproliferative activities. In certain other embodiments, the compounds inhibit smooth muscle cell proliferation. Representative examples of the inventive implants and surgical or medical devices include cardiovascular devices (e.g., implantable venous catheters, venous ports, tunneled venous catheters, chronic infusion lines or ports, including hepatic artery infusion catheters, pacemaker wires, implantable defibrillators); neurologic/neurosurgical devices (e.g., ventricular peritoneal shunts, ventricular atrial shunts, nerve stimulator devices, dural patches and implants to prevent epidural fibrosis post-laminectomy, devices for continuous subarachnoid infusions); gastrointestinal devices (e.g., chronic indwelling catheters, feeding tubes, portosystemic shunts, shunts for ascites, peritoneal implants for drug delivery, peritoneal dialysis catheters, implantable meshes for hernias, suspensions or solid implants to prevent surgical adhesions, including meshes); genitourinary devices (e.g., uterine implants, including intrauterine devices (IUDs) and devices to prevent endometrial hyperplasia, fallopian tubal implants, including reversible sterilization devices, fallopian tubal stents, artificial sphincters and periurethral implants for incontinence, ureteric stents, chronic indwelling catheters, bladder augmentations, or wraps or splints for vasovasostomy); phthalmologic implants (e.g., multino implants and other implants for neovascular glaucoma, drug eluting contact lenses for pterygiums, splints for failed dacrocystalrhinostomy, drug eluting contact lenses for corneal neovascularity, implants for diabetic retinopathy, drug eluting contact lenses for high risk corneal transplants); otolaryngology devices (e.g., ossicular implants, Eustachian tube splints or stents for glue ear or chronic otitis as an alternative to transtempanic drains); plastic surgery implants (e.g., prevention of fibrous contracture in response to gel- or saline-containing breast implants in the subpectoral or subglandular approaches or post-mastectomy, or chin implants), and orthopedic implants (e.g., cemented orthopedic prostheses). Implants and other surgical or medical devices may be coated with (or otherwise adapted to release) compositions of the present invention in a variety of manners, including for example: (a) by directly affixing to the implant or device an inventive compound or composition (e.g., by either spraying the implant or device with a polymer/drug film, or by dipping the implant or device into a polymer/drug solution, or by other covalent or noncovalent means); (b) by coating the implant or device with a substance such as a hydrogel which will in turn absorb the inventive compound or composition; (c) by interweaving inventive compound- or composition-coated thread (or the polymer itself formed into a thread) into the implant or device; (d) by inserting the implant or device into a sleeve or mesh which is comprised of or coated with an inventive compound or composition; (e) constructing the implant or device itself with an inventive compound or composition; or (f) by otherwise adapting the implant or device to release the inventive compound. In certain embodiments, the composition should firmly adhere to the implant or device during storage and at the time of insertion. The inventive compound or composition should also preferably not degrade during storage, prior to insertion, or when warmed to body temperature after insertion inside the body (if this is required). In addition, it should preferably coat the implant or device smoothly and evenly, with a uniform distribution of inventive compound, while not changing the stent contour. Within preferred embodiments of the invention, the inventive implant or device should provide a uniform, predictable, prolonged release of the inventive compound or composition into the tissue surrounding the implant or device once it has been deployed. For vascular stents, in addition to the above properties, the composition should not render the stent thrombogenic (causing blood clots to form), or cause significant turbulence in blood flow (more than the stent itself would be expected to cause if it was uncoated). In the case of stents, a wide variety of stents may be developed to contain and/or release the inventive compounds or compositions provided herein, including esophageal stents, gastrointestinal stents, vascular stents, biliary stents, colonic stents, pancreatic stents, ureteric and urethral stents, lacrimal stents, Eustachian tube stents, fallopian tube stents and tracheal/bronchial stents (See, for example, U.S. Pat. No. 6,515,016, the entire contents of which are incorporated herein by reference). Stents may be readily obtained from commercial sources, or constructed in accordance with well-known techniques. Representative examples of stents include those described in U.S. Pat. No. 4,768,523, entitled “Hydrogel Adhesive”; U.S. Pat. No. 4,776,337, entitled “Expandable Intraluminal Graft, and Method and Apparatus for Implanting and Expandable Intraluminal Graft”; U.S. Pat. No. 5,041,126 entitled “Endovascular Stent and Delivery System”; U.S. Pat. No. 5,052,998 entitled “Indwelling Stent and Method of Use”; U.S. Pat. No. 5,064,435 entitled “Self-Expanding Prosthesis Having Stable Axial Length”; U.S. Pat. No. 5,089,606, entitled “Water-insoluble Polysaccharide Hydrogel Foam for Medical Applications”; U.S. Pat. No. 5,147,370, entitled “Nitinol Stent for Hollow Body Conduits”; U.S. Pat. No. 5,176,626, entitled “Indwelling Stent”; U.S. Pat. No. 5,213,580, entitled “Biodegradable Polymeric Endoluminal Sealing Process”; and U.S. Pat. No. 5,328,471, entitled “Method and Apparatus for Treatment of Focal Disease in Hollow Tubular Organs and Other Tissue Lumens.” As discussed above, the stent coated with (or otherwise adapted to release) compositions of the present invention may be used to eliminate a vascular obstruction and prevent restenosis or reduce the rate of restenosis. Within other aspects of the present invention, stents coated with (or otherwise adapted to release) compositions of the present invention are provided for expanding the lumen of a body passageway. Specifically, a stent having a generally tubular structure, and a surface coated with (or otherwise adapted to release) an inventive compound or composition may be inserted into the passageway, such that the passageway is expanded. In certain embodiments, the stent coated with (or otherwise adapted to release) compositions of the present invention may be used to eliminate a biliary, gastrointestinal, esophageal, tracheal/bronchial, urethral or vascular obstruction. In another aspect of the invention, methods for the treatment of immune disorders and cancer are provided comprising administering a therapeutically effective amount of a compound of formula (I), as described herein, to a subject in need thereof. In certain embodiments, the inventive compounds are useful for the treatment of rheumatoid arthritis, psoriasis, multiple sclerosis, asthma and cancer. It will be appreciated that the compounds and compositions, according to the method of the present invention, may be administered using any amount and any route of administration effective for the treatment of inflammatory disorders, including but not limited to rheumatoid arthritis, psoriasis, multiple sclerosis, asthma and cancer. Thus, the expression “effective amount” as used herein, refers to a sufficient amount of agent to inhibit the growth of tumor cells, or refers to a sufficient amount to reduce the effects of rheumatoid arthritis, psoriasis, asthma and cancer, (or any inflammatory response or disorder). The exact amount required will vary from subject to subject, depending on the species, age, and general condition of the subject, the severity of the diseases, the particular anticancer agent, its mode of administration, and the like. The compounds of the invention are preferably formulated in dosage unit form for ease of administration and uniformity of dosage. The expression “dosage unit form” as used herein refers to a physically discrete unit of therapeutic agent appropriate for the patient to be treated. It will be understood, however, that the total daily usage of the compounds and compositions of the present invention will be decided by the attending physician within the scope of sound medical judgment. The specific therapeutically effective dose level for any particular patient or organism will depend upon a variety of factors including the disorder being treated and the severity of the disorder; the activity of the specific compound employed; the specific composition employed; the age, body weight, general health, sex and diet of the patient; the time of administration, route of administration, and rate of excretion of the specific compound employed; the duration of the treatment; drugs used in combination or coincidental with the specific compound employed; and like factors well known in the medical arts (see, for example, Goodman and Gilman's, “The Pharmacological Basis of Therapeutics”, Tenth Edition, A. Gilman, J. Hardman and L. Limbird, eds., McGraw-Hill Press, 155-173, 2001, which is incorporated herein by reference in its entirety). In certain other embodiments, methods are provided for using the inventive implants and other surgical or medical devices coated with (or otherwise adapted to release) compounds and compositions of the present invention. In certain embodiments, methods are provided for preventing restenosis, comprising inserting a stent into an obstructed blood vessel, the stent having a generally tubular structure, the surface of the structure being coated with (or otherwise adapted to release) an inventive compound or composition, such that the obstruction is eliminated and the inventive compound or composition is delivered in amounts effective to prevent restenosis. In other embodiments, methods are provided for preventing restenosis, comprising inserting a stent into an obstructed blood vessel, the stent having a generally tubular structure, the surface of the structure being coated with (or otherwise adapted to release) an inventive compound or composition, such that the obstruction is eliminated and the inventive compound or composition is delivered in amounts effective to inhibit smooth muscle cell proliferation. Within other aspects of the present invention, methods are provided for expanding the lumen of a body passageway, comprising inserting a stent into the passageway, the stent having a generally tubular structure, the surface of the structure being coated with (or otherwise adapted to release) an inventive compound or composition, such that the passageway is expanded. In certain embodiments, the lumen of a body passageway is expanded in order to eliminate a biliary, gastrointestinal, esophageal, tracheal/bronchial, urethral and/or vascular obstruction. In certain embodiments, methods are provided for eliminating biliary obstructions, comprising inserting a biliary stent into a biliary passageway, the stent having a generally tubular structure, the surface of the structure being coated with (or otherwise adapted to release) an inventive compound or composition, such that the biliary obstruction is eliminated. Briefly, tumor overgrowth of the common bile duct results in progressive cholestatic jaundice which is incompatible with life. Generally, the biliary system which drains bile from the liver into the duodenum is most often obstructed by (1) a tumor composed of bile duct cells (cholangiocarcinoma), (2) a tumor which invades the bile duct (e.g., pancreatic carcinoma), or (3) a tumor which exerts extrinsic pressure and compresses the bile duct (e.g., enlarged lymph nodes). Both primary biliary tumors, as well as other tumors which cause compression of the biliary tree may be treated utilizing stents Implants and other surgical or medical devices may be coated with (or otherwise adapted to release) compositions of the present invention. One example of primary biliary tumors are adenocarcinomas (which are also called Klatskin tumors when found at the bifurcation of the common hepatic duct). These tumors are also referred to as biliary carcinomas, choledocholangiocarcinomas, or adenocarcinomas of the biliary system. Benign tumors which affect the bile duct (e.g., adenoma of the biliary system), and, in rare cases, squamous cell carcinomas of the bile duct and adenocarcinomas of the gallbladder, may also cause compression of the biliary tree and therefore, result in biliary obstruction. Compression of the biliary tree is most commonly due to tumors of the liver and pancreas which compress and therefore obstruct the ducts. Most of the tumors from the pancreas arise from cells of the pancreatic ducts. This is a highly fatal form of cancer (5% of all cancer deaths; 26,000 new cases per year in the U.S.) with an average of 6 months survival and a 1 year survival rate of only 10%. When these tumors are located in the head of the pancreas they frequently cause biliary obstruction, and this detracts significantly from the quality of life of the patient. While all types of pancreatic tumors are generally referred to as “carcinoma of the pancreas” there are histologic subtypes including: adenocarcinoma, adenosquamous carcinoma, cystadenocarcinoma, and acinar cell carcinoma. Hepatic tumors, as discussed above, may also cause compression of the biliary tree, and therefore cause obstruction of the biliary ducts. In certain embodiments, a biliary stent is first inserted into a biliary passageway in one of several ways: from the top end by inserting a needle through the abdominal wall and through the liver (a percutaneous transhepatic cholangiogram or “PTC”); from the bottom end by cannulating the bile duct through an endoscope inserted through the mouth, stomach, and duodenum (an endoscopic retrograde cholangiogram or “ERCP”); or by direct incision during a surgical procedure. In certain embodiments, a preinsertion examination, PTC, ERCP, or direct visualization at the time of surgery is performed to determine the appropriate position for stent insertion. A guidewire is then advanced through the lesion, and over this a delivery catheter is passed to allow the stent to be inserted in its collapsed form. If the diagnostic exam was a PTC, the guidewire and delivery catheter is inserted via the abdominal wall, while if the original exam was an ERCP the stent may be placed via the mouth. The stent is then positioned under radiologic, endoscopic, or direct visual control taking particular care to place it precisely across the narrowing in the bile duct. The delivery catheter is then removed leaving the stent standing as a scaffolding which holds the bile duct open. A further cholangiogram may be performed to document that the stent is appropriately positioned. In certain embodiments, methods are provided for eliminating esophageal obstructions, comprising inserting an esophageal stent into an esophagus, the stent having a generally tubular structure, the surface of the structure being coated with (or otherwise adapted to release) an inventive compound or composition, such that the esophageal obstruction is eliminated. Briefly, the esophagus is the hollow tube which transports food and liquids from the mouth to the stomach. Cancer of the esophagus or invasion by cancer arising in adjacent organs (e.g., cancer of the stomach or lung) results in the inability to swallow food or saliva. In certain embodiments, a preinsertion examination, usually a barium swallow or endoscopy is performed in order to determine the appropriate position for stent insertion. A catheter or endoscope may then be positioned through the mouth, and a guidewire is advanced through the blockage. A stent delivery catheter is passed over the guidewire under radiologic or endoscopic control, and a stent is placed precisely across the narrowing in the esophagus. A post-insertion examination, usually a barium swallow x-ray, may be utilized to confirm appropriate positioning. In certain embodiments, methods are provided for eliminating colonic obstructions, comprising inserting a colonic stent into a colon, the stent having a generally tubular structure, the surface of the structure being coated with (or otherwise adapted to release) an inventive compound or composition, such that the colonic obstruction is eliminated. Briefly, the colon is the hollow tube which transports digested food and waste materials from the small intestines to the anus. Cancer of the rectum and/or colon or invasion by cancer arising in adjacent organs (e.g., cancer of the uterus, ovary, bladder) results in the inability to eliminate feces from the bowel. In certain embodiments, a preinsertion examination, usually a barium enema or colonoscopy is performed in order to determine the appropriate position for stent insertion. A catheter or endoscope may then be positioned through the anus, and a guidewire is advanced through the blockage. A stent delivery catheter is passed over the guidewire under radiologic or endoscopic control, and a stent is placed precisely across the narrowing in the colon or rectum. A post-insertion examination, usually a barium enema x-ray, may be utilized to confirm appropriate positioning. In certain embodiments, methods are provided for eliminating tracheal/bronchial obstructions, comprising inserting a tracheal/bronchial stent into a trachea or bronchi, the stent having a generally tubular structure, the surface of the structure being coated with (or otherwise adapted to release) an inventive compound or composition, such that the tracheal/bronchial obstruction is eliminated. Briefly, the trachea and bronchi are tubes which carry air from the mouth and nose to the lungs. Blockage of the trachea by cancer, invasion by cancer arising in adjacent organs (e.g., cancer of the lung), or collapse of the trachea or bronchi due to chondromalacia (weakening of the cartilage rings) results in inability to breathe. In certain embodiments, preinsertion examination, usually an endoscopy, is performed in order to determine the appropriate position for stent insertion. A catheter or endoscope is then positioned through the mouth, and a guidewire advanced through the blockage. A delivery catheter is then passed over the guidewire in order to allow a collapsed stent to be inserted. The stent is placed under radiologic or endoscopic control in order to place it precisely across the narrowing. The delivery catheter may then be removed leaving the stent standing as a scaffold on its own. A post-insertion examination, usually a bronchoscopy may be utilized to confirm appropriate positioning. In certain embodiments, methods are provided for eliminating urethral obstructions, comprising inserting a urethral stent into a urethra, the stent having a generally tubular structure, the surface of the structure being coated with (or otherwise adapted to release) an inventive compound or composition, such that the urethral obstruction is eliminated. Briefly, the urethra is the tube which drains the bladder through the penis. Extrinsic narrowing of the urethra as it passes through the prostate, due to hypertrophy of the prostate, occurs in virtually every man over the age of 60 and causes progressive difficulty with urination. In certain embodiments, a preinsertion examination, usually an endoscopy or urethrogram is first performed in order to determine the appropriate position for stent insertion, which is above the external urinary sphincter at the lower end, and close to flush with the bladder neck at the upper end. An endoscope or catheter is then positioned through the penile opening and a guidewire advanced into the bladder. A delivery catheter is then passed over the guidewire in order to allow stent insertion. The delivery catheter is then removed, and the stent expanded into place. A post-insertion examination, usually endoscopy or retrograde urethrogram, may be utilized to confirm appropriate position. In certain embodiments, methods are provided for eliminating vascular obstructions, comprising inserting a vascular stent into a blood vessel, the stent having a generally tubular structure, the surface of the structure being coated with (or otherwise adapted to release) an inventive compound or composition, such that the vascular obstruction is eliminated. Briefly, stents may be placed in a wide array of blood vessels, both arteries and veins, to prevent recurrent stenosis at the site of failed angioplasties, to treat narrowings that would likely fail if treated with angioplasty, and to treat post-surgical narrowings (e.g., dialysis graft stenosis). Suitable sites include, but are not limited to, the iliac, renal, and coronary arteries, the superior vena cava, and in dialysis grafts. In certain embodiments, angiography is first performed in order to localize the site for placement of the stent. This is typically accomplished by injecting radiopaque contrast through a catheter inserted into an artery or vein as an x-ray is taken. A catheter may then be inserted either percutaneously or by surgery into the femoral artery, brachial artery, femoral vein, or brachial vein, and advanced into the appropriate blood vessel by steering it through the vascular system under fluoroscopic guidance. A stent may then be positioned across the vascular stenosis. A post-insertion angiogram may also be utilized in order to confirm appropriate positioning. In certain other embodiments, compounds of the invention are useful for reducing photodamage, and thus, the invention further provides a method for treating photoaging-related disorders/conditions. Photoaging is a term used to describe the changes in appearance and function of skin as a result of repeated exposure to sunlight. The ultraviolet (UV) component of sunlight, particularly middle UV (called UVB, 290-320 nm wavelength) is the principal causative agent of photoaging. The extent of UVB exposure required to cause photoaging is not currently known. Repeated exposure to UVB at levels that cause erythema and tanning are, however, commonly associated with photoaging. Clinically, photoaging is characterized by coarseness, wrinkling, mottled pigmentation, sallowness, laxity, telangiectasia, lentigines, purpura and easy bruising, atrophy, fibrotic depigmented areas, and ultimately premalignant and malignant neoplasms. Photoaging commonly occurs in skin that is habitually exposed to sunlight such as the face, ears, bald areas of the scalp, neck, and hands. Procedures for preventing photoaging of unaged skin and treating already photoaged skin are available. Sunscreens are commonly used to prevent photoaging of skin areas that are habitually exposed to sunlight. Sunscreens are topical preparations that absorb, reflect or scatter UV. Some are based on opaque particulate materials such as zinc oxide, titanium oxide, clays and ferric chloride. Because such preparations are visible and occlusive many people consider these opaque formulations cosmetically unacceptable. Other sunscreens contain chemicals such a p-aminobenzoic acid (PABA), oxybenzone, dioxybenzone, ethylhexyl-methoxy cinnamide and butylmethoxydibenzoylmethane that are nonopaque and colorless because they do not absorb light of visible wavelengths. While these nonopaque sunscreens may be more acceptable cosmetically they are still relatively short-lived and susceptible to being removed by washing or perspiration. Additionally all sunscreens reduce vitamin D production. It is known that transcription factors AP-1 and NF-κB are activated in mammalian cells exposed to UV light. It has also been shown that inhibition of MAP kinase/ERK kinase 1 (MEK-1) significantly inhibited UVB induced ERK activation (See, Chen et al., “Activation of p38 MAP kinase and ERK are required for ultraviolet-B induced c-fos gene expression in human keratinocytes”, Thus the invention provides compositions for preventing or treating UVB-induced photodamage comprising an inventive compound; and a pharmaceutically acceptable carrier. In certain embodiments, the inventive compound is present in an amount effective to inhibit Map/Erk kinase. In certain other embodiments, the inventive compositions further comprise a cosmetic ingredient. In certain exemplary embodiments, the cosmetic ingredient is a fragrance. In certain other exemplary embodiments, the cosmetic ingredient is a sunscreen. In certain embodiments, the inventive compositions exist as pharmaceutically acceptable topical formulations. The present invention additionally encompasses methods of providing protection against long-term UVB induced photodamage to a subject, said method comprising: administering to the subject in need thereof a composition comprising an inventive compound; and a pharmaceutically acceptable carrier or diluent. In certain embodiments, the composition is administered topically. The present invention additionally encompasses methods of providing protection against long-term UVB induced photodamage to a subject, said method comprising: providing the subject with a composition comprising an inventive compound; and providing the subject with instructions for using said composition to prevent photodamage. In certain embodiments, the composition is formulated so that it may be administered topically. In certain embodiments, the inventive compound is present in an amount effective to inhibit Map/Erk kinase. In certain embodiments, the instructions comprise directions to apply the composition to the skin prior to sun exposure. In certain exemplary embodiments, the composition further comprises a cosmetic ingredient. In certain exemplary embodiments, the cosmetic ingredient is a fragrance. In certain other exemplary embodiments, the cosmetic ingredient is a sunscreen. In certain embodiment, a method is provided for treating and/or preventing skin coarseness, wrinkling, mottled pigmentation, sallowness, laxity, telangiectasia, lentigines, purpura and easy bruising, atrophy, fibrotic depigmented areas, and ultimately premalignant and malignant neoplasms. In certain exemplary embodiments, the present invention provides a method for treating and/or preventing wrinkles and/or skin cancer. In certain embodiments, the present invention provides kits for preventing long-term UVB induced photodamage in a subject, said kit comprising: a composition comprising an inventive compound; and instructions for using the composition to prevent photodamage. In certain embodiments, the composition is formulated for topical administration. In certain embodiments, the inventive compound is present in an amount effective to inhibit Map/Erk kinase. In certain embodiments, the instructions comprise directions to apply the composition to the skin prior to sun exposure. In certain exemplary embodiments, the composition further comprises a cosmetic ingredient. In certain exemplary embodiments, the cosmetic ingredient is a fragrance. In certain other exemplary embodiments, the cosmetic ingredient is a sunscreen. Furthermore, after formulation with an appropriate pharmaceutically acceptable carrier in a desired dosage, the pharmaceutical compositions of this invention can be administered to humans and other animals orally, rectally, parenterally, intracisternally, intravaginally, intraperitoneally, topically (as by powders, ointments, creams or drops), bucally, as an oral or nasal spray, or the like, depending on the severity of the infection being treated. In certain embodiments, the compounds of the invention may be administered at dosage levels of about 0.001 mg/kg to about 50 mg/kg, from about 0.01 mg/kg to about 25 mg/kg, or from about 0.1 mg/kg to about 10 mg/kg of subject body weight per day, one or more times a day, to obtain the desired therapeutic effect. It will also be appreciated that dosages smaller than 0.001 mg/kg or greater than 50 mg/kg (for example 50-100 mg/kg) can be administered to a subject. In certain embodiments, compounds are administered orally or parenterally. Liquid dosage forms for oral administration include, but are not limited to, pharmaceutically acceptable emulsions, microemulsions, solutions, suspensions, syrups and elixirs. In addition to the active compounds, the liquid dosage forms may contain inert diluents commonly used in the art such as, for example, water or other solvents, solubilizing agents and emulsifiers such as ethyl alcohol, isopropyl alcohol, ethyl carbonate, ethyl acetate, benzyl alcohol, benzyl benzoate, propylene glycol, 1,3-butylene glycol, dimethylformamide, oils (in particular, cottonseed, groundnut, corn, germ, olive, castor, and sesame oils), glycerol, tetrahydrofurfuryl alcohol, polyethylene glycols and fatty acid esters of sorbitan, and mixtures thereof. Besides inert diluents, the oral compositions can also include adjuvants such as wetting agents, emulsifying and suspending agents, sweetening, flavoring, and perfuming agents. Injectable preparations, for example, sterile injectable aqueous or oleaginous suspensions may be formulated according to the known art using suitable dispersing or wetting agents and suspending agents. The sterile injectable preparation may also be a sterile injectable solution, suspension or emulsion in a nontoxic parenterally acceptable diluent or solvent, for example, as a solution in 1,3-butanediol. Among the acceptable vehicles and solvents that may be employed are water, Ringer's solution, U.S.P. and isotonic sodium chloride solution. In addition, sterile, fixed oils are conventionally employed as a solvent or suspending medium. For this purpose any bland fixed oil can be employed including synthetic mono- or diglycerides. In addition, fatty acids such as oleic acid are used in the preparation of injectables. The injectable formulations can be sterilized, for example, by filtration through a bacterial-retaining filter, or by incorporating sterilizing agents in the form of sterile solid compositions which can be dissolved or dispersed in sterile water or other sterile injectable medium prior to use. In order to prolong the effect of a drug, it is often desirable to slow the absorption of the drug from subcutaneous or intramuscular injection. This may be accomplished by the use of a liquid suspension or crystalline or amorphous material with poor water solubility. The rate of absorption of the drug then depends upon its rate of dissolution that, in turn, may depend upon crystal size and crystalline form. Alternatively, delayed absorption of a parenterally administered drug form is accomplished by dissolving or suspending the drug in an oil vehicle. Injectable depot forms are made by forming microencapsule matrices of the drug in biodegradable polymers such as polylactide-polyglycolide. Depending upon the ratio of drug to polymer and the nature of the particular polymer employed, the rate of drug release can be controlled. Examples of other biodegradable polymers include (poly(orthoesters) and poly(anhydrides). Depot injectable formulations are also prepared by entrapping the drug in liposomes or microemulsions, which are compatible with body tissues. Compositions for rectal or vaginal administration are preferably suppositories which can be prepared by mixing the compounds of this invention with suitable non-irritating excipients or carriers such as cocoa butter, polyethylene glycol or a suppository wax which are solid at ambient temperature but liquid at body temperature and therefore melt in the rectum or vaginal cavity and release the active compound. Solid dosage forms for oral administration include capsules, tablets, pills, powders, and granules. In such solid dosage forms, the active compound is mixed with at least one inert, pharmaceutically acceptable excipient or carrier such as sodium citrate or dicalcium phosphate and/or a) fillers or extenders such as starches, lactose, sucrose, glucose, mannitol, and silicic acid, b) binders such as, for example, carboxymethylcellulose, alginates, gelatin, polyvinylpyrrolidinone, sucrose, and acacia, c) humectants such as glycerol, d) disintegrating agents such as agar-agar, calcium carbonate, potato or tapioca starch, alginic acid, certain silicates, and sodium carbonate, e) solution retarding agents such as paraffin, f) absorption accelerators such as quaternary ammonium compounds, g) wetting agents such as, for example, cetyl alcohol and glycerol monostearate, h) absorbents such as kaolin and bentonite clay, and i) lubricants such as talc, calcium stearate, magnesium stearate, solid polyethylene glycols, sodium lauryl sulfate, and mixtures thereof. In the case of capsules, tablets and pills, the dosage form may also comprise buffering agents. Solid compositions of a similar type may also be employed as fillers in soft and hard-filled gelatin capsules using such excipients as lactose or milk sugar as well as high molecular weight polyethylene glycols and the like. The solid dosage forms of tablets, dragees, capsules, pills, and granules can be prepared with coatings and shells such as enteric coatings and other coatings well known in the pharmaceutical formulating art. They may optionally contain opacifying agents and can also be of a composition that they release the active ingredient(s) only, or preferentially, in a certain part of the intestinal tract, optionally, in a delayed manner. Examples of embedding compositions that can be used include polymeric substances and waxes. Solid compositions of a similar type may also be employed as fillers in soft and hard-filled gelatin capsules using such excipients as lactose or milk sugar as well as high molecular weight polethylene glycols and the like. The active compounds can also be in microencapsulated form with one or more excipients as noted above. The solid dosage forms of tablets, dragees, capsules, pills, and granules can be prepared with coatings and shells such as enteric coatings, release controlling coatings and other coatings well known in the pharmaceutical formulating art. In such solid dosage forms the active compound may be admixed with at least one inert diluent such as sucrose, lactose and starch. Such dosage forms may also comprise, as in normal practice, additional substances other than inert diluents, e.g., tableting lubricants and other tableting aids such as magnesium stearate and microcrystalline cellulose. In the case of capsules, tablets and pills, the dosage forms may also comprise buffering agents. They may optionally contain opacifying agents and can also be of a composition that they release the active ingredient(s) only, or preferentially, in a certain part of the intestinal tract, optionally, in a delayed manner. Examples of embedding compositions, which can be used, include polymeric substances and waxes. The present invention encompasses pharmaceutically acceptable topical formulations of inventive compounds. The term “pharmaceutically acceptable topical formulation”, as used herein, means any formulation which is pharmaceutically acceptable for intradermal administration of a compound of the invention by application of the formulation to the epidermis. In certain embodiments of the invention, the topical formulation comprises a carrier system. Pharmaceutically effective carriers include, but are not limited to, solvents (e.g., alcohols, poly alcohols, water), creams, lotions, ointments, oils, plasters, liposomes, powders, emulsions, microemulsions, and buffered solutions (e.g., hypotonic or buffered saline) or any other carrier known in the art for topically administering pharmaceuticals. A more complete listing of art-known carriers is provided by reference texts that are standard in the art, for example, Remington's Pharmaceutical Sciences, 16th Edition, 1980 and 17th Edition, 1985, both published by Mack Publishing Company, Easton, Pa., the disclosures of which are incorporated herein by reference in their entireties. In certain other embodiments, the topical formulations of the invention may comprise excipients. Any pharmaceutically acceptable excipient known in the art may be used to prepare the inventive pharmaceutically acceptable topical formulations. Examples of excipients that can be included in the topical formulations of the invention include, but are not limited to, preservatives, antioxidants, moisturizers, emollients, buffering agents, solubilizing agents, other penetration agents, skin protectants, surfactants, and propellants, and/or additional therapeutic agents used in combination to the inventive compound. Suitable preservatives include, but are not limited to, alcohols, quaternary amines, organic acids, parabens, and phenols. Suitable antioxidants include, but are not limited to, ascorbic acid and its esters, sodium bisulfite, butylated hydroxytoluene, butylated hydroxyanisole, tocopherols, and chelating agents like EDTA and citric acid. Suitable moisturizers include, but are not limited to, glycerine, sorbitol, polyethylene glycols, urea, and propylene glycol. Suitable buffering agents for use with the invention include, but are not limited to, citric, hydrochloric, and lactic acid buffers. Suitable solubilizing agents include, but are not limited to, quaternary ammonium chlorides, cyclodextrins, benzyl benzoate, lecithin, and polysorbates. Suitable skin protectants that can be used in the topical formulations of the invention include, but are not limited to, vitamin E oil, allatoin, dimethicone, glycerin, petrolatum, and zinc oxide. In certain embodiments, the pharmaceutically acceptable topical formulations of the invention comprise at least a compound of the invention and a penetration enhancing agent. The choice of topical formulation will depend or several factors, including the condition to be treated, the physicochemical characteristics of the inventive compound and other excipients present, their stability in the formulation, available manufacturing equipment, and costs constraints. As used herein the term “penetration enhancing agent” means an agent capable of transporting a pharmacologically active compound through the stratum corneum and into the epidermis or dermis, preferably, with little or no systemic absorption. A wide variety of compounds have been evaluated as to their effectiveness in enhancing the rate of penetration of drugs through the skin. See, for example, Percutaneous Penetration Enhancers, Maibach H. I. and Smith H. E. (eds.), CRC Press, Inc., Boca Raton, Fla. (1995), which surveys the use and testing of various skin penetration enhancers, and Buyuktimkin et al., Chemical Means of Transdermal Drug Permeation Enhancement in Transdermal and Topical Drug Delivery Systems, Gosh T. K., Pfister W. R., Yum S. I. (Eds.), Interpharm Press Inc., Buffalo Grove, Ill. (1997). In certain exemplary embodiments, penetration agents for use with the invention include, but are not limited to, triglycerides (e.g., soybean oil), aloe compositions (e.g., aloe-vera gel), ethyl alcohol, isopropyl alcohol, octolyphenylpolyethylene glycol, oleic acid, polyethylene glycol 400, propylene glycol, N-decylmethylsulfoxide, fatty acid esters (e.g., isopropyl myristate, methyl laurate, glycerol monooleate, and propylene glycol monooleate) and N-methylpyrrolidone. In certain embodiments, the compositions may be in the form of ointments, pastes, creams, lotions, gels, powders, solutions, sprays, inhalants or patches. In certain exemplary embodiments, formulations of the compositions according to the invention are creams, which may further contain saturated or unsaturated fatty acids such as stearic acid, palmitic acid, oleic acid, palmito-oleic acid, cetyl or oleyl alcohols, stearic acid being particularly preferred. Creams of the invention may also contain a non-ionic surfactant, for example, polyoxy-40-stearate. In certain embodiments, the active component is admixed under sterile conditions with a pharmaceutically acceptable carrier and any needed preservatives or buffers as may be required. Ophthalmic formulation, eardrops, and eye drops are also contemplated as being within the scope of this invention. Additionally, the present invention contemplates the use of transdermal patches, which have the added advantage of providing controlled delivery of a compound to the body. Such dosage forms are made by dissolving or dispensing the compound in the proper medium. As discussed above, penetration enhancing agents can also be used to increase the flux of the compound across the skin. The rate can be controlled by either providing a rate controlling membrane or by dispersing the compound in a polymer matrix or gel. In certain embodiments, after application of the topical formulation to the epidermis, the area may be covered with a dressing. The term “dressing”, as used herein, means a covering designed to protect a topically applied drug formulation. “Dressing” includes coverings such as a bandage, which may be porous or non-porous and various inert coverings, e.g., a plastic film wrap or other non-absorbent film. The term “dressing” also encompasses non-woven or woven coverings, particularly elastomeric coverings, which allow for heat and vapor transport. These dressings allow for cooling of the treated area, which provides for greater comfort. In certain exemplary embodiments, pharmaceutically acceptable topical formulations of the invention are contained in a patch that is applied adjacent to the area of skin to be treated. As used herein a “patch” comprises at least a topical formulation and a covering layer, such that, the patch can be placed over the area of skin to be treated. Preferably, but not necessarily, the patch is designed to maximize drug delivery through the stratum corneum and into the epidermis or dermis, reduce lag time, promote uniform absorption, and/or reduce mechanical rub-off. In certain embodiments, when the intended use comprises the treatment of a skin condition (e.g., psoriasis), the patch is designed to minimize absorption into the circulatory system. Preferably, the patch components resemble the viscoelastic properties of the skin and conform to the skin during movement to prevent undue shear and delamination. Advantages of a patch comprising the topical formulation of the invention over conventional methods of administration include (i) that the dose is controlled by the patch's surface area, (ii) constant rate of administration, (iii) longer duration of action (the ability of to adhere to the skin for 1, 3, 7 days or longer), (iv) improved patient compliance, (v) non-invasive dosing, and (vi) reversible action (i.e., the patch can simply be removed). In certain embodiments, a patch suitable for use with the invention contains at least: (1) a backing layer and (2) a carrier formulated with a compound of the invention. Examples of patch systems suitable for practicing the invention include, but are not limited to, matrix-type patches; reservoir-type patches; multi-laminate drug-in-adhesive-type patches; and monolithic drug-in-adhesive type-patch. See, for example Ghosh, T. K.; Pfister, W. R.; Yum, S. I. Transdermal and Topical Drug Delivery Systems, Interpharm Press, Inc. p. 249-297, which is incorporated herein by reference in its entirety. These patches are well known in the art and generally available commercially. The matrix patch comprises matrix containing an inventive compound, an adhesive backing film overlay, and preferably, but not necessarily, a release liner. In some cases, it may be necessary to include a impermeable layer to minimize drug migration into the backing film (e.g., U.S. Pat. No. 4,336,243, incorporated herein by reference). In certain embodiments, the matrix containing the inventive compound is held against the skin by the adhesive overlay. Examples of suitable matrix materials include but are not limited to lipophilic polymers, such as polyvinyl chloride, polydimethylsiloxane, and hydrophilic polymers like polyvinylpyrrolidone, polyvinyl alcohol, hydrogels based on gelatin, or polyvinylpyrrolidone/polyethylene oxide mixtures. Suitable release liners include but are not limited to occlusive, opaque, or clear polyester films with a thin coating of pressure sensitive release liner (e.g., silicone-fluorsilicone, and perfluorcarbon based polymers. The reservoir type patch design is characterized by a backing film coated with an adhesive, and a reservoir compartment comprising a drug formulation preferably, in the form of a solution or suspension, that is separated from the skin by a semipermeable membrane (e.g., U.S. Pat. No. 4,615,699, incorporated herein by reference). The adhesive coated backing layer extends around the reservoir's boundaries to provide a concentric seal with the skin and hold the reservoir adjacent to the skin. The monolithic drug-in-adhesive patch design is characterized by the inclusion of the drug formulation in the skin contacting adhesive layer, a backing film and preferably, a release liner. The adhesive functions both to release the compound and adhere the compound matrix to the skin. The drug-in-adhesive system does not require an adhesive overlay and thus the patch size is minimized. Also, drug-in-adhesive type patches are thin and comfortable (e.g., U.S. Pat. No. 4,751,087, incorporated herein by reference). The multi-laminate drug-in-adhesive patch design further incorporates an additional semi-permeable membrane between two distinct drug-in-adhesive layers or multiple drug-in-adhesive layers under a single backing film (Peterson, T. A. and Dreyer, S. J. Proceed. Intern. Symp. Control. Rel. Bioact. Mater. 21: 477-478, incorporated herein by reference). Semi permeable membranes, useful with the reservoir or multi-laminate patch, include thin non-porous ethylene vinyl acetate films or thin microporous films of polyethylene employed in microlaminate solid state reservoir patches. Adhesives for use with the drug-in-adhesive type patches are well known in the art and a pratitioner skilled in the relevant art would know how to select an adhesive suitable for the intended use. Examples of adhesives include, but are not limited to, polyisobutylenes, silicones, and acrylics. Preferably, adhesives can function under a wide range of conditions, such as, high and low humidity, bathing, sweating etc. Preferably the adhesive is a composition based on natural or synthetic rubber; a polyacrylate such as, polybutylacrylate, polymethylacrylate, poly-2-ethylhexyl acrylate; polyvinylacetate; polydimethylsiloxane; pressure sensitive acrylic adhesives, for example Durotak® adhesives (e.g., Durotak® 2052, National Starch and Chemicals) or hydrogels (e.g., high molecular weight polyvinylpyrrolidone and oligomeric polyethylene oxide). The adhesive may contain a thickener, such as a silica thickener (e.g., Aerosil, Degussa, Ridgefield Park, N.J.) or a crosslinker such as, aluminumacetylacetonate. Backing films may be occlusive or permeable and may be derived from synthetic polymers like polyolefin oils polyester, polyethylene, polyvinylidine chloride, and polyurethane or from natural materials like cotton, wool, etc. Occlusive backing films, such as synthetic polyesters, result in hydration of the outer layers of the stratum corneum while non-occlusive backings allow the area to breath (i.e., promote water vapor transmission from the skin surface). Selection of the appropriate dosage for the application site is an important consideration. The rate of compound intradermal administration from the topical formulation or patch is a function of skin permeability, and skin permeability has been shown to vary between anatomical sites depending on the thickness of the stratum corneum. For example, the permeability, in general, increases in order from planter foot arch, lateral ankle, palm, ventral forearm, dorsal forearm, back, chest, thigh, abdomen, scalp, axilla, forehead, and scrotum (Wester, R. C. and Maibach, H. I. (1989) Regional variation in Percutaneous Absorption: In Percutaneous Absorption, Mechanism, Methodology, Drug Delivery, 2nd ed., Eds. R. L. Bronaugh and H. I. Maibach, Marcel Dekker, Inc., New York, pp. 111-119 (incorporated herein by reference)). Typically, the dosages and dosing frequency will be determined by a trained medical professional. It will also be appreciated that the compounds and pharmaceutical compositions of the present invention can be formulated and employed in combination therapies, that is, the compounds and pharmaceutical compositions can be formulated with or administered concurrently with, prior to, or subsequent to, one or more other desired therapeutics or medical procedures. The particular combination of therapies (therapeutics or procedures) to employ in a combination regimen will take into account compatibility of the desired therapeutics and/or procedures and the desired therapeutic effect to be achieved. It will also be appreciated that the therapies employed may achieve a desired effect for the same disorder (for example, an inventive compound may be administered concurrently with another immunomodulatory agent, anticancer agent or agent useful for the treatment of psoriasis), or they may achieve different effects (e.g., control of any adverse effects). For example, other therapies or anticancer agents that may be used in combination with the inventive compounds of the present invention include surgery, radiotherapy (in but a few examples, γ-radiation, neutron beam radiotherapy, electron beam radiotherapy, proton therapy, brachytherapy, and systemic radioactive isotopes, to name a few), endocrine therapy, biologic response modifiers (interferons, interleukins, and tumor necrosis factor (TNF) to name a few), hyperthermia and cryotherapy, agents to attenuate any adverse effects (e.g., antiemetics), and other approved chemotherapeutic drugs, including, but not limited to, alkylating drugs (mechlorethamine, chlorambucil, Cyclophosphamide, Melphalan, Ifosfamide), antimetabolites (Methotrexate), purine antagonists and pyrimidine antagonists (6-Mercaptopurine, 5-Fluorouracil, Cytarabile, Gemcitabine), spindle poisons (Vinblastine, Vincristine, Vinorelbine, Paclitaxel), podophyllotoxins (Etoposide, Irinotecan, Topotecan), antibiotics (Doxorubicin, Bleomycin, Mitomycin), nitrosoureas (Carmustine, Lomustine), inorganic ions (Cisplatin, Carboplatin), enzymes (Asparaginase), and hormones (Tamoxifen, Leuprolide, Flutamide, and Megestrol), to name a few. For a more comprehensive discussion of updated cancer therapies see, The Merck Manual, Seventeenth Ed. 1999, the entire contents of which are hereby incorporated by reference. See also the National Cancer Institute (CNI) website (www.nci.nih.gov) and the Food and Drug Administration (FDA) website for a list of the FDA approved oncology drugs (www.fda.gov/cder/cancer/druglistframe—See Appendix A). In certain embodiments, the pharmaceutical compositions of the present invention further comprise one or more additional therapeutically active ingredients (e.g., chemotherapeutic and/or palliative). For purposes of the invention, the term “Palliative” refers to treatment that is focused on the relief of symptoms of a disease and/or side effects of a therapeutic regimen, but is not curative. For example, palliative treatment encompasses painkillers, antinausea medications and anti-sickness drugs. In addition, chemotherapy, radiotherapy and surgery can all be used palliatively (that is, to reduce symptoms without going for cure; e.g., for shrinking tumors and reducing pressure, bleeding, pain and other symptoms of cancer). In certain embodiments, compounds of the invention are useful for the treatment of psoriasis and pharmaceutical compositions containing them may be administered in combination with any of the antipsoriatic therapies or therapeutic agents known in the art. For example, therapies or antipsoriatic agents that may be used in combination with the inventive compounds of the present invention include Ultraviolet light treatment (e.g., sunlight), lubricants, keratolytics, emollients (e.g., Aqueous Cream, E45, and Emulsifying ointment), ammoniated mercury, topical vitamin D analogs (e.g., Calcipotriol (Dovonex), Tacalcitol (Curatoderm)), dithranol (e.g., Dithrocream and Miconal), tar (e.g., Alphosyl, anthralin), topical steroids (e.g., corticosteroids, halobetasol), topical retinoids (e.g., zorac, Tazarotene), systemic antimetabolites (e.g., oral methotrexate), immunosuppressive drugs (e.g., oral cyclosporine, tacrolimus, mycophenolate, and mofetil) and oral retinoids (e.g., acitretin). In other embodiments, the present invention relates to a kit for conveniently and effectively carrying out the methods in accordance with the present invention. In general, the pharmaceutical pack or kit comprises one or more containers filled with one or more of the ingredients of the pharmaceutical compositions of the invention. Such kits are especially suited for the delivery of solid oral forms such as tablets or capsules. Such a kit preferably includes a number of unit dosages, and may also include a card having the dosages oriented in the order of their intended use. If desired, a memory aid can be provided, for example in the form of numbers, letters, or other markings or with a calendar insert, designating the days in the treatment schedule in which the dosages can be administered. Alternatively, placebo dosages, or calcium dietary supplements, either in a form similar to or distinct from the dosages of the pharmaceutical compositions, can be included to provide a kit in which a dosage is taken every day. Optionally associated with such container(s) can be a notice in the form prescribed by a governmental agency regulating the manufacture, use or sale of pharmaceutical products, which notice reflects approval by the agency of manufacture, use or sale for human administration. The representative examples that follow are intended to help illustrate the invention, and are not intended to, nor should they be construed to, limit the scope of the invention. Indeed, various modifications of the invention and many further embodiments thereof, in addition to those shown and described herein, will become apparent to those skilled in the art from the full contents of this document, including the examples which follow and the references to the scientific and patent literature cited herein. It should further be appreciated that the contents of those cited references are incorporated herein by reference to help illustrate the state of the art. The following examples contain important additional information, exemplification and guidance that can be adapted to the practice of this invention in its various embodiments and the equivalents thereof. The compounds of this invention and their preparation can be understood further by the examples that illustrate some of the processes by which these compounds are prepared or used. It will be appreciated, however, that these examples do not limit the invention. Variations of the invention, now known or further developed, are considered to fall within the scope of the present invention as described herein and as hereinafter claimed. 1) General Description of Synthetic Methods: The practitioner has a a well-established literature of macrolide chemistry to draw upon, in combination with the information contained herein, for guidance on synthetic strategies, protecting groups, and other materials and methods useful for the synthesis of the compounds of this invention. The various references cited herein provide helpful background information on preparing compounds similar to the inventive compounds described herein or relevant intermediates, as well as information on formulation, uses, and administration of such compounds which may be of interest. Moreover, the practitioner is directed to the specific guidance and examples provided in this document relating to various exemplary compounds and intermediates thereof. The compounds of this invention and their preparation can be understood further by the examples that illustrate some of the processes by which these compounds are prepared or used. It will be appreciated, however, that these examples do not limit the invention. Variations of the invention, now known or further developed, are considered to fall within the scope of the present invention as described herein and as hereinafter claimed. According to the present invention, any available techniques can be used to make or prepare the inventive compounds or compositions including them. For example, a variety of solution phase synthetic methods such as those discussed in detail below may be used. Alternatively or additionally, the inventive compounds may be prepared using any of a variety combinatorial techniques, parallel synthesis and/or solid phase synthetic methods known in the art. It will be appreciated as described below, that a variety of inventive compounds can be synthesized according to the methods described herein. The starting materials and reagents used in preparing these compounds are either available from commercial suppliers such as Aldrich Chemical Company (Milwaukee, Wis.), Bachem (Torrance, Calif.), Sigma (St. Louis, Mo.), or are prepared by methods well known to a person of ordinary skill in the art following procedures described in such references as Fieser and Fieser 1991, “Reagents for Organic Synthesis”, vols 1-17, John Wiley and Sons, New York, N.Y., 1991; Rodd 1989 “Chemistry of Carbon Compounds”, vols. 1-5 and supps, Elsevier Science Publishers, 1989; “Organic Reactions”, vols 1-40, John Wiley and Sons, New York, N.Y., 1991; March 2001, “Advanced Organic Chemistry”, 5th ed. John Wiley and Sons, New York, N.Y.; and Larock 1990, “Comprehensive Organic Transformations: A Guide to Functional Group Preparations”, 2nd ed. VCH Publishers. These schemes are merely illustrative of some methods by which the compounds of this invention can be synthesized, and various modifications to these schemes can be made and will be suggested to a person of ordinary skill in the art having regard to this disclosure. The starting materials, intermediates, and compounds of this invention may be isolated and purified using conventional techniques, including filtration, distillation, crystallization, chromatography, and the like. They may be characterized using conventional methods, including physical constants and spectral data. Certain exemplary compounds of the invention are listed below and are referred to by compound number as indicated. General Reaction Procedures: Unless mentioned specifically, reaction mixtures were stirred using a magnetically driven stirrer bar. An inert atmosphere refers to either dry argon or dry nitrogen. Reactions were monitored either by thin layer chromatography, by proton nuclear magnetic resonance (NMR) or by high-pressure liquid chromatography (HPLC), of a suitably worked up sample of the reaction mixture. Listed below are abbreviations used for some common organic reagents referred to herein: m-CPBA: meta-chloroperbenzoic acid DDQ: 2,3-Dichloro-5,6-dicyano-1,4-benzoquinone DEAD Diethyl azodicarboxylate DIBAL-H: Diisobutyl aluminum hydride DMAP: N,N-Dimethylaminopyridine DMF: N,N-Dimethylformamide HMPA: Hexamethylphosphoramide LDA: Lithium diisopropyl amide LiHMDS: Lithium bis(trimethylsilyl) amide PCC: Pyridinium chlorochromate TBAF: Tetrabutylammonium fluoride THF: Tetrahydrofuran General Work Up Procedures: Unless mentioned specifically, reaction mixtures were cooled to room temperature or below then quenched, when necessary, with either water or a saturated aqueous solution of ammonium chloride. Desired products were extracted by partitioning between water and a suitable water-immiscible solvent (e.g. ethyl acetate, dichloromethane, diethyl ether). The desired product containing extracts were washed appropriately with water followed by a saturated solution of brine. On occasions where the product containing extract was deemed to contain residual oxidants, the extract was washed with a 10% solution of sodium sulphite in saturated aqueous sodium bicarbonate solution, prior to the aforementioned washing procedure. On occasions where the product containing extract was deemed to contain residual acids, the extract was washed with saturated aqueous sodium bicarbonate solution, prior to the aforementioned washing procedure (except in those cases where the desired product itself had acidic character). On occasions where the product containing extract was deemed to contain residual bases, the extract was washed with 10% aqueous citric acid solution, prior to the aforementioned washing procedure (except in those cases where the desired product itself had basic character). Post washing, the desired product containing extracts were dried over anhydrous magnesium sulphate, and then filtered. The crude products were then isolated by removal of solvent(s) by rotary evaporation under reduced pressure, at an appropriate temperature (generally less than 45° C.). On occasions where triphenylphosphine oxide was a major byproduct of the reaction, the reaction mixture was added directly to a large volume of well-stirred hexane. The resultant precipitate of triphenylphosphine oxide was removed by filtration and the filtrate processed in the usual manner. General Purification Procedures: Unless mentioned specifically, chromatographic purification refers to flash column chromatography on silica, using a single solvent or mixed solvent as eluent. Suitably purified desired product containing elutes were combined and concentrated under reduced pressure at an appropriate temperature (generally less than 45° C.) to constant mass. Final compounds were dissolved in 50% aqueous acetonitrile, filtered and transferred to vials, then freeze-dried under high vacuum before submission for biological testing. Synthesis for Commonly Used Intermediates: Starting material (50.0 g, 0.27 mol) was dissolved in 650 mL of THF at 0° C. Triphenylphosphine (93.6 g, 0.35 mol) was added, followed by methanol (12.2 mL, 0.30 mol) and diethyl azodicarboxylate (56.2 ml, 0.35 mol). After stirring at 0° C. for 1.5 h, the reaction mixture was concentrated, redissolved in diethyl ether, washed with 1N sodium hydroxide solution. The aqueous layer was acidified with concentrated hydrochloric acid and extracted with diethyl ether. After purification on silica gel column, 42.0 g of 509-HD-207 was obtained as a pale yellow solid in 78% yield. To the reaction flask containing NaH (95%, 14.5 g, 0.57 mol) in 1 L of THF at 0° C. was added 509-HD-207 (75.0 g, 0.38 mol) in 0.5 L of THF. After stirred for 0.5 h, chloromethyl methyl ether (43.6 mL, 0.57 mol) was added. After stirred at 0° C. for 1 h, it was warmed up to room temperature. The reaction was quenched with water and extracted with pentane. After purification on silica gel column, 83 g of 509-HD-209 was obtained as colorless oil in 92% yield. Diisopropyl amine (68.1 mL, 486 mol) was dissolved in 1 L of THF at 0° C. n-BuLi (2.5 M, 207 mL) was added. The solution was stirred for 20 min, and then cooled down to −78° C. The solution of 509-HD-209 (77.8 g, 324 mol) in 250 mL of THF was added slowly. 1 h later the solution of diphenyl diselenide (85.9 g, 275 mol) in 250 ml of THF was added. After stirring at −78° C. for 1 h, the reaction was quenched with saturated ammonium chloride solution, and extracted with diethyl ether. After purification on silica gel column, 90.2 g of 509-HD-211 was obtained as pale yellow oil in 68% yield. 509-HD-211 (90.2 g, 228 mmol) was dissolved in 500 mL of ethanol. Sodium hydroxide solution (1N, 456 mL) was added. The resulting solution was heated under reflux for 12 h. The reaction mixture was acidified with 1N hydrochloric acid, extracted with diethyl ether and concentrated, giving 84.6 g of 509-HD-212 as a pale yellow solid in 97% yield. 509-HD-212 (84.6 g, 222 mmol) and triphenylphosphine (75.7 g, 289 mmol) was dissolved in a mixture of 500 mL of diethyl ether and 125 mL of toluene at 0° C. 2-(trimethylsilyl)ethanol (38.2 mL, 266 mmol) and diethyl azodicarboxylate (45.4 mL, 289 mmol) were added respectively. After stirred for 10 min, it was warmed up to room temperature. Large amount of pentane was added to precipitate the solid. After filtration, the crude product was purified on silica gel column and 80.0 g of 509-HD-213 was obtained as pale yellow oil in 75% yield. To a solution of starting material (157 g, 0.86 mol) in 1.6 L of toluene (slightly cloudy), TMS-ethanol (150 g, 1.27 mol, 1.48 eq.), and PPh3 (440 g, 1.68 mol, 1.95 eq.) were added. After cooled to 0° C., DEAD (725 mL of 40% solution, 1.29 mol, 1.5 eq.) was slowly added by dropping funnel while maintaining internal temp below 10° C. in three hours. After stirred at rt for 48 h, it was poured into a rapid stirred solution of hexanes (12 L). The solid was filtered through a celite pad and the pad was washed with 1 L of hexanes. The filtrates were combined and concentrated to give the crude product as brown oil. The oil was purified on silica gel with hexanes/EtOAc (15:1, 10:1, 6:1) to give 140 g of product as an off white solid. The phenol (140 g, 0.49 mol) was dissolved in 400 mL of CH2Cl2, DBU (135.5 mL, 0.91 mol, 1.85 eq.) was added. After cooled to 0° C., MOMCl (66 mL, 0.87 mol, 1.78 eq.) was added. After stirred at rt for 24 h, it was quenched with Sat. NH4Cl, extracted with EtOAc. The organic layer was washed with brine, dried and concentrated to dryness. The crude product was purified on column with hexanes/EtOAc, 10:1, 6:1 to give 132 g of desired product (82% in yield). To a solution of diisopropylamine (143.6 mL, 1.02 mol, 2.3 eq.) in 320 mL of THF, n-BuLi (422.6 mL, 2.5 M) was added at 0° C. by addition funnel, while controlling the internal temperature around 5° C. After 5 min at that temperature, the reaction was cooled to −78° C. A solution of starting material (145 g, 0.44 mol) in 475 mL of THF was added by addition funnel while internal temperature controlled at or below −70° C. After addition, it was stirred at −70° C. for 30 min. Then at that temperature, a solution of PhSe2 (140 g, 0.45 mol, 1 eq.) in 400 mL of THF was added by addition funnel. After addition, it was stirred at −78° C. for 45 min. The reaction was quenched with sat. NH4Cl, diluted with EtOAc. It was warmed to rt. The organic layer was washed with brine, dried and concentrated to dryness. The crude product was used without purification for next step. The crude product from last step was dissolved in 300 mL of EtOH. Then 300 mL of 1N NaOH was added. The reaction was heated at 80° C. overnight. After cooled, it was transferred to a separatory funnel and washed with hexanes. The aq. Layer was acidified at 0° C. with 1N HCl to pH=3. Then it was extracted with EtOAc (3×). The combined organic layers were washed with brine, dried and concentrated to dryness. The crude acid was used for next step without purification. The esterification was run according to the first step using DEAD (200 g), PPh3 (330 g) and TMS-ethanol (150 g) in 1.4 L of toluene to give 145 g of product after column chromatography. Other C14-substitutions aromatic pieces such as methyl, ethyl, Benzyl, PMB (MPM) etc. were made in analogues manner by substituting the first step with corresponding alcohols such as methanol, ethanol, benzyl alcohol, or PMB alcohol etc. To a stirring solution of diisopropylamine (2 eq., 366 mmol, 51.3 mL) in dry THF (200 mL) at −78° C. was added slowly a 1.6 M solution of n-BuLi (2 eq., 366 mmol, 230 mL) over a period of 20 min. The reaction mixture was warmed to 0° C. and allowed to stir for 45 min after which the solution was cooled back to −78° C. Then, a solution of methyl-3-hydroxybutyrate (21.6 g, 183 mmol) in dry THF (100 mL) was added slowly over a period of 20 min after which neat MeI (5 eq, 915 mmol, 57 mL) was added over a period of 5 min. The reaction mixture was allowed to stir for 10 min at −78° C. then warmed to rt, and stirred for 2 h. The reaction was quenched with a saturated solution of NH4Cl (350 mL), extracted with Et2O (3×400 mL), the combined organic extracts were washed with a saturated solution of NH4Cl (350 mL), water (2×450 mL), brine (450 mL), dried with K2CO3, filtered and concentrated. The crude alcohol 555-RB-224 was dissolved in dry DMF (100 mL), imidazole (2.5 eq, 363 mmol, 24.7 g) was added and the mixture was cooled to 0° C. in ice/water bath. Then TBSCl (1.2 eq, 33.0 mmol, 5 g) was added, the mixture was allowed to warm slowly to rt and stirred for 16 h after which a saturated solution of NaHCO3 (250 mL) was added. The mixture was extracted with Et2O (3×250 mL) and the combined organic extracts were washed with a saturated solution of NaHCO3 (350 mL), water (3×350 mL), brine (350 mL), dried with Na2SO4, filtered and concentrated. The crude product was purified by chromatography on silica gel using 5% EtOAc/hexane to give 31.7 g (129 mmol, 70% 2 steps) of the protected compound 554-RB-225. In a 5 L three neck flask equipped with mechanical stirring was placed 554-RB-225 (221 mmol, 54.5 g) dissolved in toluene (750 mL). The mixture was cooled to −78° C. and DIBAL-H (1M in toluene, 2.5 eq., 553 mmol, 553 mL) was added slowly. The mixture was allowed to stir at −78° C. for 15 min after which it was warmed to 0° C. and stirred for 2 h. Reaction was quenched with MeOH (10 eq., 2.2 mol, 89 mL) at −78° C. and allowed to warm to rt, Et2O (2.5 L) and a saturated solution of Na2SO4 (1 L) were added and the solution was stirred overnight. Mixture was filtered through celite and the solid was washed with Et2O (2×1 L). The filtrate was concentrated under reduced pressure and the resulting residue was purified by chromatography on silica gel using 10-15% EtOAc/hexane to give 40.6 g (186 mmol, 76%) of alcohol 554-RB-227. To a solution of oxalyl chloride (2 eq., 372 mmol, 33.0 mL) in CH2Cl2 (800 mL), DMSO (4 eq., 744 mmol, 53.0 mL) was added at −78° C. After 30 min at −78° C., a solution of alcohol 554-RB-227 (186 mmol, 40.6 g) in CH2Cl2 (200 mL) was added over a period of 15 min. After 50 min at −78° C., Et3N (4 eq., 744 mmol, 104 mL) was added and the reaction was warmed to 0° C. and stirred for 45 min. It was quenched with a saturated solution of NH4Cl (500 mL), extracted with EtOAc (1×2 L, 2×400 mL). The combined organic layers were dried with Na2SO4, filtered and concentrated. The crude aldehyde was filtered through a short silica gel column with 10% EtOAc/hexane. To a solution of PPh3 (3 eq., 558 mmol, 146 g) in CH2Cl2 (2 L), CBr4 (1.5 eq., 279 mmol, 92.5 g) was added at 0° C. Then, a solution of aldehyde and Et3N (1 eq., 186 mmol, 26 mL) in CH2Cl2 (200 mL) was added. The solution was stirred under nitrogen at rt for one hour after which the mixture was concentrated under reduced pressure. The residue was dissolved in CH2Cl2, poured into hexane (2.5 L) and stirred. The precipitate was filtered through celite and the filtrate was concentrated. Purification by chromatography on silica gel using CH2Cl2 as eluent gave 62.9 g (169 mmol, 91% 2 steps) of 554-RB-228. A 5 L, 3-neck flask was equipped with mechanical stirring, cooling bath and flushed with nitrogen. Then, a solution of alcohol 491-HAD-46 (202 mmol, 52.5 g) and MPMOTCI (2 eq., 404 mmol, 115.5 g) in Et2O (1 L) was added to the flask and cooled to 0° C. A solution of TfOH (1.5 mL) in Et2O (120 mL) was added slowly with a syringe pump over a period of 50 min. Then, a saturated solution of NaHCO3 (500 mL) was added, the mixture was extracted with Et2O (2×700 mL); the combined organic extracts were washed with brine (2×1 L), dried over Na2SO4 and concentrated. The residue was dissolved in CH2Cl2, poured in hexane (2.5 L), the precipitated was filtered through celite and the filtrate was concentrated under reduced pressure. The crude material was purified by chromatography on silica gel using 5-10% EtOAc/hexane as eluent to give 57.3 g (151 mmol, 75%) of the protected alcohol 554-RB-235. In a 3 L, three neck flask equipped with mechanical stirring was placed 554-RB-235 (151 mmol, 57.3 g) dissolved in toluene (750 mL). The mixture was cooled to −78° C. and DIBAL-H (1M in toluene, 2.65 eq., 400 mmol, 400 mL) was added slowly. The mixture was allowed to stir at −78° C. for 10 min after which it was warmed to 0° C. and stirred for 20 min. Reaction was quenched with MeOH (10 eq., 1.5 mol, 61 mL) at −78° C. and allowed to warm to rt. Et2O (2.5 L) and a saturated solution of Na2SO4 (1 L) were added and the solution was stirred overnight. Mixture was filtered through celite and the solid was washed with Et2O (2×1 L). The filtrate was concentrated under reduced pressure and the resulting residue was purified by chromatography on silica gel using 20-40% EtOAc/hexane to give 27 g (91 mmol, 60%) of alcohol 554-RB-237. To a solution of oxalyl chloride (2 eq., 202 mmol, 18 mL) in CH2Cl2 (650 mL), DMSO (4 eq., 404 mmol, 29 mL) was added at −78° C. After 30 min at −78° C., a solution of alcohol 554-RB-237 (101 mmol, 30 g) in CH2Cl2 (100 mL) was added over a period of 30 min. After 45 min at −78° C., Et3N (4 eq., 404 mmol, 56 mL) was added and the reaction was warmed to 0° C. and stirred for 45 min. It was quenched with a saturated solution of NH4Cl (250 mL), extracted with EtOAc (1×2 L, 2×250 mL). The combined organic layers were dried with Na2SO4, filtered and concentrated. The crude aldehyde was purified by chromatography on silica gel with 10% EtOAc/hexane to give 27 g (91.7 mmol, 91%) of aldehyde 554-RB-238. Dibromoolefin 554-RB-228 (1.5 eq., 138 mmol, 51.2 g) was dissolved in THF (1 L) and cooled to −78° C., under nitrogen. Then, n-BuLi (1.6M/hexane, 3.3 eq., 302 mmol, 189 mL) was added and the reaction was stirred at −78° C. for 40 min, at 0° C. for 30 min, then cooled back to −78° C. Aldehyde 554-RB-238 (91.7 mmol, 27.0 g) dissolved in THF (200 mL) was added to the solution and stirred for 30 min at −78° C. The solution was allowed to warm to rt and was stirred for 1.5 hrs. The mixture was quenched with water (700 mL), extracted with EtOAc (3×750 mL) and the combined organic extracts were washed with brine (1 L), dried with Na2SO4, filtered and concentrated. The residue was purified by chromatography on silica gel using 10-30% EtOAc/hexane to give 43.7 g (86 mmol, 94%) of 554-RB-240. 554-RB-240 (86 mmol, 43.7 g) was dissolved in hexane (1 L). Then, quinoline (1 mL) and Lindlar catalyst (10 g) were added. H2 balloon was mounted and the mixture was purged 5× with H2. Reaction was stirred under hydrogen. After 13 hrs, 17 hrs, 22 hrs, and 38 hrs, catalyst was filtered and new catalyst (10 g) and quinoline (1 mL) were added each time. After 42 hrs, reaction was stopped, catalyst was filtered through celite and mixture was concentrated under reduced pressure. Then, crude 554-RB-241 was dissolved in CH2Cl2 (700 mL), Et3N (3.75 eq., 323 mmol, 45 mL), BzCl (3 eq., 258 mmol, 30 mL) and DMAP (0.075 eq., 6.45 mmol, 788 mg) were added and the mixture was stirred for 96 hrs at rt under nitrogen. The mixture was diluted with EtOAc (2 L) and a 0.1N solution of NaOH (800 mL). Organic layer was separated and the aqueous phase was extracted with EtOAc (2×500 mL). The organic combined extracts were washed with a 0.2N solution of NaOH (5×500 mL), brine, dried with Na2SO4, filtered and concentrated. The crude compound was filtered through a silica gel column with 5% EtOAc/hexane to give a quantitative yield of protected compound 554-RB-242. 554-RB-242 was dissolved in CH2Cl2 (500 mL), H2O (250 mL) and DDQ (1.1 eq., 94.6 mmol, 21.3 g) were added and the mixture was stirred vigorously at rt for 4 hrs. The mixture was quenched with a 0.2N solution of NaOH (500 mL) and diluted with EtOAc (2 L). The organic layer was separated and the aqueous phase was back extracted with EtOAc (2×500 mL). The combined organic layers were washed with a 0.2N solution of NaOH (3×700 mL), brine (700 mL), dried with Na2SO4, filtered and concentrated. The crude residue was purified by chromatography on silica gel using 10% EtOAc/hexane to give 39.9 g (81 mmol, 94% 3 steps from acetylene) of free alcohol 554-RB-244. To a solution of 554-RB-244 (6.09 mmol, 3.0 g) in toluene (100 mL), Ph3P (1.7 eq., 10.4 mmol, 2.71 g) was added at rt. Then, CH3I (1.3 eq., 7.92 mmol, 0.49 mL) and DEAD (1.1 eq., 6.70 mmol, 1.45 mL) were added at the same time. The mixture was stirred for 1.5 hrs at rt after which it was poured in hexane and stirred for 10 min. The precipitate was filtered and the filtrate was concentrated. The residue was purified by chromatography on silica gel using 5% EtOAc/hexane to give 3.40 g (5.64 mmol, 93%) of iodide 554-RB-260. Preparation of C4-H Series Acyclic Segment: To a solution of 531-YW-2-3 (7.5 g) in 20 mL of DMF, imidazole (5 g) and TBDPSCl (8.4 g) were added. During the addition exotherm was observed. After 3 h, it was diluted with EtOAc, washed with aq. Sat. NH4Cl and brine. After drying and filtration, it was concentrated. The crude product was purified on silica gel with Hexanes/EtOAc, 20:1, and 10:1 to give 11.0 g of desired product. The product was dissolved in 200 mL of THF. LAH (1.4 g) was added at 0° C. After 10 min at 0° C., it was quenched with water, 1N NaOH. The mixture was stirred at rt for 1 h. Then it was filtered. The combined filtrates were concentrated to dryness. The crude product was purified on silica gel with Hexanes/EtOAc, 10:1, 4:1, and 2:1 to give 9.0 g of desired product with satisfactory 1H NMR spectra, 343-YW-275. To a solution of commercial available (s)-3-hydroxy butanol (10 g, Aldrich) in 50 mL of DMF, TsOH (20 mg, catalytic) and MeOPhCH(OMe)2 (24 g) were added. After 3 h at 35° C. on a rotovap with slight vacuum, it was cooled and quenched with aq. Sat. NaHCO3. The mixture was extracted with EtOAc (3×). The organic layers were washed with brine (2×), dried and concentrated. The crude product was evaporated with toluene (3×). The crude product was dissolved in 700 mL of CH2Cl2. At 0° C., DIBAL-H solution (200 mL, 1.0 M, excess) was added. The reaction was warmed to room temperature overnight. Then it was quenched with methanol (50 mL), sat. Na2SO4 at 0° C. The mixture was diluted with Et2O (1.5 L). After stirred for 5 h, it was filtered through a pad of celite. The filtrate was concentrated to give an oil. The oil was purified on silica gel with Hexanes/EtOAc, 10:1, 6:1, 3:1, and 1:1 to give 24 g of desired product, 343-YW-203. To a solution of DMSO (3.7 mL) in 150 mL of CH2Cl2, a solution of 343-YW-203 (3.6 g) in 50 mL of CH2Cl2 was added. At 0° C., solid P2O5 (6.06 g) was added. The reaction was warmed to room temperature. After stirred at room temperature for 1 h, the reaction turned light pink and was cooled to 0° C. Et3N (12 mL) was added. After 15 min at 0° C., it was warmed to room temperature. After 10 min, it was quenched with sat. NH4Cl, and extracted with CH2Cl2 (2×). The organic layers were dried and concentrated. The crude product was suspended in Et2O and filtered. The filtrates were concentrated to dryness. To a solution of PPh3 (11.6 g) in 30 mL of CH2Cl2, CBr4 (7.4 g) was added at 0° C. The internal temperature was controlled below 10° C. After 10 min, a solution of aldehyde in 20 mL of CH2Cl2 was added. The internal temperature went up to 20° C. It was warmed to room temperature and stirred for 1 h. Then it was poured into a rapid stirring pentane solution. The precipitation was filtered. The filtrates were concentrated. The crude product was purified on silica gel column with hexanes/EtOAc, 20:1, 15:1, 10:1 to give 4.4 g of the desired product, 343-YW-276. Oxidation of Alcohol: To a solution of 343-YW-275 (3.6 g) in 25 mL of CH2Cl2, DMSO (1.84 mL) was added followed by P2O5 (3.65 g) solid at 0° C. Then it was warmed to room temperature for 1 h. After cooled to 0° C., Et3N (5.94 mL) was added. After stirred at 0° C. for 30 min, it was warmed to room temperature. After stirred at room temperature for 3 h, it was quenched with sat. NH4Cl, and extracted with CH2Cl2 (2×). The organic layers were washed with brine, dried and concentrated. The crude product was purified on silica gel with Hexanes/EtOAc, 10:1, 6:1, and 4:1 to give 2.5 g of aldehyde, 343-YW-277. Coupling: To a solution of 343-YW-276 (4.5 g, 12.36 mmol, 2 eq.) in 35 mL of THF, n-BuLi (5.4 mL, 2.5M, 2.2 eq.) was added at −78° C. After 10 min at −78° C., it was warmed to room temperature for 30 min. After cooled back to −78° C., a solution of 343-YW-277 (2.5 g, 6.06 mmol, 1 eq.) in 10 mL of THF was added. It was then warmed to 0° C., after 30 min. After 4 h at 0° C., it was quenched with aq. Sat. NH4Cl, extracted with EtOAc (2×). The organic layers were washed with brine, dried and concentrated. The crude product was purified on silica gel with Hexanes/EtOAc, 20:1, 15:1, 10:1, 6:1 to give 2.5 g of desired product, 343-YW-278 along with recovered 343-YW-276. To a solution of 343-YW-278 (2.50 g) in 100 mL of hexanes, Lindlar catalyst (330 mg, catalytic) and quinoline (50 pt, catalytic) were added. After degassed under vacuum and refilled with H2 for several times, it was stirred under hydrogen balloon for 3 h. Then the catalyst was filtered and fresh catalyst was added. After degassing, it was stirred under hydrogen overnight. The reaction was filtered through celite. The filtrates were combined and concentrated to dryness to give 2.4 g of desired product, 343-YW-279. To a solution of 343-YW-279 (2.4 g) in 15 mL of CH2Cl2, BzCl (0.9 mL), Et3N (2 mL) and DMAP (50 mg) were added. After 18 h, another 200 uL of BzCl was added. After total 24 h, it was quenched with aq. Sat. NH4Cl and extracted with EtOAc (2×). The organic layers were washed with brine, dried and concentrated. The crude product was purified on silica gel with Hexanes/EtOAc, 20:1, 10:1, and 6:1 to give 2.2 g of desired ester. To a solution of the ester from last step in 10 mL of THF, solid TBAF was added. After 18 h, it was quenched with sat. NH4Cl and extracted with EtOAc. The organic layer was washed with brine, dried and concentrated. The crude product was purified on silica gel with Hexanes/EtOAc, 10:1, 6:1, 4:1, and 2:1 to give 1.45 g of alcohol. To a solution of the alcohol from last step and PPh3 (1.3 g) in 20 mL of toluene, DEAD (750 μL) and MeI (250 μL) were added simultaneously at room temperature. After 30 min, it was diluted with CH2Cl2 to a clear solution. Then it was poured into pentanes with rapid stirring. The precipitation was filtered through a celite pad. The filtrate was concentrated. The crude product was purified on silica gel with Hexanes/EtOAc, 20:1, 10:1, 8:1 to give 1.5 g of desired product, 343-YW-281. A satisfactory1H NMR was obtained. Preparation of Advance Phenol Intermediate for C14-Analog Synthesis: Iodide 2 (4.94 g, 8.2 mmol, 1.0 eq.) and selenide 3 (7.00 g, 12.3 mmol, 1.5 eq.) were dissolved in HMPA (10.0 mL) and THF (90 mL). The resulting mixture was magnetically stirred at −78′C and slowly added over 50 min LiHMDS (18.0 mL, 9.0 mmol, 1.1 eq., LiHMDS 0.5M in THF, addition rate of 0.32 mL/min). The reaction mixture was stirred 1 h and 45 min at −78° C., quenched with NH4Cl sat. (200 mL), diluted with H2O, added ethyl acetate (500 mL). The layers were separated and the aqueous one was extracted with ethyl acetate (2×500 mL). The combined organic layers were washed with H2O (2×300 mL), dried with Na2SO4, filtered, and concentrated under reduced pressure. The crude oil was purified on a SiO2 column (230-400 Mesh silica). The products were dissolved in hexane prior to be loaded on the column. Elution: 3%, then 5% ethyl acetate/hexane. The desired product 4 (5.43 g, 64% yield) was isolated as viscous brownish oil. The crude substrate 4 (mixture of selenide 3 and coupled material 4, <58.9 mmol) was dissolved in CH2Cl2 (750 mL), cooled down to 0° C. and added in small portions MCPBA (Aldrich 57-86%, 43.5 g, >144 mmol, 2.4 eq.). The first portions are exothermic and towards the end of the addition, no exotherm was noticed, Tmax was 4° C. Stirred for 45 min at 0° C., triethylamine (50 mL, 357 mmol, 6 eq.) was added SLOWLY! EXOTHERMIC! Tmax=10° C. Once the exotherm had ceased, the reaction mixture was warmed up to rt. Stirred for 60 min at that temperature, a solution of NaS2O3 (51.5 g) was prepared using NaHCO3 saturated and distilled water. Layers were separated; the aqueous one was extracted twice with CH2Cl2. The combined organic layers were dried with Na2SO4, filtered, concentrated down, added crude material from a previous small-scale run, purified on a SiO2 column (1.25 kg of 230-400 Mesh silica from Silicycle). The crude material was loaded on the column as a slurry prepared with 3% ethyl acetate/hexane and 230-400 Mesh silica. Elution: 3% (8 L), 7.5% (8 L) and 10% (6 L) ethyl acetate/hexane. The desired material 5 (16.3 g, 30% combined yield since the selenide coupling) is viscous oil. Substrate 5 was dissolved in THF (43 mL), added an imidazole HCl buffered TBAF solution (60.5 mL, 60.5 mmol of TBAF, 3.4 eq. of TBAF 1 M in THF and 45 mmol of imidazole.HCl, 2.5 eq. of imidazole'HCl). That buffered solution was prepared as follows: imidazole HCl was dissolved in a commercial 1 M TBAF/THF solution to give a resulting imidazole'HCl molarity of 0.75 M. The resulting reaction mixture was stirred 2 min at rt then it was added drop-wisely a regular TBAF solution (76 mL, 76 mmol, TBAF 1.0 M in THF). The reaction mixture was stirred in an oil bath at 50° C. during a total of 88 h, cooled down to rt, added NH4Cl sat. (300 mL) and Et2O (300 mL). The layers were separated and the aqueous was extracted with Et2O (3×150 mL). The organic layers were combined, washed with brine (3×100 mL), dried with Na2SO4, filtered, concentrated to dryness, azeotroped twice with Et2O (2×100 mL) giving desired 6 that was used crude for the next step. In a three neck 5 L flask equipped with a condenser and an addition funnel, was added CH2Cl2 (2 L) followed by triethylamine (7.6 mL, 54.0 mmol, 3.0 eq.) and 2-chloro-1-methylpyridinium iodide (14.2 g, 54.0 mmol, 3.0 eq.). The resulting mixture was warmed up to reflux and added drop-wisely a CH2Cl2 solution of hydroxy-acid 6 (14.4 g of crude material in 230 mL of CH2Cl2). The addition took 3 h and the resulting reaction mixture was stirred at reflux for 12 h, then cooled down to rt, salts were filtered and CH2Cl2 was removed under reduced pressure. The residue was dissolved in Et2O, washed with a 1:1 mixture of saturated brine and saturated NaHCO3. The aqueous layer was extracted twice with Et2O. The combined organic layers were washed with brine, dried with Na2SO4 and concentrated under reduced pressure, purified on a SiO2 column (250 g of 230-400 Mesh silica from Silicycle). The crude material was dissolved in CH2Cl2 prior to be loaded on the column. Elution: 15%, 25%, 35% ethyl acetate/hexane. The desired macrocycle 7 (7 g) was still slightly contaminated was used directly for the next step. To a solution of 7 (7 g, <18 mmol, 1.0 eq.) in THF (40 mL) at rt, was added drop-wisely TBAF (85 mL, 85 mmol, 4.7 eq., TBAF 1 M in THF). The reaction mixture was stirred at rt for 3 h, and then quenched with NH4Cl sat. (250 mL) and Et2O (250 mL). The layers were separated and the aqueous was extracted with Et2O (2×150 mL). The combined organic layers were washed with brine (2×100 mL), dried with Na2SO4 and concentrated under reduced pressure, purified on a SiO2 column (75 g of 230-400 Mesh silica from Silicycle). The crude material was dissolved in CH2Cl2 (15-20 mL) prior to be loaded on the column. The column was prepared using 25% ethyl acetate/hexane. Elution: 25%, 35%, 50% ethyl acetate/hexane. The desired material 8 (5.10 g, 50% combined yield from 5) is a white foam. Preparation of Intermediate for C3-C4 Modification Series: To the stirred suspension of 2-deoxy-D-ribose (100.8 g, 0.75 mol, commercially available from TCI) in EtOAc (800 ml), were added 2-methoxypropene (94 ml, 0.98 mol, 1.3 eq., Aldrich) and PPTS (4.16 g, 17 mmol, 2 mol %, Aldrich) at room temperature under N2. The mixture was stirred vigorously for 3 hr. Then the insoluble residue (remained SM) was filtrated out and TEA (4.6 ml, 2 eq. to PPTS) was added to the filtrate. The resultant filtrate was concentrated under reduced pressure and the residue was purified by silica gel flash column chromatography (silica gel 4 kg, hexane-EtOAc 9:1 to 1:1 as eluent) to give 68 g of desired compound as colorless oil (52%). To the stirred suspension of LiAlH4 (9.26 g, 0.244 mol, 1.25 e q., Wako) in THF (200 mL) cooled in ice/brine bath, was added drop wise SM (68 g, 0.39 mol) in THF (600 mL+100 mL rinse) under N2 (in ca. 1.5 hr). Then the mixture was stirred for additional 15 min. After quenching by careful addition of MeOH, 9.26 ml of water, 9.26 ml of 10% NaOH aq., 27.78 mL of water were added successively and the mixture was stirred vigorously for 1 hr. Then, the insoluble material was filtered out using Celite and washed with EtOAc (500 mL×4), and the resultant filtrate was concentrated under reduced pressure, dried in vacuo to give 62.23 g of the crude product as light yellow oil (90.5%). To the stirred suspension of NaH (8.09 g, 60% oil dispersion, 202 mmol, 2.2 eq., Wako) in DMF (200 mL) cooled in ice/brine bath, was added drop wise (16.2 g, 91.9 mmol) in DMF (500 mL+100 mL rinse) under N2. The resultant mixture was stirred for 75 min. at room temperature. Then the mixture was cooled to −55° C. (inner temp.)**, PivCl (12.5 mL, 102 mmol, 1.1 eq., TCI) was added drop wise (in ca 10 min). After addition, the mixture was allowed to warm to −30° C. Quenching was performed by careful addition of sat. NH4Cl aq., then the mixture was extracted with EtOAc (1 L). After re-extraction of the aqueous layer with EtOAc (500 mL), the combined organic phase was washed with water (0.6 L×3), brine (0.3 L) and dried over anhydrous Na2SO4. After filtration of drying agent, the filtrate was concentrated and the residual brown oil (25.43 g) was purified by silica gel flash column chromatography (silica gel 2.8 kg, hexane-EtOAc 2:1 to 1:1 as eluent) to give 3.73 g of less polar undesired protected mono-ol, 531-YW-2-2 (16%) and 13.14 g of polar desired product, 531-YW-2-3 (55%), respectively as colorless oil. Iodide Formation: To a solution of 531-YW-2-3 (9.5 g, 36.5 mmol) in 400 mL of toluene, PPh3 (18.3 g, 62.1 mmol, 1.9 eq.) was added. Then MeI (2.94 mL, 47 mmol, 1.3 eq.) and DEAD (6.29 mL) were added simultaneously by two syringe-pumps in 20 min. After stirred at room temp for 20 min, it was poured into a rapid stirred pentane solution. The solid was dissolved by small amount of CH2Cl2 and added into the pentane. The precipitation was filtered through celite, the pad was washed with pentane. The combined filtrates were concentrated. The crude oil was purified quickly on a short silica gel column with 20:1, 10:1, 6:1 Hex/EtOAc. It gave 11.6 g of the iodide 531-YW-3. Coupling: To a solution of iodide (531-YW-3, 11.6 g, 31.3 mmol) and selenide (509-HD-213, 24.5 g, 50.9 mmol, 1.6 eq.) in a mixed solvent of THF and HMPA (130 mL, 10:1 ratio), a solution of LiHMDS (94 mL, 0.5 M) was added by a syringe pump in one and half hour at −78° C. After 20 min at −78° C., it was warmed to 0° C. After cooled back to −10° C., it was quenched with aq. sat. NH4Cl and extracted with EtOAc (2×). The organic layers were washed with brine, dried and concentrated. The crude product was purified on silica gel with Hexanes/EtOAc, 20:1, 10:1, 6:1, 4:1, and 2:1 to give 16.0 g. The product from the above (16 g) was dissolved in CH2Cl2 (200 mL), MCPBA (16 g, 50.9 mmol, 1.6 eq., 55%) was added at 0° C. After 15 min at 0° C., Triethylamine (20 mL, excess) was added. After 30 min, it was quenched with aq. Sat. Na2S2O3. After stirred for 20 min, it was extracted with EtOAc (2×). The organic layers were washed with sat. Na2S2O3, sat. NaHCO3, brine, dried and concentrated. The crude product was purified on silica gel with Hexanes/EtOAc, 20: 1, 10:1, 3:1, gave 12.5 g of the desired product, 531-YW-4 (83% in three steps). To a solution of ester (5.66 g, 10 mmol) In EtOH (100 mL), 50 mL of 1N NaOH was added. The reaction was stirred at rt overnight. The reaction was then diluted with water, extracted with EtOAc (3×). The combined organic layers were washed with brine, dried and concentrated. It was purified on silica gel column to give 4.42 g of desired product as an oil (92%). To a solution of (COCl)2 (2.2 mL, 3 eq.) in 50 mL of CH2Cl2, DMSO was added slowly at −78° C. After 15 min at −78° C., a solution of alcohol (4.1 g, 3.5 mmol) was added into the reaction at −78° C. After 30 min at that temperature, TEA (10.7 mL, 9 eq.) was added. The reaction was warmed to rt. It was quenched with Sat. NH4Cl, extracted with EtOAc (2×). The combined organic layers were washed with brine, dried and concentrated to dryness. It was used in next reaction without purification. The aldehyde was used as a general intermediate for the synthesis of C3-C4 modification by coupling with appropriate acetylene or equivalent. Preparation of Acetylenes for C3-C4 Modifications: To a solution of TMS-acetylene (38.8 mL) In 1 L of THF at −60° C., n-BuLi (110 mL, 2.5 M) was added. The reaction was warmed to 0° C. briefly, then cooled back down to −60° C. BF3.Et2O (33.8 mL) was then slowly added, followed by the epoxide (15 mL) via syringe pump. After stirred at −60° C. for 1.5 h, it was warmed to rt, quenched by Sat. NH4Cl, extracted with EtOAc (2×). The organic layers were dried and concentrated. The crude product was purified by silica gel column with 4:1 Hexanes/EtOAc to give 13.9 g of desired product as an oil. The alcohol was silylated under standard condition with TBSCl and Imidazole in methylene chloride. A mixture of TBS protected TMS-acetylene (8.7 g) and K2CO3 (8 g) in methanol (120 mL) were stirred for 5 h at rt. It was extracted with EtOAc (2×). The organic layers were dried and concentrated. The crude product was purified on silica gel with hexanes to give 6.17 g of colorless oil (95%) The following acetylenes were prepared analogous to the preparation described: Preparation of ER803064: Acetylene (2.65 g, 12.5 mmol) was dissolved in 30 mL of THF and cooled down to −78° C. n-BuLi (2.5 N, 6.24 mL) in Hexane was added. The reaction mixture was stirred at −78° C. for 10 min, and then a solution of aldehyde (3.0 g, 6.24 mmol) in 30 mL of THF was added via cannula. The reaction mixture was stirred at −78° C. for 30 min and warmed up gradually to room temperature. It was quenched with water and extracted with EtOAc. After purification on silica gel column, 3.7 g of 509-HD-108 was obtained as a pale yellow oil in 78% yield. 509-HD-108 (3.4 g, 4.91 mmol) was dissolved in 200 mL hexane. Quinoline (200 μL) and Lindlar catalyst (500 mg) were added. The reaction mixture was stirred at 40° C. under H2 balloon atmosphere for a total of 18 h. Then the catalyst was filtered away. Quantitative amount of 509-HD-112 was obtained as a pale yellow oil. 509-HD-112 (3.4 g, 4.9 mmol) was dissolved in 60 mL of dichloromethane at room temperature. Triethylamine (1.71 mL, 9.8 mmol), benzoyl chloride (1.14 mL, 12.2 mmol) and catalytic amount of DAMP were added, respectively. After stirring for 12 h, 0.1N sodium hydroxide solution was added and the reaction mixture was extracted with EtOAc. The crude product was purified on silica gel column, giving 509-HD-115 as a colorless oil in 94% yield. 509-HD-115 (3.7 g, 4.64 mmol) was dissolved in 50 mL of THF. The THF solution of TBAF (1N, 25 mL) was added. The reaction mixture was heated at 50° C. for 24 h. It was diluted with Et2O and washed with H2O. After purification on silica gel column, 509-HD-116 was obtained as a pale yellow foam in 68% yield. 2-Chloro-1-methylpyridinium iodide (2.4 g, 9.5 mmol) and n-Bu3N (2.3 mL, 9.5 mmol) were dissolved in 180 mL of dichloromethane and heated to reflux. The solution of 509-HD-116 (1.85 g, 3.2 mmol) in 50 mL of THF was added slowly. The reaction mixture was heated for 30 min. It was washed with 0.02 N hydrochloric acid, sat. sodium bicarbonate solution and brine, respectively. After purification on silica gel column, 509-HD-118 was obtained as a pale yellow foam in 62% yield. 509-HD-118 (1.22 g, 2.2 mol) was dissolved in 30 mL of ethanol. Sodium hydroxide (1N, 21.5 mL) solution was added. The reaction mixture was stirred for 48 h at room temperature. It was diluted with H2O, extracted with EtOAc. After purification on silica gel column, 346 mg of the major desired single isomer 509-HD-119B was obtained as a colorless oil. 509-HD-119B (155 mg, 0.34 mmol) was dissolved in 9 mL of dichloromethane. Molecular sieve (4 A, 360 mg) and PCC (360 mg, 1.7 mmol) were added. The reaction mixture was stirred for 1 h at room temperature. After passing through celite, 509-HD-125 was obtained as colorless oil in quantitative yield. 509-HD-125 was dissolved in 2.5 mL of dichloromethane. Then hydrofluoric acid (6 N, 10 mL) was added. The reaction mixture was stirred at room temperature for 30 min. It was diluted with more dichloromethane, washed with water and sat. sodium bicarbonate solution. After purification on a plug of silica gel, ER803064 was obtained as a white solid in 86% yield. ER805149 were synthesized in similar manner starting from the corresponding acetylene. Preparation of B2526 (Trans Cyclopentane with Desired Diol Configuration) Step 1 To a solution of (trimethylsilyl) acetylene (8.8 mL, 62 mmol) in dry THF (100 mL), at −78° C. under an inert atmosphere, were added a 2.5M solution of n-butyllithium (24.9 mL, 62 mmol) and boron trifluoride diethyl etherate (7.66 mL, 62 mmol). The reaction mixture was then treated drop wise with a solution of cyclopentene oxide (2.71 mL, 31 mmol). The reaction mixture was stirred at −78° C. for 1 hour then warmed to room temperature. The usual work up gave compound 453-MS-226 (3.92 g; 69%). Step 2 To a mixed solution of 453-MS-226 (3.77 g, 20.67 mmol) and 4-methoxybenzyl 2,2,2-trichloroacetimidate (7 g, 24.8 mmol) in diethyl ether (80 mL), at room temperature under an inert atmosphere, was added a 1M solution of trifluoromethane sulphonic acid in diethyl ether (0.62 mL) drop wise over approximately 15 minutes. Two extra aliquots (1 mL each) of the 1M trifluoromethane sulphonic acid solution were added at 10 minutes and at 60 minutes. The usual work up, with subsequent partial purification by chromatography, gave impure compound 453-MS-228 (3.37 g, approximately 54%), which was used in the next step without further purification. Step 3 A solution of impure 435-MS-228 (3.37 g, approximately 0.011 mol) in methanol (33 mL) was treated with potassium carbonate (3.075 g, 0.022 mol) and stirred for 3.5 hours. The usual work up, followed by chromatographic purification, gave compound 453-MS-230 (2.22 g, approximately 88%). Step 4 To a solution of 453-MS-230 (1 g, 4.37 mmol) in dry THF (10 mL), at −78° C. under an inert atmosphere, was added drop wise a 1.6M solution of n-butyllithium (2.73 mL, 4.37 mmol). The reaction mixture was stirred at −78° C. for 10 minutes, then warmed momentarily to 0° C., and cooled to −78° C. A solution of the 343-YW-277 (1.5 g, 3.63 mmol) in dry THF (15 mL) was added drop wise. The reaction mixture was stirred at −78° C. for 30 minutes then warmed to room temperature. The usual work up, followed by chromatographic purification, gave compound 453-MS-232 (1.90 g, 82%). Step 5 A solution of compound 453-MS-232 (1.68 g, 2.61 mmol) in hexane (30 mL) was hydrogenated, at room temperature and pressure, in the presence of Lindlar's catalyst (168 mg) and quinoline (30 μL) for 20 hours. Filtration and concentration in vacuo gave compound 453-MS-237 (1.68 g, assumed quantitative) which was used in the next stage without purification. Step 6 To a solution of compound 453-MS-237 (1.61 g, 2.5 mmol) in dry dichloromethane (20 mL) were added triethylamine (2.09 mL, 15 mmol), DMAP (30 mg, 0.25 mmol), and benzoyl chloride (0.58 mL, 5 mmol). The reaction mixture was stirred at room temperature for 3 days then worked up in the usual manner. Chromatographic purification gave compound 453-MS-240 (1.29 g, 69%). Step 7 To a solution of compound 453-MS-240 (300 mg, 0.4 mmol) in THF (6 mL) was added TBAF (210 mg, 0.8 mmol). The reaction mixture was stirred at room temperature for 2.5 hours then worked up in the usual manner to give compound 453-MS-244 (145 mg, 71%) (m/z: 533.2516 measured [M+23], 533.2510 calculated). Step 8 A mixed solution of compound 453-MS-244 (737 mg, 1.44 mmol) and triphenylphosphine (682 mg, 2.6 mmol) in dry toluene (10 mL) was cooled to 0° C. under an inert atmosphere. A solution of dibenzyl azidodicarboxylate (1.033 g, 3.46 mmol) in toluene (5 mL), and methyl iodide (117 μL; 1.88 mmol) were added, separately and simultaneously, to the reaction mixture over approximately 15 seconds. The reaction mixture was stirred at 0° C. for 15 minutes then allowed to warm to room temperature. After 30 minutes at room temperature the reaction mixture was worked up in the usual manner Chromatographic purification gave compound 453-MS-253 (550 mg, 61%). Step 9 A mixture of compound 453-MS-253 (475 mg, 0.765 mmol) and compound 554-RB-260 (519 mg, 0.86 mmol) was dissolved in a solution of 10% HMPA in THF (6 mL) and cooled to −78° C. under an inert atmosphere. A 0.5 M solution of LiHMDS in THF (1.83 mL, 0.916 mmol) was then added drop wise over approximately 30 minutes. The reaction mixture was stirred at −78° C. for 1 hour then treated with a 1M solution of LiHMDS in THF (0.916 mL; 0.916 mmol). After 20 minutes the reaction mixture was warmed to 0° C. The intermediate crude product was worked up in the usual manner and purified partially by chromatography. The intermediate was dissolved in dichloromethane (8 mL) and cooled to 0° C. A solution of approximately 65% meta-chloroperbenzoic acid (249 mg) in dichloromethane (2 mL) was added portion wise. After 30 minutes triethylamine (0.65 mL) was added and the usual work up, followed by chromatographic purification, gave compound 453-MS-262 (348 mg, 47%). Step 10 To a vigorously stirred biphasic mixture of compound 453-MS-262 (440 mg, 0.538 mmol), dichloromethane (20 mL) and water (10 mL), was added drop wise a solution of DDQ (147 mg, 0.646 mmol) in dichloromethane (15 mL). After 1 hour at room temperature the reaction mixture was worked up in the usual manner. Chromatographic purification gave two fractions of partially resolved diastereoisomers: Fraction A (less polar): a mixture of 3 co-eluted diastereoisomers—compound 453-MS-277A (190 mg); Fraction B (more polar): a single diastereoisomer—compound 453-MS-277B (122 mg); (total yield: 312 mg, 83%) Step 11 A solution of compound 453-MS-277B (122 mg, 0.175 mmol) in tetrahydrofuran (5 mL) was treated with a solution of TBAF (92 mg, 0.35 mmol) in THF (1 mL). The reaction mixture was stirred at room temperature for 6 hours then worked up in the usual manner to give impure compound 453-MS-279 (104 mg), which was used in the next stage without purification. Step 12 A solution of crude compound 453-MS-279 (80 mg, assumed to contain 0.134 mmol) in dichloromethane (30 mL) was treated with 2-chloro-1-methylpyridinium iodide (45 mg, 0.174 mmol) and tri-n-butylamine (42 μL, 0.174 mmol). The reaction mixture was heated under reflux for 25 minutes then cooled to room temperature. The usual work up and chromatographic purification gave compound 453-MS-284 (30 mg, 39% from compound 453-MS-277B). Step 13 A solution of compound 453-MS-284 (30 mg, 51 μmol) in a mixture of ethanol (1 mL) and tetrahydrofuran (0.5 mL) was treated with 1M aqueous sodium hydroxide (518 μL) and stirred for approximately 3 days at room temperature. The usual work up, followed by chromatographic purification, gave compound 453-MS-289 (16 mg, 65%). Step 14 A solution of compound 453-MS-289 (15 mg, 31.6 μmol) in dichloromethane (1.5 mL) was treated with PCC (81 mg, 0.375 mmol) in the presence of powdered 4 Å molecular sieves (81 mg). The reaction mixture was stirred vigorously for 70 minutes at room temperature. Basification with excess triethylamine, followed by partial chromatographic purification gave impure compound 453-MS-296 (approximately 7 mg), which was used in the next stage without further purification. Step 15 A solution of impure compound 453-MS-296 (approximately 7 mg) in a mixture of acetonitrile (1600 μL) and dichloromethane (400 μL) was treated with 48% aqueous hydrofluoric acid (400 μL). After 25 minutes the usual work up followed by chromatographic purification gave compound B2526 (1.1 mg, approximately 6% from compound 453-MS-289). Preparation of B2538 (Cis Cyclopentane with Desired Diol Configuration) Step 1 To a solution of compound 453-MS-277A (190 mg, 0.273 mmol) in tetrahydrofuran (7 mL) was added a solution of TBAF (143 mg, 0.545 mmol) in THF (2 mL). After 1 hour at room temperature the reaction mixture was treated with additional TBAF (20 mg, 0.076 mmol). After a further 3 hours the reaction mixture was worked up in the usual manner to give impure compound 453-MS-281 (186 mg), which was used in the next stage without purification. Step 2 To a solution of triphenylphosphine (31.5 mg, 0.12 mmol) in dry tetrahydrofuran (2.5 mL) was added diethyl azidodicarboxylate (19 mL; 0.12 μmol), at room temperature under an inert atmosphere. A solution of impure compound 453-MS-281 (36 mg, 0.06 mmol) in dry tetrahydrofuran (2.5 mL) was added. After 90 minutes additional triphenylphosphine (31.5 mg, 0.12 mmol) and diethyl azidodicarboxylate (19 ml, 0.12 μmol) were added. After a further 30 minutes the reaction mixture was worked up in the usual manner. Chromatographic purification gave compound 501-MS-6 (19 mg, 54% from compound 453-MS-277A). Step 3 A solution of compound 501-MS-6 (19 mg, 32.8 μmol) in a mixture of ethanol (1 mL) and THF (0.5 mL) was treated with 1M aqueous NaOH (380 μL) and stirred for approximately 17 hours at room temperature. The reaction mixture was then heated to 100° C. for approximately 30 minutes. The usual work up gave compound 501-MS-8 (15.5 mg, quantitative). Step 4 A solution of compound 501-MS-8 (15.5 mg, 32 μmol) in dichloromethane (3.2 mL) was treated with PCC (85 mg, 0.39 mmol) in the presence of powdered 4 Å molecular sieves (85 mg). The reaction mixture was stirred vigorously for 2 hours at room temperature. Basification with excess triethylamine, followed by chromatographic purification gave compound 501-MS-11 (12.5 mg, 83%). Step 5 A solution of compound 501-MS-11 (12 mg, 25 μmol) in a mixture of acetonitrile (2400 μL) and dichloromethane (600 μL) was treated with 48% aqueous hydrofluoric acid (600 μL). After 1 hour the usual work up followed by chromatographic purification gave compound B2538 (4 mg, 41%) (m/z: 411.1 [M+23, 100%], 412.1 [35%]). Preparation of B2522 (Trans Cyclopentane with Undesired Diol Configuration) Step 1 A solution of compound 453-MS-277A (190 mg, 0.273 mmol) in THF (7 mL) was treated with a solution of TBAF (143 mg, 0.545 mmol) in THF (2 mL). The reaction mixture was stirred at room temperature for 6 hours then worked up in the usual manner to give impure compound 453-MS-281 (186 mg), which was used in the next stage without purification. Step 2 A solution of crude compound 453-MS-281 (150 mg, assumed to contain 0.251 mmol) in dichloromethane (15 mL) was treated with 2-chloro-1-methylpyridinium iodide (84 mg, 0.327 mmol) and tri-n-butylamine (78 μL, 0.327 mmol). The reaction mixture was heated under reflux for 40 minutes then treated with additional 2-chloro-1-methylpyridinium iodide (84 mg, 0.327 mmol) and tri-n-butylamine (78 μL, 0.327 mmol). The reaction mixture was heated under reflux for a further 1 hour then cooled to room temperature. The usual work up and chromatographic purification gave compound 453-MS-290 (72 mg, 50% from compound 453-MS-277A). Step 3 A solution of compound 453-MS-290 (72 mg, 0.124 mol) in a mixture of ethanol (2.4 mL) and THF (1.2 mL) was treated with 1M aqueous NaOH (1.24 mL, 1.24 mmol) and stirred for approximately 4 days at room temperature. The usual work up, followed by chromatographic purification, gave three fractions of partially resolved compounds: Fraction A (less polar): an unascertained mixture of diastereoisomers (10 mg);
Step 4 A solution of compound 453-MS-292B (20 mg, 42 μmol) in dichloromethane (2 mL) was treated with PCC (109 mg, 0.505 mmol) in the presence of powdered 4 Å molecular sieves (109 mg). The reaction mixture was stirred vigorously for 55 minutes at room temperature. Basification with excess triethylamine, followed by chromatographic purification, gave compound 453-MS-299 (17 mg, 86%). Step 5 A solution of compound 453-MS-299 (19 mg, 0.04 mmol) in a mixture of acetonitrile (4 mL) and dichloromethane (1 mL) was treated with 48% aqueous hydrofluoric acid (1 mL). After 35 minutes the usual work up followed by chromatographic purification gave compound B2522 (9 mg, 58%) (m/z: 411.1443 measured [M+23], 411.1420 calculated). ER804018 and ER804019 (C4-F): LDA (2.0 M, 36 mL) was added to the solution of ethyl 2-fluoropropanate (7.23 g) and acetaldehyde (13.5 mL) in ether (100 mL) at −78° C. After the addition finished the reaction flask was kept in ice bath and gradually warm to room temperature. The reaction was quenched with aqueous ammonium chloride after overnight stirring. The aqueous phase was extracted with ether and the combined organic phase was dried over sodium sulfate. The solvent was stripped off and the residue was distilled in vacuo to give 541-YJ-97 (4.22 g). Chloro-t-butyldiphenylsilane was added to the mixture of 541-YJ-97 (4.22 g) and imidazole (3.5 g) in methylene chloride (50 mL) and stirred overnight. Aqueous sodium bicarbonate was added to the reaction mixture. The aqueous phase was extracted with ether and the combined organic phase was dried over sodium sulfate. The solvent was stripped off and the residue was purified with flush chromatograph (hexane/acetate 50/1) to give 541-YJ-99 (7.55 g). DIBAL-H in toluene (1.0 M, 25 ml) was added to 541-YJ-99 in toluene (85 mL) at 0° C. The reaction was quenched in one hour with methanol/water and filtrated through Celite. The residue was purified by flash chromatograph to yield 541-YJ-101 (536 mg). Dess-Martin periodinane was added to 541-YJ-101 (511 mg) in methylene chloride (15 ml) at room temperature. The mixture was diluted with ether in 40 minutes and filtrated through Celite. The filtrate was concentrated, and the residue was purified by prepTLC (hex/acetate 7/1) to give 541-Yj-105 (355 mg, 70%). Triphenylphosphine (2.08 g) was added to carbon tetrabromide (1.31 g) in methylene chloride at room temperature. After stirring for 40 minutes 541-YJ-105 was added and stirred for 2 hours. The mixture was concentrated and filtrated through silica gel (hexane/acetate 7/1) to produce 541-YJ-106 (452 mg, 89%). n-Butyllithium (2.5 M, 0.74 mL) was added to 541-YJ-106 (450 mg) in THF (10 mL) at −78° C. After one hour 541-YJ-108 was added. The reaction was kept at 0° C. for one hour and warmed to room temperature before it was quenched with aqueous ammonium chloride. The aqueous phase was extracted with ether and the combined organic phase was dried over sodium sulfate. The solvent was stripped off and the residue was purified with TLC (hexane/acetate 4/1) to 541-YJ-109 (394 mg, 54%). The suspension of Lindlar catalyst (420 mg) and 541-YJ-109 (390 mg) in hexane (8 mL) was charged with hydrogen and stirred overnight. The suspension was filtrated through Celite and rinsed with acetate. The filtrate was concentrated to give 541-YJ-111 (378 mg). Benzoyl chloride (254 mg) and DMAP (catalytic amount) was added to the solution of 541-YJ-111 (378 mg) and triethylamine (0.5 mL) in methylene chloride (7 mL) at room temperature. The mixture was kept stirring overnight and quenched with aqueous sodium bicarbonate. The aqueous phase was extracted with ether and the combined organic phase was dried over sodium sulfate. The solvent was stripped off and the residue was purified with TLC (hexane/acetate 7/1) to 541-YJ-115 (419 mg). The solution of 541-YJ-115 (419 mg) and TBAF (1.0 M, 2.2 mL) in THF (8 mL) was kept stirring overnight, and then diluted with water. The aqueous phase was extracted with ether and concentrated. The residue was purified with TLC (methylene chloride/methanol 10/1) to give 541-YJ-116 (194 mg). The solution of 541-YJ-115 (419 mg) and TBAF (1.0 M, 2.2 mL) in THF (8 mL) was kept stirring overnight, and then diluted with water. The aqueous phase was extracted with ether and concentrated. The residue was purified with TLC (methylene chloride/methanol 10/1) to give 541-YJ-116′ (21 mg). 541-YJ-116 (21 mg) was added to the reflux of 2-chloro-1-methylpyridium iodide (32 mg) and tributylamine (23 mg) in methylene chloride (4 mL). After 2 hours reflux the mixture was stirred overnight. The mixture was diluted with ether and washed with HCl (1.0 N) and water. The residue was purified with TLC (hexane/acetate 1/1) to give 541-YJ-118-1 (7.7 mg) and 541-YJ-118-2 (8.4 mg). PCC was added to 541-YJ-118-1 (7.7 mg) and MS 4 A suspension in methylene chloride (2 mL) at room temperature. The mixture was stirred for 3 hours and filtrated through silica gel. The silica gel was eluted with acetate and concentrated to give 541-YJ-119 (3.3 mg). PCC was added to 541-YJ-118-2 (8.4 mg) and MS 4 A suspension in methylene chloride (2 mL) at room temperature. The mixture was stirred for 3 hours and filtrated through silica gel. The silica gel was eluted with acetate and concentrated to give 541-YJ-120 (3.0 mg). Hydrofluoric acid (49%, 1 mL) was added to 541-YJ-119 (8.0 mg) in acetonitrile (3 mL) and stirred for 15 minutes. The mixture was diluted with water and extracted with methylene chloride. The organic phase was concentrated and purified with a short silica gel pad to produce 541-YJ-126 (5.1 mg, ER-804018). Hydrofluoric acid (49%, 1 mL) was added to 541-YJ-120 (6.0 mg) in acetonitrile (3 mL) and stirred for 15 minutes. The mixture was diluted with water and extracted with methylene chloride. The organic phase was concentrated and purified with a short silica gel pad to produce 541-YJ-126 (3.1 mg, ER-804019). Preparation of ER804142 and ER804143, C4-CF3 Analog: To neat trifluoropropanic acid (10.0 g) was added oxalyl chloride (7.5 mL) at room temperature and kept the mixture at 50° C. overnight. Then benzyl alcohol was added and kept stirring for 10 hours. The reaction was quenched with aqueous sodium bicarbonate and extracted with chloroform. The solvent was stripped off and the residual was purified with flush chromatograph (hexane/acetate 20/1) to afford 541-YJ-139 (16.05 g, 94%). LDA (1.5 M, 53.9 ml) was added to the solution of 541-YJ-139 (7.23 g) and acetaldehyde (20.6 ml) in THF (180 mL) at −78° C. After the addition finished the reaction flask was kept in ice bath and gradually warm to room temperature. The reaction was quenched with aqueous ammonium chloride after overnight stirring. The aqueous phase was extracted with ether and the combined organic phase was dried over sodium sulfate. The solvent was stripped off and the residue was purified with flush chromatograph (hexane/acetate 20/1 to 10/1) to afford 541-YJ-141 (10.26 g, 53%). Chloro-t-butyldiphenylsilane (12.2 ml) was added to the mixture of 541-YJ-141 (10.26 g) and imidazole (10.7 g) in methylene chloride (200 ml) and stirred overnight. Aqueous sodium bicarbonate was added to the reaction mixture. The aqueous phase was extracted with chloroform and the combined organic phase was dried over sodium sulfate. The solvent was stripped off and the residue was purified with flush chromatograph (hexane/acetate 40/1) to give 541-YJ-143 (14.94 g, 76%). DIBAL-H in toluene (1.0 M, 89.4 mL) was added to 541-YJ-143 in toluene (300 mL) at 0° C. The reaction was quenched in one and half hour with methanol/water (70 mL/45 mL) and filtrated through Celite. The residue was purified by flash chromatograph (hexane/acetate 10/1) to yield 541-YJ-144 (7.38 g, 62%). Dess-Martin periodinane (9.47 g) was added to 541-YJ-144 (7.38 g) in methylene chloride (150 mL) at room temperature. The mixture was diluted with ether in one hour and filtrated through Celite. The filtrate was concentrated and the residue was purified by flash chromatograph (hexane/acetate 10/1) to yield 541-YJ-145 (7.37 g). Triphenylphosphine (39.2 g) was added to carbon tetrabromide (24.74 g) in methylene chloride at room temperature. After stirring for 45 minutes 541-YJ-145 (7.37 g) was added and stirred for 3 hours. The mixture was concentrated and purified by flash chromatograph (methylene chloride) to yield 541-YJ-146 (8.74 g, 85%). n-Butyllithium (2.5 M, 3.47 mL) was added to 541-YJ-106 (2.39 g) in THF (20 mL) at −78° C. After one hour 343-YW-277 (0.98 g) was added at −78° C. The reaction was kept at 0° C. for one hour and then warmed to room temperature before it was quenched with aqueous ammonium chloride. The aqueous phase was extracted with ether and the combined organic phase was dried over sodium sulfate. The solvent was stripped off and the residue was purified with flash chromatograph (hexane/acetate, 3/1) to 541-YJ-148 (1.40 g, 65%). The suspension of Rieke zinc (9.0 mL) was carefully added to 541-YJ-148 (390 mg) in methanol-water (20 mL/2 mL) at room temperature. The suspension was heated at 70° C. for one and half hour. The mixture was filtrated through Celite and rinsed with acetate. The filtrate was concentrated to give 541-YJ-151 (1.09 g) without purification. Benzoyl chloride (0.52 ml) and DMAP (catalytic amount) was added to the solution of 541-YJ-151 (0.97 g) and triethylamine (1.24 mL) in methylene chloride (15 mL) at room temperature. The mixture was kept stirring overnight and quenched with aqueous sodium bicarbonate. The aqueous phase was extracted with chloroform and the combined organic phase was dried over sodium sulfate. The solvent was stripped off and the residue was purified with flash chromatograph (hexane/acetate 5/1) to 541-YJ-158 (0.96 g, 88%). The solution of 541-YJ-158 (0.96 g) and TBAF (1.0 M, 4.9 mL) in THF (20 mL) was kept at 50° C. overnight and then diluted with water. The aqueous phase was extracted with ether and concentrated. The residue was purified with flash chromatograph (acetate) to give 541-YJ-159 (186 mg, 30%). 541-YJ-159 (186 mg) was added to the reflux of 2-chloro-1-methylpyridium iodide (223 mg) and tributylamine (162 mg) in methylene chloride (25 mL). After 2 hours reflux the mixture was cooled down. The mixture was diluted with ether and washed with HCl (1.0 N) and water. The residue was purified with TLC (hexane/acetate 1/1) to give 541-YJ-160 (169 mg). The solution of 593-YJ-160 (169 mg) and sodium hydroxide (1.0 N, 0.5 mL) in ethanol (5 mL) was kept at 75° C. overnight. The mixture was concentrated and diluted with aqueous ammonium chloride. The aqueous phase was extracted with ether and the combined organic phase was concentrated. The residue was purified by TLC (hexane/acetate, 1/1) to yield 593-YJ-161 (39 mg, 28%). Dess-Martin periodinane (50 mg) was added to 541-YJ-161 (39 mg) in methylene chloride (2 mL) at room temperature. The mixture was stirred for 3 hours and diluted with ether. The mixture was filtrated through Celite and purified with TLC (hexane/acetate, 2/1) to give 541-YJ-168-1 (6.7 mg) and 541-YJ-168-2 (5.3 mg). Hydrofluoric acid (49%, 1 mL) was added to 541-YJ-168-1 (6.7 mg) or 541-YJ-168-2 (5.3 mg) in acetonitrile (3 mL) and stirred for 15 minutes. The mixture was diluted with water and extracted with chloroform. The organic phase was concentrated and purified with TLC (hexane/acetate 1/4) to produce 541-YJ-174 (1.5 mg, ER-804142) or 541-YJ-175 (0.5 mg, ER-804143). Preparation of C4-Oxo Analogs, NF0675, NF0879, NF0880, and NF0905 Synthetic Procedure for NF0675 Methyl S-lactate (20.8 g, 0.2 mol) was dissolved in dry THF (500 mL), imidazole (17.7 g, 0.26 mol) was added and the mixture was cooled to 0° C. in ice/water bath. Then TBDPSCl (60.5 g, 0.22 mol) was added, the mixture was allowed to warm slowly to rt and stirred overnight after which a saturated solution of NaHCO3 was added. The mixture was extracted with EtOAc and the organic extract was washed with a saturated solution of NaHCO3, water, brine, dried with anhydrous Na2SO4, filtered and concentrated. The crude product (74.59 g) was dissolved in dry Et2O (300 mL) and the solution was cooled to 0° C. in ice/water bath. Then LiBH4 (4.36 g, 0.2 mol) was added portionwise, the mixture was allowed to warm slowly to rt and stirred for 2 days after which a saturated solution of NH4Cl was added slowly. The mixture was extracted with EtOAc and the organic extract was washed with a saturated solution of NH4Cl, water, brine, dried with anhydrous Na2SO4, filtered and concentrated. The crude product was purified by chromatography on silica gel using 20% EtOAc/hexane to give 59.67 g (0.19 mol, 95% 2 steps) of the protected compound TM-01. To a solution of oxalyl chloride (2.5 eq., 75 mmol, 6.54 mL) in CH2Cl2 (60 mL), DMSO (5 eq., 150 mmol, 10.6 mL) was added at −78° C. After 15 min at −78° C., a solution of alcohol TM-01 (30 mmol, 9.44 g) in CH2Cl2 (100 mL) was added over a period of 40 min. After 30 min at −78° C., Et3N (6.5 eq., 195 mmol, 27.2 mL) was added and the reaction was warmed to −50° C. and stirred for 30 min. It was quenched with a saturated solution of NH4Cl (100 mL), extracted with EtOAc. The organic layer was dried with Na2SO4, filtered and concentrated. The crude aldehyde (9.55 g) was dissolved in dry THF (100 mL) and cooled to −78° C. Then 0.5M solution of propargyl magnesium bromide in dry THF (1.7 eq., 50 mmol, 100 mL) was added dropwise over a period of 30 min and the reaction was warmed to −10° C. It was quenched with a saturated solution of NH4Cl, extracted with EtOAc. The organic layer was dried with Na2SO4, filtered and concentrated. The crude alcohol was purified by chromatography on silica gel using 5% EtOAc/hexane to give 5.125 g (15.1 mmol, 50% 2 steps) of the desired alcohol. The alcohol (5.124 g, 15.1 mmol) was dissolved in CH2Cl2 (55 mL), diisopropylethylamine (15.84 mL, 90.8 mmol) was added and the mixture was cooled to 0° C. in ice/water bath. Then chloromethyl methyl ether (3.45 mL, 45.4 mmol) was added and the mixture was allowed to warm to rt. After 2 days, it was quenched with a saturated solution of NH4Cl, extracted with EtOAc. The organic layer was dried with Na2SO4, filtered and concentrated. The crude product was purified by chromatography on silica gel using 5% EtOAc/hexane to give 4.866 g (12.7 mmol, 84%) of TM-02. 491-HAD-46 (620 mg, 2.4 mmol) was dissolved in dry DMF (10 mL), imidazole (243 mg, 3.6 mmol) was added and the mixture was cooled to 0° C. in ice/water bath. Then TBSCl (430 mg, 2.9 mmol) was added, the mixture was allowed to warm slowly to rt and stirred for 30 min after which a saturated solution of NaHCO3 was added. The mixture was extracted with EtOAc and the organic extract was washed with a saturated solution of NaHCO3, water, brine, dried with anhydrous Na2SO4, filtered and concentrated. The crude product was purified by chromatography on silica gel using 5% EtOAc/hexane to give 856 mg (2.3 mmol, 96%) of the silyl ether. To a suspension of LiAlH4 (65 mg, 1.7 mmol) in dry THF (7 mL) was added a solution of the silyl ether (856 mg, 2.3 mmol) in dry THF (13.5 mL) at 0° C. The mixture was allowed to warm slowly to rt and stirred for 50 min after which EtOAc and 1N HCl were added. The mixture was extracted with EtOAc and the organic extract was washed with water, a saturated solution of NH4Cl, water, brine, dried with anhydrous Na2SO4, filtered and concentrated. The crude product was purified by chromatography on silica gel using 25% EtOAc/hexane to give 654 mg (2.3 mmol, 99%) of the alcohol. The alcohol (654 mg, 2.3 mmol) was dissolved in dry CH2Cl2 (25 mL). Then Dess-Martin periodinane (1.67 g, 3.94 mmol) was added and stirred for 4 hr after which a saturated solution of Na2S2O3 and a saturated solution of NaHCO3 were added. The mixture was extracted with EtOAc and the organic extract was washed with a saturated solution of NaHCO3, water, brine, dried with anhydrous Na2SO4, filtered and concentrated to give 648 mg (2.3 mmol, quant.) of TM-03. TM-02 (2.2 eq., 5.0 mmol, 1.89 g) was dissolved in THF (20 mL) and cooled to −78° C., under nitrogen. Then, n-BuLi (1.6M/hexane, 2.0 eq., 4.5 mmol, 2.8 mL) was added and the reaction was stirred at −78° C. for 60 min Aldehyde TM-03 (2.3 mmol, 648 mg) dissolved in THF (8 mL) was added to the solution and stirred for 60 min at −78° C. The solution was allowed to warm to rt and stirred for 1.5 hrs. The mixture was quenched with water, extracted with EtOAc and the organic extract was washed with brine, dried with Na2SO4, filtered and concentrated. The residue was purified by chromatography on silica gel using 15% EtOAc/hexane to give 1.393 g (2.1 mmol, 92%) of TM-04. TM-04 (2.1 mmol, 1.39 g) was dissolved in hexane (40 mL). Then, quinoline (27 mg) and 5% Pd—BaSO4 on carbon (88 mg) were added. H2 balloon was mounted and the mixture was purged 5× with H2. Reaction was stirred under hydrogen. After 27 hrs, reaction was stopped, catalyst was filtered through celite and mixture was concentrated under reduced pressure. The crude product was purified by chromatography on silica gel using 15% EtOAc/hexane to give 957 mg (1.4 mmol, 69%) of TM-05 as major isomer and 267 mg (0.4 mmol, 19%) of the diastereomer of allylic hydroxy position. Using same procedure for 554-RB-242, TM-05 (954 mg, 1.4 mmol) was converted to TM-06 (913 mg, 1.2 mmol, 83%). TM-06 (912 mg, 1.2 mmol) was dissolved in THF (23 mL). Then, acetic acid (0.084 mL, 1.5 mmol) and 1.0M solution of tetrabutylammonium fluoride in THF (1.23 mL, 1.23 mmol) were added at rt. The mixture was stirred overnight after which a saturated solution of NH4Cl was added. The mixture was extracted with EtOAc and the organic extract was washed with a saturated solution of NaHCO3, water, brine, dried with anhydrous Na2SO4, filtered and concentrated. The crude product was purified by chromatography on silica gel using 30% EtOAc/hexane to EtOAc as eluents to give 362 mg (0.55 mmol, 47%) of TM-07 and 212 mg (0.50 mmol, 43%) of TM-08. Using same procedure for 554-RB-260, TM-07 (359 mg, 0.54 mmol) was converted to TM-09 (374 mg, 0.48 mmol, 89%). Using same procedure for 5, TM-09 (372 mg, 0.48 mmol) was converted to TM-10 (339 mg, 0.35 mmol, 72%). To a stirred solution of TM-10 (172 mg, 0.18 mmol) in THF (2 mL) and EtOH (2 mL) was added 1N NaOH aq. (2 mL) at rt. After 2.5 hrs, it was quenched by 1N HCl and extracted with EtOAc. The organic extract was washed with water, brine, dried with anhydrous Na2SO4, filtered and concentrated. The crude product was purified by chromatography on silica gel using 30% EtOAc/hexane to give 143 mg (0.16 mmol, 93%) of the allyl alcohol. The allyl alcohol (143 mg, 0.16 mmol) was dissolved in THF (3 mL). Then, 1.0M solution of tetrabutylammonium fluoride in THF (0.49 mL, 0.49 mmol) was added at rt. The mixture was stirred for 3 hrs after which 1N HCl was added. The mixture was extracted with EtOAc and the organic extract was washed with water, brine, dried with anhydrous Na2SO4, filtered and concentrated. The crude product was purified by chromatography on silica gel using 10% MeOH/EtOAc to give 87 mg (0.16 mmol, quant.) of TM-11. To a stirred solution of TM-11 (87 mg, 0.16 mmol) in THF (3 mL) were added triethylamine (0.029 mL, 0.2 mmol) and 2,4,6-trichlorobenzoyl chloride (0.032 mL, 0.2 mmol) at rt. After 16 hrs, the reaction mixture was diluted with toluene (80 mL) and added dropwise to a solution of N,N-dimethylaminopyridine (498 mg, 4.1 mmol) in toluene (80 mL) over a period of 8 hrs under reflux. The resultant mixture was stirred for 15 hrs under reflux. After concentration under reduced pressure, the residue was dissolved in EtOAc and washed with 5% citric acid aq., water, brine and dried over anhydrous Na2SO4, filtered and concentrated. The crude product was purified by chromatography on silica gel using 30% EtOAc/hexane to give 53 mg (0.10 mmol, 64%) of TM-12. Using similar procedure for 509-HD-125, TM-12 (39.4 mg, 0.078 mmol) was converted to TM-13 (36.8 mg, 0.073 mmol, 94%). To a stirred solution of TM-13 (12 mg, 0.024 mmol) in THF (1 mL)-H2O (0.5 mL) was added trifluoroacetic acid (1 mL) at 0° C. The mixture was then allowed to warm to rt. After 3.5 hrs, the mixture was poured into a saturated solution of NaHCO3 and extracted with EtOAc. The organic extract was washed with water, brine and dried over anhydrous Na2SO4, filtered and concentrated. The crude product was purified by chromatography on silica gel using 30% EtOAc/hexane to give 1.2 mg (0.0028 mmol, 12%) of NF0675. Synthetic Procedure for NF0879 and NF0880 Using modified procedure for TM-02, TM-15 (10.56 g, 31.6 mmol) was obtained from 10.4 g (0.1 mol) of methyl S-lactate. Using same procedure for TM-04, TM-03 (3.64 g, 12 mmol) was converted to TM-16 (5.29 g, 8.5 mmol, 69%). Using same procedure for TM-05, TM-16 (5.28 g, 8.5 mmol) was converted to TM-17 (4.91 g, 7.9 mmol, 93%). From 4.904 g (7.8 mmol) of TM-17, TM-19 (1.120 g, 1.8 mmol, 23% 2 steps) and TM-20 (2.218 g, 4.4 mmol, 57% 2 steps) were obtained by similar procedure for TM-07. Using similar procedure for TM-10, 1.104 g (1.8 mmol) of TM-19 was converted to TM-22 (955 mg, 1.03 mmol, 58% 4 steps). Using similar procedure for TM-11, 955 mg (1.03 mmol) of TM-22 was converted to TM-23 (593 mg, 0.98 mmol, 95% 2 steps). Using similar procedure for TM-12, 590 mg (0.98 mmol) of TM-23 was converted to TM-24 (438 mg, 0.75 mmol, 77%). Using similar procedure for TM-13, 209 mg (0.36 mmol) of TM-24 was converted to TM-25 (186 mg, 0.32 mmol, 89%). Using similar procedure for NF0675, 186 mg (0.32 mmol) of TM-25 was converted to NF0879 (72 mg, 0.14 mmol, 45%). NF0879 (16 mg, 0.032 mmol) was dissolved in CH2Cl2 (3 mL), H2O (0.3 mL) and DDQ (2 eq., 0.064 mmol, 14.9 mg) were added and the mixture was stirred vigorously at rt for 3 hrs. The mixture was quenched with a saturated solution of NaHCO3 and diluted with EtOAc. The organic layer was separated and washed with a saturated solution of NaHCO3, brine, dried with Na2SO4, filtered and concentrated. The crude residue was purified by chromatography on silica gel using 5% MeOH/CHCl3 to give 5 mg (0.013 mmol, 41%) of NF0880. Synthetic Procedure for NF0905 TM-20 (2.218 g, 4.4 mmol) was dissolved in CH2Cl2 (45 mL), imidazole (520 mg, 7.6 mmol) was added and the mixture was cooled to 0° C. in ice/water bath. Then TBSCl (768 mg, 5.1 mmol) was added, the mixture was allowed to warm slowly to rt and stirred for 1.5 hrs after which a saturated solution of NaHCO3 was added. The mixture was extracted with EtOAc and the organic extract was washed with a saturated solution of NaHCO3, water, brine, dried with anhydrous Na2SO4, filtered and concentrated to give 2.79 g of TM-26 as crude product. TM-26 (2.79 g) was dissolved in CH2Cl2 (45 mL), triethylamine (1.85 mL, 13.3 mmol) and N,N-dimethylaminopyridine (54 mg, 0.44 mmol) were added and the mixture was cooled to 0° C. in ice/water bath. Then benzoyl chloride (1.03 mL, 8.9 mmol) was added, the mixture was allowed to warm slowly to rt and stirred overnight after which a saturated solution of NaHCO3 was added. The mixture was extracted with EtOAc and the organic extract was washed with a saturated solution of NH4Cl, 5% citric acid aq., water, and brine, dried with anhydrous Na2SO4, filtered and concentrated to give 4.33 g of TM-27 as crude product. TM-27 (4.33 g) was dissolved in CH2Cl2 (50 mL), H2O (5 mL) and DDQ (1.28 g, 5.5 mmol) were added and the mixture was stirred vigorously at rt for 2 hrs. The mixture was quenched with a saturated solution of NaHCO3 and diluted with EtOAc. The organic layer was separated and washed with a saturated solution of NaHCO3, brine, dried with Na2SO4, filtered and concentrated. The crude residue was purified by chromatography on silica gel using 20% EtOAc/hexane to give 2.99 g of TM-28 with slightly amount of impurities. TM-28 (2.99 g) was dissolved in CH2Cl2 (60 mL), 2,6-di-tert-butyl-4-methyl-pyridine (3.34 g, 16 mmol) and methyl trifrate (1.5 mL, 13 mmol) were added and the mixture was stirred under reflux overnight. The mixture was quenched with a saturated solution of NaHCO3 and diluted with EtOAc. The organic layer was separated and washed with a saturated solution of NaHCO3, brine, dried with Na2SO4, filtered and concentrated. The crude residue (6.25 g) was dissolved in THF (60 mL). Then, 1.0M solution of tetrabutylammonium fluoride in THF (5.5 mL, 5.5 mmol) was added at rt. The mixture was stirred for 1.5 hrs after which a saturated solution of NH4Cl was added. The mixture was extracted with EtOAc and the organic extract was washed with water, brine, dried with anhydrous Na2SO4, filtered and concentrated. The crude product was purified by chromatography on silica gel using 30% EtOAc/hexane to give 362 mg (0.73 mmol, 16% 5 steps) of TM-29. Using similar procedure for TM-09, 359 mg (0.72 mmol) of TM-29 was converted to TM-30 (376 mg, 0.62 mmol, 86%). Using similar procedure for TM-23, 371 mg (0.61 mmol) of TM-30 was converted to TM-31 (207 mg, 0.42 mmol, 69% 5 steps). Using similar procedure for TM-12, 207 mg (0.42 mmol) of TM-31 was converted to TM-32 (206 mg, 0.42 mmol, quant.). Using similar procedure for TM-13, 206 mg (0.42 mmol) of TM-32 was converted to TM-33 (170 mg, 0.36 mmol, 83%). Using similar procedure for NF0675, 170 mg (0.36 mmol) of TM-33 was converted to NF0905 (50 mg, 0.13 mmol, 35%). Preparation of Compound ER-804003 (C3 trifluoromethyl) Step 1 A solution of ethyl (R)-3-hydroxy-4,4,4-trifluorobutanoate (2 g, 10.7 mmol) in DMF (20 mL) was treated with tert-butyldiphenylsilyl chloride (8.34 mL, 32.1 mmol) and imidazole (3.28 g, 35.3 mmol). The reaction mixture was heated at 70° C. under an inert atmosphere for 16 hours. The usual work up followed by partial purification by chromatography gave impure compound 557-MS-4 (1 g, approximately 22%). Step 2 A solution of impure compound 557-MS-4 (380 mg, assumed to contain 0.89 mmol) in dichloromethane (5 mL) was cooled to −78° C. and treated with a 1M solution of diisobutylaluminum hydride in dichloromethane (1.79 mL, 1.79 mmol). The reaction mixture was allowed to warm to room temperature and worked up in the usual manner Partial purification by chromatography gave impure compound 557-MS-10 (which was used in the next stage without further purification). Step 3 To a solution of triphenylphosphine (910 mg, 3.47 mmol) in dry dichloromethane (6 mL), at 0° C. under an inert atmosphere, was added drop wise a solution of carbon tetrabromide (575 mg, 1.73 mmol) in dry dichloromethane (3 mL). After 10 minutes a mixed solution of impure compound 557-MS-10 (assumed to contain 0.86 mmol) plus triethylamine (0.181 mL, 1.3 mmol) in dry dichloromethane (3 ml) was added drop wise. The reaction mixture was worked up in the usual manner to give compound 557-MS-14 (331 mg, 72% from 557-MS-4). Step 4 To a solution of compound 557-MS-14 (331 mg, 0.61 mmol) in dry THF (2.5 mL), at −78° C. under an inert atmosphere, was added drop wise a 1.6M solution of n-butyllithium in hexanes (0.771 mL, 1.23 mmol). The reaction mixture was warmed momentarily to 0° C. then re-cooled to −78° C. A solution of compound 480-XYL-075 (247 mg, 0.5 μmol) in dry tetrahydrofuran (2.5 mL) was added drop wise. Warming to 0° C. followed by the usual work up and chromatographic purification gave compound 557-MS-19 (300 mg, 57%). Step 5 A solution of compound 557-MS-19 (300 mg, 0.35 mmol) in hexane (10 mL) was hydrogenated, at room temperature and 1 atmosphere pressure, in the presence of Lindlar's catalyst (60 mg) and quinoline (4 μL) for 40 hours (fresh Lindlar catalyst (120 mg) added after 2 hours). Filtration and concentration in vacuo gave compound 557-MS-22 (302 mg) which was used in the next stage without purification. Step 6 A solution of crude compound 557-MS-22 (assumed to contain 0.35 mmol) in 1,2-dichloroethane (10 mL) was treated with benzoyl chloride (0.122 mL, 1.05 mmol), triethylamine (0.293 mL, 2.1 mmol) and N,N-4-dimethylaminopyridine (21 mg, 0.175 mmol). The usual work up followed by chromatographic purification gave compound 557-MS-26 (177 mg, 53% from compound 557-MS-19). Step 7 A solution of compound 557-MS-26 (177 mg, 0.183 mmol) in THF (3 mL) was treated with a 1M solution TBAF in THF (1.83 mL). The usual work up gave crude compound 557-MS-43, which was used in the next stage without further purification (m/z: 623.3 [M-1, 24%], 249.1 [100%]). Step 8 A solution of crude compound 557-MS-43 (84 mg, 0.13 mmol) in 1,2-dichloroethane (90 mL) was added slowly to a heated solution (80° C.) of 2-chloro-1-methylpyridinium iodide (210 mg, 0.81 mmol) and tri-n-butylamine (0.192 ml, 0.81 mmol) in dichloromethane (90 mL). The usual work up and chromatographic purification gave compound 557-MS-70 (15.7 mg, 20% from compound 557-MS-26). Step 9 A solution of compound 557-MS-70 (15.7 mg, 25 μmol) in a mixture of ethanol (1.8 mL) and THF (0.9 mL) was treated with 1M aqueous NaOH (0.3 mL) and stirred for approximately 16 hours at room temperature. The usual work up gave compound 557-MS-74 (6 mg, 46%). Step 10 A solution of compound 557-MS-74 (9 mg, 18 μmol) in dichloromethane (3 mL) was treated with PCC (58 mg, 0.269 mmol) in the presence of powdered 4 Å molecular sieves (58 mg). The reaction mixture was stirred vigorously for 90 minutes at room temperature. Basification with excess triethylamine, followed by partial chromatographic purification gave impure compound 557-MS-77, which was used in the next stage without further purification (m/z: 523.1 [M+23, 100%], 365.1 [22%]). Step 11 A solution of impure compound 557-MS-77 (1 mg, assumed to contain 2 μmol) in a mixture of acetonitrile (200 μl) and dichloromethane (50 μl) was treated with 48% aqueous hydrofluoric acid (50 μl). After 25 minutes the usual work up followed by chromatographic purification gave compound ER-804003 (0.3 mg, approximately 4% from compound 557-MS-74). Preparation of Compound ER-803924 (C4 Benzyl) Step 1 To a solution of freshly prepared LDA (0.053 mmol) in dry THF (30 mL), at −78° C. under an inert atmosphere, was added drop wise a solution of methyl (S)-3-hydroxybutanoate (3 g, 0.025 mol) in dry THF (30 mL). After 2 hours at −78° C. the reaction mixture was treated drop wise with benzyl bromide (9.06 mL, 0.076 mol), then warmed to room temperature. The usual work up followed by chromatographic purification gave compound 501-MS-226 (1.28 g, 24%). Step 2 A solution of compound 501-MS-226 (1.28 g, 6.14 mmol) in DMF (10 mL) was treated with tert-butyldiphenylsilyl chloride (1.76 mL. 6.75 mmol) and imidazole (461 mg, 6.75 mmol) then heated at 50° C. for 4 hours. The usual work up followed by chromatographic purification gave compound 501-MS-251 (1.87 g, 68%). Step 3 To a solution of compound 501-MS-251 (1.37 g, 3.06 mmol) in dry dichloromethane (50 mL), at −78° C. under an inert atmosphere, was added a 1.5M solution of DIBAL-H in toluene (5.11 mL, 7.66 mmol). The reaction mixture was then warmed to 0° C. and stirred at 0° C. for 2 hours. The usual work up followed by chromatographic purification gave compound 501-MS-255 (1.06 g, 83%). Step 4 To a solution of oxalyl chloride (0.314 mL, 3.6 mmol) in dry dichloromethane (8 mL), at −78° C. under an inert atmosphere, was added drop wise a solution of dimethylsulfoxide (0.51 mL, 7.2 mmol) in dry dichloromethane (4 mL). After 30 minutes a solution of compound 501-MS-255 (1.369 g, 3.27 mmol) in dry dichloromethane (8 mL) was added drop wise. The reaction mixture was stirred at −78° C. for 1 hour then treated with triethylamine (2.28 mL, 16.35 mmol) then warmed slowly to room temperature. The usual work up gave compound 501-MS-257 (1.24 g, 91%). Step 5 To a solution of triphenylphosphine (2.57 g, 9.81 mmol) in dry dichloromethane (16 mL), at 0° C. under an inert atmosphere, was added drop wise a solution of carbon tetrabromide (1.63 g, 4.91 mmol) in dry dichloromethane (8 mL). A mixed solution of compound 501-MS-257 (1.24 g, 2.97 mmol) and triethylamine (0.501 ml, 3.6 mmol) was added drop wise and the reaction mixture warmed to room temperature. The usual work up followed by chromatographic purification gave compound 501-MS-261 (1.47 g, 79% from 501-MS-255). Step 6 To a solution of compound 501-MS-261 (1.47 g, 2.57 mmol) in dry THF (10 mL), at −78° C. under an inert atmosphere, was added drop wise a 1.6M solution of n-butyllithium in hexanes (3.21 mL, 5.14 mmol). The reaction mixture was warmed momentarily to 15° C. then re-cooled to −78° C. A solution of compound 480-XYL-075 (950 mg, 1.976 mmol) in dry THF (10 mL) was added drop wise. Warming to 0° C. followed by the usual work up and chromatographic purification gave compound 501-MS-265 (1.11 g, 63%). Step 7 A solution of compound 501-MS-265 (1.11 g, 1.24 mmol) in hexane (70 mL) was hydrogenated, at room temperature and 1 atmosphere pressure, in the presence of Lindlar's catalyst (350 mg) and quinoline (70 μL), for 5 hours. Filtration and concentration in vacuo gave compound 501-MS-267 (1.13 g, assumed quantitative), which was used in the next stage without purification. Step 8 A solution of compound 501-MS-267 (160 mg, 0.178 mmol) in THF (1 mL) was treated with a 1M solution of TBAF in THF (0.89 mL). After approximately 15 hours the usual work up gave crude compound 501-MS-279 (81 mg, approximately 82%). Step 9 A solution of compound 501-MS-279 (81 mg, 0.146 mmol) in 1,2-dichloroethane (100 mL) was added slowly to a heated solution (85° C.) of 2-chloro-1-methylpyridinium iodide (223 mg, 0.87 mmol) and tri-n-butylamine (0.207 ml, 0.87 mmol) in dichloromethane (100 mL). The usual work up and chromatographic purification gave compound 501-MS-282 (15 mg, 19%) (m/z: 555.4 [M-1; 100%], 511.4 [28%]. Step 10 A solution of compound 501-MS-282 (15 mg, 0.027 mmol) in dichloromethane (3 mL) was treated with PCC (72 mg, 0.334 mmol) in the presence of powdered 4 Å molecular sieves (72 mg). The reaction mixture was stirred vigorously for 90 minutes at room temperature. Basification with excess triethylamine, followed by chromatographic purification gave compound 501-MS-284 (12 mg, 80%). Step 11 A solution of compound 501-MS-284 (9 mg, approximately 0.016 mmol) in a mixture of acetonitrile (1.2 mL) and dichloromethane (300 μL) was treated with 48% aqueous hydrofluoric acid (300 μL). After 20 minutes the usual work up followed by chromatographic purification gave compound ER-803924 (7.5 mg, quantitative). Preparation of C3-Hydrogen with C4-Methyl Analogs: Synthesis of ER-804035: To the methyl (S)-(+)-3-hydroxy-2-methylpropionate (14.4 g, 0.121 mol) in DMF (26 mL) at 0° C. were added 4-dimethylaminopyridine (0.79 g, 0.006 mol), imidazole (14.3 g, 0.210 mol) and t-butyldimethylchlorosilane (23.8 g, 0.158 mol). The mixture was stirred at 0° C. for 10 min then at room temperature overnight. The mixture was partitioned between ether and saturated sodium bicarbonate solution. The two layers were separated and the aqueous layer was extracted with ether three times. The ether extracts were combined, dried with sodium sulfate and concentrated. The crude sample was chromatographed on a silica gel column eluting with 5% ethyl acetate in hexanes to get 29.6 g (98%) of product, 480-XYL-073 with satisfactory1H-NMR data. The compound 480-XYL-073 (5.04 g, 21.7 mmol) was dissolved in methylene chloride (216 mL) and cooled to −78° C. To this was added diisobutylaluminium hydride solution in methylene chloride (1.0M, 22 mL) at a rate of 13.3 mL per hour via syringe pump down the inner side of flask wall. After completion of addition, the mixture was stirred additional 30 min. The reaction was quenched slowly with methanol down the wall and added some saturated aqueous solution of potassium sodium tartrate. The mixture was warmed up to rt., added additional potassium sodium tartrate solution and stirred vigorously for 1 h. The layers were separated and aqueous layer was extracted two times with methylene chloride. The combined organic layers were dried with sodium sulfate, filtered and concentrated to get 4.36 g of crude material, 480-XYL-077. The1H-NMR data analysis showed the desired product aldehyde: starting material:over-rudeced alcohol ratio was 3:1.33:1. This mixture was directly used for the synthesis of 480-XYL-079. The compound 480-XYL-079 was synthesized following the same procedure as the synthesis of 554-RB-228. DMSO (0.5 mL) in methylene chloride (24 mL) was cooled to −78° C. To this, was added oxalyl chloride solution in methylene chloride (2.0M, 1.7 mL) and the mixture was stirred for 10 min at −78° C. The compound 531-YW-005 (1.4 g, 2.9 mmol) in a solution of methylene chloride (3 mL and rinsed, 2×2 mL) was added via a cannula, and the mixture was stirred for 10 min at −78° C. To this, was added triethylamine (2.5 mL) drop wise and the mixture was stirred for 1 hour at −78° C., was warmed to 0° C. The reaction was diluted with large amount of ether and washed once with saturated ammonium chloride solution and water (1:1), and with water (3×). The ether layer was concentrated in vacuo and re-dissolved in large amount of ether. This was washed two times with water and once with brine. The ether layer was concentrated, azeotroped with ethyl acetate and toluene and dried under high vacuum to get 1.36 g (98%), 480-XYL-075 which showed good purity by1H-NMR spectrum. This material was immediately used for the synthesis of 480-XYL-081. The synthesis of 480-XYL-084 followed the same procedure as the synthesis of 554-RB-240. The compound 480-XYL-084 (855 mg, 1.21 mmol) was dissolved in a mixture of methanol and water (5:1, 60 mL). A slurry solution of Rieke-zinc in THF (8 mL) was added and the mixture was heated to reflux with stirring for three hours. The mixture was filtered through a plug of celite and silica gel, rising with ethyl acetate. The filtrate was concentrated, re-dissolved in methylene chloride and washed with saturated ammonium chloride solution and then with saturated sodium bicarbonate solution. The aqueous phase was back extracted two times with methylene chloride and once with ethyl acetate. The combined organic layers were dried with sodium sulfate and concentrated to get 944 mg of crude material, 480-XYL-075, which showed satisfactory purity by1H-NMR spectrum and directly used for the synthesis of 480-XYL-092. The synthesis of 480-XYL-092 was the same as the procedure of the synthesis of 554-RB-242. ER-804035 The synthesis of ER-804035 from 480-XYL-092 was followed the same procedure as for the synthesis of ER-803064. Oxalyl chloride (6.5 mL, 74.1 mmol) was dissolved in 150 ml dichloromethane at −78° C. Methyl sulfoxide (10.5 mL, 148.2 mmol) was added. After 20 min, the solution of starting material (5.2 g, 24.7 mmol) in 50 mL of dichloromethane was added at −78° C. After stirring for 1 h at −78° C., triethylamine (31.0 mL, 222 mmol) was added and the reaction mixture was warmed up to room temperature. It was quenched with sat ammonium chloride and extracted with ethyl acetate. After purification on silica gel column, 509-HD-183 was obtained in 79% yield. Triphenylphosphine (13.4 g, 51.2 mmol) was dissolved in 100 mL dichloromethane at 0° C. Carbon tetrabromide (8.5 g, 25.6 mmol) was added. After 15 min, the solution of 509-HD-183 (4.1 g, 19.7 mmol) and triethylamine (2.8 mL, 19.7 mmol) in 50 ml of dichloromethane was added. After stirring for 30 min, the reaction mixture was triturated with pentane. After purification on silica gel column, 509-HD-184 was obtained in 88% yield. 509-HD-184 (553 mg, 1.52 mmol) was dissolved in 10 mL of THF at −78° C. The solution of n-butyl lithium (2.5M, 1.33 mL) in hexane was added. After 15 min at −78° C., the solution of 531-HYW-5 in 5 ml of THF was added. After stirring for 30 min at −78° C., the reaction mixture was warmed up to room temperature. It was quenched with water and extracted with ethyl acetate. After purification on silica gel column, 509-HD-185 was obtained in 95% yield. 509-HD-185 (750 mg, 1.09 mmol) was dissolved in 40 mL of hexane. Quinoline (50 μL) and Lindlar catalyst (120 mg) were added. The reaction mixture was stirred at room temperature under H2 balloon atmosphere for 5 h. Then the catalyst was filtered away. Quantitative amount of 509-HD-186 was obtained. 509-HD-186 (861 mg, 1.09 mmol) was dissolved in 15 mL of dichloromethane at room temperature. Triethylamine (380 μL, 2.73 mmol), benzoyl chloride (253 μL, 2.18 mmol) and catalytic amount of DAMP were added, respectively. After stirring for 20 h, 0.1N sodium hydroxide solution was added and the reaction mixture was extracted with ethyl acetate. The crude product was purified on silica gel column, giving 509-HD-187 in 95% yield. 509-HD-187 (813 mg, 1.03 mmol) was dissolved in a mixture of 10 mL of dichloromethane and 5 mL of water. DDQ (234 mg, 1.03 mmol) was added. After stirring at room temperature for 1 h, the reaction mixture was quenched with sat. sodium bicarbonate solution and extracted with ethyl acetate. After purification on silica gel column, 509-HD-188 was obtained in 48% yield. 509-HD-188 (313 mg, 0.47 mmol) was dissolved in 15 mL of dichloromethane at 0° C. Triethylamine (130 μL, 0.94 mmol) and methanesulfonyl chloride (54 μL, 0.71 mmol) were added. After stirring for 20 min, the reaction mixture was quenched with sat. sodium bicarbonate and extracted with dichloromethane. After purification on silica gel column, 509-HD-189 was obtained in 93% yield. 509-HD-189 (327 mg, 0.44 mmol) was dissolved in 10 mL of DMF. Sodium azide (85 mg, 1.32 mmol) and catalytic amount of tetrabutylammonium iodide were added. After stirring at 85° C. for 2 h, the reaction mixture was diluted with ethyl acetate and washed with water. After purification on silica gel column, 509-HD-190 was obtained in 93% yield. 509-HD-190 (297 mg, 0.43 mmol) was dissolved in 10 mL of THF. The solution of TBAF (1N, 1.3 mL) was added. The reaction mixture was stirred at room temperature for 1 h. It was diluted with Et2O and washed with H2O. After purification on silica gel column, 509-HD-191 (215 mg) was obtained in quantitative yield. Trimethylphosphine (1N, 1.5 mL) was dissolved in a mixture of 15 mL of THF and 5 mL of water at room temperature. 509-HD-191 (215 mg, 0.31 mmol) was added. After stirring for 12 h, it was concentrated and azeotroped with toluene. The residue was re-dissolved in 50 ml dichloromethane. EDC (593 mg, 3.1 mmol) was added. After stirring for 2 h, it was diluted with water and extracted with dichloromethane. After purification on HPTLC, 509-HD-197 was obtained in 30% yield. 509-HD-197 (51 mg, 0.092 mmol) was dissolved in 5 mL of ethanol. Sodium hydroxide (1N, 0.92 mL) solution was added. The reaction mixture was stirred for 48 h at room temperature. It was diluted with H2O, extracted with EtOAc. After purification on HPTLC, 11.5 mg of the major desired single isomer 509-HD-198 was obtained as colorless oil. 509-HD-198 (10.0 mg, 0.022 mmol) was dissolved in 3 mL of dichloromethane. Molecular sieve (4 A, 48 mg) and PCC (48 mg, 0.22 mmol) were added. The reaction mixture was stirred for 48 h at room temperature. After purification on prep TLC, 509-HD-200 was obtained in 35% yield. 509-HD-200 (13 mg, 0.0079 mmol) was dissolved in 0.25 mL of dichloromethane. Then hydrofluoric acid (6N, 1 mL) was added. The reaction mixture was stirred at room temperature for 1 h. It was diluted with more dichloromethane, washed with water and sat. sodium bicarbonate solution. After purification on a plug of silica gel, ER804022 was obtained as a white solid in quantitative yield. Preparation of ER-803027-00-01 447-JCH-245B To a magnetically stirred solution of 531-YW-2-2 (3.5 g, 13.4 mmol) in 15 mL of dry DMF cooled to −0° C. (ice/water; external thermometer) was introduced NaH (0.39 g, 16 mmol) followed by benzyl bromide (0.34 g, 20 mmol). After 18 hours of stirring at room temperature the reaction mixture was cooled down at 0° C. and water was added. The reaction mixture was diluted with water and extracted with Ethyl ether. The crude was purified on silica gel (Hexane/EtOAc: 90/10) to afford 447-JCH-245B (0.93 g, 20% yield). 447-JCH-268B To a magnetically stirred solution of 447-JCH-245B (0.93 g, 2.7 mmol) in 8 mL of ethanol 1 M NaOH aqueous solution (4 mL) was added. After 18 hours of stirring at room temperature the reaction mixture was diluted with water and extracted with ethyl ether. The crude was purified on silica gel (Hexane/EtOAc: 60/40) to afford 447-JCH-268B (0.47 g, 67% yield). 447-JCH-271B Using a procedure analogous to that described for the synthesis of intermediate 531-YW-3, 447-JCH-268B (0.450 g, 1.69 mmol) was reacted with triphenylphosphine (0.887 g, 3.38 mmol), DEAD (0.32 mL, 2 mmol) and methyl iodide (0.158 mL, 2.54 mmol) in toluene (16.9 mL) to afford 447-JCH-271B (0.553 g, 86% yield). 447-JCH-273B To a magnetically stirred solution of 509-HD-213 (0.553 g, 1.47 mmol) and 447-JCH-271B (1.06 g, 2.2 mmol) in 6 ml of a 10:1 ratio of HMPA/THF mixture at −78° C. (dry ice/acetone; internal thermometer) was slowly (syringe pump) introduced a 1 M solution of LiHMDS in THF (2.2 mL, 2.2 mmol) diluted with 2.2 mL of the same mixture. After 30 min at −78° C., the reaction mixture was warmed-up to 0° C. The reaction was then quenched by addition of a saturated aqueous solution of ammonium Chloride. The reaction mixture was diluted with water and extracted with Ethyl ether. The crude was purified on silica gel (Hexane/EtOAc: 90/10 to afford 447-JCH-273B (0.910 g, 84% yield). 447-JCH-275B To a magnetically stirred solution of 447-JCH-273B (0.910 g, 1.25 mmol) in 24 mL of dichloromethane at 0° C. (ice/water; external thermometer), MCPBA (0.66 g, 3.8 mmol) was added. After 15 min of stirring at 0° C., triethylamine was added (1.5 mL) and the reaction mixture was warmed-up to room temperature. After 45 min of stirring at room temperature a 10% solution of sodium thiosulfate in a saturated aqueous solution of sodium bicarbonate was added and the mixture was stirred for 30 minutes. The reaction mixture was diluted with water and extracted with Ethyl ether. The crude was purified on silica gel (Hexane/EtOAc:80/20 to afford 447-JCH-275B (0.70 g, 98% yield). 447-JCH-277B To a magnetically stirred solution of 447-JCH-275B (0.71 g, 1.2 mmol) in 15 mL of methanol at room temperature was introduced a catalytic amount of Pd 10% on carbon. The reaction mixture was stirred 18 hours at room temperature and then filtered through a pad of celite. The crude was purified on silica gel (Hexane/EtOAc:70/30) to afford 447-JCH-277B (0.58 g, 99% yield). 447-JCH-280A Using a procedure analogous to that described for the synthesis of intermediate 480-XYL-075, 447-JCH-277B (0.6 g, 1.2 mmol) was reacted with Dess-Martin reagent (0.763 g, 1.8 mmol), and sodium bicarbonate (0.38 g) in dichloromethane (48 ml) to afford 447-JCH-280A (0.602 g). 447-JCH-282B Using a procedure analogous to that described for the synthesis of ER-803064 (stage 509-HD-108), 447-JCH-280A (0.6 g,) was reacted with intermediate 343-YW-276 (0.32 g, 1.56 mmol) in THF (18 mL) to afford 447-JCH-282B (0.6 g, 70% yield from 447-JCH-277B). 447-JCH-283B Using a procedure analogous to that described for the synthesis of ER-803064 (stage 509-HD-112), 447-JCH-282B (0.6 g,) hydrogenated using Lindlar catalyst to afford 447-JCH-283B (0.61 g). 447-JCH-285B Using a procedure analogous to that described for the synthesis of ER-803064 (stage 509-HD-115), 447-JCH-283A (0.72 g) was reacted with benzoyl chloride (0.37 mL, 2.63 mmol) to afford 447-JCH-285B (0.78 g, 93%). 447-JCH-287B To a magnetically stirred solution of 447-JCH-285B (0.68 g, 0.86 mmol) in a 2/1 dichloromethane/water mixture (26 mL) at room temperature, DDQ (0.17 g) was added. After 40 minutes of stirring at room temperature, the reaction mixture was diluted with ethyl acetate washed once with an aqueous solution of sodium hydroxide (0.1N) and twice with water. The crude product was purified by flash chromatography eluting with hexane/ethyl acetate: (60/40) to afford 447-JCH-287B (0.52 g, 88%). 447-JCH-288A Using a procedure analogous to that described for the synthesis of ER-803064 (stage 509-HD-116), 447-JCH-287B (0.58 g, 0.86 mmol) was reacted with TBAF (0.68 g, 2.6 mmol) in THF (2.6 mL) to afford 447-JCH-288A (0.47 g). 447-JCH-290B To a magnetically stirred solution of 447-JCH-288A (0.31 g, 0.54 mmol) and triphenylphosphine (0.34 g, 2.17 mmol) in THF (43 mL) at room temperature, DEAD (0.57 g, 2.17 mmol) was added. After 1 hour of stirring at room temperature, the reaction mixture was concentrated under vacuum. The crude product was purified by flash chromatography eluting with hexane/ethyl acetate: (70/30) to afford 447-JCH-290B (0.21 g, 70%). 447-JCH-294B Using a procedure analogous to that described for the synthesis of ER-803064 (stage 509-HD-119), 447-JCH-290B (0.21 g, 0.38 mmol) was reacted with sodium hydroxide (1M solution, 1.9 mL, 1.9 mmol) in ethanol (5.7 mL) to afford 447-JCH-294B (0.128 g, 73%). 447-JCH-295B To a magnetically stirred solution of 447-JCH-294B (0.07 g, 0.155 mmol) in dichloromethane (15 mL) at room temperature sodium bicarbonate (0.08 g) and Dess-Martin reagent (165 mg, 0.388 mmol) were added. After 45 minutes of stirring at room temperature, a 10% (w/w) thiosulfate solution in saturated aqueous solution of sodium bicarbonate was added. The reaction mixture was diluted with water and extracted with ethyl ether. The crude product was purified by flash chromatography eluting with n-hexane/ethyl acetate: (60/40) 447-JCH-295B (0.06 g, 88%). 447-JCH-296B/ER-803027 Using a procedure analogous to that described for the synthesis of ER-803064 (stage 509-HD-125), 447-JCH-295B (0.017 g, 0.038 mmol) was reacted with HF (48%) (0.85 ml) in acetonitrile (3.4 mL) to afford 447-JCH-296B/ER-803027 (0.006 g, 97%). Preparation of B2329: 447-SG-089A A mixture of 1,3-propanediol (15 g, 197 mmol), p-anisaldehyde dimethylacetal (37 mL, 217 mmol) and p-toluene sulfonic acid (35 mg) was stirred under slight vacuum for 6 hours at 35° C. in DMF (35.5 mL). The reaction mixture was cooled to room temperature, and then a saturated aqueous solution of sodium bicarbonate was added. The reaction mixture was diluted with water and extracted with ethyl acetate to afford 447-SG-089A (35.8 g). The crude was used directly into the next step without purification. 447-SG-89B To a magnetically stirred solution of 413-SG-89A (12.95 g, 66.67 mmol) in dichloromethane (225 mL) cooled to −5° C. (Ice/salt, internal thermometer), 1 M solution of DIBAL-H in toluene (100 mL, 100 mmol) was added. After 2 hours of stirring at room temperature, the reaction was quenched by addition of methanol (100 mL). After 2 hours of vigorous stirring, 100 ml of a saturated aqueous solution of sodium sulfate was added. After 1 hour of stirring, the reaction mixture was diluted with 100 mL of ethyl ether and stirred at room temperature for half an hour. The reaction mixture was filtered through a plug of celite and the solvent was removed by evaporation. The crude product was purified by flash chromatography eluting with hexane/ethyl acetate (2:1 then 1/1) to afford 447-SG-89B (11.45 88% yield). 413-SG-106A To a magnetically stirred solution of 413-SG-89B (2 g, 10.9 mmol) in dichloromethane (225 mL) cooled to 0° C. (Ice/water, external thermometer) DMSO (2.5 mL, 35.67 mmol) was added, followed by P2O5 (5.06 g, 35.67 mmol). After one hours of stirring at room temperature the reaction was cooled down to 0° C. and triethylamine (7.1 mL, 50.95 ml) was added. After 45 minutes of stirring at room temperature. The reaction mixture was diluted with water and extracted with dichloromethane. The solvent was removed by evaporation. The residue was triturated with ether and the solid was filtered-off and wash with ether. The solvent was removed by evaporation to afford 413-SG-106A (2.1 g), the crude was used directly into the next step without purification. 413-SG-106B Using a procedure analogous to that described for the synthesis of intermediate 343-YW-276, 413-SG-106A (10.9 mmol) was reacted with triphenylphosphine (7 g, 26.49 mmol), carbon tetrabromide (4.39 g, 13.25 mmol) and triethylamine (1.4 mL, 10.9 mmol) in dichloromethane (12.6 mL). The crude product was purified by flash chromatography eluting with pentane/dichloromethane (1/1) to afford 413-SG-106B (3.04 g, 85% yield). 413-SG-110B Using a procedure analogous to that described for the synthesis of intermediate 554-RB-240B, 413-SG-106B (1.66 g, 4.73 mmol) was reacted with n-BuLi (2.5M in toluene, 4.2 mL, 10.41 mmol) in THF (32.5 mL) at −78° C. The resulting alkynyl lithium was then reacted with intermediate 343-YW-277 (1.64 g, 3.97 mmol) in THF (12 mL) at −78° C. The crude product was purified by flash chromatography eluting with hexane/ethyl acetate (3/1) to afford 413-SG-110B (2.01 g, 86% yield). 413-SG-167A Using a procedure analogous to that described for the synthesis of intermediate 554-RB-241, 413-SG-110B (1.4 g, 2.27 mmol) was dissolved in hexane (32 mL) and hydrogenated using Lindlar catalyst to afford 413-SG-167A (1.4 g). 413-SG-169B Using a procedure analogous to that described for the synthesis of 554-RB-242, 413-SG-167A (1.37 g, 2.27 mmol) was reacted with benzoyl chloride (0.53 mL, 4.54 mmol), triethylamine (0.79 mL, 5.68 ml) and a catalytic amount of DMAP in dichloromethane (12 mL). The crude product was purified by flash chromatography eluting with hexane/ethyl acetate (3/1) to afford 413-SG-169B (1.58 g, 99% yield). 413-SG-169B 413-SG-169B (1.58 g, 2.22 mmol) was reacted with TBAF (0.88 g, 3.34 mmol) in THF (6 mL) at room temperature. The reaction mixture was diluted with water and extracted with ethyl ether. The crude product was purified by flash chromatography eluting with hexane/ethyl acetate (5/1 and then 1/1) to afford 413-SG-169B (1.02 g, 98% yield). 413-SG-163B Using a procedure analogous to that described for the synthesis of 554-RB-260, 413-SG-170B (1.02 g, 2.17 mmol) was reacted with triphenylphosphine (0.97 g, 3.69 mmol), DEAD (0.36 mL, 2.28 mmol) and methyl iodide (0.175 mL, 2.82 mmol) in toluene (19 mL). The crude product was purified by flash chromatography eluting with hexane/ethyl acetate (9/1 and then 5/1) to afford 413-SG-163B (1.12 g, 98% yield). 413-SG-174B Using a procedure analogous to that described for the synthesis of 531-YW-4, 413-SG-173B (1.12 g, 1.93 mmol) was reacted with intermediate 509-HD-213 (1.2 g, 2.51 mmol) and LiHMDS (1M solution in THF, 2.3 mL, 2.3 mmol) in a 10 to 1 THF/HMPA mixture (17.3 mL) to afford 413-SG-174A. 413-SG-174A (crude) was reacted with MCPBA (0.61 g, 1.93 mmol) and triethylamine (1.6 mL, 11.6 mmol). The crude product was purified by flash chromatography eluting with hexane/ethyl acetate (5/1 and then 3/1) to afford 413-SG-174B (0.895 g, 45% yield). 413-SG-177B Using a procedure analogous to that described for the synthesis of 453-MS-262, 413-SG-174B (0.89 g, 1.14 mmol) was reacted with DDQ (0.31 g, 1.37 mmol) in a 2/1-dichloromethane/water mixture (48 mL). The crude product was purified by flash chromatography eluting with hexane/ethyl acetate (5/1 and then 3/1) to afford 413-SG-177B (0.454 g, 61% yield). 413-SG-179B Using a procedure analogous to that described for the synthesis of ER-803064 (stage 509-HD-116), 413-SG-177B (0.45 g, 0.691 mmol) was reacted with TBAF (0.542 g, 2.07 mmol) in THF (2.2 ml). The crude product was purified by flash chromatography with dichloromethane/methanol: (95/5) to afford 413-SG-179B (0.31 g, 79% yield). 413-SG-180B 413-SG-179B (0.31 g, 0.54 mmol) was reacted with triphenylphosphine (0.175 g, 0.658 mmol) and DEAD (0.105 ml, 0.658 mmol) in THF (43 ml). The crude product was purified by flash chromatography with hexane/ethyl acetate: (3/1) to afford 413-SG-180B (0.2 g, 69% yield). 413-SG-182A Using a procedure analogous to that described for the synthesis of ER-803064 (stage 509-HD-119), 413-SG-180B (0.18 g, 0.334 mmol) was reacted with sodium hydroxide (1M solution, 1.7 mL, 1.7 mmol) in a 2/1 mixture ethanol/THF (10 mL) to afford 413-SG-182A (0.16 g). The crude product was used for the next step without further purification. 413-SG-188B Using a procedure analogous to that described for the synthesis of ER-803064 (stage 509-HD-125), 413-SG-182A (0.14 g, 0.32 mmol) was reacted with PCC (0.84 g, 3.87 mmol) in dichloromethane (34 mL) with molecular sieves 4 Å (800 mg). The crude product was purified by flash chromatography with hexane/ethyl acetate: (70/30) to afford 413-SG-188B (0.07 g, 52% yield). 413-SG-93B Using a procedure analogous to that described for the synthesis of ER-803064 (final step), 413-SG-188B (0.067 g, 0.157 mmol) was reacted with HF (6 M solution in acetonitrile, 17.7 ml) in dichloromethane (3.1 ml). The crude product was purified by flash chromatography with hexane/ethyl acetate: (60/40) to afford 413-SG-193B/B-2329 (0.05 g, 91% yield). Preparation of B2395: 413-SG-184B To a magnetically stirred solution of 413-SG-178B (0.194 g, 0.289 mmol) and triethylamine (0.08 mL, 0.578 mmol) in dry dichloromethane cooled to 0° C. (ice/water; external thermometer) was introduced methanesulfonyl chloride (0.034 ml, 0.434 mmol). After 1 hour of stirring at 0° C. a saturated aqueous solution of sodium bicarbonate was added. The reaction mixture was diluted with water and extracted with dichloromethane. The crude was purified on silica gel (Hexane/EtOAc: 1/1) to afford 413-SG-184B (0.215 g, 99% yield). 413-SG-185B A solution of 413-SG-184B (0.216 g, 0.288 mmol), sodium azide (0.028 g, 0.432 mmol) and catalytic amount of tetra-butyl ammonium iodide in DMF was magnetically stirred at 85° C. After 90 minutes the reaction mixture was concentrated under vacuum. The crude was purified on silica gel (Hexane/EtOAc: 5/1) to afford 413-SG-185B (0.086 g, 93% yield) 413-SG-186A Using a procedure analogous to that described for the synthesis of ER-803064 (stage 509-HD-116), 413-SG-185B (0.19 g, 0.27 mmol) was reacted with TBAF (0.21 g, 0.8 mmol) in THF (1 ml) to afford 413-SG-186A (0.14 g). The crude product was used in the next step without purification. 413-SG-217A To a magnetically stirred solution of 413-SG-186A (0.092 g, 0.156 mmol) in THF/water 4/1 (1.5 mL) at room temperature was introduced trimethylphosphine (0.78 mL, 0.778 mmol). After 18 hours of stirring at room temperature the reaction mixture was concentrated under vacuum. The residue was diluted with water and extracted with dichloromethane to afford 413-SG-217A. The crude was dried and used in the next step without purification. To a magnetically stirred solution of 413-SG-217A (0.156 mmol) in dichloromethane (0.2 mL) at room temperature was introduced EDC (0.10 mg, 0.504 mmol). After 4 hours of stirring at room temperature the reaction mixture was Concentrated under vacuum. The crude was purified on silica gel (Hexane/EtOAc: 1/1) to afford 413-SG-217B (0.036 g, 42% yield). 413-SG-221A Using a procedure analogous to that described for the synthesis of ER-803064 (stage 509-HD-119), 413-SG-217B (0.036 g, 0.065 mmol) was reacted with sodium hydroxide (1M solution, 0.3 mL, 0.3 mmol) in a 2/1 mixture of ethanol/THF (2 mL) to afford 413-SG-221A (0.031 g). The crude product was used for the next step without further purification. 413-SG-226A Using a procedure analogous to that described for the synthesis of ER-803027 (stage 447-JCH-295), 413-SG-221A (0.014 g, 0.031 mmol) was reacted with Dess-Martin reagent (80 mg, 0.188 mmol) and 2.6-lutidine (0.036 mL, 0.313 mmol) in dichloromethane (2.1 mL). The crude was purified on silica gel (dichloromethane/methanol: 98/2) to afford 413-SG-226A (0.005 g, 36% yield). 413-SG-235B Using a procedure analogous to that described for the synthesis of ER-803064 (final step), 413-SG-226AB (0.01 g, 0.022 mmol) was reacted with HF (1.5 M solution in acetonitrile, 5 mL) in dichloromethane (2 mL). The crude product was purified by flash chromatography eluting with n-hexane/ethyl acetate: (3/1) to afford 413-SG-235B (0.004 g, 50% yield). Preparation of C8-deoxy analogs, NF0530, NF0531, NF0552 and NF0761 L-Dimethylmalate (50 g, 308.4 mmol) was dissolved in dry THF (308 mL) and cooled to 0° C. Then BH3-Me2S complex (10M, 1.1 eq., 34 mL, 0.34 mol) was added dropwise and then the mixture was allowed to warm to rt. After stirred for 90 min then re-cooled to 0° C., NaBH4 (0.05 eq., 15.4 mmol, 583 mg) was added and stirred for additional 60 min. The reaction was quenched with MeOH, and concentrated under reduced pressure. The crude residue was purified by chromatography on silica gel (AcOEt/MeOH) to afford MK-001 (26 g, 63%). To a solution of MK-001 (10.0 g, 74.6 mmol) and p-anisaldehyde dimethyl acetal (16.5 mL, 96.9 mmol) in 150 mL of dry CH2Cl2 was added DL-10-CSA (35 mg, 0.15 mmol) at 0° C., then the reaction mixture was allowed to warm to rt gradually. After 1 day 0.042 mL of Et3N was added then evaporated. The crude product was purified by chromatography on silica gel (Hexane/AcOEt:5/1 to 3/1) to afford MK-002 (12.1 g, 64%). MK-002 (12.1 g, 48.0 mmol) was dissolved in dry CH2Cl2-DME (240 mL-240 mL) and cooled to −78° C. Then DIBAL-H in hexane (1.0 M, 50.4 mL, 50.4 mmol) was added dropwise over 30 min and the mixture was stirred for additional 100 min at −78° C. The reaction was quenched with MeOH (6 mL) then poured into a stirred solution of AcOEt and aqueous saturated Na/K tartrate. The organic extract was washed with brine, dried over Na2SO4, filtered and concentrated to afford crude oil of MK-003 (11.84 g), which was used for next step without purification. Ph3PCH3+Br− (34.3 g, 96.0 mmol) was dissolved in dry THF (320 mL). The mixture was cooled to 0° C., and n−BuLi in hexane (1.6 M, 51.0 mL, 81.6 mmol) was added slowly. After stirring for 120 min, a solution of the crude MK-003 (11.84 g) in 50 mL of dry THF was added slowly. The reaction was stirred for 30 min at 0° C. and followed by overnight at rt, then quenched with saturated aqueous solution of NH4Cl. The mixture was extracted with AcOEt, washed with brine, dried over MgSO4, filtered and concentrated to give crude oil. The crude oil was diluted with Et2O-hexane, the generated precipitate was filtered off, then the filtrate was evaporated. The residual oil was purified by chromatography on silica gel (Hexane/AcOEt:20/1 to 8/1) to afford oil of MK-004 (4.25 g, 40% 2 steps). To a solution of MK-004 (4.05 g, 18.4 mmol) in 92 mL of dry THF was slowly added BH3-Me2S (2.0 M in THF, 4.60 mL, 9.2 mmol) at 0° C., then the reaction mixture was stirred at 0° C. for 90 min after which it was allowed to warm to rt and stirred for 120 min. The solution was re-cooled to 0° C., then treated with aqueous 3N—NaOH (28 mL) and aqueous 30%-H2O2 (28 mL) with vigorous stirring. The mixture was extracted with Et2O, washed with saturated aqueous solution of Na2SO3, dried over MgSO4, filtered and concentrated to gave crude oil. The crude oil was purified by chromatography on silica gel (Hexane/AcOEt:1/1 to 2/3) to afford oil of MK-005 (2.64 g, 60%). Using similar procedure for the synthesis of the TBS-ether, intermediate of TM-03, from 491-HAD-46, MK-005 (2.64 g, 11.1 mmol) was converted to crude MK-006 (3.91 g). It was used for next step without purification. MK-006 (3.91 g) was dissolved in 74 mL of dry CH2Cl2 and cooled to −78° C. DIBAL-H in hexane (1.0 M, 5 eq., 55.3 mL, 55.3 mmol) was added dropwise over 30 min, and the solution was stirred at −78° C. for additional 60 min after which it was allowed to warm to 0° C. over 50 min. The reaction was quenched with MeOH (7 mL) then poured into a stirred solution of AcOEt and saturated aqueous Na/K tartrate. The organic extract was washed with brine, dried over Na2SO4, filtered and concentrated to give a crude oil. The crude oil was purified by chromatography on silica gel (Hexane/AcOEt:3/1) to afford an oil, MK-007 (3.19 g, 81% 2 steps). To a solution of (COCl)2 (3 eq., 2.24 mL, 25.6 mmol) in 84 mL of dry CH2Cl2, DMSO (6 eq., 3.64 mL, 51.3 mmol) was added slowly at −78° C. After 15 min at −78° C., a solution of MK-007 (3.03 g, 8.55 mmol) was added dropwise into the reaction at −78° C. After 30 min at that temperature, Et3N (9 eq., 10.7 mL, 76.9 mmol) was added slowly. The reaction mixture was allowed to warm to −10° C. gradually. It was quenched with saturated aqueous solution of NH4Cl, extracted with AcOEt-hexane, washed with aqueous solution of KHSO4 then brine, dried over Na2SO4, filtered and concentrated to gave crude oil of MK-008 (3.52 g). It was used for next step without purification. Using similar procedure for the synthesis of TM-04 from TM-03 and TM-02, MK-008 (3.52 g) was coupled with NY-22 (6.06 g) and then converted to pure MK-009 (5.76 g, 100% 2 steps) as mixture of diastereomers on propargylic position. Using similar procedure for the synthesis of TM-05 from TM-04, MK-009 (5.75 g) was converted to crude MK-010 (6.11 g) as mixture of diastereomers on allylic position. Using similar procedure for the synthesis of 554-RB-242 from 554-RB-241, crude MK-010 (6.11 g) was converted to pure MK-011 (5.93 g, 89% 2 steps) as mixture of diastereomers on allylic position. To a stirred solution of MK-011 (5.93, 7.59 mmol) in 76 mL of 99.5% EtOH, PPTS (0.15 eq., 286 mg, 1.14 mmol) was added at rt, then the mixture was warmed to 45° C. After 1 day it was diluted with AcOEt, then washed with saturated aqueous solution of NaHCO3 and brine, dried over MgSO4, filtered and concentrated to give crude oil. The crude oil was purified by chromatography on silica gel (Hexane/AcOEt:2/1) to afford oil of MK-012 (4.94 g, 98%). Using similar procedure for the synthesis of 554-RB-260 from 554-RB-244, MK-012 (4.20 g, 6.30 mmol) reacted with DIAD and methyl iodide in the presence of Ph3P to give pure MK-013 (4.74 g, 97%) as mixture of diastereomers on allylic position. To a stirred mixture of diphenol (13.0 g, 66.3 mmol), MeOH (6.2 mL, 152 mmol), and iPr2EtN (13.9 mL, 79.5 mmol) in 110 mL of CH3CN, TMSCHN2 in hexane (2M, 38.1 mL, 76.2 mmol) was added dropwise over 80 min at rt, then stirred overnight. The reaction was quenched with 5% citric acid aqueous solution and extracted with AcOEt. The organic extract was washed with saturated aqueous solution of NaHCO3 and brine, dried over MgSO4, filtered and concentrated. The crude product was purified by chromatography on silica gel (Hexane/AcOEt:9/1) to afford crystals of MK-014 (12.4 g, 89%). Using similar procedure for the synthesis of 509-HD-209 from 509-HD-207, MK-014 (5.2 g, 25 mmol) was converted to pure MK-015 (6.3 g, 100%). Using similar procedure for the synthesis of 509-HD-211 from 509-HD-209, MK-015 (6.0 g, 23.5 mmol) was converted to a mixture of MK-016 (5.3 g, 55%) and inseparable diselenide (2.9 g, 22%) Using similar procedure for the synthesis of compound 4 from compound 2 and compound 3, MK-013 (1.5 g, 1.93 mmol) was coupled with mixture of MK-016 and diselenide (including 2.90 mmol of MK-016) to afford crude oil of MK-017 (4.3 g). It was used for next step without purification. Using similar procedure for the synthesis of compound 5 from compound 4, crude MK-017 (4.3 g) was converted to MK-018 (1.60 g, 92% 3 steps) as compound purified. MK-018 (1.59 g, 1.76 mmol) was dissolved in 25 mL of THF. Then, tetrabutylammonium fluoride (TBAF) in THF (1M, 7.0 mL, 7.0 mmol) was added at rt. The mixture was stirred for 38 hrs before saturated aqueous solution of NH4Cl was added. The mixture was extracted with AcOEt and the organic extract was washed with brine, dried over Na2SO4, filtered and concentrated. The crude product was purified by chromatography on silica gel (hexane/AcOEt:5/3 to 1/2) to afford oil of MK-019 (1.10 g, 93%). To a stirred solution of MK-019 (1.07 g, 1.61 mmol) in 20 mL of EtOH was added 32 mL of aqueous 1N—NaOH, then the mixture was warmed to 100° C. After 32 hrs, it was quenched with 32 mL of aqueous 1N—HCl and extracted with AcOEt. The organic extract was washed with brine, dried over Na2SO4, filtered and concentrated. The crude product was purified by chromatography on silica gel (AcOEt/MeOH:9/1) to afford oil of MK-020 (860 mg, 100%). Using similar procedure for the synthesis of TM-12 from TM-11, MK-020 (860 mg, 1.61 mmol) was converted to mixture of MK-021 and MK-022 (402 mg, 49% 2 steps; MK-021: MK-022=85:15). To a stirred suspension of Dess-Martin periodinane (1.01 g, 2.38 mmol) in 40 mL of dry CH2Cl2, a solution of MK-021 and MK-022 (402 mg, 0.794 mmol) in 40 mL of dry CH2Cl2 was added at 0° C., then the mixture was warmed to rt. After 14 hrs it was re-cooled to 0° C., diluted with AcOEt, washed with saturated aqueous solution of Na2SO3, NaHCO3 and brine, dried over Na2SO4, filtered and concentrated to give crude oil. The crude oil was purified by chromatography on silica gel (Hexane/AcOEt:3/1) to afford colorless crystals of NF0552 (301 mg, 74%) and colorless oil of NF0530 (35 mg, 9%). Using similar procedure for the synthesis of NF0675 from TM-13, NF0552 (263 mg, 0.515 mmol) was converted to NF0530 (199 mg, 83%) as compound purified. To a stirred mixture of NF0530 (233 mg, 0.499 mmol) in 17 mL of CH2Cl2 and 1.7 mL of aqueous phosphate buffer (pH 6.86) was portionwise added DDQ (283 mg, 1.25 mmol) at 0° C., then the mixture was allowed to warm to rt slowly. After 3.5 hrs it was quenched with aqueous solution of NaHCO3 and diluted with AcOEt. The organic extract was washed with aqueous solution of NaHCO3 and brine, dried over Na2SO4, filtered and concentrated. The crude product was purified by chromatography on silica gel (hexane/AcOEt:5/2) to afford colorless crystals of NF0531 (143 mg, 83%). NF0552 (30 mg, 0.059 mmol) was treated with DDQ (3 eq.) at rt using similar procedure for the synthesis of NF0531 from NF0530. The messy reaction was worked up in the usual manner. Purification by chromatography on silica gel (Hexane/AcOEt:1/3) gave colorless oil of NF0761 (1.7 mg, 7%). NF0761 was analyzed by HRMS; FAB+ m/z 407 (MH+), Anal. Calcd for C21H26O8: MH+, 407.1706 Found 407.1711 (MH+). Preparation of C11-C12, Cyclopropyl Analogs, NF1226 and NF1227 Using the same procedure for the synthesis of TM-03 from 531-yw-2-3 (491-HAD-46), MK-023 was obtained. To a stirred mixture of MK-023 (2.5 g, 8.61 mmol) and 4-MPMCl (1.63 mL, 12.0 mmol) in 40 mL of DMF, NaH (66%, 344 mg, 9.47 mmol) was added portionwise at 0° C. and the mixture was warmed to rt. After stirred for 3 hrs, the reaction was quenched with saturated aqueous solution of NH4Cl and extracted with AcOEt. The organic extract was washed with saturated aqueous solution of NaHCO3 and brine, dried over Na2SO4, filtered and concentrated. The crude product was purified by chromatography on silica gel (Hexane/AcOEt:15/1) to afford colorless oil of the fully protected tetraol (2.83 g, 80%). The fully protected tetraol (3.11 g, 7.58 mmol) was dissolved in 38 mL of THF. Then, tetrabutylammonium fluoride (TBAF) in THF (1M, 9.9 mL, 9.9 mmol) was added at rt. The mixture was stirred for 2 hrs before saturated aqueous solution of NH4Cl was added. The mixture was extracted with AcOEt and the organic extract was washed with brine, dried over Na2SO4, filtered and concentrated. The crude product was purified by chromatography on silica gel (Hexane/AcOEt:1/1) to afford oil of MK-024 (2.22 g, 99%). Using similar procedure for the synthesis of 531-YW-3 from 531-YW-2-3, MK-024 (1.90 g, 6.41 mmol) was converted to MK-025 (2.36 g, 90%) as compound purified. Using similar procedure for the synthesis of 531-YW-4, MK-025 (2.36 g, 5.80 mmol) coupled with 509-HD-213 (3.63 g, 7.54 mmol) was converted to MK-026 (3.10 g, 89% 3 steps) as compound purified. To a stirred solution of MK-026 (2.0 g, 3.32 mmol) in 130 mL of toluene were added Et2Zn in hexane (1M, 16.6 mL, 16.6 mmol) and CH2I2 (1.34 mL, 16.6 mmol) at −30° C. After stirred for 30 min at −30° C., it was warmed to rt gradually over 2 hrs and then quenched with saturated aqueous solution of NH4Cl. (Note: To avoid decomposition of target product, short reaction time, 1˜2 hrs, was required regardless of conversion rate.). The mixture was extracted with AcOEt and the organic extract was washed with brine, dried over Na2SO4, filtered and concentrated. The crude product was purified by chromatography on silica gel (Hexane/AcOEt:6/1 to 5/1) to afford oil of MK-027 (369 mg, <19%) including small amount of MK-026, and MK-026 (519 mg, <26%) including small amount of MK-027 was recovered. The recovered MK-026 was treated again in the same manner to give MK-027 (367 mg, <29%) including small amount of MK-026. Trans cyclopropane MK-027 was obtained as mixture of inseparable stereoisomers (1:1). MK-027 (736 mg, ca 1.19 mmol) including 10% of MK-026 was dissolved in 24 mL of THF and 4 mL of water. OsO4 intBuOH (3 w/v %, 0.05 eq., 0.51 mL, 0.06 mmol), N-methylmorpholine (0.2 eq., 0.026 mL, 0.24 mmol) and NaClO3 (0.4 eq., 51 mg, 0.48 mmol) were added into the stirred solution at rt. After 2 days, to the mixture were added Celite, AcOEt, and aqueous solution of Na2SO3. The suspension was filtered, and the filtrate was washed with brine, dried over Na2SO4, filtered and concentrated to give crude oil of MK-027 (768 mg) which included no MK-026. It was used for next step without purification. Using similar procedure for the synthesis of NF0531 from NF0530, the crude oil of MK-027 (768 mg) was converted to MK-028 (523 mg, 88% 2 steps) as compound purified. Using similar procedure for the synthesis of MK-009 from MK-007, MK-028 (204 mg, 0.411 mmol) was converted to MK-029 (231 mg, 69% 2 steps) as compound purified. MK-029 (231 mg, 0.283 mmol) was dissolved in 7 mL of 99.5% EtOH and 7 mL of hexane (note: no reaction in hexane). Then, quinoline (0.3 eq., 0.01 mL, 0.085 mmol) and 5% Pd—BaSO4 on carbon (0.05 eq., 30 mg, 0.014 mmol) were added. H2 balloon was mounted and the mixture was purged with H2. After stirred for 3.5 hrs under H2 (1 atm) at rt, the reaction mixture was filtered through Celite and the filtrate was evaporated to give a crude oil of cis-olefin (240 mg). Using similar procedure for the synthesis of 554-RB-242 from 554-RB-241, the crude cis-olefin (240 mg) was converted to MK-030 (216 mg, 83% 2 steps) as compound purified. Using similar procedure for the synthesis of MK-019 from MK-018, MK-030 (215 mg, 0.233 mmol) was directly converted to a carboxylic acid MK-031 (125 mg, 92%) as compound purified. Using similar procedure for the synthesis of TM-12 from TM-11, MK-031 (123 mg, 0.210 mmol) was converted to crude lactonized product. It was purified by chromatography on silica gel (Hexane/AcOEt:4/1, 3/1, to 1/1) to afford oil of MK-032 (27 mg, 22%) and oil of des-MOM form MK-033 (20 mg, 18%). To a stirred solution of MK-032 (24 mg, 0.0424 mmol) in 0.85 mL of EtOH and 0.85 mL of THF was added aqueous 1N NaOH (2.1 eq., 0.089 mL, 0.0889 mmol). After stirred for 3 days at rt, the mixture was diluted with AcOEt and washed with brine, dried over Na2SO4, filtered and concentrated to give crude product of MK-034 (24 mg). It was used for next step without purification. The crude MK-034 (24 mg, assumed to contain 0.0424 mmol) was dissolved in 9 mL of CH2Cl2. To the solution were added Molecular sieve 4 A (45 mg) and PDC (3 eq., 48 mg, 0.127 mmol) at rt. The reaction mixture was stirred for 4 days at rt, then diluted with Et2O and passed through a pad of Celite. The filtrate was evaporated to give crude product. It was purified by chromatography on silica gel (Hexane/AcOEt:3/1 to 2/1) to afford colorless oil of MK-035 (less polar single isomer on trans cyclopropane, 3.6 mg, 18% 2 steps), colorless oil of MK-036 (polar single isomer on trans cyclopropane, 5.8 mg, 30% 2 steps) and pale yellow oil of MK-037 (isomerized trans olefin, 5.4 mg, 28% 2 steps). 50% Hydrofluoric acid (24N, 0.2 mL) was added to less polar isomer MK-035 (3.6 mg, 0.00782 mmol) in 0.8 mL of CH3CN and stirred for 1 hr at 0° C. After stirred at rt for additional 1 hr, the reaction mixture was quenched with saturated aqueous solution of NaHCO3 and extracted with AcOEt. The organic extract was washed with brine, dried over MgSO4, filtered and concentrated to crude product. It was purified by chromatography on silica gel (hexane/AcOEt:1/2) to afford colorless crystals of NF1226 (2.3 mg, 59%) as single isomer. Using similar procedure for the synthesis of MK-034 from MK-032, MK-033 (20 mg, 0.0383 mmol) was converted to diol intermediate (13 mg, 81%). Using similar procedure for the synthesis of NF530 from MK-022, the diol intermediate (15 mg, 0.0358 mmol) was converted to MK-038 (4.7 mg, 32%). Using similar procedure for the synthesis of NF0675 from TM-13, MK-038 (4.8 mg, 0.0115 mmol) was converted to colorless crystals of NF1227 (3.6 mg, 83%, single isomer). Using similar procedure for the synthesis of NF1226 from MK-035, polar isomer MK-036 (5.8 mg, 0.0126 mmol) was converted to colorless crystals of NF1227 (2.6 mg, 55%, single isomer). NF1227 differs from NF1226 as to stereochemistry on trans cyclopropane. Preparation of C11-C12 Amide Analogs, NF1535, NF1537, and NF2306 Exemplary Synthetic Procedure for NF1535 and NF1537 Using similar procedure for the synthesis of NY-07 from NY-06, MK-014 (12.40 g, 59.0 mmol) was converted to MK-039 (13.68 g, 92%) and purified. MK-039 (13.68 g, 54.2 mmol) was dissolved in 360 mL of CCl4 and the solution was heated up to reflux. To the stirred solution was portionwise (over 1.5 hrs) added a mixture of NBS (11.1 g, 62.4 mmol, 1.15 eq.) and (PhCO)2O2 (722 mg, 2.98 mmol, 0.055 eq.) and stirred for additional 30 min at reflux. The reaction mixture was cooled to rt and insoluble material was filtered off, then the filtrate was concentrated to give crude product. The crude product was purified by chromatography on silica gel (hexane/AcOEt:4/1 to 3/1) to afford colorless oil of MK-040 (14.51 g, <81%) including small amount of starting material and dibromide. It was used for next step without further purification. To a solution of MK-040 (14.51 g, assumed to contain 43.82 mmol) in 220 mL of DMSO was added a solution of AgBF4 (11.09 g, 57.0 mmol) in 55 mL of DMSO at rt. After 2 hrs, Et3N (18.3 mL, 131.4 mmol) was added and stirred for 40 min at rt. The reaction mixture was diluted with AcOEt, then washed with saturated aqueous solution of NaHCO3 and brine, dried over Na2SO4, filtered and concentrated to give a crude oil. The crude product was purified by chromatography on silica gel (hexane/AcOEt:3/1 to 1/1) to afford colorless oil of MK-041 (5.49 g, 38% 2 steps). To a stirred mixture of MK-041 (5.49 g, 20.63 mmol) in 140 mL of 99.5% EtOH was added imidazole (421 mg, 6.19 mmol) at rt. After stirred for 6 days, the mixture was evaporated, diluted with AcOEt, washed with water then brine, dried over Na2SO4, filtered and concentrated to give crude colorless crystals of MK-042 (4.42 g, <96%). It was used for next step without purification. To a stirred suspension of crude MK-042 (2.41 g, assumed to contain 10.75 mmol) and K2CO3 (3.94 g, 28.5 mmol) in 70 mL of DMF was added MOMCl (1.77 mL, 23.3 mmol) at 0° C., then the mixture was allowed to warm to rt. After 14 hrs, the reaction mixture was quenched with saturated aqueous solution of NaHCO3 and extracted with AcOEt. The organic extract was washed with brine, dried over Na2SO4, filtered and concentrated to give crude oil of MK-043 (2.93 g, quant.). It was used for next step without purification. Crude MK-043 (2.93 g, assumed to contain 10.75 mmol) was dissolved in 80 mL of t-BuOH and 20 mL of water. Then 2-methyl-2-butene (5.69 mL, 53.7 mmol, 5 eq.) and NaH2PO4.2H2O (1.68 g, 10.75 mmol) were added. To the stirred suspension was portionwise added NaClO2 (1.94 g, 21.5 mmol, 2 eq.) at rt. After 1 hr at rt, the mixture was diluted with AcOEt and water, then acidified with aqueous KHSO4 solution to approximately pH 4. The organic extract was washed with brine, dried over Na2SO4, filtered and concentrated to give crude oil of MK-044 (3.20 g, quant.). It was used for next step without purification. Crude MK-044 (3.20 g, assumed to contain 10.75 mmol) was dissolved in 72 mL of dry THF and 4.45 mL of BnOH (43.00 mmol, 4 eq.). Then Et3N (1.80 mL, 12.90 mmol, 1.2 eq.) and DPPA (2.54 mL, 11.82 mmol, 1.1 eq.) were added. The mixture was heated to 65° C. and stirred for 15 hrs, then cooled to rt. The mixture was diluted with AcOEt and saturated aqueous solution of NH4Cl. The organic extract was washed with saturated aqueous solution of NaHCO3 then brine, dried over Na2SO4, filtered and concentrated to give a crude oil. The crude product was purified by chromatography on silica gel (hexane/AcOEt:5/1) to afford colorless crystals of MK-045 (3.50 g, 80% 4 steps). To a stirred solution of MK-045 (2.73 g, 7.02 mmol) in 80 mL of EtOH was added aqueous 0.5N—NaOH (1.15 eq., 16.2 mL, 8.07 mmol). After stirred for 2 days at rt the reaction mixture was cooled to 0° C., quenched with aqueous 0.2N HCl (1.15 eq., 40.3 mL, 8.07 mmol) and diluted with water (40 mL) to produce a precipitation. The precipitation was filtered, washed with hexane-AcOEt (15 mL-2 mL) and dried under reduced pressure to afford pure colorless crystals of MK-046 (1.58 g, 62%). Ph3P (2.98 g, 11.37 mmol, 2.6 eq.) was dissolved in 30 mL of dry THF and cooled to 0° C. 40% DEAD in toluene (4.76 mL, 10.49 mmol, 2.4 eq.) was added and stirred for 30 min at 0° C. To the stirred solution was dropwise added a mixture of MK-046 (1.58 g, 4.37 mmol) and 2-(trimethylsilyl)ethanol (0.94 mL, 6.56 mL, 1.5 eq.) in 25 mL of THF at 0° C. After 30 min, the reaction mixture was warmed up to rt gradually over 1 hr. The resulting mixture was evaporated and purified by chromatography on silica gel (hexane/AcOEt:6/1 to 5/1) to afford oil of MK-047 (2.01 g, 99%). MK-047 (2.01 g, 4.35 mmol) was dissolved in 60 mL of AcOEt. Then 10% Pd/C (50% wet, 200 mg) was added. H2 balloon was mounted and the mixture was purged with H2 (1 atm). After stirred overnight at rt it was worked up in usual manner and purified by chromatography on silica gel (hexane/AcOEt:6/1 to 5/1) to afford colorless crystals of MK-048 (1.20 g, 84%). Using similar procedure for the synthesis of 343-YW-203 from (S)-1,3-butanediol, (R)-1,3-butanediol (9.80 g, 108.7 mmol) was converted to MK-049 (21.54 g, 94% 2 steps) as compound purified. Using similar procedure for the synthesis of 343-YW-276 from 343-YW-203, MK-049 (15.57 g, 74.05 mmol) was converted to MK-050 (19.51 g, 72% 2 steps) as compound purified. To a stirred solution of MK-050 (5.15 g, 14.16 mmol) in 35 mL of dry THF was added n-BuLi in hexane (1.6M, 19.5 mL, 31.14 mmol) at −78° C. After 1 hr the reaction mixture was quenched with saturated aqueous solution of NH4Cl and diluted with AcOEt. The organic extract was washed with brine, dried over MgSO4, filtered and concentrated to give crude product. It was purified by chromatography on silica gel (hexane/AcOEt:6/1 to 5/1) to afford oil of MK-051 (2.69 g, 93%). Using similar procedure for the synthesis of NY-01 from TM-03, TM-03 (2.79 g, assumed to contain 10.0 mmol) coupled with MK-051 (2.68 g, 13.1 mmol) was converted to crude alcohol. The crude product was purified by chromatography on silica gel (hexane/AcOEt:5/1 to 3/1) to afford oil of MK-052 (less polar single isomer, 986 mg, 20%) and oil of MK-053 (polar single isomer, 1.48 g, 30%). Using similar procedure for the synthesis of TM-05 from TM-04, MK-052 (less polar single isomer, 968 mg, 1.96 mmol) was converted to colorless oil of MK-054 and purified (single isomer, 870 mg, 90%). Using similar procedure for the synthesis of MK-024 from MK-023, MK-054 (834 mg, 1.69 mmol) treated with 3-MPMCl (0.61 mL, 4.21 mmol) was converted to colorless oil of MK-055 and purified (984 mg, 95%). To a stirred solution of MK-055 (998 mg, 1.62 mmol) in 16 mL of THF was added TBAF in THF (1M, 2.43 mL, 2.43 mmol) at rt. After 3 hrs the mixture was worked up in usual manner and purified by chromatography on silica gel (hexane/AcOEt:3/1) to afford colorless oil of MK-056 (696 mg, 86%). Using similar procedure for the synthesis of MK-008 from MK-007, MK-056 (695 mg, 1.39 mmol) was converted to crude aldehyde of MK-057 (728 mg). The crude aldehyde was used for next step without purification. Using similar procedure for the synthesis of MK-044 from MK-043, MK-057 (728 mg, assumed to contain 1.39 mmol) was converted to colorless oil of MK-058 and purified (643 mg, 90% 2 steps). To a solution of MK-058 (200 mg, 0.389 mmol) and 2,6-(tBu)2-4-Me-pyridine (798 mg, 10 eq., 3.89 mmol) in 5 mL of dry CH2Cl2 was added (COCl)2 in CH2Cl2 (2M, 0.97 ml, 5 eq., 1.94 mmol) at 0° C. and the solution was allowed to warm to rt. After stirred for 45 min the reaction mixture was concentrated in vacuo under nitrogen atmosphere to give crude product including acid chloride MK-059. The crude product was used for next step without purification. The crude product including MK-059 (assumed to contain 0.389 mmol derived from 0.389 mmol of MK-058, 1.03 eq.) was dissolved in 4 mL of dry CH2Cl2 at 0° C. A solution of MK-048 (124 mg, 0.377 mmol) in 4 mL of toluene was added and the mixture was allowed to warm to rt. After stirred for 15 min the reaction mixture was quenched with saturated aqueous solution of NaHCO3 and extracted with AcOEt. The organic extract was washed with brine, dried over Na2SO4, filtered and concentrated to give crude product. It was purified by chromatography on silica gel (hexane/AcOEt:3/1) to afford pale brown oil of MK-060 (297 mg, 96%). To a stirred mixture of MK-060 (194 mg, 0.235 mmol) in 4 mL of CH2Cl2 and 0.2 mL of aqueous phosphate buffer (pH 6.86) was added DDQ (59 mg, 1.1 eq., 0.259 mmol) at 0° C. After stirred for 1.5 hrs at 0° C. the reaction mixture was quenched with aqueous solution of NaHCO3 and extracted with AcOEt. The organic extract was washed with saturated aqueous solution of NaHCO3 and brine, dried over Na2SO4, filtered and concentrated to give crude oil. The crude product was purified by chromatography on silica gel (hexane/AcOEt:5/2) to afford colorless oil of MK-061 (138 mg, 83%). Using similar procedure for the synthesis of MK-031 from MK-030, MK-061 (165 mg, 0.234 mmol) was converted to crude MK-062 (159 mg, >100%). The crude MK-062 was used for next step without purification. Ph3P (221 mg, 0.844 mmol, 3.6 eq.) was dissolved in 39 mL of dry THF and cooled to 0° C. 40% DEAD in toluene (0.32 mL, 0.703 mmol, 3.0 eq.) was added and stirred for 20 min at 0° C. To the stirred solution was added dropwise over 15 min a solution of crude MK-062 (159 mg, assumed to contain 0.234 mmol) in 39 mL of THF at 0° C. After 10 min at 0° C. the reaction mixture was evaporated and purified by chromatography on silica gel (hexane/AcOEt:2/1 to 3/2) to afford oil of MK-063 (115 mg, 84% 2 steps). To a stirred mixture of MK-063 (115 mg, 0.196 mmol) in 5 mL of CH2Cl2 and 0.5 mL of aqueous phosphate buffer (pH 6.86) was added DDQ (103 mg, 2.3 eq., 0.452 mmol) at 0° C. and the mixture was allowed to warm to rt. After stirred for 24 hrs at rt the reaction mixture was worked up in the usual manner to give a crude oil. The crude product was purified by chromatography on silica gel (hexane/AcOEt: 2/1 to 1/3) to afford colorless oil of MK-064 (2nd elution, 14 mg, 15%), colorless oil of MK-065 (3rd elution, 21 mg, 23%), and colorless oil of MK-066 (1st elution, 14 mg, 15%). Using similar procedure for the synthesis of NF0552 from MK-021, MK-065 (21 mg, 0.0451 mmol) treated at low temperature was converted to colorless oil of MK-066 (15 mg, 72%) as compound purified. Using similar procedure for the synthesis of NF1226 from MK-035, MK-066 (29 mg, 0.0626 mmol) was converted to crude pale yellow crystals. The crude product was purified by chromatography on silica gel (hexane/AcOEt=1/3 to AcOEt alone) to afford colorless crystals of NF1535 (17.6 mg, 74%). Using similar procedure for the synthesis of NF1226 from MK-035, MK-064 (14 mg, 0.0302 mmol) was converted to crude pale yellow crystals. The crude product was purified by chromatography on silica gel (CH2Cl2/AcOEt=4/1, 2/1, to 1/1) to afford colorless crystals of NF1537 (8.2 mg, 72%). Synthetic Procedure for NF2306 To a stirred solution of methyl (R)-(−)-3-hydroxy-2-methylpropionate (7.00 g, 59.26 mmol) in 66 mL of CH2Cl2 and 132 mL of cyclohexane were added CCl3C(═NH)OBn (13.2 mL, 71.1 mmol) and CF3SO3H (cat. 0.2 mL) at rt. After 3 hrs the reaction mixture was diluted with hexane to form precipitation. After filtering precipitation off, filtrates was washed with saturated aqueous NaHCO3 and brine, dried over Na2SO4, filtered, and concentrated to give a crude oil. The crude product was purified by chromatography on silica gel (hexane/AcOEt=20/1) to afford colorless oil of MK-067 (9.60 g, 78%). LiAlH4 (2.62 g, 69.1 mmol) was suspended in 250 mL of dry THF. To the suspension was dropwise added a solution of MK-067 (9.59 g, 46.0 mmol) in 57 mL of dry THF at 0° C. After stirred for 1 hr at 0° C. the reaction mixture was quenched with MeOH (13 mL), water (2.5 mL), 10% NaOH (2.5 mL), then water (7.5 mL). The mixture was dried over MgSO4, filtered and evaporated to a crude product. The crude product was purified by chromatography on silica gel (hexane/AcOEt=2/1) to afford colorless oil of MK-068 (7.89 g, 95%). Using similar procedure for the synthesis of MK-008 from MK-007, MK-068 (7.89 g, 43.76 mmol) was converted to crude MK-069 (8.66 g, >100%). The crude MK-069 was used for next step without purification. To a stirred suspension of CuI (10.83 g, 56.9 mmol, 1.3 eq.) in 100 mL of dry Et2O was added over 15 min MeLi in Et2O (1.14 M, 98.6 mL, 112.5 mmol, 2.57 eq.) at 0° C. After stirred for 30 min at 0° C., the mixture was cooled to −78° C. Crude MK-069 (8.66 g, assumed to contain 43.76 mmol) in 75 mL of dry Et2O was added over 40 min at −78° C. then the mixture was stirred at −78° C. for additional 1 hr. The reaction mixture was allowed to warm to −20° C. over 1.5 hr, then quenched with 28% aqueous NH3 solution and extracted with AcOEt. The organic extract was washed with brine, dried over MgSO4, filtered and concentrated to give a crude oil. The crude product was purified by chromatography on silica gel (hexane/AcOEt:5/1) to afford pale yellow oil of MK-070 (6.89 g, 81% 2 steps). Ph3P (9.24 g, 35.24 mmol, 1.4 eq.) was dissolved in 70 mL of dry THF and cooled to 0° C. 40% DEAD in toluene (14.84 mL, 32.72 mmol, 1.3 eq.) was added and stirred for 20 min at 0° C. To the stirred solution was dropwise added a solution of MK-070 (4.89 g, 25.17 mmol) and PhCO2H (4.00 g, 32.7 mmol, 1.3 eq.) in 30 mL of dry THF at 0° C. After 30 min at 0° C. the mixture was allowed to warm to rt overnight. The resulting reaction mixture was evaporated and diluted with hexane-AcOEt. After filtration of generated precipitate, the filtrate was concentrated to yield crude oil. The crude product was purified by chromatography on silica gel (hexane/AcOEt:15/1) to afford pale yellow oil of MK-071 (6.84 g, 91%). To a stirred solution of MK-071 (6.84 g, 22.91 mmol) in 38 mL of EtOH was added aqueous 3N—NaOH (15.3 mL, 45.81 mmol) then the mixture was stirred at 80° C. for 1 hr. The resulting mixture was evaporated, extracted with Et2O, washed with brine, dried over MgSO4, filtered and concentrated to yield a crude oil. The crude product was purified by chromatography on silica gel (hexane/AcOEt:5/1 to 5/3) to afford colorless oil of MK-072 (4.17 g, 94%). To a suspension of 66% NaH (916 mg, 25.20 mmol) in 30 mL of DMF was added a solution of MK-072 (2.72 g, 14.00 mmol) in 10 mL of DMF at 0° C. After stirring at 0° C. for 30 min 4-MPMCl (3.80 mL, 28.00 mmol) was added, then the mixture was allowed to warm to rt. After 2 days the reaction was quenched with saturated aqueous solution of NH4Cl and extracted with AcOEt. The organic extract was washed with saturated aqueous solution of NaHCO3 and brine, dried over Na2SO4, filtered and concentrated. The crude product was purified by chromatography on silica gel (Hexane/AcOEt:12/1) to afford colorless oil of MK-073 (3.88 g, 88%). 50 wt % suspension of Raney-Ni (W2) in basic water (9.5 g) was added into a flask, then the suspension was washed with water and EtOH. To this suspension was added a solution of MK-073 (3.88 g, 12.34 mmol) in 150 mL of EtOH. H2 balloon was mounted and the mixture was purged with H2. After stirred for 5 days under H2 (1 atm) at rt, the reaction mixture was filtered through Celite and the filtrate was evaporated to give a crude oil. The crude product was purified by chromatography on silica gel (Hexane/AcOEt:3/1) to afford colorless oil of MK-074 (2.61 g, 94%). Using similar procedure for the synthesis of MK-008 from MK-007, MK-074 (2.61 g, 11.63 mmol) was converted to crude oil of MK-075 (2.70 g, quant.). The crude MK-075 was used for next step without purification. Using similar procedure for the synthesis of 343-YW-276 from 343-YW-203, crude MK-075 (2.70 g, assumed to contain 11.63 mmol) was converted to MK-076 (3.92 g, 89% 2 steps). MK-076 (2.03 g, 5.37 mmol, 1.36 eq.) was dissolved in 27 mL of dry THF and cooled to −78° C. under nitrogen. n-BuLi in hexane (1.6M, 6.71 mL, 10.73 mmol, 2.71 eq.) was added and stirred at −78° C. for 1 hr. A solution of crude TM-03 (1.11 g, assumed to contain 3.96 mmol) in 7 mL of dry THF was dropwise added to the mixture and stirred for 30 min at −78° C. The reaction mixture was allowed to warm to 10° C. slowly over 2.5 hrs. The mixture was quenched with saturated aqueous solution of NH4Cl and extracted with AcOEt. The organic extract was washed with saturated aqueous solution of NaHCO3 and brine, dried over Na2SO4, filtered and concentrated. The crude product was purified by chromatography on silica gel (hexane/AcOEt:7/1 to 4/1) to afford oil of MK-077 (less polar single isomer, 541 mg, 27%) and oil of MK-078 (polar single isomer, 1.21 g, 60%). Using similar procedure for the synthesis of TM-05 from TM-04, MK-077 (less polar single isomer, 3.85 g, 7.61 mmol) was converted to colorless oil of MK-079 (single isomer, 3.38 g, 87%). Using similar procedure for the synthesis of MK-024 from MK-023, MK-079 (3.38 g, 6.63 mmol) treated with 3-MPMCl (2.89 mL, 19.9 mmol) was converted to colorless oil of MK-080 (3.86 g, 92%). Using similar procedure for the synthesis of MK-056 from MK-055, MK-080 (3.85 g, 6.12 mmol) was converted to colorless oil of MK-081 (3.00 g, 95%). Using similar procedure for the synthesis of MK-058 from MK-056, MK-081 (1.82 g, 3.54 mmol) was converted to colorless oil of MK-083 (1.80 g, 96% 2 steps). Using similar procedure for the synthesis of MK-059 from MK-058, MK-083 (1.80 g, 3.40 mmol) was converted to crude oil of MK-084. The crude MK-084 was used for next step without purification. Using similar procedure for the synthesis of MK-060 from MK-059, crude MK-084 coupled with MK-048 (853 mg, 2.60 mmol) was converted to pale brown oil of MK-085 (2.14 g, 98% 2 steps). Using similar procedure for the synthesis of MK-061 from MK-060, MK-085 (2.14 g, 2.55 mmol) was converted to pale yellow oil of MK-086 (1.74 g, 95%). Using similar procedure for the synthesis of MK-031 from MK-030, MK-086 (1.74 g, 2.42 mmol) was converted to crude oil of MK-087 (1.57 g, quant.). The crude MK-087 was used for next step without purification. Using similar procedure for the synthesis of MK-063 from MK-062, crude MK-087 (1.57 g, assumed to contain 2.42 mmol) was converted to pale yellow oil of MK-088 (1.68 g, including ca 0.38 g of inseparable impurity derived from DEAD, ca 90% 2 steps). Using similar procedure for the synthesis of MK-065 from MK-063, MK-088 (1.68 g, including ca 0.38 g of inseparable impurity derived from DEAD, assumed to contain 2.17 mmol) was converted to colorless solid of MK-089 (525 mg, 50%). Using similar procedure for the synthesis of NF0552 from MK-021, MK-089 (458 mg, 0.955 mmol) was treated with Dess-Martin reagent at low temperature to give a pale yellow solid of MK-090 (250 mg, 55%). MK-090 (250 mg, 0.524 mmol) was dissolved in 3.5 mL of CH2Cl2 and cooled to 0° C. A mixture of 50% Hydrofluoric acid (24N, 3.5 mL) and 14 mL of CH3CN was added to the solution and stirred for 1 hr at 0° C. before the mixture was allowed to warm to 15° C. slowly over 1.5 hrs. Then, the reaction mixture was poured into a stirred biphasic solution of saturated aqueous solution of NaHCO3 and AcOEt. The organic extract was washed with brine, dried over Na2SO4, filtered and concentrated to crude product. The crude product was purified by chromatography on silica gel (CH2C2/MeOH: 13/1) to afford colorless crystals of NF2306 (174 mg, 42%). Preparation of C13-Oxygen and Fluoro Analog, NF2432, NF2544, NF2547, NF2553 and NF2556 Synthetic Procedure for NF2432 1) Preparation of the Macrocyclic Part To a stirred THF solution of dibromide YE-43 (18.6 g, 37 mmol), which was prepared using similar procedure for the intermediate 554-RB-228 from methyl (S)-3-hydroxybutyrate (47%, 5 steps), was added n-butyllithium (1.6M in hexane solution, 47 ml, 75 mmol) at −78° C. The mixture was allowed to warm to 0° C. for 30 min and then stirred at −78° C. for additional 30 min A THF solution of aldehyde NY-20 (6.17 g, 24 mmol) was added, the mixture was allowed to warm to 0° C. and stirred at 0° C. for 30 min, after which a saturated solution of NH4Cl was added. The mixture was extracted with EtOAc and the organic extract was washed with a saturated solution of NaHCO3, brine, dried over anhydrous Na2SO4, filtered and concentrated. The crude product was purified by chromatography on silica gel using 12% EtOAc/hexane to give 3.55 g (5.9 mmol, 25%) of the less polar isomer YE-01 and 5.5 g (0.093 mol, 39%) of the more polar isomer YE-02. To a solution of YE-02 (10.1 g, 17.0 mmol) in n-hexane (170 mL), quinoline (0.25 eq., 4.25 mmol, 0.50 mL) and 5 wt. % Pd on BaSO4 (0.05 eq., 0.85 mmol, 1.81 g) was added at rt. And the reaction mixture was purged with H2 and stirred under H2 atmosphere for 11 hrs. The catalyst was filtered off and the filtrate was concentrated. The crude product (11.5 g) was purified by chromatography on silica gel using 16% EtOAc/hexane to give 8.19 g (13.7 mmol, 81% 2 steps) of the desired allylic alcohol YE-03. The alcohol YE-03 (8.04 g, 13.5 mmol) was dissolved in CH2Cl2 (200 mL), 2,6-lutidine (7.8 mL, 67.0 mmol) was added and the mixture was cooled to 0° C. in ice/water bath. Then TBSOTf (7.7 mL, 33.5 mmol) was added and the mixture was allowed to warm to rt. After 2 hrs, it was cooled to 0° C. and was quenched with MeOH and a saturated solution of NaHCO3. The mixture was extracted with EtOAc, the organic layer was washed with a saturated solution of NaHCO3, 5% citric acid aq., a saturated solution of NaHCO3, and brine. The organic layer was dried over Na2SO4, filtered and concentrated. The crude product was purified by chromatography on silica gel using 2-4% EtOAc/hexane to give 9.60 g (13.5 mmol, quant.) of YE-04. To a stirred ether solution (200 ml) of YE-04 (9.60 g, 13.5 mmol) at 0° C. was added lithium tetrahydroborate (0.60 g, 27.5 mmol). The mixture was allowed to warm to rt and stirred for 2 days. Then the mixture was cooled to 0° C. and lithium tetrahydroborate (0.30 g, 13.8 mmol) was added again. The mixture was allowed to warm to rt and stirred overnight. The mixture was cooled to 0° C., then a saturated solution of NH4Cl (2 ml) was added slowly. After the stirring for 20 min, a saturated solution of NH4Cl (100 ml) was added. The mixture was extracted with EtOAc and the organic extract was washed with a saturated solution of NH4Cl, brine, dried over anhydrous Na2SO4, filtered and concentrated. The crude product was purified by chromatography on silica gel using 12-15% EtOAc/hexane to give 8.51 g (13.5 mmol, quant.) of the alcohol YE-05. To a stirred solution of YE-05 (1.90 g, 3.03 mmol) in toluene (45 ml) was added triphenylphosphine (1.6 g, 6 μmol), a mixture of diethyl azodicarboxylate (40% in toluene, 2.1 ml, 4.6 mmol) and iodomethane (0.29 ml, 4.7 mmol). The mixture was stirred for 40 min after which a mixture of diethyl azodicarboxylate (in toluene, 0.5 ml, 1.1 mmol) and iodomethane (0.06 ml, 1.2 mmol) was added. The mixture was stirred for 20 min and the solvent was evaporated in vacuo. The concentrate was purified by chromatography on silica gel using 1-1.5% EtOAc/hexane to give 2.05 g (2.78 mmol, 92%) of the iodide YE-06. 2) Preparation of the Aromatic Part 3-Bromo-4-hydroxy-5-methoxybenzaldehyde (24.8 g, 0.107 mol) was dissolved in DMF (400 ml). K2CO3 (20 g, 0.14 mol) and iodomethane (8.8 ml, 0.14 mol) was added. The mixture was stirred for 4 hrs and was then cooled to 0° C. in ice/water bath and diluted with ether (300 ml). Then ice-water (600 ml) was added slowly. The mixture was extracted with ether and the organic extract was washed with water, brine, dried over anhydrous Na2SO4, filtered and concentrated to give 22.1 g (90 mmol, 84%.) of YE-07. YE-07 (13.3 g, 54.2 mmol) was dissolved in chloroform (350 mL) under nitrogen. m-CPBA (>70%, 31 g, 126 mmol) was added and the solution was gently refluxed for 1 hr. The reaction mixture was cooled to 0° C. and was poured into saturated stirred solution of NaHCO3. After stirring for 15 min, the organic layer was separated, washed with saturated Na2SO3, saturated NaHCO3, dried over Na2SO4, filtered and concentrated The concentrate was dissolved in MeOH (150 ml) and 6N HCl (150 ml) was added. The mixture was stirred for 15 min and partially concentrated. The mixture was extracted with EtOAc and the organic extract was washed with water, dried over Na2SO4, filtered and concentrated. to give 10.8 g of crude phenol. The crude phenol was methylated using the same procedure as the preparation of YE-07 to give 9.8 g (39.7 mmol, 73%) of YE-08. To a stirred ether solution of bromobenzene YE-08 (14.6 g, 59.1 mmol) at −78° C. was added n-butyllithium (1.6M in hexane solution, 50 ml, 1.3 eq., 80 mmol,), and the mixture was stirred at −78° C. for 1.5 hrs. A solution of iodomethane (10 ml, 161 mmol) in ether (20 ml) was added, and the mixture was allowed to warm to rt and stirred for 1.5 hrs, after which a saturated solution of NH4Cl was added. The mixture was extracted with ether and the organic extract was washed with brine, dried over anhydrous Na2SO4, filtered and concentrated. The concentrate was purified by chromatography on silica gel using 6-9% EtOAc/hexane to give 9.6 g (52.6 mmol, 89%) of 2,3,5-trimethoxytoluene. The toluene 9.6 g (52.6 mmol, 89%) was dissolved in DME (130 mL) and copper (II) bromide (25 g, 112 mmol) was added portionwise over 6 hrs. After stirring another 1 hr, the reaction mixture was filtrated and the filtrate was concentrated. The concentrate was purified by chromatography on silica gel using 5-12% EtOAc/hexane to give 12.7 g (48.6 mmol, 92%) of YE-09. To a stirred ether solution of YE-09 (45.6 mmol, 11.9 g) at −78° C. was added n-butyllithium (1.6M in hexane solution, 37 ml, 59 mmol) and the mixture was stirred at −78° C. for 1 hr. A finely crushed dry-ice was added slowly and the mixture was allowed to warm to −10° C. After 2 hrs, the reaction was quenched with water (200 ml). The mixture was washed with ether then acidified with 1N HCl. The mixture was extracted with EtOAc and the organic extract was washed with water, brine, dried over anhydrous Na2SO4, filtered and concentrated to give 9.7 g (42.8 mmol, 94%) of YE-10. To a stirred solution of YE-10 (1.4 g, 6.3 mmol) in dry CH2Cl2 (40 mL) was added BBr3 (1M solution, 28 mL, 28 mmol) at −78° C. under nitrogen atmosphere and the mixture was allowed to warm to rt. After 8 hrs, the mixture was cooled to 0° C. and poured into water. The organic layer was separated and washed with a solution of 5% glycerol, brine, dried over anhydrous Na2SO4, filtered and concentrated to give 0.9 g of the crude product. To a stirred solution of the crude product (0.9 g, 4.8 mmol) in dry acetonitrile (20 mL) were added MeOH (0.78 ml) followed by N,N-diisopropylethylamine (1.7 ml, 9.7 mmol). To the mixture was added TMSCHN2 (2.0M in hexane, 4.8 mL, 9.6 mmol) and the mixture was stirred at 30° C. After 1 hr., the mixture was cooled to 0° C., poured into water and extracted with EtOAc. The organic extract was washed with a saturated solution of NH4Cl, water, brine, dried with anhydrous Na2SO4, filtered and concentrated. The crude product was purified by chromatography on silica gel using 6% EtOAc/hexane to give 0.37 g (1.74 mmol, 28% 2 steps) of YE-11. To a stirred suspension of NaH (0.16 g, 4.4 mmol) in dry THF (10 mL) was added YE-11 (0.37 g, 1.7 mmol) in dry THF (8 mL) at 0° C. After stirring for 30 min at 0° C., TBDPSCl (0.5 ml, 1.9 mmol) was added. The mixture was allowed to warm to rt and stirred for 15 min. The mixture was cooled to 0° C., poured into water and extracted with EtOAc. The organic extract was washed with water, brine, dried with anhydrous Na2SO4, filtered and concentrated. The concentrate was purified by chromatography on silica gel using 6% EtOAc/hexane to give 0.63 g (1.39 mmol, 80%) of silyl ether. To a stirred solution of the silyl ether (3.7 g, 8.3 mmol) in DMF (50 mL) was added Cs2CO3 (3.0 g, 9.2 mmol) and iodomethane (1.3 mL, 20.8 mmol). The mixture was stirred overnight and was cooled to 0° C. in ice/water bath. Then the mixture was poured into ice-cold, saturated solution of NH4Cl (100 mL) and extracted with EtOAc. The organic extract was washed with water, brine, dried over anhydrous Na2SO4, filtered and concentrated. The concentrate was purified by chromatography on silica gel using 5% EtOAc/hexane to give 2.83 g (6.09 mmol, 73%) of YE-12. Using similar procedure for the intermediate 10 of NF2561, YE-12 (0.30 g, 0.64 mmol) was converted to YE-13 (0.29 g, 0.51 mmol, 80% 2 steps). YE-13 (0.29 g, 0.51 mmol) was dissolved in THF (10 mL). Then 1.0M solution of TBAF in THF (1.5 mL, 1.5 mmol) were added at rt. The mixture was stirred overnight after which a saturated solution of NH4Cl was added. The mixture was extracted with EtOAc and the organic extract was washed with a saturated solution of NaHCO3, water, brine, dried with anhydrous Na2SO4, filtered and concentrated. The crude product was purified by chromatography on silica gel using 10% EtOAc/hexane to EtOAc as eluents to give 0.17 g (0.51 mmol, quant.) of phenol. To a stirred suspension of sodium hydride (0.28 g, 7.7 mmol) in dry THF (10 mL) was added the phenol (2.0 g, 5.9 mmol) in dry THF (20 mL) at 0° C. After stirring for 15 min, chloromethyl methyl ether (0.57 mL, 7.5 mmol) at 0° C. After 3 hr, the mixture was poured into a saturated solution of NH4Cl and extracted with EtOAc. The organic extract was washed with a saturated solution of NaHCO3, brine, dried over anhydrous Na2SO4, filtered and concentrated. The crude product was purified by chromatography on silica gel using 15% EtOAc/hexane to give 1.4 g (3.7 mmol, 62%) of YE-14. Using similar procedure for the intermediate 14 of NF2561, YE-14 (1.4 g, 3.7 mmol) was converted to YE-15 (1.6 g, 3.4 mmol, 93% 2 steps). Using similar procedure for the intermediate 18 of NF2561, the iodide (502 mg, 0.68 mmol) was converted to YE-16 (315 mg, 0.33 mmol, 48% 3 steps). YE-16 (310 mg, 0.32 mmol) was dissolved in THF (12 mL). Then, 1.0M solution of tetrabutylammonium fluoride in THF (1.6 mL, 1.6 mmol) was added at 0° C. The mixture was stirred at rt for 2 days after which 10% KHSO4 solution was added. The mixture was extracted with EtOAc and the organic extract was washed with water, brine, dried with anhydrous Na2SO4, filtered and concentrated. The crude product was dried by azeotropic distillation with toluene to give 270 mg of YE-17 with silyl impurity. To a stirred solution of crude YE-17 (270 mg) in THF (20 mL) were added triethylamine (0.090 mL, 0.64 mmol) and 2,4,6-trichlorobenzoyl chloride (0.085 mL, 0.54 mmol) at rt. After 16 hrs, the reaction mixture was diluted with toluene (300 mL) and added dropwise to a solution of 4-(dimethylamino)pyridine (980 mg, 8.0 mmol) in toluene (320 mL) over a period of 6 hrs under reflux. The resultant mixture was stirred for 0.5 hr under reflux. After concentration under reduced pressure, the residue was dissolved in EtOAc and washed with 10% KHSO4 aq sol., water, brine and dried over anhydrous Na2SO4, filtered and concentrated. The crude product was purified by chromatography on silica gel using 6-30% EtOAc/hexane to give 114 mg (0.23 mmol, 72% 3 steps) of YE-18. Using similar procedure for 509-HD-125, YE-18 (20 mg, 0.041 mmol) was converted to YE-19 (22 mg, quant.). To a stirred solution of YE-19 (22 mg, 0.041 mmol) in THF (1.4 mL)—H2O (0.7 mL) was added trifluoroacetic acid (1.4 mL) at 0° C. The mixture was then allowed to warm to rt. After 1.5 hrs, the mixture was poured into a saturated solution of NaHCO3 and extracted with EtOAc. The organic extract was washed with water, brine and dried over anhydrous Na2SO4, filtered and concentrated. The crude product was purified by chromatography on silica gel using 30% EtOAc/hexane to give 13.3 mg (0.033 mmol, 81%) of NF2432. Synthetic Procedure for NF2544 To a stirred suspension of NaH (2.3 g, 63 mmol) in dry THF (100 mL) were added 2-bromo-4-fluorophenol (10 g, 52 mmol) in dry THF (20 mL) at 0° C. After stirring for 30 min at 0° C., chloromethyl methyl ether (4.8 mL, 63 mmol) was added. The mixture was allowed to warm to rt and stirred for 1.5 hrs. The mixture was cooled to 0° C., poured into water and extracted with EtOAc. The organic extract was washed with water, brine, dried with anhydrous Na2SO4, filtered and concentrated. The concentrate was purified by chromatography on silica gel using 10% EtOAc/hexane to give 10.7 g (45.5 mmol, 87%) of YE-20. To a stirred suspension of YE-20 (10.7 g, 46 mmol) in dry ether (150 mL) was added 1.6M n-BuLi in hexane (34 mL, 54.4 mmol) at −78° C. under nitrogen atmosphere. After 1 hr, dry DMF (15 mL) was added and the mixture was allowed to warm to rt. It was quenched with a saturated solution of NH4Cl and extracted with EtOAc. The organic extract was washed with a saturated solution of NH4Cl, water, brine, dried over anhydrous Na2SO4, filtered and concentrated. The crude product was purified by chromatography on silica gel using 10% EtOAc/hexane to give 7.8 g (42 mmol, 93%) of YE-21. To a stirred solution of YE-21 (6.8 g, 37 mmol) in toluene (200 mL) was added ethylene glycol (12 g, 193 mmol) and p-toluenesulfonic acid monohydrate (0.3 g) at rt. and refluxed using Dean-Stark apparatus. After 4 hr, the mixture was cooled to 0° C. in ice/water bath. Then TEA (15 ml, 0.10 mol) was added, the mixture was stirred for 10 min, then poured into a saturated solution of NaHCO3. The mixture was extracted with EtOAc and the organic extract was washed with a saturated solution of NaHCO3, brine, dried over anhydrous Na2SO4, filtered and concentrated to give 6.7 g of phenol as crude product. To a stirred suspension of NaH (1.5 g, 41 mmol) in dry THF (120 mL) were added the phenol (6.7 g, 36 mmol) in dry THF (20 mL) at 0° C. After stirring for 10 min at 0° C., TBSCl (6.3 g, 42 mmol) was added. The mixture was allowed to warm to rt and stirred overnight. The mixture was cooled to 0° C., poured into water and extracted with EtOAc. The organic extract was washed with water, brine, dried over anhydrous Na2SO4, filtered and concentrated. The concentrate was purified by chromatography on silica gel using 2% EtOAc/hexane (containing 0.2% of triethylamine) to give 8.75 g (29.3 mmol, 79% 2 steps) of YE-22. To a stirred suspension of YE-22 (20 g, 67 mmol) in THF (350 mL) was added 1.6M n-BuLi in hexane (50 mL, 80 mmol) at −78° C. under nitrogen atmosphere. After 1 hr TMEDA (15 mL, 99 mmol) was added and stirred at −78° C. for another 10 min. To the mixture was added dry DMF (5.0 mL, 65 mmol) and the mixture was allowed to warm to −20° C. and stirred for 40 min. It was quenched with AcOH (14 mL), and poured into water. The mixture was extracted with EtOAc and the organic extract was washed with a saturated solution of NaHCO3, brine, dried over anhydrous Na2SO4, filtered and concentrated. The crude product was purified by chromatography on silica gel using 2-5% EtOAc/hexane to give 15.8 g (48.4 mmol, 72%) of YE-23. To a stirred MeOH solution (350 mL) of YE-23 (15.8 g, 48.4 mmol) at 0° C. was added NaBH4 (2.0 g, 53 mmol). The mixture was stirred at 0° C. for 30 min. Then the mixture was quenched with AcOH (10 mL), and poured into a saturated solution of NaHCO3. The mixture was extracted with ether and the organic extract was washed with a saturated solution of NaHCO3, brine, dried over anhydrous Na2SO4, filtered and concentrated to give 16.4 g (48.4 mmol, quant.) of alcohol. To a stirred acetone solution (300 mL) of the alcohol (16.4 g, 48.4 mmol) at 0° C. was added 1N HCl (8 mL, 8 mmol). The mixture was stirred at 0° C. for 70 min, then was poured into a saturated solution of NaHCO3. The mixture was partially concentrated to remove acetone and the concentrate was extracted with ether. The organic extract was washed with brine, dried over anhydrous Na2SO4, filtered and concentrated to give 13.6 g (47.8 mmol) of YE-24. YE-24 (13.6 g, 47.8 mmol) was dissolved in 900 mL of dichloromethane and PDC (53.7 g, 143 mmol) were added to the solution. The reaction mixture was stirred for 7d at rt and the mixture was diluted with ether (300 mL). After passing through Florisil column, YE-25 was obtained as colorless oil (11.7 g, 86%, 3 steps). YE-25 (11.7 g, 41.4 mmol) was dissolved in THF (120 mL), 1.7N hydrochloric acid (60 mL, 100 mmol) were added and the mixture was stirred at 50° C. for 1 hrs, then refluxed for 3 hrs. The mixture was cooled to rt and filtrated. To the filtrated was added 5N NaOH (18 mL) and the organic layer was separated. The aqueous layer was saturated with NaCl and was extracted with EtOAc. The combined organic extract was concentrated and the concentrate was triturated with ether to give phenol (4.9 g, 32.2 mmol). Using similar procedure for TM-37, the phenol (4.2 g, 27.6 mmol) was converted to YE-26 (4.2 g, 21.2 mmol, 77%). Using similar procedure for TM-50, YE-26 (4.1 g, 20.9 mmol) was converted to YE-27 (4.9 g, 14.6 mmol, 70% 3 steps). Using similar procedure for TM-39, YE-27 (1.5 g, 4.5 mmol) was converted to YE-28 (1.60 g, 3.8 mmol, 85% 2 steps). Using similar procedure for the intermediate 18 of NF2561, the iodide (510 mg, 0.69 mmol) was converted to YE-29 (690 mg, 0.67 mmol, 97% 3 steps). Using similar procedure for the intermediate YE-17, YE-29 (520 mg, 0.57 mmol) was converted to YE-30 (430 mg) with silyl impurity. Using similar procedure for YE-18, YE-30 (430 mg) was converted to YE-31 (94 mg, 0.21 mmol, 36.5% 3 steps). Using similar procedure for ER803064, YE-31 (45 mg, 0.099 mmol) was converted to NF-2544 (13 mg, 0.036 mmol, 36% 2 steps). Synthetic Procedure for NF2547 5-Bromovanillin (20.0 g, 86.56 mmol) and AlCl3 (12.70 g, 95.22 mmol) were dissolved in 145 mL of dry CH2Cl2. To the stirred solution was dropwise added pyridine (30.80 mL, 380.9 mmol) over 10 min at rt (exothermic reaction). Then the mixture was warmed to 45° C. and stirred for 20 hrs after which it was cooled to rt. The resulting mixture was acidified with 3N HCl aq and extracted with AcOEt. The organic extract was washed with brine, dried over Na2SO4, filtered and concentrated to give crude colorless crystals of MK-101 (18.4 g, <98%). The crude MK-101 was used for next step without purification. Crude MK-101 (13.15 g, assumed to contain 60.59 mmol), Br—CH2—Cl (6.50 mL, 96.9 mmol), and Cs2CO3 (31.59 g, 96.9 mmol) were suspended in 200 mL of DMF and the mixture was stirred at 110° C. for 20 hrs. The resulting mixture was diluted with water and extracted with AcOEt. The organic extract was washed with brine, dried over Na2SO4, filtered and concentrated to give crude brown solid of MK-102. The crude product was purified by chromatography on silica gel (hexane/AcOEt: 6/1 to 5/1) to afford colorless crystals of MK-102 (11.1 g, 77% 2 steps). 70% mCPBA (13.1 g, 53.1 mmol) was added to a stirred solution of MK-102 (5.07 g, 22.12 mmol) in 110 mL of CHCl3 and the mixture was heated up to reflux. After 3 hrs at reflux the mixture was cooled to 0° C., quenched with aqueous solution of Na2SO3, and extracted with CH2Cl2. The organic extract was washed with saturated aqueous solution of NaHCO3 and brine, then evaporated to give crude pale brown solid of intermediate formate. The crude formate was dissolved in 100 mL of MeOH. NaHCO3 (3.7 g, 44 mmol) was added and the suspension was stirred at rt for 30 min Water and AcOEt were added to the mixture and organic extract was washed with brine, dried over Na2SO4, filtered and concentrated to give a crude oily solid of MK-103. The crude product was purified by chromatography on silica gel (hexane/AcOEt:4/1) to afford colorless crystals of MK-103 (3.78 g, 79% 2 steps). Using similar procedure for the synthesis of 509-HD-209 from 509-HD-207, MK-103 (3.78 g, 17.40 mmol) was converted to colorless oil of MK-104 (4.42 g, 97%). To a stirred solution of MK-104 (2.00 g, 7.66 mmol) in 26 mL of dry Et2O was dropwise added n-BuLi in hexane (1.6M, 5.74 mL, 9.19 mmol, 1.2 eq.) at −78° C. After 1 hr dry DMF (1.20 mL, 15.3 mmol, 2.0 eq.) was added in one portion to the mixture and stirred at −78° C. for 30 min after which saturated aqueous solution of NH4Cl was added. The resulting mixture was extracted with AcOEt and the organic extract was washed with brine, dried over Na2SO4, filtered, and concentrated to give crude yellow oil of MK-105 (1.60 g). The crude product was used for next step without purification. The crude MK-105 (1.60 g, assumed to contain 7.66 mmol) was dissolved in 26 mL of MeOH and the stirred solution was cooled to 0° C. NaBH4 (290 mg, 7.66 mmol) was added in some portions. After 20 min at 0° C. the reaction mixture was quenched with aqueous solution of NH4Cl and extracted with AcOEt. The organic extract was washed with brine, dried over Na2SO4, filtered and concentrated to give crude oil. The crude product was purified by chromatography on silica gel (hexane/AcOEt:3/1 to 2/1) to afford colorless crystals of MK-106 (1.44 g, 89% 2 steps). To a stirred solution of MK-106 (1.26 g, 5.92 mmol) in 30 mL of DMF was added NBS (1.16 g, 6.51 mmol, 1.1 eq.) at 0° C. The mixture was stirred at 0° C. for 3 hrs before aqueous solution of Na2SO3 and AcOEt were added. The organic extract was washed with brine, dried over Na2SO4, filtered, and concentrated to give crude colorless crystals of MK-107 (1.73 g, quant.). The crude product was used for next step without purification. Crude MK-107 (1.73 g, assumed to contain 6.51 mmol) and imidazole (1.01 g, 14.80 mmol) were dissolved in 39 mL of DMF. TBS—Cl (1.78 g, 11.84 mmol) was added to the solution and the mixture was stirred at rt overnight after which AcOEt was added. The resulting mixture was washed with aqueous solution of NaHCO3 and brine, dried over Na2SO4, filtered and concentrated to give crude crystals. The crude product was purified by chromatography on silica gel (hexane/AcOEt:9/1) to afford colorless crystals of MK-108 (2.25 g, 94% 2 steps). MK-108 (2.25 g, 5.56 mmol) was suspended in 90 mL of dry Et2O. To the stirred suspension was added n-BuLi in hexane (1.6M, 4.52 mL, 7.23 mmol, 1.3 eq.) and the mixture was stirred at −78° C. After 1.5 hr the suspension turned homogeneous. The mixture was stirred for additional 30 min at −78° C. Then, excessive dry CO2 gas (ca 30 eq.) was added by bubbling through an inlet over 15 min. The resulting mixture was stirred at −78° C. for 40 min after which it was allowed to warm to rt. After 1 hr the reaction mixture was quenched with saturated aqueous solution of Na2CO3 and washed with Et2O. The basic aqueous layer was acidified with KHSO4 and extracted with AcOEt. The organic extract was washed with brine, dried over Na2SO4, filtered, and concentrated to yield crude pale yellow crystals of MK-109 (1.93 g). The crude product was used for next step without purification. Using similar procedure for the synthesis of MK-093 from MK-092, crude MK-109 (1.93 g) was converted to a crude brown oil of MK-110 (1.73 g). The crude product was used for next step without purification. Crude MK-110 (1.73 g) was dissolved in 75 mL of THF. Then, TBAF in THF (1M, 9.0 mL, 9.0 mmol, 2 eq.) was added at rt. The mixture was stirred for 2 days before AcOEt and aqueous solution of KHSO4C were added. The organic extract was washed with brine, dried over Na2SO4, filtered and concentrated. The crude product was purified by chromatography on silica gel (hexane/AcOEt:2/1) to afford colorless crystals of MK-111 (476 mg, 36% 4 steps). Using similar procedure for the synthesis of NY-90 from NY-89, MK-111 (412 mg, 1.73 mmol) was converted to crude pale yellow oil of MK-112 (435 mg). The crude product was used for next step without purification. Using similar procedure for the synthesis of NY-91 from NY-90, crude MK-112 (435 mg) was converted to colorless oil of MK-113 (494 mg, 79% 3 steps). To a stirred solution of MK-113 (423 mg, 1.17 mmol) in 9 mL of DMSO was added a solution of KOH (196 mg, 3.50 mmol) in 4.5 mL of water and the mixture was heated to 80° C. After stirred for 2 hrs, the mixture was cooled to rt and diluted with Et2O. The mixture was acidified with aqueous solution of KHSO4 and extracted with AcOEt. The organic extract was washed with brine, dried over Na2SO4, filtered, and concentrated to give crude pale yellow crystals of MK-114 (428 mg). It was used for next step without purification. Using similar procedure for the synthesis of MK-047 from MK-046, crude MK-114 (428 mg) was converted to pale pink oil of MK-115 (476 mg, 91% 2 steps) as compound purified. Using similar procedure for the synthesis of compound 18, the intermediate of NF2561, from compound 16, YE-06 (627 mg, 0.851 mmol) coupled with MK-115 (474 mg, 1.06 mmol) was converted to pale yellow oil of MK-116 (804 mg, 99% 3 steps). Using similar procedure for the synthesis of YE-17 from YE-16, MK-116 (800 mg, 0.844 mmol) was converted to crude oil of MK-117 (735 mg, including silyl impurity). The crude product was used for next step without purification. Using similar procedure for the synthesis of YE-18 from YE-17, the crude MK-117 (735 mg, assumed to contain 0.844 mmol) was converted to a colorless solid of MK-118 (192 mg, 48% 3 steps). Using similar procedure for the synthesis of 509-HD-125 from 509-HD-119B, MK-118 (141 mg, 0.296 mmol) was converted to crude pale yellow solid of MK-119 (104 mg, <74%). The crude MK-119 was used for next step without purification. Using similar procedure for the synthesis of NF2306 from MK-090, crude MK-119 (104 mg) was converted to crude pale yellow oil. The crude product was purified by chromatography on silica gel (hexane/AcOEt:1/2) to afford pale yellow crystals of NF2547 (59 mg, 51% 2 steps). Synthetic Procedure for NF-2553 Using same procedure for 509-HD-209, NY-37 (4.8 g, 19.59 mmol) was converted to NY-117 (4.93 g). NY-117 (2.89 g, 10 mmol) was dissolved in Et2O (40 mL) and cooled to −78° C., under nitrogen. Then, sec-BuLi (1.3M/cyclohexane, 9.3 mL, 12.09 mmol) was slowly added and the reaction was stirred at −78° C. for 30 min DMF (1.55 mL, 20 mmol) was added to the solution, then the solution was stirred at −78° C. for 10 min. The mixture was quenched with sat.NH4Cl and extracted with EtOAc. The organic layer was washed with water, brine and dried over Na2SO4, filtered and concentrated. The crude product was purified on silica gel column with hexane/EtOAc, 15:1, 10:1, 8:1, 6:1, 5:1, 4:1 to give 811 mg of NY-118. A mixture of NY-118 (4.09 g, 17.17 mmol), mCPBA (10 g, 40.56 mmol) and CHCl3 (15 mL) was refluxed for 2.5 hrs. The reaction mixture was quenced with sat. Na2S2O3 and extracted with EtOAc. The organic layer was washed with sat. Na2S2O3, sat.NaHCO3(×2), brine, dried over Na2SO4, filtered and concentrated. The crude product was purified on silica gel column with hexane/EtOAc, 10:1, 8:1 to give 2.58 g of NY-119. Using same procedure for 10, NY-119 (2.58 g, 10.15 mmol) was converted to NY-120 (2.45 g). A mixture of NY-120 (470 mg, 1.41 mmol), 2-bromo-1-chloroethane (0.35 ml, 4.22 mmol), K2CO3 (292 mg, 2.11 mmol) was refluxed for 6 hrs. Then, additional 2-bromo-1-chloroethane (0.35 ml, 4.22 mmol) was added and the mixture was refluxed for 15 hrs. K2CO3 (450 mg, 3.26 mmol) and 2-bromo-1-chloroethane (1.05 ml, 12.67 mmol) were added and the mixture was refluxed for 4 hrs. The insoluble material was filtered and the filtrate was concentrated. The residue was diluted with EtOAc and washed with water, brine, dried over Na2SO4, filtered and concentrated to give 519 mg of NY-121. A mixture of NY-121 (519 mg, 1.31 mmol), NaN3 (212 mg, 3.26 mmol) and DMF (10 mL) was stirred at 80° C. for 3 hrs. The mixture was diluted with EtOAc and washed with water (×3), brine, dried over Na2SO4, filtered and concentrated. The crude product was purified on silica gel column with hexane/EtOAc, 8:1 to give additional 452 mg of NY-122. Using same procedure for NY-110, NY-122 (450 mg, 1.12 mmol) was converted to NY-123 (442 mg). Using same procedure for 509-HD-213, NY-123 (322 mg, 0.827 mmol) was converted to NY-124 (365 mg). Using same procedure for 16, YE-06 (441 mg, 0.598 mmol) was converted to crude product of NY-125 (857 mg). Using same procedure for 18, NY-125 (857 mg) was converted to NY-126 (231 mg). Using same procedure for 509-HD-116, NY-126 (230 mg, 0.233 mmol) was converted to NY-127 (197 mg). NY-127 was used without purification for the next step. Using same procedure for TM-12, NY-127 (197 mg, 0.233 mmol) was converted to NY-128 (53 mg). To a solution of NY-128 (7.2 mg, 0.0139 mmol) in THF (1 mL), n-Bu3P (3.5 μL) was added and stirred at room temperature for 80 min. Additional n-Bu3P (3.5 μL) was added and the mixture was stirred for 80 min. Then, water (50 μL) was added to the reaction mixture, and the mixture was stirred at room temperature for 3 hrs. The reaction mixture was dried over Na2SO4, filtered and concentrated. The crude product was purified on silica gel column with CH2Cl2/MeOH, 98:2, 95:5, 9:1 to give 5.2 mg of NY-129. To a solution of NY-129 (5.2 mg, 0.0106 mmol), Et3N (5 μL, 0.0359 mmol), Ac2O (1.5 μL, 0.0159 mmol) was added at 0° C. and stirred for 40 min. The reaction mixture was quenched with sat. NH4Cl and extracted with EtOAc. The organic layer was washed with water, sat. NaHCO3, brine, dried over Na2SO4, filtered and concentrated to give 5 mg of NY-130. Using same procedure for 509-HD-125, NY-130 (5 mg, 0.00937 mmol) was converted to NY-131 (6.5 mg). NY-131 was used without purification for the next step. Using same procedure for B2538, NY-131 (6.4 mg, 0.00937 mmol) was converted to NF-2553 (1.3 mg). Synthetic Procedure for NF-2556 Using same procedure for NY-121, NY-120 (670 mg, 2 mmol) was converted to NY-132 (875 mg). Using same procedure for NY-122, NY-132 (873 mg, 2 mmol) was converted to NY-133 (716 mg). Using same procedure for NY-123, NY-133 (708 mg, 1.7 mmol) was converted to NY-134 (694 mg). Using same procedure for NY-124, NY-134 (694 mg, 1.7 mmol) was converted to NY-135 (799 mg). Using same procedure for 16, YE-06 (318 mg, 0.432 mmol) was converted to crude product of NY-136 (683 mg). Using same procedure for 18, NY-136 (682 mg) was converted to NY-126 (229 mg). Using same procedure for 509-HD-116, NY-137 (225 mg, 0.224 mmol) was converted to NY-138 (207 mg). NY-138 was used without purification for the next step. Using same procedure for TM-12, NY-138 (207 mg, 0.224 mmol) was converted to NY-139 (72 mg). Using same procedure for NY-129, NY-139 (33 mg, 0.0621 mmol) was converted to NY-140 (28.5 mg). Using same procedure for NY-130, NY-140 (28 mg, 0.0554 mmol) was converted to NY-141 (29.8 mg). Using same procedure for 509-HD-125, NY-130 (5 mg, 0.00937 mmol) was converted to NY-131 (18 mg). Using same procedure for B2538, NY-143 (18 mg, 0.033 mmol) was converted to NF-2556 (12.6 mg). Preparation of C13-C Analogs, NF1774, NF2546, NF2550, NF2551, NF2552, NF2554, NF2555, and NF2560 Synthetic Procedure for NF-1774 Using same procedure for 9, NY-37 (8.1 g, 33.05 mmol) was converted to NY-38 (9.28 g). NY-38 (31.76 g, 88.39 mmol) was dissolved in Et2O (300 mL) and cooled to −78° C., under nitrogen. Then, t-BuLi (1.7M/pentane, 100 mL, 170 mmol) was slowly added and the reaction was stirred at −78° C. for 20 min Dry ice was added to the solution, then the solution was allowed to warm to rt and was stirred for 1.5 hrs. The mixture was quenched with sat.NH4Cl, acidified with 10% citric acid, extracted with EtOAc (×2). The organic layers were washed with water, brine and dried over Na2SO4, filtered and concentrated to give 28.39 g of NY-39. A mixture of NY-39 (25.48 g, 78.54 mmol), dimethyl sulfate (7.8 mL, 82.43 mmol), NaHCO3 (9.9 g, 117.8 mmol) and acetone (200 mL) was refluxed for 14 hrs. The insoluble material was filtered and the filtrate was concentrated. The residue was diluted with EtOAc and washed with sat.NH4Cl, water, brine, dried over Na2SO4, filtered and concentrated. The crude product was purified on silica gel column with hexane/EtOAc, 50:1, 40:1, 30:1, 15:1 to give 7.95 g of NY-40 and 6.97 g of the desilylated product NY-41. Using same procedure for NY-07, NY-41 (11.75 g, 52.41 mmol) was converted to NY-42 (13.43 g). Using same procedure for 10, NY-42 (13.43 g, 50.44 mmol) was converted to NY-43 (8.74 g) and the deacetylated product NY-44 (7.86 g). A mixture of NY-43 (8.74 g, 23.34 mmol), NY-44 (7.86 g, 23.65 mmol), 2N NaOH (230 mL) and MeOH (300 mL) was refluxed for 24 hrs. The mixture was concentrated and the residue was acidified with 2N HCl, extracted with EtOAc. The organic layer was washed with water, brine, dried over Na2SO4, filtered and concentrated to give 12.62 g of NY-45. A mixture of NY-45 (12.62 g, 41.47 mmol), conc. sulfuric acid (0.8 mL) and MeOH (200 mL) was refluxed for 15 hrs. The mixture was concentrated and the residue was diluted with EtOAc and washed with water, brine, dried over MgSO4, filtered and concentrated. The crude product was purified on silica gel column with hexane/EtOAc, 6:1, 5:1, 4:1, 1:1 to give 2 g of NY-46 and 11.1 g of mixture of NY-47 (small amount) and NY-48. Using same procedure for 509-HD-213, a mixture of NY-47 and NY-48 (500 mg, 1.57 mmol) was converted to NY-49 (297 mg). Using same procedure for 509-HD-209, NY-49 (297 mg, 0.71 mmol) was converted to NY-50 (250 mg). To a mixture of 60% NaH in mineral oil (330 mg, 8.25 mmol) and DMF (20 mL), a solution of NY-24 (3.46 g, 5.94 mmol) in DMF (20 mL) was gradually added at 0° C. and stirred for 30 min. Then, MPMCl (1.2 ml, 8.85 mmol) was added and the reaction mixture was allowed to warm to room temperature and stirred for 12 hrs. The reaction mixture was poured into ice-cooled sat. NH4Cl and extracted with EtOAc. The organic layer was washed with water (×2), brine, dried over Na2SO4, filtered and concentrated. The crude product was purified on silica gel column with hexane/EtOAc, 18:1, 15:1 to give 1.9 g of NY-51. Using same procedure for NY-26, NY-51 (1.9 g, 2.7 mmol) was converted to NY-52 (1.64 g). Using same procedure for 554-RB-260, NY-52 (1.64 g, 2.65 mmol) was converted to NY-53 (1.68 g). Using same procedure for 16, NY-53 (540 mg, 0.741 mmol) was converted to NY-54 (465 mg). Using same procedure for 18, NY-54 (458 mg, 0.431 mmol) was converted to NY-55 (274 mg). Using same procedure for 509-HD-116, NY-55 (273 mg, 0.286 mmol) was converted to NY-56 (166 mg). Using same procedure for 509-HD-118, NY-56 (164 mg, 0.267 mmol) was converted to NY-57 (86 mg). Using same procedure for 509-HD-188, NY-57 (30 mg, 0.05 mmol) was converted to NY-58 (20 mg). To a solution of NY-58 (19 mg, 0.04 mmol) in CH2Cl2 (5 mL), MS4A (50 mg) and PDC (33 mg, 0.088 mmol) were added and the mixture was stirred at room temperature for 12 hrs. The insoluble material was filtered, washed with EtOAc and the filtrate was concentrated. The residue was dissolved in CH2Cl2 (5 mL), then Dess-Martin periodinate (50 mg, 0.118 mmol) was added and the mixture was stirred for 4 days. Sat. NaHCO3 and 10% Na2S2O3 were added and the mixture was extracted with EtOAc. The organic layer was washed with water, brine and dried over Na2SO4, filtered and concentrated. The crude product was purified on silica gel column with hexane/EtOAc, 5:1, 4:1, 3:1, 2:1 to give 6.8 mg of NY-59. To a stirred solution of NY-59 (6.8 mg, 0.014 mmol) in THF (0.4 mL)-H2O (0.2 mL) was added trifluoroacetic acid (0.4 mL) at 0° C. The mixture was then allowed to warm to rt. After 2 hrs, the mixture was poured into a saturated solution of NaHCO3 and extracted with EtOAc. The organic layer was washed with water, brine and dried over anhydrous Na2SO4, filtered and concentrated. The residue was dissolved in MeCN (1.2 ml) and then 50% HF (0.2 mL) was added at 0° C. The mixture was then allowed to warm to rt. The crude product was purified on silica gel column with hexane/EtOAc, 1:1, 1:2 to give 2.8 mg of NF-1774. Synthetic Procedure for NF-2546 Using same procedure for 509-HD-213, Methyl 2,5-dihydroxybenzoate (8.41 g, 50 mmol) was converted to NY-99 (5.06 g). Using same procedure for 509-HD-209, NY-99 (5.4 g, 20.91 mmol) was converted to NY-100 (5.83 g). A mixture of NY-100 (5.82 g, 19.25 mmol), 10% Pd on carbon (610 mg) and MeOH (100 ml) was hydrogenated at 4 atom for 3 hrs. The catalyst was filtered and the filtrate was concentrated to give 4.16 g of NY-101. It was used without purification for the next step. Using same procedure for 611-MS-88, NY-101 (4.15 g, 19.25 mmol) was converted to NY-102 (5.65 g). To a mixture of NY-102 (5.64 g, 16.38 mmol), PhB(OH)2 (4 g, 32.81 mmol), K2CO3 (3.4 g, 24.6 mmol) and toluene (120 mL) under N2 bubbling, Pd(Ph3P)4 (570 mg, 0.493 mmol) was added and the mixture was gradually warmed to 90° C. and stirred for 2 hrs. The reaction mixture was filtered and the filtrate was extracted with EtOAc. The organic layer was washed with sat. NaHCO3, brine, dried over Na2SO4, filtered and concentrated. The crude product was purified on silica gel column with hexane/EtOAc, 20:1, 15:1, 12:1 to give 4.14 g of NY-103. Using same procedure for NY-85, NY-103 (4.14 g, 15.2 mmol) was converted to NY-104 (2.75 g). Using same procedure for NY-86, NY-104 (2.7 g, 8.61 mmol) was converted to NY-105 (822 mg). Using same procedure for NY-87, NY-105 (810 mg, 2.37 mmol) was converted to NY-106 (689 mg). A mixture of NY-106 (682 mg, 1.986 mmol), CSA (22 mg, 0.095 mmol) and toluene (15 mL) was refluxed for 4 hrs. The reaction mixture was concentrated, then the crude product was purified on silica gel column with hexane/EtOAc, 10:1, 6:1 to give 471 mg of NY-107. Using same procedure for NY-90, NY-107 (470 mg, 1.74 mmol) was converted to NY-108 (500 mg). NY-108 was used without purification for the next step. Using same procedure for NY-91, NY-108 (470 mg, 1.74 mmol) was converted to NY-109 (336 mg). A mixture of NY-109 (330 mg, 0.837 mmol), KOH (142 mg, 2.53 mmol), water (5 mL) and DMSO (15 mL) was heated at 70° C. for 24 hrs. The reaction mixture was diluted with EtOAc and washed with 10% KHSO4, water, brine, dried over Na2SO4, filtered and concentrated to give 334 mg of NY-110. NY-110 was used without purification for the next step. Using same procedure for 509-HD-213, NY-110 (333 mg, 0.837 mmol) was converted to NY-111 (359 mg). Using same procedure for 16, YE-06 (394 mg, 0.535 mmol) was converted to crude product of NY-112 (687 mg). Using same procedure for 18, NY-112 (682 mg) was converted to NY-113 (215 mg). Using same procedure for 509-HD-116, NY-113 (236 mg, 0.241 mmol) was converted to NY-114 (198 mg). NY-114 was used without purification for the next step. Using same procedure for TM-12, NY-114 (198 mg, 0.241 mmol) was converted to NY-115 (31 mg). Using same procedure for 509-HD-125, NY-115 (43 mg, 0.0845 mmol) was converted to NY-116 (47 mg). Using same procedure for B2538, NY-116 (45 mg, 0.0845 mmol) was converted to NF-2546 (29.4 mg). Synthetic Procedure for NF2548 TM-51 (1.0 g, 2.0 mmol) was dissolved in triethylamine (25 mL). MK-123 (0.55 g, 3.1 mmol), PdCl2(PPh3)2 (220 mg, 0.31 mmol), CuI (120 mg, 0.63 mmol) were added and the mixture was stirred at 70° C., while addition of MK-123 (0.25 g, 1.4 mmol/each time) were repeated at intervals of 1 hr for five times. The mixture was cooled to rt and concentrated. The concentrate was triturated with diethyl ether and hexane, and the insoluble solid was filtered off. The filtrate was concentrated and the residue was purified by chromatography on silica gel using 5-10% EtOAc/hexane to give 0.67 g (1.2 mmol, 56%) of YE-32. Using similar procedure for the intermediate 18 of NF2561, the iodide (430 mg, 0.58 mmol) was converted to YE-33 (430 mg, 0.40 mmol, 68% 3 steps). Using similar procedure for TM-12, YE-33 (430 mg, 0.40 mmol) was converted to YE-34 (113 mg, 0.19 mmol, 47%, 3 steps). Using similar procedure for TM-13, YE-34 (40 mg, 0.066 mmol) was converted to enone. The following deprotection of the enone by DDQ resulted in deprotection of both MPM and MOM group and provided 16 mg of YE-35 (0.036 mmol, 55% 2 steps). Using similar procedure for YE-19, YE-35 (12 mg, 0.027 mmol) was converted to NF-2548 (10.5 mg, 0.026 mmol, 96%). Synthetic Procedure for NF2549 YE-35 (4 mg, 0.0091 mmol) and triethylamine (0.01 mL, 0.071 mmol) were dissolved in THF (0.6 mL). Methyl isocyanate (total 0.070 mL, 1.2 mmol) was added in four portions in 2 h intervals at rt. After 4 days, excess isocyanate was quenched with ethyleneglycol (0.15 ml). The mixture was poured into water and extracted with EtOAc. The extract was washed with 5% KHSO4 aq., a saturated NaHCO3 sol., brine, dried over anhydrous Na2SO4, filtered and concentrated. The crude product was purified by chromatography on silica gel using 15-30% EtOAc/hexane to give 4 mg (0.0080 mmol, 88%) of the N-methylcarbamate. Using similar procedure for ER803064, the N-methylcarbamate (4 mg, 0.0080 mmol) was converted to NF2549 (3 mg, 0.0028 mmol, 35%). Synthetic Procedure for NF2554, NF2555 Using similar procedure for YE-32, the TM-49 (2.2 g, 8.0 mmol) was converted to YE-36 (2.1 g, 5.8 mmol, 72%). To a stirred solution of YE-36 (2.1 g, 5.7 mmol) in EtOH (60 mL) and THF (15 mL) was added Raney Ni W-2 (water suspension, 4.5 g) under nitrogen atmosphere. The suspension was stirred under hydrogen atmosphere overnight. Then the catalyst was removed by filtration, and the filtrate was concentrated. The concentrate was purified by chromatography on silica gel using 15-33% EtOAc/hexane to give 1.6 g (4.3 mmol, 75%) of YE-37. Using similar procedure for TM-51, YE-37 (1.18 g, 3.2 mmol) was converted to YE-38 (0.20 g, 0.40 mmol, 13%, 3 steps). Using similar procedure for TM-39, YE-38 (340 mg, 0.68 mmol) was converted to YE-39 (350 mg, 0.64 mmol, 88% 2 steps). Using similar procedure for the intermediate 18 of NF2561, the iodide (230 mg, 0.30 mmol) was converted to YE-40 (115 mg, 0.11 mmol, 34% 3 steps). Using similar procedure for TM-12, YE-40 (115 mg, 0.11 mmol) was converted to YE-41 (36 mg, 0.059 mmol, 55% 3 steps). Using similar procedure for TM-13 followed by usual deprotection of MPM group by DDQ oxidation, YE-41 (36 mg, 0.059 mmol) was converted to YE-42 (13 mg, 0.027 mmol, 45% 2 steps). Using similar procedure for ER803064, YE-42 (5 mg, 0.010 mmol) was converted to NF2554 (4.1 mg, 0.010 mmol, 99%). Using similar procedure for NF-2549, YE-42 (7 mg, 0.014 mmol) was converted to NF-2555 (1.9 mg, 0.0041 mmol, 29% 2 steps). Synthetic Procedure for NF2550 Using similar procedure for 509-HD-207, starting material (4.91 g, 25 mmol) was converted to TM-34 (5.17 g, 18 mmol, 72%). To a stirred suspension of NaH (60% oil dispersion, 593 mg, 14.8 mmol) in dry DMF (5 mL) was added a solution of TM-34 (3.395 g, 11.9 mmol) in dry DMF (35 mL) at 0° C. under nitrogen atmosphere. After 30 min, methyl iodide (3.7 mL, 59 mmol) was added. the mixture was allowed to warm to rt and stirred for 30 min after which a saturated solution of NH4Cl was added. The mixture was extracted with EtOAc and the organic extract was washed with water, brine, dried with anhydrous Na2SO4, filtered and concentrated. The crude product (4.33 g) was dissolved in EtOH (60 mL). Then, 10% Pd on carbon (630 mg) was added. Reaction was stirred under hydrogen. After 3 hrs, reaction was stopped, catalyst was filtered through celite and mixture was concentrated under reduced pressure to give the phenol (2.94 g) as crude product. To a solution of the phenol (2.94 g) in dry DMF (60 mL) were added anhydrous K2CO3 (3.28 g, 24 mmol) and 2-bromo-1,1-diethoxyethane (2.86 mL, 18 mmol) and the mixture was stirred for 5 hrs at 140° C. After cooling to rt, the mixture was poured into water and extracted with EtOAc. The organic extract was washed with a saturated solution of NH4Cl, water, brine, dried with anhydrous Na2SO4, filtered and concentrated. The crude product was purified by chromatography on silica gel using 15% EtOAc/hexane to give 3.369 g (10 mmol, 87% 3 steps) of TM-35. To a solution of TM-35 (3.02 g, 9.3 mmol) in toluene (120 mL) was added PPA (5.9 mL) and the mixture was stirred for 2 hrs at 100° C. under nitrogen atmosphere. After cooling to rt, the mixture was poured into ice/water and extracted with EtOAc. The organic extract was washed with water, a saturated solution of NaHCO3, brine, dried with anhydrous Na2SO4, filtered and concentrated. The crude product was purified by chromatography on silica gel using 12.5% EtOAc/hexane to give 395 mg (1.7 mmol, 18%) of TM-36. To a stirred solution of TM-36 (541 mg, 2.3 mmol) in dry CH2Cl2 (20 mL) was added BBr3 (0.44 mL, 4.6 mmol) at −78° C. under nitrogen atmosphere. After 1 hr, the mixture was poured into water and extracted with EtOAc. The organic extract was washed with a saturated solution of NaHCO3, water, brine, dried with anhydrous Na2SO4, filtered and concentrated. The crude product was purified by chromatography on silica gel using 5% EtOAc/hexane to give 357 mg (1.6 mmol, 70%) of the phenol. To a stirred solution of the phenol (170 mg, 0.77 mmol) in dry THF (8 mL) were added DBU (0.23 mL, 1.5 mmol) and chloromethyl methyl ether (0.12 mL, 1.5 mmol) at rt under nitrogen atmosphere. After 3 hr, the mixture was poured into a saturated solution of NH4Cl and extracted with EtOAc. The organic extract was washed with 10% KHSO4 aq., water, a saturated solution of NaHCO3, brine, dried with anhydrous Na2SO4, filtered and concentrated. The crude product was purified by chromatography on silica gel using 15% EtOAc/hexane to give 193 mg (0.73 mmol, 95%) of TM-37. Using similar procedure for the intermediate 10 of NF2561, TM-37 (192 mg, 0.73 mmol) was converted to TM-38 (192 mg, 0.52 mmol, 71% 2 steps). Using similar procedure for the intermediate 14 of NF2561, TM-38 (192 mg, 0.52 mmol) was converted to TM-39 (190 mg, 0.43 mmol, 83% 2 steps). Using similar procedure for the intermediate 18 of NF2561, the iodide (223 mg, 0.30 mmol) was converted to TM-40 (232 mg, 0.25 mmol, 81% 3 steps). Using similar procedure for TM-12, TM-40 (232 mg, 0.25 mmol) was converted to TM-41 (81 mg, 0.17 mmol, 70% 3 steps). Using similar procedure for ER803064, TM-41 (41 mg, 0.087 mmol) was converted to NF2550 (20 mg, 0.052 mmol, 60% 2 steps). Synthetic Procedure for NF2560 To a stirred solution of 2,2,6,6-tetramethylpiperidine (0.05 mL, 0.3 mmol) in dry THF (1.5 mL) was added 1.6M n-BuLi in hexane (0.15 mL, 0.24 mmol) at −20° C. under nitrogen atmosphere. After 30 min, the mixture was cooled to −78° C. and a solution of TM-41 (38 mg, 0.08 mmol) in dry THF (4 mL) was added. After 1 hr, dry DMF (0.06 mL) was added and the mixture was allowed to warm to rt. It was quenched with a saturated solution of NH4Cl and extracted with EtOAc. The organic extract was washed with a saturated solution of NH4Cl, water, brine, dried with anhydrous Na2SO4, filtered and concentrated. The crude product was purified by chromatography on silica gel using 40% EtOAc/hexane to give 18 mg (0.036 mmol, 45%) of TM-42. To a stirred solution of TM-42 (54 mg, 0.11 mmol) in CH2Cl2 (5 mL) were added triethylamine (0.3 mL, 2.2 mmol), small amount of N,N-dimethylaminopyridine, acetic anhydride (0.1 mL, 1.1 mmol) at 0° C. The mixture was allowed to warm to rt and stirred overnight. It was quenched with a saturated solution of NH4Cl and extracted with EtOAc. The organic extract was washed with a saturated solution of NH4Cl, water, brine, dried with anhydrous Na2SO4, filtered and concentrated. The crude acetate (61 mg) was dissolved in MeOH (5 mL) and NaBH4 (10 mg, 0.26 mmol) was added at 0° C. After 10 min, the mixture was poured into a saturated solution of NH4Cl and extracted with EtOAc. The organic extract was washed with a saturated solution of NH4Cl, water, brine, dried with anhydrous Na2SO4, filtered and concentrated. The crude product was purified by chromatography on silica gel using 50% EtOAc/hexane to give 40 mg (0.073 mmol, 68% 2 steps) of TM-43. To a stirred solution of TM-43 (40 mg, 0.073 mmol) in dry THF (8 mL) were added triphenylphosphine (58 mg, 0.22 mmol), diphenylphosphoryl azide (0.047 mL, 0.22 mmol), 40% DEAD in toluene (0.1 mL, 0.22 mmol) at rt. After 20 hrs, the mixture was concentrated under reduced pressure and the residue was purified by chromatography on silica gel using 25% EtOAc/hexane to give 26 mg (0.046 mmol, 62%) of TM-44. To a stirred solution of TM-44 (26 mg, 0.046 mmol) in dry THF (2.5 mL) was added tributylphosphine (0.035 mL, 0.14 mmol) at rt under nitrogen atmosphere. After 30 min, H2O (0.5 mL) was added. After additional 3 hrs, the mixture was diluted with EtOAc and dried with anhydrous Na2SO4, filtered and concentrated. The crude amine (56 mg) was dissolved in CH2Cl2 (3 mL). Then triethylamine (0.036 mL, 0.26 mmol) and methanesulfonyl chloride (0.010 mL, 0.13 mmol) were added at 0° C. After 30 min, the mixture was poured into a saturated solution of NaHCO3 and extracted with EtOAc. The organic extract was washed with a saturated solution of NaHCO3, water, brine, dried with anhydrous Na2SO4, filtered and concentrated. The crude methanesulfonamide (64 mg) was dissolved in EtOH (3 mL) and 1N NaOH aq. (0.5 mL, 0.5 mmol) was added at rt. After 24 hrs, the mixture was quenched with 1N HCl (0.5 mL) and extracted with EtOAc. The organic extract was washed with water, brine, dried with anhydrous Na2SO4, filtered and concentrated. The crude product was purified by chromatography on silica gel using 60% EtOAc/hexane to give 15 mg (0.026 mmol, 57% 3 steps) of TM-45. Using similar procedure for ER803064, TM-45 (15 mg, 0.026 mmol) was converted to NF2560 (4.4 mg, 0.0089 mmol, 35% 2 steps). Synthetic Procedure for NF2545 To a stirred suspension of 3-methoxybenzyl alcohol (10.78 g, 78 mmol) in hexane (100 mL) was added 1.6M n-BuLi in hexane (100 mL, 160 mmol) at −30° C. under nitrogen atmosphere. After 1.5 hrs, dry CO2 was bubbled for 30 min and then the mixture was poured into water and extracted with diethyl ether. The aqueous layer was acidified by addition of 5N HCl at 0° C. and stirred overnight at rt. The precipitate was collected by filtration and washed with water, dried at 70° C. for 24 hrs to give 4.79 g (29 mmol, 37%) of TM-46. TM-46 (4.79 g, 29 mmol) was dissolved in CH2Cl2 (150 mL). Then bromine (1.88 mL, 37 mmol) was added at 0° C. and the mixture was allowed to warm to rt. After 20 hrs, the mixture was poured into a saturated solution of Na2S2O3 and extracted with EtOAc. The organic extract was washed with a saturated solution of NaHCO3, water, brine, dried with anhydrous Na2SO4, filtered and concentrated to give 6.59 g (27 mmol, 93%) of TM-47. Using similar procedure for TM-37, TM-47 (5.37 g, 22 mmol) was converted to TM-49 (5.98 g, 22 mmol, 99% 2 steps). To a stirred solution of TM-49 (3.85 g, 14 mmol) in DMSO (40 mL) was added a solution of KOH (851 mg, 15 mmol) in H2O (15 mL). After 30 min, H2O was removed by evaporation and methyl iodide (2.63 mL, 42 mmol) was added and the mixture was stirred for 30 min. The mixture was diluted with EtOAc and washed with water, a saturated solution of NaHCO3, water, brine, dried with anhydrous Na2SO4, filtered and concentrated. The crude product (3.79 g) was dissolved in dry DMF (100 mL). Then diphenyl disulfide (6.16 g, 28 mmol), pyridine (4.55 mL, 56 mmol), tributylphosphine (7.03 mL, 28 mmol) were added at rt under nitrogen atmosphere and the mixture was stirred overnight. It was quenched with a saturated solution of NaHCO3 and extracted with EtOAc. The organic extract was washed with 10% KHSO4 aq., water, brine, dried with anhydrous Na2SO4, filtered and concentrated. The crude product was purified by chromatography on silica gel using 15% EtOAc/hexane to give 1.79 g (4.5 mmol, 32% 2 steps) of TM-50. Using similar procedure for TM-39, TM-50 (1.79 g, 4.5 mmol) was converted to TM-51 (1.88 g, 3.9 mmol, 87% 2 steps). TM-51 (1.86 g, 3.8 mmol) was dissolved in DMF (30 mL). Then triethylamine (10 mL), 3-butyn-1-ol (1.16 mL, 15 mmol), PdCl2(PPh3)2 (404 mg, 0.58 mmol), CuI (219 mg, 1.2 mmol) were added and the mixture was stirred overnight at 70° C. The mixture was diluted with 50% EtOAc/hexane and washed with water, brine, dried with anhydrous Na2SO4, filtered and concentrated. The crude product was purified by chromatography on silica gel using 30% EtOAc/hexane to give 1.76 g (3.7 mmol, 97%) of TM-52. Using similar procedure for TM-45, TM-52 (754 mg, 1.6 mmol) was converted to TM-53 (586 mg, 1.1 mmol, 67% 3 steps). Using similar procedure for TM-39, the iodide (350 mg, 0.48 mmol) was converted to TM-54 (224 mg, 0.25 mmol, 45% 3 steps). Using similar procedure for NF2550, TM-54 (224 mg, 0.21 mmol) was converted to NF2545 (2.8 mg, 0.0057 mmol, 2.7% 5 steps). Synthetic Procedure for NF2551 and NF2552 Using similar procedure for TM-52 followed by hydrogenation, TM-49 (2.95 g, 11 mmol) was converted to TM-55 (2.41 g, 9.1 mmol, 84% 2 steps). To a stirred solution of TM-55 (2.41 g, 9.1 mmol) in cyclohexane (30 mL)-CH2Cl2 (15 mL) were added CSA (105 mg, 0.45 mmol) and 4-methoxybenzyl trichloroacetimidate (7.68 g, 27 mmol) at rt under nitrogen atmosphere. After 14 hrs, triethylamine (0.1 mL) was added. Then precipitate was removed by filtration and washed with hexane. The filtrate was concentrated under reduced pressure. The residue was purified by chromatography on silica gel using 30% EtOAc/hexane to give 3.26 g (8.4 mmol, 93%) of TM-56. Using similar procedure for TM-50, TM-56 (3.26 g, 8.4 mmol) was converted to TM-57 (1.78 g, 3.5 mmol, 41% 3 steps). Using similar procedure for TM-39, TM-57 (366 mg, 0.72 mmol) was converted to TM-58 (381 mg, 0.64 mmol, 89% 2 steps). Using similar procedure for TM-39, the iodide (223 mg, 0.30 mmol) was converted to TM-59 (132 mg, 0.12 mmol, 40% 3 steps). Using similar procedure for TM-12, TM-59 (132 mg, 0.12 mmol) was converted to TM-60 (32 mg, 0.051 mmol, 43% 3 steps). Using similar procedure for TM-13 followed by usual deprotection of MPM group by DDQ oxidation, TM-60 (32 mg, 0.051 mmol) was converted to TM-61 (15 mg, 0.030 mmol, 58% 2 steps). Using similar procedure for ER803064, TM-61 (8 mg, 0.016 mmol) was converted to NF2551 (4 mg, 0.010 mmol, 60%). To a stirred solution of TM-61 (7 mg, 0.014 mmol) in CH2Cl2 (1 mL) were added triethylamine (0.02 mL) and methyl isocyanate (0.1 mL) at rt. After 15 hrs, the mixture was diluted with EtOAc and washed with 3% NH4OH aq., 5% KHSO4 aq., water, brine, dried with anhydrous Na2SO4, filtered and concentrated. The crude product was purified by chromatography on silica gel using 55% EtOAc/hexane to give 7 mg (0.013 mmol, 90%) of the N-methylcarbamate. Using similar procedure for ER803064, the N-methylcarbamate (7 mg, 0.013 mmol) was converted to NF2552 (3 mg, 0.0063 mmol, 50%). Preparation of the Intermediate for C14-O-Linked Including C2-C4 Analogs: Known compound 1 (0.22 g, 1.2 mmol) and K2CO3 (0.25 g, 1.8 mmol) was dissolved in 12 mL of DMF. After the addition of MPM-Cl (0.17 mL, 1.2 mmol) the mixture was heated at 35° C. for 12 hours. Crude mixture was concentrated and filtered. The resulted material was purified by silica gel chromatography. CH2Cl2 was used to recover 445-ycs-252 (0.16 g, 0.53 mmol) from silica gel plug in 44% yield. 60% of NaH in mineral oil (16 mg, 0.40 mmol) was added to 445-ycs-252 (36 mg, 0.12 mmol) in 2 mL of DMF. After the addition of MOMCl (0.17 μL, 0.22 mmol), the mixture was stirred at rt for 1 hour. DMF was evaporated under high vacuum, and the residue was dissolved in CH2Cl2, washed with H2O. The crude material was purified by silica gel chromatography. 30% EtOAc in hexanes was used to elute 445-ycs-254 (40 mg, 0.12 mmol) from silica gel plug in 97% yield. 2.5 M n-BuLi in hexanes (13 mL, 33 mmol) was introduced drop wise to the stirring solution of diisopropylamine (4.6 mL, 33 mmol) in 30 mL of THF at −5° C. The solution was stirred at 0° C. for 30 minutes before it was cooled to −78° C. 445-ycs-254 (6.3 g, 18 mmol) in 25 mL of THF was added to the cold LDA slowly so that the internal temperature was kept below −78° C. The mixture was stirred at −78° C. for 45 minutes, and then (PhSe)2 (5.2 g, 17 mmol) in 25 mL of THF was added slowly so that the internal temperature was kept below −60° C. Reaction mixture was stirred for 40 minutes before it was quenched with aq. NH4Cl at −78° C. EtOAc was added to the mixture at rt. After separation, organic layer was dried (Na2SO4) and concentrated. 5% EtOAc in toluene was used to elute 445-ycs-268 (6.9 g, 14 mmol) from silica gel column in 75% yield. 2.5 N NaOH (18 mL, 46 mmol) was added to 445-ycs-268 (7.7 g, 15 mmol) in 18 mL of EtOH. The mixture was refluxed for 12 hours before it was acidified and extracted with EtOAc. Organic phase was dried (Na2SO4) and concentrated to afford white crystalline 445-ycs-272 (7.2 g, 15 mmol) in 96% yield. DEAD (3.5 mL, 22 mmol) was added to a solution of 445-ycs-272 (7.2 g, 15 mmol), Ph3P (5.8 g, 22 mmol) and 2-TMS-ethanol (2.6 mL, 18 mmol) in 200 mL of toluene at 0° C. The mixture was stirred at RT for 1 hour before it was quenched with aq. NaHCO3. Organic phase was dried (Na2SO4), concentrated and purified by silica gel chromatography to afford 445-ycs-273 (8.2 g, 14 mmol) in 95% yield. A procedure similar to the preparation of 554-RB-260 was used. LiHMDS in THF (2.8 mL, 2.8 mmol) was introduced drop wise into a cold (−78° C.) solution of 445-ycs-274 (1.4 g, 1.9 mmol) and 445-ycs-273 (1.7 g, 2.8 mmol) in 10 mL of 10:1 THF-HMPA. The internal temperature was kept below −70° C. during the addition. The mixture was stirred at −78° C. for half hour before it was quenched with aq. NH4Cl and diluted with EtOAc. Organic phase was dried (Na2SO4), concentrated and purified by silica gel chromatography to afford 445-ycs-278 (1.9 g, 1.6 mmol) in 82% yield. m-CPBA (1.0 g, 4.2 mmol) was added in three portions into a cold (0° C.) solution of 445-ycs-278 (2.5 g, 2.1 mmol) in 30 mL of CH2Cl2. The mixture was stirred at 0° C. for 1 hour before the addition of Et3N (1.8 mL, 13 mmol). After the reaction mixture was stirred at rt for 1 hour it was quenched with aq. Na2S2O3 and diluted with aq. NaHCO3. Organic phase was dried (Na2SO4), concentrated and purified by silica gel chromatography to afford 445-ycs-281 (1.6 g, 1.6 mmol) in 76% yield. In a solution of TBAF buffered with 0.33 mole equivalent of imidazole.HCl (1.3 mL, 1.3 mmol) was introduced to the solution of 445-ycs-281 (0.17 g, 0.17 mmol) in 2 mL of THF. The mixture was stirred at 50° C. for 12 hours before it was diluted with Et2O and washed with aq. NH4Cl. Organic phase was dried (Na2SO4) and concentrated to furnish crude 445-ycs-295, which dissolved in 20 mL of CH2Cl2 was added drop wise to the refluxing mixture of 2-chloro-1-methylpyridinium iodide (0.12 g, 0.48 mmol) and n-Bu3N (0.11 mL, 0.48 mmol) in 12 mL of CH2Cl2. The mixture was refluxed for 2 hours before it was diluted with Et2O and washed with 0.05 N HCl, H2O and NaHCO3. Organic phase was dried (Na2SO4), concentrated and purified by silica gel chromatography to afford 445-ycs-299 (90 mg, 0.13 mmol) in 81% yield for 2 steps. p-TsOH.H2O (11 mg, 0.060 mmol) was added in two portions to a solution of 445-ycs-299 (40 mg, 0.060 mmol) in 4.5 mL of 2:1 MeOH-THF at rt. The solution was stirred at 40° C. for 3 days before it was concentrated and purified by silica gel chromatography to afford 560-ycs-30 (15 mg, 0.032 mmol) in 53% yield. Catalytic amount of p-TsOH.H2O (1 crystal) was added to the solution of 560-ycs-30 (13 mg, 0.028 mmol) and excess amount of 2-methoxypropane (2 drops) in 1 ML of CH2Cl2. The mixture was stirred at RT for 2 hours before the addition of NaHCO3 and filtration. The solution was concentrated and purified by silica gel chromatography to afford 560-ycs-36 (11 mg, 0.022 mmol) in 79% yield. Preparation of ER804104: 560-ycs-36 was used as an advanced intermediate for following analogs synthesis as examples. 1 N NaOH (2.0 mL, 2.0 mmol) was introduced into a solution of 445-ycs-299 (43 mg, 0.064 mmol) in 3 mL of 2:1 EtOH-THF at rt. The solution was stirred at 40° C. for 12 hours before it was diluted with Et2O and brine. Organic phase was dried (Na2SO4) and purified by silica gel chromatography to afford 445-ycs-311 (33 mg, 0.058 mmol) in 91% yield. PCC (38 mg, 0.17 mmol) was added in three portions to a mixture of 445-ycs-311 (33 mg, 0.058 mmol), 4 A molecular sieves (40 mg) and celite (40 mg) in 2 mL of CH2Cl2 at rt. The mixture was stirred at rt for 1 hour before it was diluted with Et2O and filtered. The filtrate was concentrated and passed through a short plug of silica gel (1:1 EtOAc-Hexanes) to afford 560-ycs-9 (28 mg, 0.049 mmol) in 86% yield. 560-ycs-9 was deprotected as described for the synthesis of ER803064 to give ER804104. ER-804168 The synthesis of ER-804168 was the same as the synthesis of ER-803064 Synthesis of ER-805125: The synthesis of 507-XYL-147 from 507-XYL-111 was followed the same procedures as in the synthesis of ER-803064. To 507-XYL-147 (1.43 g, 1.29 mmol) in a co-solvent of THF/water (5:1 v/v, 60 mL) at room temperature was added OXONE and the mixture was stirred at room temperature for six hours. The mixture was diluted with ethyl acetate and washed three times with water. The organic layer was dried (sodium sulfate), concentrated and purified by silica gel chromatography to obtain 1.05 g (86%) of the desired product, 507-XYL-148 which was confirmed by NMR and MS (M+Na=972). The synthesis of 507-XYL-154 from 507-XYL-148 was followed the same procedures as in the synthesis of ER-803064. To 507-XYL-154 (340 mg, 0.57 mmol) in a co-solvent of THF/water (4:1 v/v, 12.5 mL) at 0° C. were added N-methyl morpholino-N-oxide (82.5 mg, 0.68 mmol) and then osmium tetraoxide in toluene (0.1 M, 0.6 mL, 0.06 mmol) in portions. The mixture was stirred at 0° C. for 19 hours. The reaction was quenched with saturated sodium thiosulfate solution and diluted with ethyl acetate. The mixture was washed with saturated sodium thiosulfate solution and water. The aqueous layers were back extracted twice with ethyl acetate and three times with methylene chloride. The combined organic layers were dried (sodium sulfate), concentrated and purified by preparative TLC eluting with 10% methanol in methylene chloride to yield 158 mg (44%) of desired product, 507-XYL-165 which was confirmed by NMR and MS (M+Na=649). To 507-XYL-165 (120 mg, 0.197 mmol) were added methylene chloride (5 mL), 2,2-dimethoxypropane (0.2 mL, 1.63 mmol) and pyridinium tosylate (12 mg, 0.048 mmol). The mixture was stirred at room temperature for two hours. The mixture was diluted with methylene chloride and washed twice with saturated sodium bicarbonate solution. The organic layer was concentrated and purified by prep TLC to obtain 131 mg of the desired products, 507-XYL-168 which were confirmed by NMR and MS (M+Na=689). The remaining synthesis of ER-805125 from 507-XYL-168 was followed the same procedures as in the synthesis of ER-803064. Preparation of ER-805216 and ER-805217: The starting material 507-XYL-165 (42 mg, 0.066 mmol) was azeotroped with toluene and dried under high vacuum for one hour. The starting material was then dissolved in dry methylene chloride (5 mL) and cooled to 0° C. To this were added collidine (20.3 uL, 0.15 mmol) and then added methanesulfonyl anhydride solution in methylene chloride (0.1 M, 0.69 mL, 0.069 mmol) drop wise over five minutes. The mixture was stirred at 0° C. for 1.5 hour and at 4° C. over night. The mixture was poured into a saturated sodium bicarbonate solution and extracted three times with methylene chloride and once with ethyl acetate. The combined organic layers were dried (sodium sulfate), concentrated and purified by preparative TLC eluting with 5% methanol in methylene chloride to provide 36 mg (77%) of the desired product, 507-XYL-178 which was confirmed by NMR and MS (M+Na=727). To 507-XYL-178 (36 mg, 0.05 mmol) were added 2.0M ammonia in methanol (16 mL) and concentrated aqueous ammonium hydroxide solution (3.2 mL) and the mixture was stirred at room temperature for 12 hours. The mixture was concentrated in vacuum, azeotroped with ethyl acetate, methanol and toluene, and dried under reduced pressure. The crude product, 507-XYL-192 was directly used for the next reaction. To 507-XYL-192 in methylene chloride (10 mL) at 0° C. were added triethylamine (0.2 mL, 1.51 mmol) and acetic anhydride (0.1 mL, 1.06 mmol). The mixture was stirred at room temperature over night. The reaction mixture was cooled to 0° C. and quenched with saturated sodium bicarbonate solution. The mixture was poured into excessive sodium bicarbonate solution and extracted three times with methylene chloride and three times with ethyl acetate. The combined organic layers were dried (sodium sulfate), concentrated to obtain the crude desired product, 507-XYL-194 which was confirmed by MS (M+Na=732). The crude product was directly used for the next reaction without further purification. The conversion of 507-XYL-194 to 507-XYL-198 was the same as in the synthesis of ER-803064. Preparative TLC purified the crude product with 5% ethanol in ethyl acetate to give 13.6 mg (57% over three steps) of the desired product, 507-XYL-198 which was confirmed by NMR and MS (M+Na=586). The oxidation of 507-XYL-198 using pyrridinium chlorochromate was followed the same procedure as in the synthesis of ER-803064. Preparative TLC purified the crude material with 8% ethanol in ethyl acetate to afford 507-XYL-204A and 507-XYL-204b, which were confirmed by NMR. ER-805216 The conversion of 507-XYL-204A to ER-805216 was the same as in the synthesis of ER-803064. Purification of crude material by preparative TLC with 25% ethanol in ethyl acetate afforded ER-805216, which was confirmed by NMR and MS (M+Na=498). The conversion of 507-XYL-204b to ER-805217 was the same as in the synthesis of ER-803064. Purification of crude material by preparative TLC eluting with 25% ethanol in ethyl acetate afforded ER-805217, which was confirmed by NMR and MS (M+Na=500). Preparation of ER804401: Procedure for the preparation of 560-ycs-86 was similar to that of 445-ycs-273. Procedure for the preparation of 560-ycs-88 was similar to that of 445-ycs-254. Procedure for the preparation of ER804401 from 560-ycs-88 was similar to the synthesis of ER804104. ER804504 was prepared in the similar way as ER804401 from 560-ycs-36 and n-butanol. Preparation of ER804555 and ER804567: Procedure for the preparation of ER804555 from 560-ycs-36 and N-acetyl ethanolamine was similar to the synthesis of ER804401. ER804567 was prepared in the similar way as ER804401 from 560-ycs-36 and 3,4-dichlorobenzyl alcohol. Preparation of ER804606: ER804606 was prepared in the similar way as ER804401 from 560-ycs-36 and 4-(2-hydroxyethyl)-morpholine except that oxidation of alcohol 560-ycs-128 into enone 560-ycs-133 was carried out under Swern conditions as below instead of using PCC. (COCl)2 (2.6 μL, 0.030 mmol) was introduced into a solution of DMSO (4.2 μL, 0.060 mmol) in 0.2 mL of CH2Cl2 at −78° C. The mixture was stirred at −78° C. for 15 minutes before the addition of 560-ycs-128 (6.0 mg, 0.010 mmol) in 0.8 mL of CH2Cl2. After the solution was stirred for 1 hour at −78° C. Et3N (12 μL, 0.090 mmol) was added. The reaction mixture was allowed to warm up to −20° C. for 15 minutes and quenched with Sat. NH4Cl. Organic phase was washed with NaHCO3 and concentrated to furnish 560-ycs-133 (6.0 mg, 0.010 mmol) in quantitative yield. Preparation of ER804630: ER804630 was prepared in the similar way as ER804401 from 560-ycs-36 and N-acetyl, N-methyl ethanolamine. Preparation of ER804778: ER804778 was prepared in the similar way as ER804401 from 560-ycs-36 and 3-methylthio-1-propanol except that 560-ycs-199 was oxidized into 560-ycs-200 by m-CPBA. MCPBA (12 mg, 0.048 mmol) was added in three portions to the solution of 560-ycs-199 (5.2 mg, 0.0081 mmol) in 2 mL of CH2Cl2 at 0° C. The solution was stirred at 0° C. for 10 minutes before it was washed with Na2S2O3 and concentrated to afford 560-ycs-200 (5.0 mg, 0.0074 mmol) in 92% yield. Aq. HCl (3.0 ML, 3.0 mmol) was introduced to a solution of 560-ycs-9 (31 mg, 0.055 mmol) in 3 mL of CH3CN at rt. The solution was stirred at rt for 12 hours before it was diluted with EtOAc and H2O. Organic phase was washed with NaHCO3, dried (Na2SO4), concentrated and purified by silica gel chromatography to afford ER804104 (12 mg, 0.025 mmol) in 45% yield and ER804131 (5.9 mg, 0.016 mmol) in 30% yield. Alternative preparation of commonly used intermediate for C14 modification: Procedure for the preparation of 560-ycs-218 was similar to that of 445-ycs-273. MOM-Cl (2.8 mL, 37 mmol) was added to a solution of 560-ycs-218 (2.1 g, 7.4 mmol) and DBU (7.1 mL, 48 mmol) in 10 mL of CH2Cl2 at 0° C. The mixture was stirred at rt for 15 minutes before the organic phase was washed with NaHCO3, concentrated and purified by silica gel chromatography to furnish 560-ycs-243 (1.8 g, 5.5 mmol) from silica gel plug in 74% yield. Procedure for the preparation of 560-ycs-248 was similar to that of 445-ycs-268. Procedure for the preparation of 560-ycs-250 was similar to that of 445-ycs-272. Procedure for the preparation of 560-ycs-251 was similar to that of 445-ycs-273. Procedure for the preparation of 560-ycs-256 was similar to that of 445-ycs-278. Procedure for the preparation of 560-ycs-258 was similar to that of 445-ycs-281. Procedure for the preparation of 560-ycs-267 was similar to that of 445-ycs-295. Procedure for the preparation of 560-ycs-269 was similar to that of 445-ycs-299. TBAF in THF (7.0 mL, 7.0 mmol) was introduced to the solution of 560-ycs-269 (0.87 g, 1.3 mmol) in 7 mL of THF. The mixture was stirred at rt for 4 hours before it was diluted with Et2O and washed with brine. Organic phase was dried (Na2SO4), concentrated and purified by silica gel chromatography to afford 560-ycs-270 (0.43 g, 0.78 mmol) in 58% yield over 3 steps. Preparation of ER805190: Transformations from 560-ycs-279 to 560-ycs-286 and from 560-ycs-297 to 560-ycs-300 were similar as the procedure for the preparation of ER804606. Transformations from 560-ycs-286 to 560-ycs-297 and from 560-ycs-300 to ER805190 were similar as the procedure for the preparation of ER805135. Preparation of C14-C2 Linked Series: To a solution of starting diphenol (10.7 g) in acetone (100 mL), BrCH2CH2Cl (15 mL) and 20 g of K2CO3 were added. The mixture was heated at 80° C. for 1 day. It was cooled and filtered. The filtrate was diluted with EtOAc, washed with brine, dried and concentrated. The crude product was purified on silica gel column with hexanes/CH2Cl2, 2:1 then 1:1 to hexanes/EtOAc, 1:1 to give 12.7 g of desired product. The MOM protection was carried out under the same conditions as previously described. After purification 12.7 g of product was obtained. The mixture of chlorophenol (12.7 g), NaN3 (6 g) in 20 mL of DMF was heated at 70° C. overnight. After cooled, it was diluted with EtOAc, washed with water, brine, dried and concentrated. The crude product was purified on silica gel column to give 10.3 g of desired azide. All above transformations were carried out under the conditions identical to previous series. Preparation of ER804730: ER804730 was prepared in the similar way as ER804104 from 560-ycs-171. Preparation of ER805135: 2-Imidazole-carboxyaldehyde (96 mg, 1.0 mmol) in 0.5 mL of DMSO was introduced to a mixture of 560-ycs-183 (0.30 g, 0.50 mmol) and 4 A molecular sieves (0.30 g) in 5 mL of CH2Cl2. The mixture was stirred for 30 minutes at rt after the addition of AcOH (28 μL, 0.50 mmol). K2CO3 solid (0.14 g, 1.0 mmol), celite (0.5 g) and 10 mL of Et2O were added and the mixture was filtered. The filtrate was concentrated before it was dissolved in 5 ML of EtOH and treated with NaBH4 at RT for 5 minutes. The mixture was then diluted with brine and EtOAc. Organic layer was dried and concentrated to furnish 560-ycs-275 (0.27 g, 0.40 mmol) in 80% yield. MS: 676 (M++1, 100%). Transformations from 560-ycs-275 to 560-ycs-276 and 560-ycs-277 to 560-ycs-279 were similar as the procedure for the preparation of ER804104. Boc2O (0.27 g, 1.2 mmol) was added to a solution of 560-ycs-276 (0.29 g, 0.50 mmol) and Et3N (0.21 mL, 1.5 mmol) in 5 mL of CH2Cl2. The mixture was stirred at rt for 12 hours before it was concentrated and purified by silica gel chromatography to provide 560-ycs-277 (0.34 g, 0.44 mmol) in 88% yield. MS: 794 (M++Na, 100%). A solution of 560-ycs-279 (0.22 g, 0.29 mmol) in 2 mL of TFA and 2 mL of CH2Cl2 was sat at rt for 30 minutes before it was concentrated and dissolved in 2 mL of CH3CN and 2 mL of 1 N HCl. The solution was diluted with 10:1 CHCl3-MeOH after it was stirred at rt for 12 hours. Organic phase was washed with NaHCO3, concentrated and purified by silica gel chromatography to afford ER-805135 (60 mg, 0.12 mmol) in 25% overall yield for 6 steps. Preparation of ER804744: Ph3P (35 mg, 0.14 mmol) was added to a solution of 560-ycs-171 (28 mg, 0.045 mmol) in 3 mL of 2:1 THF—H2O. The solution was stirred for 12 hours at rt before all the volatile was evaporated and the crude residue was dissolved in 2 mL of CH2Cl2. Et3N (44 μL, 0.32 mmol) and MsCl (17 μL, 0.22 mmol) was added at 0° C. The mixture was stirred at 0° C. for 10 minutes before it was washed with NaHCO3 and concentrated to provide 560-ycs-184 (21 mg, 0.031 mmol) in 69% for 2 steps. ER804744 was prepared in the similar way as ER804101 from 560-ycs-184. Preparation of ER804759: ER804759 was prepared in the similar way as ER804606 from 560-ycs-36 and 2-(N,N-dimethylamino)-1-ethanol. Preparation of 4 Carbon Linker C (14) Common Intermediate 491-HAD-1851 Chlorobutan-1-ol (15.5 g, 143 mmol) and DEAD (28.8 g, 165 mmol) were added simultaneously over 45 min to a cooled (0° C. ice/water bath) solution of diphenolic toluide (20.0 g, 110 mmol) in THF (175 mL) and toluene (700 mL) under a nitrogen atmosphere. Then, the ice/water bath was removed and the reaction mixture was allowed to warm to rt. After stirred for 2.5 h, standard Mitsunobu workup conditions followed by flash chromatography (silica gel, 5-10% EtOAc/hexanes) yielded 491-HAD-185 as a colorless solid (15.66 g, 52%) 491-HAD-191 DBU (59.0 g, 388 mmol) was added drop wise to a cooled (salt/ice bath) solution of 491-HAD-185 (14.4 g, 52.9 mmol) DMF (200 mL under nitrogen atmosphere followed by chloromethyl methyl ether (26.7 g, 332 mmol). After stirred for 0.5 h, water (200 mL) was added and the aqueous phase was extracted with CH2Cl2. The combined CH2Cl2 extracts were dried with anhydrous Na2SO4 and solvent was removed by reduced pressure. Flash chromatography (silica gel, 15% EtOAc/hexanes) gave 491-HAD-191 as colorless oil (13.9 g, 81%). 491-HAD-192 Sodium azide (8.64 g, 133 mmol) was added to a solution of 491-HAD-191 in DMF (150 mL) and the suspension was heated to 80° C. After stirring 2 h water (200 mL) and CH2Cl2 (150 mL) was added. The aqueous phase was extracted several times with CH2Cl2, dried with anhydrous Na2SO4 and solvent removed under reduced pressure. Flash chromatography (silica gel, 20% EtOAc/hexanes) afforded 491-HAD-192 as pale yellow oil (12.9 g, 90%). 491-HAD-194 Lithium diisopropylamine was prepared under nitrogen atmosphere in usual manner from diisopropylamine (12.8 mL, 91.5 mmol) and n-butyllithium in 5% HMPA/THF (150 mL) in flask equipped with overhead mechanical stirring. LDA solution was cooled to −78° C. (dry ice/acetone bath). Next, a solution of 491-HAD-192 in 5% HMPA/THF (35 mL) was added. After stirring 20 min, a solution of diphenyl diselenide (12.4 g, 39.7 mmol) in 5% HMPA/THF (35 mL) was added. Small amount of intermediate was observed and additional solvent (20 mL) was added in an attempt to create a homogeneous solution. After stirred for 2.5 h, aqueous NH4Cl was added and the aqueous phase was extracted several times with EtOAc. Combined organic extracts were washed with brine, dried with anhydrous Na2SO4 and solvent was evaporated under reduced pressure. Slightly impure 491-HAD-194 was obtained as a yellow oil (3.95 g, 21%) following flash chromatography (silica gel, 20-100% hexanes/CH2Cl2, 2% EtOAc/CH2Cl2). 491-HAD-196 A solution of 491-HAD-194 (3.94 g, 8.24 mmol) in ethanol (200 proof, 24.5 mL) and 2.5 N NaOH (16.5 mL, 41.3 mmol) was heated to 60° C. After stirred for 2 days, the reaction solution was then diluted with water and hexanes and the aqueous layer was acidified with NaHSO3 and extracted with EtOAc. The combined organic extracts were dried with anhydrous Na2SO4 and evaporation of the solvent under reduced pressure to afford 491-HAD-196 (3.71 g) as a pale yellow solid. 491-HAD-196 was not purified and was put directly into next step. 491-HAD-200 A flask equipped with nitrogen inlet was charged with 491-HAD-196 (3.70 g, 7.97 mmol), CH2Cl2 (56 mL), DCC (6.58 g, 31.9 mmol), DMAP (97.3 mg, 0.797 mmol) and triethylamine (4.44 mL, 31.9 mmol). After stirring several minutes 2-(trimethylsilyl)ethanol was added and the reaction mixture was heated to 35° C. for 3 days then stirred an additional 10-15 h at rt. Toluene (100 mL) was added and the reaction mixture was filtered. The filtrate was washed with saturated aqueous NaHCO3 solution followed by brine, dried with anhydrous Na2SO4 and solvent was removed under reduced pressure. Flash chromatography (silica gel, 20% EtOAc/hexanes) afforded 491-HAD-200 (1.89 g, 42%) as a colorless oil. 491-HAD-230 A solution containing iodide 554-RB-260 (1.04 g, 1.72 mmol) and 491-HAD-200 (2.53 mmol) in 5% HMPA/THF (2.53 mL), under nitrogen atmosphere, was cooled to −78° C. (dry ice/acetone bath) and the reaction vessel was shielded from light. 1M LiHMDS in THF (2.53 mL, 2.53 mmol) was added over 75 min by syringe pump. After stirred for an additional 40 min at −78° C., aqueous NH4Cl was added and the aqueous phase was extracted several times with EtOAc. Combined organic extracts were washed with brine, dried with anhydrous Na2SO4 and solvent evaporated under reduced pressure. Flash chromatography (silica gel, 5-10-15% EtOAc/hexanes) gave slightly impure (small amount of 491-HAD-200) 491-HAD-230 (1.86 g) of as a colorless oil. 491-HAD-232 A solution of 491-HAD-230 (1.89 g, 1.82 mmol) in CH2Cl2 (26 mL) under a nitrogen atmosphere, was cooled to 0° C. (ice/water bath). Next m-CPBA (57% 1.65 g, 5.46 mmol) was added in one portion. After stirred for 1.5 h, triethylamine was added and ice/water bath was removed. After stirred for an addition hour at rt, the reaction mixture was cooled with ice/water bath and a solution composed of 10% v/v Na2S2O3 (aqueous, saturated)/NaHCO3 (aqueous, saturated) was added. The aqueous phase was extracted several times with CH2Cl2. Combined CH2Cl2 extracts were washed with saturated NaHCO3, dried with anhydrous Na2SO4 and solvent was evaporated under reduced pressure. Flash chromatography of the residue (silica gel, 15% EtOAc/hexanes) gave 491-HAD-232 as pale yellow oil (0.96 g 63% over two steps). 491-HAD-235 To a solution of 491-HAD-232 (0.96 g, 1.1 mmol) in THF (5 mL), under nitrogen atmosphere, a TBAF (1M/THF) solution (5.45 mL, 5.45 mmol), buffered with imidazole.HCl (0.14 g, 1.3 mmol) was added and the reaction solution was allowed to stir at rt. After stirred for 4 days, additional TBAF (1M in THF) (2.2 mL, 2.2 mmol) was introduced to the reaction flask and heating was increased to 50° C. After stirred for 15 h, heating was stopped and cooled to rt, a saturated aqueous solution of NH4Cl was added. The aqueous phase was extracted several times with EtOAc. Combined organic phase was washed with brine, dried with anhydrous Na2SO4 and solvent was removed under reduced pressure. The crude residue was used for next step without purification. 491-HAD-237 To a solution containing 2-chloro-1-methylpyridium iodide (1.65 g, 6.47 mmol), CH2Cl2 (80 mL) and tributylamine (1.54 mL, 6.47 mmol), heated to reflux under a nitrogen atmosphere, a solution of crude 491-HAD-235 in dichloromethane (160 mL) was added over 3.5 h using syringe pump. After stirred for an additional hour, the heat was shut off and the reaction was then allowed to stir at rt overnight. The reaction solution then was concentrated under reduced pressure and the residue was diluted with EtOAc and water. The aqueous phase was extracted several times with EtOAc and the combined organic phase was washed with 0.05 M HCl (3×85 mL), saturated aqueous NaHCO3, brine successively, dried with Na2SO4 and concentrated down under reduced pressure. Flash chromatography of the residue (silica gel, 30% ethyl acetate) afforded 491-had-237 as a pale yellow gel (0.46 g, 65% over two steps). Preparation of Imidazole C.14 Analogue, ER805023: 491-HAD-251 A solution of 491-HAD-237 (71.4 mg, 0.110 mmol), triphenylphosphine (86.5 mg, 0.330 mmol) in THF (2 mL) and water (1 mL) was stirred at rt. After stirred for approximately 17 h, the reaction solution was concentrated under reduced pressure. The residue was azeotroped several times with toluene and used directly in the next reaction without purification. 491-HAD-252 To a flask charged with 491-HAD-254 (0.110 mmol) and molecular sieves (4 A) in CH2Cl2, 2-imidazolecarboxaldehyde (21.1 mg, 0.220 mmol) in hot DMSO (0.30 mL) was added followed by acetic acid (6.3 μL). After stirred for 45 min at rt, anhydrous K2CO3 (0.030 g) was added. The reaction mixture was subsequently diluted with diethyl ether and filtered. Following the removal of solvent, the residue was re-dissolved in methanol and resulting solution cooled with ice/water bath and NaBH4 (0.020 g, 0.53 mmol) was added. After stirred for 20 min, brine solution was added and the aqueous phase was extracted several times with EtOAc. Combined EtOAc extracts were dried with anhydrous Na2SO4 and concentrated. The crude residue was not purified and was used directly in next reaction. 491-HAD-254 A solution containing 491-HAD-252 (0.110 mmol), 1 N NaOH (3.30 mL, 3.30 mmol), ethanol (3.3 mL) and THF (1.6 mL) was stirred at 40-45° C. After 16 h, water was added followed by CH2Cl2. The aqueous phase was extracted several times with CH2Cl2 and the combined organic phases were dried with anhydrous Na2SO4 and concentrated. The crude residue was not purified and was used directly in next reaction. 491-HAD-256 A solution of 491-HAD-254 (0.110 mmol), triethylamine (46.0 μL, 0.330 mmol) and Boc anhydride (60.0 mg, 0.275 mmol) in CH2Cl2 was stirred under a nitrogen atmosphere at rt for 4 days. Reaction mixture was concentrated under reduced pressure. Flash chromatography (solvent gradient used: 20% EtOAc/hexanes, 30% EtOAc/hexanes, 50% EtOAc/hexanes, 75% EtOAc/hexanes) yielded 491-HAD-256 as a colorless gel (61.2 mg 70% over 4 steps). 491-HAD-260 Reaction mixture containing 491-HAD-256 (59.1 mg, 0.0739 mmol), molecular sieves (4 47.8 mg), Celite (47.8 mg) and PCC (47.8 mg, 0.222 mmol) in CH2Cl2 (1.70 mL) was stirred under a nitrogen atmosphere at rt for 1 hr. Triethylamine (30.8 μL, 0.222 mmol) was added and reaction mixture was stirred for an additional 15 min Diethyl ether was added and reaction mixture was filtered through Celite. Volume of the filtrate was reduced and flash chromatography (100% EtOAc) afforded slightly impure 491-HAD-260 as a colorless oil (90.9 mg). 491-HAD-261 To a solution of 491-HAD-260 in CH2Cl2 (0.60 mL), under a nitrogen atmosphere, TFA was added. After stirring 30 min at rt, solvent and volatiles were removed by rotary evaporation. Acetonitrile (0.6 mL) and 1 N HCl (0.60 mL, 0.60 mmol) were added to the residue. After stirring 19 h at rt, reaction mixture was cooled with ice/water bath and a saturated aqueous solution of NaHCO3 was added. Aqueous phase was extracted several times with CHCl3 then once with 10% methanol/CHCl3. Combined CHCl3 extracts were dried with anhydrous Na2SO4 and concentrated by reduced pressure. Flash chromatography (MeOH: CH2Cl2: 2M NH3/MeOH 5:95:1, 10:90:1, 15:85:1) yielded 491-HAD-261, ER805023 as an off-white solid (6.8 mg, 18% over 3 steps). Preparation of Compound ER-804446 (C14 Difluoromethoxy) Step 1 To a solution of compound 557-MS-262 (4.14 g, 6.69 mmol) in THF (40 mL) was added a 1M solution of TBAF (6.69 mL; 6.69 mmol). The reaction mixture was stirred at room temperature for 30 minutes then worked up in the usual manner Chromatographic purification gave compound 557-MS-151 (2.34 g, 92%). Step 2 To a vigorously stirred solution of compound 557-MS-151 (520 mg, 1.36 mmol) in dioxane (2 mL) at 55-60° C., was added pre-heated (50° C.) 40% aqueous NaOH solution (2 mL). A stream of chlorodifluoromethane gas was then admitted continuously to the reaction mixture via a gas inlet tube (the tip of which was positioned just below the surface of the reaction mixture). After 25 minutes the reaction mixture was worked up in the usual manner. Chromatographic purification gave compound 557-MS-154 (329 mg, 56%). Step 3 A solution of 557-MS-154 (455 mg, 1.05 mmol) in ethanol (5 mL) was treated with 40% aqueous NaOH solution (2 mL) and heated under reflux for 16 hours. The reaction mixture was cooled to room temperature, diluted with water and then washed with diethyl ether. The aqueous phase was acidified (with cooling) to pH3 by drop wise addition of concentrated aqueous hydrochloric acid. Extraction with diethyl ether (×4) followed by drying etc gave compound 557-MS-158 (384 mg, 88%). Step 4 A solution of compound 557-MS-158 (384 mg, 0.92 mmol) in diethyl ether (8 mL) was treated with toluene (2 mL), triphenylphosphine (290 mg, 1.10 mmol), and 2-(trimethylsilyl)ethanol (0.172 ml, 1.20 mmol), then cooled to 0° C. under an inert atmosphere. Diethyl azidodicarboxylate (0.174 ml, 1.10 mmol) was added drop wise and the reaction mixture then allowed to warm to room temperature. After 3 hours the reaction mixture was worked up in the usual manner. Chromatographic purification gave compound 557-MS-165 (410 mg, 86%). Step 5 A mixture of compound 557-MS-165 (410 mg, 0.79 mmol) and compound 554-RB-260 (523 mg, 0.72 mmol) was dissolved in THF (3.2 mL), treated with HMPA (0.6 mL) and then cooled to −78° C. under an inert atmosphere. A 0.5M solution of LiHMDS in THF (1.73 mL, 0.864 mmol) was then added drop wise over approximately 15 minutes. The reaction mixture was stirred at −78° C. for 40 minutes, then warmed to 0° C. The intermediate crude product was worked up in the usual manner and then dissolved in dichloromethane (12 mL) and cooled to 0° C. A solution of approximately 55% m-CPBA (452 mg) in dichloromethane (8 mL) was added portion wise. After 40 minutes triethylamine (1 mL) was added and the reaction mixture was worked up in the usual manner. Chromatographic purification gave compound 557-MS-203 (552 mg, 80%). Step 6 A solution of compound 557-MS-203 (552 mg, 0.575 mmol) in THF (5.75 mL) was treated with a 1M solution of TBAF in THF (11.5 mL, 11.5 mmol) then heated at 60° C. for approximately 3 hours. The usual work up gave crude compound 557-MS-205 (350 mg), which was used in the next stage without purification. Step 7 A solution of crude compound 557-MS-205 (assumed to contain 0.32 mmol) in dichloroethane (66 mL) was added slowly to a heated solution (85° C.) of 2-chloro-1-methylpyridinium iodide (824 mg, 3.2 mmol) and tri-n-butylamine (0.768 mL, 3.2 mmol) in dichloroethane (100 mL). The reaction mixture was heated at 85° C. for 1 hour post complete addition then cooled to room temperature. The usual work up and chromatographic purification gave compound 557-MS-212 (93 mg, 48% from compound 557-MS-203). Step 8 A solution of compound 557-MS-212 (93 mg, 0.15 mmol) in THF (6 mL) and ethanol (12 mL) was treated with 1M aqueous NaOH solution (2.5 mL) and heated at 60° C. for 1.5 hours, then at 70° C. for 1 hour. The usual work up gave crude compound 557-MS-214 (74 mg), which was used in the next stage without purification. Step 9 A solution of crude compound 557-MS-214 (89 mg, 0.178 mmol) in dichloromethane (10 mL) was treated with PCC (462 mg, 2.14 mmol) in the presence of powdered 4 Å molecular sieves (462 mg). The reaction mixture was stirred vigorously for 120 minutes at room temperature. Basification with excess triethylamine, followed by chromatographic purification gave compound 557-MS-216 (53 mg, 60% from compound 557-MS-212). Step 10 A solution of compound 557-MS-216 (53 mg, 0.106 mmol) in a mixture of acetonitrile (7 mL) and dichloromethane (1.7 mL) was treated with 48% aqueous hydrofluoric acid (1.7 mL). After 35 minutes at room temperature the usual work up, followed by chromatographic purification, gave compound ER-804446 (40 mg, 91%) (m/z: 411.3 [M+1; 100%]). Preparation of Compound ER-804387 (C14 Trifluoroethoxy) Step 1 To a solution of 557-MS-151 (1 g, 2.62 mmol) in acetone (20 mL) were added potassium carbonate (440 mg, 3.14 mmol) and 2,2,2-trifluoroethyl trichloromethanesulphonate (880 mg, 3.14 mmol). The reaction mixture was heated at 70° C. for 2 hours then treated with further aliquots of potassium carbonate (440 mg; 3.14 mmol) and 2,2,2-trifluoroethyl trichloromethanesulphonate (880 mg, 3.14 mmol). After a further 2 hours at 70° C. the reaction mixture was worked up in the usual manner. Chromatographic purification gave compound 557-MS-161 (760 mg, 63%). Step 2 A solution of 557-MS-161 (760 mg, 1.64 mmol) in ethanol (5 mL) was treated with 40% aqueous NaOH solution (2 mL) and heated under reflux for 16 hours. The reaction mixture was cooled to room temperature, diluted with water and then washed with diethyl ether. The aqueous phase was acidified (with cooling) to pH3 by drop wise addition of concentrated aqueous hydrochloric acid. Extraction with diethyl ether (×4) followed by drying etc gave compound 557-MS-163 (648 mg, 88%). Step 3 A solution of compound 557-MS-163 (648 mg, 1.44 mmol) in diethyl ether (12 mL) was treated with toluene (3 mL), triphenylphosphine (454 mg, 1.73 mmol), and 2-(trimethylsilyl)ethanol (0.269 mL, 1.875 mmol), then cooled to 0° C. under an inert atmosphere. Diethyl azidodicarboxylate (0.272 mL, 1.73 mmol) was added drop wise and the reaction mixture then allowed to be warmed to room temperature. After 1.5 hours the reaction mixture was worked up in the usual manner. Chromatographic purification gave compound 557-MS-167 (730 mg, 92%). Step 4 A mixture of compound 557-MS-167 (730 mg, 1.33 mmol) and compound 554-RB-260 (885 mg, 1.21 mmol) was dissolved in THF (9 mL), treated with HMPA (1 mL) and then cooled to −78° C. under an inert atmosphere. A 0.5M solution of LiHMDS in THF (2.9 mL, 1.45 mmol) was then added drop wise over approximately 20 minutes. The reaction mixture was stirred at −78° C. for 35 minutes, then warmed to 0° C. The intermediate crude product was worked up in the usual manner and purified partially by chromatography. The intermediate was dissolved in dichloromethane (15 mL) and cooled to 0° C. A solution of approximately 55% meta-chloroperbenzoic acid (612 mg) in dichloromethane (10 mL) was added portion wise. After 30 minutes triethylamine (1.37 mL) was added and the usual work up, followed by chromatographic partial purification, gave impure compound 557-MS-177 (950 mg), which was used in the next stage without further purification. Step 5 A solution of crude compound 557-MS-177 (475 mg, assumed to contain 0.479 mmol) in a 1M solution of TBAF in THF (9.58 mL; 9.58 mmol) was heated at 50° C. for approximately 7 hours. The usual work up gave crude compound 557-MS-179 (300 mg), which was used in the next stage without purification. Step 6 A solution of crude compound 557-MS-179 (assumed to contain 0.153 mmol) in dichloroethane (30 mL) was added slowly to a heated solution (85° C.) of 2-chloro-1-methylpyridinium iodide (391 mg, 1.53 mmol) and tri-n-butylamine (0.365 mL, 1.53 mmol) in dichloroethane (100 mL). The reaction mixture was heated at 85° C. for 1 hour post complete addition then cooled to room temperature. The usual work up and chromatographic purification gave compound 557-MS-183 (40 mg, 41% from compound 557-MS-167). Step 7 A solution of compound 557-MS-183 (40 mg, 0.063 mmol) in THF (2.5 mL) and ethanol (5 mL) was treated with 1M aqueous NaOH solution (1 mL) and heated at 60° C. for 3.5 hours. The usual work up gave crude compound 557-MS-191 (32 mg), which was used in the next stage without purification. Step 8 A solution of crude compound 557-MS-191 (52 mg, 0.098 mmol) in dichloromethane (6 mL) was treated with PCC (253 mg, 1.18 mmol) in the presence of powdered 4 Å molecular sieves (253 mg). The reaction mixture was stirred vigorously for 3 hours at room temperature. Basification with excess triethylamine, followed by chromatographic purification gave compound 557-MS-194 (39.3 mg, 76% from compound 557-MS-183). Step 9 A solution of compound 557-MS-194 (23 mg, 0.0435 mmol) in a mixture of acetonitrile (3.2 mL) and dichloromethane (0.8 mL) was treated with 48% aqueous hydrofluoric acid (0.8 mL). After 35 minutes at room temperature the usual work up, followed by chromatographic purification, gave compound ER-804387 (15.8 mg, 82%). Preparation of Compound B2356 (C14 Hydroxy) & Compound B2359 (C14 OMOM): Step 1 A solution of methyl 2,4-dihydroxy-6-methylbenzoate (6 g, 32.95 mmol) in dry DMF (10 mL) was added to a well-stirred suspension of hexane-washed sodium hydride (3.95 g, 60% in mineral oil; approximately 98.85 mmol) in dry DMF (50 mL), at 0° C. under an inert atmosphere. The reaction mixture was stirred at 0° C. for 30 minutes then treated with methoxymethyl chloride (5.26 mL, 69.2 mmol) drop wise. The reaction mixture was stirred for 2 hours then worked up in the usual manner to give compound 453-MS-21 (8.14 g, 91%). Step 2 To a solution of diisopropylamine (3.14 mL, 22.4 mmol) in dry THF (45 mL), at −20° C. under an inert atmosphere, was added drop wise a 2.5M solution of n-butyllithium in hexanes (8.96 mL, 22.4 mmol). The reaction mixture was allowed to warm to 0° C., stirred for 10 minutes at 0° C., then cooled to −78° C. A solution of compound 453-MS-21 (4.03 g, 14.9 mmol) in dry THF (15 mL) was added drop wise. The reaction mixture was stirred at −78° C. for 1 hour then treated with a solution of diphenyl diselenide (5.59 g, 17.9 mmol) in dry THF (18 mL). The reaction mixture was stirred at −78° C. for 30 minutes then worked up in the usual manner. Chromatographic purification gave compound 453-MS-108 (3.47 g, 54%). Step 3 A solution of compound 453-MS-108 (2.16 g, 5.08 mmol) in ethanol (20 mL) was treated with powdered NaOH (610 mg, 15.24 mmol) and heated under reflux for 28 hours. The reaction mixture was cooled to room temperature and concentrated under reduced pressure (to a residual volume of approximately 5 mL). The residue was partitioned between water and diethyl ether. The aqueous fraction was acidified to pH3 by slow addition of 1M aqueous HCl (approximately 16 mL), with cooling. The acidic solution was extracted with diethyl ether, and the extracts then washed immediately with saturated aqueous brine solution (at least five times). Drying etc gave compound 453-MS-110 (2.016 g, 97%). Step 4 To a solution of compound 453-MS-110 (2.016 g, 4.9 mmol) in diethyl ether (40 mL), at 0° C. under an inert atmosphere, were added toluene (10 mL), triphenylphosphine (1.41 g, 5.39 mmol), and 2-(trimethylsilyl)ethanol (0.843 mL, 5.88 mmol). Diethyl azidodicarboxylate (0.849 mL, 5.39 mmol) was then added drop wise. The reaction mixture was allowed to warm to room temperature and stirred for approximately 16 hours. The usual work up followed by chromatographic purification gave compound 453-MS-111 (2.24 g, 90%). Step 5 A mixture of compound 453-MS-111 (1.33 g, 2.6 mmol) and compound 343-YW-281 (866 mg, 1.46 mmol) was dissolved in a solution of 10% HMPA in THF (15 mL) and cooled to −78° C. under an inert atmosphere. A 1M solution of LiHMDS in THF (2.19 mL, 2.19 mmol) was then added drop wise over approximately 15 minutes. After another 45 minutes an extra aliquot of 1M solution of LiHMDS in THF was added (0.438 mL, 0.438 mmol). The reaction mixture was warmed to 0° C. and the intermediate crude product worked up in the usual manner, and purified partially by chromatography. The intermediate was then dissolved in dichloromethane (14 mL) and cooled to 0° C. A solution of approximately 55% meta-chloroperbenzoic acid (280 mg) in dichloromethane (6 mL) was added. After 10 minutes, extra 55% m-CPBA (28 mg) was added. The reaction mixture was stirred at 0° C. for a further 20 minutes, then treated with triethylamine (1.22 mL) and worked up in the usual manner Chromatographic purification gave compound 453-MS-77 (625 mg, 52%). Step 6 To a vigorously stirred biphasic mixture of compound 453-MS-77 (618 mg, 0.753 mmol), dichloromethane (20 mL) and water (10 mL), was added DDQ (190 mg, 0.84 mmol). After 1 hour at room temperature the reaction mixture was worked up in the usual manner Chromatographic purification gave compound 453-MS-82 as a mixture of 4 diastereoisomers (381 mg, 72%). Step 7 A solution of compound 453-MS-82 (381 mg, 0.544 mmol) in THF (10 mL) was treated with TBAF (284 mg, 1.09 mmol) and stirred at room temperature for approximately 16 hours. The usual work up gave compound 453-MS-84 (326 mg, quantitative), as a mixture of 4 diastereoisomers. Step 8 To a solution of triphenylphosphine (109 mg, 0.417 mmol) in dry THF (6 mL), at room temperature under an inert atmosphere, was added diethyl azidodicarboxylate (66 μL, 0.417 mmol) drop wise over approximately 30 seconds. A solution of compound 453-MS-84 (167 mg, 0.278 mmol) in dry THF (10 mL) was added drop wise over approximately 10 minutes. The reaction mixture was stirred at room temperature for 10 minutes then treated with extra triphenylphosphine (36 mg, 0.137 mmol), followed by extra diethyl azidodicarboxylate (22 μL, 0.137 mmol). The reaction mixture was stirred for a further 10 minutes then worked up in the usual manner Partial chromatographic purification gave compound 453-MS-91 (122 mg, 76%) as a mixture of 4 diastereoisomers. Step 9 A solution of compound 453-MS-91 (70 mg, 0.12 mmol) in ethanol (2.5 mL) was treated with THF (1.25 mL) and 1M aqueous NaOH (0.6 mL, 0.6 mmol) and stirred at room temperature for approximately 6 days. Chromatographic purification gave two fractions of partially resolved diastereoisomers: Fraction A (less polar): a mixture of 2 diastereoisomers—compound 453-MS-101A (24 mg);
Step 10 A solution of compound 453-MS-101B (25 mg, 52.3 μmol) in dichloromethane (1.5 mL) was treated with PCC (135 mg, 0.627 mmol) in the presence of powdered 4 Å molecular sieves (135 mg). The reaction mixture was stirred vigorously for 40 minutes at room temperature. Basification with excess triethylamine, followed by chromatographic purification gave compound 453-MS-116 (14 mg, 63%). Step 11 A solution of compound 453-MS-116 (13 mg, 27.3 μmol) in a mixture of dioxane (3 mL) and deuterium oxide (3 mL) was treated with Dowex® (50WX8-100, 200 mg), and stirred at room temperature for approximately 16 hours. The usual work up, followed by purification using reversed phase HPLC, gave compound B2356 (2.4 mg, 25%) [m/z: 349.3 (M+1, 60%), 161.0 (100%)], and compound B2358 (2 mg, 20%). Preparation of Compound B2357 (C14 Hydroxy) & Compound B2359 (C14 OMOM): Step 1 A solution of compound 453-MS-101A (24 mg, 50.1 μmol) in dichloromethane (2 mL) was treated with pyridinium chlorochromate (130 mg, 0.602 mmol) in the presence of powdered 4 Å molecular sieves (130 mg). The reaction mixture was stirred vigorously for 1 hour at room temperature. Basification with excess triethylamine, followed by chromatographic purification gave compound 453-MS-122 (19 mg, 80%). Step 2 A solution of compound 453-MS-122 (21 mg, 44 μmol) in a mixture of acetonitrile (4.6 mL) and dichloromethane (1.1 mL) was treated with 48% aqueous hydrofluoric acid (1.1 mL), and stirred at room temperature for approximately 2 hours. The usual work up, followed by purification using reversed phase HPLC, gave compound B2357 (3.5 mg, 23%) [m/z: 349.2 (M+1, 50%), 161.0 (100%)], and compound B2359 (1.6 mg, 10%). Preparation of C14-C, H, or Halogen Analogs, NF0887, NF2433, NF2435, NF2436, NF2557 and ER-805053, Synthetic Procedure for NF2433 Using same procedure for 16, YE-06 (526 mg, 0.714 mmol) was converted to NY-78 (657 mg). Using same procedure for 18, NY-78 (653 mg, 0.644 mmol) was converted to NY-79 (529 mg). Using same procedure for 509-HD-116, NY-79 (528 mg, 0.584 mmol) was converted to NY-80 (231 mg). NY-80 was used without purification for the next step. Using same procedure for TM-12, NY-80 (230 mg, 0.511 mmol) was converted to NY-81 (157 mg). Using same procedure for 509-HD-125, NY-81 (127 mg, 0.294 mmol) was converted to NY-82 (118 mg). Using same procedure for NF-0675, NY-82 (118 mg, 0.274 mmol) was converted to NF-2433 (79 mg). Synthetic Procedure for NF-2436 Using same procedure for 9, NY-83 (7.46 g, 40 mmol) was converted to NY-84 (11.39 g). To a mixture of NY-84 (3 g, 10 mmol), Et2NH (2.07 mL, 20 mmol) and THF (80 mL), isopropylmagenesium chloride (2M in THF, 10 mL, 20 mmol) was gradually added at −30° C. The reaction mixture was allowed to warm to 0° C. The reaction mixture was quenched with sat. NaHCO3 and extracted with EtOAc. The organic layer was washed with water, brine, dried over Na2SO4, filtered and concentrated. The crude product was purified on silica gel column with hexane/EtOAc, 10:1, 8:1, 6:1 to give 3.21 g of NY-85. NY-85 (3.2 g, 9.36 mmol) and TMEDA (2.2 mL, 14.58 mmol) were dissolved in THF (30 mL) and cooled to −78° C., under nitrogen. Then, sec-BuLi (1.3M/cyclohexane, 11 mL, 14.3 mmol) was slowly added and the reaction was stirred at −78° C. for 1 hr. DMF (1.4 mL, 18.08 mmol) was added to the solution, then the solution was stirred at −78° C. for 30 min. The mixture was quenched with sat.NH4Cl and extracted with EtOAc. The organic layer was washed with water, brine and dried over Na2SO4, filtered and concentrated. The crude product was purified on silica gel column with hexane/EtOAc, 6:1 to give 2.56 g of NY-86. To a solution of NY-86 (2.55 g, 6.89 mmol) in MeOH (30 mL), NaBH4 (260 mg, 6.87 mmol) was added at 0° C. and stirred for 30 min. The reaction mixture was quenched with sat. NH4Cl and extracted with EtOAc. The organic layer was washed with water, brine, dried over Na2SO4, filtered and concentrated to give 2.5 g of NY-87. A mixture of NY-87 (2.5 g, 6.72 mmol), AcOH (1.92 mL, 33.54 mmol) and EtOH (50 mL) was refluxed for 4 hrs. The mixture was concentrated and the residue was alkalized with sat.NaHCO3 and extracted with EtOAc. The aqueous layer was reextracted with EtOAc (×2) and the organic layers were washed with sat. NH4Cl, water, brine, dried over Na2SO4, filtered and concentrated. The crude crystallized product was washed with Et2O to give 718 mg of NY-88. The mother liquid was purified on silica gel column with hexane/EtOAc, 3:1, 2:1 to give additional 230 mg of NY-88. Using same procedure for 509-HD-209, NY-88 (940 mg, 5.09 mmol) was converted to NY-89 (676 mg). To a solution of NY-89 (1.74 g, 7.61 mmol) in DMSO (20 mL), a solution of KOH (450 mg, 8.02 mmol) in water (10 mL) was added and stirred at room temperature for 30 min. Then, the mixture was stirred at 40° C. for 30 min. MeI (9.5 mL, 153 mmol) was added to the reaction mixture, and the mixture was stirred at room temperature for 3 hrs. The reaction mixture was quenched with sat. NH4Cl and extracted with EtOAc. The organic layer was washed with water, 5% citric acid, water, sat.NaHCO3, brine, dried over Na2SO4, filtered and concentrated to give 1.93 g of NY-90. To a solution of NY-90 (1.93 g, 7.61 mmol), Ph2S2 (5 g, 22.9 mmol), pyridine (3.7 mL, 45.75 mmol),nBu3P (5.7 mL, 22.88 mmol) were added at 0° C. The mixture was allowed to warm to room temperature and stirred for 12 hrs. The reaction mixture was diluted with EtOAc and washed with 5% citric acid (×2), water, sat. NaHCO3, brine, dried over Na2SO4, filtered and concentrated. The crude product was purified on silica gel column with hexane/EtOAc, 15:1, 5:1 to give 1.9 g of NY-91. Using same procedure for 509-HD-212, NY-91 (2.12 g, 6 mmol) was converted to NY-92 (2.07 g). NY-92 was used without purification for the next step. Using same procedure for 509-HD-213, NY-92 (2.07 g, 6 mmol) was converted to NY-93 (2.19 g). Using same procedure for 16, YE-06 (505 mg, 0.685 mmol) was converted to NY-94 (625 mg). Using same procedure for 18, NY-94 (623 mg, 0.594 mmol) was converted to NY-95 (501 mg). Using same procedure for 509-HD-116, NY-95 (500 mg, 0.533 mmol) was converted to NY-96 (400 mg). NY-96 was used without purification for the next step. Using same procedure for TM-12, NY-96 (400 mg, 0.533 mmol) was converted to NY-97 (142 mg). Using same procedure for 509-HD-125, NY-97 (139 mg, 0.298 mmol) was converted to NY-98 (120 mg). Using same procedure for NF-0675, NY-98 (118 mg, 0.254 mmol) was converted to NF-2436 (24 mg). Synthetic Procedure for NF2435 Using similar procedure for the synthesis of 509-HD-209 from 509-HD-207, 3,5-dimethylphenol (27.58 g, 225.75 mmol) was converted to colorless oil of MK-091 (15.91 g, 42%) as compound purified. MK-091 (6.00 g, 36.10 mmol) was dissolved in 18 mL of dry Et2O. To the stirred solution was added n-BuLi in hexane (1.6M, 27 mL, 43.32 mmol, 1.2 eq.) and the mixture was warmed to 40° C. After 30 min at 40° C. the color of the reaction mixture turned dark red. The mixture was cooled to −78° C. and excessive dry CO2 gas (ca 30 eq.) was added by bubbling through an inlet over 30 min. Then, the resulting mixture was allowed to warm to rt. After 30 min the reaction mixture was quenched with water and washed with Et2O. The basic aqueous layer was acidified with aqueous solution of KHSO4 and extracted with AcOEt. The organic extract was washed with brine, dried over Na2SO4, filtered, and concentrated to yield crude colorless crystals of MK-092 (4.55 g, <60%). The crude MK-092 was used for next step without purification. Crude MK-092 (4.55 g, assumed to contain 21.6 mmol) was dissolved in 200 mL of CH3CN. To the solution were added CsCO3 (5.64 g, 17.3 mmol) and MeI (2.20 mL, 34.6 mmol) and the mixture was stirred at rt overnight. After concentration of the reaction mixture, water was added and extracted with AcOEt. The organic extract was washed with saturated aqueous NaHCO3 and brine, then dried over Na2SO4, filtered, and concentrated to give crude oil of MK-093. The crude product was purified by chromatography on silica gel (hexane/AcOEt:10/1) to afford pale yellow oil of MK-093 (3.19 g, 39% 2 steps). Using similar procedure for the synthesis of 509-HD-211 from 509-HD-209, MK-093 (2.86 g, 12.77 mmol) was converted to a mixture of MK-094, MK-095 and MK-093. The crude product was purified by chromatography on silica gel (hexane/AcOEt:9/1) to afford pale yellow oil of MK-094 (652 mg, 13%), the structure of which was determined by NOESY analysis. Using similar procedure for the synthesis of 509-HD-212 from 509-HD-211, MK-094 (650 mg, 1.71 mmol) was converted to crude benzoic acid. Using similar procedure for the synthesis of MK-047 from MK-046, the crude benzoic acid was converted to pale pink oil of MK-096 (746 mg, 94% 2 steps) as compound purified. Using similar procedure for the synthesis of compound 5 from compound 2 and compound 3, YE-06 (516 mg, 0.700 mmol) coupled with MK-096 (489 mg, 1.05 mmol) was converted to colorless oil of MK-097 (491 mg, 76% 3 steps) as compound purified. Using similar procedure for the synthesis of YE-17 from YE-16, MK-097 (491 mg, 0.535 mmol) was converted to crude oil of MK-098 (486 mg, including silyl impurity). The crude MK-098 was used for next step without purification. Using similar procedure for the synthesis of YE-18 from YE-17, the crude MK-098 (486 mg, assumed to contain 0.535 mmol) was converted to colorless oil of MK-099 (159 mg, 67% 3 steps) as compound purified. Using similar procedure for the synthesis of 509-HD-125 from 509-HD-119B, MK-099 (158 mg, 0.354 mmol) was converted to crude pale yellow solid of MK-100 (146 mg, <93%). The crude MK-100 was used for next step without purification. Using similar procedure for the synthesis of NF1226 from MK-035, crude MK-100 (146 mg) was converted to crude pale yellow crystals. The crude product was purified by chromatography on silica gel (hexane/AcOEt:3/2) to afford colorless crystals of NF2435 (88 mg, 69% 2 steps). Synthetic Procedure for NF2557, NF2558, and NF2559 Using similar procedure for the synthesis of 509-HD-209 from 509-HD-207, TM-34 (12.23 g, 42.71 mmol) was converted to colorless oil of MK-120 (13.40 g, 95%) as compound purified. MK-120 (13.38 g, 40.50 mmol) was dissolved in 200 mL of EtOH. 10% Pd on carbon (50% wet, 2.7 g) was added. The mixture was stirred under hydrogen at rt. After 8 hrs catalyst was filtered through Celite and the filtrate was concentrated to give crude solid. The crude product was purified by chromatography on silica gel (hexane/AcOEt:2/1) to afford colorless crystals of MK-121 (8.67 g, 89%). Using similar procedure for the synthesis of 611-MS-88 from 611-MS-84, MK-121 (8.66 g, 36.04 mmol) was converted to colorless crystals of MK-122 (13.20 g, 98%) as compound purified. Using similar procedure for the synthesis of MK-073 from MK-072, propargyl alcohol (10.74 g, 191.6 mmol) was converted to colorless oil of MK-123 (27.03 g, 96%) as compound purified. MK-122 (13.20 g, 35.46 mmol) and MK-123 (12.50 g, 70.92 mmol, 2.0 eq.) were dissolved in 440 mL of DMF. To the solution were added Ph3P (5.58 g, 21.28 mmol, 0.6 eq.), Pd(Ph3P)4 (6.15 g, 5.32 mmol, 0.15 eq.), CuI (1.01 g, 5.32 mmol, 0.15 eq.), and Et3N (19.8 mL, 141.83 mmol, 4 eq.). The mixture was heated to 45° C. and stirred for 1.5 hrs under nitrogen atmosphere. The mixture was cooled to rt and diluted with Et2O-hexane, then stirred for a while. The resulting mixture was filtered through a pad of Celite to remove insoluble solid. The filtrate was washed with saturated aqueous solution of NH4Cl and brine, dried over Na2SO4, filtered, and concentrated to yield crude product. The crude product was purified by chromatography on silica gel (hexane/AcOEt:7/1 to 5/1) to afford pale brown oil of MK-124 (12.11 g, 86%). Using similar procedure for the synthesis of MK-074 from MK-073, MK-124 (14.28 g, 35.84 mmol) was converted to crude yellow oil of MK-125 (14.34 g). The crude MK-125 was used for next step without purification. Using similar procedure for the synthesis of MK-114 from MK-113, crude MK-125 (14.34 g, assumed to contain 35.84 mmol) was converted to crude yellow oil of benzoic acid (14.92 g). The crude benzoic acid was used for next step without purification. Using similar procedure for the synthesis of MK-093 from MK-092, the crude benzoic acid (14.92 g, assumed to contain 35.84 mmol) was converted to colorless oil of MK-126 (10.92 g, 78% 3 steps) as compound purified. Using modified procedure for the synthesis of 509-HD-211 from 509-HD-209, MK-126 (960 mg, 2.47 mmol) was converted to crude selenide product. The crude product was purified by chromatography on silica gel (hexane/AcOEt:6/1 to 5/1) to afford pale yellow oil (953 mg) as an inseparable mixture of desirable MK-127 (ca 710 mg, ca 60%), MK-128 (ca 10%), and MK-126 (ca 17%). The mixture was used for next step without further purification. Using similar procedure for the synthesis of MK-114 from MK-113, the mixture (953 mg) of MK-127 (ca 710 mg, assumed to contain 1.31 mmol), MK-128, and MK-126 was converted to crude oil of benzoic acids (980 mg). The crude benzoic acids were used for next step without purification. Using similar procedure for the synthesis of MK-047 from MK-046, the crude mixture of benzoic acids (980 mg) was converted to crude TMS-ethyl esters. The crude product was purified by chromatography on silica gel (hexane/AcOEt:6/1) to afford colorless oil (875 mg) as an inseparable mixture of desirable MK-129 (ca 683 mg, ca 83%) and other TMS-ethyl esters corresponding to MK-128 and MK-126. The mixture was used for next step without further purification. Using similar procedure for the synthesis of compound 5 from compound 2 and compound 3, YE-06 (483 mg, 0.655 mmol) coupled with the mixture (875 mg) including MK-129 (ca 683 mg, 1.08 mmol) was converted to colorless oil of MK-130 (519 mg, 73% 3 steps). Using similar procedure for the synthesis of YE-17 from YE-16, MK-130 (519 mg, 0.480 mmol) was converted to crude oil of MK-131 (620 mg, including silyl impurity). The crude product was used for next step without purification. Using similar procedure for the synthesis of YE-18 from YE-17, the crude MK-131 (620 mg, assumed to contain 0.480 mmol) was converted to crude oil of lactonized product. The crude product was purified by chromatography on silica gel (hexane/AcOEt:5/2) to afford colorless oil of MK-132 (88 mg, 30% 3 steps) and colorless oil of des-MOM form MK-133 (47 mg, 17% 3 steps) respectively. Using similar procedure for the synthesis of 509-HD-125 from 509-HD-119B, MK-133 (46 mg, 0.0812 mmol) was converted to crude pale yellow oil of enone (35 mg, <76%). The crude enone was used for next step without purification. Using similar procedure for the synthesis of NF0531 from NF0530, the crude enone (35 mg, assumed to contain 0.0620 mmol) was converted to colorless crystals of MK-134 (20 mg, 55% 2 steps). Using similar procedure for the synthesis of NF0675 from TM-13, MK-134 (7 mg, 0.0157 mmol) was converted to colorless crystals of NF2557 (5.1 mg, 80%) and colorless solid of NF2558 (1.5 mg, 19%) as compound purified, respectively. Synthesis of ER-805053 Step 1 To a solution of methyl 2,4-dihydroxy-6-methylbenzoate (10.9 g, 0.0598 mol) in dry N,N-dimethylformamide (100 mL) were added imidazole (4.48 g, 0.0658 mol) and tert-butyldiphenylsilyl chloride (15.6 mL, 0.0658 mol). The reaction mixture was stirred at room temperature for 24 hours then worked up in the usual manner. The crude product was purified chromatographically to give compound 557-MS-232 (12.33 g, 49%). Step 2 To a solution of compound 557-MS-232 (9.08 g, 0.021 mol) in dry tetrahydrofuran (100 mL), at 0° C. under an inert atmosphere, was added sodium hydride (55% dispersion in oil; 1.88 g, approximately 0.042 mol). The reaction mixture was stirred at 0° C. for 30 minutes then treated with methoxymethyl chloride (3.28 mL, 0.042 mol). The reaction mixture was allowed to warm to room temperature overnight. The usual work up gave compound 557-MS-233 (9.17 g, 91%). Step 3 To a solution of freshly prepared lithium diisopropylamide (16.2 mmol) in dry tetrahydrofuran (15 mL), at −78° C. under an inert atmosphere, was added drop wise a solution of compound 557-MS-233 (3.93 g, 9.01 mmol) in dry tetrahydrofuran (15 mL). The reaction mixture was stirred at −78° C. for 45 minutes then a solution of diphenyl diselenide (2.53 g, 8.11 mmol) in dry tetrahydrofuran (15 mL) was added rapidly (down the inside walls of the reaction vessel so as to pre-chill the diphenyl diselenide solution). The reaction mixture was stirred at −78° C. for 45 minutes then treated drop wise with a 2M solution of acetic acid in diethyl ether (8 mL). The reaction mixture was then worked up in the usual manner. Chromatographic purification gave compound 557-MS-262 (4.57 g, 82%). Step 4 A solution of compound 557-MS-262 (6.29 g, 0.01 mol) in ethanol (100 mL) was treated with powdered sodium hydroxide (4 g, 0.1 mol) and heated under reflux for 30 minutes. The reaction mixture was cooled to 5° C. and acidified to pH6.5 with 1M HCl. The majority of the ethanol was then removed by concentration in vacuo and resultant residue partitioned between water and ethyl acetate. The organic layer was washed sequentially with saturated aqueous sodium bicarbonate solution and water. Drying etc gave a crude residue, which was purified chromatographically to give compound 611-MS-84 (3.3 g, 87%). Step 5 A solution of compound 611-MS-84 (1.65 g, 4.33 mmol) in dichloromethane (20 mL), at 0° C., was treated sequentially with pyridine (0.385 mL, 4.76 mmol) and trimethylsulfonic anhydride (0.764 mL, 4.54 mmol). After 25 minutes at 0° C. the reaction mixture was warmed to room temperature and worked up in the usual manner to give compound 611-MS-88 (1.5 g, 68%). Step 6 A solution of compound 611-MS-88 (1.5 g, 2.92 mmol) in 1,2-dimethoxyethane (25 mL) was heated under reflux, under an inert atmosphere, in the presence of phenyl boronic acid (713 mg, 5.84 mmol), palladium tetrakistriphenylphosphine (335 mg, 0.29 mmol), lithium chloride (247 mg, 5.84 mmol) and 2M aqueous sodium carbonate (25 mL). After 2 hours the reaction mixture was cooled to room temperature. The usual work up, followed by chromatographic purification gave compound 611-MS-91 (1.004 g, 78%). Step 7 A mixture of compound 611-MS-91 (512 mg, 1.16 mmol) and compound 554-RB-260 (635 mg, 1.05 mmol) was dissolved in a solution of 10% hexamethylphosphoramide in tetrahydrofuran (8.8 mL) and cooled to −78° C. under an inert atmosphere. A 0.5M solution of lithium bis-(trimethylsilyl) amide in tetrahydrofuran (2.52 mL, 1.26 mmol) was then added drop wise over approximately 30 minutes. The reaction mixture was stirred at −78° C. for 2 hours, then warmed to 0° C. The intermediate crude product was worked up in the usual manner and then dissolved in dichloromethane (15 mL) and cooled to 0° C. A solution of approximately 55% meta-chloroperbenzoic acid (724 mg) in dichloromethane (12 mL) was added. After 30 minutes triethylamine (1.6 mL) was added and the reaction mixture was worked up in the usual manner. Chromatographic purification gave compound 611-MS-102 (560 mg, 64%). Step 8 A solution of compound 611-MS-102 (560 mg, 0.738 mmol) in tetrahydrofuran (5 mL) was treated with a 1M solution of tetrabutylammonium fluoride in tetrahydrofuran (0.74 mL, 0.74 mmol). The usual work up, followed by chromatographic purification gave compound 611-MS-104 (340 mg, 71%). Step 9 A solution of compound 611-MS-104 (340 mg, 0.527 mmol) in ethanol (10 mL) was treated with powdered sodium hydroxide (211 mg, 5.27 mmol) and heated under reflux. Cooling and acidification to pH6.5, followed the usual work up gave crude compound 611-MS-106, which was used in the next stage without purification. Step 10 A solution of crude compound 611-MS-106 (assumed to contain 0.176 mmol) in dichloromethane (20 mL) was added slowly to a heated solution (40° C.) of 2-chloro-1-methylpyridinium iodide (449 mg, 1.76 mmol) and tri-n-butylamine (0.42 mL, 1.76 mmol) in dichloromethane (60 mL). The usual work up and chromatographic purification gave compound 611-MS-108 (3 mg, 3% from compound 611-MS-104). Step 11 A solution of compound 611-MS-108 (3 mg, 5.9 μmol) in dichloromethane (500 μL) was treated with pyridinium chlorochromate (20 mg, 88 μmol) in the presence of powdered 4 Å molecular sieves (20 mg). The reaction mixture was stirred vigorously for 4 hours at room temperature. Basification with excess triethylamine, followed by chromatographic purification gave compound 611-MS-118 (1.4 mg, 48%). Step 12 A solution of compound 611-MS-118 (1.4 mg, 2.76 μmol) in a mixture of acetonitrile (400 μL) and dichloromethane (100 μL) was treated with 48% aqueous hydrofluoric acid (100 μL), and stirred at room temperature for 30 minutes. The usual work up followed by chromatographic purification gave compound ER-805053 (1.0 mg; 83%). Tf2O (0.42 ML, 2.5 mmole) was added to a solution of ER-805102 (0.95 g, 1.7 mmole) and Et3N (0.58 ML, 4.2 mmole) in 20 ML of CH2Cl2 at 0° C. The mixture was stirred for 10 min before the addition of aq. NaHCO3. Aq. layer was extracted twice with CH2Cl2. The organics were concentrated and passed through a short plug of silica gel (20% EtOAc/Hex). The triflate thus obtained was added Pd(OAc)2 (19 mg, 0.08 mmole), BINAP (64 mg, 0.10 mmole) and Cs2CO3 (0.66 g, 2.0 mmole) in dry box. Benzophenone imine (0.32 ML, 1.9 mmole) and 30 ML of toluene was added under nitrogen before the mixture was heated at 90° C. for 14 h. Then it was diluted with EtOAc and brine. Organic layer was dried (Na2SO4) and concentrated. Crude material was dissovled in 8 ML of MeOH and 5 ML of THF before the addition of NaOAc (0.56 g, 6.8 mmole) and NH2OH.HCl (0.24 g, 3.4 mmole) at RT. After 50 min, EtOAc and brine was added. Organics were dried (Na2SO4), concentrated and purified with silica gel (30 EtOAc/Hex) to produce crystalline 629-ys-190 (0.88 g, 1.6 mmole). LiHMDS (1N in THF, 8.0 mmole) was added slowly to a solution of 629-ys-190 (0.88 g, 1.6 mmole) in 16 ML of THF at −55 to −50° C. The mixture was stirred at −45° C. for 5 min before the addition of BOC2O (0.38 ML, 1.8 mmole). After the mixture was stirred at −40° C. for 30 min, MeI (0.60 ML, 9.6 mmole) was added. After 10 min the mixture was warmed up to RT for 2 h. Recooled to −35° C., the solution was added 72 ML of 1N NaOH and 48 ML of EtOH. After it was heated at 45° C. for 12 h, the mixture was diluted with 100 ML of water and 150 ML of CH2Cl2. Aq. layer was extracted twice with 50 ML of CH2Cl2. Organics were concentrated and purified by silica gel chromatography (30% EtOAc/Hex) to furnish colorless gel 629-ys-192 (0.58 g, 1.0 mmole). The suspension of 629-ys-192 (0.40 g, 0.71 mmole), PCC (0.46 g, 2.1 mmole), 4 A molecular sieves (0.50 g), and celite (0.50 g) in 8 ML of CH2Cl2 was stirred at RT for 2.5 h before the addition of Et3N (0.29 ML, 2.1 mmole). After 5 min, 30 ML of Et2O was added and the mixture was filtered. The filtrate was concentrated and passed through a short silica gel plug (75% EtOAc/Hex) to provide colorless crystalline 629-ys-198 (0.35 g, 0.63 mmole). TFA (5% water, 6 ML) was added slowly to the solution of 629-ys-198 (0.35 g, 0.63 mmole) in CH2Cl2 at −35° C. The mixture was stirred at −20° C. for 1 h before the addition of sat. aq. NaHCO3 (PH ˜8) and CH2Cl2. Aq. layer was extracted twice with CH2Cl2. The organics were dried (Na2SO4), concentrated and purified by silica gel chromatography (75% EtOAc/Hex) to afford ER-805940 (124 mg, 0.33 mmole) in 25% overall yield over 8 steps. Synthesis of ER806201: 1) Synthesis of Triflate: To a solution of trihydroxy-benzoic acid (120 g) in 350 mL of acetone, 500 mL of TFA (tri-fluoro acetic acid) was added at 40° C. under stirring. After 1 h at that temperature, 300 mL of TFAA (tri-fluoro acetic anhydride) was added. The mixture was heated for 3 days. The mixture was distilled under house vacuum at 50° C. to remove solvents. The crude product was then diluted with 4 L of CH2Cl2, washed with water, sat. NaHCO3, dried and concentrated to give 85 g of semi pure solid. The solid was crystallized in EtOH (1 g/2 mL) to give 20 g of pure crystal. The mother liq. was then purified by silica gel with CH2Cl2 to 5% MeOH/CH2Cl2 to give 55 g of additional product, 531-YW-184. To a solution of 531-YW-184 (50 g, 238 mmol) in 156 mL of pyridine, Tf2O (100 mL, 595 mmol, 2.5 eq.) was added at 0° C. in 3 h. Then it was warmed to rt and stirred for 2 h. The reaction mixture was diluted with water. The mixture was filtered. The solid on the filter was washed with water, dried under vac to give a solid, 531-YW-187 (100 g). To a mixture of ditriflate, 531-YW-187 (45.35 g), BocNH2 (17.22 g), Pd2(dba)3 (4.38 g) and Pt—Bu3 (4.38 g) in 150 mL of toluene, tri-ethylamine (26.92 mL) was added. The reaction was heated under inert atmosphere at 80° C. for 4 h. The crude reaction mixture was cooled and filtered through a pad of celite. The filtrates were concentrated and purified on silica gel with Hex/EtOAc, 9:1, 4:1 to give 28.3 g of desired product, 531-YW-194. 2) Synthesis of Olefin: 792-ANDI-114A was prepared analogously to the preparation of 554-RB-240 with appropriate protecting groups, i.e. the MPM ether was replaced with TBDPS ether. To a solution of 792-ANDI-114A (165.9 g, 265 mmol) in 2.65 L of Hexanes, quinoline (2.65 mL) and Lindlar catalyst (28.2 g, 13.3 mmol, 0.05 eq.) were added. The mixture was degassed repeatedly under vacuum and recharged with nitrogen (3×) and hydrogen (3×). then it was set the intake of hydrogen on hydrogenator to 0.114 mol. The reaction was monitored by MS/1H NMR. After overnight, the suspension was filtered and recharged with catalyst and hydrogen. After 3 days, the reaction was filtered through celite. The filtrates were concentrated and purified on silica gel to give 104 g, 772RB 147B as an oil. To a solution of 772RB147B (67.4 g, 107 mmol), MPMCl (21.9 mL, 161 mmol, 1.5 eq.) and a 1M solution of NaHMDS in THF (140 mL, 140 mmol, 1.3 eq.) was added slowly with syringe pump in 2 h at 0° C. After stirred for 1.5 h at 0° C., it was quenched with sat. NH4Cl at 0° C. and warmed to rt. The mixture was extracted with EtOAc (3×). The extracts were washed with water, brine, dried and concentrated. The crude product was purified on silica gel to give 772RB162 quantitatively. 772RB162 (119.6 g, 160 mmol) was dissolved in a mixture of 10% NaOH in methanol (3.2 L, v/v) and 3.5 mL of water. The reaction was heated at 45° C. for 48 h. After cooled, it was diluted with 9 L of CH2Cl2, washed with water (2×), Sat NH4Cl, brine, dried and concentrated. The crude product was purified on silica gel with 10%-25-35% of EtOAc/Hexanes to give the 772RB164 (78 g, 96% yield). To a solution of (COCl)2 (25 mL, 295 mmol, 2 eq.) in CH2Cl2 (870 mL), DMSO (41.85 mL, 590 mmol, 4 eq.) was slowly added at −78° C. After 30 min stirred at that temperature, a solution of 772RB 164 (75 g, 147.4 mmol) in CH2Cl2 (160 mL) was added in 45 min. After stirred at −78° C. for 45 min, Et3N (82.2 mL, 590 mmol, 4 eq.) was added at that temperature. After stirred for 30 min, it was warmed to 0° C. for 1.5 h. The reaction was quenched with 750 mL of saturated NH4Cl and extracted with EtOAc (3×). The extracts were dried and concentrated. The crude product was re-suspended with 2.5 L of 1:1 solution of EtOAc/Hexanes, washed with water (3×), brine, dried and concentrated. The crude product 772RB 169 was used directly for next step. To a suspension of Ph3PCH3Br (115.8 mL, 324.3 mmol, 2.2 eq.) in a mixture of THF (870 mL) and DMSO (433.6 mL), n-BuLi (184.3 mL of 1.6 M solution, 294.8 mmol, 2 eq.) was added at 0° C. After stirred for 1 h, a solution of 772RB 169 (74.7 g in 175 mL of THF, 147.4 mmol) was added at 0° C. After 30 min, it was warmed to rt. After 2 h, it was quenched with 1.1 L of Sat. NHCl4 and extracted with EtOAc (3×). The extracts were washed with water, brine and dried and concentrated. The crude product was purified on silica gel with 5-10% EtOAc/Hexanes to give 66.5 g of 772RB170 as an oil (89% yield). 3) Coupling of Triflate and Olefin: To a mixture of 772RB168 (2.5 g, 4.95 mmol) and triflate (2.7 g, 6.4 mmol, 1.3 eq.), Pd2(dba)3 (1.36 g, 1.48 mmol, 0.3 eq.) was added in the dry box. After moved out of dry box, the mixture was suspended in 8.3 mL of dioxane and N-Methyl N-dicyclohexane amine (2.1 mL, 9.9 mmol, 2 eq.) was added. The reaction was heated at 100° C. for 12 h with vigorous stirring. After cooled, 6 g of celite was added and diluted with EtOAc. The mixture was filtered through a celite plug and rinsed with EtOAc. The filtrates were concentrated. The crude product was purified on silica gel with 10-20% EtOAc/Hexanes to give 3 g of pure 772RB 172 (76% yield). To a solution of 772RB173 (46.3 g, 58.16 mmol) in DMPU (291 mL), LiHMDS (116 mL of 1M solution in THF, 116.3 mmol, 2 eq.) was added at 0° C. After stirred for 40 min at that temperature, EtI (27.9 mL, 349 mmol, 6 eq.) was added. After 5 min, it was warmed to rt. After stirred 3 h, it was quenched with 1 L of Sat. NHCl4 at 0° C. The mixture was extracted with MTBE/Hexanes (1:1). The extracts were washed with brine, dried and concentrated. The crude product was purified on silica gel with 15-20% EtOAc/Hexanes to give 40 g of desired product, 77RB 175 (84% yield). To a solution of 772RB175 (48 g, 58.2 mmol) in 230 mL, a solution of TBAF (407 mL of 1M solution, 407 mmol, 7 eq.) and imidazole.HCl (21.3 g, 203.9 mmol, 3.5 eq.) was added. The reaction was heated at 60° C. for 72 h. After cooled to rt, it was quenched with sat. NH4Cl and was extracted with ether (3×). The organic layers were washed with water, brine, dried and concentrated. The crude product was purified on silica gel with 20-30% EtOAc/Hexanes to give 31.4 g (76% yield). To a solution of 772RB 177 (20.3 g, 28.6 g) in 3 L of THF, 0.5M KHMDS solution (60 mL, 30 mmol, 1.05 eq.) was added slowly by syringe pump in 120 min. After stirred for 5 min, it was quenched with 1.5 L of sat. NH4Cl. The mixture was extracted with ether (3×). The extracts were washed with brine, dried and concentrated. The crude product was purified on silica gel with 10-20%-50% EtOAc/Hexanes to give 14.2 g of desired product (76% yield). To a solution of 772RB178, 179 (19 g, 29.15 mmol) in DMF (194 mL), imidazole (4 g, 58.3 mmol, 2 eq.) and TBSCl (5.27 g, 35 mmol, 1.2 eq.) were added. After stirred overnight, it was quenched with a saturated solution of NaHCO3 and water. The mixture was extracted with EtOAc. The organic layer was washed with, water, brine, dried and concentrated. The crude product was purified on silica gel column to give 22 g (99% yield) of desired product. To a solution of 772RB 181 (22 g, 28.7 mmol) in a mixture of CH2Cl2 (230 mL) and H2O (57.4 mL), DDQ (9.78 g, 43 mmol, 1.5 eq.) was added at 0° C. After stirred for 2 h, it was quenched with 1 L of a 1:1 mixture of aq. saturated NaHCO3 and 10% aq. Na2S2O3. The mixture was extracted with 3×1 L of ether. The extracts were washed with brine, dried and concentrated. The crude product was purified on silica gel to give 18.1 g of pure product. To a solution of 772RB182 (18 g, 27.9 mmol) in 279 mL of CH2Cl2, dried 4 A molecular sieves (18 g) and PCC (18 g) were added. After stirred for 90 min, it was quenched with Et3N (19.45 mL). The reaction mixture was filtered through a plug of celite, the plug was rinsed with 75% EtOAc in hexanes (900 mL). The filtrates were concentrated. The crude product was purified on silica gel column with 10-15-20% EtOAc/Hexanes to give 14.6 g (81%) pure product. In a 2 L flask, 772RB 183 (8.5 g, 13.2 mmol) was dissolved in CH2Cl2 (82.5 mL) and the mixture was cooled to 0° C. Then a solution of 5% H2O/TFA (4.1/78.1 mL) was added slowly (−30 min) and the mixture was stirred at 0° C. for 14.5 hrs. The reaction was monitored by TLC. Reaction mixture was diluted with CH2Cl2 at 0° C. Reaction was quenched with a solution of NaHCO3 in water (˜1.2 eq compare to TFA). Reaction was cooled to r.t. Extract 3× with CH2Cl2, dried with Na2SO4, Filtered, and concentrated. Chromatography on Si-Gel, 50-60-75% EtOAc/hexane gave ER-806201: 4.8 g, 93% yield. Preparation of C5-F-Enone Series: Preparation of ER803030: 496-SG-026B To a magnetically stirred solution of 2-fluoro-2-phosphonoacetic acid triethylester (8 g, 33.3 mmol) in DMF (2.7 mL) at 0° C. was introduced sodium hydride (0.8 g, 33.3 mmol). After 1 hour of stirring at 0° C., a solution of aldehyde (3.47 g, 16.65 mmol) in THF (14 mL) was added. After 2.5 hours of stirring at 0° C., a saturated solution of ammonium chloride was added. The reaction mixture was diluted with water and extracted with ethyl acetate. The crude product was purified by flash chromatography eluting with n-hexane/ethyl acetate: (20/1) to afford 496-SG-026B (3.58 g, 72% yield). 496-SG-027B To a magnetically stirred solution of 496-SG-026B (3.58 g, 12.1 mmol) in dichloromethane (136 mL) at 0° C. was introduced DIBAL-H (1M solution in dichloromethane, 30.2 mL, 30.2 mmol). After 0.5 hour of stirring at 0° C., the reaction mixture was warmed-up to room temperature and stirred an additional 10 minutes. The reaction was cooled back to 0° C. and a saturated solution of ammonium chloride was added (5.4 mL). After 15 minutes of stirring, the reaction mixture was diluted with ether and stirred 30 minutes at room temperature. The resulting suspension was filtered and the solid washed with ether. The solvent was removed by evaporation. The crude product was purified by flash chromatography eluting with hexanes/ethyl acetate: (3/1) to afford 496-SG-027B (2.68 g, 87% yield). 496-SG-028B To a magnetically stirred solution of 496-SG-027B (2.68 g, 10.55 mmol) in dichloromethane (53.2 mL) cooled to 0° C. (Ice/water, external thermometer) was introduced DMSO (2.6 mL, 36.94 mmol) followed by P2O5 (5.24 g, 36.94 mmol). After one hours of stirring at room temperature the reaction was cooled down to 0° C., and triethylamine (7.4 mL, 52.72 mmol) was added. After 20 minutes of stirring at room temperature the reaction mixture was diluted with water and extracted with dichloromethane. The solvent was removed by evaporation. The crude product was purified by flash chromatography eluting with hexanes/ethyl acetate: (3/1) to afford 496-SG-028B (2.66 g). 496-SG-022B To a magnetically stirred solution of 3-butyn-1-ol (3.0 g, 42.8 mmol) and imidazole (14.6 g, 214 mmol) in dichloromethane (113 mL) at room temperature was introduced tert-butyldiphenylsilyl chloride (11.7 mL). After 18 hours of stirring at room temperature the reaction was diluted with water and extracted with ether. The solvent was removed by evaporation. The crude product was purified by flash chromatography eluting with hexanes/ethyl acetate: (2/1) to afford 496-SG-022B (13.7 g). 496-SG-029B To a magnetically stirred solution of 496-SG-022B (6.5 g, 21.8 mmol) in THF (208 mL) at −78° C. was introduced n-BuLi (2.5 M in hexane, 8.4 mL, 21.1 mmol). After 1 hours of stirring −78° C., a solution of 496-SG-028B (2.66 g, 10.55 mmol) in THF (128 mL) was added at −78° C. After 15 minutes of stirring at −78° C., the reaction was quenched by addition of a saturated solution of ammonium chloride. The reaction mixture was diluted with water and extracted with ethyl acetate. The solvent was removed by evaporation. The crude product was purified by flash chromatography eluting with hexanes/ethyl acetate: (5/1) to afford 496-SG-029B (4.27 g, 70%). 496-SG-30A A solution of 496-SG-29B (4.27 g, 7.61 mmol) and quinoline (0.033 mL) in hexanes with a catalytic amount of Lindlar catalyst was magnetically stirred for 1 h under hydrogen atmosphere. The reaction mixture was filtered through celite, and the solvent removed by evaporation to afford 496-SG-30A (4.28 g). The crude was used in the next step without purification. 496-SG-031B To a magnetically stirred solution of 496-SG-030A (4.28 g7.61 mmol), triethylamine (2.7 mL, 19.3 mmol) and a catalytic amount of DMAP in dichloromethane (267 mL) at room temperature, was introduced benzoyl chloride (1.8 mL, 15.22 mmol). After 18 hours of stirring at room temperature the reaction mixture was diluted with a 0.1 M solution of sodium hydroxide and extracted with ether. The solvent was removed by evaporation. The crude product was purified by flash chromatography eluting with hexanes/ethyl acetate: (9/1) to afford 496-SG-031B (5.0 g, 98%). 496-SG-042B To a magnetically stirred solution of 496-SG-031B (3.79 g, 5.68 mmol) in acetone (57 mL) at room temperature, was introduced NMO (1.33 g, 11.36 mmol) and water (2.9 mL). The reaction mixture was cooled down to 0° C., and a solution (0.1 M in toluene) osmium tetraoxide was added. After 18 hours of stirring at room temperature the reaction was quenched with sodium thiosulfate and stirred at room temperature for 20 minutes. The reaction mixture was then diluted with water and extracted with ethyl acetate. The solvent was removed by evaporation. The crude product was purified by flash chromatography eluting with hexanes/ethyl acetate: (3/1) to afford 496-SG-042B (1.5 g, 39%). 496-SG-043B To a magnetically stirred solution of 496-SG-042B (2.16 g, 3.08 mmol) and 2,2-dimethoxypropane (1.93 mL, 15.4 mmol) in a 2/1 mixture acetone/dichloromethane (32 mL) at room temperature, was introduced camphosulfonic acid (0.8 g, 3.4 mmol). After 2 hours of stirring at room temperature the reaction was quenched with sodium bicarbonate and the reaction mixture was then diluted with water and extracted with ethyl acetate. The solvent was removed by evaporation. The crude product was purified by flash chromatography eluting with hexanes/ethyl acetate: (5/1) to afford 496-SG-043B (2.13 g, 93%). 496SG-45A To a magnetically stirred solution of 496-SG-043B (2.14 g, 2.89 mmol) in THF (52 mL) at 0° C., was introduced a 1 M solution of TBAF in THF buffered with 0.5 equivalent of imidazole hydrochloride (7.2 mL, 7.2 mmol). After 1 hour of stirring at room temperature the reaction was diluted with water and extracted with ether. The solvent was removed by evaporation to afford 496SG-45A (1.39 g). The crude product was used in the next step without purification. 496-SG-046B Using a procedure analogous to that described for the synthesis of 343-YW-281, 496-SG-045A (1.4 g, 2.79 mmol) was reacted with triphenylphosphine (1.24 g, 4.74 mmol), DEAD (0.465 mL, 2.93 mmol) and methyl iodide (0.225 mL, 3.63 mmol) in toluene (46.5 mL). The crude product was purified by flash chromatography eluting with hexanes/ethyl acetate (5/1 and then 3/1) to afford 496-SG-046B (1.46 g, 85% yield). 496-SG-048B Using a procedure analogous to that described for the synthesis of ER-803027 (stage 447-JCH-273B), 496-SG-046B (1.46 g, 2.38 mmol) was reacted with intermediate 509-HD-213 (178 g, 3.00 mmol) and LiHMDS (1M solution in THF, 3.6 mL, 3.6 mmol) in a 10/1 THF/HMPA mixture (17.3 mL) to afford after purification by flash chromatography eluting with hexanes/ethyl acetate: 496-SG-048A. Using a procedure analogous to that described for the synthesis of 447-JCH-275B, 496-SG-048A was reacted with MCPBA (0.75 g, 2.38 mmol) and triethylamine (2 mL, 14.3 mmol). The crude product was purified by flash chromatography eluting with hexanes/ethyl acetate (5/1 and then 3/1) to afford 496-SG-048B (1.38 g, 72% yield). 496-SG-052B 496-SG-48B (1.28 g, 1.58 mmol) was reacted with DDQ (0.43 g, 1.89 mmol) in a 2/1-dichloromethane/water mixture (68 mL). The crude product was purified by flash chromatography eluting with hexanes/ethyl acetate (5/1 and then 3/1) to afford 496-SG-052B (0.88 g, 81% yield). 496-SG-053A Using a procedure analogous to that described for the synthesis of ER-803064 (stage 509-HD-116), 496-SG-052B (0.88 g, 1.28 mmol) was reacted with TBAF (1.0 g, 3.82 mmol) in THF (2.4 mL) to afford 496-SG-053A (0.74 g). The crude product was used in the next step without purification. 496-SG-058B 496-SG-053A (0.20 g, 0.34 mmol) was reacted with triphenylphosphine (0.107 g, 0.408 mmol) and DEAD (0.064 mL, 0.408 mmol) in THF (90 mL). The crude product was purified on silica gel eluting with n-hexane/ethyl acetate: (2/1) to afford 496-SG-058B (0.12 g, 62% yield). 496-SG-057A, 496-SG-057B, 496-SG-057C Using a procedure analogous to that described for the synthesis of ER-803064, 496-SG-058B (0.048 g, 0.084 mmol) was reacted with sodium hydroxide (1M solution, 0.42 mL, 0.42 mmol) in a 2/1 mixture ethanol/THF (1 mL). The crude product was purified on silica gel (TLC) eluting with hexanes/ethyl acetate: (1/1) to afford 496-SG-057A (0.011 g), 496-SG-057B (0.013 g), 496-SG-057C (0.01 g). 496-SG-061A, 496-SG-061B, 496-SG-061C. 496-SG-057A (0.01 g, 0.021 mmol), 496-SG-057B (0.012 g, 0.026 mmol), 496-SG-057C (0.0095 g, 0.02 mmol) were separately reacted with Dess-Martin reagent: (0.055 g, 0.129 mmol), (0.065 g, 0.154 mmol), (0.052 g, 0.122 mmol) and sodium carbonate (0.027 g), (0.032 g), (0.026 g) in dichloromethane (1.5 mL), (1.8 mL), (1.4 mL). After work-up, each reaction mixture was purified on silica gel (TLC) eluting with hexanes/ethyl acetate: (2/1) to afford respectively 496-SG-061A (0.009 g), 496-SG-061B (0.006 g), and 496-SG-061C (0.011 g). 496-SG-067A/ER-803029, 496-SG-067B/ER-803026, 496-SG-067C/ER-803030. Using a procedure analogous to that described for the synthesis of ER-803064 (final step), 496-SG-061A (0.007 g, 0.016 mmol), 496-SG-061B (0.004 g, 0.009 mmol), and 496-SG-061C (0.013 g, 0.027 mmol) were separately reacted with HF 48%: (0.37 mL), (0.21 mL), (0.63 mL) in acetonitrile/dichloromethane (4/1): (1.9 mL), (1.0 mL), (3 mL). After work-up, each reaction mixture was purified on silica gel (TLC) eluting with hexanes/ethyl acetate: (2/1) to afford respectively 496-SG-067A/ER-803029 (0.006 g), 496-SG-067B/ER-803026 (0.002 g), and 496-SG-067C/ER-803030 (0.006 g). ER803916 To a solution of (EtO)2POCHFCO2Et (5.6 mL) in a mixture of THF and DMF (100 and 25 mL), NaH (1.2 g) was added at 0° C. After stirred at 0° C. for 1 h, it was cooled to −40° C. with dry ice-acetone bath. A solution of aldehyde (3.5 g) in THF (20 mL) was added drop wise. Then, the reaction was warmed up to rt overnight. It was quenched with sat. NH4Cl, and extracted with EtOAc (2×). The organic layers were washed with brine, dried and concentrated under vacuum. The crude product was purified on silica gel with 15:1, Hexanes:EtOAc to give 3.5 g of desired product, 531-yw-11, which gave satisfactory1H NMR. The cis:trans ratio of the two isomers was 12:1 based on1H NMR. To a solution of ester, 531-YW-11, (3.5 g) in ether (300 mL), a solution of DIBAL-H (15 mL) was added at 0° C. After 1 h at 0° C., it was quenched with 4 mL of MeOH, and 15 mL of aq. Sat. Na2SO4. After stirred for 5 hr at rt, it was filtered through a pad of celite, and the pad was washed with ether (2×). The combined filtrates were concentrated to dryness to give 3.5 g of crude product, 531-YW-12. To a solution of alcohol (5.6 g) and MPMOTCI (24 g) in 120 mL of Et2O, a solution of TfOH (20 mL, 0.3 mL dissolved in 25 mL of Et2O) was added in 4 h. Then it was quenched with Sat. NaHCO3 and extracted with Et2O (2×). The organic layers were washed with brine, dried and concentrated. The crude solid was suspended with pentanes. The precipitation was filtered. The filtrates were concentrated to give 15 g of crude product. It was purified on silica gel with 8:1, Hexanes/EtOAc to give 12.7 g of the desired product, 531-YW-14 To a solution of (COCl)2 (5 mL) in 250 mL of CH2Cl2, DMSO (10 mL) was added at −78° C. After 15 min at −78° C. a solution of 531-YW-12 (3.8 g) in 50 mL of CH2Cl2 was added at that temperature. After 30 min at −78° C., Et3N (15 mL) was added, the reaction was warmed to 0° C. The reaction was quenched with sat. NH4Cl, extracted with EtOAc. The organic layer was washed with brine, dried and concentrated. The crude product was passed through a short silica gel pad with Hexanes/EtOAc, 8:1 to give 4.1 g of slightly impure product. To a solution of acetylene, 531-YW-14 (3.56 g, 18.7 mmol, 1 eq.) in 200 mL of THF, a solution of n-BuLi (12.9 mL, 20.58, 1.1 eq., 1.6 mmol) was added at −78° C. The reaction was warmed to 0° C. for 5 min (by internal temperature). Then it was cooled back to −78° C. A solution of aldehyde, 531-YW-12 (9.8 mmol, 0.5 eq.) in 50 mL of THF was added. The reaction was allowed to be warmed up to 0° C. in 1 h. It was quenched with sat. NH4Cl and purified as described before to give the desired acetylenic alcohol, 531-YW-15. The starting material (531-YW-15, 5.7 g, 10.2 mmol) was dissolved in 200 mL hexanes. Quinoline (500 μL) and Lindlar catalyst (1.0 g) were added. The reaction mixture was stirred at room temperature under H2 balloon atmosphere for 1 h. Then the catalyst was filtered away. Quantitative amount of 509-HD-134 was obtained as colorless oil. 509-HD-134 (5.7 g, 10.2 mmol) was dissolved in 100 mL dichloromethane at room temperature. Triethylamine (3.5 mL, 25.5 mmol), benzoyl chloride (2.4 mL, 20.4 mmol) and catalytic amount of DAMP were added, respectively. After stirring for 1 h, 0.1N sodium hydroxide solution was added and the reaction mixture was extracted with ethyl acetate. The crude product was purified on silica gel column, giving 509-HD-135 as colorless oil in 77% yield. 509-HD-135 (5.2 g, 7.64 mmol) was dissolved in acetone and water (1:0.05) at 0° C. 4-Methylmorpholine N-oxide (1.8 g, 15.28 mmol) and solution of osmium tetraoxide (0.1M, 7.6 mL) in toluene were added. The reaction mixture was warmed up to room temperature and stirred for 20 h. It was quenched with 10% sodium thiosulfate in sat. sodium bicarbonate aqueous solution, and extracted with ethyl acetate. After purification on silica gel column, 509-HD-138 was obtained in 93% yield. 509-HD-138 (5.1 g, 7.13 mmol) was dissolved in 80 mL of dichloromethane. 2-Methoxypropene (1.4 mL, 14.26 mmol) and catalytic amount of pyridinium p-toluenesulfonate were added. After stirring at room temperature for 20 min, the reaction mixture was quenched with sat. sodium bicarbonate solution and extracted with dichloromethane. After purification on silica gel column, 509-HD-139 was obtained in 90% yield. 509-HD-139 (2.55 g, 3.38 mmol) was dissolved in the mixture of 30 mL of dichloromethane and 15 mL of water. 2,3-Dichloro-5,6-dicyano-1,4-benzoquinone (844 mg, 3.72 mmol) was added. After stirred at room temperature for 1 h, the reaction mixture was quenched with sat. sodium bicarbonate solution and extracted with ethyl acetate. After purification on silica gel column, 509-HD-140 was obtained as white foam in 98% yield. 509-HD-140 (1.86 g, 2.93 mmol) was dissolved in 30 mL of toluene at room temperature. Triphenylphosphine (1.31 g, 4.98 mmol) was added, followed by methyl iodide (236 μL, 3.80 mmol) and diethyl azodicarboxylate (508 μL, 3.22 mmol). After stirring for 10 min, the reaction mixture was triturated with toluene. After purification on silica gel column, 509-HD-141 was obtained as colorless oil in 96% yield. 509-HD-141 (2.03 g, 2.73 mmol) and 509-HD-213 (2.84 g, 5.46 mmol) were dissolved in a mixture of 35 mL of THF/HMPA (10/1) at −78° C. The solution of LiHMDS (1N, 4.6 mL) in hexanes was added. The reaction mixture was stirred for 30 min, and then it was quenched with sat. ammonium chloride and extracted with ethyl acetate. After purification on silica gel column, 509-HD-143 was obtained in 85% yield. 509-HD-143 (2.85 g, 2.59 mmol) was dissolved in 50 mL of dichloromethane at 0° C. 3-Chloroperbenzoic acid (50%, 1.8 g) was added. After stirring at 0° C. for 20 min, triethylamine (2.2 mL, 15.5 mmol) was added, then the reaction mixture was warmed up to room temperature and stirred for 30 min. It was quenched with 10% sodium thiosulfate in sat. sodium bicarbonate aqueous solution, and extracted with dichloromethane. After purification on silica gel column, 509-HD-144 was obtained as white foam in 63% yield. 509-HD-144 (1.33 g, 1.41 mmol) was dissolved in 10 mL of THF. The THF solution of TBAF buffered with imidazole.HCl (1N, 14.1 mL) was added. The reaction mixture was heated at 50° C. for 72 h. It was diluted with Et2O and washed with H2O. After purification on silica gel column, 509-HD-150 was obtained as pale yellow foam in 95% yield. 2-Chloro-1-methylpyridinium iodide (1.03 g, 4.02 mmol) and n-Bu3N (958 μL, 4.02 mmol) were dissolved in 80 mL of dichloromethane and heated to reflux. The solution of 509-HD-150 (807 mg, 1.34 mmol) in 50 mL of dichloromethane was added slowly. The reaction mixture was heated for 30 min. It was washed with 0.02N hydrochloric acid, sat. sodium bicarbonate solution and brine, respectively. After purification on silica gel column, 509-HD-152 was obtained in 50% yield. 509-HD-152 (390 mg, 0.67 mmol) was dissolved in 10 ml ethyl alcohol. Sodium hydroxide (1N, 6.7 mL) solution was added. The reaction mixture was stirred for 1 h at room temperature. It was diluted with H2O, extracted with EtOAc. After purification on silica gel column, 134 mg of the major desired single isomer 509-HD-153C was obtained as colorless oil. 509-HD-153C (94.4 mg, 0.20 mmol) was dissolved in 8 mL of dichloromethane. Molecular sieve (4 A, 423 mg) and PCC (423 mg, 2.0 mmol) were added. The reaction mixture was stirred for 12 h at room temperature. After passing through celite, 509-HD-158 was obtained as colorless oil in 52% yield. 509-HD-158 (49.2 mg, 0.10 mmol) was dissolved in 1.0 mL of dichloromethane. Then hydrofluoric acid (6N, 4 mL) was added. The reaction mixture was stirred at room temperature for 30 min. It was diluted with more dichloromethane, washed with water and sat. sodium bicarbonate solution. After purification on a plug of silica gel, ER803916 was obtained as a white solid in 81% yield. Preparation of Intermediate for the Synthesis of ER806821: The C14-TMS-ethyl intermediate was prepared from C4-TMS ethyl selenide in analogous to the above sequences in similar yields. The phenol was prepared using previous describe conditions for the C14 modification series: Preparation of ER806821: To a solution of phenol (18.8 g, 33 mmol) in CH2Cl2 (300 mL) at 0° C. was added Et3N (11.5 mL, 82.5 mmol). Then, Tf2O (8.3 mL, 49.5 mmol) in CH2Cl2 (35 mL) was added dropwise over a period of 60 min and the reaction was stirred for an additional 30 min. The reaction was quenched at 0° C. with a saturated solution of NaHCO3 (200 mL), extracted 3 times with 300 mL of CH2Cl2, the combined organic layers were dried with Na2SO4, the solid was filtered and the solvent was evaporated under vacuo. The crude compound was purified by flash chromatography on silica gel using 10% EtOAc/hexane as eluent to give 20.1 g (28.6 mmol, 87%) of 640-RB-297 as white foam. In a glove box, under N2, a 200 mL round-bottom flask equipped with a magnetic stirring bar was charged with 640-RB-297 (3.0 g, 4.27 mmol), N-Methyl-N-Boc amine (784 mg, 5.98 mmol), Tris(dibenzylideneacetone)-dipalladium (196 mg, 0.21 mmol), 2-di-t-butylphosphino-biphenyl (127 mg, 0.427 mmol), sodium-t-butoxide (574 mg, 5.98 mmol) and anhydrous toluene (100 mL). The flask was removed from the glove box and the mixture was stirred at 80° C. for 4 hrs. Then the mixture was allowed to cool to room temperature, 100 mL of a saturated solution of NH4Cl was added and the mixture was stirred for 1 hr. The mixture was extracted 3 times with 100 mL of EtOAc, the organic layers were mixed together, dried with Na2SO4, the solid was filtered through a short plug of Si-Gel, rinsed with EtOAc and the solvent was evaporated under vacuo. The crude compound was purified by flash chromatography on silica gel using 20% EtOAc/hexane as eluent to give 1.67 g (2.44 mmol, 57%) of 772-RB-20 as white foam. To a solution of 772-RB-20 (1.67 g, 2.44 mmol) in EtOH (75 mL) and THF (5 mL) was added a solution of 1N NaOH (24.4 mL, 24.4 mmol) and the resulting mixture was stirred at room temperature for 4 hrs. Then, EtOH was partially evaporated, the mixture was diluted with 500 ml EtOAc, washed with water (2×250 mL) and brine (250 mL), the organic phase was dried with Na2SO4, the solid was filtered and the solvent was evaporated. The crude compound was purified by flash chromatography on silica gel using 20-30% EtOAc/hexane as eluent to give 620 mg (1.07 mmol, 44%) of 772-RB-21A and 370 mg (0.64 mmol, 26%) of 772-RB-21B (undesired stereochemistry at C8-C9) as white foams. To a solution of 772-RB-21A (610 mg, 10.05 mmol) in CH2Cl2 (25 mL) was added pyridine (0.425 mL, 5.25 mmol) and then Dess-Martin periodinane (1.10 g, 2.6 mmol). The mixture was stirred at room temperature for 1.5 hr. It was then diluted with 100 mL of Et2O, the solid was removed by filtration through celite and rinsed with 100 mL of Et2O. The organic extract was dropped in a solution of 10% w/v Na2S2O4 in saturated NaHCO3 solution and stirred for 15 min. The phases were separated, the organic layer was washed with 100 mL of brine, dried with Na2SO4, the solid was filtered and the solvent was evaporated. The crude compound was purified by flash chromatography on silica gel using 30% EtOAc/hexane as eluent to give 560 mg (0.97 mmol, 92%) of 772-RB-22 as white foam. The other diastereomer 772-RB-21B was treated the same way to give 325 mg (0.56 mmol, 91%) of 772-RB-25 as white foam. A solution of 772-RB-22 (140 mg, 0.242 mmol) in CH2Cl2 was cooled down to −35° C. in a bath of dry ice/acetone. Then a solution of 5% H2O/TFA was added slowly. The mixture was warmed up slowly to −23° C. and stirred at this temperature for 50 min. Then the mixture was cooled down to −35° C., neutralized with a saturated solution of NaHCO3 and allowed to warm up to room temperature. The mixture was extracted 3 times with CH2Cl2, the combined organic layers were dried with Na2SO4, the solid was filtered and the solvent evaporated. This reaction was repeated 4 times. The crude compound was purified by flash chromatography on silica gel using 40% EtOAc/hexane as eluent to give 161 mg (0.42 mmol, 42%) of ER-806821. The other diastereomer 772-RB-25 was deprotected the same way and then the C8-C9 diol was isomerized by treatment with H2O and Silica gel in CH2Cl2 overnight to give 70 mg (0.178 mmol, 32% 2 steps) of ER-806821. Alternative Synthesis of ER806821 and Synthesis of ER807563: Synthesis of Acyclic Intermediate 20: Preparation of Aldehyde 29: Aldehyde 29 was prepared according to the procedure described previously. Preparation of Alkyne 30: To a solution of 3-butyn-1-ol (8.98 g, 128 mmol, 1.0 eq.) in dichloromethane (200 mL) was added triethylamine (23.5 mL, 167 mol, 1.3 eq.) and 4-(dimethylamino)-pyridine (25 mg, 0.205 mmol, 0.0016 eq.). The resulting mixture was cooled down to 0° C., added slowly trimethyl-acetyl chloride (17.5 mL, 141 mmol, 1.1 eq.). Once exotherm was over, the reaction mixture was allowed to warm up to rt. Stirred overnight at rt. A saturated solution of NaHCO3 was added, the biphasic mixture was stirred at rt during 1 h. Layers were separated. The aqueous one was extracted with dichloromethane. The organic layers were combined and dried with sodium sulfate, filtered and concentrated to dryness. The crude oil was purified by filtration on a pad of silica gel 230-400 Mesh using 20% ethyl acetate/hexane to elute. This procedure afforded alkyne 30, 17.3 g, pale yellow oil, 88% yield. Preparation of Carbinol 31: Zinc triflate (1.73 g, 7.31 mmol, 1.1 eq.) and (1S, 2R)-(+)-N-methylephedrine (1.43 g, 7.90 mmol, 1.2 eq.) were added to a 100 mL round bottom flask in a dry box. The flask was transferred to a fume hood for the addition of toluene (20 mL) and N,N-diisopropylethylamine (1.39 ml, 7.94 mmol, 1.2 eq.). The resulting mixture was stirred 2 h at rt at which point alkyne 30 (1.23 g, 7.97 mmol, 1.2 eq.) was added. Stirred 60 min at rt, added aldehyde 29 (1.73 g, 6.64 mmol, 1.0 eq.) and stirred at rt 40 min. Quenched by the addition of a saturated solution of ammonium chloride. Layers were separated, the aqueous one was extracted with Et2O, the organic layers were combined, washed with brine, dried with sodium sulfate, filtered and concentrated to dryness. The resulting crude oil was purified by chromatography on silica gel 230-400 Mesh using the following solvent gradient: 8%, 12% and 16% ethyl acetate/hexane to elute. This procedure afforded carbinol 31, 2.21 g, colorless oil, 80% yield, 94% de. Preparation of Alkene 32: To a solution of carbinol 31 (2.60 g, 6.27 mmol, 1.0 eq.) in n-heptane (70 mL) was added quinoline (0.16 mL, 1.33 mmol, 0.21 eq.) and Lindlar catalyst (640 mg). The resulting heterogeneous mixture was stirred at rt during 1.5 h under a positive atmosphere of hydrogen. After that time, the reaction was found complete. It was then filtered on Celite and the filtrate was washed with a dilute HCl solution (prepared by mixing HCl 1 N (6.0 mL) with water (24 mL)) to remove quinoline. Layers were separated, the organic one was washed with water (3×20 mL), dried with sodium sulfate, filtered and concentrated to dryness to afford alkene 32, 2.56 g, colorless oil, 98% yield. Preparation of Ether 33: To a solution of alkene 32 (2.40 g, 5.76 mmol, 1.0 eq.) and the trichloroimidate of 4-methoxybenzyl alcohol (2.05 g, 7.20 mmol, 1.25 eq.) in dichloromethane (7.5 mL) was added at rt pyridinium p-toluenesulfonate (74 mg, 0.29 mmol, 0.05 eq.). The reaction mixture was stirred at rt overnight. The reaction was found incomplete and in order to push it to completion it required sequential additions of extra pyridinium p-toluenesulfonate (74 mg, 0.29 mmol, 0.05 eq.) and trichloroimidate of 4-methoxy-benzyl alcohol (2.05 g, 7.20 mmol, 1.25 eq.) and prolonged stirring at 40° C. The reaction was quenched by adding a 1:1 mixture of THF and water (10 mL) and stirring was continued for 1 h at 40° C. Dichloromethane was added, layers were separated, the organic one was washed with NaHCO3, dried with sodium sulfate, filtered and concentrated to dryness. The crude oil was purified by chromatography on silica gel 230-400 Mesh using the following solvent gradient: 5% and 7.5% ethyl acetate/hexane to elute. This procedure afforded ether 33, 2.60 g, colorless oil, 84% yield. Preparation of Diol 34: To a solution of ether 33 (2.20 g, 4.10 mmol, 1.0 eq.) in THF (28 mL) was added a solution of 4-methyl morpholine N-oxide (990 mg, 8.20 mmol, 2.0 eq.) in water (28.0 mL). The mixture was added at rt a solution of osmium tetroxide (0.55 mL, 0.055 mmol, 0.013 eq., osmium tetroxide 0.1 M in water). The reaction mixture was stirred at rt during 19.5 h. Then it was quenched by the addition of 20 mL of a 1:1 solution of NaHCO3 saturated and 10% Na2S2O3 in water. Stirring was continued during 60 min at rt. Layers were separated; the aqueous one was extracted with ethyl acetate. The organic layers were combined, washed with brine, dried with sodium sulfate, filtered and concentrated to dryness. The resulting crude oil was purified by chromatography on silica gel 230-400 Mesh using the following solvent gradient: 15% and 40% ethyl acetate/hexane to elute. This procedure afforded diol 34, 2.06 g, colorless oil, 88% yield beta/alpha ratio>=10:1. Preparation of Acetonide 35: To a solution of diol 34 (2.17 g, 3.80 mmol, 1.0 eq.) and 2-methoxypropene (0.77 mL, 7.64 mmol, 2.0 eq.) in dichloromethane (40 mL) was added at rt pyridinium p-toluenesulfonate (10 mg, 0.039 mmol, 0.01 eq.). The reaction mixture was stirred at rt during 45 min and quenched by the addition of a saturated solution NaHCO3. Dichloromethane was added, layers were separated, the aqueous one was extracted with dichloromethane, the organic layers were combined, washed with brine, dried with sodium sulfate, filtered and concentrated to dryness. The crude oil was purified by chromatography on silica gel 230-400 Mesh using 10% ethyl acetate/hexane to elute. This procedure afforded acetonide 35, 1.80 g, a colorless oil, 78% yield. Preparation of Alcohol 36: To a solution of acetonide 35 (940 mg, 1.54 mmol, 1.0 eq.) in methanol (15 mL) at rt was added potassium carbonate (261 mg, 1.85 mmol, 1.2 eq.). The resulting mixture was stirred at 50° C. during 21 h, cooled down to rt, added n-hexane (30 mL), water (15 mL) and a saturated solution of NH4Cl (30 mL). Layers were separated, the aqueous one was extracted with ethyl ether/hexane, the organic layers were combined, dried with sodium sulfate, filtered and concentrated to dryness. The resulting crude oil was purified by chromatography on silica gel 230-400 Mesh using the following solvent gradient: 20%, 60% and 80% ethyl acetate/hexane to elute. This procedure afforded alcohol 36, 787 mg, a colorless oil, 97% yield. Preparation of Aldehyde 37: To a solution of dimethyl sulfoxide (0.44 mL, 6.19 mmol, 4.0 eq.) in dichloromethane (5.0 mL) at −78° C. was added oxalyl chloride (1.54 mL, 3.08 mmol, 2.1 eq., oxalyl chloride 2.0 M in dichloromethane). The resulting mixture was stirred 30 min at −78° C., added alcohol 36 (787 mg, 1.49 mmol, 1.0 eq.) in dichloromethane (2.0 mL to dissolve alcohol and 2×1.5 mL to rinse flask). The reaction mixture was stirred 60 min at −78° C., added triethylamine (0.87 mL, 6.22 mmol, 4.2 eq.), stirred 5 min at −78° C., then warmed up to rt and stirring was continued at that temperature during 50 min. At that point a saturated solution of NH4Cl was added. Layers were separated and the aqueous one was extracted three times with dichloromethane. The organic layers were combined, dried with sodium sulfate, filtered and concentrated to dryness. The crude oil was dissolved in a 1:1 mixture of ethyl acetate/hexane (100 mL) and washed with water (10 mL) three times, then washed with brine, dried with sodium sulfate, filtered and concentrated to dryness. The concentrated material was azeotroped with toluene and pumped to constant weight to afford aldehyde 37, 791 mg, a colorless oil, quantitative yield. Preparation of Alkene 20: To a suspension of methyltriphenylphosphonium bromide (549 mg, 1.51 mmol, 2.2 eq.) in dimethyl sulfoxide (1.0 mL) and THF (3.6 mL) at 0° C. was added n-butyllithium (0.855 mL, 1.37 mmol, 2.0 eq., n-butyllithium 1.6 M in THF). The resulting mixture was stirred 60 min at 0° C., added aldehyde 37 (359 mg, 0.684 mmol, 1.0 eq.) in THF (2.0 mL and 3×1.0 mL for rinse). Stirred 20 min at 0° C., allowed to warm up to rt and stirred 1.5 h at that temperature. Quenched by the addition of a saturated solution of NH4Cl, layers were separated and the aqueous one was extracted with a 1:1 mixture of ethyl ether/hexanes. The organic layers were combined, washed with brine, dried with sodium sulfate, filtered and concentrated to dryness. The resulting crude oil was purified by chromatography on silica gel 230-400 Mesh using the following solvent gradient: 5% and 6.5% ethyl acetate/hexane to elute. This procedure afforded alkene 20, 322 mg, a colorless oil, 90% yield. B) Synthesis of ER-806821: Preparation of Heck-Coupling Product 22: Alkene 20 (380 mg, 0.727 mmol, 1.0 eq.) and triflate 21 (321 mg, 0.727 mmol, 1.0 eq.) were combined and added tris-(dibenzylideneacetone)-dipalladium-(0) (33.2 mg, 0.036 mmol, 0.05 eq.) under inert atmosphere (dry box). Those reagents were moved out of the dry box and added at rt acetonitrile (3.0 mL) and triethylamine (0.205 mL, 1.46 mmol, 2.0 eq.). The resulting mixture was stirred at 65° C. during 19 h, cooled down to rt and filtered on Celite. The filtrate was concentrated to dryness and purified by chromatography on silica gel 230-400 Mesh using the following solvent gradient: 5%, 15%, 20% and 30% ethyl acetate/hexane to elute. This procedure afforded Heck-coupling product 22, 384 mg, white foam, 65% yield and unreacted alkene 20, 63 mg, 17%. Preparation of N-Methylaniline 23: To a solution of aniline 22 (178 mg, 0.219 mmol, 1.0 eq.) in THF (0.34 mL) at 0° C. was added lithium hexamethyldisalazide (0.66 mL, 0.66 mmol, 3.0 eq., lithium hexamethyldisalazide 1.0 M in THF). The resulting mixture was stirred at 0° C. during 60 min and added methyl iodide (0.085 mL, 1.35 mmol, 6.0 eq.). The reaction mixture was stirred 10 min at 0° C., then allowed to warm up to rt and stirred at that temperature during 21 h. A saturated solution of NH4Cl and methyl-t-butyl ether were added. Layers were separated and the aqueous one was extracted twice with methyl-t-butyl ether. The combined organic layers were washed with brine, dried with sodium sulfate, filtered and concentrated to dryness. The resulting foam was purified by chromatography on silica gel 230-400 Mesh using the following solvent gradient: 15% and 22% ethyl acetate/hexane to elute. This procedure afforded N-methylaniline 23, 148 mg, white foam, 82% yield. Preparation of Macrocyclic Precursor 24: To N-methylaniline 23 (119 mg, 0.143 mmol, 1.0 eq.) was added a solution of TBAF (1.0 mL, 1.0 mmol, 7.0 eq.) buffered with imidazole hydrochloride. That buffered solution of TBAF was prepared by adding 5.3 g of imidazole hydrochloride to 100 mL of TBAF 1.0 M in THF and by stirring till complete dissolution. The reaction mixture was stirred at 65° C. during 16 h, cooled down to rt, added a saturated solution of NH4Cl and methyl-t-butyl ether. The layers were separated and the aqueous one was extracted twice with methyl-t-butyl ether. The combined organic layers were washed with brine, dried with sodium sulfate, filtered and concentrated to dryness. The resulting foam was purified by chromatography on silica gel 230-400 Mesh using the following solvent gradient: 30% and 50% ethyl acetate/hexane to elute. This procedure afforded macrocylclic precursor 24, 94.0 mg, white foam, 92% yield. Preparation of Macrolactone 25: To a solution of macrocyclic precursor 24 (47.0 mg, 0.0658 mmol, 1.0 eq.) in THF (6.6 mL) was added potassium hexamethyldisalazide 0.5 M in toluene (0.265 mL, 0.133 mmol, 2.0 eq.). Stirred 10 min at rt, quenched with a saturated solution of NH4Cl to bring pH to neutral. Methyl-t-butyl ether was added, layers were separated, and the aqueous one was extracted with methyl-t-butyl ether. The combined organic layers were washed with brine, dried with sodium sulfate, filtered and concentrated to dryness. The resulting foam was purified by chromatography on silica gel 230-400 Mesh using the following solvent gradient: 15% and 25% ethyl acetate/hexane to elute. This procedure afforded macrolactone 25, 23.5 mg, white foam, 55% yield. Preparation of Ether 26: To a solution of macrolactone 25 (17.9 mg, 0.0272 mmol, 1.0 eq.) in dichloromethane (1.0 mL) at 0° C. was added N,N-diisopropylethylamine (0.125 ml, 0.712 mmol, 26.2 eq.) and MOMCl (0.042 mL, 0.550 mmol, 20.0 eq.). The reaction mixture was allowed to warm up to rt and stirred at that temperature during 3.75 h at which point it was quenched with a saturated solution of NH4Cl. Methyl-t-butyl ether was added, layers were separated, and the aqueous one was extracted twice with methyl-t-butyl ether. The combined organic layers were washed with brine, dried with sodium sulfate, filtered and concentrated to dryness. The resulting foam was purified by chromatography on silica gel 230-400 Mesh using the following solvent gradient: 30% and 45% ethyl acetate/hexane to elute. This procedure afforded ether 26, 18.2 mg, white foam, 96% yield. Preparation of Allylic Alcohol 27: To a solution of ether 26 (18.2 mg, 0.026 mmol, 1.0 eq.) in dichloromethane (0.60 mL) at rt was added water (0.12 mL) and DDQ (12.0 mg, 0.0517 mmol, 2.0 eq.). The resulting mixture was stirred at rt during 3.5 h at which point it was cooled down to 0° C. and quenched with a 1:1 solution of NaHCO3 saturated and 10% Na2S2O3 in water. Methyl-t-butyl ether was added, layers were separated, and the aqueous one was extracted twice with methyl-t-butyl ether. The combined organic layers were washed with brine, dried with sodium sulfate, filtered and concentrated to dryness. The resulting foam was purified by HPTLC prep-plates using 35% ethyl acetate/hexane to elute. This procedure afforded alcohol 27, 12.6 mg, white foam, 84% yield. Note: Alcohol 27 is an intermediate of the first-generation synthesis of ER-806821, its conversion into ER-806821 can be achieved using the Dess-Martin periodinane and the TFA procedures. C) Synthesis of ER-807563 Preparation of N-Ethylaniline 39: To a solution of aniline 22 (386 mg, 0.474 mmol, 1.0 eq.) in DMPU (1.6 mL) at 0° C. was added lithium hexamethyldisalazide (0.950 mL, 0.950 mmol, 2.0 eq., lithium hexamethyldisalazide 1.0 M in THF). The resulting mixture was stirred at 0° C. during 30 min and added ethyl iodide (0.230 mL, 2.88 mmol, 6.1 eq.). The reaction mixture was stirred 10 min at 0° C., then allowed to warm up to rt and stirred at that temperature during 1 h. A saturated solution of NH4Cl, methyl-t-butyl ether and n-hexanes were added. Layers were separated and the aqueous one was extracted twice with methyl-t-butyl ether/hexane (1:1 mixture). The combined organic layers were washed with brine/water (1:1 mixture), then with brine, dried with sodium sulfate, filtered and concentrated to dryness. The resulting foam was purified by chromatography on silica gel 230-400 Mesh using the following solvent gradient: 15% and 20% ethyl acetate/hexane to elute. This procedure afforded N-ethyl-aniline 39, 349 mg, white foam, 87% yield. Preparation of Macrocyclic Precursor 40: N-ethylaniline 39 (817 mg, 0.970 mmol, 1.0 eq.) was added a solution of TBAF (6.8 mL, 6.8 mmol, 7.0 eq.) previously buffered with imidazole hydrochloride. That buffered solution of TBAF was prepared by adding 5.3 g of imidazole hydrochloride to 100 mL of TBAF 1.0 M in THF and by stirring till complete dissolution. The reaction mixture was stirred at 65° C. during 16 h, cooled down to rt, added a saturated solution of NH4Cl, water and methyl-t-butyl ether. The layers were separated and the aqueous one was extracted twice with methyl-t-butyl ether. The combined organic layers were washed with brine/water (1:1 mixture), then washed with brine, dried with sodium sulfate, filtered and concentrated to dryness. The resulting foam was purified by chromatography on silica gel 230-400 Mesh using the following solvent gradient: 20%, 30% and 45% ethyl acetate/hexane to elute. This procedure afforded macrocylclic precursor 40, 635 mg, white foam, 90% yield. Preparation of Macrolactone 41: To a solution of macrocyclic precursor 40 (303 mg, 0.416 mmol, 1.0 eq.) in THF (40 mL) was added potassium hexamethyldisalazide (1.70 mL, 0.85 mmol, 2.0 eq., potassium hexamethyldisalazide 0.5 M in toluene) over 3 min. The reaction mixture was stirred 10 min at rt and quenched with a saturated solution of NH4Cl. Methyl-t-butyl ether and water were added, layers were separated, and the aqueous one was extracted with methyl-t-butyl ether. The combined organic layers were washed with a saturated solution of NH4Cl, then washed with brine, dried with sodium sulfate, filtered and concentrated to dryness. The resulting foam was purified by chromatography on silica gel 230-400 Mesh using the following solvent gradient: 15% and 18% ethyl acetate/hexane to elute. This procedure afforded macrolactone 41, 134 mg, white foam, 48% yield. Preparation of Allylic Alcohol 42: To a solution of macrolactone 41 (146.5 mg, 0.219 mmol, 1.0 eq.) in dichloromethane (0.50 mL) was added water (0.50 mL). The resulting mixture was cooled down to 0° C. and was added a saturated solution of DDQ in dichloromethane (3.0 mL, 0.265 mmol, 1.2 eq., this saturated solution of DDQ in dichloromethane contained at rt 20.5 mg of DDQ 98% pure/mL of dichloromethane). The biphasic reaction mixture was stirred 5 min at 0° C., then 6 h at rt. At that point, it was cooled down to 0° C., added dichloromethane and quenched with a 1:1 solution of NaHCO3 saturated and 10% Na2S2O3 in water. Stirring was continued for 15 min. Layers were separated and the aqueous one was extracted with dichloromethane. The combined organic layers were washed with a 1:1 solution of NaHCO3 saturated and 10% Na2S2O3 in water, then washed with brine, dried with sodium sulfate, filtered and concentrated to dryness. The resulting foam was purified by chromatography on silica gel 230-400 Mesh using the following solvent gradient: dichloromethane, 3%, 5% and 7.5% methyl-t-butyl ether/dichloromethane to elute. This procedure afforded allylic alcohol 42, 102 mg, white foam, 85% yield. Preparation of Enone 43: To a solution of allylic alcohol 42 (20.5 mg, 0.0372 mmol, 1.0 eq.) in n-heptane (1.0 mL) at rt was added MnO2 (16 mg, 0.184 mmol, 5 eq.). The resulting heterogeneous mixture was stirred at 65° C. during 12 h. This process gave only a small amount of desired material and in order to push the reaction to completion, fresh MnO2 (16 mg) was added on a daily basis until the reaction went to completion after one week of stirring at 65° C. Upon completion, ethyl acetate was added and the solids were filtered off on a short silica gel column (230-400 Mesh) using ethyl acetate as solvent. The filtrate was concentrated down to dryness and purified by chromatography on silica gel 230-400 Mesh using 10% acetone/toluene as solvent. This procedure afforded enone 43, 7.0 mg, white foam, 35% yield (not optimized). Preparation of ER-807563: Enone 43 is treated according to the same TFA protocol as for the preparation of ER-805940. Preparation of NF2561 To a solution of 3 (10.0 g, 44.2 mmol) in DME (500 mL), pyridine (5.36 mL, 66.3 mmol, 1.5 eq.) followed by nitronium tetrafluoroborate (8.8 g, 66.3 mmol, 1.5 eq.) were added at −60° C. in dry ice-acetone bath and stirred for 1 h at −50° C. Then, pyridine (5.36 mL, 66.3 mmol, 1.5 eq.) followed by nitronium tetrafluoroborate (8.8 g, 66.3 mmol, 1.5 eq.) were added again at −60° C. in dry ice-acetone bath and stirred for 1 h at −50° C. One more time, pyridine (5.36 mL, 66.3 mmol, 1.5 eq.) followed by nitronium tetrafluoroborate (8.8 g, 66.3 mmol, 1.5 eq.) were added at −60C in dry ice-acetone bath and stirred for 1 h at −50° C. The reaction mixture was quenched at −58° C. with sat. NH4Cl (1 L) and extracted with EtOAc (2×1 L). The organic layers were washed with water and brine, dried over Na2SO4 and concentrated in vacuo. The crude product was purified on silica gel column (Merck 230-400 mesh,) with hexanes/EtOAc, 3:1 to give 9.59 g (35.4 mmol, 80%) of desired product as a yellow crystal. To a mixture of 4 (10.55 g, 38.9 mmol) and pyridine (15.7 mL, 194 mmol, 5 eq.) in CH2Cl2 (100 mL), Tf2O (9.8 mL, 58.3 mmol, 1.5 eq.) was gradually added at 0° C. during 30 min and the reaction mixture was stirred for 45 min. The reaction mixture was quenched with sat.NH4Cl (200 mL) and extracted with EtOAc (2×500 mL). The organic layers were washed with water and brine, dried over Na2SO4 and concentrated in vacuo. The crude product was purified on silica gel column (Merck 230-400 mesh) with hexanes/EtOAc, 4:1 to give 13.9 g (34.5 mmol, 89%) of desired product as a yellow crystal. A mixture of 5 (13.9 g, 34.5 mmol) and N-methylbenzylamine (22.7 mL, 175.9 mmol, 5.1 eq.) in THF (175 mL) was refluxed overnight. The reaction mixture was diluted with EtOAc (750 mL) and washed with water, 10% KHSO4, water and brine, dried over Na2SO4 and concentrated in vacuo. The crude product was purified on silica gel column (Merck 230-400 mesh) with hexanes/EtOAc, 20:1, 9:1 to give 9.7 g (25.9 mmol, 75%) of desired product as a colorless oil. A mixture of 6 (9.2 g, 24.6 mmol) and 20% Pd(OH)2/C (1.75 g) in EtOH (200 mL) was hydrogenated under 1 atm of hydrogen for 4 hrs. The catalyst was filtered off and the filtrate was concentrated in vacuo. The crude diamine was obtained as yellow oil. It was used without purification. A mixture of the crude diamine, triethyl orthoformate (13.1 mL, 78.7 mmol, 3.2 eq.) and montmorillonite KSF (2.7 g) in EtOH (200 mL) was refluxed for 100 min. The insoluble material was filtered off and the filtrate was concentrated in vacuo. The crude product was purified on silica gel column (Merck 230-400 mesh, 350 g) with hexanes/EtOAc, 1:1, 1:2 and EtOAc to give 84% (2 steps) of desired product as a yellow oil. To a solution of 7 (5.75 g, 21.8 mmol) in CH2Cl2 (125 mL), TFA (16.8 mL, 218 mmol, 10 eq.) was added at 0° C. Then, the reaction mixture was warmed to room temperature and stirred for 1.5 hrs. The reaction mixture was poured into ice water and neutralized with NaHCO3 and extracted with EtOAc (800 mL+2×125 mL). The organic layers were washed with water and brine, dried over Na2SO4. Na2SO4 was filtered and washed with CH2Cl2 and the filtrate was concentrated in vacuo. The crude product was obtained as white crystal and use without purification for the next step. To a mixture of 60% NaH in mineral oil (2.3 g, 56.6 mmol, 2.6 eq.) and DMF (40 mL), a solution of the crude phenol 8 in DMF (60 mL) was gradually added at 0° C. and stirred for 1 hr. Then, TBDPSCl (9.6 mL, 37.0 mmol, 1.7 eq.) was added and the reaction mixture was warmed to room temperature and stirred for 1.5 hr. The reaction mixture was poured slowly in sat.NH4Cl at 0° C. and extracted with EtOAc (3×150 mL). The organic layers were washed with water (×2) and brine, dried over Na2SO4 and concentrated in vacuo. The crude product was purified on silica gel column (Merck 230-400 mesh) with hexane/EtOAc, 3:1, 1:1, 2:3 to give 8.89 g (19.4 mmol, 89% 2 steps) of desired product as a colorless oil. A mixture of 9 (8.39 g, 18.3 mmol), NBS (3.6 g, 20.1 mmol, 1.1 eq.) and AIBN (1.2 g, 7.3 mmol, 0.4 eq.) in CCl4 (250 mL) was heated slowly to 50° C. and stirred for 4 hrs. The reaction mixture was cooled to room temperature and insoluble material was filtered off with celite, rinsed with CCl4 and the filtrate was concentrated in vacuo. The crude bromide was used without purification. To a mixture of Cs2CO3 (9.2 g, 28.4 mmol, 1.55 eq.) and DMF (90 mL), PhSH (2.9 mL, 28.4 mmol, 1.55 eq.) was added at room temperature and the reaction mixture was stirred for 50 min. Then, a solution of the crude bromide in DMF (210 mL) was added and the reaction mixture was stirred for 1 hr. The reaction mixture was quenched with sat.NH4Cl (300 mL) and extracted with EtOAc (3×300 mL). The organic layers were washed with water (×2) and brine, dried over Na2SO4 and concentrated in vacuo. The crude product was purified on silica gel column (Merck 230-400 mesh, 550 g) with hexanes/EtOAc, 2:1, 1:1, 1:3 to give 8.52 g (15.0 mmol, 82% 2 steps) of desired product. To a solution of 10 (8.47 g, 14.9 mmol) in THF (200 mL), TBAF (1.0M solution in THF, 22.4 mL, 1.5 eq.) was added at 0° C. and the reaction mixture was warmed to room temperature and stirred for 75 min. The reaction mixture was quenched with sat. NH4Cl (150 mL) and extracted with EtOAc (3×200 mL). The organic layer was washed with water and brine, dried over Na2SO4 and concentrated in vacuo. The crude product was purified on silica gel column (Merck 230-400 mesh, 550 g) with hexanes/EtOAc, 2:1, 1:1, 1:2 to give 4.7 g (14.3 mmol, 96%) of desired product. To a solution of phenol 11 (4.41 g, 13.4 mmol) in DMF (100 mL) were added DBU (3.0 mL, 20.1 mmol, 1.5 eq.) and MOMCl (1.5 mL, 20.1 mmol, 1.5 eq.) at rt. and the reaction mixture was stirred for 1.5 hr. Then, DBU (1.5 mL, 10.1 mmol, 0.75 eq.) and MOMCl (0.75 ml, 10.1 mmol, 0.75 eq.) were added and the reaction mixture was stirred for 1 hr. The reaction mixture was quenched with sat. NH4Cl (100 mL) and extracted with EtOAc (3×150 mL). The organic layers were washed with water and brine, dried over Na2SO4 and concentrated in vacuo. The crude product was purified on silica gel column (Merck 230-400 mesh) with hexanes/EtOAc, 1:1, and 1:3 to give 87% of desired product A mixture of 12 (4.5 g, 12.1 mmol), KOH 2M aq sol. (30 mL, 60.4 mmol, 5 eq.) and DMSO (100 mL) was stirred at 80° C. for 1.5 hrs. The reaction mixture was cooled and adjusted to pH5 with 1N HCl (Be careful, MOM group can be easily hydrolyzed if pH too acidic). The resulted crystal (desired product) was filtered and washed water. Total 3.22 g of crude product was obtained. 11) Esterification To a solution of PPh3 (2.3 eq) in THF (30 mL), DEAD (2.6 eq.) was added at 0° C. and the reaction mixture was stirred for 30 min. Then, a mixture of 13 (1 eq) and TMS ethanol (1.5 eq.) in THF (50 mL) was added and the reaction mixture was warmed to room temperature and stirred for overnight. Furthermore, PPh3 (2.3 eq.) and DEAD (2.6 eq.) was added and stirred for 10 min. Then, TMS ethanol (1.5 eq.) was added and stirred for 20 min. The reaction mixture was concentrated in vacuo. Et2O was added to the residue and stirred. The resulted solid (Ph3P(O)) was filtered off and the filtrate was concentrated in vacuo. The crude product was purified on silica gel column (Merck 230-400 mesh) with CH2Cl2/MeOH, 200:1, 100:1 to give a mixture of desired product and 1,2-dicarbethoxyhydrazine (not separated). This mixture was purified on silica gel column (Merck 230-400 mesh) with hexanes/EtOAc, 2:1, 1:1, and 2:3 to give the desired product as white crystal. To a solution of 14 (730 mg, 1.59 mmol, 1.5 eq.) and iodide 15 (639 mg, 1.06 mmol, 1 eq.) in dry THF (25 mL)-HMPA (2.5 mL), LiHMDS (1.0M solution in THF, 2.65 mL, 2.5 eq.) was added over a period of 25 min at −50° C. and the reaction mixture was for 30 min. Then, LiHMDS (1.0M solution in THF, 1.3 mL, 1.25 eq.) was added at −50° C. and the reaction was stirred for 1 hr. The reaction mixture was quenched with sat. NH4Cl (50 mL) and extracted with EtOAc (3×50 mL). The organic layer was washed with water and brine, dried over Na2SO4 and concentrated in vacuo. The crude product was purified on silica gel column (Merck 230-400 mesh) with hexanes/EtOAc, 4:1, 1:1, 1:3 to give 440 mg (0.471 mmol, 44%) of desired product as a colorless amorphous. To a solution of 16 (980 mg, 1.22 mmol) in CH2Cl2 (45 mL), mCPBA (0.5 eq calculated if mCPBA was 100%, 91 mg) was added at 0° C. and stirred for 25 min, then mCPBA (91 mg) was added and stirred for 25 min, mCPBA (45 mg) was added and stirred for 25 min, mCPBA (35 mg) was added and stirred for 20 min. The reaction mixture was quenched with sat. Na2S2O3 (80 mL) and extracted with EtOAc (400 ml+2×80 mL). The organic layer was washed with sat. NaHCO3 (×2) and brine, dried over Na2SO4 and concentrated in vacuo to give 1.02 g of crude sulfoxide as colorless amorphous. A solution of crude sulfoxide and Et3N (10 drops) in toluene (50 mL) was refluxed for 1 hr. The reaction mixture was concentrated in vacuo and the crude product was purified on silica gel column (Merck 230-400 mesh) with hexanes/EtOAc, 3:1, 1:1, 1:3 to give 980 mg (1.19 mmol, 98% 2 steps) of desired product as colorless amorphous. To a solution of 18 (924 mg, 1.12 mmol) in THF (25 mL), Imidazole'HCl (293 mg, 2.8 mmol, 2.5 eq) and TBAF (1.0M solution in THF, 5.6 ml, 5 eq) were added and the mixture was heated to 50° C. After 1 hr and 3 hrs, Imidazole'HCl (293 mg, 2.8 mmol, 2.5 eq.) and TBAF (1.0M solution in THF, 5.6 mL, 5 eq.) were added. After 24 hrs, TBAF (1.0M solution in THF, 11.2 mL, 10 eq) was added and the reaction mixture was stirred for 84 hrs at 50° C. The reaction mixture was quenched with sat. NH4Cl (40 mL) and saturated with NaCl (10 mL) and extracted with EtOAc (5×100 mL). The organic layers were dried over Na2SO4 and concentrated in vacuo. The crude product was purified on silica gel column (Merck 230-400 mesh) with EtOAc, EtOAc/MeOH, 99:1, 95:5 to give 740 mg of desired product (not pure) as a colorless amorphous. To a refluxed mixture of 2-chloro-1-methylpyridinium iodide (4.21 mmol, 4.0 eq.) and n-Bu3N (1.0 mL, 4.21 mmol, 4 eq.) in CH2Cl2 (50 mL), a solution of 19 (640 mg, 1.05 mmol) in CH2Cl2 (25 mL) was added drop-wise with syringe pump during 1 hr and then the reaction mixture was stirred for 30 min. The reaction mixture was concentrated in vacuo and the residue was diluted with EtOAc (750 mL), washed with water, sat.NH4Cl, water and brine, dried over Na2SO4, filtered and concentrated in vacuo. The crude product was purified on silica gel column (Merck 230-400 mesh) with hexanes/EtOAc, 1:1, 1:5 CH2Cl2/MeOH, 95:5 to give 560 mg of desired product (not pure) as colorless amorphous. The hydrolysis was carried out as it described before in the synthesis of ER803064. To a solution of 21 (260 mg, 0.596 mmol) in CH2Cl2 (45 mL), powdered Molecular Sieves 4 A (640 mg) and PCC (642 mg, 2.98 mmol, 5 eq.) were added at room temperature and the reaction mixture was stirred for 1 hrs. The reaction mixture was filtered through Celite and the filtrate was concentrated in vacuo. The crude product was purified on silica gel column (Merck 230-400 mesh) with CH2Cl2/MeOH, 99:1, 95:5 to give 185 mg of desired product (including pyridinium impurity). To a solution of 22 (185 mg, 0.382 mmol) in CH2Cl2 (10 mL), TFA (0.88 mL, 11.5 mmol, 30 eq.) was added at 0° C. and the reaction mixture was warmed to room temperature and stirred for 1.5 hrs. The reaction mixture was concentrated in vacuo. The crude product was purified on silica gel column (Merck 230-400 mesh) with CH2Cl2/MeOH, 98:2, 95:5, 92:8 to give 120 mg (0.300 mmol, 79%, 50% 2 steps) of desired product, NF2561. The pure product was lyophilized with Water/MeCN, 1:1 to give a white foam. ER805911 and ER805977: These analogs were prepared using appropriate alternative reagents using the above synthesis. The modified steps are described below: A mixture of the crude diamine (24.5 mmol), triethyl acetylformate (13.5 mL, 3 eq.) and montmorillonite KSF (2.5 g) in EtOH (150 mL) was refluxed for 2 h. The insoluble material was filtered off and the filtrate was concentrated in vacuo. The crude product was purified on silica gel column (Merck 230-400 mesh, 350 g) with hexane/EtOAc, 1:1, 1:2 and EtOAc to give 81% (2 steps) of desired product as yellow oil. The product was carried forward in an analogous manner as described for NF2561 to give ER805911. A mixture of triflate (9.3 g, 23.1 mmol) and N-ethylbenzylamine (15.2 mL, 117.8 mmol, 5.1 eq.) in THF (175 mL) was refluxed 26 h. The reaction mixture was diluted with EtOAc (750 mL) and washed with water, 10% KHSO4, water and brine, dried over Na2SO4 and concentrated in vacuo. The crude product was purified on silica gel column (Merck 230-400 mesh) with hexane/EtOAc, 20:1, 9:1 to give 6.25 g (16.1 mmol, 70%) of desired product as a colorless oil. It was carried forward similarly as described for NF2561 to give ER805977. Preparation of C10 Analogs, ER804747: The suspension of selenium dioxide (677 mg) and 531-YW-4 (1.96 g) in dioxane (30 mL) was kept at 70° C. for 10 hours. The mixture was concentrated and purified with flush chromatograph (hexanes/acetate 5/1 to 2/1) to give 593-YJ-22-1 (396 mg) and 593-YJ-22-2 (683 mg). Sodium hydride (60%, 59 mg) was added to the solution of 593-YJ-22-2 (788 mg) in DMF (15 mL), followed by the addition of methoxymethyl chloride (160 mg) at room temperature. The mixture was kept stirring at room temperature overnight and quenched with aqueous ammonium chloride. The aqueous phase was extracted with ether and the combined organic phase was concentrated. The residue was purified by flush chromatograph (hexane/acetate 4/1) to yield 593-YJ-25 (431 mg). The solution of 593-YJ-25 (431 mg) and sodium hydroxide (1.0 N, 1.0 mL) in ethanol (5 mL) was kept stirring overnight at room temperature. The mixture was concentrated and diluted with aqueous ammonium chloride. The aqueous phase was extracted with ether and the combined organic phase was concentrated. The residue was purified by TLC (hexanes/acetate 2/1) to yield 593-YJ-29 (184 mg). Dess-Martin periodinane was added to 593-YJ-29 (184 mg) in methylene chloride (10 mL) at room temperature. The mixture was diluted with ether in 2 hours and filtrated through Celite. The filtrate was concentrated and the residue was purified by TLC (hexanes/acetate 2/1) to give 593-YJ-31 (138 mg). n-Butyllithium (2.5 M, 0.56 mL) was added to 554-RB-228 (450 mg) in THF (5 mL) at −78° C. After one hour 593-YJ-31 (138 mg) was added. The reaction was kept at 0° C. for one hour and warmed to room temperature before it was quenched with aqueous ammonium chloride. The aqueous phase was extracted with ether and the combined organic phase was dried over sodium sulfate. The solvent was stripped off and the residue was purified with TLC (hexane/acetate 3/1) to 593-YJ-32 (168 mg, 75%). The suspension of Rieke zink and 593-YJ-32 (168 mg) in methanol (10 mL) and water (1.0 mL) was kept at 70° C. for 4 hours. The mixture was filtrated through Celite and dried over sodium sulfate. The organics was concentrated and further dried azeotropically to give 593-YJ-33 (200 mg). The crude 593-YJ-33 was subjected to triethylamine (2.7 mL) and benzoyl chloride (1.1 mL) and purified with TLC (hexanes/acetate 4/1) to give 593-YJ-35 (358 mg). The solution of 593-YJ-35 (358 mg) and imidazole hydrochlorite buffered TBAF (1.0 M, 0.96 mL) in THF (10 mL) was kept stirring overnight at 50° C., and then diluted with water. The aqueous phase was extracted with ether and concentrated. The residue was purified with TLC (methylene chloride/methanol, 10/1) to give 593-YJ-36 (41 mg). 593-YJ-36 (41 mg) was added to the reflux of 2-chloro-1-methylpyridium iodide (52 mg) and tributylamine (43 mg) in methylene chloride (20 ml). After 2 hours reflux the mixture was stirred overnight. The mixture was diluted with ether and washed with HCl (1.0 N) and water. The residue was purified with TLC (hexane/acetate 1/1) to give 593-YJ-39-1 (4.3 mg). The solution of 593-YJ-39 (4.3 mg) and sodium hydroxide (1.0 N, 1.0 mL) in ethanol (5 mL) was kept stirring overnight at room temperature. The mixture was concentrated and diluted with aqueous ammonium chloride. The aqueous phase was extracted with ether and the combined organic phase was concentrated. The residue was purified by TLC (hexanes/acetate 2/1) to yield 593-YJ-57 (4.0 mg). The suspension of MnO2 (90%, 15 mg) and 593-YJ-57 (4.0 mg) in methylene chloride (2 mL) was kept stirring overnight. The mixture was filtrated through Celite and concentrated. The residue was purified with TLC (hexanes/acetate 2/3) to give 593-YJ-58 (2.0 mg). Hydrofluoric acid (49%, 0.6 mL) was added to 593-YJ-58 (2.0 mg) in acetonitrile (1.5 mL) and stirred for 20 minutes. The mixture was diluted with water and extracted with methylene chloride. The organic phase was concentrated and purified with a short silica gel pad to produce 593-YJ-59 (0.5 mg, ER-804747). Preparation of C15-Methoxy-Analog, NF1872 To a solution of 3,4,5-trimethoxytoluene (5.47 g, 30 mmol) in DME (80 mL), CuBr2 (6.8 g, 30.45 mmol) was gradually added and the mixture was stirred at room temperature for 30 min. Then, CuBr2 (8.4 g, 37.61 mmol) was added in several times. The mixture was stirred for 12 hrs. The insoluble material was filtered and the filtrate was concentrated. The crude product was purified on silica gel column with hexane/EtOAc, 4:1 to give 7.5 g of NY-60. NY-60 (7.39 g, 28.3 mmol) was dissolved in Et2O (300 mL) and cooled to −78° C., under nitrogen. Then, n-BuLi (1.6M/hexane, 21 mL, 33.6 mmol) was slowly added and the reaction was stirred at −78° C. for 40 min. Dry ice was added to the solution, then the solution was allowed to warm to rt and was stirred for 15 min. The mixture was quenched with water, acidified with 2N HCl, extracted with EtOAc (×2). The organic layers were washed with water, brine and dried over MgSO4, filtered and concentrated to give 6.38 g of NY-61. To a solution of NY-61 (6.37 g, 28.16 mmol) in DMF (200 mL), Cs2CO3 (9.17 g, 28.14 mmol) was added and stirred at room temperature for 10 min. Then, MeI (10 mL, 160.6 mmol) was added and the reaction mixture was stirred for 12 hrs. The reaction mixture was poured into ice-cooled sat. NH4Cl and extracted with EtOAc (×3). The organic layers were washed with water (×3), brine, dried over Na2SO4, filtered and concentrated. The crude product was purified on silica gel column with hexane/EtOAc, 4:1 to give 6.07 g of NY-62. NY-62 (6.07 g, 25.26 mmol) was dissolved in CH2Cl2 (80 mL) and cooled to −78° C., under nitrogen. Then, BCl3 (1M/CH2Cl2, 26 mL, 26 mmol) was slowly added and the reaction was stirred at −78° C. for 1 hr. The solution was stirred at 0° C. for 15 min, at room temperature for 1 hr. To the mixture which was recooled to −78° C., additional BCl3 (1M/CH2Cl2, 52 mL, 52 mmol) was slowly added and the solution was allowed to warm to room temperature and was stirred for 15 hrs. The reaction mixture was poured into ice-water and extracted with EtOAc (×2). The organic layers were washed with water (×2), brine, dried over MgSO4, filtered and concentrated. The crude product was purified by recrystallization from hexane/EtOAc to give 4.1 g of NY-63. To a mixture of NY-63 (4.09 g, 19.27 mmol), MeOH (1.77 mL),iPr2NEt (3.7 mL, 21.24 mmol) and MeCN (80 mL), trimethylsilyldiazomethane (2M/hexane, 10.6 mL, 21.2 mmol) gradually added at 30° C. The reaction mixture was allowed to warm to room temperature and stirred for 24 hrs. The reaction mixture was quenched with water and diluted with EtOAc. The organic layer was washed with 10% citric acid and the aqueous layer was reextracted with EtOAc. The organic layers were washed with water, brine, dried over Na2SO4, filtered and concentrated. The crude product was purified on silica gel column with hexane/EtOAc, 20:1, 15:1, 10:1 to give 2.29 g of mixture of NY-64 and NY-65. Using same procedure for NY-07, NY-65 was converted to NY-66 (1.73 g). (NY-64 was separated by column chromatography) Using same procedure for 10, NY-66 (1.72 g, 6.41 mmol) was converted to NY-67 (2.07 g). Using same procedure for NY-09, NY-67 (2.06 g, 5.47 mmol) was converted to NY-68 (1.54 g). Using same procedure for 509-HD-209, NY-68 (1.48 g, 4.43 mmol) was converted to NY-69 (1.62 g). Using same procedure for 509-HD-212, NY-69 (1.62 g, 4.28 mmol) was converted to NY-70 (1.53 g). Using same procedure for 509-HD-213, NY-70 (1.51 g, 4.14 mmol) was converted to NY-71 (1.08 g). Using same procedure for 16, NY-27 (511 mg, 0.707 mmol) was converted to NY-72 (971 mg). Using same procedure for 18, NY-72 (971 mg, 0.707 mmol) was converted to NY-33 (521 mg). Using same procedure for 509-HD-116, NY-73 (521 mg, 0.549 mmol) was converted to NY-74 (444 mg). NY-74 was used without purification for the next step. Using same procedure for 509-HD-118, NY-74 (444 mg, 0.549 mmol) was converted to NY-75 (86 mg) and NY-76 (114 mg). Using same procedure for TM-13, NY-75 (45 mg, 0.094 mmol) was converted to NY-77 (19.2 mg). Using same procedure for NF-0675, NY-77 (18 mg, 0.038 mmol) was converted to NF-1872 (12.6 mg). Preparation of C16 Analogs: NF0934, NF1418 and NF1419 Synthetic Procedure for NF-0934 Using same procedure for 554-RB-238, 531-yw-2-2 (5 g, 19.21 mmol) was converted to NY-20 (5.08 g). NY-20 was used without purification for the next step. To a suspension of lithium acetylide-ethylenediamine complex (24.92 g, 0.271 mol) in DMSO (250 mL), (S)-propylene oxide (14.3 g, 0.246 mol) was slowly added at 0° C. Then, the mixture was warmed to room temperature and stirred for 24 hrs. The mixture was poured into ice-water and extracted with Et2O (×4). The organic layers were washed with sat. NH4Cl, brine and dried over MgSO4, filtered and concentrated. The crude product was used without purification for the next step. Using same procedure for 554-RB-225, NY-21 (8 g, 95.1 mmol) was converted to NY-22 (27.33 g). Using same procedure for NY-01, NY-20 (5.08 g, 19.21 mmol) was converted to NY-23 (4.22 g) as one of diastereomers. Using same procedure for 343-yw-279, NY-23 (4.2 g, 7.23 mmol) was converted to NY-24 (3.7 g). To a solution of NY-24 (3.69 g, 6.33 mmol) in CH2Cl2 (70 mL), 2,6-lutidine (3.7 mL, 31.8 mmol) and TBSOTf (3.63 mL, 15.8 mmol) were added at 0° C. Then, the mixture was warmed to room temperature and stirred for 30 min. The mixture was quenched with MeOH and poured into cold sat. NaHCO3 and extracted with EtOAc. The organic layer was washed with water, 5% citric acid, water, sat. NaHCO3, brine and dried over Na2SO4, filtered and concentrated. The crude product was purified on silica gel column with hexane/EtOAc, 100:1, 50:1, 30:1 to give 4.23 g of NY-25. NY-25 (4.2 g, 6.03 mmol) was dissolved in dry Et2O (50 mL) and the solution was cooled to 0° C. in ice/water bath. Then LiBH4 (135 mg, 6.2 mmol) was added portionwise, the mixture was allowed to warm slowly to rt and stirred for 2 days after which a saturated solution of NH4Cl was added slowly. The mixture was extracted with EtOAc and the organic extract was washed with a saturated solution of NH4Cl, water, brine, dried with anhydrous Na2SO4, filtered and concentrated. The crude product was purified on silica gel column with hexane/EtOAc, 8:1 to give 3.55 g of NY-26. Using same procedure for 554-RB-260, NY-26 (568 mg, 0.927 mmol) was converted to NY-27 (565 mg). Using same procedure for 10, NY-28 (2.7 g, 15 mmol) was converted to NY-29 (2.45 g). Using same procedure for 509-HD-212, NY-29 (2.45 g, 8.5 mmol) was converted to NY-11 (2.19 g). Using same procedure for 509-HD-213, NY-30 (2.18 g, 3.06 mmol) was converted to NY-31 (2.35 g). Using same procedure for 16, NY-27 (260 mg, 0.36 mmol) was converted to NY-32 (229 mg). Using same procedure for 18, NY-32 (229 mg, 0.236 mmol) was converted to NY-33 (136 mg). Using same procedure for 509-HD-116, NY-33 (136 mg, 0.585 mmol) was converted to NY-34 (119 mg). Using same procedure for TM-12, NY-34 (116 mg, 0.285 mmol) was converted to NY-35 (146 mg). Using same procedure for TM-13, NY-35 (80 mg, 0.206 mmol) was converted to NY-36 (55 mg). Using same procedure for NF-0675, NY-36 (52 mg, 0.135 mmol) was converted to NF-0934 (29 mg). Synthetic Procedure for NF-1418 Using same procedure for 10, NY-144 (7.11 g, 29.84 mmol) was converted to NY-145 (7.32 g). Using same procedure for NY-45, NY-145 (7.32 g, 21.13 mmol) was converted to NY-146 (4.46 g). Using same procedure for NY-48, NY-146 (318 mg, 1 mmol) was converted to mixture of NY-147 and NY-148 (305 mg). Using same procedure for 509-HD-213, NY-147 and NY-148 (303 mg, 0.912 mmol) was converted to NY-149 (297 mg) and NY-150 (42 mg). Using same procedure for 16, NY-53 (1.81 g, 4.808 mmol) was converted to NY-151 (2.06 g). Using same procedure for 18, NY-151 (306 mg) was converted to NY-152 (250 mg). Using same procedure for 509-HD-116, NY-152 (230 mg, 0.233 mmol) was converted to NY-153 (197 mg). Using same procedure for TM-12, NY-153 (136 mg, 0.233 mmol) was converted to NY-154 (30 mg). A mixture of NY-154 (28 mg, 0.0494 mmol), 1N NaOH (125 μL, 0.125 mmol) and DME (0.5 mL) was stirred at room temperature for 18 hrs. The reaction mixture was washed with Et2O. The aqueous layer was neutralized with sat. NH4Cl and extracted with EtOAc. The organic layers were washed with brine, dried over Na2SO4, filtered and concentrated to give 23 mg of NY-155. NY-155 was used without purification for the next step. A mixture of NY-155 (22 mg, 0.0398 mmol), diphenylphosphoryl azide (8.6 μL, 0.0399 mmol), Et3N (4 mg, 0.0395 mmol),tBuOH (0.3 mL) and toluene (1.5 mL) was refluxed for 3 hrs. The reaction mixture was diluted with EtOAc and washed with 5% citric acid, water, sat. NaHCO3, brine, dried over Na2SO4, filtered and concentrated. The crude product was purified on silica gel column with hexane/EtOAc, 5:1, 3:1 to give 12 mg of NY-156. Using same procedure for 509-HD-188, NY-156 (11 mg, 0.0176 mmol) was converted to NY-157 (7.5 mg). Using same procedure for TM-13, NY-157 (7.5 mg, 0.0149 mmol) was converted to NY-158 (5.3 mg). Using same procedure for NF-0675, NY-158 (5.2 mg, 0.0104 mmol) was converted to NF-1418 (4.7 mg). Synthetic Procedure for NF-1419 Using same procedure for B2538, NF-1418 (4 mg, 0.00937 mmol) was converted to NF-1419 (2.3 mg). Measurement of Effect of Compounds on TNF-α and β-Actin PLAP (Placental Alkaline Phosphatase) Transcription. NF-κB is a critical nuclear factor to regulate various genes involved in immune and inflammatory responses. (see, Ghosh et al, A TNFα-PLAP plasmid (TNFα-promoter+5′-UTR (1.4 kb)+PLAP+SV40 polyA+PGK-neo, Goto et al. THP-1-33 cells and B164 cells were maintained in RPMI1640 containing 10% heat-inactivated endotoxin-free fetal bovine serum (FBS) and G418 (1 mg/ml). These cells were seeded at a density of 1.0×104 cells/well onto 96-well plate, and then were cultured in the presence or absence of test compounds for 30 min, followed by stimulation with 100 ng/mL of lipopolysaccharide ( Alkaline phosphatase activity was quantified with the use of a chemiluminescent substrate, 4-methoxy-4-(3-phosphatephenyl)spiro[1,2-dioxetane-3,2′-adamantane]. To inactivate tissue-nonspecific alkaline phosphatase mainly derived from FBS, samples were heated at 65° C. for 30 min before the chemiluminescent assay. Aliquots of 10 μL of culture supernatant were mixed with 50 μL of assay buffer (0.28 M Na2CO3—NaHCO3, pH 10.0, containing 8 mM MgSO4) in a 96-well Microlite™ plate (opaque), and then 50 μL of chemiluminescent substrate was added and mixed. After 60 min incubation at room temperature, steady state chemiluminesce was measured with a microplate luminometer. The PLAP activity of each sample was calculated as follows: TNFα-PLAP % of control=(A−B)×100/(C−B) β-actin-PLAP % of control=(A)×100/(C) A: sample/chemiluminescence of the sample cultured with the test drug & stimulated with LPS B: blank/chemiluminescence of unstimulated sample C: control/chemiluminescence of the sample cultured with LPS The IC50 value of each test compound was calculated from dose-inhibitory response curve.PRIORITY CLAIM
BACKGROUND OF THE INVENTION
SUMMARY OF THE INVENTION
DESCRIPTION OF CERTAIN PREFERRED EMBODIMENTS OF THE INVENTION
1) General Description of Compounds of the Invention
2) Compounds and Definitions
3) Synthetic Methodology
4) Research Uses, Formulation and Administration
Treatment Kits
EQUIVALENTS
EXEMPLIFICATION
B2193 B2194 B2215 B2292 B2293 B2297 B2329 B2331 B2337 B2338 B2356 B2357 B2358 B2359 B2366&B2365 B2395 B2396 B2397 B2500 B2501 B2522 B2526 B2538 B2543 B2544 B2545 ER803026 ER803029 ER803030 ER803064 ER803591 ER803593 ER803604 ER803734 ER803758 ER803829 ER803882 ER803916 ER803918 ER803924 ER804003 ER804018 ER804019 ER804022 ER804035 ER804060 ER804103 ER804104 ER804131 ER804142 ER804143 ER804168 ER804189 ER804387 ER804401 ER804428 ER804446 ER804504 ER804505 ER804555 ER804556 ER804567 ER804584 ER804595 ER804606 ER804622 ER804630 ER804710 ER804730 ER804731 ER804734 ER804744 ER804745 ER804746 ER804747 ER804755 & ER804756 ER804758 ER804759 ER804778 ER804779 ER804784 ER804793 ER804863 ER804986 ER805023 ER805053 ER805125 ER805135 ER805146 ER805149 ER805189 ER805190 ER805192 ER805215 ER805216 ER805217 ER805218 ER805221 ER805223 ER805227 ER805228 ER805229 ER805232 ER805233 ER805709 ER805855 ER805882 ER805911 ER805940 ER805977 ER805998 ER806201 ER806203 ER806204 ER806328 ER806563 ER806621 ER806624 ER806752 ER806776 ER806795 ER806821 ER806907 ER807209 ER807551 ER807563 ER808064 ER808129 ER890003 ER890004 ER890005 ER890006 ER890007 ER890008 ER890009 F152acetonite NF0530 NF0531 NF0552 NF0675 NF0761 NF0879 NF0880 NF0887 NF0905 NF0934 NF1226 and NF1227 NF1418 NF1419 NF1535 NF1537 NF1774 NF1872 NF2306 NF2432 NF2433 NF2435 NF2436 NF2544 NF2545 NF2546 NF2547 NF2548 NF2550 NF2551 NF2552 NF2553 NF2554 NF2555 NF2556 NF2557 NF2558 NF2559 NF2560 NF2561
Fraction B (more polar): a mixture of 2 diastereoisomers—compound 453-MS-292B (46 mg);
Fraction C (most polar): single diastereoisomer of starting material 453-MS-290 (2 mg);
(total yield: 56 mg; 95%)
Preparation of ER804022:
Fraction B (more polar): a mixture of 2 diastereoisomers—compound 453-MS-101B (25 mg);
(total yield: 49 mg, 86%)
Preparation of C14-Aniline Analogs: ER805940, and ER806201:
Preparation of ER805940:
alitretinoin Panretin Topical treatment of cutaneous lesions in Ligand Pharmaceuticals Feb. 02, patients with AIDS-related Kaposi's sarcoma. 1999 allopurinol Zyloprim Patients with leukemia, lymphoma and solid Glaxo Smith Kline May 17, tumor malignancies who are receiving cancer 1996 therapy which causes elevations of serum and urinary uric acid levels and who cannot tolerate oral therapy. altretamine Hexalen Single agent palliative treatment of patients US Bioscience Dec. 26, with persistent or recurrent ovarian cancer 1990 following first-line therapy with a cisplatin and/or alkylating agent based combination. amifostine Ethyol To reduce the cumulative renal toxicity US Bioscience Dec. 08, associated with repeated administration of 1995 cisplatin in patients with advanced ovarian cancer amifostine Ethyol Reduction of platinum toxicity in non-small US Bioscience Mar. 15, cell lung cancer 1996 amifostine Ethyol To reduce post-radiation xerostomia for head US Bioscience Jun. 24, and neck cancer where the radiation port 1999 includes a substantial portion of the parotid glands. anastrozole Arimidex for the adjuvant treatment of postmenopausal AstraZeneca Sep. 05, women with hormone receptor positive early 2002 breast cancer anastrozole Arimidex Treatment of advanced breast cancer in AstraZeneca Dec. 27, postmenopausal women with disease Pharmaceuticals 1995 progression following tamoxifen therapy. anastrozole Arimidex For first-line treatment of postmenopausal AstraZeneca Sep. 01, women with hormone receptor positive or Pharmaceuticals 2000 hormone receptor unknown locally advanced or metastatic breast cancer. arsenic Trisenox Second line treatment of relapsed or refractory Cell Therapeutic Sep. 25, trioxide APL following ATRA plus an anthracycline. 2000 bexarotene Targretin For the treatment by oral capsule of cutaneous Ligand Pharmaceuticals Dec. 29, manifestations of cutaneous T-cell lymphoma 1999 in patients who are refractory to at least one prior systemic therapy. bexarotene Targretin For the topical treatment of cutaneous Ligand Pharmaceuticals Jun. 28, manifestations of cutaneous T-cell lymphoma 2000 in patients who are refractory to at least one prior systemic therapy. bleomycin Blenoxane Sclerosing agent for the treatment of Bristol-Myers Squibb Feb. 20, malignant pleural effusion (MPE) and 1996 prevention of recurrent pleural effusions. busulfan Busulfex Use in combination with cyclophoshamide as Orphan Medical, Inc Feb. 04, intravenous conditioning regimen prior to allogeneic 1999 hematopoietic progenitor cell transplantation for chronic myelogenous leukemia. busulfan oral Myleran Chronic Myelogenous Leukemia-palliative Glaxo Smith Kline Jun. 26, therapy 1954 capecitabine Xeloda Initial therapy of patients with metastatic Roche Apr. 30, colorectal carcinoma when treatment with 2001 fluoropyrimidine therapy alone is preferred. Combination chemotherapy has shown a survival benefit compared to 5-FU/LV alone. A survival benefit over 5_FU/LV has not been demonstrated with Xeloda monotherapy. capecitabine Xeloda Treatment in combination with docetaxel of Roche Sep. 07, patients with metastatic breast cancer after 2001 failure of prior anthracycline containing chemotherapy capecitabine Xeloda Treatment of metastatic breast cancer resistant Roche Apr. 30, to both paclitaxel and an anthracycline 1998 containing chemotherapy regimen or resistant to paclitaxel and for whom further anthracycline therapy may be contraindicated, e.g., patients who have received cumulative doses of 400 mg/m2 of doxorubicin or doxorubicin equivalents carboplatin Paraplatin Palliative treatment of patients with ovarian Bristol-Myers Squibb Mar. 03, carcinoma recurrent after prior chemotherapy, 1989 including patients who have been previously treated with cisplatin. carboplatin Paraplatin Initial chemotherapy of advanced ovarian Bristol-Myers Squibb Jul. 05, carcinoma in combination with other 1991 approved chemotherapeutic agents. carmustine Gliadel For use in addition to surgery to prolong Guilford Pharmaceuticals Sep. 23, with Wafer survival in patients with recurrent Inc. 1996 Polifeprosan glioblastoma multiforme who qualify for 20 Implant surgery. celecoxib Celebrex Reduction of polyp number in patients with Searle Dec. 23, the rare genetic disorder of familial 1999 adenomatous polyposis. chlorambucil Leukeran Chronic Lymphocytic Leukemia-palliative Glaxo Smith Kline therapy cisplatin Platinol as a single agent for patients with transitional Bristol-Myers Squibb Apr. 22, cell bladder cancer which is no longer 1993 amenable to local treatments such as surgery and/or radiotherapy. cisplatin Platinol Metastatic testicular-in established Bristol-Myers Squibb Dec. 19, combination therapy with other approved 1978 chemotherapeutic agents in patients with metastatic testicular tumors whoc have already received appropriate surgical and/or radiotherapeutic procedures. An established combination therapy consists of Platinol, Blenoxane and Velbam. cisplatin Platinol Metastatic ovarian tumors - in established Bristol-Myers Squibb Dec. 19, combination therapy with other approved 1978 chemotherapeutic agents: Ovarian-in established combination therapy with other approved chemotherapeutic agents in patients with metastatic ovarian tumors who have already received appropriate surgical and/or radiotherapeutic procedures. An established combination consists of Platinol and Adriamycin. Platinol, as a single agent, is indicated as secondary therapy in patients with metastatic ovarian tumors refractory to standard chemotherapy who have not previously received Platinol therapy. cisplatin- IntraDose not approved Matrix Pharmaceutical epinephrine (R), FocaCis gel (R) cladribine Leustatin, 2- Treatment of active hairy cell leukemia. R.W. Johnson Feb. 26, CdA Pharmaceutical Research 1993 Institute cytarabine DepoCyt Intrathecal therapy of lymphomatous Skye Pharmaceuticals Apr. 01, liposomal meningitis 1999 daunorubicin DanuoXome First line cytotoxic therapy for advanced, HIV Nexstar, Inc. Apr. 08, liposomal related Kaposi's sarcoma. 1996 daunorubicin, Daunorubicin Leukemia/myelogenous/monocytic/erythroid Bedford Labs Jan. 30, daunomycin of adults/remission induction in acute 1998 lymphocytic leukemia of children and adults. daunorubicin, Cerubidine In combination with approved anticancer Wyeth Ayerst Res Mar. 11, daunomycin drugs for induction of remission in adult ALL. 1987 dexrazoxane Zinecard reducing the incidence and severity of Pharmacia Oct. 31, cardiomyopathy associated with doxorubicin 2002 administration in women with metastatic breast cancer who have received a cumulative doxorubicin dose of 300 mg/m2 and who will continue to receive doxorubicin therapy to maintain tumor control. It is not recommended for use with the initiation of doxorubicin therapy. dexrazoxane Zinecard Prevention of cardiomyopathy associated with Pharmacia & Upjohn May 26, doxorubicin administration Company 1995 docetaxel Taxotere Treatment of patients with locally advanced or Aventis Pharmaceutical May 14, metastatic breast cancer who have progressed 1996 during anthracycline-based therapy or have relapsed during anthracycline-based adjuvant therapy. docetaxel Taxotere For locally advanced or metastatic non-small Aventis Pharmaceutical Dec. 23, cell lung cancer after failure of prior platinum- 1999 based chemotherapy. docetaxel Taxotere For the treatment of locally advanced or Aventis Pharmaceutical Jun. 22, metastatic breast cancer which has progressed 1998 during anthracycline-based treatment or relapsed during anthracycline-based adjuvant therapy. doxorubicin Adriamycin Antibiotic, antitumor agent. Pharmacia & Upjohn Dec. 23, PFS Injection Company 1987 doxorubicin Doxil Treatment of AIDS-related Kaposi's sarcoma Sequus Pharmaceuticals, Nov. 17, liposomal in patients with disease that has progressed on Inc. 1995 prior combination chemotherapy or in patients who are intolerant to such therapy. doxorubicin Doxil Treatment of metastatic carcinoma of the Sequus Pharmaceuticals, Jun. 28, liposomal ovary in patient with disease that is refractory Inc. 1999 to both paclitaxel and platinum based regimens Elliott's B Elliott's B Diluent for the intrathecal administration of Orphan Medical, Inc Sep. 27, Solution Solution methotrexate sodium and cytarabine for the 1996 prevention or treatment of meningeal leukemia or lymphocytic lymphoma. epirubicin Ellence A component of adjuvant therapy in patients Pharmacia & Upjohn Sep. 15, with evidence of axillary node tumor Company 1999 involvement following resection of primary breast cancer. estramustine Emcyt palliation of prostate cancer Pharmacia & Upjohn Dec. 24, Company 1981 etoposide Etopophos Management of refractory testicular tumors, Bristol-Myers Squibb May 17, phosphate in combination with other approved 1996 chemotherapeutic agents. etoposide Etopophos Management of refractory testicular tumors Bristol-Myers Squibb Feb. 27, phosphate and small cell lung cancer. 1998 etoposide Etopophos Management of small cell lung cancer, first- Bristol-Myers Squibb May 17, phosphate line, in combination with other approved 1996 chemotherapeutic agents. etoposide, VePesid In combination with other approved Bristol-Myers Squibb Dec. 30, VP-16 chemotherapeutic agents as first line treatment 1986 in patients with small cell lung cancer. etoposide, Vepesid Refractory testicular tumors-in combination Bristol-Myers Squibb Nov. 10, VP-16 therapy with other approved chemotherapeutic 1983 agents in patients with refractory testicular tumors who have already received appropriate surgical, chemotherapeutic and radiotherapeutic therapy. etoposide, Vepesid In combination with other approved Bristol-Myers Squibb Dec. 30, VP-16 chemotherapeutic agents as first line treatment 1986 in patients with small cell lung cancer. exemestane Aromasin Treatment of advance breast cancer in Pharmacia & Upjohn Oct. 21, postmenopausal women whose disease has Company 1999 progressed following tamoxifen therapy. fludarabine Fludara Palliative treatment of patients with B-cell Berlex Laboratories Inc. Apr. 18, lymphocytic leukemia (CLL) who have not 1991 responded or have progressed during treatment with at least one standard alkylating agent containing regimen. fluorouracil, Adrucil prolong survival in combination with ICN Puerto Rico Apr. 25, 5-FU leucovorin 1962 fulvestrant Faslodex the treatment of hormone receptor-positive IPR Apr. 25, metastatic breast cancer in postmenopausal 2002 women with disease progression following antiestrogen therapy gemcitabine Gemzar For use in combination with cisplatin for the Eli Lilly And Company Aug. 25, first-line treatment of patients with inoperable, 1998 locally advanced (Stage IIIA or IIIB) or metastatic (Stage IV) non-small cell lung cancer. gemcitabine Gemzar Treatment of patients with locally advanced Eli Lilly And Company May 15, (nonresectable stage II or III) or metastatic 1996 (stage IV) adenocarcinoma of the pancreas. Indicated for first-line treatment and for patients previously treated with a 5- fluorouracil-containing regimen. gemtuzumab- Mylotarg Treatment of CD33 positive acute myeloid Wyeth Ayerst Res May 17, ozogamicin leukemia in patients in first relapse who are 2000 60 years of age or older and who are not considered candidates for cytotoxic chemotherapy. goserelin Zoladex Palliative treatment of advanced breast cancer AstraZeneca Dec. 18, acetate Implant in pre- and perimenopausal women. Pharmaceuticals 1995 hydroxyurea Hydrea Decrease need for transfusions in sickle cell Bristol-Myers Squibb Feb. 25, Capsules anemia 1998 idarubicin Idamycin For use in combination with other approved Adria Laboratories Sep. 27, antileukemic drugs for the treatment of acute 1990 myeloid leukemia (AML) in adults. idarubicin Idamycin In combination with other approved Pharmacia & Upjohn Feb. 17, antileukemic drugs for the treatment of acute Company 1997 non-lymphocytic leukemia in adults. ifosfamide IFEX Third line chemotherapy of germ cell Bristol-Myers Squibb Dec. 30, testicular cancer when used in combination 1988 with certain other approved antineoplastic agents. imatinib Gleevec metastatic or unresectable malignant Novartis Feb. 01, mesylate gastrointestinal stromal tumors 2002 imatinib Gleevec Initial therapy of chronic myelogenous Novartis May 10, mesylate leukemia 2001 irinotecan Camptosar Treatment of patients with metastatic Pharmacia & Upjohn Jun. 14, carcinoma of the colon or rectum whose Company 1996 disease has recurred or progressed following 5-FU-based therapy. irinotecan Camptosar For first line treatment n combination with 5- Pharmacia & Upjohn Apr. 20, FU/leucovorin of metastatic carcinoma of the Company 2000 colon or rectum. irinotecan Camptosar Follow up of treatment of metastatic Pharmacia & Upjohn Oct. 22, carcinoma of the colon or rectum whose Company 1998 disease has recurred or progressed following 5-FU-based therapy. letrozole Femara Treatment of advanced breast cancer in Novartis Jul. 25, postmenopausal women. 1997 letrozole Femara First-line treatment of postmenopausal women Novartis Jan. 10, with hormone receptor positive or hormone 2001 receptor unknown locally advanced or metastatic breast cancer. leucovorin Wellcovorin, Leucovorin calcium is indicated fro use in Immunex Corporation Jun. 20, Leucovorin combination with 5-fluorouracil to prolong 1952 survival in the palliative treatment of patients with advanced colorectal cancer. leucovorin Leucovorin In combination with fluorouracil to prolong Lederle Laboratories Dec. 12, survival in the palliative treatment of patients 1991 with advanced colorectal cancer. levamisole Ergamisol Adjuvant treatment in combination with 5- Janssen Research Jun. 18, fluorouracil after surgical resection in patients Foundation 1990 with Dukes' Stage C colon cancer. liposomal DaunoXome “DaunoXome is indicated as a first line Vestar, Inc Jan. 28, daunorubicin cytotoxic therapy for advanced HIV- 1994 associated Kaposi's Sarcoma. DaunoXome is not recommended in patients with less than advnanced HIV-related Kaposi's Sarcoma.” melphalan, L- Alkeran Systemic administration for palliative Glaxo Smith Kline Nov. 18, PAM treatment of patients with multiple myeloma 1992 for whom oral therapy is not appropriate. mesna Mesnex Prevention of ifosfamide-induced Asta Medica Dec. 30, hemorrhagic cystitis 1988 methotrexate Methotrexate osteosarcoma Lederle Laboratories Apr. 07, 1988 methoxsalen Uvadex For the use of UVADEX with the UVAR Therakos Feb. 25, Photopheresis System in the palliative 1999 treatment of the skin manifestations of cutaneous T-cell lymphoma (CTCL) that is unresponsive to other forms of treatment. mitomycin C Mitozytrex therapy of disseminated adenocarcinoma of Supergen Nov. 14, the stomach or pancreas in proven 2002 combinations with other approved chemotherapeutic agents and as palliative treatment when other modalities have failed. mitoxantrone Novantrone For use in combination with corticosteroids as Immunex Corporation Nov. 13, initial chemotherapy for the treatment of 1996 patients with pain related to advanced hormone-refractory prostate cancer. mitoxantrone Novantrone For use with other approved drugs in the Lederle Laboratories Dec. 23, initial therapy for acute nonlymphocytic 1987 leukemia (ANLL) in adults. paclitaxel Paxene treatment of advanced AIDS-related Kaposi's Baker Norton Dec. 24, sarcoma after failure of first line or Pharmaceuticals, Inc 1997 subsequent systemic chemotherapy paclitaxel Taxol For first-line therapy for the treatment of Bristol-Myers Squibb Apr. 09, advanced carcinoma of the ovary in 1998 combination with cisplatin. paclitaxel Taxol Treatment of breast cancer after failure of Bristol-Myers Squibb Apr. 13, combination chemotherapy for metastatic 1994 disease or relapse within 6 months of adjuvant chemotherapy. Prior therapy should have included an anthracycline unless clinically contraindicated. paclitaxel Taxol for use in combination with cisplatin, for the Bristol-Myers Squibb Jun. 30, first-line treatment of non-small cell lung 1998 cancer in patients who are not candidates for potentially curative surgery and/or radiation therapy. paclitaxel Taxol For the adjuvant treatment of node-positive Bristol-Myers Squibb Oct. 25, breast cancer administered sequentially to 1999 standard doxorubicin-containing combination therapy. paclitaxel Taxol First line ovarian cancer with 3 hour infusion. Bristol-Myers Squibb Jun. 20, 2000 paclitaxel Taxol New dosing regimen for patients who have Bristol-Myers Squibb Jun. 22, failed initial or subsequent chemotherapy for 1994 metastatic carcinoma of the ovary paclitaxel Taxol Treatment of patients with metastatic Bristol-Myers Squibb Dec. 29, carcinoma of the ovary after failure of first- 1992 line or subsequent chemotherapy. paclitaxel Taxol second line therapy for AIDS related Kaposi's Bristol-Myers Squibb Aug. 04, sarcoma. 1997 pamidronate Aredia Treatment of osteolytic bone metastases of Novartis Sep. 22, breast cancer in conjunction with standard 1998 antineoplastic therapy. Pegademase Adagen Enzyme replacement therapy for patients with Enzon Mar. 21, (Pegademase severe combined immunodeficiency asa result 1990 Bovine) of adenosine deaminase deficiency. pentostatin Nipent Single agent treatment for adult patients with Parke-Davis Oct. 11, alpha interferon refractory hairy cell Pharmaceutical Co. 1991 leukemia. pentostatin Nipent Single-agent treatment for untreated hairy cell Parke-Davis Sep. 29, leukemia patients with active disease as Pharmaceutical Co. 1993 defined by clinically significant anemia, neutropenia, thrombocytopenia, or disease- related symptoms. (Supplement for front-line therapy.) porfimer Photofrin For use in photodynamic therapy (PDT) for QLT Phototherapeutics Inc. Dec. 27, sodium palliation of patients with completely 1995 obstructing esophageal cancer, or patients with partially obstructing esophageal cancer who cannot be satisfactorily treated with ND- YAG laser therapy. porfimer Photofrin For use in photodynamic therapy (PDT) for QLT Phototherapeutics Inc. Dec. 22, sodium reduction of obstruction and palliation of 1998 symptoms in patients with completely or partially obstructing endobroncial nonsmall cell lung cancer (NSCLC). porfimer Photofrin For use in photodynamic therapy for treatment QLT Phototherapeutics Inc. Jan. 09, sodium of microinvasive endobronchial nonsmall cell 1998 lung cancer in patients for whom surgery and radiotherapy are not indicated. streptozocin Zanosar Antineoplastic agent. Pharmacia & Upjohn May 07, Company 1982 talc Sclerosol For the prevention of the recurrence of Bryan Dec. 24, malignant pleural effusion in symptomatic 1997 patients. tamoxifen Nolvadex For use in women with axillary node-negative AstraZeneca Jun. 21, breast cancer adjuvant therapy. Pharmaceuticals 1990 tamoxifen Nolvadex As a single agent to delay breast cancer AstraZeneca Dec. 03, recurrence following total mastectomy and Pharmaceuticals 1986 axillary dissection in postmenopausal women with breast cancer (T1-3, N1, M0) tamoxifen Nolvadex to reduce the incidence of breast cancer in AstraZeneca Oct. 29, women at high risk for breast cancer Pharmaceuticals 1998 tamoxifen Nolvadex Metastatic breast cancer in men. AstraZeneca Apr. 01, Pharmaceuticals 1993 tamoxifen Nolvadex to reduce the incidence of breast cancer in AstraZeneca Oct. 29, women at high risk for breast cancer Pharmaceuticals 1998 tamoxifen Nolvadex In women with DCIS, following breast AstraZeneca Jun. 29, surgery and radiation, Nolvadex is indicated Pharmaceuticals 2000 to reduce the risk of invasive breast cancer. tamoxifen Nolvadex Equal bioavailability of a 20 mg Nolvadex AstraZeneca Mar. 21, tablet taken once a day to a 10 mg Nolvadex Pharmaceuticals 1994 tablet taken twice a day. tamoxifen Nolvadex For use in premenopausal women with AstraZeneca Mar. 16, metastatic breast cancer as an alternative to Pharmaceuticals 1989 oophorectomy or ovarian irradiation temozolamide Temodar Treatment of adult patients with refractory Schering Aug. 11, anaplastic astrocytoma, i.e., patients at first 1999 relapse with disease progression on a nitrosourea and procarbazine containing regimen teniposide, Vumon In combination with other approved Bristol-Myers Squibb Jul. 14, VM-26 anticancer agents for induction therapy in 1992 patients with refractory childhood acute lymphoblastic leukemia (all). topotecan Hycamtin Treatment of patients with metastatic Glaxo Smith Kline May 28, carcinoma of the ovary after failure of initial 1996 or subsequent chemotherapy. topotecan Hycamtin Treatment of small cell lung cancer sensitive Glaxo Smith Kline Nov. 30, disease after failure of first-line 1998 chemotherapy. In clinical studies submitted to support approval, sensitive disease was defined as disease responding to chemotherapy but subsequently progressing at least 60 days (in the phase 3 study) or at least 90 days (in the phase 2 studies) after chemotherapy toremifene Fareston Treatment of advanced breast cancer in Orion Corp. May 29, postmenopausal women. 1997 tretinoin, Vesanoid Induction of remission in patients with acute Roche Nov. 22, ATRA promyelocytic leukemia (APL) who are 1995 refractory to or unable to tolerate anthracycline based cytotoxic chemotherapeutic regimens. valrubicin Valstar For intravesical therapy of BCG-refractory Anthra --> Medeva Sep. 25, carcinoma in situ (CIS) of the urinary bladder 1998 in patients for whom immediate cystectomy would be associated with unacceptable morbidity or mortality. vinorelbine Navelbine Single agent or in combination with cisplatin Glaxo Smith Kline Dec. 23, for the first-line treatment of ambulatory 1994 patients with unresectable, advanced non- small cell lung cancer (NSCLC). vinorelbine Navelbine Navelbine is indicated as a single agent or in GlaxoSmithKline Nov. 05, combination with cisplatin for the first-line 2002 treatment of ambulatory patients with unreseactable, advanced non-small cell lung cancer (NSCLC). In patients with Stage IV NSCLC, Navelbine is indicated as a single agent or in combination with cisplatin. In Stage III NSCLC, Navelbine is indicated in combination with cisplatin. zoledronate Zometa the treatment of patients with multiple Novartis Feb. 22, myeloma and patients with documented bone 2002 metastases from solid tumors, in conjunction with standard antineoplastic therapy. Prostate cancer should have progressed after treatment with at least one hormonal therapy