The invention provides new gene targets for cancer chemotherapy, their use in assays for identifying new small molecule cancer chemotherapeutic agents, methods for inhibiting cancer cell growth comprising contacting a cell with a gene expression blocking agent that inhibits the expression of such genes and methods for therapeutic treatment of cancer in a mammal, comprising administering to the mammal such a gene expression blocking agent. A preferred gene target is coatomer protein zeta-1 subunit (COPZ1).
1-10. (canceled) 11. A method for selectively killing tumor cells comprising selectively inhibiting expression or function of coatomer protein zeta-1 subunit (COPZ1) gene or its encoded CopI-ζ1 protein, respectively. 12. The method according to 13. The method according to 14. The method according to 15. A method for treating an individual having cancer, comprising selectively inhibiting in the individual expression or function of COPZ1 gene or its encoded CopI-ζ1 protein respectively. 16. The method according to 17. The method according to 18. The method according to 19. (canceled) 20. A method for identifying a selective small molecule inhibitor of cancer cell growth comprising:
(a) culturing a mammalian cell comprising a recombinant DNA construct comprising a first reporter gene operatively associated with a COPZ1 promoter and a second reporter gene operatively associated with a COPZ2 promoter in the presence of a test compound; (b) culturing the mammalian cell in the absence of the test compound; (c) assaying the cells from (a) and (b) for the expression or activity of the first reporter gene and the second reporter gene, or their encoded proteins; and (d) identifying the test compound as a selective small molecule inhibitor of cancer cell growth if the expression or activity of the first reporter gene or its encoded protein is inhibited to a greater extent than the expression or activity of the second reporter gene or its encoded protein in cells cultured as in (a), but not in cells cultured as in (b). 21-23. (canceled) 24. A method for identifying a selective small molecule inhibitor of cancer cell growth comprising:
(a) providing purified CopI-ζ1 protein and purified CopI-γ protein in the presence of a test compound to allow an interaction of an assayable magnitude between the purified CopI-ζ1 protein and the purified CopI-γ protein; (b) providing purified CopI-ζ1 protein and purified CopI-γ protein in the absence of the test compound to allow an interaction of an assayable magnitude between the purified CopI-ζ1 protein and the purified CopI-γ protein; (c) providing purified CopI-ζ2 protein and purified CopI-γ protein in the presence of the test compound to allow an interaction of an assayable magnitude between the purified CopI-ζ2 protein and the purified CopI-γ protein; (d) providing purified CopI-ζ2 protein and purified CopI-γ protein in the absence of the test compound to allow an interaction of an assayable magnitude between the purified CopI-ζ2 protein and the purified CopI-γ protein; (e) assaying the magnitude of the interaction between purified CopI-ζ1 protein and purified CopI-ζ protein in steps (a) and (b); (f) assaying the magnitude of the interaction between purified CopI-ζ2 protein and purified CopI-γ protein in steps (c) and (d); and (g) identifying the test compound as a selective inhibitor of CopI-ζ1 protein if the magnitude of the interaction is lesser in step (a) than in step (c), but the magnitude of the interaction in step (b) is not lesser than the magnitude of the interaction in step (d). 25. The method according to 26-27. (canceled)
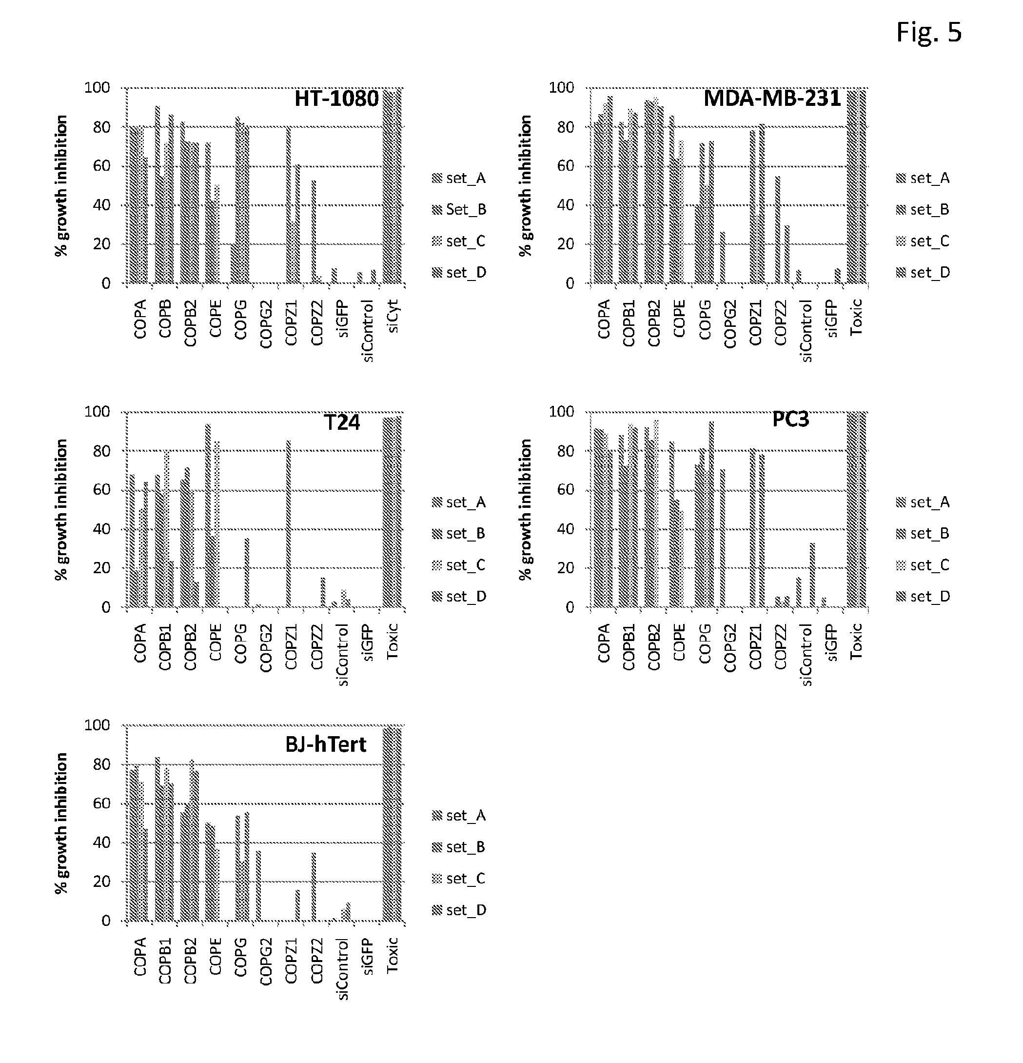
1. Field of the Invention The invention relates to the discovery of new targets for cancer chemotherapy and to the discovery of new small molecule cancer chemotherapeutics effective against such targets. 2. Summary of the Related Art There has been much interest in the identification of genes that are essential for cancer cell growth. Such genes can be used as targets for the treatment of cancer. One approach to identifying such genes utilizes expression selection of Transdominant Genetic Inhibitors (TGIs) that inhibit the growth of carcinoma cells in vitro. TGIs are represented by Genetic Suppressor Elements (GSEs) and small hairpin RNA (shRNA) templates. GSEs are biologically active cDNA fragments that interfere with the function of the gene from which they are derived. GSEs may encode antisense RNA molecules that inhibit gene expression or peptides that interfere with the function of the target protein as dominant inhibitors (Holzmayer et al., 1992; Roninson et al., 1995). shRNA templates are small (19-21 bp) cDNA fragments, cloned into an expression vector in the form of inverted repeats and giving rise upon transcription to shRNAs, which are processed by cellular enzymes into double-stranded RNA duplexes, short interfering RNA (siRNA) that cause degradation of their cDNA target via RNA interference (RNAi) (Boutros and Ahringer, 2008). General strategies for the isolation of biologically active TGIs involves the use of expression libraries that express GSEs or shRNAs derived from either a single gene, or several genes, or all the genes expressed in a cell. These libraries are then introduced into recipient cells, followed by selection for the desired phenotype and the recovery of biologically active GSEs, which should be enriched in the selected cells. Genes that are required for the growth of the recipient cells are expected to give rise to TGIs that would inhibit cell proliferation. Such TGIs can be isolated through negative selection techniques, such as bromodeoxyuridine (BrdU) suicide selection (Stetten et al., 1977). The applicability of this approach to the isolation of growth-inhibitory GSEs was demonstrated by Pestov and Lau (Pestov and Lau, 1994) and Primiano et al. (Primiano et al., 2003). Pestov et al. used an isopropyl-β-thio-galactoside (IPTG)-inducible plasmid expression vector to isolate cytostatic GSEs from a mixture of 19 cDNA clones of murine genes associated with the G0/G1transition, using the BrdU suicide selection protocol. Through this approach, Pestov and Lau found that three of the genes in their mixture gave rise to growth-inhibitory GSEs. Primiano et al. (2003) used a GSE library derived from normalized (reduced-redundance) cDNA of human MCF7 breast carcinoma cells and cloned into an IPTG-inducible retroviral vector to isolate GSEs that allow MDA-MB-231 human breast carcinoma cells to survive BrdU suicide selection. That study yielded biologically active GSEs from 57 human genes, potential targets for breast cancer therapy. There remains a need for the identification of new gene targets for cancer therapy. The invention relates to the discovery of new gene targets for cancer chemotherapy and to the discovery of new small molecule cancer chemotherapeutics effective against such targets. The invention provides new gene targets for cancer chemotherapy, their use in assays for identifying new small molecule cancer chemotherapeutic agents, methods for inhibiting cancer cell growth comprising contacting a cell with a gene expression blocking agent that inhibits the expression of such genes and methods for therapeutic treatment of cancer in a mammal, comprising administering to the mammal such a gene expression blocking agent. In a first aspect, the invention provides a method for identifying a small molecule anti-cancer compound, the method comprising (a) culturing a mammalian cell in the presence of a test compound; (b) culturing the mammalian cell in the absence of the test compound; (c) assaying the cells from (a) and (b) for the expression or activity of a nucleic acid or its encoded protein selected from the group of nucleic acids identified in Table 1; and (d) identifying the test compound as an anti-cancer compound if the expression or activity of the nucleic acid or its encoded protein is greater in cells cultured as in (b) than in cells cultured as in (a). In certain preferred embodiments, the nucleic acid is selected from the nucleic acids identified in Tables 2, 4, 5 and 6. In particularly preferred embodiments, the nucleic acid is selected from the nucleic acids identified in Tables 2 and 6. More generally, in a second aspect, the method provides the use, in an assay for identifying a cancer chemotherapeutic small molecule compound, of a recombinant nucleic acid comprising a nucleic acid selected from the nucleic acids identified in Tables 2 and 6. In a third aspect, the invention provides a method for inhibiting cancer cell growth, comprising inhibiting the expression of a nucleic acid selected from the nucleic acids identified in Tables 2 and 6. In a fourth aspect, the invention provides a method for therapeutically treating a mammal having cancer, comprising administering to the mammal a gene expression blocking agent that inhibits the expression of a nucleic acid selected from the nucleic acids identified in Tables 2 and 6. In a fifth aspect, the invention provides a method for selectively inhibiting the growth of cancer cells comprising selectively inhibiting expression or function of coatomer protein zeta-1 subunit gene (COPZ1) or its encoded CopI-ζ1 protein, respectively. In a sixth aspect, the invention provides a method for identifying a selective small molecule inhibitor or peptide inhibitor of COPZ1 expression comprising: (a) culturing a mammalian cell comprising a recombinant DNA construct comprising a first reporter gene operatively associated with a COPZ1 promoter and a second reporter gene operatively associated with a COPZ2 promoter in the presence of a test compound; (b) culturing the mammalian cell in the absence of the test compound; (c) assaying the cells from (a) and (b) for the expression or activity of the first reporter gene and the second reporter gene, or their encoded proteins; and (d) identifying the test compound as a selective small molecule inhibitor of COPZ1 expression if the expression or activity of the first reporter gene or its encoded protein is inhibited to a greater extent than the expression or activity of the second reporter gene or its encoded protein in cells cultured as in (a), but not in cells cultured as in (b). In a seventh aspect, the invention provides a method for identifying a selective small molecule inhibitor or peptide inhibitor of CopI-ζ1 protein comprising: (a) providing purified CopI-ζ1 protein and purified CopI-ζ1 protein in the presence of a test compound to allow an interaction of an assayable magnitude between the purified CopI-ζ1 protein and the purified CopI-γ protein; (b) providing purified CopI-ζ2 protein and purified CopI-γ protein in the absence of the test compound to allow an interaction of an assayable magnitude between the purified CopI-ζ1 protein and the purified CopI-γ protein; (c) providing purified CopI-ζ2 protein and purified CopI-ζ1 protein in the presence of the test compound to allow an interaction of an assayable magnitude between the purified CopI-ζ2 protein and the purified CopI-γ protein; (d) providing purified CopI-ζ2 protein and purified CopI-γ protein in the absence of the test compound to allow an interaction of an assayable magnitude between the purified CopI-ζ2 protein and the purified CopI-γ protein; (e) assaying the magnitude of the interaction between purified CopI-ζ1 protein and purified CopI-γ protein in steps (a) and (b); (0 assaying the magnitude of the interaction between purified CopI-ζ2 protein and purified CopI-γ protein in steps (c) and (d); and (g) identifying the test compound as a selective inhibitor of CopI-ζ1 protein if the magnitude of the interaction is lesser in step (a) than in step (c), but the magnitude of the interaction in step (b) is not lesser than the magnitude of the interaction in step (d). In an eighth aspect, the invention provides a method for identifying a selective small molecule inhibitor or peptide inhibitor of cancer cell growth, the method comprising providing a computer model in the form of three-dimensional structural coordinates of CopI-ζ1 protein, providing three dimensional structural coordinates of a candidate compound, using a docking program to compare the three dimensional structural coordinates of the CopI-ζ1 protein with the three dimensional structural coordinates of the compound and calculate an energy-minimized conformation of the candidate compound in the CopI-ζ1 protein, and evaluating an interaction between the candidate compound and the CopI-ζ1 protein to determine binding affinity of the compound for the CopI-ζ1 protein, wherein the candidate compound is identified as a compound that selectively inhibits cancer cell growth if it has a binding affinity for the CopI-ζ1 protein site of at least 10 μM. In a ninth aspect, the invention provides a method for determining whether a cancer in an individual is responsive to treatment by selectively inhibiting expression or function of COPZ1 or CopI-ζ1 protein, respectively, comprising obtaining cancer cells from the individual, assaying the expression of COPZ2 and/or mIR-152 in the cancer cells, and determining that the cancer in an individual is responsive to treatment by selectively inhibiting expression or function of COPZ1 or CopI-ζ1 protein, respectively, if the expression of COPZ2 and/or mIR-152 in the cancer cells is lower than in normal cells. The invention relates to the discovery of new gene targets for cancer chemotherapy and to the discovery of new small molecule cancer chemotherapeutics effective against such targets. The invention provides new gene targets for cancer chemotherapy, their use in assays for identifying new small molecule cancer chemotherapeutic agents, methods for inhibiting cancer cell growth comprising contacting a cell with a gene expression blocking agent that inhibits the expression of such genes and methods for therapeutic treatment of cancer in a mammal, comprising administering to the mammal such a gene expression blocking agent. The references cited herein reflect the level of knowledge in the art and are hereby incorporated by reference in their entirety. Any conflicts between the teachings of the cited references and the present specification shall be resolved in favor of the latter. The present inventors have used both GSE and shRNA libraries constructed in tetracycline/doxycline-inducible lentiviral vectors, to select for growth-inhibitory TGIs in several types of human tumor cells, using BrdU suicide selection. As described below, this approach has enabled the inventors to select TGIs that are enriched through BrdU suicide selection. Subsequent testing of synthetic siRNAs against a set of genes enriched by this selection confirmed that the majority of these genes are required for cell growth. Some of the selected TGIs are derived from known oncogenes or known positive regulators of cell growth. Other TGIs are derived from known genes that had not been previously implicated in cell growth regulation. Genes that give rise to the isolated TGIs are identified as positive growth regulators of tumor cells. Such genes may therefore be considered as targets for the development of new anticancer drugs. In a first aspect, the invention provides a method for identifying a small molecule anti-cancer compound, the method comprising (a) culturing a mammalian cell in the presence of a test compound; (b) culturing the mammalian cell in the absence of the test compound; (c) assaying the cells from (a) and (b) for the expression or activity of a nucleic acid or its encoded protein selected from the group of nucleic acids identified in Table 1; and (d) identifying the test compound as an anti-cancer compound if the expression or activity of the nucleic acid or its encoded protein is greater in cells cultured as in (b) than in cells cultured as in (a). In certain preferred embodiments, the nucleic acid is selected from the nucleic acids identified in Tables 2, 4, 5 and 6. In particularly preferred embodiments, the nucleic acid is selected from the nucleic acids identified in Tables 2 and 6. In some embodiments the expression or activity of more than one nucleic acid or its encoded protein from the tables is assayed in step (c). More generally, in a second aspect, the method provides the use, in an assay for identifying a cancer chemotherapeutic small molecule compound, of a recombinant nucleic acid comprising a nucleic acid selected from the nucleic acids identified in Tables 2 and 6. For purposes of this aspect of the invention, “a recombinant nucleic acid comprising a nucleic acid selected from” is intended to mean the selected nucleic acid covalently linked to other nucleic acid elements that do not occur in the normal chromosomal locus of the gene. Such other nucleic acid elements may include gene expression elements, such as heterologous promoters and/or enhancers, selectable markers, reporter genes and the like. Preferably, the other nucleic acid elements allow the selected nucleic acid to be expressed in mammalian cells. Such recombinant nucleic acids may frequently be incorporated into a chromosome of the mammalian cell. In a third aspect, the invention provides a method for inhibiting cancer cell growth, comprising inhibiting the expression of a nucleic acid selected from the nucleic acids identified in Tables 2 and 6. In preferred embodiments of this aspect of the invention, such inhibition of expression of the nucleic acid is achieved by contacting the cell with a gene expression blocking agent. For purposes of the invention, “a gene expression blocking agent” is an agent that prevents an RNA transcribed from the nucleic acid from carrying out its normal cellular function, such function being either regulatory, or being translated into a functional protein. Such prevention may be either steric, e.g., by the agent simply binding to the RNA, or may be through the destruction of the bound RNA by cellular enzymes. Representative gene expression blocking agents include, without limitation, antisense oligonucleotides, ribozymes, short interfering RNAs (siRNA), short hairpin RNAs (shRNA), microRNAs (miRNA) and the like. In a fourth aspect, the invention provides a method for therapeutically treating a mammal having cancer, comprising administering to the mammal a gene expression blocking agent that inhibits the expression of a nucleic acid selected from the nucleic acids identified in Tables 2 and 6. Such gene expression blocking agent is administered in a therapeutically effective amount. A therapeutically effective amount is an amount sufficient to reduce or ameliorate signs and symptoms of the cancer, such as cell proliferation or metastasis. The inventors have surprisingly discovered that COPZ1 knockdown selectively kills tumor cells relative to normal cells and the mechanism of this selectivity, which warrants the development of COPZ1-targeting drugs. Such drugs should inhibit the expression or function of COPZ1 but not COPZ2, since the inhibition of both COPZ1 and COPZ2 kills not only tumor but also normal cells. There are several approaches to selective inhibition of COPZ1 preferentially to COPZ2. In a fifth aspect, the invention provides a method for selectively inhibiting the growth of cancer cells comprising selectively inhibiting expression or function of coatomer protein zeta-1 subunit gene (COPZ1) or its encoded CopI-ζ1 protein, respectively. “Selective inhibition of cancer cell growth” means killing or inhibiting the growth of cancer cells without killing or inhibiting the growth of normal cells. In some embodiments, the expression of COPZ1 is inhibited by an agent selected from an siRNA, an antisense oligonucleotide, and a ribozyme, wherein the agent selectively targets mRNA encoding CopI-ζ1 protein. siRNAs and their chemically modified variants are being actively developed for therapeutic applications (Ashihara et al., 2010; Vaishnaw et al., 2010). Related approaches targeting RNA sequences that distinguish COPZ1 from COPZ2 include the use of antisense oligonucleotides (Bennett and Swayze, 2010) and ribozymes (Freelove and Zheng, 2002; Asif-Ullah et al., 2007). In some embodiments, the expression of COPZ1 is inhibited by a small molecule that selectively inhibits COPZ1 expression. The terms “selectively targets” and selectively inhibits” mean that expression of the COPZ1 gene is inhibited, but expression of the COPZ2 gene is not inhibited. In some embodiments, the function of CopI-ζ1 protein is inhibited by a small molecule or peptide that selectively inhibits CopI-ζ1 protein. The term “selectively inhibits CopI-ζ1 protein” means that the small molecule prevents CopI-ζ1 protein from forming CopI-ζ1 protein/CopI-γ protein dimers, to a greater extent than it prevents CopI-ζ2 protein from forming CopI-ζ2 protein/CopI-γ protein dimers. The term “small molecule” means a molecule having a molecular weight of less than about 1500 daltons. The greater extent includes at least 10-fold, at least 20-fold, at least 50-fold and at least 100-fold. A “peptide” is an oligomer of from about 3 to about 50 naturally occurring or modified amino acids, and thus also includes peptidomimetics. Such peptides may be further modified, e.g., by pegylation. In some embodiments, the cancer cells are in the body of an individual. Thus, the invention provides a method for treating an individual having cancer, comprising selectively inhibiting in the individual expression or function of expression or function of COPZ1 gene or its encoded CopI-ζ1 protein, respectively. The method comprises administering to the individual any of the agents discussed above in an effective amount. The term “an effective amount” means an amount sufficient to inhibit cancer cell growth in vivo. In a sixth aspect, the invention provides a method for identifying a selective small molecule inhibitor or peptide inhibitor of COPZ1 expression comprising: (a) culturing a mammalian cell comprising a recombinant DNA construct comprising a first reporter gene operatively associated with a COPZ1 promoter and a second reporter gene operatively associated with a COPZ2 promoter in the presence of a test compound; (b) culturing the mammalian cell in the absence of the test compound; (c) assaying the cells from (a) and (b) for the expression or activity of the first reporter gene and the second reporter gene, or their encoded proteins; and (d) identifying the test compound as a selective small molecule inhibitor of COPZ1 expression if the expression or activity of the first reporter gene or its encoded protein is inhibited to a greater extent than the expression or activity of the second reporter gene or its encoded protein in cells cultured as in (a), but not in cells cultured as in (b). The use of reporter gene/heterologous promoter systems to identify compounds that inhibit specific gene expression has been described previously, for example, in U.S. Pat. No. 7,235,403. A selective small molecule inhibitor of COPZ1 expression is a compound having a molecular weight of less than about 1500 daltons and which inhibits expression of the COPZ1 gene, but not the COPZ2 gene. A peptide is as described previously. A test compound can be a small molecule or a peptide. The term “inhibited to a greater extent” includes extents of at least 10-fold, at least 20-fold, at least 50-fold and at least 100-fold. The selective small molecule inhibitors or peptide inhibitor of COPZ1 expression selectively inhibit cancer cell growth. Thus, this method is also a method for identifying a selective small molecule or peptide inhibitor of cancer cell growth. “Selective inhibition of cancer cell growth” means that the compound kills or inhibits the growth of cancer cells without killing or inhibiting the growth of normal cells. In a seventh aspect, the invention provides a method for identifying a selective small molecule inhibitor or peptide inhibitor of CopI-ζ1 protein comprising: (a) providing purified CopI-ζ1 protein and purified CopI-γ protein in the presence of a test compound to allow an interaction of an assayable magnitude between the purified CopI-ζ1 protein and the purified CopI-γ protein; (b) providing purified CopI-ζ1 protein and purified CopI-γ protein in the absence of the test compound to allow an interaction of an assayable magnitude between the purified CopI-ζ1 protein and the purified CopI-γ protein; (c) providing purified CopI-ζ2 protein and purified CopI-γ protein in the presence of the test compound to allow an interaction of an assayable magnitude between the purified CopI-ζ2 protein and the purified CopI-γ protein; (d) providing purified CopI-ζ2 protein and purified CopI-γ protein in the absence of the test compound to allow an interaction of an assayable magnitude between the purified CopI-ζ2 protein and the purified CopI-γ protein; (e) assaying the magnitude of the interaction between purified CopI-ζ1 protein and purified CopI-γ protein in steps (a) and (b); (f) assaying the magnitude of the interaction between purified CopI-ζ2 protein and purified CopI-γ protein in steps (c) and (d); and (g) identifying the test compound as a selective inhibitor of CopI-ζ1 protein if the magnitude of the interaction is lesser in step (a) than in step (c), but the magnitude of the interaction in step (b) is not lesser than the magnitude of the interaction in step (d). An interaction between CopI-ζ1 protein and CopI-γ protein, or between CopI-ζ1 protein and CopI-γ protein, can involve either CopI-γ1 protein or CopI-γ2 protein. The interaction results in formation of an active coatomer protein complex. In some embodiments, the purified CopI-ζ1 protein or the purified CopI-γ protein are labeled with a fluorophore suitable for fluorescence resonance energy transfer (FRET), the CopI-ζ2 protein or the purified CopI-γ protein are labeled with a fluorophore suitable for FRET, and the magnitude of the interactions are assayed by FRET. In some embodiments, the CopI-ζ1 protein and the CopI-ζ2 protein are labeled with a different fluorophore, thereby allowing the assays to take place simultaneously in the same vessel. The use of FRET to assay protein-protein interactions has been described, for example, in Boute et al., 2002; Degorce et al., 2009. A “selective small molecule inhibitor or peptide inhibitor of CopI-ζ1 protein” is a molecule that prevents CopI-ζ1 protein from forming CopI-ζ1 protein/CopI-γ protein dimers, to a greater extent than it prevents CopI-ζ2 protein from forming CopI-ζ2 protein/CopI-γ protein dimers. The term “small molecule” means a molecule having a molecular weight of less than about 1500 daltons. A peptide is as described previously. The greater extent includes at least 10-fold, at least 20-fold, at least 50-fold and at least 100-fold. The selective small molecule inhibitors or peptide inhibitors of CopI-ζ1 protein selectively inhibit cancer cell growth. Thus, this method is also a method for identifying a selective small molecule inhibitor or peptide inhibitor of cancer cell growth. “Selective inhibition of cancer cell growth” means that the compound kills or inhibits the growth of cancer cells without killing or inhibiting the growth of normal cells. In an eighth aspect, the invention provides a method for identifying a selective small molecule inhibitor or peptide inhibitor of cancer cell growth, the method comprising providing a computer model in the form of three-dimensional structural coordinates of CopI-ζ1 protein, providing three dimensional structural coordinates of a candidate compound, using a docking program to compare the three dimensional structural coordinates of the CopI-ζ1 protein with the three dimensional structural coordinates of the compound and calculate an energy-minimized conformation of the candidate compound in the CopI-ζ1 protein, and evaluating an interaction between the candidate compound and the CopI-ζ1 protein to determine binding affinity of the compound for the CopI-ζ1 protein, wherein the candidate compound is identified as a compound that selectively inhibits cancer cell growth if it has a binding affinity for the CopI-ζ1 protein site of at least 10 μM. The solution structure of CopI-ζ1 protein has been described by Yu et al., 2009. siRNAs or other RNA-targeting drugs, inhibitors of COPZ1 expression, and molecules identified in cell-free assays (such as FRET) or predicted by computer modeling to be selective inhibitors of CopI-ζ1 function can be further tested for the expected biological effects in tumor cells. These effects include inhibition of cell proliferation, induction of cell death, disruption of Golgi and inhibition of autophagy. COPZ1-specific inhibitors inducing such biological effects in tumor cells can be considered as therapeutic candidates for further development. In a ninth aspect, the invention provides a method for determining whether a cancer in an individual is responsive to treatment by selectively inhibiting expression or function of COPZ1 or CopI-ζ1 protein, respectively, comprising, obtaining cancer cells from the individual, assaying the expression of COPZ2 and/or mIR-152 in the cancer cells, and determining that the cancer in an individual is responsive to treatment by selectively inhibiting expression or function of COPZ1 or CopI-ζ1 protein, respectively, if the expression of COPZ2 and/or mIR-152 in the cancer cells is lower than in normal cells. The expression level in normal cells may be measured from any normal cell, meaning a cell that is not neoplastically transformed. Alternatively, a standardized signal may be provided as a surrogate for normal cell expression. Such expression may be at least 10-fold greater, at least 20-fold greater, at least 50-fold greater or at least 100-fold greater. In the methods for treatment according to of the invention, the gene expression blocking agent may be formulated with a physiologically acceptable carrier, excipient, or diluent. Such physiologically acceptable carriers, excipients and diluents are known in the art and include any agents that are not physiologically toxic and that do not interfere with the function of the gene expression blocking agent. Representative carriers, excipients and diluents include, without limitation, lipids, salts, hydrates, buffers and the like. Administration of the gene expression blocking agents or formulations thereof may be by any suitable route, including, without limitation, parenteral, mucosal, transdermal and oral administration. The following examples are intended to further illustrate the invention and are not intended to be construed to limit the scope of the invention. The shRNA library was prepared as follows. The strategy for shRNA library construction is depicted in Lung (A549, H69), colon (HCT116, SW480), breast (MCF-7, MDA-MB321), prostate (LNCaP, PC3), cervical (HeLa), ovarian (A2780), renal (ACHN) carcinomas cell lines, fibrosarcoma (HT1080), osteosarcoma (Saos-2) cell lines, melanoma (MALME-3M), glioblastoma (U251), chronic myelogenous leukemia (K562), promyelocytic leukemia (HL60), and acute lymphoblastic leukemia (CCRF-CEM) cell lines were obtained from ATCC. mRNA from these cell lines was used to prepare normalized cDNA, through duplex-specific nuclease (DSN) normalization (Zhulidov et al., 2004); the normalization was carried by Evrogen (Moscow, Russia) as a service. Normalization efficacy was tested by Q-PCR analysis of representation of cDNAs of seven transcripts with high (β-actin, GAPDH, EF1-α), medium (L32, PPMM) and low (Ubch5b, c-Yes) expression levels in parental cells. The representation of highly expressed transcripts decreased up to 70-fold in the normalized mixture, while the level of rare cDNAs increased up to 30-fold after normalization. Normalized cDNA mixture was fragmented by DNAse I digestion to obtain 100-500 by fragments, followed by end repair by treatment with T4 DNA polymerase and Klenow fragment as described (Gudkov and Roninson, 1997). cDNA fragments were amplified by ligation-mediated PCR. For amplification, adaptors containing translation start sites with Age I and Sph I restriction sites were used. cDNA fragments were digested with Age I and Sph I and ligated into a modified tetracycline/doxycycline-inducible vector, pLLCEm (Wiznerowicz and Trono, 2003), under the control of the CMV promoter. The ligation produced a library of approximately 260 million clones. The percent recombination in this library was assessed by direct sequencing of 192 clones. The number of clones containing an insert was >90%. The average length of the inserts was 135 bp. As the recipient cell lines for TGI selection, we have chosen four human cancer cell lines and human immortalized fibroblasts. The tumor cell lines are MDA-MB-231 breast carcinoma, PC3 prostate carcinoma, HT108 fibrosarcoma and T24 bladder carcinoma. The immortalized fibroblasts are BJ-hTERT. To obtain tetracycline/doxycycline-inducible cells, tTR-KRAB, a tetracycline/doxycycline-sensitive repressor was overexpressed in all the cell lines, by infecting them with a lentiviral vector expressing tTR-KRAB and dsRED fluorescent protein (Wiznerowicz and Trono, 2003), followed by two rounds of FACS selection for dsRed positive cells. To analyze the tetracycline/doxycycline-dependent regulation, tTR-KRAB expressing cell lines were infected with an EGFP-expressing tetracycline/doxycycline-inducible lentiviral vector. The level of activation of GFP expression by treatment with 100 ng/ml of doxycycline ranged from about 30-fold to 300-fold in different cell lines. The shRNA library in pLLCE-TU6-LX vector described in above was transduced into MDA-MB-231 breast carcinoma cells expressing ttR-KRAB. The GSE library in pLLCEm lentiviral vector, described above, was transduced into all five cell lines. Lentiviral transduction was carried out using a pseudotype packaging system, by co-transfecting plasmid library DNA with Δ8.91 lentiviral packaging plasmid and VSV-G (pantropic receptor) plasmid into 293FT cells in DMEM with 10% FC2 using TransFectin reagent. 2.5×107recipient cells were infected with the shRNA library, and 1×108cells of each recipient cell line were infected with the GSE library. The infection rate (as determined by Q-PCR analysis of integrated provirus) was 95%. 25% of the infected cells were subjected to DNA purification, and the rest were plated at a density of 1×106cells per P150, to a total of 100 million cells. These cells were subjected to selection for Doxycycline-dependent resistance to BrdU suicide, as follows. Cells were treated with 0.1 μg/ml of doxycycline for 18 hrs, then with 0.1 μg/ml of doxycycline and 50 μM BrdU for 48 hrs. Cells were then incubated with 10 μM Hoechst 33258 for 3 hrs and illuminated with fluorescent white light for 15 min on a light box, to destroy the cells that replicated their DNA and incorporated BrdU in the presence of doxycycline. Cells were then washed twice with phosphate-buffered saline and allowed to recover in normal medium (DMEM, 10% FBS) for 7-10 days. The surviving cells were collected, followed by DNA purification. The cDNA fragments were amplified by PCR from genomic DNA extracted from the infected unselected and BrdU-selected cells using vector specific primers and subjected to ultra high throughput sequencing by 454 Life Science Inc (http://www.454.com/enabling-technology/the-process.asp). High-throughput sequencing of shRNA sequences recovered by PCR from the genomic DNA of MDA-MB-231 cells before and after BrdU selection, followed by BLAST analysis, yielded 53201 sequences with homology to Unigene database entries before selection and 53803 sequences after selection. These sequences matched 14699 and 3316 Unigene clusters respectively. Among the genes found in the selected subset, 741 were targeted by four or more shRNA sequences (Table 1). The genes in Table 1 are sorted by the “enrichment factor” (EF), a value defined by multiplying the number of different shRNA sequences found to be enriched for each gene after BrdU suicide selection by the fold enrichment in the frequency of any shRNA sequences derived from the corresponding gene. By this criterion, which takes into account both the likelihood that the shRNA target gene has been correctly identified by being targeted by multiple shRNA sequences and the degree of enrichment, one of the most enriched genes was KRAS, a well-known oncogene that has undergone an activating, mutation in MDA-MB-231 cells (Kozma et al., 1987). This result validates the selection system as capable of identifying oncogenes, potential targets for anticancer drugs. To verify that genes enriched by the selection are required for MDA-MB-231 cell growth, we have selected 22 genes represented by at least two selected shRNA sequences and showing the highest EF value. We then used synthetic short interfering RNA (siRNA) targeting these genes and designed by Qiagen, Inc. according to Qiagen's siRNA design algorithms, for transfection into MDA-MB-231 cells, to determine if such siRNAs will inhibit cell growth. Four siRNAs per gene, obtained from Qiagen, were transfected into MDA-MB231 cells in 96-well plates, in triplicates, using Silentfect® transfection reagent (Biorad) and manufacturer's instructions, and 5 nM of siRNA per well. A cytotoxic mixture of siRNA derived from several essential genes (Qiagen, All-star Cell Death Hs siRNA, #1027298), was used as a positive control, and siRNAs targeting either no known genes (Qiagen, Negative Control siRNA #1022076) or the Green Fluorescent Protein (GFP) (Qiagen, GFP-22 siRNA, #1022064) were used as negative controls. Cells were cultured in DMEM media with 10% FBS serum, and the relative cell number was determined six days after siRNA transfection by staining cellular DNA with Hoechst 33342 (Polysciences Inc; #23491-52-3). As shown in Sequencing of GSE fragments recovered by PCR from the genomic DNA of five different cell lines before and after BrdU selection was followed by BLAST analysis. The numbers of cDNA fragment sequences with homology to Unigene database entries revealed by BLAST analysis in each PCR product and the number of sequences enriched two or more fold by BrdU selection are shown in Table 3. Among the selected genes, 178 were enriched in two or more different cell lines (Table 4), and 98 genes were enriched in tumor cell lines only but not in BJ-hTERT (Table 5). These genes represent potential targets for cancer treatment. To verify the growth-regulatory activity of 26 genes enriched by GSE selection, we have used transfection of the corresponding siRNAs from Qiagen siRNA collection, four siRNAs per gene, as described in section 5 above. In these assays we have used HT1080 fibrosarcoma cells (3 days analysis after transfection) T24 bladder carcinoma (3 days analysis after transfection), and MDA-MB-231 breast carcinoma cells (6 day analysis after transfection). The results presented in Among the new potential targets listed in Table 6, we have investigated in greater detail COPZ1, which was targeted by GSEs identified in BrdU-selected populations of tumor cell lines HT1080, MDA-MB-231, T24, and PC3, but not in immortalized normal BJ-hTERT fibroblasts. COPZ1 encodes CopI-ζ1, one of the two isoforms of a coatomer of COPI secretory vesicles involved in Golgi to ER and Golgi to Golgi traffic (Beck et al., 2009). The other CopI-ζ isoform, CopI-ζ2, is encoded by the COPZ2 gene; the two CopI-ζ proteins have 75% amino acid identity (Wegmann et al., 2004). CopI-1 and CopI-ζ2 are alternative components of a dimeric complex that also includes one of the two isoforms of CopI-γ, encoded by another pair of closely related genes, COPG1 and COPG2. The CopI-ζ/CopI-γ dimers interact within COPI complexes with additional CopI proteins, which are encoded by the genes COPA, COPB1, COPB2, COPD and COPE (Wegmann et al., 2004; Moelleken et al., 2007). As shown in The knockdown of COPZ1 by siRNA was verified by quantitative reverse transcription-PCR (QPCR), as described (VanGuilder et al., 2008). The sequences of the primers used to amplify GAPDH and RPL13A (normalization standards), COPZ1 and other COPI component genes analyzed herein are listed in Table 8. QPCR analysis showed that COPZ1 Qiagen B and COPZ1. Qiagen D siRNAs decreased COPZ1 mRNA levels in MDA-MB-231, PC3 and BJ-hTERT cells by >95% relative to cells transfected with a control siRNA targeting no known genes (Qiagen). The knockdown of COPA or COPB was reported to cause the collapse of endoplasmic reticulum and Golgi compartments and cellular traffic arrest (Styers et al., 2008). Disruption of intracellular traffic either by inhibition of COPI complex formation or by blocking COPI assembly on Golgi membrane by inhibition of adenosine diphosphate ribosylation factor with brefeldin A (Donaldson et al., 1991; Fujiwara et al., 1988) resulted in cell death (Citterio et al., 2008; Shao et al., 1996). Additionally COPA or COPB knockdown inhibits the maturation of the autophagosome (Razi et al., 2009), an essential step in autophagy, a process involving the degradation of cell components through lysosomes. Autophagy is a physiological program that plays a role in cell growth, development, and homeostasis (Mizushima et al., 2008), and therefore interference with autophagy may result in cell death (Platini et al., 2010; Filimonenko et al., 2007). To determine if COPZ1 knockdown, like that of COPA or COPB, interferes with autophagy and causes Golgi disruption, we have transfected COPZ1 siRNA (from Thermo Scientific; Table 7), in parallel with siRNAs targeting COPA and COPZ2, into PC3 cells expressing LC3, a protein marker of autophagosomes fused with Green Fluorescent Protein (GFP-LC3) (Fung et al., 2008). The knockdown effects on autophagosome accumulation and Golgi integrity were analyzed 72 hrs later by fluorescence microscopy analysis after staining with monoclonal antibodies against a Golgi marker GM130 (Golgi membrane protein 130 kD, BD Bioscience) and GFP-LC3 localization. Fluorescent microscopy analysis ( To determine if siRNA knockdown of the other COPI components would mimic the antiproliferative effect of COPZ1 siRNA, we have compared the effects of siRNAs targeting COPA, COPB1, COPB2, COPE, COPG1, COPG2, COPZ1 and COPZ2 on the proliferation of HT1080, MDA-MB-231, T24 and PC3 tumor cell lines and immortalized normal BJ-hTERT fibroblasts. This analysis was conducted through the same experimental setup as in the experiments shown in The differential effect of COPZ1 siRNAs on tumor and normal cells was verified using an independent set of siRNAs (from Thermo Scientific; Table 7). To understand why the knockdown of COPZ1 but not of the other COPI proteins selectively inhibits the proliferation of tumor cells relative to normal fibroblasts, we have measured the expression of COPZ1, COPZ2, COPA, COPB1 and COPB2 in BJ-hTERT, HT1080, MDA-MB-231, T24, and PC3 cell lines by QPCR, using primers listed in Table 8. We have expanded the QPCR analysis of COPZ2 and COPZ1 expression to a large set of different normal human tissues (from Ambion) ( COPZ2 downregulation in cancer cells offers an explanation for tumor-selective cytotoxicity of COPZ1-targeting siRNAs. Since COPZ1 and COPZ2 gene products are alternative components of CopI-ζ/CopI-γ dimers, it is likely that they can substitute for each other, and that COPI complexes remain functional if either COPZ1 or COPZ2 gene products are present. Therefore, COPZ1 knockdown is not toxic to normal cells that express COPZ2. However, COPZ2 is expressed at very low levels or not at all in tumor cells, and therefore such cells become dependent on COPZ1 for normal COPI function and survival. Therefore, COPZ1 knockdown kills COPZ2-deficient tumor cells but not COPZ2-proficient normal cells. To test this explanation, we asked if the restoration of COPZ2 expression in tumor cells would protect them from killing by COPZ1 siRNA. We have cloned full-length COPZ1 and COPZ2 cDNAs from MGC cDNA collection (distributed by Open Biosystems) into a lentiviral expression vector pLenti6-bsd-FLAG constructed in our laboratory, which expresses the cloned protein with a FLAG tag at the C-terminus. These recombinant lentiviruses (as well as the insert-free vector) were then transduced into PC3 cells. The transduced cells were selected with blasticidine and tested for the expression of COPZ1 and COPZ2 by immunoblotting, using FLAG-specific antibody (M2 Anti-FLAG, Sigma-Aldrich) and antibodies specific for COPZ1 (D20 anti-COPZ antibody, Santa-Cruz Biotechnology) and COPZ2 (a gift of Dr. F. Wieland, University of Heidelberg). The results of this analysis, shown in COPZ2 siRNA alone had no effect on the proliferation of any of the three PC3 populations ( The reason for COPZ2 downregulation in tumor cells is presently unknown. However, COPZ2 gene contains in one of its introns a gene encoding the precursor of a microRNA (miRNA) mIR-152 (Weber, 2005; Rodriguez et al., 2004). miRNAs are pleiotropic regulators of gene expression, a number of which have been identified as playing important roles in cancer, either as oncogenes or as tumor suppressors (Ryan et al., 2010). Remarkably, mIR-152 was shown to be downregulated in clinical samples of several types of cancer, including breast cancer where mIR-152 gene is hypermethylated (Lehmann et al., 2008), endometrial serous adenocarcinoma where decreased expression of miR-152 was a statistically independent risk factor for overall survival (Hiroki et al., 2010), cholangiocarcinoma (Braconi et al., 2010) and gastric and colorectal cancers, where low expression of miR-152 was correlated with increased tumor size and advanced pT stage (Chen and Carmichael, 2010). Furthermore, mIR-152 overexpression in cholangiocarcinoma cells decreased cell proliferation (Braconi et al., 2010), and mIR-132 overexpression in a placental human choriocarcinoma cell line sensitized the cells to lysis by natural killer cells (Zhu et al., 2010). Hence, mIR-152 displays expression changes and biological activities indicative of a tumor suppressor. Many miRNAs located within protein-coding genes are transcriptionally linked to the expression of their host genes (Stuart et al., 2004), and a correlation between COPZ2 and mIR-152 expression has been noted among normal tissues (Bak et al., 2008). Therefore, COPZ2 downregulation in cancers could be a corollary of the downregulation of a tumor-suppressive miRNA mIR-152. To test this hypothesis, we have measured mIR-152 expression in a series of cell lines where COPZ2 expression has been determined, using QPCR with a combination of the universal miRNA (Hurteau et al., 2006) and miR-152 specific primers (Table 8). The results of this analysis, shown in BACKGROUND OF THE INVENTION
BRIEF SUMMARY OF THE INVENTION
BRIEF DESCRIPTION OF THE DRAWINGS
DETAILED DESCRIPTION OF THE PREFERRED EMBODIMENTS
Tables
Genes giving rise to shRNA sequences enriched by BrdU selection in MDA-MB-231 cells. “Selection to infection ratio” is the number of sequence reads for the corresponding gene in the sample from BrdU-selected cells relative to the sample from infected unselected cells. The “enrichment factor” is the “selection to infection ratio” multiplied by the number of different shRNA sequences for a given gene found in the BrdU-selected sample. # of Selection different to shRNA infection Enrichment Unigene_ID Gene name Annotation sequences ratio factor Hs#S4268117 C22orf16 Chromosome 22 open reading frame 16 1 159.76 159.76 Hs#S21296015 EPPB9 B9 protein 1 130.04 130.04 Hs#S29765129 Transcribed locus 1 107.75 107.75 Hs#S4616930 RNF121 Possibly chimeric cluster, 3 35.58 106.74 Tmem120b protein (LOC100133827), mRNA. Hs#S18251876 TFCP2L1 Ring finger protein 121 1 104.03 104.03 Hs#S2334967 ABCA1 Transcription factor CP2-like 1 1 94.74 94.74 Hs#S546732 PDSS2 ATP-binding cassette, sub-family A (ABC1), 1 92.89 92.89 member 1 Hs#S2294640 2 44.58 89.17 Hs#S1642954 KRAS 2 43.22 86.45 oncogene homolog (KRAS) Hs#S3989858 B3GNT1 Prenyl (decaprenyl) diphosphate synthase, subunit 2 1 81.74 81.74 Hs#S1731268 LOC93622 Transcribed locus 1 78.02 78.02 Hs#S21293769 CDNA FLJ31789 fis, clone NT2R12008656 1 78.02 78.02 Hs#S4401294 LOC283575 1 76.10 76.10 Hs#S16818580 Transcribed locus 2 34.59 69.18 Hs#S4619097 HIST1H3D Chromosome 20 open reading frame 3 6 11.12 66.71 Hs#S24527772 DTD1 CDNA FLJ40638 fis, clone THYMU2016113 1 65.23 65.23 Hs#S4367439 Transcribed locus 1 63.25 63.25 Hs#S4060493 UDP-GlcNAc:betaGal beta-1,3-N- 1 61.30 61.30 acetylglucosaminyltransferase 1 Hs#S4141000 Hypothetical gene supported by BC047417 3 20.19 60.57 Hs#S2550927 Hypothetical protein BC006130 1 59.45 59.45 Hs#S5978514 ZNF33A Transcribed locus 1 59.45 59.45 Hs#S4613519 SSSCA1 Hypothetical protein LOC146346 1 53.37 53.37 Hs#S3521640 LOC339929 Hypothetical LOC401397 1 53.37 53.37 Hs#S14802153 GLIS3 Transcribed locus, strongly similar to 1 48.43 48.43 XP_001064372.1 similar to WW domain-containing adapter with a coiled-coil region isoform 3 [ Hs#S16884664 LOC146346 Adaptor-related protein complex 1, gamma 1 subunit 2 24.12 48.23 Hs#S33939805 LOC41397 Solute carrier family 23 (nucleobase transporters), 3 16.06 48.18 member 2 Hs#S4773912 CDC42 small effector 2 2 23.72 47.44 Hs#S10817784 ANTXR2 Ubiquitin associated domain containing 1 1 46.45 46.45 Hs#S33760083 Hypothetical protein LOC283575 1 46.44 46.44 Hs#S16818255 SH3-domain binding protein 4 3 15.45 46.36 Hs#S21275669 C1orf66 3 15.32 45.96 Hs#S18152358 UBADC1 Obscurin-like 1 4 11.48 45.92 Hs#S3993852 Ring finger protein 187 3 14.83 44.48 Hs#S4613056 SYTL1 Chromosome 14 open reading frame 43 3 14.54 43.63 Hs#S3470133 Niemann-Pick disease, type C1 3 14.50 43.49 Hs#S2140044 KRAS Histone cluster 1, H3d 1 42.73 42.73 Hs#S26336067 DHX57 DEAH (Asp-Glu-Ala-Asp/His) box polypeptide 57 1 42.50 42.50 Hs#S19132849 LOC254571 Transcribed locus, weakly similar to 1 40.52 40.52 XP_001136957.1 G protein-coupled receptor 175 isoform 1 [ Hs#S17512792 C1orf27 BTB (POZ) domain containing 9 2 20.26 40.52 Hs#S16819291 Ubiquitin family domain containing 1 3 13.37 40.12 Hs#S16906232 PNAS-130 1 39.53 39.53 Hs#S2366249 Solute carrier family 35, member E1 2 19.60 39.20 Hs#S37583284 D-tyrosyl-tRNA deacylase 1 homolog ( 1 39.01 39.01 Hs#S16883204 UCHL5 Non-SMC condensin I complex, subunit D2 5 7.74 38.71 Hs#S4284301 FBXL2 Cleavage and polyadenylation specific factor 4, 3 12.77 38.32 30 kDa Hs#S48391500 LOC44297 BCL2-associated athanogene 2 19.11 38.22 Hs#S5931131 Methylenetetrahydrofolate dehydrogenase (NADP+ 3 12.71 38.12 dependent) 1, methenyltetrahydrofolate cyclohydrolase, formyltetrahydrofolate synthetase Hs#S31785054 LOC1133827 Ubiquitin carboxyl-terminal hydrolase L5 1 38.05 38.05 Hs#S18152367 TMTC1 F-box and leucine-rich repeat protein 2 1 37.76 37.76 Hs#S1731541 C7orf1 Similar to cytoplasmic beta-actin 1 37.56 37.56 Hs#S41445089 Transcribed locus 1 36.57 36.57 Hs#S11046986 IQ motif containing E 2 18.28 36.57 Hs#S22668594 FXC1 Transmembrane and tetratricopeptide repeat 1 35.58 35.58 containing 1 Hs#S2445725 RHOU Chromosome 7 open reading frame 10 1 35.58 35.58 Hs#S2652760 MR1 CDNA FLJ34848 fis, clone NT2NE2011684, weakly 1 34.59 34.59 similar to Hs#S5468493 SEMA4G Fracture callus 1 homolog (rat) 1 34.20 34.20 Hs#S39298991 Ras homolog gene family, member U 1 33.60 33.60 Hs#S2294357 GPATCH1 G patch domain containing 1 1 32.78 32.78 Hs#S15970758 LOC9661 Hypothetical gene LOC96610 1 31.96 31.96 Hs#S16820105 NDUFS5 Cyclin M4 2 15.94 31.87 Hs#S226144 LOC4443 NADH dehydrogenase (ubiquinone) Fe—S protein 5, 1 31.63 31.63 15 kDa (NADH-coenzyme Q reductase) Hs#S1732011 NP Similar to Phosphoglycerate mutase 1 1 31.63 31.63 (Phosphoglycerate mutase isozyme B) (PGAM-B) (BPG-dependent PGAM 1) Hs#S1728763 SLC35E2 Nucleoside phosphorylase 1 31.36 31.36 Hs#S15631764 Solute carrier family 35, member E2 1 30.64 30.64 Hs#S34122828 KRT39 S-adenosylhomocysteine hydrolase 4 7.51 30.05 Hs#S4614963 BRWD1 1 29.72 29.72 Hs#S34548570 Zinc finger protein 33A 1 29.72 29.72 Hs#S4262094 Sjogren's syndrome/scleroderma autoantigen 1 1 29.72 29.72 Hs#S3850280 Transcribed locus 1 29.65 29.65 Hs#S5495022 TMCO4 Transmembrane and coiled-coil domains 4 1 29.65 29.65 Hs#S14802446 2 14.83 29.65 (cytosolic), class B member 1 (HSP90AB1) Hs#S2649948 ICT1 Nuclear cap binding protein subunit 1, 80 kDa 2 14.83 29.65 Hs#S4521257 KIF2A 1 29.16 29.16 Hs#S1824400 SCARNA12 2 14.50 28.99 Hs#S3219330 Structure specific recognition protein 1 4 7.23 28.90 Hs#S1368502 1 28.78 28.78 1 (ICT1) Hs#S15644384 AK3 Kinesin heavy chain member 2A 1 28.73 28.73 Hs#S16885877 ITFG1 Small Cajal body-specific RNA 12 1 28.66 28.66 Hs#S2293257 AFG3L1 Transcribed locus 1 28.66 28.66 Hs#S16819731 Transcribed locus 1 28.17 28.17 Hs#S17878167 DLC1 Adenylate kinase 3 1 27.92 27.92 Hs#S15841460 Hypothetical protein LOC339929 1 27.87 27.87 Hs#S4838923 GLIS family zinc finger 3 1 27.87 27.87 Hs#S16886550 Integrin alpha FG-GAP repeat containing 1 1 27.67 27.67 Hs#S16886203 Cyclin D1 5 5.46 27.30 Hs#S4613863 Similar to CG17293-PA 2 13.59 27.18 Hs#S1474084 TMEM25 Thyroid hormone receptor, alpha (erythroblastic 3 8.99 26.96 leukemia viral (v-erb-a) oncogene homolog, avian) Hs#S20091283 AGPS AFG3 ATPase family gene 3-like 1 ( 1 26.85 26.85 Hs#S3973098 FTH1 Transcribed locus 1 26.69 26.69 Hs#S4618434 Deleted in liver cancer 1 1 26.69 26.69 Hs#S927697 LOC729334 1 26.01 26.01 Hs#S3478912 ZNF292 Anthrax toxin receptor 2 1 26.01 26.01 Hs#S16819818 CDNA FLJ25559 fis, clone JTH02834 1 26.01 26.01 Hs#S1615068 Transmembrane protein 25 1 25.98 25.98 Hs#S1727203 Glutamyl-prolyl-tRNA synthetase 2 12.65 25.30 Hs#S16884987 AP1G1 Alkylglycerone phosphate synthase 1 25.10 25.10 Hs#S2801073 CDC42SE2 Aprataxin 2 12.45 24.91 Hs#S24303272 Ferritin, heavy polypeptide 1 1 24.71 24.71 Hs#S4084609 TOR1A Transcribed locus, strongly similar to 1 24.71 24.71 XP_001155109.1 similar to Cks1 protein homologue isoform 2 [ Hs#S14863546 Similar to ribosomal protein S6 kinase, polypeptide 1 1 24.71 24.71 Hs#S17512415 Zinc finger protein 292 1 24.71 24.71 Hs#S29633556 GPR143 Myosin phosphatase-Rho interacting protein 3 8.15 24.46 Hs#S32436017 BCDIN3 Transcribed locus 1 24.38 24.38 Hs#S4613272 MANEAL Zinc finger and BTB domain containing 38 4 6.07 24.29 Hs#S4283880 UGT2A1 1 24.21 24.21 Hs#S3987156 ZNF67 Vacuolar protein sorting 11 homolog ( 2 12.08 24.16 Hs#S34550091 Chromosome 1 open reading frame 66 1 24.15 24.15 Hs#S24303058 ARTN 1 24.13 24.13 Hs#S4620111 LOC3936 CDNA FLJ43227 fis, clone HCHON2000212 1 23.72 23.72 Hs#S3282887 Torsin family 1, member A (torsin A) 1 23.72 23.72 Hs#S16507499 MTIF3 CDNA FLJ40436 fis, clone TESTI2039613 1 23.72 23.72 Hs#S1362510 ESCO2 Transcribed locus 1 23.72 23.72 Hs#S2650087 CNOT4 3 7.91 23.72 (TRIM29) Hs#S2943708 NBPF1 G protein-coupled receptor 143 1 23.60 23.60 Hs#S29689535 MAP3K3 Cysteine-rich protein 1 (intestinal) 3 7.84 23.51 Hs#S39704889 GOLGA5 ATP-binding cassette, sub-family C (CFTR/MRP), 3 7.82 23.46 member 3 Hs#S16887890 CSNK2A1 Bin3, bicoid-interacting 3, homolog ( 1 22.73 22.73 Hs#S1728947 Transcribed locus 2 11.37 22.73 Hs#S1728579 Ataxin 7-like 3 4 5.58 22.33 Hs#S20091302 LOC283398 CDNA FLJ26579 fis, clone LNF06863 1 22.29 22.29 Hs#S4566561 Synaptotagmin-like 1 1 22.29 22.29 Hs#S4189502 BRD7 1 22.29 22.29 Hs#S34542736 C1orf17 2 11.15 22.29 (MANEAL) Hs#S38981964 LOC653519 Neuroblastoma breakpoint family, member 1 1 22.07 22.07 Hs#S1367624 RP5-86 Pleckstrin homology domain containing, family G 2 11.04 22.07 F19.3 (with RhoGef domain) member 2 Hs#S11057621 Transportin 2 (importin 3, karyopherin beta 2b) 3 7.30 21.90 Hs#S36352307 PNPO Mitogen-activated protein kinase kinase kinase 3 1 21.74 21.74 Hs#S2139023 IKBKB Golgi autoantigen, golgin subfamily a, 5 1 21.74 21.74 Hs#S3220225 1 21.74 21.74 (CSNK2A1) Hs#S910697 BTBD9 Transcribed locus 1 21.74 21.74 Hs#S16887487 TUBB1 BCL2-like 1 3 7.24 21.71 Hs#S1728391 LOC427 Family with sequence similarity 120A 5 4.28 21.41 Hs#S3218921 Transcribed locus 1 21.41 21.41 Hs#S848381 Similar to Succinyl-CoA ligase [GDP-forming] beta- 1 21.41 21.41 chain, mitochondrial precursor (Succinyl-CoA synthetase, betaG chain) (SCS-betaG) (GTP-specific succinyl-CoA synthetase beta subunit) Hs#S4300247 SLC35E1 1 21.08 21.08 Hs#S19675751 TIAM1 Bromodomain containing 7 1 21.08 21.08 Hs#S4618683 OSTM1 Chromosome 1 open reading frame 170 1 20.76 20.76 Hs#S1368546 Similar to G protein-coupled receptor 89 1 20.76 20.76 Hs#S2544320 GPR161 KIAA1442 protein 1 20.76 20.76 Hs#S4283612 BAG1 Transcribed locus 1 20.76 20.76 Hs#S38872165 LOC285359 Pyridoxamine 5′-phosphate oxidase 1 20.58 20.58 Hs#S1731363 LOC28598 Inhibitor of kappa light polypeptide gene enhancer in 1 20.51 20.51 B-cells, kinase beta Hs#S19862928 UPF3B Hypothetical protein LOC254571 1 20.43 20.43 Hs#S2233274 TBKBP1 Chromosome 1 open reading frame 27 1 20.43 20.43 Hs#S2330604 RPS15A Transcribed locus 1 20.43 20.43 Hs#S34544442 CDNA: FLJ21228 fis, clone COL00739 1 20.43 20.43 Hs#S3506802 Transcribed locus 1 20.36 20.36 Hs#S4622649 Tubulin, beta 1 1 20.21 20.21 Hs#S4622710 TPP1 Transcribed locus, weakly similar to 1 20.10 20.10 XP_001131248.1 hypothetical protein [ Hs#S5517244 ZNF319 CDNA clone IMAGE: 5736961 1 20.06 20.06 Hs#S16818069 UCP2 T-cell lymphoma invasion and metastasis 1 1 19.57 19.57 Hs#S18928169 Osteopetrosis associated transmembrane protein 1 1 19.57 19.57 Hs#S2935335 NLRX1 Transcribed locus 1 19.52 19.52 Hs#S19132577 LOC644588 G protein-coupled receptor 161 1 19.52 19.52 Hs#S27877558 Ankyrin repeat and SOCS box-containing 1 2 9.70 19.41 Hs#S26153400 EPOR CTP synthase 2 9.66 19.33 Hs#S19132894 Phosducin-like 3 pseudogene 1 19.03 19.03 Hs#S1729449 Lamin B2 4 4.73 18.91 Hs#S4554552 GPRC5C Hypothetical protein LOC285908 1 18.78 18.78 Hs#S4426223 IQCE UPF3 regulator of nonsense transcripts homolog B 1 18.78 18.78 (yeast) Hs#S23881883 LARP5 TBK1 binding protein 1 1 18.78 18.78 Hs#S21106926 Dual specificity phosphatase 14 2 9.36 18.71 Hs#S4399524 Ribosomal protein S15a 2 9.29 18.58 Hs#S7110390 LOC44286 Transcribed locus 1 18.53 18.53 Hs#S19765522 G protein-coupled receptor, family C, group 5, 1 18.45 18.45 member C Hs#S24663340 PCMT1 La ribonucleoprotein domain family, member 5 1 18.28 18.28 Hs#S18601684 Transcribed locus, strongly similar to 1 18.28 18.28 XP_001080976.1 similar to microfibrillar-associated protein 1 [ Hs#S38688562 LOC162632 CDNA FLJ41419 fis, clone BRHIP2002339 1 17.99 17.99 Hs#S38981978 TAF15 RNA polymerase II, TATA box binding 3 5.96 17.89 protein (TBP)-associated factor, 68 kDa Hs#S4083130 Similar to ribosomal protein L10 1 17.79 17.79 Hs#S2293359 SLC25A24 Cytidine deaminase 3 5.93 17.79 Hs#S24303314 PYGO2 Transcribed locus 1 17.79 17.79 Hs#S2011438 TERF2 Protein-L-isoaspartate (D-aspartate) O- 1 17.73 17.73 methyltransferase Hs#S3547136 1 17.71 17.71 Hs#S3776639 TL132 pseudogene 1 17.68 17.68 Hs#S16883107 IPO13 Replication initiator 1 3 5.83 17.49 Hs#S1728033 XRRA1 1 17.46 17.46 Hs#S2139325 Transcribed locus, weakly similar to XP_514093.1 1 17.30 17.30 similar to Ladinin 1 (Lad-1) (120 kDa linear IgA bullous dermatosis antigen) (97 kDa linear IgA bullous dermatosis antigen) (Linear IgA disease antigen homolog) (LadA) [ Hs#S15556062 Solute carrier family 25 (mitochondrial carrier; 1 17.20 17.20 phosphate carrier), member 24 Hs#S4616141 EXPH5 Pygopus homolog 2 ( 1 17.17 17.17 Hs#S32813027 PTTG1 3 5.64 16.91 mRNA Hs#S1731625 GARS Polymerase I and transcript release factor 3 5.63 16.90 Hs#S2650345 ADAMTS8 Prefoldin subunit 5 2 8.45 16.89 Hs#S3619291 KIAA828 Yippee-like 5 ( 2 8.40 16.80 Hs#S16113351 NBEAL2 Telomeric repeat binding factor 2 1 16.80 16.80 Hs#S4044961 C7orf41 Transcribed locus 1 16.80 16.80 Hs#S40597866 SLC23A2 1 16.80 16.80 Hs#S2654982 ATP5I Chromosome 20 open reading frame 11 2 8.40 16.80 Hs#S1110179 CNNM4 Amino-terminal enhancer of split 2 8.40 16.80 Hs#S1268286 Major histocompatibility complex, class I-related 1 16.72 16.72 Hs#S1415594 ABCB4 Sema domain, immunoglobulin domain (Ig), 1 16.72 16.72 transmembrane domain (TM) and short cytoplasmic domain, (semaphorin) 4G Hs#S1730946 SH3BP4 CDNA FLJ44879 fis, clone BRAMY2033895 1 16.72 16.72 Hs#S1971587 C9orf119 Importin 13 1 16.64 16.64 Hs#S2653601 HSPD1 X-ray radiation resistance associated 1 1 16.60 16.60 Hs#S2929368 ACTB 1 16.60 16.60 Hs#S30131655 PCLO Transcribed locus, strongly similar to 1 16.57 16.57 XP_001145773.1 similar to PI-3-kinase-related kinase SMG-1 isoform 1homolog [ Hs#S34541296 FLJ22167 Exophilin 5 1 16.55 16.55 Hs#S3990203 LOC645668 Pituitary tumor-transforming 1 1 16.52 16.52 Hs#S4838548 ARHGEF18 Glycyl-tRNA synthetase 1 16.48 16.48 Hs#S7089804 Ubiquitin specific peptidase 19 3 5.44 16.31 Hs#S2961525 MRPL52 ADAM metallopeptidase with thrombospondin type 1 16.27 16.27 1 motif, 8 Hs#S19863275 U1SNRNPBP Adenosylhomocysteinase 3 1 16.21 16.21 Hs#S21592134 CPEB2 Neurofibromin 2 (bilateral acoustic neuroma) 2 8.10 16.21 Hs#S4372715 TGM1 Neurobeachin-like 2 1 16.18 16.18 Hs#S16889291 RAPGEF5 SAPK substrate protein 1 2 8.07 16.14 Hs#S14273019 FIZ1 Chromosome 7 open reading frame 41 1 16.10 16.10 Hs#S34548677 ANKRD26 1 16.01 16.01 mitochondrial F0 complex, subunit E (ATP5I), nuclear gene encoding mitochondrial protein Hs#S15116077 PLEKHC1 RNA binding motif protein 20 2 7.91 15.81 Hs#S4324752 AGGF1 CDNA FLJ14366 fis, A-HEMBA1001020 1 15.81 15.81 Hs#S21286877 probably fused seq 2 7.91 15.81 Hs#S21934876 2 7.91 15.81 (farnesyl pyrophosphate synthetase, dimethylallyltranstransferase, geranyltranstransferase) (FDPS) Hs#S38795190 Cofilin 1 (non-muscle) 3 5.19 15.57 Hs#S2138748 ATP-binding cassette, sub-family B (MDR/TAP), 1 15.48 15.48 member 4 Hs#S4808710 Chromosome 9 open reading frame 119 1 15.37 15.37 Hs#S4323658 KRTAP17-1 1 15.37 15.37 (chaperonin) (HSPD1), nuclear gene encoding mitochondrial protein Hs#S2294364 Piccolo (presynaptic cytomatrix protein) 1 15.32 15.32 Hs#S5930916 NKRF Hypothetical protein FLJ22167 1 15.15 15.15 Hs#S5978605 SLC26A9 Similar to Elongation factor Tu, mitochondrial 1 15.15 15.15 precursor (EF-Tu) (P43) Hs#S18928610 FBXO8 Chromosome 13 open reading frame 23 2 7.51 15.02 Hs#S4074937 EIF4B eukaryotic translation initiation factor 4B 2 7.47 14.94 Hs#S2653589 Rho/rac guanine nucleotide exchange factor (GEF) 1 14.90 14.90 18 Hs#S1729966 Transcribed locus 1 14.86 14.86 Hs#S17529890 Keratin 39 1 14.86 14.86 Hs#S1972664 LOC28555 Bromodomain and WD repeat domain containing 1 1 14.86 14.86 Hs#S2293860 COQ1B CDNA FLJ35672 fis, clone SPLEN2018280 1 14.86 14.86 Hs#S4616288 GSK3B Transcribed locus, moderately similar to 1 14.86 14.86 XP_215201.4 similar to RNA-binding protein 4 (RNA-binding motif protein 4) (Lark homolog) (Mlark) [ Hs#S1263783 Poly(A) binding protein, cytoplasmic 3 1 14.83 14.83 Hs#S21592183 C9orf122 Trafficking protein particle complex 2 1 14.83 14.83 Hs#S858884 1 14.83 14.83 Hs#S26122385 Target clone is not clearly identified (homology with 3 4.89 14.67 himeric products) Hs#S4546062 Chromosome 10 open reading frame 54 1 14.61 14.61 Hs#S2483479 PABPC3 Methionine sulfoxide reductase B3 1 14.58 14.58 Hs#S2138664 RNF187 Testis specific, 14 1 14.53 14.53 Hs#S38795021 TRAPPC2 Transcribed locus 1 14.50 14.50 Hs#S2331695 HSP9AB1 CDNA FLJ20832 fis, clone ADKA03033 1 14.26 14.26 Hs#S16391281 NCBP1 PR domain containing 4 2 7.12 14.23 Hs#S4283309 DEAD (Asp-Glu-Ala-Asp) box polypeptide 3, X- 2 7.07 14.15 linked Hs#S38981998 C1orf54 TRNA 5-methylaminomethyl-2-thiouridylate 1 14.13 14.13 methyltransferase Hs#S4833432 MSRB3 1 14.12 14.12 Hs#S5930818 C14orf43 TH1-like ( 3 4.67 14.02 Hs#S4296148 TSGA14 Endo-beta-N-acetylglucosaminidase 1 13.94 13.94 Hs#S15640600 CD9 Deoxynucleotidyltransferase, terminal, interacting 1 13.90 13.90 protein 1 Hs#S3602940 Ubiquitin-conjugating enzyme E2O 2 6.92 13.84 Hs#S16819411 NPC1 Transcribed locus 1 13.84 13.84 Hs#S17873428 Transcribed locus 1 13.84 13.84 Hs#S4026358 TRMU Kringle containing transmembrane protein 2 1 13.84 13.84 Hs#S10817661 Ankyrin repeat and MYND domain containing 2 2 6.92 13.84 Hs#S4773419 FLJ21865 Chromosome X open reading frame 6 2 6.92 13.84 Hs#S34544410 DNTTIP1 Transcribed locus 1 13.64 13.64 Hs#S21390380 2 6.77 13.53 beta polypeptide, antigen CD29 includes MDF2, MSK12) (ITGB1) Hs#S3218259 Suppression of tumorigenicity 14 (colon carcinoma) 2 6.72 13.44 Hs#S34542734 KREMEN2 1 13.34 13.34 Hs#S3438578 IMP (inosine monophosphate) dehydrogenase 1 1 13.34 13.34 Hs#S4029085 LOC441891 Transcribed locus, weakly similar to NP_009956.2 1 13.34 13.34 homologue; Rhb1p [ Hs#S16885659 UBFD1 La ribonucleoprotein domain family, member 1 2 6.61 13.21 Hs#S11131792 Transcribed locus 1 13.00 13.00 Hs#S15846854 IMPDH1 CDNA FLJ11947 fis, clone HEMBB1000726 1 13.00 13.00 Hs#S15846862 Transcribed locus 1 13.00 13.00 Hs#S16507498 1 13.00 13.00 Hs#S1728022 1 13.00 13.00 Hs#S1824434 Transcribed locus 1 12.90 12.90 Hs#S19862888 Transcribed locus, weakly similar to 1 12.85 12.85 NP_001039643.1 protein LOC514688 [ Hs#S2139683 CPSF4 Transcribed locus 1 12.85 12.85 Hs#S21592301 MTHFD1 Full-length cDNA clone CS0DL005YA15 of B cells 1 12.85 12.85 (Ramos cell line) Cot 25-normalized of Hs#S2293277 Autocrine motility factor receptor 2 6.42 12.85 Hs#S2650236 EPRS 2 6.42 12.85 von Recklinghausen disese, Watson disease) (NF1) Hs#S2654955 LOC645615 1 12.68 12.68 Hs#S29440731 HIGD2A Similar to hepatocellular carcinoma-associated 1 12.60 12.60 antigen 66 Hs#S3197874 APTX 1 12.57 12.57 (HIGD2A) Hs#S32462690 C9orf142 Chromosome 9 open reading frame 142 1 12.35 12.35 Hs#S3333631 CDNA clone IMAGE: 6106200 1 12.35 12.35 Hs#S3383648 DNAJA2 DnaJ (Hsp40) homolog, subfamily A, member 2 1 12.35 12.35 Hs#S37211091 Full-length cDNA clone CS0DJ012YG05 of T cells 1 12.35 12.35 (Jurkat cell line) Cot 10-normalized of (human) Hs#S3881511 MAPK6 Mitogen-activated protein kinase 6 1 12.35 12.35 Hs#S3940071 ERCC1 Excision repair cross-complementing rodent repair 1 12.35 12.35 deficiency, complementation group 1 (includes overlapping antisense sequence) Hs#S4268629 WD repeat domain 57 (U5 snRNP specific) 2 6.15 12.30 Hs#S4324622 C1q and tumor necrosis factor related protein 6 2 6.13 12.26 Hs#S4341465 CYP2S1 1 12.19 12.19 Hs#S4400974 UBE3A 1 12.19 12.19 Hs#S4614668 VPS11 Cytochrome P450, family 2, subfamily S, 1 12.19 12.19 polypeptide 1 Hs#S4615142 AGPAT1 2 6.07 12.14 Hs#S4838504 GSTZ1 Ubiquitin protein ligase E3A (human papilloma virus 1 12.11 12.11 E6-associated protein, Angelman syndrome) Hs#S5475261 LOC728657 1-acylglycerol-3-phosphate O-acyltransferase 1 1 12.00 12.00 (lysophosphatidic acid acyltransferase, alpha) Hs#S5517477 SFRS15 Glutathione transferase zeta 1 (maleylacetoacetate 1 11.97 11.97 isomerase) Hs#S5951324 RBM15 Similar to dual specificity phosphatase 8 1 11.86 11.86 Hs#S6145210 SUMO2 Splicing factor, arginine/serine-rich 15 1 11.86 11.86 Hs#S794414 RNA binding motif protein 15 1 11.86 11.86 Hs#S16056656 PLS1 SMT3 suppressor of mif two 3 homolog 2 ( 1 11.86 11.86 Hs#S26643428 USP28 Transcribed locus 1 11.86 11.86 Hs#S23254699 FAM3A G protein-coupled receptor kinase interactor 2 2 5.93 11.86 Hs#S3255888 AFF4 Solute carrier family 35, member B4 2 5.93 11.86 Hs#S3307627 OBSL1 Plastin 1 (I isoform) 1 11.86 11.86 Hs#S24443601 TNFRSF1A Ubiquitin specific peptidase 28 1 11.86 11.86 Hs#S26643702 Solute carrier family 38, member 5 2 5.93 11.86 Hs#S4546315 Family with sequence similarity 3, member A 1 11.86 11.86 Hs#S4539222 SET AF4/FMR2 family, member 4 1 11.67 11.67 Hs#S1970096 SPRY2 Tumor necrosis factor receptor superfamily, member 1 11.46 11.46 1A Hs#S1824507 LETM2 Transcribed locus, strongly similar to XP_217277.4 1 11.46 11.46 similar to without children CG5965-PA [ Hs#S1726632 CAPN2 Toll interacting protein 2 5.68 11.37 Hs#S2293240 Adenosine deaminase, RNA-specific 2 5.66 11.32 Hs#S3792926 SET translocation (myeloid leukemia-associated) 1 11.30 11.30 Hs#S16819337 2 5.60 11.20 (SHKBP1) Hs#S1637758 UBL3 2 5.60 11.20 fibrosarcoma oncogene homolog G (avian) (MAFG) Hs#S3110506 UDP glucuronosyltransferase 2 family, polypeptide 1 11.15 11.15 A1 Hs#S3219661 MINPP1 Zinc finger protein 607 1 11.15 11.15 Hs#S3377338 Transcribed locus 1 11.15 11.15 Hs#S4320649 Artemin 1 11.15 11.15 Hs#S1970972 Hypothetical LOC390306 1 11.15 11.15 Hs#S3781962 1 11.15 11.15 Hs#S16056988 Mitochondrial translational initiation factor 3 1 11.15 11.15 Hs#S100711 Establishment of cohesion 1 homolog 2 ( 1 11.15 11.15 Hs#S1727033 ALOXE3 CCR4-NOT transcription complex, subunit 4 1 11.15 11.15 Hs#S3219600 Sprouty homolog 2 ( 2 5.57 11.15 Hs#S1097393 DRAP1 Leucine zipper-EF-hand containing transmembrane 2 5.57 11.15 protein 2 Hs#S1184 2 5.57 11.15 (CAPN2) Hs#S4413186 Oxidative-stress responsive 1 2 5.56 11.12 Hs#S3940065 USP15 Epithelial V-like antigen 1 1 11.07 11.07 Hs#S5515813 CSF3R Abl interactor 2 1 11.07 11.07 Hs#S5899942 VEGFA V-rel reticuloendotheliosis viral oncogene homolog 1 10.87 10.87 A, nuclear factor of kappa light polypeptide gene enhancer in B-cells 3, p65 (avian) Hs#S6100790 Transcribed locus 1 10.87 10.87 Hs#S1726257 2 5.44 10.87 Hs#S1177138 Frizzled homolog 1 ( 1 10.87 10.87 Hs#S16884388 FGFR2 KIAA1632 1 10.87 10.87 Hs#S2356728 TNKS2 Transcribed locus 1 10.87 10.87 Hs#S34543533 CEP135 Cyclin-dependent kinase 2 1 10.87 10.87 Hs#S2333982 V-ets erythroblastosis virus E26 oncogene homolog 1 10.87 10.87 1 (avian) Hs#S1336309 Shroom family member 1 1 10.87 10.87 Hs#S19874976 DMN Retinol saturase (all-trans-retinol 13,14-reductase) 1 10.62 10.62 Hs#S2140506 ZNF728 Small Cajal body-specific RNA 2 1 10.62 10.62 Hs#S4671903 ATP8A1 Zinc finger protein-like 1 2 5.31 10.62 Hs#S1731389 GK3P 1 10.54 10.54 Hs#S4619377 Apolipoprotein B mRNA editing enzyme, catalytic 1 10.54 10.54 polypeptide-like 3C Hs#S1730187 DHRS4 CDNA FLJ33736 fis, clone BRAWH2018514 1 10.54 10.54 Hs#S16884579 LOC44456 SUMO1/sentrin specific peptidase 1 1 10.38 10.38 Hs#S30194364 NDEL1 RAD9 homolog A ( 1 10.38 10.38 Hs#S4296637 TRAM1 Fragile X mental retardation, autosomal homolog 1 1 10.32 10.32 Hs#S3438145 SV2A Lactate dehydrogenase A 1 10.28 10.28 Hs#S15967295 Clone 23963 mRNA sequence 1 10.21 10.21 Hs#S4285059 1 10.13 10.13 Hs#S3989863 Transmembrane protein 43 2 5.05 10.10 Hs#S24303044 DDN Cyclin B1 1 10.02 10.02 Hs#S34545639 LOC643464 Glucosidase, beta; acid (includes 1 9.88 9.88 glucosylceramidase) Hs#S3993862 Similar to dynein, cytoplasmic, light peptide 1 9.88 9.88 Hs#S11046863 2 4.94 9.88 glycoprotein 4 (PSG4) Hs#S11062731 C2orf3 Polymerase (DNA directed) sigma 2 4.94 9.88 Hs#S3618962 EVA1 2 4.94 9.88 Hs#S5918966 ABI2 Vacuolar protein sorting 13 homolog A ( 2 4.94 9.88 Hs#S3619207 PLEKHG2 Dolichyl-phosphate (UDP-N-acetylglucosamine) N- 1 9.88 9.88 acetylglucosaminephosphotransferase 1 (GlcNAc-1- P transferase) Hs#S1727399 RELA Mevalonate (diphospho) decarboxylase 2 4.94 9.88 Hs#S3973116 Transcribed locus, moderately similar to 1 9.88 9.88 NP_001072641.1 protein LOC7150097 [ Hs#S3782070 FZD1 ArsA arsenite transporter, ATP-binding, homolog 1 1 9.88 9.88 (bacterial) Hs#S16887814 KIAA1632 Cholinergic receptor, muscarinic 2 1 9.88 9.88 Hs#S2138915 Enolase superfamily member 1 1 9.88 9.88 Hs#S1728059 CDK2 Chromosome 19 open reading frame 22 1 9.88 9.88 Hs#S29525962 ETS1 Low density lipoprotein receptor-related protein 11 1 9.72 9.72 Hs#S16885581 SHROOM1 MAP-kinase activating death domain 2 4.85 9.70 Hs#S875916 RETSAT Gap junction protein, beta 3, 31 kDa 1 9.62 9.62 Hs#S3265 SCARNA2 NAD synthetase 1 1 9.49 9.49 Hs#S15515243 Solute carrier family 41, member 3 1 9.46 9.46 Hs#S34542796 APOBEC3C MRNA; cDNA DKFZp434C0923 (from clone 1 9.39 9.39 DKFZp434C0923) Hs#S103088 Upstream binding transcription factor, RNA 1 9.29 9.29 polymerase I Hs#S1101292 SENP1 Transcribed locus 1 9.29 9.29 Hs#S11047073 RAD9A Transcribed locus 1 9.29 9.29 Hs#S14272999 FXR1 Transcribed locus 1 9.29 9.29 Hs#S1503932 LDHA Tripeptidyl peptidase I 1 9.29 9.29 Hs#S1570046 Zinc finger protein 319 1 9.29 9.29 Hs#S1579109 Uncoupling protein 2 (mitochondrial, proton carrier) 1 9.29 9.29 Hs#S15974021 CCNB1 Transcribed locus 1 9.29 9.29 Hs#S16102754 GBA NLR family member X1 1 9.29 9.29 Hs#S1638509 LOC73138 Similar to DnaJ homolog subfamily A member 1 1 9.29 9.29 (Heat shock 40 kDa protein 4) (DnaJ protein homolog 2) (HSJ-2) (HSDJ) Hs#S16535341 DPAGT1 CDNA FLJ31443 fis, clone NT2NE2000808 1 9.29 9.29 Hs#S16886868 Erythropoietin receptor 1 9.29 9.29 Hs#S16889882 ASNA1 CDNA clone IMAGE: 5277883 1 9.29 9.29 Hs#S17529224 CHRM2 Cas-Br-M (murine) ecotropic retroviral transforming 2 4.61 9.22 sequence Hs#S21591426 ENOSF1 Tropomyosin 3 pseudogene 1 9.16 9.16 Hs#S2215784 C19orf22 1 9.14 9.14 Hs#S23099711 LRP11 SCO cytochrome oxidase deficient homolog 1 1 9.09 9.09 (yeast) Hs#S2331861 ASB1 IQ motif containing GTPase activating protein 1 2 4.53 9.07 Hs#S24302745 CTPS Sema domain, immunoglobulin domain (Ig), 1 9.05 9.05 transmembrane domain (TM) and short cytoplasmic domain, (semaphorin) 4C Hs#S26179767 GJB3 CDK5 regulatory subunit associated protein 1 1 9.00 9.00 Hs#S2649714 NADSYN1 1 8.90 8.90 Hs#S2654228 SLC41A3 Transcribed locus 1 8.90 8.90 Hs#S29684090 Transcribed locus, strongly similar to 1 8.90 8.90 XP_001058360.1 similar to Heterogeneous nuclear ribonucleoprotein G (hnRNP G) (RNA-binding motif protein, X chromosome) isoform 1 [ Hs#S3355603 DUSP14 Hypothetical LOC349196 1 8.90 8.90 Hs#S3438518 UBTF MRNA; cDNA DKFZp686I19109 (from clone 1 8.90 8.90 DKFZp686I19109) Hs#S3438671 LOC646839 Dual specificity phosphatase 1 1 8.90 8.90 Hs#S3511371 Transcribed locus 1 8.90 8.90 Hs#S3914296 SCO1 Transcribed locus 1 8.90 8.90 Hs#S39547751 SEMA4C 1 8.90 8.90 subunit 3, 21 kDa (ARPC3), mRNA. Hs#S3989629 CDK5RAP1 Transmembrane protein induced by tumor necrosis 1 8.90 8.90 factor alpha Hs#S4046399 THRA Hypothetical protein LOC203547 1 8.90 8.90 Hs#S41443272 TRM5 tRNA methyltransferase 5 homolog ( 2 4.45 8.90 Hs#S4261892 2 4.45 8.90 Hs#S4273435 Jun B proto-oncogene 1 8.70 8.70 Hs#S4622076 LOC349196 Eukaryotic translation elongation factor 1 alpha 2 2 4.35 8.70 Hs#S4622728 Ribosomal protein L36a 1 8.65 8.65 Hs#S4807467 DUSP1 Zinc finger and BTB domain containing 46 1 8.65 8.65 Hs#S4832001 Clone TESTIS-724 mRNA sequence 1 8.65 8.65 Hs#S5940277 Triggering receptor expressed on myeloid cells-like 2 2 4.32 8.65 Hs#S6120703 ARPC3 Tumor suppressor candidate 4 2 4.28 8.57 Hs#S6140404 TMPIT Mitochondrial ribosomal protein L48 2 4.28 8.57 Hs#S6158954 LOC23547 1 8.45 8.45 polypeptide J-related (POLR2J2), mRNA Hs#S7089884 JUNB Kelch domain containing 5 1 8.40 8.40 Hs#S793581 RPL36A Transcribed locus, moderately similar to 1 8.40 8.40 XP_001072116.1 similar to UPF0315 protein [ Hs#S932405 ZBTB46 Jub, ajuba homolog ( 1 8.40 8.40 Hs#S1729506 Phosphate cytidylyltransferase 2, ethanolamine 1 8.35 8.35 Hs#S1732276 PFDN5 1 8.30 8.30 Hs#S1729763 POLR2J2 Protein kinase N1 2 4.15 8.30 Hs#S29722022 YPEL5 Mediator of RNA polymerase II transcription, 1 8.24 8.24 subunit 8 homolog ( Hs#S1728450 C2orf11 Similar to dishevelled 1 isoform a 2 4.12 8.24 Hs#S2270359 AES SP100 nuclear antigen 1 8.24 8.24 Hs#S1263959 KLHDC5 Sidekick homolog 1 (chicken) 2 4.11 8.21 Hs#S19626863 Ubiquitin specific peptidase 11 2 4.09 8.19 Hs#S3520094 JUB 1 8.15 8.15 Hs#S1726446 PCYT2 Phosphodiesterase 8A 2 4.06 8.13 Hs#S1729627 Nucleosome assembly protein 1-like 4 1 8.03 8.03 Hs#S4283794 MED8 1 8.01 8.01 Hs#S19656869 SP1 Ribosomal protein L35 1 8.00 8.00 Hs#S16888563 M-RIP Transcribed locus 1 7.91 7.91 Hs#S5472875 Mesoderm induction early response 1 homolog 1 7.91 7.91 ( Hs#S2357370 NF2 Dual-specificity tyrosine-(Y)-phosphorylation 1 7.91 7.91 regulated kinase 1B Hs#S4616868 LOC5135 Tissue specific transplantation antigen P35B 1 7.91 7.91 Hs#S4620348 NAP1L4 Zinc finger and BTB domain containing 6 1 7.91 7.91 Hs#S16820078 KIAA0265 protein 1 7.91 7.91 Hs#S1729231 RPL35 Transcribed locus, strongly similar to 1 7.80 7.80 XP_001080201.1 similar to ribosomal protein L10 [ Hs#S24273099 RBM2 GRIP1 associated protein 1 1 7.58 7.58 Hs#S4022010 1 7.58 7.58 Hs#S953315 MIER1 Zinc finger protein 664 1 7.55 7.55 Hs#S38872148 TRIM29 Keratin 13 1 7.54 7.54 Hs#S4284382 LOC28397 Interferon-related developmental regulator 2 1 7.47 7.47 Hs#S3618391 FDPS Transcribed locus 1 7.43 7.43 Hs#S17853615 DYRK1B Mitochondrial ribosomal protein L52 1 7.43 7.43 Hs#S34543862 TSTA3 U11/U12 snRNP 35K 1 7.43 7.43 Hs#S3508192 ZBTB6 Cytoplasmic polyadenylation element binding 1 7.43 7.43 protein 2 Hs#S1732446 KIAA265 Transglutaminase 1 (K polypeptide epidermal type I, 1 7.43 7.43 protein-glutamine-gamma-glutamyltransferase) Hs#S542952 CRIP1 Rap guanine nucleotide exchange factor (GEF) 5 1 7.43 7.43 Hs#S3782069 ABCC3 FLT3-interacting zinc finger 1 1 7.43 7.43 Hs#S1730888 Ankyrin repeat domain 26 1 7.43 7.43 Hs#S24303175 NCAPD2 Pleckstrin homology domain containing, family C 1 7.43 7.43 (with FERM domain) member 1 Hs#S4725762 GRIPAP1 Angiogenic factor with G patch and FHA domains 1 1 7.43 7.43 Hs#S24573475 CDNA FLJ12096 fis, clone HEMBB1002613 1 7.43 7.43 Hs#S4622791 ZNF664 CDNA: FLJ23530 fis, clone LNG06055 1 7.43 7.43 Hs#S16885485 KRT13 Transcribed locus 1 7.43 7.43 Hs#S4396109 AHCY 1 7.43 7.43 Hs#S11047217 C13orf23 Transcribed locus, strongly similar to 1 7.43 7.43 XP_001164757.1 centromere protein C 1 isoform 2 [ Hs#S1727134 EIF4B Keratin associated protein 17-1 1 7.43 7.43 Hs#S29965937 IFRD2 Transcribed locus, moderately similar to 1 7.43 7.43 XP_001055131.1 similar to Heat shock protein HSP 90-beta (HSP 84) (Tumor-specific transplantation 84 kDa antigen) (TSTA) [ Hs#S4833612 USP37 NF-kappaB repressing factor 1 7.43 7.43 Hs#S16884650 SLC22A18 Solute carrier family 26, member 9 1 7.43 7.43 Hs#S1972910 F-box protein 8 1 7.43 7.43 Hs#S35152794 Transcribed locus, strongly similar to 1 7.43 7.43 XP_001069454.1 similar to Splicing factor, arginine/serine-rich 3 (Pre-mRNA splicing factor SRP20) (X16 protein) [ Hs#S1729605 Transcribed locus 1 7.43 7.43 Hs#S34549106 WBP4 Transcribed locus 1 7.43 7.43 Hs#S2570282 Transcribed locus 1 7.43 7.43 Hs#S1263097 Hypothetical protein LOC285505 1 7.43 7.43 Hs#S1731172 Coenzyme Q10 homolog B ( 1 7.43 7.43 Hs#S2293760 Glycogen synthase kinase 3 beta 1 7.43 7.43 Hs#S2139916 1 7.43 7.43 Hs#S3990767 Chromosome 9 open reading frame 122 1 7.43 7.43 Hs#S15915730 STXBP4 Transcribed locus 1 7.43 7.43 Hs#S4792633 Transcribed locus 1 7.43 7.43 Hs#S15918611 Transcribed locus 1 7.43 7.43 Hs#S16819792 Ubiquitin specific peptidase 37 2 3.72 7.43 Hs#S16885025 C6orf113 Family with sequence similarity 98, member A 1 7.41 7.41 Hs#S21504143 STAMBPL1 Acid phosphatase 1, soluble 1 7.41 7.41 Hs#S29128550 KIAA423 Solute carrier family 25, member 36 1 7.41 7.41 Hs#S29441564 GTDC1 Ubiquitin-conjugating enzyme E2D 2 (UBC4/5 1 7.36 7.36 homolog, yeast) Hs#S34541381 THADA Transcribed locus, moderately similar to 1 6.92 6.92 XP_235480.4 similar to DEAD box polypeptide 17 isoform p82 [ Hs#S34547277 Splicing factor 4 1 6.92 6.92 Hs#S4188230 1 6.92 6.92 Hs#S4621795 PIGG Dynein, axonemal, heavy chain like 1 1 6.92 6.92 Hs#S21300372 Cytochrome P450, family 1, subfamily A, 1 6.92 6.92 polypeptide 1 Hs#S24303340 CSAD Similar to Glyceraldehyde-3-phosphate 1 6.92 6.92 dehydrogenase (GAPDH) Hs#S21300293 3′(2′),5′-bisphosphate nucleotidase 1 1 6.92 6.92 Hs#S19863003 PIGC CDNA clone IMAGE: 2960540 1 6.92 6.92 Hs#S2651797 IBSP Transcribed locus 1 6.92 6.92 Hs#S26643453 KLRA1 Chromosome 19 open reading frame 43 1 6.92 6.92 Hs#S15644477 YWHAQ Mitogen-activated protein kinase-activated protein 1 6.81 6.81 kinase 3 Hs#S2140695 TRIM23 Polymerase (DNA directed), alpha 2 (70 kD subunit) 1 6.79 6.79 Hs#S16056802 DDX19B Polymerase (RNA) III (DNA directed) polypeptide 1 6.78 6.78 A, 155 kDa Hs#S22414658 1 6.78 6.78 Hs#S2450780 Ribophorin I 1 6.77 6.77 Hs#S3619160 MGC1646 Transforming growth factor beta 1 induced transcript 1 1 6.75 6.75 Hs#S4618103 TSPAN15 Protein (peptidylprolyl cis/trans isomerase) NIMA- 1 6.70 6.70 interacting 1 Hs#S19921576 RLF Ubiquitin-like, containing PHD and RING finger 1 6.64 6.64 domains, 2 Hs#S24639346 Histocompatibility (minor) HA-1 1 6.59 6.59 Hs#S34550263 FZD4 Transcribed locus, strongly similar to XP_420179.2 1 6.59 6.59 similar to Nucleoporin 62 kDa [ Hs#S4022545 LYAR 1 6.54 6.54 Hs#S36352168 Ring finger protein 34 1 6.42 6.42 Hs#S4807559 ZNF574 Protein interacting with PRKCA 1 1 6.42 6.42 Hs#S1729352 RAB12 Transcribed locus, weakly similar to 1 6.42 6.42 NP_001039775.1 homolog B [ Hs#S3355506 Integral membrane protein 2B 1 6.42 6.42 Hs#S17668848 CIR Similar to ribosomal protein S15a 1 6.42 6.42 Hs#S1730103 C21orf6 KIAA1602 1 6.35 6.35 Hs#S4553472 SLC4A7 1 6.33 6.33 Hs#S21279396 PCA3 Cytokine-like nuclear factor n-pac 1 6.33 6.33 Hs#S5890230 LOC39637 AKT1 substrate 1 (proline-rich) 1 6.26 6.26 Hs#S5978485 PPP2R5B 1 6.26 6.26 Hs#S1263022 BBS2 PTC7 protein phosphatase homolog ( 1 6.26 6.26 Hs#S4614707 Transcribed locus, strongly similar to XP_509149.2 1 6.26 6.26 ATP synthase, H+ transporting, mitochondrial F1 complex, beta subunit isoform 2 [ Hs#S4808034 Rho-related BTB domain containing 2 1 6.21 6.21 Hs#S553751 Transcribed locus, strongly similar to 1 6.21 6.21 XP_001060296.1 similar to ribosomal protein L18a [ Hs#S2567063 GNB2L1 Fasciculation and elongation protein zeta 2 (zygin II) 1 6.13 6.13 Hs#S19755103 START domain containing 4, sterol regulated 1 6.09 6.09 Hs#S6131705 RANBP2-like and GRIP domain containing 5 1 6.07 6.07 Hs#S4621282 Glutamine and serine rich 1 1 6.03 6.03 Hs#S21310805 Dynein, cytoplasmic 1, intermediate chain 2 1 5.98 5.98 Hs#S1637843 1 5.93 5.93 alpha (ARHGDIA) Hs#S1055253 1 5.93 5.93 Hs#S1083575 FANCF 1 5.93 5.93 Hs#S11047086 Transcribed locus, moderately similar to 1 5.93 5.93 NP_058086.2 nuclear ribonucleoprotein A2/B1 isoform 1 [ Hs#S11147198 WAS CDNA FLJ44682 fis, clone BRACE3010435 1 5.93 5.93 Hs#S1263033 ZC3H12A Phosphatase and tensin homolog (mutated in 1 5.93 5.93 multiple advanced cancers 1) Hs#S1281580 SLC12A8 Acyl-Coenzyme A dehydrogenase, C-4 to C-12 1 5.93 5.93 straight chain Hs#S1357226 LOC347422 Monoglyceride lipase 1 5.93 5.93 Hs#S1399072 LOC728919 EBNA1 binding protein 2 1 5.93 5.93 Hs#S15500072 LOC388116 Anthrax toxin receptor 1 1 5.93 5.93 Hs#S15554729 LOC461 Transcribed locus 1 5.93 5.93 Hs#S15589610 RAB6A, member RAS oncogene family 1 5.93 5.93 Hs#S15631516 Polyglutamine binding protein 1 1 5.93 5.93 Hs#S1583106 KCNG4 Transcribed locus 1 5.93 5.93 Hs#S16020110 Transcribed locus, moderately similar to 1 5.93 5.93 NP_001039332.1 [ Hs#S16050244 Poliovirus receptor-related 1 (herpesvirus entry 1 5.84 5.84 mediator C; nectin) Hs#S16056808 MRPL47 Ariadne homolog 2 ( 1 5.73 5.73 Hs#S16817554 PSMA1 KIAA0258 1 5.73 5.73 Hs#S16817928 Tribbles homolog 1 ( 1 5.72 5.72 Hs#S16818981 COMM domain containing 3 1 5.65 5.65 Hs#S16820045 ACP5 MRNA; cDNA DKFZp686E0389 (from clone 1 5.60 5.60 DKFZp686E0389) Hs#S16885672 Transcribed locus, moderately similar to 1 5.57 5.57 XP_527544.2 RNA-binding motif protein 16 [ Hs#S16888142 Transcribed locus 1 5.57 5.57 Hs#S16888167 CDNA clone IMAGE: 5297032 1 5.57 5.57 Hs#S16888865 Ubiquitin-like 3 1 5.57 5.57 Hs#S16890023 LOC55426 Transcribed locus, strongly similar to 1 5.57 5.57 XP_001129953.1 similar to Iroquois-class homeodomain protein IRX-5 (Iroquois homeobox protein 5) (Homeodomain protein IRXB2) (IRX-2A) [ Hs#S1724424 UCA1 Multiple inositol polyphosphate histidine 1 5.57 5.57 phosphatase, 1 Hs#S1727355 Transcribed locus 1 5.57 5.57 Hs#S1729457 DNM1DN8-2 Transcribed locus 1 5.57 5.57 Hs#S1731007 MGC1276 Transcribed locus 1 5.57 5.57 Hs#S1731370 Clone 24875 mRNA sequence 1 5.57 5.57 Hs#S17311500 1 5.57 5.57 Hs#S1732279 CHMP4B CDNA FLJ43848 fis, clone TESTI4006412 1 5.57 5.57 Hs#S1760680 Arachidonate lipoxygenase 3 1 5.57 5.57 Hs#S1788883 Transcribed locus 1 5.57 5.57 Hs#S18076913 FANCC DR1-associated protein 1 (negative cofactor 2 alpha) 1 5.57 5.57 Hs#S1824468 HGSNAT 1 5.57 5.57 Hs#S1824518 SH3GLP1 1 5.57 5.57 Hs#S1845424 Ubiquitin specific peptidase 15 1 5.57 5.57 Hs#S1969005 Colony stimulating factor 3 receptor (granulocyte) 1 5.57 5.57 Hs#S1969727 Vascular endothelial growth factor A 1 5.57 5.57 Hs#S19741388 CDNA FLJ11568 fis, clone HEMBA1003278 1 5.57 5.57 Hs#S19863067 KIAA184 CDNA: FLJ22750 fis, clone KAIA0478 1 5.57 5.57 Hs#S20337965 Transcribed locus 1 5.57 5.57 Hs#S21278248 Fibroblast growth factor receptor 2 (bacteria- 1 5.57 5.57 expressed kinase, keratinocyte growth factor receptor, craniofacial dysostosis 1, Crouzon syndrome, Pfeiffer syndrome, Jackson-Weiss syndrome) Hs#S21290655 Tankyrase, TRF1-interacting ankyrin-related ADP- 1 5.57 5.57 ribose polymerase 2 Hs#S21309634 Centrosomal protein 135 kDa 1 5.57 5.57 Hs#S2331146 Transcribed locus, moderately similar to 1 5.57 5.57 NP_001070679.2 protein LOC324254 [ Hs#S2332235 FAM98A 1 5.57 5.57 Hs#S24298108 ACP1 Desmuslin 1 5.57 5.57 Hs#S24303115 SLC25A36 Zinc finger protein 728 1 5.57 5.57 Hs#S24303499 UBE2D2 ATPase, aminophospholipid transporter (APLT), 1 5.57 5.57 Class I, type 8A, member 1 Hs#S2611802 TNPO2 Glycerol kinase 3 pseudogene 1 5.57 5.57 Hs#S2654276 BCL2L1 1 5.57 5.57 Hs#S2654817 SSRP1 Dehydrogenase/reductase (SDR family) member 4 1 5.57 5.57 Hs#S2706477 PRDM4 Similar to pleckstrin homology domain containing, 1 5.57 5.57 family M (with RUN domain) member 1; adapter protein 162 Hs#S2815585 DDX3X NudE nuclear distribution gene E homolog ( 1 5.57 5.57 like 1 Hs#S28437704 UBE2O Translocation associated membrane protein 1 1 5.57 5.57 Hs#S29223348 Synaptic vesicle glycoprotein 2A 1 5.57 5.57 Hs#S2930469 ANKMY2 Transcribed locus 1 5.57 5.57 Hs#S29625188 CXorf6 Transcribed locus 1 5.57 5.57 Hs#S29705122 SF4 Transcribed locus 1 5.57 5.57 Hs#S3219890 Dendrin 1 5.57 5.57 Hs#S3308636 DNAHL1 Hypothetical LOC643464 1 5.57 5.57 Hs#S3322611 CYP1A1 Transcribed locus 1 5.57 5.57 Hs#S3438621 LOC441893 Transcribed locus 1 5.57 5.57 Hs#S3439001 BPNT1 Carboxypeptidase D 1 5.53 5.53 Hs#S34541250 Roundabout homolog 4, magic roundabout 1 5.44 5.44 ( Hs#S34542798 Smg-5 homolog, nonsense mediated mRNA decay 1 5.41 5.41 factor ( Hs#S34543734 C19orf43 Histone deacetylase 1 1 5.39 5.39 Hs#S34544361 MAPKAPK3 Zinc finger, MYND-type containing 8 1 5.37 5.37 Hs#S3547697 POLA2 Phosphatidylinositol binding clathrin assembly 1 5.34 5.34 protein Hs#S3549795 POLR3A Tankyrase 1 binding protein 1, 182 kDa 1 5.34 5.34 Hs#S3618502 Echinoderm microtubule associated protein like 5 1 5.27 5.27 Hs#S3990867 ITGB1 1 5.25 5.25 Hs#S3991248 RPN1 Phosphogluconate dehydrogenase 1 5.21 5.21 Hs#S4019789 TGFB1I1 Microtubule associated serine/threonine kinase 2 1 5.19 5.19 Hs#S4020446 ST14 GTP binding protein 6 (putative) 1 5.19 5.19 Hs#S4084938 PIN1 Hypothetical protein MGC15523 1 5.14 5.14 Hs#S4186073 UHRF2 Phosphatidylinositol glycan anchor biosynthesis, 1 4.94 4.94 class W Hs#S4188085 LARP1 Ankyrin repeat and SOCS box-containing 13 1 4.94 4.94 Hs#S4331927 HMHA1 Mitogen-activated protein kinase 9 1 4.94 4.94 Hs#S4332296 F-box protein 34 1 4.94 4.94 Hs#S4359392 Transcribed locus 1 4.94 4.94 Hs#S4522802 RNF34 Cytochrome P450, family 4, subfamily V, 1 4.94 4.94 polypeptide 2 Hs#S4613584 AMFR Family with sequence similarity 89, member A 1 4.94 4.94 Hs#S4619020 NF1 Enhancer of zeste homolog 2 ( 1 4.94 4.94 Hs#S4619920 PICK1 Mucolipin 1 1 4.94 4.94 Hs#S4620160 Transcribed locus, moderately similar to 1 4.94 4.94 XP_001170282.1 similar to PSMD4P2 protein isoform 7 [ Hs#S4620986 ITM2B Methyltransferase like 5 1 4.94 4.94 Hs#S4622929 LOC64479 Nucleophosmin (nucleolar phosphoprotein B23, 1 4.94 4.94 numatrin) Hs#S4707124 KIAA162 S-phase kinase-associated protein 2 (p45) 1 4.94 4.94 Hs#S4766878 1 4.94 4.94 Hs#S4797397 N-PAC Hypothetical protein LOC148189 1 4.94 4.94 Hs#S4805830 AKT1S1 Aldehyde dehydrogenase 16 family, member A1 1 4.94 4.94 Hs#S4805917 Transcribed locus 1 4.94 4.94 Hs#S4807843 PPTC7 Chromosome 6 open reading frame 49 1 4.94 4.94 Hs#S4854304 Hypothetical protein FLJ38482 1 4.94 4.94 Hs#S5511550 RHOBTB2 1-acylglycerol-3-phosphate O-acyltransferase 6 1 4.94 4.94 (lysophosphatidic acid acyltransferase, zeta) Hs#S5887779 Transcribed locus, strongly similar to XP_512748.2 1 4.94 4.94 similar to Protein fosB (G0/G1 switch regulatory protein 3) [ Hs#S5902854 WDR57 Intersectin 1 (SH3 domain protein) 1 4.94 4.94 Hs#S5946389 C1QTNF6 SREBF chaperone 1 4.88 4.88 Hs#S5978450 FEZ2 Citrate synthase 1 4.87 4.87 Hs#S6109353 STARD4 WW domain binding protein 11 1 4.86 4.86 Hs#S6128803 ZBTB38 TBC1 domain family, member 9B (with GRAM 1 4.83 4.83 domain) Hs#S6134648 RPL23 Tumor necrosis factor receptor superfamily, member 1 4.82 4.82 10b Hs#S7089897 RGPD5 Dystroglycan 1 (dystrophin-associated glycoprotein 1 4.80 4.80 1) Hs#S785737 QSER1 F-box protein 41 1 4.80 4.80 Hs#S4615264 DYNC1I2 Collagen, type XVIII, alpha 1 1 4.74 4.74 Hs#S1731798 TAF15 1 4.49 4.49 Hs#S40833126 ARHGDIA Uridine-cytidine kinase 2 1 4.45 4.45 Hs#S16507492 CDA Eukaryotic translation initiation factor 2, subunit 3 1 4.45 4.45 gamma, 52 kDa Hs#S4785071 GIT2 Kinesin family member C3 1 4.45 4.45 Hs#S4044799 SLC35B4 Ras homolog gene family, member T1 1 4.45 4.45 Hs#S20047532 Fucosyltransferase 10 (alpha (1,3) 1 4.45 4.45 fucosyltransferase) Hs#S11046720 Chromosome 10 open reading frame 118 1 4.45 4.45 Hs#S1730518 Tigger transposable element derived 6 1 4.45 4.45 Hs#S34550083 Transcribed locus, strongly similar to 1 4.45 4.45 XP_001174013.1 cortactin isoform 1 [ Hs#S1730019 PTEN CDNA FLJ36668 fis, clone UTERU2003926 1 4.45 4.45 Hs#S4840117 ACADM G protein-coupled receptor 108 1 4.31 4.31 Hs#S6125478 MGLL Chromosome 20 open reading frame 82 1 4.31 4.31 Hs#S6686750 EBNA1BP2 NADH dehydrogenase (ubiquinone) flavoprotein 1, 1 4.28 4.28 51 kDa Hs#S19656836 ANTXR1 Sorting nexin 12 1 4.28 4.28 Hs#S1731396 Chromosome 14 open reading frame 32 1 4.28 4.28 Hs#S1731499 RAB6A 1 4.15 4.15 Hs#S377406 PQBP1 Crm, cramped-like ( 1 4.15 4.15 Hs#S1727714 Laminin, beta 3 1 4.01 4.01 Hs#S16889729 SLC38A5 Solute carrier family 22 (organic cation transporter), 1 3.72 3.72 member 18 Hs#S4618455 Transcribed locus 1 3.72 3.72 Hs#S4395994 PVRL1 CDNA clone IMAGE: 5286699 1 3.72 3.72 Hs#S18388775 REPIN1 Transcribed locus 1 3.72 3.72 Hs#S4271114 ARIH2 WW domain binding protein 4 (formin binding 1 3.72 3.72 protein 21) Hs#S33737228 KIAA 258 Transcribed locus 1 3.72 3.72 Hs#S17083357 TRIB1 Transcribed locus, moderately similar to 1 3.72 3.72 XP_342747.2 similar to BMS1-like, ribosome assembly protein [ Hs#S4618607 TOLLIP Transcribed locus 1 3.72 3.72 Hs#S15510173 ADAR Transcribed locus 1 3.72 3.72 Hs#S16056502 COMMD3 Transcribed locus 1 3.72 3.72 Hs#S31785558 KIAA 664 Transcribed locus 1 3.72 3.72 Hs#S39299009 PTRF Syntaxin binding protein 4 1 3.72 3.72 Hs#S16887491 SHKBP1 1 3.72 3.72 Hs#S5979068 MRNA full length insert cDNA clone EUROIMAGE 1 3.72 3.72 122871 Hs#S4831691 MAFG Transcribed locus 1 3.72 3.72 Hs#S3334657 ATXN7L3 Chromosome 6 open reading frame 113 1 3.72 3.72 Hs#S21592567 OXSR1 STAM binding protein-like 1 1 3.72 3.72 Hs#S2929936 CPD KIAA0423 1 3.72 3.72 Hs#S1263776 CCND1 Glycosyltransferase-like domain containing 1 1 3.72 3.72 Hs#S4075831 USP19 Thyroid adenoma associated 1 3.72 3.72 Hs#S33939840 IDUA CDNA FLJ45088 fis, clone BRAWH3029313 1 3.72 3.72 Hs#S4622777 ROBO4 CDNA FLJ32587 fis, clone SPLEN2000402 1 3.72 3.72 Hs#S4285062 SMG5 Phosphatidylinositol glycan anchor biosynthesis, 1 3.72 3.72 class G Hs#S35176164 HDAC1 CDNA FLJ41845 fis, clone NT2RI3003095 1 3.72 3.72 Hs#S3990709 ZMYND8 Cysteine sulfinic acid decarboxylase 1 3.72 3.72 Hs#S34542802 PICALM Transcribed locus 1 3.72 3.72 Hs#S18600699 TNKS1BP1 Phosphatidylinositol glycan anchor biosynthesis, 1 3.72 3.72 class C Hs#S4364791 ZFPL1 Integrin-binding sialoprotein (bone sialoprotein, 1 3.72 3.72 bone sialoprotein II) Hs#S3374762 EML5 Killer cell lectin-like receptor subfamily A, member 1 1 3.72 3.72 Hs#S16886064 Tyrosine 3-monooxygenase/tryptophan 5- 1 3.72 3.72 monooxygenase activation protein, theta polypeptide Hs#S1727540 PGD Tripartite motif-containing 23 1 3.72 3.72 Hs#S1728251 CFL1 DEAD (Asp-Glu-Ala-As) box polypeptide 19B 1 3.72 3.72 Hs#S1731690 MAST2 MAGOH2 mRNA, partial sequence 1 3.72 3.72 Hs#S21296084 GTPBP6 Transcribed locus 1 3.72 3.72 Hs#S2655773 MGC15523 Hypothetical protein MGC10646 1 3.72 3.72 Hs#S2947943 TMEM43 Tetraspanin 15 1 3.72 3.72 Hs#S3335313 PSG4 Rearranged L-myc fusion 1 3.72 3.72 Hs#S4263754 POLS Transcribed locus 1 3.72 3.72 Hs#S4622277 BRI3 Frizzled homolog 4 ( 1 3.72 3.72 Hs#S4701569 PIGW Hypothetical protein FLJ20425 1 3.72 3.72 Hs#S1732137 ASB13 Transcribed locus 1 3.72 3.72 Hs#S1730207 MAPK9 Zinc finger protein 574 1 3.72 3.72 Hs#S553744 FBXO34 RAB12, member RAS oncogene family 1 3.72 3.72 Hs#S3438404 Transcribed locus 1 3.72 3.72 Hs#S16819494 CYP4V2 CBF1 interacting corepressor 1 3.72 3.72 Hs#S16820209 FAM89A Chromosome 21 open reading frame 6 1 3.72 3.72 Hs#S2140550 EZH2 Solute carrier family 4, sodium bicarbonate 1 3.72 3.72 cotransporter, member 7 Hs#S4284292 MCOLN1 Prostate cancer antigen 3 1 3.72 3.72 Hs#S5931028 Similar to RIKEN cDNA D330012F22 gene 1 3.72 3.72 Hs#S16818029 METTL5 Protein phosphatase 2, regulatory subunit B′, beta 1 3.72 3.72 isoform Hs#S16820269 NPM1 Bardet-Biedl syndrome 2 1 3.72 3.72 Hs#S1731666 SKP2 Transcribed locus 1 3.72 3.72 Hs#S4396123 CDNA: FLJ22799 fis, clone KAIA2625 1 3.72 3.72 Hs#S16849936 LOC148189 CDNA: FLJ23388 fis, clone HEP17008 1 3.72 3.72 Hs#S38656788 ALDH16A1 Guanine nucleotide binding protein (G protein), beta 1 3.72 3.72 polypeptide 2-like 1 Hs#S1731989 Transcribed locus 1 3.72 3.72 Hs#S3601738 VPS13A Transcribed locus 1 3.72 3.72 Hs#S1054906 MVD Transcribed locus, moderately similar to 1 3.72 3.72 XP_001137633.1 similar to phosphorylase kinase [ Hs#S29944162 C6orf49 Transcribed locus 1 3.72 3.72 Hs#S15631509 FLJ38482 Transcribed locus, strongly similar to 1 3.72 3.72 NP_001038577.1 protein LOC566642 [ Hs#S3837755 AGPAT6 Transcribed locus 1 3.72 3.72 Hs#S4554130 Fanconi anemia, complementation group F 1 3.72 3.72 Hs#S4621421 ITSN1 Transcribed locus, moderately similar to 1 3.72 3.72 XP_577968.2 hypothetical protein [ Hs#S1560223 Wiskott-Aldrich syndrome (eczema- 1 3.72 3.72 thrombocytopenia) Hs#S16817921 SCAP Zinc finger CCCH-type containing 12A 1 3.72 3.72 Hs#S21284579 CS Solute carrier family 12 (potassium/chloride 1 3.72 3.72 transporters), member 8 Hs#S24303509 WBP11 Similar to N(2),N(2)-dimethylguanosine tRNA 1 3.72 3.72 methyltransferase (tRNA(guanine-26,N(2)-N(2)) methyltransferase) (tRNA 2,2-dimethylguanosine-26 methyltransferase) (tRNA(m(2,2)G26)dimethyltransferase) Hs#S2655303 MADD Similar to APC11 anaphase promoting complex 1 3.72 3.72 subunit 11 isoform 2 Hs#S3235532 TBC1D9B Similar to LOC137392 1 3.72 3.72 Hs#S4029823 TNFRSF1B Hypothetical gene supported by NM_014886 1 3.72 3.72 Hs#S4053965 DAG1 1 3.72 3.72 Hs#S41444297 FBXO41 1 3.72 3.72 Hs#S4552358 COL18A1 Potassium voltage-gated channel, subfamily G, 1 3.72 3.72 member 4 Hs#S4617250 LMNB2 CDNA FLJ30770 fis, clone FEBRA2000734 1 3.72 3.72 Hs#S4631472 TH1L CDNA FLJ30384 fis, clone BRACE2008114 1 3.72 3.72 Hs#S783506 CBL Mitochondrial ribosomal protein L47 1 3.72 3.72 Hs#S1972981 IQGAP1 Proteasome (prosome, macropain) subunit, alpha 1 3.72 3.72 type, 1 Hs#S39704905 1 3.72 3.72 Hs#S15631448 UCK2 Transcribed locus 1 3.72 3.72 Hs#S5931482 EIF2S3 Acid phosphatase 5, tartrate resistant 1 3.72 3.72 Hs#S1263912 KIFC3 Transcribed locus 1 3.72 3.72 Hs#S5978643 RHOT1 Transcribed locus, strongly similar to XP_509486.1 1 3.72 3.72 similar to unc-51-like kinase 1; unc-51 ( like kinase 1 [ Hs#S17821113 TRMT5 Transcribed locus 1 3.72 3.72 Hs#S5517881 KRT8 1 3.72 3.72 Hs#S17865332 FUT1 Hypothetical LOC554206 1 3.72 3.72 Hs#S1731237 C1orf118 Urothelial cancer associated 1 1 3.72 3.72 Hs#S1728873 TIGD6 MRNA; cDNA DKFZp547K189 (from clone 1 3.72 3.72 DKFZp547K189) Hs#S36352308 FKSG88 1 3.72 3.72 Hs#S998390 Hypothetical protein MGC12760 1 3.72 3.72 Hs#S4808094 EEF1A2 MRNA; cDNA DKFZp434D1229 (from clone 1 3.72 3.72 DKFZp434D1229) Hs#S16819943 TREML2 Transcribed locus 1 3.72 3.72 Hs#S1726692 GPR18 Chromatin modifying protein 4B 1 3.72 3.72 Hs#S1729841 C2orf82 1 3.72 3.72 Hs#S27074688 FAM12A CDNA clone IMAGE: 4822326 1 3.72 3.72 Hs#S18076714 TUSC4 Fanconi anemia, complementation group C 1 3.72 3.72 Hs#S2293250 MRPL48 Heparan-alpha-glucosaminide N-acetyltransferase 1 3.72 3.72 Hs#S3547087 NDUFV1 SH3-domain GRB2-like pseudogene 1 1 3.72 3.72 Hs#S4410230 SNX12 Transcribed locus 1 3.72 3.72 Hs#S4617449 C14orf32 Transcribed locus 1 3.72 3.72 Hs#S37452909 Transcribed locus, strongly similar to 1 3.72 3.72 XP_001156507.1 hypothetical protein [ Hs#S39548371 PKN1 Transcribed locus 1 3.72 3.72 Hs#S3990331 CRAMP1L Mixed lineage kinase 4 1 3.72 3.72 Hs#S2653639 LOC642469 Transcribed locus 1 3.72 3.72 Hs#S4546024 SDK1 Transcribed locus 1 3.72 3.72 Hs#S11046968 USP11 Transcribed locus 1 3.72 3.72 Hs#S19626865 PDE8A 1 3.72 3.72 Hs#S24574386 LAMB3 Transcribed locus 1 3.72 3.72 New targets for cancer treatment identified by shRNA selection and verified by siRNA testing. growth Gene inhibition Enrichment Symbol Annotation (%) factor AP1G1 Adaptor-related protein complex 1, gamma 1 subunit 17.6 48.23 BTBD9 BTB (POZ) domain containing 9 32.9 40.52 FAM120A Family with sequence similarity 120A (Ossa/C9orf10) 24.1 21.41 FXC1 Fracture callus 1 homolog (rat) (TIM9B, TIMM10B) 43.7 68.39 LOC400027 Hypothetical gene supported by BC047417 20.4 60.57 NCAPD2 Non-SMC condensin I complex, subunit D2 27.8 38.71 NPC1 Niemann-Pick disease, type C1 15.0 43.49 OBSL1 Obscurin-like 1 23.6 45.92 RNF187 Ring finger protein 187 45.1 44.48 UBFD1 Ubiquitin family domain containing 1 23.1 40.12 Selection of GSE library. Enriched two or Infected BrdU selected more times by Cell lines Subset subset BrdU selection BJ-hTERT 1842 1622 298 HT1080 2563 1014 344 PC3 1562 1833 430 T24 1862 1027 445 MDA-MB-231 1524 1574 181 Numbers of sequences homologous to Unigene clusters Genes giving rise to GSEs enriched by BrdU selection in two or more cell lines. Values representing over 2-fold enrichment are highlighted in yellow. Relative enrichment in selected set MDA- # of Gene BJ- MB- selections Unigene ID Symbol Annotation hTERT HT1080 PC3 T24 321 enriched Hs#S21294316 C5orf13 Chromosome 5 616.52 0.00 2655.34 1947.42 1905.97 4 open reading frame 13 Hs#S3219417 CYCS Cytochrome c, 0.00 0.00 4.98 3.63 10.41 3 somatic Hs#S4042915 0.00 2958.58 2.49 0.00 5.08 3 Hs#S4617512 VIM Vimentin 3.97 2.08 27.37 0.00 0.00 3 Hs#S34543572 LOC64594 Similar to myosin 3.41 0.00 531.07 0.00 3.23 3 regulatory light chain-like Hs#S4712196 ERH Enhancer of 4315.66 0.00 1062.13 2.42 0.00 3 rudimentary homolog ( Hs#S4407757 COX7A2 Cytochrome c 0.00 1.56 531.07 2.72 3.39 3 oxidase subunit VIIa polypeptide 2 (liver) Hs#S22515139 CGGBP1 CGG triplet repeat 0.00 2958.58 0.00 973.71 24.21 3 binding protein 1 Hs#S16889222 MGST1 Microsomal 0.00 0.00 7.47 973.71 9.68 3 glutathione S- transferase 1 Hs#S1731283 GGPS1 Geranylgeranyl 2.84 986.19 0.00 1947.42 0.00 3 diphosphate synthase 1 Hs#S1730201 PAICS Phosphoribosylaminoimidazole 0.00 2958.58 2.49 0.00 635.32 3 carboxylase, phosphoribosylaminoimidazole succinocarboxamide synthetase Hs#S6163313 2H9 616.52 986.19 1.66 0.00 635.32 3 Hs#S4618585 POLE3 Polymerase (DNA 3699.14 3.12 6372.81 1.81 0.00 3 directed), epsilon 3 (p17 subunit) Hs#S36352304 SR14 U2-associated 0.00 1972.39 531.07 1.81 635.32 3 SR140 protein Hs#S37211072 THOC2 THO complex 2 0.00 3.12 0.00 1947.42 1905.97 3 Hs#S1732093 RNF13 Ring finger protein 1233.05 0.00 531.07 973.71 0.00 3 13 Hs#S38753720 PDHA1 Pyruvate 2466.09 3.12 0.00 973.71 0.00 3 dehydrogenase (lipoamide) alpha 1 Hs#S16883457 RPL23 CDNA FLJ26326 fis, 0.00 3944.77 531.07 1947.42 0.00 3 clone HRT01120, highly similar to 60S ribosomal protein L23 Hs#S2140320 VPS24 Vacuolar protein 616.52 0.00 531.07 0.00 1270.65 3 sorting 24 homolog ( Hs#S3991088 GTF2H5 General 616.52 2958.58 0.00 1947.42 0.00 3 transcription factor IIH, polypeptide 5 Hs#S1729262 SEP15 15 kDa 2.04 1.04 0.55 10.88 0.54 2 selenoprotein Hs#S2813090 UBE2T Ubiquitin- 1.99 3.43 0.93 0.68 4.96 2 conjugating enzyme E2T (putative) Hs#S1728170 VAPA 11.36 0.39 0.55 0.23 4.15 2 Hs#S6158998 RTN4 Reticulon 4 0.00 986.19 0.00 0.00 2.90 2 Hs#S16886558 AMZ2 Archaemetzincins-2 0.00 2.34 0.41 2921.13 0.00 2 Hs#S4622514 VPS29 Vacuolar protein 3.41 1972.39 0.00 0.91 1.61 2 sorting 29 homolog ( Hs#S24303270 COPS5 COP9 constitutive 0.00 3.90 2.49 0.00 1.29 2 photomorphogenic homolog subunit 5 ( Hs#S34122629 ADH5 Alcohol 0.57 0.00 0.00 973.71 2.58 2 dehydrogenase 5 (class III), chi polypeptide Hs#S2294449 MRPL1 Mitochondrial 3699.14 0.00 1062.13 0.00 0.00 2 ribosomal protein L1 Hs#S4807293 Transcribed locus 1.14 2958.58 0.00 8.16 0.00 2 Hs#S1730224 CCT4 Chaperonin 0.00 4.67 0.00 5.44 0.00 2 containing TCP1, subunit 4 (delta) Hs#S21592131 SEC11A SEC11 homolog A 0.00 0.00 12.44 9.07 0.00 2 ( Hs#S4279806 RPL22 Ribosomal protein 2.27 0.00 531.07 0.00 0.00 2 L22 Hs#S16819791 MRNA; cDNA 0.00 0.00 0.00 3.63 17.91 2 DKFZp686D17123 (from clone DKFZp686D17123) Hs#S2821115 DC2 DC2 protein 0.00 986.19 0.00 0.00 4.84 2 Hs#S1731274 CCNI 616.52 0.00 0.83 1947.42 0.00 2 Hs#S16818021 FAM6A Family with ####### 0.00 0.00 973.71 0.00 2 sequence similarity 60, member A Hs#S473874 0.00 0.00 1062.13 973.71 0.00 2 Hs#S4719030 Transcribed locus, 1.14 986.19 2124.27 0.00 0.00 2 weakly similar to XP_001126181.1 similar to Cyclin-L2 (Paneth cell- enhanced expression protein) isoform 2 [ Hs#S2373081 Transcribed locus 0.00 0.00 531.07 0.00 3.39 2 Hs#S27598574 UBA52 Ubiquitin A-52 616.52 0.00 0.00 0.00 4.36 2 residue ribosomal protein fusion product 1 Hs#S6155739 Transcribed locus 0.00 0.00 1062.13 973.71 0.00 2 Hs#S4264145 Transcribed locus, 1.14 0.00 2655.34 0.91 3.87 2 strongly similar to NP_066953.1 isomerase A isoform 1 [ Hs#S1726877 GSTM3 Glutathione S- 1.14 2.34 3.32 0.60 0.00 2 transferase M3 (brain) Hs#S2654679 Ndufv2 CDNA fis, A- 616.52 0.00 531.07 0.00 0.97 2 COL04217, highly similar to mitochondrion, NADH dehydrogenase subunit 2 Hs#S16889285 ATP5J2 ATP synthase, H+ 2.27 6.23 0.00 0.91 0.00 2 transporting, mitochondrial F0 complex, subunit F2 Hs#S1729877 CALCOCO2 Calcium binding 0.00 3.12 531.07 0.91 0.00 2 and coiled-coil domain 2 Hs#S38795124 HTATIP2 HIV-1 Tat 0.00 2958.58 531.07 0.00 0.00 2 interactive protein 2, 30 kDa Hs#S3988730 FAM112B Family with 616.52 0.78 0.00 7.25 0.00 2 sequence similarity 112, member B Hs#S1728131 UAP1 UDP-N- 0.00 1972.39 0.83 14.50 0.00 2 acteylglucosamine pyrophosphorylase 1 Hs#S1730715 MAP1B 3′UTR of 0.00 0.00 531.07 3.63 0.00 2 hypothetical protein (ORF1) Hs#S7113046 S1B S100 calcium 0.00 0.00 531.07 9.07 0.00 2 binding protein B Hs#S3438442 CYB5B Cytochrome b5 0.00 986.19 0.00 5.44 0.00 2 type B (outer mitochondrial membrane) Hs#S24303189 Zfp27 Transcribed locus 0.00 0.00 1062.13 0.00 45.51 2 Hs#S40831018 RPP3 Ribonuclease 6.81 1972.39 0.00 0.00 0.00 2 P/MRP 30 kDa subunit Hs#S21592214 SDAD1 SDA1 domain 0.00 4.67 0.41 973.71 0.00 2 containing 1 Hs#S2652741 C7orf44 Chromosome 7 6165.23 0.00 0.83 973.71 0.00 2 open reading frame 44 Hs#S5516781 PLRG1 Pleiotropic 0.00 986.19 0.00 973.71 0.00 2 regulator 1 (PRL1 homolog, Hs#S16884266 SF3A3 Splicing factor 3a, 0.00 986.19 7.05 0.00 0.00 2 subunit 3, 60 kDa Hs#S16820013 NOL5A Nucleolar protein 0.00 3.12 2.49 0.00 0.00 2 5A (56 kDa with KKE/D repeat) Hs#S1730191 GOT2 Glutamic- 0.00 2958.58 3.32 0.00 0.00 2 oxaloacetic transaminase 2, mitochondrial (aspartate aminotransferase 2) Hs#S2949832 HIGD1A HIG1 domain 0.00 0.00 531.07 1947.42 0.00 2 family, member 1A Hs#S305321 PPIG Peptidylprolyl 616.52 0.00 0.00 973.71 0.00 2 isomerase G (cyclophilin G) Hs#S935286 Transcribed locus 1.70 0.00 1062.13 973.71 0.00 2 Hs#S1730674 JUN Jun oncogene 0.00 0.00 0.00 973.71 46.48 2 Hs#S20337893 IL2RG Interleukin 2 0.00 0.00 531.07 0.00 3.87 2 receptor, gamma (severe combined immunodeficiency) Hs#S16887291 SERP1 Stress-associated 0.00 1.56 0.00 1947.42 2.90 2 endoplasmic reticulum protein 1 Hs#S1731293 KDELR2 KDEL (Lys-Asp-Glu- 7.95 1972.39 0.00 0.00 0.00 2 Leu) endoplasmic reticulum protein retention receptor 2 Hs#S21280884 H3F3A H3 histone, family 0.00 1972.39 1062.13 0.00 0.00 2 3A Hs#S2139380 DLG7 Discs, large 0.00 0.00 1062.13 1947.42 0.00 2 homolog 7 ( Hs#S4033407 Transcribed locus 616.52 0.00 531.07 0.00 0.00 2 Hs#S4613263 PTGES3 Prostaglandin E 0.00 1972.39 0.00 973.71 0.00 2 synthase 3 (cytosolic) Hs#S21305093 RPL32 Ribosomal protein 2.27 0.00 0.00 3.63 0.00 2 L32 Hs#S4619982 SFRS7 Splicing factor, 3.41 4930.97 0.00 0.00 0.00 2 arginine/serine- rich 7, 35 kDa Hs#S11046593 C1orf14 Chromosome 10 0.00 986.19 531.07 0.00 0.00 2 open reading frame 104 Hs#S3990753 CDNA FLJ30885 fis, 3.41 0.78 0.00 2.72 0.00 2 clone FEBRA2004987 Hs#S1731677 SUPT16H Suppressor of Ty 0.00 1972.39 0.00 3.63 0.00 2 16 homolog ( Hs#S1732353 NPEPPS Aminopeptidase 4.54 0.00 3.32 0.00 0.00 2 puromycin sensitive Hs#S16631302 KTN1 Kinectin 1 (kinesin 1233.05 3.12 0.00 0.00 0.00 2 receptor) Hs#S1242824 0.00 0.00 1593.20 5.44 0.00 2 Hs#S4046545 TCEAL2 Transcription 2.27 0.00 531.07 0.00 0.00 2 elongation factor A (SII)-like 2 Hs#S1727241 NRD1 Nardilysin (N- 616.52 1972.39 0.00 0.00 0.00 2 arginine dibasic convertase) Hs#S1728832 CLTC Clathrin, heavy 0.00 986.19 531.07 0.00 0.00 2 chain (Hc) Hs#S19626866 YLPM1 YLP motif 0.00 0.00 531.07 3.63 0.00 2 containing 1 Hs#S27228224 USP16 Ubiquitin specific 616.52 1972.39 0.00 0.00 0.00 2 peptidase 16 Hs#S3218912 CD44 CD44 molecule 0.00 0.00 531.07 0.00 1270.65 2 (Indian blood group) Hs#S4192208 CD63 CD63 molecule 616.52 0.00 2124.27 0.00 0.00 2 Hs#S857804 616.52 0.00 0.00 3.63 0.00 2 Hs#S1970929 WDSOF1 WD repeats and 1849.57 4.67 0.00 0.00 0.00 2 SOF1 domain containing Hs#S2649909 FDPS Farnesyl 0.00 986.19 0.00 973.71 0.00 2 diphosphate synthase (farnesyl pyrophosphate synthetase, dimethylallyltranstransferase, geranyltranstransferase) Hs#S4569950 Transcribed locus 616.52 0.00 0.00 0.00 635.32 2 Hs#S16889879 HMGB1 High-mobility 11.92 0.78 0.83 0.00 3811.94 2 group box 1 Hs#S16057065 PDZD11 PDZ domain 0.00 12.47 0.00 973.71 0.00 2 containing 11 Hs#S16889002 DNTTIP2 Deoxynucleotidyltransferase, 616.52 0.00 0.00 973.71 0.00 2 terminal, interacting protein 2 Hs#S1730362 RAD21 RAD21 homolog ( 0.00 986.19 0.00 973.71 0.00 2 Hs#S16975412 S1A4 S100 calcium 0.00 3944.77 0.00 1947.42 0.00 2 binding protein A4 Hs#S2652251 LSM5 LSM5 homolog, U6 0.00 1972.39 2.49 0.00 0.00 2 small nuclear RNA associated ( Hs#S2816175 TMEM126B Transmembrane 0.00 1972.39 0.00 973.71 0.00 2 protein 126B Hs#S4616821 UBE2V2 Ubiquitin- 0.00 1972.39 0.00 973.71 0.00 2 conjugating enzyme E2 variant 2 Hs#S15115685 CSNK2A1 616.52 1972.39 0.00 0.00 0.00 2 Hs#S16507502 LOC28472 Hypothetical 616.52 0.00 0.00 973.71 0.00 2 protein LOC284702 Hs#S1726314 ATP6V1B2 ATPase, H+ 1849.57 1972.39 0.00 0.00 0.00 2 transporting, lysosomal 56/58 kDa, V1 subunit B2 Hs#S1728180 VIL2 Villin 2 (ezrin) 616.52 0.00 0.00 0.00 635.32 2 Hs#S17853742 TIMM23 Translocase of 1233.05 986.19 0.00 0.00 0.00 2 inner mitochondrial membrane 23 homolog (yeast) Hs#S21592443 MRPL42 Mitochondrial 0.00 0.00 2.49 1947.42 0.00 2 ribosomal protein L42 Hs#S2293443 SMU1 Smu-1 suppressor 616.52 0.00 0.00 1947.42 0.00 2 of mec-8 and unc- 52 homolog ( Hs#S2293771 CMTM6 CKLF-like MARVEL 0.00 986.19 0.00 973.71 0.00 2 transmembrane domain containing 6 Hs#S3323029 PDCD1 Programmed cell 0.00 986.19 0.00 973.71 0.00 2 death 10 Hs#S4617593 XBP1 X-box binding 0.00 0.00 2.49 1947.42 0.00 2 protein 1 Hs#S4831715 FIP1L1 FIP1 like 1 ( 0.00 0.00 0.00 973.71 635.32 2 Hs#S4026538 Transcribed locus, 0.00 0.52 1062.13 973.71 0.00 2 strongly similar to XP_001130365.1 similar to S-phase kinase-associated protein 1A isoform b [ Hs#S16817574 CNIH4 Cornichon 0.00 0.00 531.07 973.71 0.00 2 homolog 4 ( Hs#S1974192 BFAR Bifunctional 0.00 1.56 1062.13 0.00 2541.30 2 apoptosis regulator Hs#S2434757 Transcribed locus 0.00 7.79 531.07 0.00 0.00 2 Hs#S3220040 RNF2 Ring finger protein 616.52 0.00 531.07 0.00 0.00 2 20 Hs#S4384817 RPS7 Ribosomal protein 0.00 0.00 531.07 3894.84 0.00 2 S7 Hs#S6683006 GABARAPL2 GABA(A) receptor- 616.52 0.00 531.07 0.00 0.00 2 associated protein- like 2 Hs#S1731150 EIF3S1 Eukaryotic 2.84 0.00 531.07 0.00 0.00 2 translation initiation factor 3, subunit 10 theta, 150/170 kDa Hs#S2652974 WDR61 WD repeat domain 0.00 0.00 531.07 973.71 0.00 2 61 Hs#S3990520 ZMAT2 Zinc finger, matrin 0.00 0.00 531.07 2921.13 0.00 2 type 2 Hs#S1394998 Transcribed locus, 0.00 1972.39 0.00 1947.42 0.00 2 strongly similar to XP_001069671.1 similar to peptidylprolyl isomerase (cyclophilin)-like 1 [ Hs#S19656426 GART Phosphoribosylglycinamide 0.00 0.00 531.07 1947.42 0.00 2 formyltransferase, phosphoribosylglycinamide synthetase, phosphoribosylaminoimidazole synthetase Hs#S23238619 Transcribed locus, 2.27 0.00 0.00 973.71 0.00 2 weakly similar to XP_001165780.1 similar to ribosomal protein L11 [ Hs#S24302642 YWHAB Tyrosine 3- 0.00 1972.39 0.00 4868.55 0.00 2 monooxygenase/tryptophan 5- monooxygenase activation protein, beta polypeptide Hs#S2798208 LOC38872 Similar to ubiquitin 2.27 1972.39 0.00 0.00 0.00 2 and ribosomal protein S27a precursor Hs#S4373401 ACAT2 Acetyl-Coenzyme A 0.00 0.00 0.00 973.71 6988.56 2 acetyltransferase 2 (acetoacetyl Coenzyme A thiolase) Hs#S4623136 C6orf173 Chromosome 6 0.00 0.00 531.07 973.71 0.00 2 open reading frame 173 Hs#S4688195 CKS2 CDC28 protein 0.00 0.00 531.07 3894.84 0.00 2 kinase regulatory subunit 2 Hs#S11154180 PARN Poly(A)-specific 0.00 0.00 531.07 973.71 0.00 2 ribonuclease (deadenylation nuclease) Hs#S1503665 Transcribed locus 616.52 0.00 0.00 0.00 635.32 2 Hs#S1560391 Transcribed locus 1849.57 0.00 0.00 973.71 0.00 2 Hs#S16056991 COX15 COX15 homolog, 0.00 0.00 1593.20 973.71 0.00 2 cytochrome c oxidase assembly protein (yeast) Hs#S16818161 ZKSCAN5 Zinc finger with 8631.32 0.00 531.07 0.00 0.00 2 KRAB and SCAN domains 5 Hs#S16819564 HNRPH1 Heterogeneous 0.00 3944.77 2124.27 0.00 0.00 2 nuclear ribonucleoprotein H1 (H) Hs#S16885038 SLC25A37 Solute carrier 0.00 0.00 1062.13 973.71 0.00 2 family 25, member 37 Hs#S1728272 AGL Amylo-1,6- 1233.05 0.00 531.07 0.00 0.00 2 glucosidase, 4- alpha- glucanotransferase (glycogen debranching enzyme, glycogen storage disease type III) Hs#S1729079 PRDX6 Peroxiredoxin 6 4932.18 986.19 0.00 0.00 0.00 2 Hs#S1729804 G3BP1 GTPase activating 0.00 0.00 2124.27 0.00 635.32 2 protein (SH3 domain) binding protein 1 Hs#S1729843 SNUPN Snurportin 1 0.00 986.19 0.00 0.00 635.32 2 Hs#S1730168 CA8 Carbonic 616.52 1972.39 0.00 0.00 0.00 2 anhydrase VIII Hs#S1732156 CHES1 Checkpoint 0.00 986.19 0.00 973.71 0.00 2 suppressor 1 Hs#S1969051 NDFIP2 Nedd4 family 0.00 0.00 1062.13 973.71 0.00 2 interacting protein 2 Hs#S20986282 Transcribed locus 0.00 986.19 531.07 0.00 0.00 2 Hs#S21274950 SERPINB1 Serpin peptidase 616.52 0.00 531.07 0.00 0.00 2 inhibitor, clade B (ovalbumin), member 1 Hs#S21292924 PRPSAP1 Phosphoribosyl 0.00 1972.39 0.00 973.71 0.00 2 pyrophosphate synthetase- associated protein 1 Hs#S21312161 UBL5 Ubiquitin-like 5 0.00 0.00 1062.13 0.00 3176.62 2 Hs#S2138838 BAZ1A 0.00 0.00 0.00 973.71 6988.56 2 Hs#S2139186 STAU2 Staufen, RNA 3082.61 0.00 0.00 973.71 0.00 2 binding protein, homolog 2 ( Hs#S2293866 HIF1AN Hypoxia-inducible 0.00 2958.58 531.07 0.00 0.00 2 factor 1, alpha subunit inhibitor Hs#S2294120 PARL Presenilin 616.52 0.00 531.07 0.00 0.00 2 associated, rhomboid-like Hs#S2359807 0.00 1972.39 0.00 0.00 1905.97 2 Hs#S24849465 NR3C1 Nuclear receptor 616.52 0.00 531.07 0.00 0.00 2 subfamily 3, group C, member 1 (glucocorticoid receptor) Hs#S26153487 SC5DL Sterol-C5- 616.52 0.00 0.00 973.71 0.00 2 desaturase (ERG3 delta-5-desaturase homolog, like Hs#S29570898 Transcribed locus 0.00 0.00 0.00 973.71 3176.62 2 Hs#S3293525 Transcribed locus 616.52 0.00 0.00 973.71 0.00 2 Hs#S33939810 SMC2 Structural 0.00 0.00 3186.40 973.71 0.00 2 maintenance of chromosomes 2 Hs#S34122865 Q9H6U6 616.52 0.00 531.07 0.00 0.00 2 Hs#S3438886 SLTM SAFB-like, 0.00 2958.58 531.07 0.00 0.00 2 transcription modulator Hs#S3488016 Transcribed locus, 0.00 0.00 531.07 1947.42 0.00 2 moderately similar to NP_066357.1 protein L36a [ Hs#S3646083 Transcribed locus 0.00 0.00 0.00 973.71 1270.65 2 Hs#S38657617 Transcribed locus, 616.52 0.00 1062.13 0.00 0.00 2 weakly similar to NP_039502.1 b [ Hs#S4273337 MRPS28 Mitochondrial 0.00 3944.77 0.00 973.71 0.00 2 ribosomal protein S28 Hs#S4283824 USP33 Ubiquitin specific 0.00 0.00 1062.13 973.71 0.00 2 peptidase 33 Hs#S4618631 SCOC Short coiled-coil 7398.27 0.00 0.00 1947.42 0.00 2 protein Hs#S5516731 616.52 4930.97 0.00 0.00 0.00 2 clone IMAGE: 3923347, mRNA Hs#S5949691 Transcribed locus, 0.00 0.00 0.00 973.71 635.32 2 strongly similar to XP_001064547.1 similar to translocase of outer mitochondrial membrane 7 homolog [ Genes giving rise to GSEs enriched by BrdU selection in at least one tumor cell line but not in BJ-hTERT. Values representing over 2-fold enrichment are highlighted in yellow. Relative enrichment in selected set # of Gene MDA- selections Unigene ID Symbol Annotation HT1080 PC3 T24 MB-321 enriched Hs#S16883457 RPL23 CDNA FLJ26326 fis, clone 3944.77 531.07 1947.42 0.00 3 HRT01120, highly similar to 60S ribosomal protein L23 Hs#S4042915 2958.58 2.49 0.00 5.08 3 Hs#S22515139 CGGBP1 CGG triplet repeat binding 2958.58 0.00 973.71 24.21 3 protein 1 Hs#S1730201 PAICS Phosphoribosylaminoimidazole 2958.58 2.49 0.00 635.32 3 carboxylase, phosphoribosylaminoimidazole succinocarboxamide synthetase Hs#S36352304 SR14 U2-associated SR140 protein 1972.39 531.07 1.81 635.32 3 Hs#S37211072 THOC2 THO complex 2 3.12 0.00 1947.42 1905.97 3 Hs#S4407757 COX7A2 Cytochrome c oxidase subunit 1.56 531.07 2.72 3.39 3 VIIa polypeptide 2 (liver) Hs#S3219417 CYCS Cytochrome c, somatic 0.00 4.98 3.63 10.41 3 Hs#S16889222 MGST1 Microsomal glutathione S- 0.00 7.47 973.71 9.68 3 transferase 1 Hs#S16975412 S1A4 S100 calcium binding protein A4 3944.77 0.00 1947.42 0.00 2 Hs#S16819564 HNRPH1 Heterogeneous nuclear 3944.77 2124.27 0.00 0.00 2 ribonucleoprotein H1 (H) Hs#S4273337 MRPS28 Mitochondrial ribosomal protein 3944.77 0.00 973.71 0.00 2 S28 Hs#S38795124 HTATIP2 HIV-1 Tat interactive protein 2, 2958.58 531.07 0.00 0.00 2 30 kDa Hs#S1730191 GOT2 Glutamic-oxaloacetic 2958.58 3.32 0.00 0.00 2 transaminase 2, mitochondrial (aspartate aminotransferase 2) Hs#S2293866 HIF1AN Hypoxia-inducible factor 1, alpha 2958.58 531.07 0.00 0.00 2 subunit inhibitor Hs#S3438886 SLTM SAFB-like, transcription 2958.58 531.07 0.00 0.00 2 modulator Hs#S4807293 Transcribed locus 2958.58 0.00 8.16 0.00 2 Hs#S1728131 UAP1 UDP-N-acteylglucosamine 1972.39 0.83 14.50 0.00 2 pyrophosphorylase 1 Hs#S21280884 H3F3A H3 histone, family 3A 1972.39 1062.13 0.00 0.00 2 Hs#S4613263 PTGES3 Prostaglandin E synthase 3 1972.39 0.00 973.71 0.00 2 (cytosolic) Hs#S1731677 SUPT16H Suppressor of Ty 16 homolog ( 1972.39 0.00 3.63 0.00 2 Hs#S2652251 LSM5 LSM5 homolog, U6 small nuclear 1972.39 2.49 0.00 0.00 2 RNA associated ( Hs#S2816175 TMEM126B Transmembrane protein 126B 1972.39 0.00 973.71 0.00 2 Hs#S4616821 UBE2V2 Ubiquitin-conjugating enzyme E2 1972.39 0.00 973.71 0.00 2 variant 2 Hs#S1394998 Transcribed locus, strongly similar 1972.39 0.00 1947.42 0.00 2 to XP_001069671.1 similar to peptidylprolyl isomerase (cyclophilin)-like 1 [ Hs#S24302642 YWHAB Tyrosine 3- 1972.39 0.00 4868.55 0.00 2 monooxygenase/tryptophan 5- monooxygenase activation protein, beta polypeptide Hs#S21292924 PRPSAP1 Phosphoribosyl pyrophosphate 1972.39 0.00 973.71 0.00 2 synthetase-associated protein 1 Hs#S2359807 1972.39 0.00 0.00 1905.97 2 Hs#S6158998 RTN4 Reticulon 4 986.19 0.00 0.00 2.90 2 Hs#S2821115 DC2 DC2 protein 986.19 0.00 0.00 4.84 2 Hs#S3438442 CYB5B Cytochrome b5 type B (outer 986.19 0.00 5.44 0.00 2 mitochondrial membrane) Hs#S5516781 PLRG1 Pleiotropic regulator 1 (PRL1 986.19 0.00 973.71 0.00 2 homolog, Hs#S16884266 SF3A3 Splicing factor 3a, subunit 3, 986.19 7.05 0.00 0.00 2 60 kDa Hs#S11046593 C1orf14 Chromosome 10 open reading 986.19 531.07 0.00 0.00 2 frame 104 Hs#S1728832 CLTC Clathrin, heavy chain (Hc) 986.19 531.07 0.00 0.00 2 Hs#S2649909 FDPS Farnesyl diphosphate synthase 986.19 0.00 973.71 0.00 2 (farnesyl pyrophosphate synthetase, dimethylallyltranstransferase, geranyltranstransferase) Hs#S1730362 RAD21 RAD21 homolog ( 986.19 0.00 973.71 0.00 2 Hs#S2293771 CMTM6 CKLF-like MARVEL 986.19 0.00 973.71 0.00 2 transmembrane domain containing 6 Hs#S3323029 PDCD1 Programmed cell death 10 986.19 0.00 973.71 0.00 2 Hs#S1729843 SNUPN Snurportin 1 986.19 0.00 0.00 635.32 2 Hs#S1732156 CHES1 Checkpoint suppressor 1 986.19 0.00 973.71 0.00 2 Hs#S20986282 Transcribed locus 986.19 531.07 0.00 0.00 2 Hs#S4719030 Transcribed locus, weakly similar 986.19 2124.27 0.00 0.00 2 to XP_001126181.1 similar to Cyclin-L2 (Paneth cell-enhanced expression protein) isoform 2 [ Hs#S16057065 PDZD11 PDZ domain containing 11 12.47 0.00 973.71 0.00 2 Hs#S2434757 Transcribed locus 7.79 531.07 0.00 0.00 2 Hs#S1730224 CCT4 Chaperonin containing TCP1, 4.67 0.00 5.44 0.00 2 subunit 4 (delta) Hs#S21592214 SDAD1 SDA1 domain containing 1 4.67 0.41 973.71 0.00 2 Hs#S24303270 COPS5 COP9 constitutive 3.90 2.49 0.00 1.29 2 photomorphogenic homolog subunit 5 ( Hs#S2813090 UBE2T Ubiquitin-conjugating enzyme 3.43 0.93 0.68 4.96 2 E2T (putative) Hs#S1729877 CALCOCO2 Calcium binding and coiled-coil 3.12 531.07 0.91 0.00 2 domain 2 Hs#S16820013 NOL5A Nucleolar protein 5A (56 kDa with 3.12 2.49 0.00 0.00 2 KKE/D repeat) Hs#S16886558 AMZ2 Archaemetzincins-2 2.34 0.41 2921.13 0.00 2 Hs#S1726877 GSTM3 Glutathione S-transferase M3 2.34 3.32 0.60 0.00 2 (brain) Hs#S16887291 SERP1 Stress-associated endoplasmic 1.56 0.00 1947.42 2.90 2 reticulum protein 1 Hs#S1974192 BFAR Bifunctional apoptosis regulator 1.56 1062.13 0.00 2541.30 2 Hs#S4026538 Transcribed locus, strongly similar 0.52 1062.13 973.71 0.00 2 to XP_001130365.1 similar to S- phase kinase-associated protein 1A isoform b [ Hs#S21592131 SEC11A SEC11 homolog A ( 0.00 12.44 9.07 0.00 2 Hs#S16819791 MRNA; cDNA DKFZp686D17123 0.00 0.00 3.63 17.91 2 (from clone DKFZp686D17123) Hs#S473874 0.00 1062.13 973.71 0.00 2 Hs#S2373081 Transcribed locus 0.00 531.07 0.00 3.39 2 Hs#S6155739 Transcribed locus 0.00 1062.13 973.71 0.00 2 Hs#S1730715 MAP1B 3′UTR of hypothetical protein 0.00 531.07 3.63 0.00 2 (ORF1) Hs#S7113046 S1B S100 calcium binding protein B 0.00 531.07 9.07 0.00 2 Hs#S24303189 Zfp27 Transcribed locus 0.00 1062.13 0.00 45.51 2 Hs#S2949832 HIGD1A HIG1 domain family, member 1A 0.00 531.07 1947.42 0.00 2 Hs#S1730674 JUN Jun oncogene 0.00 0.00 973.71 46.48 2 Hs#S20337893 IL2RG Interleukin 2 receptor, gamma 0.00 531.07 0.00 3.87 2 (severe combined immunodeficiency) Hs#S2139380 DLG7 Discs, large homolog 7 0.00 1062.13 1947.42 0.00 2 ( Hs#S1242824 0.00 1593.20 5.44 0.00 2 Hs#S19626866 YLPM1 YLP motif containing 1 0.00 531.07 3.63 0.00 2 Hs#S3218912 CD44 CD44 molecule (Indian blood 0.00 531.07 0.00 1270.65 2 group) Hs#S21592443 MRPL42 Mitochondrial ribosomal protein 0.00 2.49 1947.42 0.00 2 L42 Hs#S4617593 XBP1 X-box binding protein 1 0.00 2.49 1947.42 0.00 2 Hs#S4831715 FIP1L1 FIP1 like 1 ( 0.00 0.00 973.71 635.32 2 Hs#S16817574 CNIH4 Cornichon homolog 4 0.00 531.07 973.71 0.00 2 ( Hs#S4384817 RPS7 Ribosomal protein S7 0.00 531.07 3894.84 0.00 2 Hs#S2652974 WDR61 WD repeat domain 61 0.00 531.07 973.71 0.00 2 Hs#S3990520 ZMAT2 Zinc finger, matrin type 2 0.00 531.07 2921.13 0.00 2 Hs#S19656426 GART Phosphoribosylglycinamide 0.00 531.07 1947.42 0.00 2 formyltransferase, phosphoribosylglycinamide synthetase, phosphoribosylaminoimidazole synthetase Hs#S4373401 ACAT2 Acetyl-Coenzyme A 0.00 0.00 973.71 6988.56 2 acetyltransferase 2 (acetoacetyl Coenzyme A thiolase) Hs#S4623136 C6orf173 Chromosome 6 open reading 0.00 531.07 973.71 0.00 2 frame 173 Hs#S4688195 CKS2 CDC28 protein kinase regulatory 0.00 531.07 3894.84 0.00 2 subunit 2 Hs#S11154180 PARN Poly(A)-specific ribonuclease 0.00 531.07 973.71 0.00 2 (deadenylation nuclease) Hs#S16056991 COX15 COX15 homolog, cytochrome c 0.00 1593.20 973.71 0.00 2 oxidase assembly protein (yeast) Hs#S16885038 SLC25A37 Solute carrier family 25, member 0.00 1062.13 973.71 0.00 2 37 Hs#S1729804 G3BP1 GTPase activating protein (SH3 0.00 2124.27 0.00 635.32 2 domain) binding protein 1 Hs#S1969051 NDFIP2 Nedd4 family interacting protein 2 0.00 1062.13 973.71 0.00 2 Hs#S21312161 UBL5 Ubiquitin-like 5 0.00 1062.13 0.00 3176.62 2 Hs#S2138838 BAZ1A 0.00 0.00 973.71 6988.56 2 Hs#S29570898 Transcribed locus 0.00 0.00 973.71 3176.62 2 Hs#S33939810 SMC2 Structural maintenance of 0.00 3186.40 973.71 0.00 2 chromosomes 2 Hs#S3488016 Transcribed locus, moderately 0.00 531.07 1947.42 0.00 2 similar to NP_066357.1 protein L36a [ Hs#S3646083 Transcribed locus 0.00 0.00 973.71 1270.65 2 Hs#S4283824 USP33 Ubiquitin specific peptidase 33 0.00 1062.13 973.71 0.00 2 Hs#S5949691 Transcribed locus, strongly similar 0.00 0.00 973.71 635.32 2 to XP_001064547.1 similar to translocase of outer mitochondrial membrane 7 homolog [ Hs#S34122629 ADH5 Alcohol dehydrogenase 5 (class 0.00 0.00 973.71 2.58 2 III), chi polypeptide Hs#S4264145 Transcribed locus, strongly similar 0.00 2655.34 0.91 3.87 2 to NP_066953.1 isomerase A isoform 1 [ Hs#S935286 Transcribed locus 0.00 1062.13 973.71 0.00 2 New targets for cancer treatment identified by GSE selection and verified by siRNA testing. % growth inhibition in MDA- Gene MB-231 HT1080 Symbol Annotation cells T24 cells cells COPZ1 Coatomer protein complex, 70.43 34.31 93.14 subunit zeta 1 THOC2 THO complex 2 46.63 7.39 30.94 DPAGT1 Dolichyl-phosphate 51.62 36.67 63.20 (UDP-N-acetylglucosamine) N-acetylglucosamine- phosphotransferase 1 (GlcNAc-1-P transferase) CGGBP1 CGG triplet repeat 25.67 27.23 63.45 binding protein 1 SR140 U2-associated SR140 protein 34.38 26.79 48.14 Example 1
Preparation of a Normalized Random Fragment shRNA Library from MCF-7 Breast Carcinoma Cells
Example 2
Preparation of GSE Library from Normalized cDNA of Multiple Tumor Cell Lines
Example 3
Preparation of Recipient Cell Lines for TGI Selection
Example 4
Library Transduction and Selection for Doxycycline-Dependent Resistance to BrdU Suicide
Example 5
Enrichment and Functional Validation of Specific shRNA Sequences after BrdU Suicide Selection in MDA-MB-231 Cells
Example 6
Enrichment and Functional Validation of Specific GSE Sequences after BrdU Suicide Selection in Different Cell Lines
Example 7
Inhibition of COPZ1 is Cytotoxic for Multiple Tumor Cell Lines Expressing Low Levels of COPZ2
Target sequences of siRNAs used for the knockdown of the indicated genes. Gene siRNA Target sequence COPZ1 Qiagen A AGCGATTTAAATTGTATTGAA COPZ1 Qiagen B TTGGCTGTGGATGAAATTGTA COPZ1 Qiagen C TTGGGAATAGTTCATAGGGAA COPZ1 Qiagen D TCCCAGCATATTTAGATAATA COPZ1 Thermo Scientific GGACAAUGAUGGAGAUCGA (pool of 4 siRNAs) CAACAAGACCCAUCGGACU GGGAAUAGUUCAUAGGGAA AUUGGAGCUCCUAUGAAA COPA Qiagen A TCCCACTGAGTTCAAATTCAA COPA Qiagen B CTGGATTTCAACAGCTCCAAA COPA Qiagen C CTGGCGCATGAATGAATCAAA COPA Qiagen D AAGCTTAATGACCTCATCCAA COPA Qiagen 5 CACACGGGTGAAGGGCAACAA COPA Thermo Scientific ACUCAGAUGGUGUGUAAUA (pool of 4 siRNAs) GCAAUAUGCUACACUAUGA GAACAUUCGUGUCAAGAGU GCGGAGUGGUUCCAAGUUUU COPB1 Qiagen A CAGGATCACACTATCAAGAAA COPB1 Qiagen B CAAGGATTGGTTATAATATAA COPB1 Qiagen C CAGAATTGCTAGAACCTTTAA COPB1 Qiagen D CACCAACATGGTTGATTTAAA COPB2 Qiagen A ACGATTCTTCAGAGTATGCAA COPB2 Qiagen B CAGGTTTCAAGGGTAGTGAAA COPB2 Qiagen C CAGTACGTATTTGGCATTCAA COPB2 Qiagen D CTGCTAGATCTGATCGAGTTA COPE Qiagen A CCGGAAGGAGCTGAAGAGAAT COPE Qiagen B CAGAGCTGTCAGGACCATGAA COPE Qiagen C CCCGGAAGGAGCTGAAGAGAA COPE Qiagen D ATCTGTTAATAAATATCTCAA COPG Qiagen A AGGCCCGTGTATTTAATGAAA COPG Qiagen B CCGAGCCACCTTCTACCTAAA COPG Qiagen C CACCGACTCCACTATGTTGAA COPG Qiagen D TCCGTCGGATGTGCTACTTGA COPG2 Qiagen A CAGGTGACTGTCAGAAGTAAA COPG2 Qiagen B CTGCATCAAGTGATAATATTA COPG2 Qiagen C GACGCGATTGTTTCAATCTAA COPG2 Qiagen D AGGCTCGTATATTCAATGAAA COPS8 Qiagen D CTGCATTTGTTCAATAAATAT COPZ2 Qiagen A CTGGCCTTAACTCATATCTTA COPZ2 Qiagen B CAGCATTGACCTCTTCCTATA COPZ2 Qiagen C AACAAATTAAATGGTCGTTAT COPZ2 Qiagen D CCGGCTGCTGGCCAAGTATTA COPZ2 Thermo Scientific GGGCUCAUCCUACGAGAAU (pool of 4 siRNAs) UCUUGGUGCUGGACGAGAU CAACAAGACCAGCCGGACU GAACAAAUUAAAUGGUCGU Primer sequences for QPCR of the indicated genes. Gene Sense Antisense GAPDH AGGTGAAGGTCGGAGTCA GGTCATTGATGGCAACAA RPL13A AGATGGCGGAGGTGCAG GGCCCAGCAGTACCTGTTTA COPZ1 ACACTGGGGTAGGTGTCGTC AAGATGGAGGCGCTGATTTT COPZ2 CCTTCTGGATCACTTGCTGG GGTTGCTGGAGAACATGGAC COPA TATCAACCTCCCATGCCTTT ACCCCACTATGCCCCTTATT COPB1 TCTGAAACTTGTGGAAAAGC ACACAATTTCTGTCACTTGC COPB2 GCTCTGTAGGATGCAGATCCA GTAGCCGGTAACAAACGAGG Universal AACGAGACGACGACAGACTTT miRNA miR-152 TCAGTGCATGACAGAACTTG REFERENCES