заявка
№ US 20130022918
МПК G03F7/027

RESIST COMPOSITION AND METHOD FOR PRODUCING RESIST PATTERN

Авторы:
Koji ICHIKAWA Takashi HIRAOKA Hiromu SAKAMOTO
Все (9)
Правообладатель:
Номер заявки
13551855
Дата подачи заявки
18.07.2012
Опубликовано
24.01.2013
Страна
US
Дата приоритета
16.12.2025
Номер приоритета
Страна приоритета
Как управлять
интеллектуальной собственностью
Реферат

A resist composition having a resin having a structural unit represented by the formula (I), a resin being insoluble or poorly soluble in alkali aqueous solution, but becoming soluble in an alkali aqueous solution by the action of an acid and not including the structural unit represented by the formula (I), and an acid generator, wherein R1, A1, R2, Rb1, Rb2, Lb1, ring Wb1, Rb3, Rb4, and Z1+ are defined in the specification.

Формула изобретения

1. A resist composition comprising

a resin having a structural unit represented by the formula a resin being insoluble or poorly soluble in alkali aqueous solution, but becoming soluble in an alkali aqueous solution by the action of an acid and not including the structural unit represented by the formula (I), and

an acid generator represented by the formula (II),

wherein R1represents a hydrogen atom or a methyl group;

A1represents a C1to C6alkanediyl group;

R2represents a C1to C10hydrocarbon group having a fluorine atom;

wherein Rb1and Rb2independently represent a fluorine atom or a C1to C6perfluoroalkyl group;

Lb1represents a C1to C17divalent saturated hydrocarbon group, one or more —CH2— contained in the saturated hydrocarbon group may be replaced by —O— or —CO—;

ring Wb1represents a C2to C36heterocycle;

Rb3represents a hydrogen atom or a C1to C12hydrocarbon group, one or more —CH2— contained in the hydrocarbon group may be replaced by —O— or —CO—;

Rb4in each occurrence independently represent a C1to C6hydrocarbon group, one or more —CH2— contained in the hydrocarbon group may be replaced by —O— or —CO—;

m represents an integer of 0 to 6; and

Z1+ represents an organic cation.

2. The resist composition according to claim 1, wherein A1in the formula (I) is an ethylene group.

3. The resist composition according to claim 1, wherein R2in the formula (I) is a C1to C6fluorinated alkyl group.

4. The resist composition according to claim 1, wherein Lb1is a group represented by formula (L1-1)

wherein Lb2represents a single bond or a C1to C15divalent saturated hydrocarbon group and

* represent a bond to the carbon atom of —C(Rb1)(Rb2)—.

5. The resist composition according to claim 1, wherein Z1+ is a triaryl sulfonium cation.

6. The resist composition according to claim 1, which further comprises a solvent.

7. A method for producing a resist pattern comprising steps of;

(1) applying the resist composition of claim 1 onto a substrate;

(2) drying the applied composition to form a composition layer;

(3) exposing the composition layer;

(4) heating the exposed composition layer, and

(5) developing the heated composition layer.

Описание

CROSS-REFERENCE TO RELATED APPLICATIONS

[0001]

This application claims priority to Japanese Application No. 2011-157521 filed on Jul. 19, 2011. The entire disclosures of Japanese Application No. 2011-157521 is incorporated hereinto by reference.

BACKGROUND OF THE INVENTION

[0002]

1. Field of the Invention

[0003]

The present invention relates to a resist composition and a method for producing a resist pattern.

[0004]

2. Background Information

[0005]

A resist composition which contains a resin including a polymer having a structural unit (u-A) and a structural unit (u-B), and a polymer having a structural unit (u-B), a structural unit (u-C) and a structural unit (u-D), and an acid generator, is described in Patent document of JP-2010-197413A.

[0000]

[0006]

However, with the conventional resist composition, the exposure margin (EL) at producing a resist pattern may be not always satisfied with.

SUMMARY OF THE INVENTION

[0007]

The present invention provides following inventions of <1> to <7>.

[0008]

<1> A resist composition comprising

[0009]

a resin having a structural unit represented by the formula (I),

[0010]

a resin being insoluble or poorly soluble in alkali aqueous solution, but becoming soluble in an alkali aqueous solution by the action of an acid and not including the structural unit represented by the formula (I), and

[0011]

an acid generator represented by the formula (II),

[0000]

[0012]

wherein R1represents a hydrogen atom or a methyl group;

[0013]

A1represents a C1to C6alkanediyl group;

[0014]

R2represents a C1to C10hydrocarbon group having a fluorine atom;

[0000]

[0015]

wherein Rb1and Rb2independently represent a fluorine atom or a C1to C6perfluoroalkyl group;

[0016]

Lb1represents a C1to C17divalent saturated hydrocarbon group, one or more —CH2— contained in the saturated hydrocarbon group may be replaced by —O— or —CO—;

[0017]

ring Wb1represents a C2to C36heterocycle;

[0018]

Rb3represents a hydrogen atom or a C1to C12hydrocarbon group, one or more —CH2— contained in the hydrocarbon group may be replaced by —O— or —CO—;

[0019]

Rb4in each occurrence independently represent a C1to C6hydrocarbon group, one or more —CH2— contained in the hydrocarbon group may be replaced by —O— or —CO—;

[0020]

m represents an integer of 0 to 6; and

[0021]

Z1+ represents an organic cation.

[0022]

<2> The resist composition according to <1>, wherein A1in the formula (I) is an ethylene group.

[0023]

<3> The resist composition according to <1> or <2>, wherein R2in the formula (I) is a C1to C6fluorinated alkyl group.

[0024]

<4> The resist composition according to any one of <1> to <3>, wherein Lb1is a group represented by formula (L1-1)

[0000]

[0025]

wherein Lb2represents a single bond or a C1to C15saturated hydrocarbon group and

[0026]

* represent a bond to the carbon atom of —C(Rb1)(Rb2)—.

[0027]

<5> The resist composition according to any one of <1> to <4>, wherein Z1+ is a triaryl sulfonium cation.

[0028]

<6> The resist composition according to any one of <1> to <5>, which further comprises a solvent.

[0029]

<7> A method for producing a resist pattern comprising steps of;

[0030]

(1) applying the resist composition of any one of <1> to <5> onto a substrate;

[0031]

(2) drying the applied composition to form a composition layer;

[0032]

(3) exposing the composition layer;

[0033]

(4) heating the exposed composition layer, and

[0034]

(5) developing the heated composition layer.

DETAILED DESCRIPTION OF THE PREFERRED EMBODIMENTS

[0035]

In the chemical structure formulas of the present specification, unless otherwise specified, the suitable choice of carbon number made for the exemplified substituent groups are applicable in all of the chemical structure formulas that have those same substituent groups. Unless otherwise specified, these can include any of straight-chain, branched chain, cyclic structure and a combination thereof. When there is a stereoisomeric form, all stereoisomeric forms included.

[0036]

“(Meth)acrylic monomer” means at least one monomer having a structure of “CH2═CH—CO—” or “CH2═C(CH3)—CO—”, as well as “(meth)acrylate” and “(meth)acrylic acid” mean “at least one acrylate or methacrylate” and “at least one acrylic acid or methacrylic acid,” respectively.

<Resist Composition>

[0037]

The resist composition of the present invention contains;

[0038]

a resin (hereinafter may be referred to as “resin (A)”), and

[0039]

an acid generator represented by the formula (II) (hereinafter may be referred to as “acid generator (II)”).

[0040]

Further, the present resist composition preferably contains a solvent (hereinafter may be referred to as “solvent (E)”) and/or an additive such as a basic compound (hereinafter may be referred to as “basic compound (C)”) which is known as a quencher in this technical field, as needed.

<Resin (A)>

[0041]

The resin (A) includes;

[0042]

a resin having a structural unit represented by the formula (I) (hereinafter is sometimes referred to as “resin (A1)”), and

[0043]

a resin being insoluble or poorly soluble in alkali aqueous solution, but becoming soluble in an alkali aqueous solution by the action of an acid and not including the structural unit represented by the formula (I) (hereinafter is sometimes referred to as “resin (A2)”).

[0044]

Also, the resin (A) may contain a structural unit other than the resin (A1) and resin (A2).

<Resin (A1)>

[0045]

The resin (A1) has a structural unit represented by the formula (I) (hereinafter may be referred to as “structural unit (I)”).

[0000]

[0046]

wherein R1represents a hydrogen atom or a methyl group;

[0047]

A1represents a C1to C6alkanediyl group;

[0048]

R2represents a C1to C10hydrocarbon group having a fluorine atom;

[0049]

In the formula (I), examples of the alkanediyl group of A1include a chain alkanediyl group such as methylene, ethylene, propane-1,3-diyl, propane-1,2-diyl, butane-1,4-diyl, pentane-1,5-diyl, hexane-1,6-diyl; a branched alkanediyl group such as 1-methylpropane-1,3-diyl, 2-methylpropane-1,3-diyl, 2-methylpropane-1,2-diyl, 1-methylbutane-1,4-diyl, 2-methylbutane-1,4-diyl groups.

[0050]

The hydrocarbon group of R2may be any of an aliphatic hydrocarbon group, an aromatic hydrocarbon group and a combination of two or more such groups. The aliphatic hydrocarbon group may be any of a chain and cyclic aliphatic hydrocarbon group, and a combination of two or more such groups. The aliphatic hydrocarbon group may include a carbon-carbon double bond, and is preferably a saturated aliphatic hydrocarbon group, i.e., an alkyl group and an alicyclic hydrocarbon group.

[0051]

Examples of the alkyl group include methyl, ethyl, n-propyl, iso-propyl, n-butyl, sec-butyl, tert-butyl, iso-butyl, n-pentyl, iso-pentyl, tert-pentyl, neo-pentyl, hexyl, octyl and 2-ethylhexyl groups.

[0052]

The alicyclic hydrocarbon group may be either monocyclic or polycyclic hydrocarbon group. Examples of the monocyclic alicyclic hydrocarbon group include cyclopropyl, cyclobutyl, cyclopentyl, cyclohexyl, cycloheptyl, cyclooctyl and cyclodecyl groups. Examples of the polycyclic alicyclic hydrocarbon group include decahydronaphtyl, adamantyl, 2-alkyladamantane-2-yl, 1-(adamantane-1-yl)alkane-1-yl, norbornyl, methylnorbornyl and isobornyl groups.

[0053]

Examples of the aromatic hydrocarbon group include an aryl group such as phenyl, naphthyl, anthryl, p-methylphenyl, p-tert-butylphenyl, p-adamantylphenyl, tolyl, xylyl, cumenyl, mesityl, biphenyl, phenanthryl, 2,6-diethylphenyl and 2-methyl-6-ethylphenyl groups.

[0054]

The hydrocarbon group having a fluorine atom of R2is preferably an alkyl group having a fluorine atom and an alicyclic hydrocarbon group having a fluorine atom.

[0055]

Examples of the alkyl group having a fluorine atom include a fluorinated alkyl group such as difluoromethyl, trifluoromethyl, 1,1-difluoroethyl, 2,2-difluoroethyl, 1,1,1-trifluoroethyl, 2,2,2-trifluoroethyl, perfluoroethyl, 1,1,2,2-tetrafluoropropyl, 1,1,2,2,3,3-hexafluoropropyl, perfluoroethylmethyl, 1-(trifluoromethyl)-1,2,2,2-tetratrifluoroethyl, perfluoropropyl, 1,1,2,2-tetrafluorobutyl, 1,1,2,2,3,3-hexafluorobutyl, 1,1,2,2,3,3,4,4-octafluorobutyl, perfluorobutyl, 1,1-bis(trifluoro)methyl-2,2,2-trifluoroethyl, 2-(perfluoropropyl)ethyl, 1,1,2,2,3,3,4,4-octafluoropentyl, perfluoropentyl, 1,1,2,2,3,3,4,4,5,5-decafluoropentyl, 1,1-bis(trifluoromethyl)-2,2,3,3,3-pentafluoropropyl, perfluoropentyl, 2-(perfluorobutyl)ethyl, 1,1,2,2,3,3,4,4,5,5-decafluorohexyl, 1,1,2,2,3,3,4,4,5,5,6,6-dodecafluorohexyl, perfluoropentylmethyl, perfluorohexyl, perfluoroheptyl and perfluorooctyl groups.

[0056]

Examples of the alicyclic hydrocarbon group having a fluorine atom include a fluorinated cycloalkyl group such as perfluocyclohexyl and perfluoroadamantyl groups.

[0057]

A1in the formula (I) is preferably a C2to C4alkanediyl group, and more preferably an ethylene group.

[0058]

R2is preferably a fluorinated alkyl group, and more preferably a C1to C6fluorinated alkyl group.

[0059]

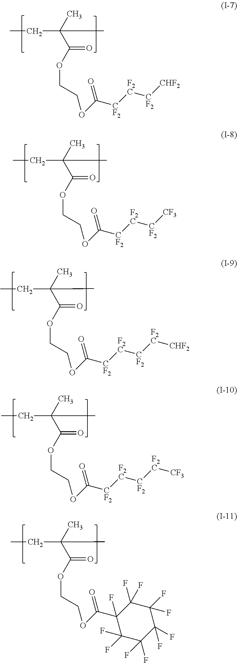
Specific examples of the structural units (I) include as follows.

[0000]

[0060]

Also, examples of the structural units (I) include structural units in which a methyl group corresponding to R1in the structural units represented by the above is replaced by a hydrogen atom.

[0061]

The structural unit (I) is derived from a compound represented by the formula (I′), hereinafter may be referred to as “compound (I′)”.

[0000]

[0062]

wherein A1, R1and R2have the same definition of the above.

[0063]

The compound (I′) can be produced by a method below.

[0000]

[0064]

wherein A1, R1and R2have the same definition of the above.

[0065]

The compound (I′) can be obtained by reacting a compound represented by the formula (1′-1) with a compound represented by the formula (I′-2) in presence of a basic catalyst in a solvent. Preferred examples of the basic catalyst include pyridine. Preferred examples of the solvent include tetrahydrofuran.

[0066]

As the compound represented by the formula (I′-1), a marketed product may be used. The hydroxyethyl methacrylate can be used as a marketed product.

[0067]

The compound represented by the formula (I′-2) can be obtained by converting corresponding carboxylic acid, depending on the kinds of R2, into an anhydride. The heptafluoro butyric anhydride can be used as a marketed product.

[0068]

The resin (A1) may include a structural unit other than the structural unit (I).

[0069]

Examples of the structural unit other than the structural unit (I) include a structural unit derived from a monomer having an acid labile group described below (hereinafter may be referred to as “-acid labile monomer (a1)”), a structural unit derived from a monomer not having an acid labile group described below (hereinafter may be referred to as “-acid stable monomer”), a structural unit derived from a known monomer in this field, a structural unit represented by the formula (IIIA) described below (hereinafter is sometimes referred to as “structural unit (IIIA)”). Among these, the structural unit (IIIA) is preferable.

[0000]

[0070]

wherein R11represents a hydrogen atom or a methyl group;

[0071]

ring W2represents a C6to C10hydrocarbon ring;

[0072]

A12represents —O—, *—CO—O— or * —O—CO—, * represents a bond to ring W2;

[0073]

R12represents a C1to C6alkyl group having a fluorine atom.

[0074]

The hydrocarbon ring of the ring W2may be an alicyclic hydrocarbon ring, and preferably a saturated alicyclic hydrocarbon ring.

[0075]

Examples of the saturated aliphatic hydrocarbon ring include a ring below.

[0000]

[0076]

As the ring W2, an adamantane ring and cyclohexane ring are preferable, and an adamantane ring is more preferable.

[0077]

Examples of the alkyl group having a fluorine atom of the R12include a fluorinated alkyl group such as, groups described below, difluoromethyl, trifluoromethyl, 1,1-difluoroethyl, 2,2-difluoroethyl, 2,2,2-trifluoroethyl, perfluoroethyl, 1,1,2,2-tetrafluoropropyl, 1,1,2,2,3,3-hexafluoropropyl, perfluoro ethylmethyl, 1-(trifluoromethyl)-1,2,2,2-tetrafluoroethyl, perfluoropropyl, 1,1,2,2-tetrafluorobutyl, 1,1,2,2,3,3-hexafluorobutyl, 1,1,2,2,3,3,4,4-octafluorobutyl, perfluorobutyl, 1,1-bis(trifluoro)methyl-2,2,2-trifluoroethyl, 2-(perfluoropropyl)ethyl, 1,1,2,2,3,3,4,4-octafluoropentyl, perfluoropentyl, 1,1,2,2,3,3,4,4,5,5-decafluoropentyl, 1,1-bis(trifluoromethyl)-2,2,3,3,3-pentafluoropropyl, perfluoropentyl, 2-(perfluorobutyl)ethyl, 1,1,2,2,3,3,4,4,5,5-decafluorohexyl, 1,1,2,2,3,3,4,4,5,5,6,6-dodecafluorohexyl, perfluoro pentylmethyl and perfluorohexyl groups.

[0000]

[0078]

Examples of the structural unit represented by the formula (IIIA) include structural units below.

[0000]

[0079]

Also, examples of the structural units (IIIA) include structural units in which a methyl group corresponding to R11in the structural units represented by the above is replaced by a hydrogen atom.

[0080]

Among these, the structural unit (IIIA-1) and the structural unit (IIIA-1) in which a methyl group corresponding to R11in the structural unit (IIIA-1) represented by the above is replaced by a hydrogen atom are preferable.

[0081]

The proportion of the structural unit (I) in the resin (A1) is generally 5 to 100 mol %, preferably 10 to 100 mol %, more preferably 50 to 100 mol %, still more preferably 80 to 100 mol %, and, in particular, preferably almost 100 mol %, with respect to the total structural units (100 mol %) constituting the resin (A1).

[0082]

Within the proportion of the structural unit (I), it is possible to produce a resist pattern with defect-free.

[0083]

When the resin (A1) contains the structural unit (MA), the proportion thereof in the resin (A1) is generally 1 to 95 mol %, preferably 2 to 80 mol %, more preferably 5 to 70 mol %, still more preferably 5 to 50 mol % and in particular preferably 5 to 30 mol %, with respect to the total structural units (100 mol %) constituting the resin (A1).

[0084]

For achieving the proportion of the structural unit (I) and/or the structural unit (IIIA) in the resin (A1) within the above range, the amount of the compound (I′) and/or a monomer giving the structural unit (IIIA) to be used can be adjusted with respect to the total amount of the monomer to be used when the resin (A1) is produced (the same shall apply hereinafter for corresponding adjustment of the proportion).

[0085]

The resin (A1) can be produced by a known polymerization method, for example, radical polymerization method, using at least one of the compound (I′) and/or at least one of the monomer giving the structural unit (IIIA), and optionally at least one of the acid labile monomer (a1), at least one of the acid stable monomer and/or at least one of a known compound.

[0086]

The weight average molecular weight of the resin (A) is preferably 5,000 or more (more preferably 7,000 or more, and still more preferably 10,000 or more), and 80,000 or less (more preferably 50,000 or less, and still more preferably 30,000 or less).

[0087]

The weight average molecular weight is a value determined by gel permeation chromatography using polystyrene as the standard product. The detailed condition of this analysis is described in Examples.

<Resin (A2)>

[0088]

The resin (A2) is a resin having properties which is insoluble or poorly soluble in alkali aqueous solution, but becomes soluble in an alkali aqueous solution by the action of an acid. Here “a resin becoming soluble in an alkali aqueous solution by the action of an acid” means a resin that has an acid labile group and is insoluble or poorly soluble in aqueous alkali solution before contact with the acid, and becomes soluble in aqueous alkali solution after contact with an acid.

[0089]

Therefore, the resin (A2) is preferably a resin having at least one structural unit derived from an acid labile monomer (a1).

[0090]

Also, the resin (A2) may include a structural unit other than the structural unit having the acid labile group as long as the resin (A2) has above properties and does not have the structural unit (I).

[0091]

Examples of the structural unit other than the structural unit having the acid labile group include a structural unit derived from the acid stable monomer, the structural unit derived from a known monomer in this field, the structural units represented by the formula (IIIA) described above.

[0000]

<Acid Labile Monomer (a1)>

[0092]

The “acid labile group” means a group which has an elimination group and in which the elimination group is detached by contacting with an acid resulting in forming a hydrophilic group such as a hydroxy or carboxy group. Examples of the acid labile group include a group represented by the formula (I) and a group represented by the formula (2). Hereinafter a group represented by the formula (I) may refer to as an “acid labile group (1)”, and a group represented by the formula (2) may refer to as an “acid labile group (2)”.

[0000]

[0093]

wherein Ra1to Ra3independently represent a C1to C8alkyl group or a C3to C20alicyclic hydrocarbon group, or Ra1and Ra2may be bonded together to form a C2to C20divalent hydrocarbon group, * represents a bond. In particular, the bond here represents a bonding site (the similar shall apply hereinafter for “bond”).

[0000]

[0094]

wherein Ra1′ and Ra2′ independently represent a hydrogen atom or a C1to C12hydrocarbon group, Ra3′ represents a C1to C20hydrocarbon group, or Ra2′ and Ra3′ may be bonded together to form a divalent C2to C20hydrocarbon group, and one or more —CH2— contained in the hydrocarbon group or the divalent hydrocarbon group may be replaced by —O— or —S—, * represents a bond.

[0095]

Examples of the alkyl group of Ra1to Ra3include methyl, ethyl, propyl, butyl, pentyl and hexyl groups.

[0096]

Examples of the alkyl group of Ra1to Ra3include methyl, ethyl, propyl, butyl, pentyl and hexyl groups.

[0097]

Examples of the alicyclic hydrocarbon group of Ra1to Ra3include monocyclic hydrocarbon groups such as a cycloalkyl group, i.e., cyclopentyl, cyclohexyl, methylcyclohexyl, dimethylcyclohexyl, cycloheptyl, cyclooctyl groups; and polycyclic hydrocarbon groups such as decahydronaphtyl, adamantyl, norbornyl (i.e., bicyclo[2.2.1]heptyl), and methyl norbornyl groups as well as groups below.

[0000]

[0098]

The hydrogen atom contained in the alicyclic hydrocarbon group of Ra1to Ra3may be replaced an alkyl group. In this case, the carbon number of the alicyclic hydrocarbon group is comparable to the total carbon number of the alkyl group and the alicyclic hydrocarbon group.

[0099]

The alicyclic hydrocarbon group of Ra1to Ra3preferably has 3 to 16 carbon atoms, and more preferably has 4 to 16 carbon atoms.

[0100]

When Ra1and Ra2is bonded together to form a C2to C20hydrocarbon group, examples of the group-C(Ra1)(Ra2)(Ra3) include groups below. The divalent hydrocarbon group preferably has 3 to 12 carbon atoms. * represents a bond to —O—.

[0000]

[0101]

Specific examples of the acid labile group (1) include, for example,

[0102]

1,1-dialkylalkoxycarbonyl group (a group in which Ra1to Ra3are alkyl groups, preferably tert-butoxycarbonyl group, in the formula (1)), 2-alkyladamantane-2-yloxycarbonyl group (a group in which Ra1, Ra2and a carbon atom form adamantyl group, and Ra3is alkyl group, in the formula (I)), and 1-(adamantane-1-yl)-1-alkylalkoxycarbonyl group (a group in which Ra1and Ra2are alkyl group, and Ra3is adamantyl group, in the formula (I)).

[0103]

The hydrocarbon group of Ra1′ to Ra3′ includes any of an alkyl group, an alicyclic hydrocarbon group and an aromatic hydrocarbon group.

[0104]

Examples of the aromatic hydrocarbon group include an aryl group such as phenyl, naphthyl, anthryl, p-methylphenyl, p-tert-butylphenyl, p-adamantylphenyl, tolyl, xylyl, cumenyl, mesityl, biphenyl, phenanthryl, 2,6-diethylphenyl and 2-methyl-6-ethylphenyl groups.

[0105]

Examples of the divalent hydrocarbon group which is formed by bonding with Ra2′ and Ra3′ include a divalent aliphatic hydrocarbon group.

[0106]

At least one of Ra1′ and Ra2′ is preferably a hydrogen atom.

[0107]

Specific examples of the acid labile group (2) include a group below.

[0000]

[0108]

The acid labile monomer (a1) is preferably a monomer having an acid labile group and a carbon-carbon double bond, and more preferably a (meth)acrylic monomer having the acid labile group.

[0109]

Among the (meth)acrylic monomer having an acid labile group, it is preferably a monomer having a C5to C20alicyclic hydrocarbon group. When a resin which can be obtained by polymerizing monomers having bulky structure such as the alicyclic hydrocarbon group is used, the resist composition having excellent resolution tends to be obtained during the production of a resist pattern.

[0110]

Examples of the (meth)acrylic monomer having the acid labile group (1) and a carbon-carbon double bond preferably include a monomer represented by the formula (a1-1) and a monomer represented by the formula (a1-2), below (hereinafter are sometimes referred to as a “monomer (a1-1)” and a “monomer (a1-2)”). These may be used as a single monomer or as a combination of two or more monomers.

[0000]

[0111]

wherein La1and La2independently represent *—O— or *—O—(CH2)k1—CO—O—, k1 represents an integer of 1 to 7, * represents a bond to the carbonyl group;

[0112]

Ra4and Ra5independently represent a hydrogen atom or a methyl group;

[0113]

Ra6and Ra7independently represent a C1to C8alkyl group or a C3to C10alicyclic hydrocarbon group;

[0114]

m1 represents an integer 0 to 14;

[0115]

n1 represents an integer 0 to 10; and

    • n1′ represents an integer 0 to 3.

[0117]

In the formula (a1-1) and the formula (a1-2), La1and La2are preferably *—O— or *—O—(CH2)k1′—CO—O—, here k1′ represents an integer of 1 to 4 and more preferably 1, and more preferably *—O.

[0118]

Ra4and Ra5are preferably a methyl group.

[0119]

Examples of the alkyl group of Ra6and Ra7include methyl, ethyl, propyl, butyl, pentyl, hexyl and octyl groups. Among these, the alkyl group of Ra6and Ra7is preferably a C1to C6alkyl group.

[0120]

Examples of the alicyclic hydrocarbon group of Ra6and Ra7include monocyclic hydrocarbon groups such as cyclopentyl, cyclohexyl, methylcyclohexyl, dimethylcyclohexyl, cycloheptyl, cyclooctyl groups; and polycyclic hydrocarbon groups such as decahydronaphtyl, adamantyl, norbornyl (i.e., bicyclo[2.2.1]heptyl), and methyl norbornyl groups as well as groups above. Among these, the alicyclic hydrocarbon group of Ra6and Ra7is preferably a C3to C8alicyclic hydrocarbon group, and more preferably a C3to C6alicyclic hydrocarbon group.

[0121]

m1 is preferably an integer of 0 to 3, and more preferably 0 or 1.

[0122]

n1 is preferably an integer of 0 to 3, and more preferably 0 or 1.

[0123]

n1∝ is preferably 0 or 1, and more preferably 1.

[0124]

Examples of the monomer (a 1-1) include monomers described in JP 2010-204646A. Among these, the monomers are preferably monomers represented by the formula (a1-1-1) to the formula (a 1-1-8), and more preferably monomers represented by the formula (a 1-1-1) to the formula (a 1-1-4) below.

[0000]

[0125]

Examples of the monomer (a1-2) include 1-ethyl-1-cyclopentane-1-yl (meth)acrylate, 1-ethyl-1-cyclohexane-1-yl (meth)acrylate, 1-ethyl-1-cycloheptane-1-yl (meth)acrylate, 1-methyl-1-cyclopentane-1-yl (meth)acrylate and 1-isopropyl-1-cyclopentane-1-yl (meth)acrylate. Among these, the monomers are preferably monomers represented by the formula (a1-2-1) to the formula (a1-2-12), and more preferably monomers represented by the formula (a1-2-3), the formula (a1-2-4), the formula (a1-2-9) and the formula (a1-2-10), and still more preferably monomers represented by the formula (a1-2-3) and the formula (a1-2-9) below.

[0000]

[0126]

When the resin (A2) contains the structural unit (a1-1) and/or the structural unit (a1-2), the total proportion thereof is generally 10 to 95 mol %, preferably 15 to 90 mol %, more preferably 20 to 85 mol %, with respect to the total structural units (100 mol %) of the resin (A2).

[0127]

Examples of a monomer having an acid-labile group (2) and a carbon-carbon double bond include a monomer represented by the formula (a1-5). Such monomer is sometimes hereinafter referred to as “monomer (a1-5)”. When the resin (A2) has the structural unit derived from the monomer (a1-5), a resist pattern tends to be obtained with less defects.

[0000]

[0128]

wherein R31represents a hydrogen atom, a halogen atom or a C1to C6alkyl group that optionally has a halogen atom;

[0129]

Z1represents a single bond or *—O—(CH2)k4—CO-L4-, k4 represents an integer of 1 to 4, * represents a bond to L1;

[0130]

L1, L2, L3and L4independently represent *—O— or *—S—.

[0131]

s1 represents an integer of 1 to 3;

[0132]

s1′ represents an integer of 0 to 3.

[0133]

In the formula (a1-5), R31is preferably a hydrogen atom, a methyl group or trifluoromethyl group;

[0134]

L1is preferably —O—;

[0135]

L2and L3are independently preferably *—O— or *—S—, and more preferably —O— for one and —S— for another;

[0136]

s1 is preferably 1;

[0137]

s1′ is preferably an integer of 0 to 2;

[0138]

Z1is preferably a single bond or —CH2—CO—O—.

[0139]

Examples of the monomer (a1-5) include monomers below.

[0000]

[0140]

When the resin (A2) contains the structural unit derived from the monomer (a 1-5), the proportion thereof is generally 1 to 50 mol %, preferably 3 to 45 mol %, and more preferably 5 to 40 mol %, with respect to the total structural units (100 mol %) constituting the resin (A2).

<Acid Stable Monomer>

[0141]

As the acid stable monomer, a monomer having a hydroxy group or a lactone ring is preferable. When a resin containing the structural unit derived from a monomer having hydroxy group (hereinafter such acid stable monomer is sometimes referred to as “acid stable monomer (a2)”) or a acid stable monomer having a lactone ring (hereinafter such acid stable monomer is sometimes referred to as “acid stable monomer (a3)”) is used, the adhesiveness of resist pattern to a substrate and resolution of resist pattern tend to be improved.

[0000]

<Acid Stable Monomer (a2)>

[0142]

The acid stable monomer (a2), which has a hydroxy group, is preferably selected depending on the kinds of an exposure light source at producing the resist pattern.

[0143]

When KrF excimer laser lithography (248 nm), or high-energy irradiation such as electron beam or EUV light is used for the resist composition, using the acid stable monomer having a phenolic hydroxy group such as hydroxystyrene as the acid stable monomer (a2) is preferable.

[0144]

When ArF excimer laser lithography (193 nm), i.e., short wavelength excimer laser lithography is used, using the acid stable monomer having a hydroxy adamantyl group represented by the formula (a2-1) as the acid stable monomer (a2) is preferable.

[0145]

The acid stable monomer (a2) having the hydroxy group may be used as a single monomer or as a combination of two or more monomers.

[0146]

Examples of the acid stable monomer having hydroxy adamantyl include the monomer represented by the formula (a2-1).

[0000]

[0147]

wherein La3represents —O— or *—O—(CH2)k2—CO—O—;

[0148]

k2 represents an integer of 1 to 7;

    • * represents a bind to —CO—;

[0150]

Ra14represents a hydrogen atom or a methyl group;

[0151]

Ra15and Ra16independently represent a hydrogen atom, a methyl group or a hydroxy group;

[0152]

o1 represents an integer of 0 to 10.

[0153]

In the formula (a2-1), La3is preferably —O—, —O—(CH2)f1—CO—O—, here f1 represents an integer of 1 to 4, and more preferably —O—.

[0154]

Ra14is preferably a methyl group.

[0155]

Ra15is preferably a hydrogen atom.

[0156]

Ra16is preferably a hydrogen atom or a hydroxy group.

[0157]

o1 is preferably an integer of 0 to 3, and more preferably an integer of 0 or 1.

[0158]

Examples of the acid stable monomer (a2-1) include monomers described in JP 2010-204646A. Among these, the monomers are preferably monomers represented by the formula (a2-1-1) to the formula (a2-1-6), more preferably monomers represented by the formula (a2-1-1) to the formula (a2-1-4), and still more preferably monomers represented by the formula (a2-1-1) and the formula (a2-1-3) below.

[0000]

[0159]

When the resin (A2) contains the acid stable structural unit derived from the monomer represented by the formula (a2-1), the proportion thereof is generally 3 to 45 mol %, preferably 5 to 40 mol %, more preferably 5 to 35 mol %, and still more preferably 5 to 30 mol %, with respect to the total structural units (100 mol %) constituting the resin (A2).

[0000]

<Acid Stable Monomer (a3)>

[0160]

The lactone ring included in the acid stable monomer (a3) may be a monocyclic compound such as β-propiolactone ring, γ-butyrolactone, δ-valerolactone, or a condensed ring with monocyclic lactone ring and other ring. Among these, γ-butyrolactone and condensed ring with γ-butyrolactone and other ring are preferable.

[0161]

Examples of the acid stable monomer (a3) having the lactone ring include monomers represented by the formula (a3-1), the formula (a3-2) and the formula (a3-3). These monomers may be used as a single monomer or as a combination of two or more monomers.

[0000]

[0162]

wherein La4to La6independently represent —O— or *—O—(CH2)k3—CO—O—;

[0163]

k3 represents an integer of 1 to 7, * represents a bind to —CO—;

[0164]

Ra18to Ra20independently represent a hydrogen atom or a methyl group;

[0165]

Ra21in each occurrence represents a C1to C4alkyl group;

[0166]

p1 represents an integer of 0 to 5;

[0167]

Ra22to Ra23in each occurrence independently represent a carboxyl group, cyano group, and a C1to C4alkyl group;

[0168]

q1 and r1 independently represent an integer of 0 to 3.

[0169]

In the formulae (a3-1) to (a3-3), La4to La6include the same group as described in La3above, and are independently preferably —O—, *—O—(CH2)k3′—CO—O—, here k3′ represents an integer of 1 to 4 (preferably 1), and more preferably —O—;

[0170]

Ra18to Ra21are independently preferably a methyl group.

[0171]

Ra22and Ra23are independently preferably a carboxyl group, cyano group or methyl group;

[0172]

p1 to r1 are independently preferably an integer of 0 to 2, and more preferably an integer of 0 or 1.

[0173]

Examples of the monomer (a3) include monomers described in JP 2010-204646A. Among these, the monomers are preferably monomers represented by the formula (a3-1-1) to the formula (a3-1-4), the formula (a3-2-1) to the formula (a3-2-4), the formula (a3-3-1) to the formula (a3-3-4), more preferably monomers represented by the formula (a3-1-1) to the formula (a3-1-2), the formula (a3-2-3) to the formula (a3-2-4), and still more preferably monomers represented by the formula (a3-1-1) and the formula (a3-2-3) below.

[0000]

[0174]

When the resin (A2) contains the structural units derived from the acid stable monomer (a3) having the lactone ring, the total proportion thereof is preferably 5 to 70 mol %, more preferably 10 to 65 mol %, still more preferably 15 to 60 mol %, with respect to the total structural units (100 mol %) constituting the resin (A2).

[0175]

When the resin (A2) is the copolymer of the acid labile monomer (a1) and the acid stable monomer, the proportion of the structural unit derived from the acid labile monomer (a1) is preferably 10 to 80 mol %, and more preferably 20 to 60 mol %, with respect to the total structural units (100 mol %) constituting the resin (A2).

[0176]

The proportion of the structural unit derived from the monomer having an adamantyl group (in particular, the monomer having the acid labile group (a1-1)) is preferably 15 mol % or more with respect to the structural units derived from the acid labile monomer (a1). As the mole ratio of the structural unit derived from the monomer having an adamantyl group increases within this range, the dry etching resistance of the resulting resist improves.

[0177]

The resin (A2) preferably is a copolymer of the acid labile monomer (a1) and the acid stable monomer. In this copolymer, the acid labile monomer (a1) is preferably at least one of the acid labile monomer (a1-1) having an adamantyl group and the acid labile monomer (a1-2) having a cyclohexyl group, and more preferably is the acid labile monomer (a1-1).

[0178]

The acid stable monomer is preferably the acid stable monomer (a2) having a hydroxy group and/or the acid stable monomer (a3) having a lactone ring. The acid stable monomer (a2) is preferably the monomer having the hydroxyadamantyl group (a2-1).

[0179]

The acid stable monomer (a3) is preferably at least one of the monomer having the γ-butyrolactone ring (a3-1) and the monomer having the condensed ring of the γ-butyrolactone ring and the norbornene ring (a3-2).

[0180]

The resin (A2) can be produced by a known polymerization method, for example, radical polymerization method, using at least one of the acid labile monomer (a1) and/or at least one of the acid stable monomer (a2) having a hydroxy group and/or at least one of the acid stable monomer (a3) having a lactone ring and/or at least one of a known compound.

[0181]

The weight average molecular weight of the resin (A2) is preferably 2,500 or more (more preferably 3,000 or more, and still more preferably 4,000 or more), and 50,000 or less (more preferably 30,000 or less, and still more preferably 10,000 or less).

[0182]

In the present resist composition, the weight ratio of the resins (A1)/(A2) (weight ratio) is preferably, for example, 0.01/10 to 5/10, more preferably 0.05/10 to 3/10, still more preferably 0.1/10 to 2/10, in particular, preferably 0.2/10 to 1/10.

[0000]

<Resin Other than Resin (A1) and Resin (A2)>

[0183]

The resist composition of the present invention may include a resin other than the resin (A1) and the resin (A2) described above. Such resin is a resin having at least one of the structural unit derived from the acid labile monomer (a1), at least one of the structural unit derived from the acid stable monomer, as described above, and/or at least one of the structural unit derived from a known monomer in this field.

[0184]

The proportion of the resin (A) can be adjusted with respect to the total solid proportion of the resist composition. For example, the resist composition of the present invention preferably contains 80 weight % or more and 99 weight % or less of the resin (A), with respect to the total solid proportion of the resist composition.

[0185]

In the specification, the term “solid proportion of the resist composition” means the entire proportion of all ingredients other than the solvent (E). For example, if the proportion of the solvent (E) is 90 weight %, the solid proportion of the resist composition is 10 weight %.

[0186]

The proportion of the resin (A) and the solid proportion of the resist composition can be measured with a known analytical method such as, for example, liquid chromatography and gas chromatography.

[0187]

<Acid Generator (II)>

[0188]

The acid generator included in the resist composition of the present invention is represented by the formula (II);

[0000]

[0189]

wherein Rb1and Rb2independently represent a fluorine atom or a C1to C6perfluoroalkyl group;

[0190]

Lb1represents a C1to C17divalent saturated hydrocarbon group, one or more —CH2— contained in the saturated hydrocarbon group may be replaced by —O— or —CO—;

[0191]

ring Wb1represents a C2to C36heterocycle;

[0192]

Rb3represents a hydrogen atom or a C1to C12hydrocarbon group, one or more —CH2— contained in the hydrocarbon group may be replaced by —O— or —CO—;

[0193]

Rb4in each occurrence independently represent a C1to C6hydrocarbon group, one or more —CH2— contained in the hydrocarbon group may be replaced by —O— or —CO—;

[0194]

m represents an integer of 0 to 6; and

[0195]

Z1+ represents an organic cation.

[0196]

In the formula (II), a moiety having a negative charge in which an organic cation, Z1+, having a positive charge is removed sometimes refers to as a sulfonate anion.

[0197]

Examples of the perfluoroalkyl group of Rb1and Rb2include trifluoromethyl, perfluoroethyl, perfluoropropyl, perfluoro-isopropyl, perfluorobutyl, perfluoro-sec-butyl, perfluoro-tert-butyl, perfluoropentyl and perfluorohexyl groups.

[0198]

The divalent saturated hydrocarbon group of Lb1may be a linear chain alkanediyl group, a branched chain alkanediyl group, a mono- or polycyclic divalent saturated alicyclic hydrocarbon group and combined two or more thereof.

[0199]

Specific examples of the linear chain alkanediyl group include methylene, ethylene, propane-1,3-diyl, propane-1,2-diyl, butane-1,4-diyl, pentane-1,5-diyl, hexane-1,6-diyl, heptane-1,7-diyl, octane-1,8-diyl, nonane-1,9-diyl, decane-1,10-diyl, undecane-1,11-diyl, dodecane-1,12-diyl, tridecane-1,13-diyl, tetradecane-1,14-diyl, pentadecane-1,15-diyl, hexadecane-1,16-diyl, heptadecane-1,17-diyl, ethane-1,1-diyl, propan-1,1-diyl and propan-2,2-diyl groups.

[0200]

Specific examples of the branched chain alkanediyl group include a group in which a linear chain alkanediyl group has a side chain of an alkyl group (especially a C1to C4alkyl group such as methyl, ethyl, propyl, isopropyl, butyl, sec-butyl, tert-butyl groups) such as butane-1,3-diyl, 2-methylpropane-1,3-diyl, 2-methylpropane-1,2-diyl, pentane-1,4-diyl and 2-methylbutane-1,4-diyl groups.

[0201]

Specific examples of the monocyclic saturated alicyclic hydrocarbon group include cycloalkanediyl group, such as cyclobutan-1,3-diyl, cyclopenthan-1,3-diyl, cyclohexan-1,2-diyl, 1-methylcyclohexan-1,2-diyl, cyclohexan-1,4-diyl, cyclooctan-1,2-diyl and cyclooctan-1,5-diyl groups.

[0202]

Specific examples of the polycyclic saturated alicyclic hydrocarbon group include norbornane-2,3-diyl, norbornane-1,4-diyl, norbornane-2,5-diyl, adamantane-1,5-diyl and adamantane-2,6-diyl groups.

[0203]

Examples of the divalent saturated alicyclic hydrocarbon group may also include the group in which any one of hydrogen atom on a monovalent saturated cyclic hydrocarbon group described below is removed.

[0204]

Examples of Lb1in which one or more —CH2— contained in the divalent saturated hydrocarbon group is replaced by —O— or —CO— include, for example, groups represented by the formula (L1-1) to the formula (L1-6). In the formula (L1-1) to the formula (L1-6), the group is represented so as to correspond with two sides of the formula (II), that is, the left side of the group bonds to the carbon atom of C(Rb1)(Rb2)— and the right side of the group bonds to ring Wb1. Examples of the formula (L1-1) to the formula (L1-6) are the same as above.

[0000]

[0205]

wherein Lb2represents a single bond or a C1to C15divalent saturated hydrocarbon group;

[0206]

Lb3represents a single bond or a C1to C12divalent saturated hydrocarbon group;

[0207]

Lb4represents a C1to C13divalent saturated hydrocarbon group;

[0208]

Lb5represents a C1to C15divalent saturated hydrocarbon group;

[0209]

Lb6and Lb7independently represent a C1to C15divalent saturated hydrocarbon group;

[0210]

Lb8represents a C1to C14divalent saturated hydrocarbon group;

[0211]

Lb9represents a C1to C14divalent saturated hydrocarbon group;

[0212]

Lb10represents a C1to C11divalent saturated hydrocarbon group.

[0213]

Specific examples of the divalent group represented by the formula (L1-1) include groups below. In the formula below, * represent a bond.

[0000]

[0214]

Specific examples of the divalent group represented by the formula (L1-2) include groups below.

[0000]

[0215]

Specific examples of the divalent group represented by the formula (L1-3) include groups below.

[0000]

[0216]

Specific examples of the divalent group represented by the formula (L1-4) include a group below.

[0000]

[0217]

Specific examples of the divalent group represented by the formula (L1-5) include groups below.

[0000]

[0218]

Specific examples of the divalent group represented by the formula (L1-6) include groups below.

[0000]

[0219]

The heterocycle of ring Wb1may be a ring having one or more nitrogen atoms, and it may further have one or more nitrogen atom, one or more oxygen atom, or one or more sulfur atom. The heterocycle may has any of aromaticity or non-aromaticity, and any of a monocyclic or a polycyclic compound, or condensed or bridged ring.

[0220]

Specific examples of the heterocycle include a ring below. One or more —CH2— contained in the heterocycle may be replaced by —O— or —CO—. Among these, a ring represented by the formula (W1), a ring represented by the formula (W2) and a ring represented by the formula (W3) are preferable. * represents a bond to Lb1.

[0000]

[0221]

The hydrocarbon group of Rb3and Rb4includes an aliphatic hydrocarbon group, an alicyclic hydrocarbon group and an aromatic hydrocarbon group.

[0222]

Examples of the aliphatic hydrocarbon group include an alkyl group such as methyl, ethyl, n-propyl, 1-methylethyl (isopropyl), n-butyl, 1,1-dimethylethyl (tert-butyl), 2,2-dimethylethyl, 1-methylpropyl, 2-methylpropyl, 1,2-dimethylpropyl, 2,2-dimethylpropyl, 1-ethylpropyl, n-pentyl, 1-methylbutyl, 2-methylbutyl, 3-methylbutyl, n-hexyl, 1-propylbutyl, pentyl, 1-methylpentyl, 1,4-dimethylhexyl, heptyl, 1-methylheptyl, octyl, methyloctyl, methylnonyl, 2-ethylhexhyl, nonyl, decyl, undecyl and dodecyl groups.

[0223]

The alicyclic hydrocarbon group may be any of a mono- or poly-cyclic hydrocarbon group. Examples of the monocyclic hydrocarbon groups include a cycloalkyl group such as cyclopentyl, cyclohexyl, methylcyclohexyl, dimethylcyclohexyl, cycloheptyl, cyclooctyl. Examples of the polycyclic hydrocarbon groups include a group which is obtained by hydrogenating a condensed aromatic hydrocarbon group such as hydronaphtyl, and a bridged cyclic hydrocarbon group such as adamantyl, norbornyl and methylnorbornyl groups. Examples of the alicyclic hydrocarbon group further include a group in which a bridged ring (e.g. norbornane ring) is condensed with a monocycle (e.g. cycloheptane ring, cyclohexane ring) or a polycycle (e.g. decahydronaphthalene ring), a group in which two or more bridged rings are condensed, and a combination thereof (e.g. methylcyclohexyl, dimethylcyclohexyl and methyl norbornyl groups) as follows.

[0000]

[0224]

Examples of the aromatic hydrocarbon group include an aryl group such as phenyl, naphthyl, p-methylphenyl, p-ethylphenyl, p-tert-butylphenyl, p-cyclohexylphenyl, p-methoxyphenyl, p-adamantylphenyl, tolyl, xylyl, cumenyl, mesityl, biphenyl, anthryl, phenanthryl, 2,6-diethylphenyl and 2-methyl-6-ethylphenyl groups.

[0225]

In the acid generator (II), Rb1and Rb2independently are preferably a trifluoromethyl or a fluorine atom, and more preferably a fluorine atom.

[0226]

For Lb1, any of the groups represented by the formula (L1-1) to the formula (L1-4) are preferable, any of the groups represented by the formula (L1-1) or the formula (L1-2) is more preferable, the group represented by the formula (L1-1) is still more preferable, among these, the divalent group represented by the formula (L1-1) in which Lb2represents a single bond or a C1to C6saturated hydrocarbon group, i.e., *—CO—O—(CH2)t— wherein t represents an integer of 0 to 6, * represents a bond to —C(Rb1)(Rb2)— is preferable and, the divalent group represented by the formula (L1-1) in which Lb2represents a single bond or a methylene group is more preferable, and the divalent group represented by the formula (L1-1) in which Lb2represents a single, i.e., *—CO—O—, is still more preferable.

[0227]

For Rb3, a hydrogen atom, a methyl group, an ethyl group and a tert-butoxycarbonyl group are preferable, and a hydrogen atom, a methyl group and a tert-butoxycarbonyl group are more preferable.

[0228]

m is preferably 0, but when m represents an integer of 0 to 6, Rb4is preferably methyl, ethyl, methylcarbonyloxy (acetyloxy), and ethyl carbonyloxy groups.

[0229]

Examples of the acid generator (II) include compounds below.

[0000]

[0230]

Examples of the cation Z1+ include an organic onium cation such as an organic sulfonium cation, an organic iodonium cation, an organic ammonium cation, a benzothiazolium cation and an organic phosphonium cation. Among these, an organic sulfonium cation and an organic iodonium cation are preferable, and an aryl sulfonium cation is more preferable.

[0231]

Specific examples of Z1+ include a cation represented by any of the formula (Z1) to the formula (Z4).

[0000]

[0232]

wherein Pa, Pband Pcindependently represent a C1to C30aliphatic hydrocarbon group, a C3to C36alicyclic hydrocarbon group or a C6to C36aromatic hydrocarbon group, or Pa and Pb may be bonded to form at least one sulfur atom-containing ring, one or more hydrogen atom contained in the aliphatic hydrocarbon group may be replaced with a hydroxy group, a C3to C18alicyclic hydrocarbon group, a C1to C12alkoxy group or a C6to C18aromatic hydrocarbon group, one or more hydrogen atom contained in the alicyclic hydrocarbon group may be replaced with a halogen atom, C1to C18alkyl group, a C2to C4acyl group or a glycidyloxy group, one or more hydrogen atom contained in the aromatic hydrocarbon group may be replaced with a halogen atom, a hydroxy group or a C1to C12alkoxy group;

[0233]

P4and P5in each occurrence independently represent a hydroxy group, a C1to C12aliphatic hydrocarbon or a C1to C12alkoxy group;

[0234]

P6and P7independently represent a C1to C36aliphatic hydrocarbon or a C3to C36alicyclic hydrocarbon group, or P6and P7may be bonded together to form a three- to twelve-membered ring (preferably a three- to seven-membered ring) with a sulfur atom which is bonded thereto, and one or more —CH2— contained in the ring may be replaced by —O—, —S— or —CO—;

[0235]

P8represents a hydrogen atom, a C1to C36aliphatic hydrocarbon group, a C3to C36alicyclic hydrocarbon group or a C6to C18aromatic hydrocarbon group;

[0236]

P9represents a C1to C12aliphatic hydrocarbon group, a C3to C18alicyclic hydrocarbon group or a C6to C18aromatic hydrocarbon group, one or more hydrogen atoms contained in the aliphatic hydrocarbon group may be replaced by a C6to C18aromatic hydrocarbon group, one or more hydrogen atom contained in the aromatic hydrocarbon group may be replaced with a C1to C12alkoxy group or an alkyl carbonyloxy group;

[0237]

P8and P9may be bonded together to form a three- to twelve-membered ring (preferably a three- to seven-membered ring) with —CH—CO— which is bonded thereto, and one or more —CH2— contained in the ring may be replaced by —O—, —S— or —CO—;

[0238]

P10to P15in each occurrence independently represent a hydroxy group, a C1to C12aliphatic hydrocarbon or a C1to C12alkoxy group;

[0239]

E represents —S— or —O—;

[0240]

i, j, p, r, x and y independently represent an integer of 0 to 5;

[0241]

q represents an integer of 0 or 1;

[0242]

v and w independently represent an integer of 0 to 4.

[0243]

Examples of the aliphatic hydrocarbon group include an alkyl group such as methyl, ethyl, n-propyl, isopropyl, n-butyl, sec-butyl, tert-butyl, pentyl, hexyl, octyl and 2-ethylhexyl groups. The aliphatic hydrocarbon group of P6to P8is preferably a group having 1 to 12 carbon atoms.

[0244]

Examples of the aliphatic hydrocarbon group in which one or more hydrogen atoms are replaced by an alicyclic hydrocarbon group 1-(1-adamatane-1-yl)-alkane-1-yl.

[0245]

Examples of the alicyclic hydrocarbon group include a monocyclic hydrocarbon groups such as, cycloalkyl group, cyclopropyl, cyclobutyl, cyclopentyl, cyclohexyl, cycloheptyl, cyclooctyl, cyclodecyl; a polycyclic hydrocarbon groups such as decahydronaphtyl, adamantyl and norbornyl (i.e., bicyclo[2.2.1]heptyl) groups as well as groups below.

[0000]

[0246]

In particular, the alicyclic hydrocarbon group of P6to P8is preferably a C3to C18alicyclic hydrocarbon group, and more preferably a C4to C12alicyclic hydrocarbon group.

[0247]

Examples of the alicyclic hydrocarbon group in which one or more hydrogen atoms are replaced by an alkyl group include methyl cyclohexyl, dimethyl cyclohexyl, 2-alkyladamantane-2-yl, methyl norbornyl and isobornyl groups.

[0248]

Examples of the aromatic hydrocarbon group include phenyl, naphthyl, anthryl, p-methylphenyl, p-ethylphenyl, p-tert-butylphenyl, p-cyclohexylphenyl, p-methoxyphenyl, p-adamantylphenyl, tolyl, xylyl, cumenyl, mesityl, biphenyl, phenanthryl, 2,6-diethylphenyl and 2-methyl-6-ethylphenyl groups.

[0249]

When the aromatic hydrocarbon include an aliphatic hydrocarbon group or an alicyclic hydrocarbon group, a C1to C36aliphatic hydrocarbon group or a C3to C36alicyclic hydrocarbon group is preferable.

[0250]

Examples of the alkyl group in which one or more hydrogen atoms are replaced by an aromatic hydrocarbon group, i.e., aralkyl group include benzyl, phenethyl phenylpropyl, trityl, naphthylmethyl and naphthylethyl groups.

[0251]

Examples of the alkoxyl group include methoxy, ethoxy, n-propoxy, isopropoxy, n-butoxy, sec-butoxy, tert-butoxy, n-pentoxy, n-hexyloxy, heptyloxy, octyloxy, 2-ethylhexoxy, nonyloxy, decyloxy, undecyloxy and dodecyloxy groups.

[0252]

Examples of the halogen atom include fluorine, chlorine, bromine and iodine atoms.

[0253]

Examples of the acyl group include acetyl, propionyl and butyryl groups.

[0254]

Examples of the alkylcarbonyloxy group include methylcarbonyloxy, ethylcarbonyloxy, n-propylcarbonyloxy, isopropylcarbonyloxy, n-butylcarbonyloxy, sec-butylcarbonyloxy, tert-butylcarbonyloxy, pentylcarbonyloxy, hexylcarbonyloxy, octylcarbonyloxy and 2-ethylhexylcarbonyloxy groups.

[0255]

The sulfur-containing ring formed by Paand Pbmay be either of monocyclic or polycyclic, aromatic or non-aromatic, or saturated or unsaturated ring, and may further have at least one of sulfur atom and/or at least one of oxygen atom as long as the ring has one sulfur atom. The ring is preferably a ring having 3 to 18 carbon atoms, and more preferably a ring having 4 to 12 carbon atoms.

[0256]

Examples of the ring formed by P6and P7bonded together with a sulfur atom includes, for example, thiolane-1-ium ring (tetrahydrothiophenium ring), thian-1-ium ring and 1,4-oxathian-4-ium ring.

[0257]

Examples of the ring formed by P8and P9bonded together with —CH—CO— include oxocycloheptane ring, oxocyclohexane ring, oxonorbornane ring and oxoadamantane ring.

[0258]

Among the cations represented by the formula (Z1) to the formula (Z4), the cation represented by the formula (Z1) is preferable, the cation represented by the formula (Z5) is more preferable, and triphenyl sulfonium cation (z1=z2=z3=0 in the formula (Z5)), diphenyl sulfonium cation (z1=z2=0, z3=1, and R3is a methyl group in the formula (Z5)), and tritolyl sulfonium cation (z1=z2=z3=1, P1, P2and P3are a methyl group in the formula (Z5)) are more preferable.

[0000]

[0259]

wherein P′ to P3in each occurrence independently represent a halogen atom, a hydroxy group, a C1to C36aliphatic hydrocarbon group, a C3to C36alicyclic hydrocarbon group or a C1to C12alkoxy group, or two of P1to P3may be bonded together to form a ring which contains a sulfur atom;

[0260]

z1, z2 and z3 independently represent an integer of 0 or 5.

[0261]

The sulfur-containing ring formed by two of P1to P3may be either of monocyclic or polycyclic, aromatic or non-aromatic, or saturated or unsaturated ring, and may further have at least one of sulfur atom and/or at least one of oxygen atom as long as the ring has one sulfur atom.

[0262]

The aliphatic hydrocarbon group preferably has 1 to 12 carbon atoms, and the alicyclic hydrocarbon group preferably has 4 to 36 carbon atoms.

[0263]

Among these, P1to P3are in each occurrence independently preferably a halogen atom (more preferably fluorine atom), a hydroxy group, a C1to C12alkyl group or a C1to C12alkoxy group, or two of P1to P3are preferably bonded together to form a ring which contains a sulfur atom and an oxygen atom.

[0264]

z1, z2 and z3 are independently preferably 0 or 1.

[0265]

Specific examples of the cation of the formula (Z1) or the formula (Z5) include a cation below.

[0000]

[0266]

Specific examples of the cation of the formula (Z5) which formed by a sulfur atom-containing ring include a cation below.

[0000]

[0267]

Specific examples of the cation of the formula (Z1) include a cation below.

[0000]

[0268]

Specific examples of the cation of the formula (Z2) include a cation below.

[0000]

[0269]

Specific examples of the cation of the formula (Z3) include a cation below.

[0000]

[0270]

Specific examples of the cation of the formula (Z4) include a cation below.

[0000]

[0271]

The acid generator (II) is a compound combined the above anion with an organic cation. The above anion and the organic cation may optionally be combined, but the salts shown below are preferable. In the formula below, the definition of the substituents represent the same meaning as described above.

[0000]

[0272]

Further, the salts below are more preferable.

[0000]

[0273]

The acid generator (II) can be produced by a known method in the field.

[0274]

For example, a salt represented by the formula (IIa) in which Lb1of the acid generator (II) is —CO—O— can be obtained by reacting a salt represented by the formula (IIa-1) with a compound represented by the formula (IIa-2) in a solvent.

[0000]

[0275]

wherein Rb1to Rb3, Z1+ and ring Wb1represent the same meaning as described above.

[0276]

Examples of the solvent include chloroform.

[0277]

Example of the compound represented by the formula (IIa-2) include 4-hydroxy-1-methylpiperidine, 4-hydroxy-2,2,6,6-tetramethylpiperidine and tropine.

[0278]

The compound represented by the formula (IIa-1) can be obtained by reacting a salt represented by the formula (IIa-4) with a compound represented by the formula (IIa-3).

[0279]

The compound represented by the formula (IIa-3) can be synthesized according to the method described in JP-2008-13551A.

[0000]

[0280]

wherein Rb1to Rb2and Z1+ represent the same meaning as described above.

[0281]

In the resist composition of the present invention, the acid generator (II) may be used as a single compound or as a combination of two or more compounds.

[0282]

<Other Acid Generator>

[0283]

The resist composition of the present invention contains at least one kinds of acid generator (II) and may further include a known acid generator other than the acid generator (II) (hereinafter is sometimes referred to as “acid generator (B)”).

[0284]

The acid generator (B) may be any of a non-ionic-based and an ionic-based acid generator, and ionic-based acid generator is preferable. Examples of the acid generator (B) include, an acid generator having a cation and an anion which are different from these of the acid generator (II), an acid generator having a cation which is the same as these of the acid generator (II) and an anion of a known anion which is different from that of the acid generator (II), and an acid generator having an anion which is the same as these of the acid generator (II) and a cation of a known anion which is different from that of the acid generator (II).

[0285]

Preferred acid generators (B) are represented by the formula (B1-1) to the formula (B1-20). Among these, the formulae (B1-1), (B1-2), (B1-6), (B1-11), (B1-12), (B1-13) and (B1-14) which contain triphenyl sulfonium cation, and the formulae (B1-3) and (B1-7) which contain tritolyl sulfonium cation are preferable.

[0000]

[0286]

In the resist composition of the present invention, the acid generator (B) may be used as a single compound or as a combination of two or more compounds.

[0287]

In the resist composition of the present invention, the proportion of the acid generator (II) is preferably not less than 1 weight % (and more preferably not less than 3 weight %), and not more than 30 weight % (and more preferably not more than 25 weight %), with respect to the resin (A).

[0288]

When the resist composition of the present invention contains the acid generator (II) and the acid generator (B), the total proportion of the acid generator (II) and the acid generator (B) is preferably not less than 1 weight % (and more preferably not less than 3 weight %), and not more than 40 weight % (and more preferably not more than 35 weight %, with respect to the resin (A). In this case, the weight ratio of the acid generator (II) and the acid generator (B) is preferably, for example, 5:95 to 95:5, more preferably 10:90 to 90:10 and still more preferably 15:85 to 85:15.

<Solvent (E)>

[0289]

The resist composition of the present invention preferably includes a solvent (E). The proportion of the solvent (E) 90 weight % or more, preferably 92 weight % or more, and more preferably 94 weight % or more, and also preferably 99.9 weight % or less and more preferably 99 weight % or less. The proportion of the solvent (E) can be measured with a known analytical method such as, for example, liquid chromatography and gas chromatography.

[0290]

Examples of the solvent (E) include glycol ether esters such as ethylcellosolve acetate, methylcellosolve acetate and propylene glycol monomethyl ether acetate; glycol ethers such as propylene glycol monomethyl ether; ethers such as diethylene glycol dimethyl ether; esters such as ethyl lactate, butyl acetate, amyl acetate and ethyl pyruvate; ketones such as acetone, methyl isobutyl ketone, 2-heptanone and cyclohexanone; and cyclic esters such as γ-butyrolactone. These solvents may be used as a single solvent or as a mixture of two or more solvents.

<Basic Compound (C)>

[0291]

The resist composition of the present invention may contain a basic compound (C). The basic compound (C) is a compound having a property to quench an acid, in particular, generated from the acid generator (B), and called “quencher”.

[0292]

As the basic compounds (C), nitrogen-containing basic compounds (for example, amine and basic ammonium salt) are preferable. The amine may be an aliphatic amine or an aromatic amine. The aliphatic amine includes any of a primary amine, secondary amine and tertiary amine. The aromatic amine includes an amine in which an amino group is bonded to an aromatic ring such as aniline, and a hetero-aromatic amine such as pyridine.

[0293]

Preferred basic compounds (C) include compounds presented by the formula (C1) to the formula (C8) and the formula (C1-1) as described below. Among these, the basic compound presented by the formula (C1-1) is more preferable.

[0000]

[0294]

wherein Rc1, Rc2and Rc3independently represent a hydrogen atom, a C1to C6alkyl group, C5to C10alicyclic hydrocarbon group or a C6to C10aromatic hydrocarbon group, one or more hydrogen atom contained in the alkyl group and alicyclic hydrocarbon group may be replaced by a hydroxy group, an amino group or a C1to C6alkoxyl group, one or more hydrogen atom contained in the aromatic hydrocarbon group may be replaced by a C1to C6alkyl group, a C1to C6alkoxyl group, a C5to C10alicyclic hydrocarbon group or a C6to C10aromatic hydrocarbon group.

[0000]

[0295]

wherein Rc2and Rc3have the same definition of the above;

[0296]

Rc4in each occurrence represents a C1to C6alkyl group, a C1to C6alkoxyl group, a C5to C10alicyclic hydrocarbon group or a C6to C10aromatic hydrocarbon group;

[0297]

m3 represents an integer 0 to 3.

[0000]

[0298]

wherein Rc5, Rc6, Rc7and Rc8independently represent the any of the group as described in Rc1of the above;

[0299]

Rc9in each occurrence independently represents a C1to C6alkyl group, a C3to C6alicyclic hydrocarbon group or a C2to C6alkanoyl group;

[0300]

n3 represents an integer of 0 to 8.

[0000]

[0301]

wherein Rc10, Rc11, Rc12, Rc13and Rc16independently represent the any of the groups as described in Rc1;

[0302]

Rc14, Rc15and Rc17in each occurrence independently represent the any of the groups as described in Rc4;

[0303]

o3 and p3 represent an integer of 0 to 3;

[0304]

Lc1represents a divalent C1to C6alkanediyl group, —CO—, —C(═NH)—, —S— or a combination thereof.

[0000]

[0305]

wherein Rc18, Rc19and Rc20in each occurrence independently represent the any of the groups as described in Rc4;

[0306]

q3, r3 and s3 represent an integer of 0 to 3;

[0307]

Lc2represents a single bond, a C1to C6alkanediyl group, —CO—, —C(═NH)—, —S— or a combination thereof.

[0308]

In the formula (C1) to the formula (C8) and the formula (C1-1), the alkyl, alicyclic hydrocarbon, aromatic, alkoxy and alkanediyl groups include the same examples as the above.

[0309]

Examples of the alkanoyl group include acetyl, 2-methyl acetyl, 2,2-dimethyl acetyl, propionyl, butyryl, isobutyryl, pentanoyl and 2,2-dimethyl propionyl groups.

[0310]

Specific examples of the amine represented by the formula (C1) include 1-naphtylamine, 2-naphtylamine, aniline, diisopropylaniline, 2-, 3- or 4-methylaniline, 4-nitroaniline, N-methylaniline, N,N-dimethylaniline, diphenylamine, hexylamine, heptylamine, octylamine, nonylamine, decylamine, dibutylamine, dipentylamine, dihexylamine, diheptylamine, dioctylamine, dinonylamine, didecylamine, triethylamine, trimethylamine, tripropylamine, tributylamine, tripentylamine, trihexylamine, triheptylamine, trioctylamine, trinonylamine, tridecylamine, methyldibutylamine, methyldipentylamine, methyldihexylamine, methyldicyclohexylamine, methyldiheptylamine, methyldioctylamine, methyldinonylamine, methyldidecylamine, ethyldibutylamine, ethyldipentylamine, ethyldihexylamine, ethyldiheptylamine, ethyldioctylamine, ethyldinonylamine, ethyldidecylamine, dicyclohexylmethylamine, tris[2-(2-methoxyethoxy)ethyl]amine, triisopropanolamine, ethylene diamine, tetramethylene diamine, hexamethylene diamine, 4,4′-diamino-1,2-diphenylethane, 4,4′-diamino-3,3′-dimethyldiphenylmethane and 4,4′-diamino-3,3′-diethyldiphenylmethane.

[0311]

Among these, diisopropylaniline is preferable, particularly 2,6-diisopropylaniline is more preferable as the basic compounds (C) contained in the present resist composition.

[0312]

Specific examples of the compound represented by the formula (C2) include, for example, piperazine.

[0313]

Specific examples of the compound represented by the formula (C3) include, for example, morpholine.

[0314]

Specific examples of the compound represented by the formula (C4) include, for example, piperidine, a hindered amine compound having piperidine skeleton described in JP H11-52575-A.

[0315]

Specific examples of the compound represented by the formula (C5) include, for example, 2,2′-methylenebisaniline.

[0316]

Specific examples of the compound represented by the formula (C6) include, for example, imidazole and 4-methylimidazole.

[0317]

Specific examples of the compound represented by the formula (C7) include, for example, pyridine and 4-methylpyridine.

[0318]

Specific examples of the compound represented by the formula (C8) include, for example, 1,2-di(2-pyridyl)ethane, 1,2-di(4-pyridyl)ethane, 1,2-di(2-pyridyl)ethene, 1,2-di(4-pyridyl)ethene, 1,3-di(4-pyridyl)propane, 1,2-di(4-pyridyloxy)ethane, di(2-pyridyl)ketone, 4,4′-dipyridyl sulfide, 4,4′-dipyridyl disulfide, 2,2′-dipyridylamine, 2,2′-dipicolylamine and bipyridine.

[0319]

Examples of the ammonium salt include tetramethylammonium hydroxide, tetraisopropylammonium hydroxide, tetrabutylammonium hydroxide, tetrahexylammonium hydroxide, tetraoctylammonium hydroxide, phenyltrimethyl ammonium hydroxide, 3-(trifluoromethyl)phenyl trimethylammonium hydroxide, tetra-n-butyl ammonium salicylate and choline.

[0320]

The proportion of the basic compound (C) is preferably 0.01 to 5 weight %, more preferably 0.01 to 3 weight %, and still more preferably 0.01 to 1 weight % with respect to the total solid proportion of the resist composition.

<Other Ingredient (Hereinafter is Sometimes Referred to as “Other Ingredient (F)”>

[0321]

The resist composition can also include small amounts of various known additives such as sensitizers, dissolution inhibitors, surfactants, stabilizers, and dyes, as needed.

<Preparing the Resist Composition>

[0322]

The present resist composition can be prepared by mixing the resin (A1), the resin (A2) and the acid generator (II), and the basic compound (C), the solvent (E), the acid generator (B) and the other ingredient (F) as needed. There is no particular limitation on the order of mixing. The mixing may be performed in an arbitrary order. The temperature of mixing may be adjusted to an appropriate temperature within the range of 10 to 40° C., depending on the kinds of the resin and solubility in the solvent (E) of the resin. The time of mixing may be adjusted to an appropriate time within the range of 0.5 to 24 hours, depending on the mixing temperature. There is no particular limitation to the tool for mixing. An agitation mixing may be adopted.

[0323]

After mixing the above ingredients, the present resist compositions can be prepared by filtering the mixture through a filter having about 0.003 to 0.2 μm pore diameter.

[0324]

<Method for Producing a Resist Pattern>

[0325]

The method for producing a resist pattern of the present invention includes the steps of:

[0326]

(1) applying the resist composition of the present invention onto a substrate;

[0327]

(2) drying the applied composition to form a composition layer;

[0328]

(3) exposing the composition layer;

[0329]

(4) heating the exposed composition layer, and

[0330]

(5) developing the heated composition layer.

[0331]

Applying the resist composition onto the substrate can generally be carried out through the use of a resist application device, such as a spin coater known in the field of semiconductor microfabrication technique.

[0332]

Drying the applied composition layer, for example, can be carried out using a heating device such as a hotplate (so-called “prebake”), a decompression device, or a combination thereof. Thus, the solvent evaporates from the resist composition and a composition layer with the solvent removed is formed. The condition of the heating device or the decompression device can be adjusted depending on the kinds of the solvent used. The temperature in this case is generally within the range of 50 to 200° C. Moreover, the pressure is generally within the range of 1 to 1.0×105Pa.

[0333]

The composition layer thus obtained is generally exposed using an exposure apparatus or a liquid immersion exposure apparatus. The exposure is generally carried out through a mask that corresponds to the desired pattern. Various types of exposure light source can be used, such as irradiation with ultraviolet lasers such as KrF excimer laser (wavelength: 248 nm), ArF excimer laser (wavelength: 193 nm), F2excimer laser (wavelength: 157 nm), or irradiation with far-ultraviolet wavelength-converted laser light from a solid-state laser source (YAG or semiconductor laser or the like), or vacuum ultraviolet harmonic laser light or the like. Also, the exposure device may be one which irradiates electron beam or extreme-ultraviolet light (EUV).

[0334]

After exposure, the composition layer is subjected to a heat treatment (so-called “post-exposure bake”) to promote the deprotection reaction. The heat treatment can be carried out using a heating device such as a hotplate. The heating temperature is generally in the range of 50 to 200° C., preferably in the range of 70 to 150° C.

[0335]

The composition layer is developed after the heat treatment, generally with an alkaline developing solution and using a developing apparatus. The development here means to bring the composition layer after the heat treatment into contact with an alkaline solution. Thus, the exposed portion of the composition layer is dissolved by the alkaline solution and removed, and the unexposed portion of the composition layer remains on the substrate, whereby producing a resist pattern. Here, as the alkaline developing solution, various types of aqueous alkaline solutions used in this field can be used. Examples include aqueous solutions of tetramethylammonium hydroxide and (2-hydroxyethyl)trimethylammonium hydroxide (common name: choline).

[0336]

After the development, it is preferable to rinse the substrate and the pattern with ultrapure water and to remove any residual water thereon.

<Application>

[0337]

The resist composition of the present invention is useful as the resist composition for excimer laser lithography such as with ArF, KrF or the like, and the resist composition for electron beam (EB) exposure lithography and extreme-ultraviolet (EUV) exposure lithography, as well as liquid immersion exposure lithography.

[0338]

The resist composition of the present invention can be used in semiconductor microfabrication and in manufacture of liquid crystals, thermal print heads for circuit boards and the like, and furthermore in other photofabrication processes, which can be suitably used in a wide range of applications.

EXAMPLES

[0339]

The present invention will be described more specifically by way of examples, which are not construed to limit the scope of the present invention.

[0340]

All percentages and parts expressing the content or amounts used in the Examples and Comparative Examples are based on weight, unless otherwise specified.

[0341]

The structure of a compound is measured by MASS (LC: manufactured by Agilent, 1100 type, MASS: manufactured by Agilent, LC/MSD type or LC/MSD TOF type).

[0342]

The weight average molecular weight is a value determined by gel permeation chromatography.

[0343]

Apparatus: HLC-8120GPCtype (Tosoh Co. Ltd.)

[0344]

Column: TSK gel Multipore HXL-M x 3+guardcolumn (Tosoh Co. Ltd.)

[0345]

Eluant: tetrahydrofuran

[0346]

Flow rate: 1.0 mL/min

[0347]

Detecting device: RI detector

[0348]

Column temperature: 40° C.

[0349]

Injection amount: 100 μL

[0350]

Standard material for calculating molecular weight: standard polystylene (Toso Co. ltd.)

Synthesis Example 1

Synthesis of Compound Represented by the Formula (A)

[0351]

[0352]

10.00 parts of a compound (A-2), 40.00 parts of tetrahydrofuran and 7.29 parts of pyridine were mixed, and stirred for 30 minutes at 23° C. The obtained mixture was cooled to 0° C. To this mixture, 33.08 parts of a compound (A-1) was added over 1 hour while maintaining at the same temperature. The temperature of the mixture was then elevated to about 23° C., and the mixture was stirred for 3 hour at the same temperature. 361.51 parts of ethyl acetate and 20.19 parts of 5% of hydrochloric acid solution were added to the obtained mixture, the mixture was stirred for 30 minutes at 23° C. The obtained solution was allowed to stand, and then separated to recover an organic layer. To the recovered organic layer, 81.42 parts of a saturated sodium hydrogen carbonate was added, and the obtained solution was stirred for 30 minutes at 23° C., allowed to stand, and then separated to recover the organic layer. To the recovered organic layer was added 90.38 parts of ion-exchanged water, and the obtained solution was stirred for 30 minutes at 23° C., allowed to stand, and then separated to wash the organic layer with water. These washing operations were repeated for 5 times. The obtained organic layer was concentrated, resulting in 23.40 parts of the compound (A).

[0353]

MS (mass spectroscopy): 326.0 (molecular ion peak)

Synthesis Example 2

Synthesis of Compound Represented by the Formula (B)

[0354]

[0355]

88.00 parts of a compound (B-2), 616.00 parts of methyl isobutyl ketone and 60.98 parts of pyridine were mixed, and stirred for 30 minutes at 23° C. The obtained mixture was cooled to 0° C. To this mixture, 199.17 parts of a compound (B-1) was added over 1 hour while maintaining at the same temperature. The temperature of the mixture was then elevated to about 10° C., and the mixture was stirred for 1 hour at the same temperature. 1446.22 parts of n-heptane and 703.41 parts of 2% of hydrochloric acid solution were added to the obtained mixture, the mixture was stirred for 30 minutes at 23° C. The obtained solution was allowed to stand, and then separated to recover an organic layer. To the recovered organic layer, 337.64 parts of 2% of hydrochloric acid solution was added to obtain a mixture, and the mixture was stirred for 30 minutes at 23° C. The obtained solution was allowed to stand, and then separated to recover an organic layer. To the recovered organic layer, 361.56 parts of ion-exchanged water was added, and the obtained solution was stirred for 30 minutes at 23° C., allowed to stand, and then separated to wash the organic layer with water. To the obtained organic layer, 443.92 parts of 10% of potassium carbonate was added, and the obtained solution was stirred for 30 minutes at 23° C., allowed to stand, and then separated to recover the organic layer. These washing operations were repeated for 2 times. To the obtained organic layer, 361.56 parts of ion-exchanged water was added, and the obtained solution was stirred for 30 minutes at 23° C., allowed to stand, and then separated to wash the organic layer with water. These washing operations were repeated for 5 times. The obtained organic layer was concentrated, resulting in 163.65 parts of the compound (B).

[0356]

MS (mass spectroscopy): 276.0 (molecular ion peak)

Synthesis Example 3

Synthesis of Compound Represented by the Formula (E)

[0357]

[0358]

30.00 parts of a compound (E-2), 210.00 parts of methyl isobutyl ketone and 18.00 parts of pyridine were mixed, and stirred for 30 minutes at 23° C. The obtained mixture was cooled to 0° C. To this mixture, 48.50 parts of a compound (E-1) was added over 1 hour while maintaining at the same temperature. The temperature of the mixture was then elevated to about 5° C., and the mixture was stirred for 1 hour at the same temperature. Thus obtained reactant was added to 630 parts of ethyl acetate, 99.68 parts of 5% of hydrochloric acid solution and 126 parts of ion-exchanged water to obtain a mixture, the mixture was stirred for 30 minutes at 23° C. The obtained solution was allowed to stand, and then separated to recover an organic layer. To the recovered organic layer, 86.50 parts of 10% of potassium carbonate solution was added to obtain a mixture, and the mixture was stirred for 30 minutes at 23° C. The obtained solution was allowed to stand, and then separated to recover an organic layer. These washing operations were repeated for two times. To the recovered organic layer, 157.50 parts of ion-exchanged water was added, and the obtained solution was stirred for 30 minutes at 23° C., allowed to stand, and then separated to wash the organic layer with water. These washing operations were repeated for five times. The obtained organic layer was concentrated, resulting in 27.61 parts of the compound (E).

[0359]

MS (mass spectroscopy): 354.1 (molecular ion peak)

Synthesis Example 4

Synthesis of Compound Represented by the Formula (F)

[0360]

[0361]

27.34 parts of a compound (F-2), 190.00 parts of methyl isobutyl ketone and 18.00 parts of pyridine were mixed, and stirred for 30 minutes at 23° C. The obtained mixture was cooled to 0° C. To this mixture, 48.50 parts of a compound (F-1) was added over 1 hour while maintaining at the same temperature. The temperature of the mixture was then elevated to about 5° C., and the mixture was stirred for 1 hour at the same temperature. Thus obtained reactant was added to 570 parts of ethyl acetate, 99.68 parts of 5% of hydrochloric acid solution and 126 parts of ion-exchanged water to obtain a mixture, the mixture was stirred for 30 minutes at 23° C. The obtained solution was allowed to stand, and then separated to recover an organic layer. To the recovered organic layer, 86.50 parts of 10% of potassium carbonate solution was added to obtain a mixture, and the mixture was stirred for 30 minutes at 23° C. The obtained solution was allowed to stand, and then separated to recover an organic layer. These washing operations were repeated for two times. To the recovered organic layer, 150 parts of ion-exchanged water was added, and the obtained solution was stirred for 30 minutes at 23° C., allowed to stand, and then separated to wash the organic layer with water. These washing operations were repeated for five times. The obtained organic layer was concentrated, resulting in 23.89 parts of the compound (F).

[0362]

MS (mass spectroscopy): 340.1 (molecular ion peak)

Example 5

Synthesis of a Salt Represented by the Formula (II-1)

[0363]

[0364]

The salt represented by the formula (II-1-1) was synthesized according to the method described in JP 2008-127367A.

[0365]

10.0 parts of the salt represented by the formula (II-1-1) and 60.00 parts of acetonitrile were charged, and stirred for 30 minutes at 40° C., 4.44 parts of the compound represented by the formula (II-1-2) was added thereto. The resultant was stirred for 1 hour at 50° C. to obtain the solution containing the compound represented by the formula (II-1-3). To the obtained solution, 2.63 parts of the compound represented by the formula (II-1-4) was added, and stirred for 1 hour at 23° C. To the obtained reacted mass, 80 parts of chloroform and 30 parts of ion-exchanged water were added, stirred, and separated to obtain an organic layer. The obtained organic layer was washed with water for five times. To the obtained organic layer, 1 part of activated carbon was added, and the mixture was stirred for 30 minutes at 23° C. and filtrated. The filtrate was concentrated to obtain a concentrate, to this concentrate, 25 parts of acetonitrile was added to dissolve, and the obtained mixture was concentrated. To the obtained residue, 30 parts of tert-butyl methyl ether was added, stirred for 30 minutes, filtrate to obtain 4.48 parts of the salt represented by the formula (II-1).

[0366]

Identification of the salt represented by the formula (II-1):

[0367]

MS (ESI (+) Spectrum): M+ 263.1

[0368]

MS (ESI (−) Spectrum): M 272.0

Synthetic Example of the Resin

[0369]

The monomers used the synthesis of the resin are shown below.

[0000]

[0370]

These monomers are referred to as “monomer (a1-1-1)” to “monomer (F)”.

Synthetic Example 6

Synthesis of Resin A1-1

[0371]

Monomer (B) was used, and dioxane was added thereto in an amount equal to 1.5 times by weight of the total amount of monomers to obtain a solution. Azobisisobutyronitrile and azobis(2,4-dimethylvaleronitrile) was added as an initiator to obtain a solution in an amount of 0.7 mol % and 2.1 mol % respectively with respect to the entire amount of monomers, and the resultant mixture was heated for about 5 hours at 75° C. After that, the obtained reacted mixture was poured into a large amount of methanol/water mixed solvent to precipitate a resin. Thus obtained resin was dissolved in another dioxane to obtain a solution, and the solution was poured into a mixture of methanol/water mixed solvent to precipitate a resin. The obtained resin was filtrated. These operations were repeated for two times, resulting in a 77% yield of polymer having a weight average molecular weight of about 18000. This polymer, which had the structural units of the following formula, was referred to Resin A1-1.

[0000]

Synthetic Example 7

Synthesis of Resin A1-2

[0372]

Monomer (A) and monomer (C) were mixed together with a mole ratio of Monomer (A):monomer (C)=90:10, and dioxane was added thereto in an amount equal to 1.5 times by weight of the total amount of monomers to obtain a solution. Azobisisobutyronitrile and azobis(2,4-dimethylvaleronitrile) was added as an initiator to obtain a solution in an amount of 1 mol % and 3 mol % respectively with respect to the entire amount of monomers, and the resultant mixture was heated for about 5 hours at 72° C. After that, the obtained reacted mixture was poured into a large amount of n-heptane to precipitate a resin. The obtained resin was filtrated, resulting in a 70% yield of copolymer having a weight average molecular weight of about 13000. This copolymer, which had the structural units of the following formula, was referred to Resin A1-2.

[0000]

Synthetic Example 8

Synthesis of Resin A1-3

[0373]

Monomer (E) was used, and dioxane was added thereto in an amount equal to 1.5 times by weight of the total amount of monomers to obtain a solution. Azobisisobutyronitrile and azobis(2,4-dimethylvaleronitrile) was added as an initiator to obtain a solution in an amount of 0.7 mol % and 2.1 mol % respectively with respect to the entire amount of monomers, and the resultant mixture was heated for about 5 hours at 75° C. After that, the obtained reacted mixture was poured into a large amount of methanol/water mixed solvent to precipitate a resin. Thus obtained resin was dissolved in another dioxane to obtain a solution, and the solution was poured into a mixture of methanol/water mixed solvent to precipitate a resin. The obtained resin was filtrated. These operations were repeated for two times, resulting in a 73% yield of polymer having a weight average molecular weight of about 19000. This polymer, which had the structural units of the following formula, was referred to Resin A1-3.

[0000]

Synthetic Example 9

Synthesis of Resin A1-4

[0374]

Monomer (F) was used, and dioxane was added thereto in an amount equal to 1.5 times by weight of the total amount of monomers to obtain a solution. Azobisisobutyronitrile and azobis(2,4-dimethylvaleronitrile) was added as an initiator to obtain a solution in an amount of 0.7 mol % and 2.1 mol % respectively with respect to the entire amount of monomers, and the resultant mixture was heated for about 5 hours at 75° C. After that, the obtained reacted mixture was poured into a large amount of methanol/water mixed solvent to precipitate a resin. Thus obtained resin was dissolved in another dioxane to obtain a solution, and the solution was poured into a mixture of methanol/water mixed solvent to precipitate a resin. The obtained resin was filtrated. These operations were repeated for two times, resulting in a 76% yield of polymer having a weight average molecular weight of about 18000. This polymer, which had the structural units of the following formula, was referred to Resin A1-4.

[0000]

Synthetic Example 10

Synthesis of Resin A2-1

[0375]

Monomer (a1-1-3), monomer (a1-2-3), monomer (a2-1-1), monomer (a3-1-1) and monomer (a3-2-3) were charged with molar ratio 30:14:6:20:30, and dioxane was added thereto in an amount equal to 1.5 weight times of the total amount of monomers to obtain a solution. Azobisisobutyronitrile and azobis(2,4-dimethylvaleronitrile) was added as an initiator thereto in an amount of 1 mol % and 3 mol % respectively with respect to the entire amount of monomers, and the resultant mixture was heated for about 5 hours at 73° C. After that, the reaction solution was poured into a mixture of methanol and ion-exchanged water (4:1) in large amounts to precipitate a resin. The obtained resin was filtrated. Thus obtained resin was dissolved in another dioxane to obtain a solution, and the solution was poured into a large amount of a mixture of methanol and water to precipitate a resin. The obtained resin was filtrated. These operations were repeated two times for purification, resulting in 65% yield of copolymer having a weight average molecular weight of about 8100. This copolymer, which had the structural units derived from the monomers of the following formula, was designated Resin A2-1.

[0000]

Synthetic Example 11

Synthesis of Resin A2-2

[0376]

Monomer (a1-1-2), monomer (a1-2-3), monomer (a2-1-1), monomer (a3-1-1) and monomer (a3-2-3) were charged with molar ratio 30:14:6:20:30, and dioxane was added thereto in an amount equal to 1.5 weight times of the total amount of monomers to obtain a solution. Azobisisobutyronitrile and azobis(2,4-dimethylvaleronitrile) was added as an initiator thereto in an amount of 1 mol % and 3 mol % respectively with respect to the entire amount of monomers, and the resultant mixture was heated for about 5 hours at 73° C. After that, the reaction solution was poured into a mixture of methanol and ion-exchanged water (4:1) in large amounts to precipitate a resin. The obtained resin was filtrated. Thus obtained resin was dissolved in another dioxane to obtain a solution, and the solution was poured into a large amount of a mixture of methanol and water to precipitate a resin. The obtained resin was filtrated. These operations were repeated two times for purification, resulting in 68% yield of copolymer having a weight average molecular weight of about 7800. This copolymer, which had the structural units derived from the monomers of the following formula, was designated Resin A2-2.

[0000]

Synthetic Example 12

Synthesis of Resin A2-3

[0377]

Monomer (a1-1-2), monomer (a2-1-1) and monomer (a3-1-1) were mixed with molar ratio 50:25:25, and dioxane was added thereto in an amount equal to 1.5 weight times of the total amount of monomers. Azobisisobutyronitrile and azobis(2,4-dimethyl valeronitrile) was added as an initiator thereto in an amount of 1 mol % and 3 mol % respectively with respect to the entire amount of monomers, and the resultant mixture was heated for about 8 hours at 80° C. After that, the reaction solution was poured into a mixture of methanol and ion-exchanged water (4:1) in large amounts to precipitate a resin. The obtained resin was filtrated. Thus obtained resin was dissolved in another dioxane to obtain a solution, and the solution was poured into a large amount of a mixture of methanol and water to precipitate a resin. The obtained resin was filtrated. These operations were repeated three times for purification, resulting in 60% yield of copolymer having a weight average molecular weight of about 9200. This copolymer, which had the structural units derived from the monomers of the following formulae, was designated Resin A2-3.

[0000]

Synthetic Example 13

Synthesis of Resin A2-4

[0378]

Monomer (a1-1-2), monomer (a1-2-3), monomer (a2-1-1), monomer (a3-2-3) and monomer (a3-1-1) were charged with molar ratio 30:14:6:20:30, and dioxane was added thereto in an amount equal to 1.5 weight times of the total amount of monomers to obtain a solution. Azobisisobutyronitrile and azobis(2,4-dimethylvaleronitrile) was added as an initiator thereto in an amount of 1 mol % and 3 mol % respectively with respect to the entire amount of monomers, and the resultant mixture was heated for about 5 hours at 75° C. After that, the reaction solution was poured into a mixture of methanol and ion-exchanged water (4:1) in large amounts to precipitate a resin. The obtained resin was filtrated. Thus obtained resin was dissolved in another dioxane to obtain a solution, and the solution was poured into a large amount of a mixture of methanol and water to precipitate a resin. The obtained resin was filtrated. These operations were repeated two times for purification, resulting in 78% yield of copolymer having a weight average molecular weight of about 7200. This copolymer, which had the structural units derived from the monomers of the following formula, was designated Resin A2-4.

[0000]

Synthetic Example 14

Synthesis of Resin A2-5

[0379]

Monomer (a1-1-2), monomer (a1-5-1), monomer (a2-1-1), monomer (a3-2-3) and monomer (a3-1-1) were charged with molar ratio 30:14:6:20:30, and dioxane was added thereto in an amount equal to 1.5 weight times of the total amount of monomers to obtain a solution. Azobisisobutyronitrile and azobis(2,4-dimethylvaleronitrile) was added as an initiator thereto in an amount of 1 mol % and 3 mol % respectively with respect to the entire amount of monomers, and the resultant mixture was heated for about 5 hours at 75° C. After that, the reaction solution was poured into a mixture of methanol and ion-exchanged water in large amounts to precipitate a resin. The obtained resin was filtrated. Thus obtained resin was dissolved in another dioxane to obtain a solution, and the solution was poured into a large amount of a mixture of methanol and water to precipitate a resin. The obtained resin was filtrated. These operations were repeated two times for purification, resulting in 78% yield of copolymer having a weight average molecular weight of about 7200. This copolymer, which had the structural units derived from the monomers of the following formula, was designated Resin A2-5.

[0000]

Synthetic Example 15

Synthesis of Resin X1

[0380]

Monomer (a1-1-1), monomer (a3-1-1) and monomer (a2-1-1) were mixed with molar ratio 35:45:20, and dioxane was added thereto in an amount equal to 1.5 times by weight of the total amount of monomers to obtain a solution. Azobisisobutyronitrile and azobis(2,4-dimethylvaleronitrile) was added as an initiator to obtain a solution in an amount of 1.0 mol % and 3.0 mol % respectively with respect to the entire amount of monomers, and the resultant mixture was heated for about 5 hours at 75° C. After that, the obtained reacted mixture was poured into a mixture of a large amount of methanol and water to precipitate a resin. The obtained resin was filtrated. Thus obtained resin was dissolved in another dioxane to obtain a solution, and the solution was poured into a mixture of methanol and water to precipitate a resin. The obtained resin was filtrated. These operations were repeated 2 times for purification, resulting in a 75% yield of copolymer having a weight average molecular weight of about 7000. This copolymer, which had the structural units of the following formula, was referred to Resin X1.

[0000]

Synthetic Example 16

Synthesis of Resin X2

[0381]

Monomer (D) and monomer (a1-1-1) were mixed with molar ratio=80:20, and dioxane was added thereto in an amount equal to 1.5 times by weight of the total amount of monomers to obtain a solution. Azobisisobutyronitrile and azobis(2,4-dimethylvaleronitrile) was added as an initiator to obtain a solution in an amount of 0.5 mol % and 1.5 mol % respectively with respect to the entire amount of monomers, and the resultant mixture was heated for about 5 hours at 70° C. After that, the obtained reacted mixture was poured into a mixture of a large amount of methanol and water to precipitate a resin. The obtained resin was filtrated. Thus obtained resin was dissolved in another dioxane to obtain a solution, and the solution was poured into a mixture of methanol and ion-exchanged water to precipitate a resin. The obtained resin was filtrated. These operations were repeated 2 times, resulting in a 70% yield of copolymer having a weight average molecular weight of about 28000. This copolymer, which had the structural units of the following formula, was referred to Resin X2.

[0000]

(Preparing Resist Composition)

[0382]

Resist compositions were prepared by mixing and dissolving each of the components shown in Table 1, and then filtrating through a fluororesin filter having 0.2 μm pore diameter.

[0000]

(Unit: parts)
BasicBP/PEB
ResinAcid GeneratorCompound(° C.)
Ex.
1A1-1/A2-1 = 0.7/10II-1/B1 = 0.30/0.7095/85
2A1-1/A2-2 = 0.7/10II-1/B1 = 0.30/0.70110/105
3A1-1/A2-3 = 0.7/10II-1/B1 = 0.30/0.70110/105
4A1-2/A2-1 = 0.7/10II-1/B1 = 0.30/0.7095/85
5A1-2/A2-2 = 0.7/10II-1/B1 = 0.30/0.70110/105
6A1-2/A2-3 = 0.7/10II-1/B1 = 0.30/0.70110/105
7A1-2/X1 = 0.3/10II-1/B1 = 0.30/0.70C1 = 0.07110/105
8A1-2/X1 = 0.3/10II-1/B2/B3 = 0.30/1.0/0.1C1 = 0.07110/105
9A1-1/A2-4 = 0.7/10II-1/B1 = 0.30/0.70110/105
10 A1-1/A2-5 = 0.7/10II-1/B1 = 0.30/0.70110/105
11 A1-3/A2-5 = 0.7/10II-1/B1 = 0.30/0.70110/105
12 A1-4/A2-5 = 0.7/10II-1/B1 = 0.30/0.70110/105
Comparative
Ex.
1X2/X1 = 0.3/10B2/B3 = 1.0/0.1C1 = 0.07110/105

<Resin>

[0383]

Resins Prepared by the Synthetic Examples

<Acid Generator>

[0384]

B1: this was prepared by a method according to the method described in the Examples of JP2010-152341A

[0000]

[0385]

B2: this was prepared by a method according to the method described in the Examples of WO2008/99869 and JP2010-26478A

[0000]

[0386]

B3: this was prepared by a method according to the method described in the Examples of JP2005-221721A

[0000]

<Basic Compound: Qencher>

[0387]

C1: 2,6-diisopropylaniline (obtained from Tokyo Chemical Industry Co., LTD)

<Solvent of Resist Composition>

[0388]

[0000]

Propylene glycol monomethyl ether acetate265 parts 
Propylene glycol monomethyl ether20 parts
2-Heptanone20 parts
γ-butyrolactone3.5 parts 

(Producing Resist Pattern)

[0389]

A composition for an organic antireflective film (“ARC-29”, by Nissan Chemical Co. Ltd.) was applied onto 12-inch silicon wafers and baked for 60 seconds at 205° C. to form a 78 nm thick organic antireflective film.

[0390]

The above resist compositions were then applied thereon by spin coating so that the thickness of the resulting film became 85 nm after drying.

[0391]

The obtained wafers were then pre-baked for 60 sec on a direct hot plate at the temperatures given in the “PB” column in Table 1 to obtain a composition layer.

[0392]

Line and space patterns were then exposed through stepwise changes in exposure quantity using an ArF excimer stepper for immersion lithography (“XT:1900Gi” by ASML Ltd.: NA=1.35, ¾ Annular, X-Y deflection), on the wafers on which the composition layer thus been formed. The ultrapure water was used for medium of immersion.

[0393]

After the exposure, post-exposure baking was carried out by 60 seconds at the temperatures given in the “PEB” column in Table 1.

[0394]

Then, puddle development was carried out with 2.38 wt % tetramethylammonium hydroxide aqueous solution for 60 seconds to obtain a resist pattern.

[0395]

Effective sensitivity was represented as the exposure amount at which a 50 nm line and space pattern resolved to 1:1 with the each resist film.

(Exposure Margin Evaluation (EL))

[0396]

Exposure margin was evaluated from a graph in which the horizontal axis corresponds to the exposure amount within the range of an effective sensitivity±10%, and the vertical axis corresponds to the a line width of 50 nm-width of line pattern at its amount. In this evaluation,

[0397]

a double circle was given when absolute value of the slope of the regression line obtained from the above plot was 1.1 nm/(mJ/cm2) or less;

[0398]

a circle was given when absolute value of the slope thereof was 1.5 nm/(mJ/cm2) or less, and more than 1.1 nm/(mJ/cm2);

[0399]

a cross was given when absolute value of a slope thereof was more than 1.5 nm/(mJ/cm2).

(Evaluation of Defects)

[0400]

The above resist compositions were applied on each of the 12-inch-silicon wafers by spin coating so that the thickness of the resulting film became 150 nm after drying.

[0401]

The obtained wafers were then pre-baked for 60 seconds on a direct hot plate at the temperatures given in the “PB” column in Table 1 to obtain a composition layer.

[0402]

The thus obtained wafers with the produced composition layers were rinsed with water for 60 seconds using a developing apparatus (ACT-12, Tokyo electron Co. Ltd.).

[0403]

Thereafter, the number of defects was counted using a defect inspection apparatus (KLA-2360, KLA-Tencor Co. Ltd.)

[0404]

Table 2 illustrates the results thereof.

[0000]

1∘ (1.14)190
2∘ ∘(1.06)220
3∘ (1.19)280
4∘∘ (1.06)200
5∘∘ (1.01)220
6∘∘ (1.10)310
7∘∘ (1.09)410
8∘ (1.34)530
9∘∘ (1.05)180
10 ∘∘ (1.03)160
11 ∘∘ (1.07)130
12 ∘∘ (1.05)150
Com.x (1.57)720
Ex. 1

[0405]

According to the present resist composition, it is possible to achieve excellent EL at producing the resist pattern. Therefore, the present resist composition can be used for semiconductor microfabrication.

Как компенсировать расходы
на инновационную разработку
Похожие патенты